Алгебра және анализ бастамалары пәнінен кешенді диагностикалық тапсырмалардың сипаттамасы 10 сынып 2024-2025 оқу жылы
Ұзақтығы – 45 минут
Балл саны – 20
Тапсырмалар түрлері
КТБ – көп таңдауы бар тапсырмалар
ҚЖ – қысқа жауапты қажет ететін тапсырмалар
ТЖ – толық жауапты қажет ететін тапсырмалар
1 нұсқа
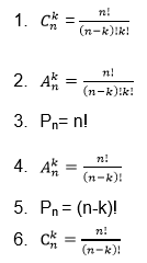
1. Сәйкестікті тап: (3 ұпай)
А
) алмастыру формуласы
В) қайталанбайтын теру формуласы
С) қайталанбайтын орналастыру формуласы
2. Теңдеулер жүйесін
шешіңіз:
(1 ұпай)
A) (2;2) B) (3; -1) C) (3; 1) D) ( -3; 1) E) (-3; -1).
3.
(
берілген,
ондағы
18,
Осы
прогрессияның алғашқы сегіз мүшесінің
қосындысын табыңыз. (1 қ)
A) 64 B) 68 C) 56 D) 58 E) 70 .
4. Өрнектің сандық мәнін
табыңыз :
(1 ұпай)
A)
1 B) -
1 C)
D)
-
E) 0
.
5. Мәнін
табыңыз cos
(
(3 ұпай)
6.
Тіктөртбұрыштың диагоналы
13 см, ал ауданының
мәні 60
Тіктөртбұрыштың периметрін
табыңыз.
(3 ұпай)
7.Өрнекті
ықшамдаңыз:
(1
(4 ұпай)
8. Кемімелі геометриялық прогрессияның бірінші және екінші мүшелерінің айырмасы 8, ал екінші және үшінші мүшелердің қосындысы 12-ге тең. Прогрессияның бірінші мүшесі мен еселігін табыңыз.
(4 ұпай)
Алгебра және анализ бастамалары пәнінен кешенді диагностикалық тапсырмалардың сипаттамасы 10 сынып 2024-2025 оқу жылы
Ұзақтығы – 45 минут
Балл саны – 20
Тапсырмалар түрлері
КТБ – көп таңдауы бар тапсырмалар
ҚЖ – қысқа жауапты қажет ететін тапсырмалар
ТЖ – толық жауапты қажет ететін тапсырмалар
2 нұсқа
1. Сәйкестікті тап: (3 ұпай)
А) қайталанбайтын
орналастыру формуласы
В) қайталанбайтын теру формуласы
С) Алмастыру формуласы
2. Теңдеулер жүйесін
шешіңіз:
(1 ұпай)
A) (4; 3) B) (3; -4) C) (3; 4) D) ( -3; 4) E) (-3; -4).
3.
(
)
берілген, ондағы
,
Осы
прогрессияның алғашқы сегіз мүшесінің
қосындысын табыңыз. (1 ұпай)
A) 10 B) 18 C) 8 D) 6 E) 7 .
4. Өрнектің сандық мәнін
табыңыз:
(1 ұпай)
A)
1 B) -
1 C)
-
D)
E) 0
.
