Қысқа мерзімді жоспар №5-сабак. Геометрия
|
Ұзақ мерзімді жоспар бөлімі: Көпжақтар |
Мектеп: Еркіншілік ауылының ЖОББ мектебі КММ |
|
Педагогтің Аты,Тегі, Әкесінің аты |
Корпеш Ж |
|
Күні: |
19.11.2025 |
|
Сыныбы: 11 |
Қатысушылар саны: Қатыспағандар саны: |
|
Сабақтың тақырыбы: |
Дұрыс көпжақтар |
|
Оқу бағдарламасына сәйкес оқыту мақсаты |
11.1.6 - дұрыс көпжақтың анықтамасын білу, дұрыс көпжақтардың түрлерін ажырата білу; |
|
Сабақтың мақсаты: |
- дұрыс көпжақтың анықтамасын білу, дұрыс көпжақтардың түрлерін ажырата біледі; |
Сабақтың барысы:
|
Сабақ кезеңі/Уақыты |
Оқулықпен жұмыс. |
Оқушының іс-әрекеті |
Бағалау |
Ресурстар |
|||||||||||||||||||||||||||||||||||||||||||||||||||||||||||||||||||||||||||||||||||||||||||||||||||||||||||||
|
Сабақтың басы |
Ұйымдастыру кезеңі: - оқушылардың назарын шоғырландыру; - оқушылармен бірге оқу мақсатын анықтау - оқушылардың «жақын арадағы дамуын» анықтау. Үй тапсырмасын тексеру. |
Геометриялық денелердің модельдерімен жұмыс жасау. Денелердің жиынтығына тетраэдрдің, октаэдрдің, кубтың, икосаэдрдің, додекаэдрдің, цилиндрдің, конустың, төртбұрышты пирамиданың, қиық пирамиданың, алтыбұрышты призманың, көлбеу параллелепипедтің және дөңес емес көпжақтардың модельдері кіреді. Тапсырма. Сіздердің алдарыңызда геометриялық денелердің модельдері жатыр. Көпжаққа жатпайтын модельдерді бөлек қойыңыздар. Көпжақтар дегеніміз не? Дөңес емес көпжақтардың модельдерін алып тастаңыздар. Қандай көпжақтар дөңес деп аталады? Қалған көпжақтарды қалай классификациялауға болады? (призмалар мен пирамидалар) Призмалар мен пирамидалардың ішінен дұрыс призма мен дұрыс пирамидаларды таңдап алыңыздар. Қандай призма дұрыс призма деп аталады? Қандай пирамида дұрыс пирамида деп аталады? |
Мұғалім ұйымдастыру кезеңінде белсенділік танытқан оқушыларды «Мадақтау сөз» әдісіарқылы бағалайды: «Жарайсың! Жақсы! Өте жақсы! Талпын!» |
Түрлі түсті қима қағаздар
|
|||||||||||||||||||||||||||||||||||||||||||||||||||||||||||||||||||||||||||||||||||||||||||||||||||||||||||||
|
Сабақтың ортасы |
Жаңа материалды меңгеру. Видеофильмді көру. www.youtube.com/watch?v=KXm3xUGkLjw Анықтама. Егер дөңес көпжақтың жақтары қабырғаларының саны бірдей дұрыс көпбұрыштар болса және көпжақтың әрбір төбесінен шығатын қырларының саны бірдей болса, онда оны дұрыс көпжақ деп атайды. –Сіздер қандай көпжақтыларментаңыссыздар? (тетраэдр, куб) Дұрыс көпжақтардың 5 түрі бар: дұрыс тетраэдр, гексаэдр, октаэдр, додекаэдр, икосаэдр. Дұрыс тетраэдр – дұрыс үшбұрыштан құралған: әрбір төбесінде үш қыры тоғысады. Куб – алты квадраттан құралған: әрбір төбесінде үш қыры тоғысады. Куб – жақтары тең тікбқрышты параллелепипед. Октаэдр – сегіз дұрыс үшбұрыштан құралған: әрбір төбесінде төрт қыры тоғысады. Додекаэдр – дұрыс бесбұрыштан құралған: әрбір төбесінде үш қыры тоғысады. Икосаэдр – жиырма дұрыс үшбұрыштан құралған: әрбір төбесінде бес қабырғадан тоғысады. Историялық материалы. Дұрыс көпжақтардың қасиеттері туралы ең алғаш рет грек ғалымы Платон тапты. Сондықтан дұрыс көпжақтар «Платон денелері» деп аталады. ІІІ. Кесте толтыру. Тапсырма 1.Оқушылар кестені толтырады және жауаптарымен тексереді. Дұрыс көпжақтардың негізгі элементтері.
Кестені толтырып, оны Эйлер теоремасымен (формуласымен) тексереді. Т + Ж = Қ + 2, мұндағыҚ – қырлар саны, Т – төбелер, Ж–жақтар.
|
Тапсырма 2. Оқушылар кестені үлгі бойынша толтырады және жауаптарымен тексереді.
