Бекітемін:
|
Бөлім: |
Ықтималдық |
||||||
|
Педагогтің аты-жөні: |
|
||||||
|
Күні: |
|
||||||
|
Сынып: 10 |
Қатысқандар саны: Қатыспағандар саны: |
||||||
|
Сабақтың тақырыбы: |
Нақты құбылыстар мен процесстердің ықтымалдық моделдері. |
||||||
|
Оқу бағдарламасына сәйкес оқыту мақсаттары: |
10.4.2.3 –нақты құбылыстар мен процесстердің ықтымалдық модельдерін құру |
||||||
|
Сабақтың мақсаты: |
нақты құбылыстар мен процестердің ықтималдық модельдерін құрса. |
||||||
|
Құндылықтар: |
Бірлік және ынтымақ - Командада жұмыс істей білу ; -Өзгелерге мейірімділік, жанашырлық таныта білу ; - Айналасындағыларға көмек көрсету; Әділдік және жауапкершілік - Басқалар үшін маңызды тапсырмаларды орындаудың қажеттілігі мен маңыздылығын түсіну. - Бастаған ісін соңына дейін жеткізе білу |
||||||
|
Уақыты/ кезеңдері |
Педагогтің әрекеті |
Оқушының әрекеті |
Бағалау |
Ресурстар |
|||
|
Ұйымдас- тыру кезеңі 5мин |
Сәлемдесу; Сыныптағы оқушылардың көңіл күйлерін сұрап, жағымды ахуал туындату; Оқушыларды түгелдеу; Сабақтың мақсатымен таныстыру |
Мұғаліммен сәлемдесу; Сыныпта жағымды ахуал туындату, бір-біріне жақсы тілектерін білдіру; Сабақтың мақсатын мұғаліммен бірге ашу, сұрақтар туындаса мұғалімнің көмегіне жүгіну |
Ауызша бағалауды қоданамын «Өте жақсы» «Жарайсың» |
Тақта; Оқулық; |
|||
|
Сабақтың басы 10 минут |
Бүгінгі тақырыпты қысқаша слайдпен түсіндіреді, мысалдар келтіреді «Ықтималдық модельдер» тақырыбына мысалдар. 1-мысал. Жәшікте 5 апельсин және 4 алма бар. Жәшіктен кездейсоқ 3 жеміс алынды. Алынған үш жемістің апельсин болуының ықтималдығы қандай? Шешуі:
2-мысал. Мұғалім үш оқушының әрқайсысына 1-ден 10-ға дейінгі кез келген санды ойлауды ұсынды. Әрбір оқушы үшін берілген сандардың ішінен кез келген санды таңдау мүмкіндіктері тең деп есептеп, олардың ойлаған сандарының бірдей болуының ықтималдығын тап. Шешуі: Барлық әдістер саны: 10·10·10=1000. Бірдей сандар
болмайтын сандардың жалпы әдістер саны 10·9·8=720. Бірдей сандар
болатын әдістер саны 280. Сонымен, ізделінді
ықтималдық 3-мысал. Ойын текшесі 6 рет лақтырылды. 3 рет «алтылық» түсуінің ықтималдығын тап. Шешуі:
|
Мактау мадақтау арқылы бағалау: |
Тақта; Слайд; Оқулық |
||||
|
Сабақтың ортасы 25минут |
Есептер шығару №1. Тиын 3 рет лақтырылды. Елтаңба жағымен түсуінің ең ықтимал санын тап. Шешуі: Бұл кестеден ең ықтимал мәндер 1 мен 2 сандары екендігі көрініп тұр. (олардың ықтималдықтары 3/8 тең). №2. Дүкенге 30 жаңа теледидар әкелінді, оның ішінде 5-уінің жасырын ақаулары бар. Сатып алынған теледидардың жасырын ақауы жоқ болуының ықтималдығын тап. Жауабы: 5/6. Өз бетімен жұмыс. Өздік жұмысы.
Шешуі:
Шешуі:
Оқулықтан №29.10. |
«Басбармақ» әдісімен бір – бірін бағалау жүргізіледі |
Тақта; Слайд; Оқулық 10-сынып, Алгебра, авторы Әбілқасымова А.Е. т.б. |
||||
|
|
29.11. Цехта дайындалған тетіктердің 90%-ы стандартка сай. Тауардың сапалылығын тексерудің карапайым әдісі тауардың стандартка сай деп тануының ыктималдығы 0,96. стандарка сай емес деп тануының ықтималдығы 0.06. 1) Кездейсок тандап алынған тетік сапалык тексерістен сәтті өтуінін: 2) сапалык тексерістен сәтті өткен тетіктін стандартка сай болуының ыкималдығын табындар |
29.12. Тігін шеберханасында тігілген тауардың 4%-ы
стандартка сай емес. Тексеріске алынған 30 тауардың ішінде екеуінің
стандартка |
|
Тақта Бор Кітап Дәптер Интерактивті тақта Бағалау парақтары |
|||
|
|
29.13. Егер А окиғасының орындалу саны 4-тен кем болмаса, онда В окиғасы орындалады. Егер әркайсысында А окигасының орындалу ыктималдығы 0,8-ге тен болатын 5 тәуелсіз тәжірибе жасалса,онда В окигасының орындалу ыктималдығын табындар.
