Алгебралық бөлшектің негізгі қасиеті
Алгебралық бөлшектің негізгі қасиеті

#1 слайд
Алгебралық
бөлшектің негізгі
қасиеті
7 сынып
Бегасилова Д.Е. 10.04.20
1 слайд
Алгебралық бөлшектің негізгі қасиеті 7 сынып Бегасилова Д.Е. 10.04.20
#2 слайд
Мақсаты:
1. Алгебралық бөлшектің негізгі қасиетін қолдану;
2. Алгебралық бөлшекті қысқартуды үйрену;
3. Теңбе-теңдік және теңбе-тең түрлендіру ережелерін білу.
2 слайд
Мақсаты: 1. Алгебралық бөлшектің негізгі қасиетін қолдану; 2. Алгебралық бөлшекті қысқартуды үйрену; 3. Теңбе-теңдік және теңбе-тең түрлендіру ережелерін білу.
#3 слайд
Бөлшектің негізгі қасиеті:
Егер бөлшектің алымын да, бөлімін де нөлге тең емес өрнекке
көбейтсе,онда берілген бөлшекке тең бөлшек шығады.
3 слайд
Бөлшектің негізгі қасиеті: Егер бөлшектің алымын да, бөлімін де нөлге тең емес өрнекке көбейтсе,онда берілген бөлшекке тең бөлшек шығады.
#4 слайд
Анықтама
Бөлшектің негізгі қасиетін қолдану арқылы шығарылатын
есептердің түрі - бөлшектерді қысқарту.
4 слайд
Анықтама Бөлшектің негізгі қасиетін қолдану арқылы шығарылатын есептердің түрі - бөлшектерді қысқарту.
#5 слайд
Анықтама
Құрамындағы барлық айнымалылардың мүмкін мәндері
жиынында ақиқат болатын теңдікті теңбе-теңдік деп атайды.
Өрнекті оған теңбе-тең өрнекпен алмастыруды теңбе-тең
түрлендіру деп атайды.
5 слайд
Анықтама Құрамындағы барлық айнымалылардың мүмкін мәндері жиынында ақиқат болатын теңдікті теңбе-теңдік деп атайды. Өрнекті оған теңбе-тең өрнекпен алмастыруды теңбе-тең түрлендіру деп атайды.
#6 слайд
а
6 слайд
а
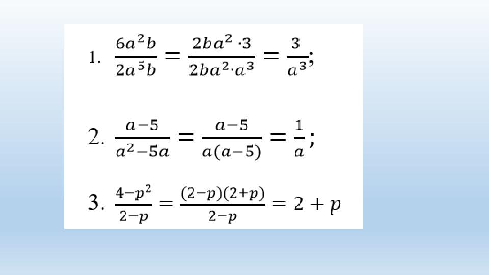
#7 слайд
7 слайд
#8 слайд
Анықтама
Егер бөлшектің алымының (немесе бөлімінің) таңбасын өзгертсек,
онда бөлшектің де таңбасы өзгереді.
8 слайд
Анықтама Егер бөлшектің алымының (немесе бөлімінің) таңбасын өзгертсек, онда бөлшектің де таңбасы өзгереді.
#9 слайд
Тапсырмалар
9 слайд
Тапсырмалар
#10 слайд
Үй жұмысы
38.1, 38.2, 38.3, 38.4, 38.5
есептерді шығарып келу
10 слайд
Үй жұмысы 38.1, 38.2, 38.3, 38.4, 38.5 есептерді шығарып келу
шағым қалдыра аласыз