IV. Жұптық жұмыс.Оқушылар жазбаны қолданып, көпжақтың моделін құрастырады және оның түрін анықтайды.
1-ші оқушыға кесте
2-ші оқушыға кесте
|
Дескриптор: -1-ші сұраққа жауап береді. 1-балл -2-ші сұраққа жауап береді. 1-балл -3-ші сұраққа жауап береді. 1-балл Әрбір дұрыс жауапка 1 балл қойылады
|
ДК экраны Сұрақтар топтамасы. Оқулық 11-сынып.
|
|||||||||||||||||||||||||||||||||||||||||||||||||||||||||||||||||||||||||||||||||||||||||||||||||||||||||||||
|
Сабақтың соңы |
Үй тапсырмасы. 1.Дұрыс төртбұрышты пирамиданың биіктігі 7 см тең, ал табан қабырғасы 8 см. Бүйір қырын табыңыздар. 2. Тік призманың табандары катеттері 6см және 8см болатын тікбұрышты үшбұрыш. Гипотенузасыорналасқанжағыныңдиагоналі 26 см. Призманыңбиіктігінтабыңыздар. |
|
Бағалау. Оқушылар бір-бірін ауызша критерий бойынша бағалайды. |
|
|||||||||||||||||||||||||||||||||||||||||||||||||||||||||||||||||||||||||||||||||||||||||||||||||||||||||||||
Пән: Алгебра
Қысқа мерзімді жоспар №9-сабак
|
Бөлім: Дәрежелер мен түбірлер. Дәрежелік функция |
Мектеп: Еркіншілік ауылының ЖОББ мектебі КММ |
|
Педагогтің аты-жөні: |
Корпеш Ж |
|
Күні: |
19.11 |
|
Сыныбы: 11 |
Қатысушылар саны: Қатыспағандар саны: |
|
Сабақтың тақырыбы: |
Иррационал өрнектерді түрлендіру |
|
Оқу бағдарламасына сәйкес оқыту мақсаты |
11.2.1.5 - иррационал өрнектерді түрлендіру үшін n-ші дәрежелі түбір қасиеттерін қолдану |
|
Сабақтың мақсаты: |
иррационал өрнектерді түрлендіру үшін n-ші дәрежелі түбір қасиеттерін қолданады |
Сабақтың барысы:
|
Сабақ кезеңі/Уақыты |
Педагогтың іс әрекеті |
Оқушының іс-әрекеті |
Бағалау |
Ресурстар |
|
Сабақтың басы |
Сыныпты ұйымдастыру. Оқушылармен сәлемдесу. Сынып тазалығына назар аудару. Оқушылардың сабаққа дайындығын тексеру.
2. Сабақтың мақсаты мен бағалау критерийлерін оқушылармен бірге талқылау. |
Актуалдау. Дөңгелек стол әдісі.
Иррационал санды түрлендіру
Оқушылар «Иррационал өрнектерді түрлендіру» тақырыбына байланысты өздері білетін ақпараттарды топта талқылап, өз пікірлерін ортақ қағазға жазады да, келесі сол жағындағы қатысушыға жылжытады. Сөйтіп, топтың әр мүшесінің қатысқаны белгілі болады. Барлық жанұялар лидерлері жанұяда жазғандары бойынша класта презентация жасайды. Дескриптор.Оқушы: -барлық ақпараттарды жинақтайды; -парақты жылжытып, өз пікірлерін жазады; -класста презентация жасайды; |
Мұғалім ұйымдастыру кезеңінде белсенділік танытқан оқушыларды «Мадақтау сөз» әдісіарқылы бағалайды: «Жарайсың! Жақсы! Өте жақсы! Талпын!» |
Түрлі түсті қима қағаздар
|
|
Сабақтың ортасы |
Сабақта сыни ойлаудың күрделендіру қағидасы басымдық табады.
Жаңа материал. Білу және түсіну. 1. Теориялық материалды bilimland сайтының бейнебаянымен түсіндіріледі. Рационал көрсеткішті дәреже қасиеттері ұсынылады және мұғалім әрбір қасиетке мысал тақтада көрсетеді.
2. Қасиеттерді қолданып есептер шығаруға дағдыландыру үшін әрбір оқушыға екі есептен ұсынылады және тақтаға шығып өз есептерінің шығару жолымен бөліседі. Бағалау: мұғалімнің бағалауы орын алады. Дескриптор
3. Жұптық тапсырма орындалады. Сәйкестендіруді орындау арқылы, рационал сан терминімен тығыз байланысты ғалымның атын табады. Ғалым туралы оқушылармен бірге диалог орнатады. Бағалау: бір-бірін бағалау орын алады, шықпаған есептерін бір-біріне түсіндіреді. Дескриптор
4. Оқушылар жеке тапсырманы орындайды. Есептеу жұмысын орындап, сандарды өсу ретімен орналастыруы керек. Бағалау: критерийі бойынша мұғалім өзі тексереді. Дескриптор
|
Жұптық жұмыс.Галерея әдісі. Оқушылар жіптің екі ұшы арқылы жұптасады. Кабинеттің әр бұрышына төмендегі есептер ілінеді. Жұптар галереяны аралап жүріп, сол есептерді шығарады. Есептеңіз: 1)
4)
Дескриптор.Оқушы: -күрделі түбір қасиетін қолданады; -қысқаша көбейту формулаларын қолданады; -өрнектің мәнін табады.
Жауабы:
Бағалау: Барлық жұп есептерді аяқтағаннан соң бір бірімен салыстырып, тақтадағы дұрыс жауаптар арқылы өзара дәптер алмастырып, тексереді. Жеке жұмыс.Өзіндік жұмыс.
Дескриптор.Оқушы: -көбейткішке жіктейді; -иррационалдықтан құтылады; -өрнекті ықшамдайды.
Жауабы:
|
Дескриптор: -1-ші сұраққа жауап береді. 1-балл -2-ші сұраққа жауап береді. 1-балл -3-ші сұраққа жауап береді. 1-балл Әрбір дұрыс жауапка 1 балл қойылады |
ДК экраны Сұрақтар топтамасы. Оқулық 11-сынып.
|
|
Сабақтың соңы |
1.Тақырыпты қорытындылау кезеңінде сын тұрғысынан ойлау дағдыларын дамыту мақсатында INSERT техникасын қолданамын.