|
29.14. Тетіктерді
дайындау
барысында жұмысшының
жарамсыз тетік ыктималдығы 0,3. Осы жұмысшы дайындаган 200 тетіктің ішінде жарамсыз тетіктердің ең ыктимал санын табындар.
|
|
|
|||
|
Жұппен жұмыс |
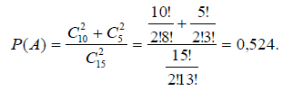
Жеке оқушымен жұмыс. №1.Шеберде 10 бөлшек бар, олардың ішінде 3-уі стандарт емес. Ол бөлшектерді, ішінен стандарт бөлшекті тапқанға дейін, бірінен соң бірін алып тексерді. Оның дәл екі бөлшекті тексеруінің ықтималдығы қандай? |
Шешуі:
|
ҚБ: «Плюс, минус, қызықты» әдісі арқылы оқушылар бірін бірі бағалайды |
Тақта Бор Кітап Дәптер Интерактивті тақта Бағалау парақтары |
|||
|
Сабақтың соңы 5 минут |
Қорытындылау. Рефлексия. Тіркесті толықтырыңыз: «Бүгін мен сабақта ... білдім» «Бүгін мен сабақта ... үйрендім» «Бүгін мен сабақта ... таныстым» «Бүгін мен сабақта ... қайталадым» «Бүгін мен сабақта ... бекіттім» Үй тапсырмасын беремін |
Сабақты қорытындылау: Өтілген мақсат бойынша сұрақтар қою арқылы сабақты қорытындылаймын. Сабақ соңында оқушылардан рефлексия алу: - тақырып бойынша не білемін? - тағы не білгім келеді? - не істей аламын? |
Ынталандыру сөздерін қолдану «жақсы», «жарайсың», «өте жақсы» 1-10 баллдық жүйеде бағаланады |
Бағалау парақтары; оқулық; |
|||
жүктеу мүмкіндігіне ие боласыз
Бұл материал сайт қолданушысы жариялаған. Материалдың ішінде жазылған барлық ақпаратқа жауапкершілікті жариялаған қолданушы жауап береді. Ұстаз тілегі тек ақпаратты таратуға қолдау көрсетеді. Егер материал сіздің авторлық құқығыңызды бұзған болса немесе басқа да себептермен сайттан өшіру керек деп ойласаңыз осында жазыңыз
10 сынып алгебра 32 сабақ Нақты құбылыстар мен процесстердің ықтымалдық моделдері.
10 сынып алгебра 32 сабақ Нақты құбылыстар мен процесстердің ықтымалдық моделдері.
Бекітемін:
|
Бөлім: |
Ықтималдық |
||||||
|
Педагогтің аты-жөні: |
|
||||||
|
Күні: |
|
||||||
|
Сынып: 10 |
Қатысқандар саны: Қатыспағандар саны: |
||||||
|
Сабақтың тақырыбы: |
Нақты құбылыстар мен процесстердің ықтымалдық моделдері. |
||||||
|
Оқу бағдарламасына сәйкес оқыту мақсаттары: |
10.4.2.3 –нақты құбылыстар мен процесстердің ықтымалдық модельдерін құру |
||||||
|
Сабақтың мақсаты: |
нақты құбылыстар мен процестердің ықтималдық модельдерін құрса. |
||||||
|
Құндылықтар: |
Бірлік және ынтымақ - Командада жұмыс істей білу ; -Өзгелерге мейірімділік, жанашырлық таныта білу ; - Айналасындағыларға көмек көрсету; Әділдік және жауапкершілік - Басқалар үшін маңызды тапсырмаларды орындаудың қажеттілігі мен маңыздылығын түсіну. - Бастаған ісін соңына дейін жеткізе білу |
||||||
|
Уақыты/ кезеңдері |
Педагогтің әрекеті |
Оқушының әрекеті |
Бағалау |
Ресурстар |
|||
|
Ұйымдас- тыру кезеңі 5мин |
Сәлемдесу; Сыныптағы оқушылардың көңіл күйлерін сұрап, жағымды ахуал туындату; Оқушыларды түгелдеу; Сабақтың мақсатымен таныстыру |
Мұғаліммен сәлемдесу; Сыныпта жағымды ахуал туындату, бір-біріне жақсы тілектерін білдіру; Сабақтың мақсатын мұғаліммен бірге ашу, сұрақтар туындаса мұғалімнің көмегіне жүгіну |
Ауызша бағалауды қоданамын «Өте жақсы» «Жарайсың» |
Тақта; Оқулық; |
|||
|
Сабақтың басы 10 минут |
Бүгінгі тақырыпты қысқаша слайдпен түсіндіреді, мысалдар келтіреді «Ықтималдық модельдер» тақырыбына мысалдар. 1-мысал. Жәшікте 5 апельсин және 4 алма бар. Жәшіктен кездейсоқ 3 жеміс алынды. Алынған үш жемістің апельсин болуының ықтималдығы қандай? Шешуі:
2-мысал. Мұғалім үш оқушының әрқайсысына 1-ден 10-ға дейінгі кез келген санды ойлауды ұсынды. Әрбір оқушы үшін берілген сандардың ішінен кез келген санды таңдау мүмкіндіктері тең деп есептеп, олардың ойлаған сандарының бірдей болуының ықтималдығын тап. Шешуі: Барлық әдістер саны: 10·10·10=1000. Бірдей сандар
болмайтын сандардың жалпы әдістер саны 10·9·8=720. Бірдей сандар
болатын әдістер саны 280. Сонымен, ізделінді
ықтималдық 3-мысал. Ойын текшесі 6 рет лақтырылды. 3 рет «алтылық» түсуінің ықтималдығын тап. Шешуі:
|
Мактау мадақтау арқылы бағалау: |
Тақта; Слайд; Оқулық |
||||
|
Сабақтың ортасы 25минут |
Есептер шығару №1. Тиын 3 рет лақтырылды. Елтаңба жағымен түсуінің ең ықтимал санын тап. Шешуі: Бұл кестеден ең ықтимал мәндер 1 мен 2 сандары екендігі көрініп тұр. (олардың ықтималдықтары 3/8 тең). №2. Дүкенге 30 жаңа теледидар әкелінді, оның ішінде 5-уінің жасырын ақаулары бар. Сатып алынған теледидардың жасырын ақауы жоқ болуының ықтималдығын тап. Жауабы: 5/6. Өз бетімен жұмыс. Өздік жұмысы.
Шешуі:
Шешуі:
Оқулықтан №29.10. |
«Басбармақ» әдісімен бір – бірін бағалау жүргізіледі |
Тақта; Слайд; Оқулық 10-сынып, Алгебра, авторы Әбілқасымова А.Е. т.б. |
||||
|
|
29.11. Цехта дайындалған тетіктердің 90%-ы стандартка сай. Тауардың сапалылығын тексерудің карапайым әдісі тауардың стандартка сай деп тануының ыктималдығы 0,96. стандарка сай емес деп тануының ықтималдығы 0.06. 1) Кездейсок тандап алынған тетік сапалык тексерістен сәтті өтуінін: 2) сапалык тексерістен сәтті өткен тетіктін стандартка сай болуының ыкималдығын табындар |
29.12. Тігін шеберханасында тігілген тауардың 4%-ы
стандартка сай емес. Тексеріске алынған 30 тауардың ішінде екеуінің
стандартка |
|
Тақта Бор Кітап Дәптер Интерактивті тақта Бағалау парақтары |
|||
|
|
29.13. Егер А окиғасының орындалу саны 4-тен кем болмаса, онда В окиғасы орындалады. Егер әркайсысында А окигасының орындалу ыктималдығы 0,8-ге тен болатын 5 тәуелсіз тәжірибе жасалса,онда В окигасының орындалу ыктималдығын табындар.
|
29.14. Тетіктерді
дайындау
барысында жұмысшының
жарамсыз тетік ыктималдығы 0,3. Осы жұмысшы дайындаган 200 тетіктің ішінде жарамсыз тетіктердің ең ыктимал санын табындар.
|
|
|
|||
|
Жұппен жұмыс |
Жеке оқушымен жұмыс. №1.Шеберде 10 бөлшек бар, олардың ішінде 3-уі стандарт емес. Ол бөлшектерді, ішінен стандарт бөлшекті тапқанға дейін, бірінен соң бірін алып тексерді. Оның дәл екі бөлшекті тексеруінің ықтималдығы қандай? |
Шешуі:
|
ҚБ: «Плюс, минус, қызықты» әдісі арқылы оқушылар бірін бірі бағалайды |
Тақта Бор Кітап Дәптер Интерактивті тақта Бағалау парақтары |
|||
|
Сабақтың соңы 5 минут |
Қорытындылау. Рефлексия. Тіркесті толықтырыңыз: «Бүгін мен сабақта ... білдім» «Бүгін мен сабақта ... үйрендім» «Бүгін мен сабақта ... таныстым» «Бүгін мен сабақта ... қайталадым» «Бүгін мен сабақта ... бекіттім» Үй тапсырмасын беремін |
Сабақты қорытындылау: Өтілген мақсат бойынша сұрақтар қою арқылы сабақты қорытындылаймын. Сабақ соңында оқушылардан рефлексия алу: - тақырып бойынша не білемін? - тағы не білгім келеді? - не істей аламын? |
Ынталандыру сөздерін қолдану «жақсы», «жарайсың», «өте жақсы» 1-10 баллдық жүйеде бағаланады |
Бағалау парақтары; оқулық; |
|||
шағым қалдыра аласыз



