5. Мәнін
табыңыз sin
(
(3 ұпай)
6. Тіктөртбұрыштың диагоналы 10 см, ал периметрі 28 см. Тіктөртбұрыштың ауданын табыңыз. (3 ұпай)
7. Өрнекті
ықшамдаңыз:
(1
(4 ұпай)
8. Өспелі геометриялық прогрессияның екінші және бірінші мүшелерінің айырмасы 6, ал төртінші және бірінші мүшелерінің айырмасы 42 ге тең. Прогрессияның бірінші мүшесі мен еселігін табыңыз. (4 ұпай)
|
Критерий |
№ тапсырма |
Дескриптор |
Балл |
|
Комбинаторика формулаларын ажыратады. |
1 |
алмастыру формуласын табады |
1 |
|
қайталанбайтын орналастыру формуласын табады |
1 |
||
|
қайталанбайтын теру формуласын табады. |
1 |
||
|
Екі айнымалысы бар сызықтық емес теңдеулер жүйесін шешеді |
2 |
Қосу әдісімен теңдеулер жүйесін шешеді |
1 |
|
Арифметикалық прогрессиялардың n-ші мүшесін, алғашқы n мүшелерінің қосындысын есептейді |
3 |
Арифметикалық прогрессияның алғашқы n мүшелерінің қосындысын табу формуласын қолданады |
1 |
|
Өрнектің сандық мәнін табады |
4 |
Тригонометриялық функциялардың мәндерін қолданады және өрнектің мәнін табады |
1 |
|
Тригонометриялық функцияның мәнін табу кезінде негізгі тригонометриялық тепе теңдіктерді қолданады |
5 |
Келтіру формуласын қолданады |
1 |
|
Негізгі тригонометриялық тепе теңдіктерді қолданады |
1 |
||
|
тригонометриялық функциялардың ширектегі таңбаларын анықтайды |
1 |
||
|
Мәтіндік есептерді теңдеулер жүйесін қолдана отырып шешеді |
6 |
Айнымалыларды енгізеді |
1 |
|
Теңдеулер жүйесін құрады |
1 |
||
|
Тіктөртбұрыштың периметрін (ауданын) табады |
1 |
||
|
Тригонометриялық өрнекті ықшамдайды |
7 |
Қос бұрыш формуласын қолданады |
1 |
|
Котангентті (тангенсті) басқа тригонометриялық функциялар арқылы өрнектейді. |
1 |
||
|
Түрлендірулер жүргізеді |
1 |
||
|
Қос бұрыш формуласын қолданады |
1 |
||
|
Геометриялық прогрессияның бірінші мүшесін және еселігін анықтайды. |
8 |
Геометриялық прогрессияның n-ші мүшесінің формуласын қолданады |
1 |
|
Теңдеулер жүйесін құрады |
1 |
||
|
Геометриялық прогрессияның еселігін табады. |
1 |
||
|
Геометриялық прогрессияның бірінші мүшесін табады. |
1 |
||
|
Барлығы |
20 ұпай |
||
жүктеу мүмкіндігіне ие боласыз
Бұл материал сайт қолданушысы жариялаған. Материалдың ішінде жазылған барлық ақпаратқа жауапкершілікті жариялаған қолданушы жауап береді. Ұстаз тілегі тек ақпаратты таратуға қолдау көрсетеді. Егер материал сіздің авторлық құқығыңызды бұзған болса немесе басқа да себептермен сайттан өшіру керек деп ойласаңыз осында жазыңыз
10 алгебра 0-дік бақылау срез 2024-2025жыл
10 алгебра 0-дік бақылау срез 2024-2025жыл
Алгебра және анализ бастамалары пәнінен кешенді диагностикалық тапсырмалардың сипаттамасы 10 сынып 2024-2025 оқу жылы
Ұзақтығы – 45 минут
Балл саны – 20
Тапсырмалар түрлері
КТБ – көп таңдауы бар тапсырмалар
ҚЖ – қысқа жауапты қажет ететін тапсырмалар
ТЖ – толық жауапты қажет ететін тапсырмалар
1 нұсқа
1. Сәйкестікті тап: (3 ұпай)
А
) алмастыру формуласы
В) қайталанбайтын теру формуласы
С) қайталанбайтын орналастыру формуласы
2. Теңдеулер жүйесін
шешіңіз:
(1 ұпай)
A) (2;2) B) (3; -1) C) (3; 1) D) ( -3; 1) E) (-3; -1).
3.
(
берілген,
ондағы
18,
Осы
прогрессияның алғашқы сегіз мүшесінің
қосындысын табыңыз. (1 қ)
A) 64 B) 68 C) 56 D) 58 E) 70 .
4. Өрнектің сандық мәнін
табыңыз :
(1 ұпай)
A)
1 B) -
1 C)
D)
-
E) 0
.
5. Мәнін
табыңыз cos
(
(3 ұпай)
6.
Тіктөртбұрыштың диагоналы
13 см, ал ауданының
мәні 60
Тіктөртбұрыштың периметрін
табыңыз.
(3 ұпай)
7.Өрнекті
ықшамдаңыз:
(1
(4 ұпай)
8. Кемімелі геометриялық прогрессияның бірінші және екінші мүшелерінің айырмасы 8, ал екінші және үшінші мүшелердің қосындысы 12-ге тең. Прогрессияның бірінші мүшесі мен еселігін табыңыз.
