Бекітемін:
|
Бөлім: |
Иррационал теңдеулер мен теңсіздіктер |
|||||
|
Педагогтің аты-жөні: |
|
|||||
|
Күні: |
|
|||||
|
Сынып: 11 |
Қатысқандар саны: Қатыспағандар саны: |
|||||
|
Сабақтың тақырыбы: |
Иррационал теңдеулер мен олардың жүйелері |
|||||
|
Оқу бағдарламасына сәйкес оқыту мақсаттары: |
11.2.2.4 - иррационал теңдеулер жүйелерін шеше алу; |
|||||
|
Сабақтың мақсаты: |
иррационал теңдеулер жүйелерін шешу |
|||||
|
Құндылықтар: |
Бірлік және ынтымақ - Командада жұмыс істей білу ; -Өзгелерге мейірімділік, жанашырлық таныта білу ; - Айналасындағыларға көмек көрсету; Әділдік және жауапкершілік - Басқалар үшін маңызды тапсырмаларды орындаудың қажеттілігі мен маңыздылығын түсіну. - Бастаған ісін соңына дейін жеткізе білу |
|||||
|
Сабақ барысы: |
||||||
|
Уақыты/ кезеңдері |
Педагогтің әрекеті |
Оқушының әрекеті |
Бағалау |
Ресурстар |
||
|
Ұйымдас- тыру кезеңі 5мин |
Сәлемдесу; Сыныптағы оқушылардың көңіл күйлерін сұрап, жағымды ахуал туындату; Оқушыларды түгелдеу; Сабақтың мақсатымен таныстыру |
Мұғаліммен сәлемдесу; Сыныпта жағымды ахуал туындату, бір-біріне жақсы тілектерін білдіру; Сабақтың мақсатын мұғаліммен бірге ашу, сұрақтар туындаса мұғалімнің көмегіне жүгіну |
Ауызша бағалауды қоданамын «Өте жақсы» «Жарайсың» |
Тақта; Оқулық; |
||
|
Сабақтың басы 10минут
|
Жаңа тақырыпты түсіндіру §14. Иррационал теңдеулер және олардың жүйелері Анықтама. Құрамында иррационал теңдеуі бар жүйені иррационал теңдеулер жүйесі д.а. Иррационал теңдеулер жүйесін шығарған кезде рационал теңдеулерді және рационал теңдеулер жүйесін шешу тәсілдері қолданылады. Мысал қарастырайық.
Шешуі:
Соңғы теңдеулер жүйесін алмастыру тәсілін қолданып,
a=2, b=3 және a=3 , b=2 мәндерін аламыз.
Енді белгілеулерін ескеріп, х және у айнымалыларының мәндерін табамыз.
Тексеру:
1) |
Мұғалім ұйымдастыру кезеңінде белсенділік танытқан оқушыларды «Мадақтау сөз» әдісіарқылы бағалайды: «Жарайсың! Жақсы! Өте жақсы! Талпын!» |
Тақта; Слайд; Оқулық 11-сынып, Алгебра және анализ бастамалары, авторы Абылкасымова және т.б...-Алматы, Мектеп 2020 |
|||
|
Сабақтың ортасы 25минут |
Бекіту тапсырмасын орындату №14.5 Теңдеулер жүйесін шеш
|
Есептер шығару №14.11 Теңдеулер жүйесін шеш
|
ҚБ: Дайын жауаптар көмегімен бірін-бірі бағалау «+ немесе -» әдісі |
Кітап Дәптер Интерактивті тақта |
||
|
|
Есептер қиықшаларда
беріледі) |
Дайын жауаптар көмегімен бірін-бірі бағалау «+ немесе -» әдісі |
Кітап Дәптер Интерактивті тақта |
|||
|
|
Жұптық жұмыс
Тапсырма
1.
Тапсырма
2.