2. Бағалау. Жеке жұмыс бағалау критерийлері негізінде мұғалім тарапынан бағаланады. 3. Оқушыларға мұғалім тарапынан кері байланыс беріледі. 4. Үйге тапсырма:оқулықтан 251-тапсырма. Өрнекті ықшамдаңыз: |
|
Бағалау. Оқушылар бір-бірін ауызша критерий бойынша бағалайды. - Кейбір оқушыларға мұғалім тарапынан кері байланыс беріледі. |
|
Сабақ жоспары
Бекітемін:
|
Педагогтің Аты,Тегі, Әкесінің аты(бар болған жағдайда) |
Корпеш Ж |
|||||||
|
Пән/Сынып: |
10 сынып, ЖМБ Қатысқандар саны: Қатыспағандар саны: |
|||||||
|
Күні: |
19.11.2025 |
|||||||
|
Бөлім: |
10.2А Тригонометриялық теңдеулер |
|||||||
|
Сабақтың тақырыбы: |
Тригонометриялық теңдеулер және олардың жүйелерін шешу әдістері |
|||||||
|
Оқу бағдарламасына сәйкес оқыту мақсаты |
10.2.3.15 - тригонометриялық теңдеулерді универсал алмастыру арқылы шеше алу; |
|||||||
|
Сабақтың мақсаты: |
-тригонометриялық теңдеулерді тригонометриялық өрнектерді түрлендіру формулаларын қолдану арқылы шеше алады; - біртекті тригонометриялық теңдеулерді шешу жолдарын біледі. |
|||||||
|
Сабақ барысы: |
||||||||
|
Уақыты |
Кезең дері |
Педагогтің әрекеті |
Оқушының әрекеті |
Бағалау |
Ресурстар |
|||
|
5 минут |
Ұйымдас тыру |
Сәлеметсіздерме! Бүгін, Тригонометриялық теңдеулер және олардың жүйелерін шешу әдістері тақырыбын қарастырамыз. Бүгінгі сабақта меңгеретініңіз: - тригонометриялық теңдеулерді универсал алмастыру арқылы шеше алу; Ұйымдастыру. Үй жұмысын тексеру. |
Амандасады. Үй тапсырмасын айтады. |
|
Оқулық |
|||
|
10 мин |
Негізгі бөлім |
Тригонометриялық теңдеулерді шешу әдістері:
|
Қосымша ақпарат көздерін пайдалана отырып түсінеді Тақырып бойынша ресурстарды қарап, танысады. Сұрақтарға жауап береді.
2 |
«Екі жұлдыз бір ұсыныс» |
Оқулық |
|||
|
25 мин |
Бекіту тапсырма лары |
Тапсырма. А деңгейлі: Қарапайым тригонометриялық теңдеулерді шешіңіз: Мысалы:
cosx= Мұндағы:
Мысалы:
2сos(
Тригонометриялық теңдеулерді шешіңіз: (13 мин) Мысалы, 2sin2 x+sinx-1=0 теңдеуі берілген. Бұл теңдеуді шешу үшін
sinx=y алмастыруын жасаймыз. Сонда:
2у2+у-1=0 теңдеуін аламыз. D=1+4*2=9.
y1= 1. sinx=-1 x=
- Сонда бастапқы берілген
теңдеудің 2 шешімі бар екен:
х1 =
х2 =(-1)к |
Есептер шығарады Берілген тапсырма бойынша өз ойларын ортаға салып, пікірлерін білдіріп, топтық талдау жасайды. Талқылау нәтижесінде өзара бір келісімге келіп есепті орындайды. Сергіту сәті: Жұмбақтар шешу. 1. Алды-артымыз шенсіз де, Жете алмайсың біздерге Сәуле менен кесінді, Шыққан тегін білсе де (Түзу) 2. Нәрселерді санағанда Керек ол бізге ауадай Айтыңдаршы бұл қандай сан, Жан- жағыңа қарамай? (Натурал сан) 3. Бойы да екі қарыс, сиып тұр 25 арыс (Сызғыш) 4. Бірдей санды бірнеше рет Көбейтуден тұрады Егер оны ықшамдасаң, Қандай атау болады? (Дәреже) Өз бетімен жұмыс.