(4 ұпай)
Алгебра және анализ бастамалары пәнінен кешенді диагностикалық тапсырмалардың сипаттамасы 10 сынып 2024-2025 оқу жылы
Ұзақтығы – 45 минут
Балл саны – 20
Тапсырмалар түрлері
КТБ – көп таңдауы бар тапсырмалар
ҚЖ – қысқа жауапты қажет ететін тапсырмалар
ТЖ – толық жауапты қажет ететін тапсырмалар
2 нұсқа
1. Сәйкестікті тап: (3 ұпай)
А) қайталанбайтын
орналастыру формуласы
В) қайталанбайтын теру формуласы
С) Алмастыру формуласы
2. Теңдеулер жүйесін
шешіңіз:
(1 ұпай)
A) (4; 3) B) (3; -4) C) (3; 4) D) ( -3; 4) E) (-3; -4).
3.
(
)
берілген, ондағы
,
Осы
прогрессияның алғашқы сегіз мүшесінің
қосындысын табыңыз. (1 ұпай)
A) 10 B) 18 C) 8 D) 6 E) 7 .
4. Өрнектің сандық мәнін
табыңыз:
(1 ұпай)
A)
1 B) -
1 C)
-
D)
E) 0
.
5. Мәнін
табыңыз sin
(
(3 ұпай)
6. Тіктөртбұрыштың диагоналы 10 см, ал периметрі 28 см. Тіктөртбұрыштың ауданын табыңыз. (3 ұпай)
7. Өрнекті
ықшамдаңыз:
(1
(4 ұпай)
8. Өспелі геометриялық прогрессияның екінші және бірінші мүшелерінің айырмасы 6, ал төртінші және бірінші мүшелерінің айырмасы 42 ге тең. Прогрессияның бірінші мүшесі мен еселігін табыңыз. (4 ұпай)
|
Критерий |
№ тапсырма |
Дескриптор |
Балл |
|
Комбинаторика формулаларын ажыратады. |
1 |
алмастыру формуласын табады |
1 |
|
қайталанбайтын орналастыру формуласын табады |
1 |
||
|
қайталанбайтын теру формуласын табады. |
1 |
||
|
Екі айнымалысы бар сызықтық емес теңдеулер жүйесін шешеді |
2 |
Қосу әдісімен теңдеулер жүйесін шешеді |
1 |
|
Арифметикалық прогрессиялардың n-ші мүшесін, алғашқы n мүшелерінің қосындысын есептейді |
3 |
Арифметикалық прогрессияның алғашқы n мүшелерінің қосындысын табу формуласын қолданады |
1 |
|
Өрнектің сандық мәнін табады |
4 |
Тригонометриялық функциялардың мәндерін қолданады және өрнектің мәнін табады |
1 |
|
Тригонометриялық функцияның мәнін табу кезінде негізгі тригонометриялық тепе теңдіктерді қолданады |
5 |
Келтіру формуласын қолданады |
1 |
|
Негізгі тригонометриялық тепе теңдіктерді қолданады |
1 |
||
|
тригонометриялық функциялардың ширектегі таңбаларын анықтайды |
1 |
||
|
Мәтіндік есептерді теңдеулер жүйесін қолдана отырып шешеді |
6 |
Айнымалыларды енгізеді |
1 |
|
Теңдеулер жүйесін құрады |
1 |
||
|
Тіктөртбұрыштың периметрін (ауданын) табады |
1 |
||
|
Тригонометриялық өрнекті ықшамдайды |
7 |
Қос бұрыш формуласын қолданады |
1 |
|
Котангентті (тангенсті) басқа тригонометриялық функциялар арқылы өрнектейді. |
1 |
||
|
Түрлендірулер жүргізеді |
1 |
||
|
Қос бұрыш формуласын қолданады |
1 |
||
|
Геометриялық прогрессияның бірінші мүшесін және еселігін анықтайды. |
8 |
Геометриялық прогрессияның n-ші мүшесінің формуласын қолданады |
1 |
|
Теңдеулер жүйесін құрады |
1 |
||
|
Геометриялық прогрессияның еселігін табады. |
1 |
||
|
Геометриялық прогрессияның бірінші мүшесін табады. |
1 |
||
|
Барлығы |
20 ұпай |
||
шағым қалдыра аласыз