Тапсырма
3. |
ҚБ: Дескриптор көмегімен оқушылар жұпта бір-бірін бағалайды немесе мұғалім өзі бағалайды . Мұғалім кері байланыс береді. |
Кітап Дәптер Интерактивті тақта Бағалау парақтары |
|||
|
|
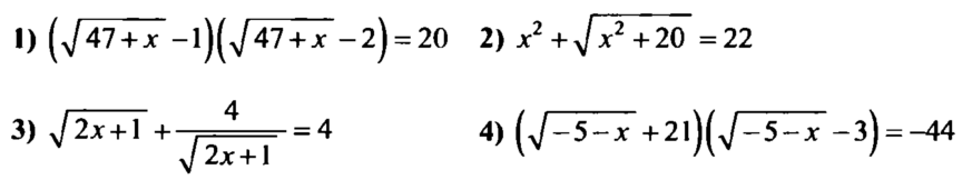
А – деңгей.
1. Теңдеуді
шешіңіз:
2. Теңдеуді
шешіңіз:
3. Теңдеуді
шешіңіз: В – деңгей.
4. А) [3;21); B) [3;21]; C) [0; 20]; D) (21;30); E) (-28;21).
5. Теңдеуді
шешіңіз:
6. Теңдеуді
шешіңіз: С – деңгей. 7. Теңдеудің үлкен түбірін табыңыз:
Келесі тапсырманың шешуін қарастырыңыз. |
|
|
|||
|
Сабақтың соңы 5 минут |
Үй жұмысы: Сабақ соңында рефлексия жүргіземіз. (3 минут) «Сөйлемді жалғастыр» (дәптерге жазады). Бүгінгі сабақта... білдім … үйрендім … қиындық туындады … әлі де жұмыстануым керек … маған қызық болды? Оқушылар «теңгерім дөңгелегін»толтырады. Оқушылар жетістік критерийлері бойынша таңдау жасайды, неге ? деген сұраққа жауап береді. Үйге тапсырма:№ |
Бағалау Оқушылар жеке орындап болған соң дайын жауаптар мен дескрипторлар бойынша бағалайды. Мұғалім оқушылар жұмысын бақылап, оларға кері байланыс береді. |
Тақта Бор Кітап Дәптер Интерактивті тақта Бағалау парақтары |
|||
жүктеу мүмкіндігіне ие боласыз
Бұл материал сайт қолданушысы жариялаған. Материалдың ішінде жазылған барлық ақпаратқа жауапкершілікті жариялаған қолданушы жауап береді. Ұстаз тілегі тек ақпаратты таратуға қолдау көрсетеді. Егер материал сіздің авторлық құқығыңызды бұзған болса немесе басқа да себептермен сайттан өшіру керек деп ойласаңыз осында жазыңыз
11 сынып алгебра 2 тоқсан 23 сабақ Иррационал теңдеулер мен олардың жүйелері
Бекітемін:
|
Бөлім: |
Иррационал теңдеулер мен теңсіздіктер |
|||||
|
Педагогтің аты-жөні: |
|
|||||
|
Күні: |
|
|||||
|
Сынып: 11 |
Қатысқандар саны: Қатыспағандар саны: |
|||||
|
Сабақтың тақырыбы: |
Иррационал теңдеулер мен олардың жүйелері |
|||||
|
Оқу бағдарламасына сәйкес оқыту мақсаттары: |
11.2.2.4 - иррационал теңдеулер жүйелерін шеше алу; |
|||||
|
Сабақтың мақсаты: |
иррационал теңдеулер жүйелерін шешу |
|||||
|
Құндылықтар: |
Бірлік және ынтымақ - Командада жұмыс істей білу ; -Өзгелерге мейірімділік, жанашырлық таныта білу ; - Айналасындағыларға көмек көрсету; Әділдік және жауапкершілік - Басқалар үшін маңызды тапсырмаларды орындаудың қажеттілігі мен маңыздылығын түсіну. - Бастаған ісін соңына дейін жеткізе білу |
|||||
|
Сабақ барысы: |
||||||
|
Уақыты/ кезеңдері |
Педагогтің әрекеті |
Оқушының әрекеті |
Бағалау |
Ресурстар |
||
|
Ұйымдас- тыру кезеңі 5мин |
Сәлемдесу; Сыныптағы оқушылардың көңіл күйлерін сұрап, жағымды ахуал туындату; Оқушыларды түгелдеу; Сабақтың мақсатымен таныстыру |
Мұғаліммен сәлемдесу; Сыныпта жағымды ахуал туындату, бір-біріне жақсы тілектерін білдіру; Сабақтың мақсатын мұғаліммен бірге ашу, сұрақтар туындаса мұғалімнің көмегіне жүгіну |
Ауызша бағалауды қоданамын «Өте жақсы» «Жарайсың» |
Тақта; Оқулық; |
||
|
Сабақтың басы 10минут
|
Жаңа тақырыпты түсіндіру §14. Иррационал теңдеулер және олардың жүйелері Анықтама. Құрамында иррационал теңдеуі бар жүйені иррационал теңдеулер жүйесі д.а. Иррационал теңдеулер жүйесін шығарған кезде рационал теңдеулерді және рационал теңдеулер жүйесін шешу тәсілдері қолданылады. Мысал қарастырайық.