|
Дескриптор: -теңдеу шешу формуласын пайдаланады; -шешімін жазады;
ҚБ «Екi жұлдыз бiр тiлек» әдiсi .Бiрiн-бiрi бағалау |
Интернет ресурстары Жалпы білім беретін мектептің 10–сыныбына арналған оқулық. |
|||
|
|
Жеке жұмыс |
Оқулықтан №20.9, №20.10 |
Тапсырмаларды орындайды. |
|
Оқулық |
|||
|
5 минут |
|
Бүгінгі сабақта: - тригонометриялық теңдеулерді тригонометриялық өрнектерді түрлендіру формулаларын қолдану арқылы шеше алады; - тригонометриялық теңдеулерді қосымша аргумент енгізу әдісі арқылы шеше алады. Кері байланыс:
|
Тақырыпты меңгергенін анықтау Үйге тапсырма. №20.18. |
Кері байланыс |
|
|||
Қысқа мерзімді сабақ жоспары
№5 сабақ
Сабақтың тақырыбы: Нүктеден түзуге дейінгі қашықтық есептері
|
Бөлімі: |
Кеңістіктегі бұрыш. Кеңістіктегі арақашықтық
|
|
Педагогтің аты-жөні: |
Корпеш Ж |
|
Күні: |
19.11.2025 |
|
Сыныбы: 10 |
Қатысушылар саны: Қатыспағандар саны: |
|
Сабақтың тақырыбы: |
Кеңістіктегі арақашықтық |
|
Оқу бағдарламасына сәйкес оқу мақсаты: |
10.3.5 – кеңістіктегі перпендикуляр, көлбеу және көлбеудің проекциясы анықтамаларын білу |
|
Сабақтың мақсаты: |
Барлық оқушылар істей алады: кеңістіктегі перпендикуляр, көлбеу және көлбеудің проекциясы анықтамаларын біле алады Көптеген оқушылар істей алады: кеңістіктегі перпендикуляр, көлбеу және көлбеудің проекциясы анықтамаларын білуді үйренеді Кейбір оқушылар істей алады: кеңістіктегі перпендикуляр, көлбеу және көлбеудің проекциясы анықтамаларын білуге тырысады |
|
Бағалау критерийлері |
кеңістіктегі перпендикуляр, көлбеу және көлбеудің проекциясы анықтамаларын біледі |
Сабақтың барысы:
|
Сабақ кезеңі/ Уақыты |
Педагогтің іс-әрекеті |
Оқушының іс-әрекеті |
Бағалау |
Ресурстар |
|
Сабақтың басы 5 мин. Өткен сабақты тексеру 5мин. Топпен жұмыс |
Ұйымдастыру кезеңі Оқушылармен амандасу, түгендеу, сабаққа дайындығын бақылау. Ынтымақтастықты қалыптастыру, оқушылардың сенімділігін арттыру. Шаттық шеңбер "Жақсы тілек- жан жылуы " Топқа бөлу: І топ ІІ топ ІІІ топ Өткен сабақты тексеру Сұрақтарға жауап беру Өткен сабақтар бойынша сұрақ-жауап жүргіземіз. 1.Нүкте деген не? 2. түзу деген не? Одан кейін оқушыларды тағы да топтармен орындарын ауыстырып, яғни 1, 2 сандарға бөлу. Жаңа тақырыпты топқа бөлінген оқушыларға абзац арқылы оқытады. Мазмұнын түсіндіріп, кері байланыс береді. |
«Жақсы тілек- жан жылуы» оқушылар бір-бірлеріне тілектер айтып, жақсы көңіл күймен сабақты бастайды. Оқушылар сұрақтарға жауап береді. Мысалдар келтіреді. Әр топ өз міндеттерін орындайды. Әр топ өздерінің абзацтарын оқиды, бір-бірімен, жұппен, топпен өзара талқылайды. |
Дескриптор: -Өткен сабақтағы ережелерді қайталайды. Жалпы балл-2 Дескриптор: -Тақырыпты оқиды, топта талқылайды - Флипчартқа түсіреді , топта қорғайды. Жалпы балл-3 |
Қағаз қиындылары Үлестірме ДК экран Сұрақтар Әр топқа флипчарт , маркер, түрлі түсті фломастер беріледі. |
|
Сабақтың ортасы. 10 мин. |
Оқыту мақсатына жетуді бағалауға мүмкіндік беретін тапсырмалар: 1-тапсырма: Жазыңқы бұршытың төбесінен екі сәуле жүргізілген, олар оны ұш тең бөлікке бөледі. Ортаңғы бұрыштың биссектрисасы жазыңқы бұрыштың қабырғаларына перпендикуляр екендігін дәлелдеу керек. 2-тапсырма: АВ және СD перпендикуляр түзулері О нүктесінде қиылысады. ОЕ және ОF сәулелері ОD сәулесімен бір жарты жазықтықта жатады және <ЕОF=105, <ВОF=28°. DОF және DОЕ бұрыштарын табыңдар. |
Оқыту мақсатына жетуді бағалауға мүмкіндік беретін тапсырмаларға оқушылар жауап жазады. |
Дескриптор: -Тапсырмаларды орындайды. -Пікір алмасады. Жалпы балл -3 |
Слайд Кітап Дәптер |
|
Сабақтың соңы. 5 мин Синтез «Ойлан, тап!» (сабақты бекіту) 5мин Рефлекция Бағалау Үй тапсырмасы |
«Ойлан, тап!» (сабақты бекіту) А және b түзулерінің қиылысуында пайда болған бұрыштардың үшеуі өзара тең. а ┴ b екенін дәлелдендер. «Менің көңіл-күйім баспалдағы» Баспалдақтар «Керемет!», «Өзіме сенімдімін!», «Жақсы», «Жаман емес», «Маған көмек керек!», «Білмеймін», «Нашар» деп аталады. Әр тапсырманың бағалау критериилері бойынша 10 баллдық жүйемен бағалау Үй тапсырмасы: №2.12; №2.14 |
