Жаратылыстану-математикалық бағыт
Жаратылыстану-математикалық бағыт

#1 слайд
Преобразование
иррациональных
выражений
1 слайд
Преобразование иррациональных выражений
#2 слайд
Цели обучения
•
11.1.1.5 -
применять свойства корня
п -
ой степени для преобразования
;
иррациональных выражений
2 слайд
Цели обучения • 11.1.1.5 - применять свойства корня п - ой степени для преобразования ; иррациональных выражений
#3 слайд
Критерии оценивания
•
Знает свойства корней n- ой степени
•
Применяет свойства корней n- ой
степени при преобразовании
иррациональных выражений
3 слайд
Критерии оценивания • Знает свойства корней n- ой степени • Применяет свойства корней n- ой степени при преобразовании иррациональных выражений
#4 слайд
, , Выражения содержащие корни
называют выражения с
радикалами либо
иррациональные выражения .
4 слайд
, , Выражения содержащие корни называют выражения с радикалами либо иррациональные выражения .
#5 слайд
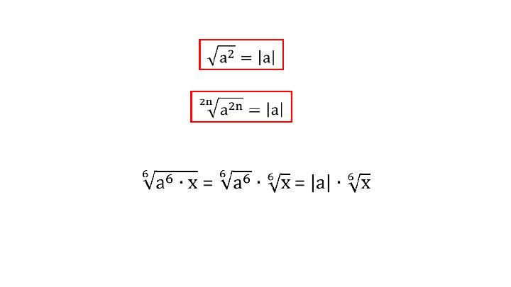
n- :Свойства корней й степени
5 слайд
n- :Свойства корней й степени
#6 слайд
6 слайд
#7 слайд
Решение .
)а
)
б
7 слайд
Решение . )а ) б
#8 слайд
8 слайд
#9 слайд
Решение .
9 слайд
Решение .
#10 слайд
Решение .
10 слайд
Решение .
#11 слайд
Решение .
11 слайд
Решение .
#12 слайд
Решение .
12 слайд
Решение .
шағым қалдыра аласыз