Шешуі:
Соңғы теңдеулер жүйесін алмастыру тәсілін қолданып,
a=2, b=3 және a=3 , b=2 мәндерін аламыз.
Енді белгілеулерін ескеріп, х және у айнымалыларының мәндерін табамыз.
Тексеру:
1) |
Мұғалім ұйымдастыру кезеңінде белсенділік танытқан оқушыларды «Мадақтау сөз» әдісіарқылы бағалайды: «Жарайсың! Жақсы! Өте жақсы! Талпын!» |
Тақта; Слайд; Оқулық 11-сынып, Алгебра және анализ бастамалары, авторы Абылкасымова және т.б...-Алматы, Мектеп 2020 |
|||
|
Сабақтың ортасы 25минут |
Бекіту тапсырмасын орындату №14.5 Теңдеулер жүйесін шеш
|
Есептер шығару №14.11 Теңдеулер жүйесін шеш
|
ҚБ: Дайын жауаптар көмегімен бірін-бірі бағалау «+ немесе -» әдісі |
Кітап Дәптер Интерактивті тақта |
||
|
|
Есептер қиықшаларда
беріледі) |
Дайын жауаптар көмегімен бірін-бірі бағалау «+ немесе -» әдісі |
Кітап Дәптер Интерактивті тақта |
|||
|
|
Жұптық жұмыс
Тапсырма
1.
Тапсырма
2.
Тапсырма
3. |
ҚБ: Дескриптор көмегімен оқушылар жұпта бір-бірін бағалайды немесе мұғалім өзі бағалайды . Мұғалім кері байланыс береді. |
Кітап Дәптер Интерактивті тақта Бағалау парақтары |
|||
|
|
А – деңгей.
1. Теңдеуді
шешіңіз:
2. Теңдеуді
шешіңіз:
3. Теңдеуді
шешіңіз: В – деңгей.
4. А) [3;21); B) [3;21]; C) [0; 20]; D) (21;30); E) (-28;21).
5. Теңдеуді
шешіңіз:
6. Теңдеуді
шешіңіз: С – деңгей. 7. Теңдеудің үлкен түбірін табыңыз:
Келесі тапсырманың шешуін қарастырыңыз. |
|
|
|||
|
Сабақтың соңы 5 минут |
Үй жұмысы: Сабақ соңында рефлексия жүргіземіз. (3 минут) «Сөйлемді жалғастыр» (дәптерге жазады). Бүгінгі сабақта... білдім … үйрендім … қиындық туындады … әлі де жұмыстануым керек … маған қызық болды? Оқушылар «теңгерім дөңгелегін»толтырады. Оқушылар жетістік критерийлері бойынша таңдау жасайды, неге ? деген сұраққа жауап береді. Үйге тапсырма:№ |
Бағалау Оқушылар жеке орындап болған соң дайын жауаптар мен дескрипторлар бойынша бағалайды. Мұғалім оқушылар жұмысын бақылап, оларға кері байланыс береді. |
Тақта Бор Кітап Дәптер Интерактивті тақта Бағалау парақтары |
|||
шағым қалдыра аласыз


