Оқушылар тапсырмамен жұмыс жасайды Оқушылар стикерлерге өз есімдерін жазып (немесе смайликтің суретін салып) тақтада салынған баспалдақтардың біріне жабыстырады. |
Дескриптор: -Тапсырманы түсініп, дәптерге орындайды. Жалпы балл-2 Жалпы тапсырмалар бойынша 10 балл |
Дк экран Дәптер Стикерлер смайликтер |
жүктеу мүмкіндігіне ие боласыз
Бұл материал сайт қолданушысы жариялаған. Материалдың ішінде жазылған барлық ақпаратқа жауапкершілікті жариялаған қолданушы жауап береді. Ұстаз тілегі тек ақпаратты таратуға қолдау көрсетеді. Егер материал сіздің авторлық құқығыңызды бұзған болса немесе басқа да себептермен сайттан өшіру керек деп ойласаңыз осында жазыңыз
10, 11 сыныпқа қмж
10, 11 сыныпқа қмж
Қысқа мерзімді жоспар №5-сабак. Геометрия
|
Ұзақ мерзімді жоспар бөлімі: Көпжақтар |
Мектеп: Еркіншілік ауылының ЖОББ мектебі КММ |
|
Педагогтің Аты,Тегі, Әкесінің аты |
Корпеш Ж |
|
Күні: |
19.11.2025 |
|
Сыныбы: 11 |
Қатысушылар саны: Қатыспағандар саны: |
|
Сабақтың тақырыбы: |
Дұрыс көпжақтар |
|
Оқу бағдарламасына сәйкес оқыту мақсаты |
11.1.6 - дұрыс көпжақтың анықтамасын білу, дұрыс көпжақтардың түрлерін ажырата білу; |
|
Сабақтың мақсаты: |
- дұрыс көпжақтың анықтамасын білу, дұрыс көпжақтардың түрлерін ажырата біледі; |
Сабақтың барысы:
|
Сабақ кезеңі/Уақыты |
Оқулықпен жұмыс. |
Оқушының іс-әрекеті |
Бағалау |
Ресурстар |
|||||||||||||||||||||||||||||||||||||||||||||||||||||||||||||||||||||||||||||||||||||||||||||||||||||||||||||
|
Сабақтың басы |
Ұйымдастыру кезеңі: - оқушылардың назарын шоғырландыру; - оқушылармен бірге оқу мақсатын анықтау - оқушылардың «жақын арадағы дамуын» анықтау. Үй тапсырмасын тексеру. |
Геометриялық денелердің модельдерімен жұмыс жасау. Денелердің жиынтығына тетраэдрдің, октаэдрдің, кубтың, икосаэдрдің, додекаэдрдің, цилиндрдің, конустың, төртбұрышты пирамиданың, қиық пирамиданың, алтыбұрышты призманың, көлбеу параллелепипедтің және дөңес емес көпжақтардың модельдері кіреді. Тапсырма. Сіздердің алдарыңызда геометриялық денелердің модельдері жатыр. Көпжаққа жатпайтын модельдерді бөлек қойыңыздар. Көпжақтар дегеніміз не? Дөңес емес көпжақтардың модельдерін алып тастаңыздар. Қандай көпжақтар дөңес деп аталады? Қалған көпжақтарды қалай классификациялауға болады? (призмалар мен пирамидалар) Призмалар мен пирамидалардың ішінен дұрыс призма мен дұрыс пирамидаларды таңдап алыңыздар. Қандай призма дұрыс призма деп аталады? Қандай пирамида дұрыс пирамида деп аталады? |
Мұғалім ұйымдастыру кезеңінде белсенділік танытқан оқушыларды «Мадақтау сөз» әдісіарқылы бағалайды: «Жарайсың! Жақсы! Өте жақсы! Талпын!» |
Түрлі түсті қима қағаздар
|
|||||||||||||||||||||||||||||||||||||||||||||||||||||||||||||||||||||||||||||||||||||||||||||||||||||||||||||
|
Сабақтың ортасы |
Жаңа материалды меңгеру. Видеофильмді көру. www.youtube.com/watch?v=KXm3xUGkLjw Анықтама. Егер дөңес көпжақтың жақтары қабырғаларының саны бірдей дұрыс көпбұрыштар болса және көпжақтың әрбір төбесінен шығатын қырларының саны бірдей болса, онда оны дұрыс көпжақ деп атайды. –Сіздер қандай көпжақтыларментаңыссыздар? (тетраэдр, куб) Дұрыс көпжақтардың 5 түрі бар: дұрыс тетраэдр, гексаэдр, октаэдр, додекаэдр, икосаэдр. Дұрыс тетраэдр – дұрыс үшбұрыштан құралған: әрбір төбесінде үш қыры тоғысады. Куб – алты квадраттан құралған: әрбір төбесінде үш қыры тоғысады. Куб – жақтары тең тікбқрышты параллелепипед. Октаэдр – сегіз дұрыс үшбұрыштан құралған: әрбір төбесінде төрт қыры тоғысады. Додекаэдр – дұрыс бесбұрыштан құралған: әрбір төбесінде үш қыры тоғысады. Икосаэдр – жиырма дұрыс үшбұрыштан құралған: әрбір төбесінде бес қабырғадан тоғысады. Историялық материалы. Дұрыс көпжақтардың қасиеттері туралы ең алғаш рет грек ғалымы Платон тапты. Сондықтан дұрыс көпжақтар «Платон денелері» деп аталады. ІІІ. Кесте толтыру. Тапсырма 1.Оқушылар кестені толтырады және жауаптарымен тексереді. Дұрыс көпжақтардың негізгі элементтері.
Кестені толтырып, оны Эйлер теоремасымен (формуласымен) тексереді. Т + Ж = Қ + 2, мұндағыҚ – қырлар саны, Т – төбелер, Ж–жақтар.
|
Тапсырма 2. Оқушылар кестені үлгі бойынша толтырады және жауаптарымен тексереді.
IV. Жұптық жұмыс.Оқушылар жазбаны қолданып, көпжақтың моделін құрастырады және оның түрін анықтайды.
1-ші оқушыға кесте
2-ші оқушыға кесте
|
Дескриптор: -1-ші сұраққа жауап береді. 1-балл -2-ші сұраққа жауап береді. 1-балл -3-ші сұраққа жауап береді. 1-балл Әрбір дұрыс жауапка 1 балл қойылады
|
ДК экраны Сұрақтар топтамасы. Оқулық 11-сынып.
|
|||||||||||||||||||||||||||||||||||||||||||||||||||||||||||||||||||||||||||||||||||||||||||||||||||||||||||||
|
Сабақтың соңы |
Үй тапсырмасы. 1.Дұрыс төртбұрышты пирамиданың биіктігі 7 см тең, ал табан қабырғасы 8 см. Бүйір қырын табыңыздар. 2. Тік призманың табандары катеттері 6см және 8см болатын тікбұрышты үшбұрыш. Гипотенузасыорналасқанжағыныңдиагоналі 26 см. Призманыңбиіктігінтабыңыздар. |
|
Бағалау. Оқушылар бір-бірін ауызша критерий бойынша бағалайды. |
|
|||||||||||||||||||||||||||||||||||||||||||||||||||||||||||||||||||||||||||||||||||||||||||||||||||||||||||||
Пән: Алгебра
Қысқа мерзімді жоспар №9-сабак
|
Бөлім: Дәрежелер мен түбірлер. Дәрежелік функция |
Мектеп: Еркіншілік ауылының ЖОББ мектебі КММ |
|
Педагогтің аты-жөні: |
Корпеш Ж |
|
Күні: |
19.11 |
|
Сыныбы: 11 |
Қатысушылар саны: Қатыспағандар саны: |
|
Сабақтың тақырыбы: |
Иррационал өрнектерді түрлендіру |
|
Оқу бағдарламасына сәйкес оқыту мақсаты |
11.2.1.5 - иррационал өрнектерді түрлендіру үшін n-ші дәрежелі түбір қасиеттерін қолдану |
|
Сабақтың мақсаты: |
иррационал өрнектерді түрлендіру үшін n-ші дәрежелі түбір қасиеттерін қолданады |
Сабақтың барысы:
|
Сабақ кезеңі/Уақыты |
Педагогтың іс әрекеті |
Оқушының іс-әрекеті |
Бағалау |
Ресурстар |
|
Сабақтың басы |
Сыныпты ұйымдастыру. Оқушылармен сәлемдесу. Сынып тазалығына назар аудару. Оқушылардың сабаққа дайындығын тексеру.
2. Сабақтың мақсаты мен бағалау критерийлерін оқушылармен бірге талқылау. |
Актуалдау. Дөңгелек стол әдісі.
Иррационал санды түрлендіру
Оқушылар «Иррационал өрнектерді түрлендіру» тақырыбына байланысты өздері білетін ақпараттарды топта талқылап, өз пікірлерін ортақ қағазға жазады да, келесі сол жағындағы қатысушыға жылжытады. Сөйтіп, топтың әр мүшесінің қатысқаны белгілі болады. Барлық жанұялар лидерлері жанұяда жазғандары бойынша класта презентация жасайды. Дескриптор.Оқушы: -барлық ақпараттарды жинақтайды; -парақты жылжытып, өз пікірлерін жазады; -класста презентация жасайды; |
Мұғалім ұйымдастыру кезеңінде белсенділік танытқан оқушыларды «Мадақтау сөз» әдісіарқылы бағалайды: «Жарайсың! Жақсы! Өте жақсы! Талпын!» |
Түрлі түсті қима қағаздар
|
|
Сабақтың ортасы |
Сабақта сыни ойлаудың күрделендіру қағидасы басымдық табады.
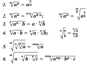
Жаңа материал. Білу және түсіну. 1. Теориялық материалды bilimland сайтының бейнебаянымен түсіндіріледі. Рационал көрсеткішті дәреже қасиеттері ұсынылады және мұғалім әрбір қасиетке мысал тақтада көрсетеді.
2. Қасиеттерді қолданып есептер шығаруға дағдыландыру үшін әрбір оқушыға екі есептен ұсынылады және тақтаға шығып өз есептерінің шығару жолымен бөліседі. Бағалау: мұғалімнің бағалауы орын алады. Дескриптор
3. Жұптық тапсырма орындалады. Сәйкестендіруді орындау арқылы, рационал сан терминімен тығыз байланысты ғалымның атын табады. Ғалым туралы оқушылармен бірге диалог орнатады. Бағалау: бір-бірін бағалау орын алады, шықпаған есептерін бір-біріне түсіндіреді. Дескриптор
4. Оқушылар жеке тапсырманы орындайды. Есептеу жұмысын орындап, сандарды өсу ретімен орналастыруы керек. Бағалау: критерийі бойынша мұғалім өзі тексереді. Дескриптор
|
Жұптық жұмыс.Галерея әдісі. Оқушылар жіптің екі ұшы арқылы жұптасады. Кабинеттің әр бұрышына төмендегі есептер ілінеді. Жұптар галереяны аралап жүріп, сол есептерді шығарады. Есептеңіз: 1)
4)
Дескриптор.Оқушы: -күрделі түбір қасиетін қолданады; -қысқаша көбейту формулаларын қолданады; -өрнектің мәнін табады.
Жауабы:
Бағалау: Барлық жұп есептерді аяқтағаннан соң бір бірімен салыстырып, тақтадағы дұрыс жауаптар арқылы өзара дәптер алмастырып, тексереді. Жеке жұмыс.Өзіндік жұмыс.
Дескриптор.Оқушы: -көбейткішке жіктейді; -иррационалдықтан құтылады; -өрнекті ықшамдайды.
Жауабы:
|
Дескриптор: -1-ші сұраққа жауап береді. 1-балл -2-ші сұраққа жауап береді. 1-балл -3-ші сұраққа жауап береді. 1-балл Әрбір дұрыс жауапка 1 балл қойылады |
ДК экраны Сұрақтар топтамасы. Оқулық 11-сынып.
|
|
Сабақтың соңы |
1.Тақырыпты қорытындылау кезеңінде сын тұрғысынан ойлау дағдыларын дамыту мақсатында INSERT техникасын қолданамын.
2. Бағалау. Жеке жұмыс бағалау критерийлері негізінде мұғалім тарапынан бағаланады. 3. Оқушыларға мұғалім тарапынан кері байланыс беріледі. 4. Үйге тапсырма:оқулықтан 251-тапсырма. Өрнекті ықшамдаңыз: |
|
Бағалау. Оқушылар бір-бірін ауызша критерий бойынша бағалайды. - Кейбір оқушыларға мұғалім тарапынан кері байланыс беріледі. |
|
Сабақ жоспары
Бекітемін:
|
Педагогтің Аты,Тегі, Әкесінің аты(бар болған жағдайда) |
Корпеш Ж |
|||||||
|
Пән/Сынып: |
10 сынып, ЖМБ Қатысқандар саны: Қатыспағандар саны: |
|||||||
|
Күні: |
19.11.2025 |
|||||||
|
Бөлім: |
10.2А Тригонометриялық теңдеулер |
|||||||
|
Сабақтың тақырыбы: |
Тригонометриялық теңдеулер және олардың жүйелерін шешу әдістері |
|||||||
|
Оқу бағдарламасына сәйкес оқыту мақсаты |
10.2.3.15 - тригонометриялық теңдеулерді универсал алмастыру арқылы шеше алу; |
|||||||
|
Сабақтың мақсаты: |
-тригонометриялық теңдеулерді тригонометриялық өрнектерді түрлендіру формулаларын қолдану арқылы шеше алады; - біртекті тригонометриялық теңдеулерді шешу жолдарын біледі. |
|||||||
|
Сабақ барысы: |
||||||||
|
Уақыты |
Кезең дері |
Педагогтің әрекеті |
Оқушының әрекеті |
Бағалау |
Ресурстар |
|||
|
5 минут |
Ұйымдас тыру |
Сәлеметсіздерме! Бүгін, Тригонометриялық теңдеулер және олардың жүйелерін шешу әдістері тақырыбын қарастырамыз. Бүгінгі сабақта меңгеретініңіз: - тригонометриялық теңдеулерді универсал алмастыру арқылы шеше алу; Ұйымдастыру. Үй жұмысын тексеру. |
Амандасады. Үй тапсырмасын айтады. |
|
Оқулық |
|||
|
10 мин |
Негізгі бөлім |
Тригонометриялық теңдеулерді шешу әдістері:
|
Қосымша ақпарат көздерін пайдалана отырып түсінеді Тақырып бойынша ресурстарды қарап, танысады. Сұрақтарға жауап береді.
2 |
«Екі жұлдыз бір ұсыныс» |
Оқулық |
|||
|
25 мин |
Бекіту тапсырма лары |
Тапсырма. А деңгейлі: Қарапайым тригонометриялық теңдеулерді шешіңіз: Мысалы:
cosx= Мұндағы:
Мысалы:
2сos(
Тригонометриялық теңдеулерді шешіңіз: (13 мин) Мысалы, 2sin2 x+sinx-1=0 теңдеуі берілген. Бұл теңдеуді шешу үшін
sinx=y алмастыруын жасаймыз. Сонда:
2у2+у-1=0 теңдеуін аламыз. D=1+4*2=9.
y1= 1. sinx=-1 x=
- Сонда бастапқы берілген
теңдеудің 2 шешімі бар екен:
х1 =
х2 =(-1)к |
Есептер шығарады Берілген тапсырма бойынша өз ойларын ортаға салып, пікірлерін білдіріп, топтық талдау жасайды. Талқылау нәтижесінде өзара бір келісімге келіп есепті орындайды. Сергіту сәті: Жұмбақтар шешу. 1. Алды-артымыз шенсіз де, Жете алмайсың біздерге Сәуле менен кесінді, Шыққан тегін білсе де (Түзу) 2. Нәрселерді санағанда Керек ол бізге ауадай Айтыңдаршы бұл қандай сан, Жан- жағыңа қарамай? (Натурал сан) 3. Бойы да екі қарыс, сиып тұр 25 арыс (Сызғыш) 4. Бірдей санды бірнеше рет Көбейтуден тұрады Егер оны ықшамдасаң, Қандай атау болады? (Дәреже) Өз бетімен жұмыс.
|
Дескриптор: -теңдеу шешу формуласын пайдаланады; -шешімін жазады;
ҚБ «Екi жұлдыз бiр тiлек» әдiсi .Бiрiн-бiрi бағалау |
Интернет ресурстары Жалпы білім беретін мектептің 10–сыныбына арналған оқулық. |
|||
|
|
Жеке жұмыс |
Оқулықтан №20.9, №20.10 |
Тапсырмаларды орындайды. |
|
Оқулық |
|||
|
5 минут |
|
Бүгінгі сабақта: - тригонометриялық теңдеулерді тригонометриялық өрнектерді түрлендіру формулаларын қолдану арқылы шеше алады; - тригонометриялық теңдеулерді қосымша аргумент енгізу әдісі арқылы шеше алады. Кері байланыс:
|
Тақырыпты меңгергенін анықтау Үйге тапсырма. №20.18. |
Кері байланыс |
|
|||
Қысқа мерзімді сабақ жоспары
№5 сабақ
Сабақтың тақырыбы: Нүктеден түзуге дейінгі қашықтық есептері
|
Бөлімі: |
Кеңістіктегі бұрыш. Кеңістіктегі арақашықтық
|
|
Педагогтің аты-жөні: |
Корпеш Ж |
|
Күні: |
19.11.2025 |
|
Сыныбы: 10 |
Қатысушылар саны: Қатыспағандар саны: |
|
Сабақтың тақырыбы: |
Кеңістіктегі арақашықтық |
|
Оқу бағдарламасына сәйкес оқу мақсаты: |
10.3.5 – кеңістіктегі перпендикуляр, көлбеу және көлбеудің проекциясы анықтамаларын білу |
|
Сабақтың мақсаты: |
Барлық оқушылар істей алады: кеңістіктегі перпендикуляр, көлбеу және көлбеудің проекциясы анықтамаларын біле алады Көптеген оқушылар істей алады: кеңістіктегі перпендикуляр, көлбеу және көлбеудің проекциясы анықтамаларын білуді үйренеді Кейбір оқушылар істей алады: кеңістіктегі перпендикуляр, көлбеу және көлбеудің проекциясы анықтамаларын білуге тырысады |
|
Бағалау критерийлері |
кеңістіктегі перпендикуляр, көлбеу және көлбеудің проекциясы анықтамаларын біледі |
Сабақтың барысы:
|
Сабақ кезеңі/ Уақыты |
Педагогтің іс-әрекеті |
Оқушының іс-әрекеті |
Бағалау |
Ресурстар |
|
Сабақтың басы 5 мин. Өткен сабақты тексеру 5мин. Топпен жұмыс |
Ұйымдастыру кезеңі Оқушылармен амандасу, түгендеу, сабаққа дайындығын бақылау. Ынтымақтастықты қалыптастыру, оқушылардың сенімділігін арттыру. Шаттық шеңбер "Жақсы тілек- жан жылуы " Топқа бөлу: І топ ІІ топ ІІІ топ Өткен сабақты тексеру Сұрақтарға жауап беру Өткен сабақтар бойынша сұрақ-жауап жүргіземіз. 1.Нүкте деген не? 2. түзу деген не? Одан кейін оқушыларды тағы да топтармен орындарын ауыстырып, яғни 1, 2 сандарға бөлу. Жаңа тақырыпты топқа бөлінген оқушыларға абзац арқылы оқытады. Мазмұнын түсіндіріп, кері байланыс береді. |
«Жақсы тілек- жан жылуы» оқушылар бір-бірлеріне тілектер айтып, жақсы көңіл күймен сабақты бастайды. Оқушылар сұрақтарға жауап береді. Мысалдар келтіреді. Әр топ өз міндеттерін орындайды. Әр топ өздерінің абзацтарын оқиды, бір-бірімен, жұппен, топпен өзара талқылайды. |
Дескриптор: -Өткен сабақтағы ережелерді қайталайды. Жалпы балл-2 Дескриптор: -Тақырыпты оқиды, топта талқылайды - Флипчартқа түсіреді , топта қорғайды. Жалпы балл-3 |
Қағаз қиындылары Үлестірме ДК экран Сұрақтар Әр топқа флипчарт , маркер, түрлі түсті фломастер беріледі. |
|
Сабақтың ортасы. 10 мин. |
Оқыту мақсатына жетуді бағалауға мүмкіндік беретін тапсырмалар: 1-тапсырма: Жазыңқы бұршытың төбесінен екі сәуле жүргізілген, олар оны ұш тең бөлікке бөледі. Ортаңғы бұрыштың биссектрисасы жазыңқы бұрыштың қабырғаларына перпендикуляр екендігін дәлелдеу керек. 2-тапсырма: АВ және СD перпендикуляр түзулері О нүктесінде қиылысады. ОЕ және ОF сәулелері ОD сәулесімен бір жарты жазықтықта жатады және <ЕОF=105, <ВОF=28°. DОF және DОЕ бұрыштарын табыңдар. |
Оқыту мақсатына жетуді бағалауға мүмкіндік беретін тапсырмаларға оқушылар жауап жазады. |
Дескриптор: -Тапсырмаларды орындайды. -Пікір алмасады. Жалпы балл -3 |
Слайд Кітап Дәптер |
|
Сабақтың соңы. 5 мин Синтез «Ойлан, тап!» (сабақты бекіту) 5мин Рефлекция Бағалау Үй тапсырмасы |
«Ойлан, тап!» (сабақты бекіту) А және b түзулерінің қиылысуында пайда болған бұрыштардың үшеуі өзара тең. а ┴ b екенін дәлелдендер. «Менің көңіл-күйім баспалдағы» Баспалдақтар «Керемет!», «Өзіме сенімдімін!», «Жақсы», «Жаман емес», «Маған көмек керек!», «Білмеймін», «Нашар» деп аталады. Әр тапсырманың бағалау критериилері бойынша 10 баллдық жүйемен бағалау Үй тапсырмасы: №2.12; №2.14 |
Оқушылар тапсырмамен жұмыс жасайды Оқушылар стикерлерге өз есімдерін жазып (немесе смайликтің суретін салып) тақтада салынған баспалдақтардың біріне жабыстырады. |
Дескриптор: -Тапсырманы түсініп, дәптерге орындайды. Жалпы балл-2 Жалпы тапсырмалар бойынша 10 балл |
Дк экран Дәптер Стикерлер смайликтер |
шағым қалдыра аласыз



см2
см2
см2
































