11 сынып ЖМБ №27
ДӘІЖО___________
Қазақстан Республикасының
Білім және ғылым министрлігі
«»
КММ
(білім беру ұйымының
атауы)
Қысқа мерзімді (сабақ) жоспары
Практикада қолданылуы.
Этикалық аспектісі.§31. Практикада қолданылуы. Этикалық
аспектісі.
БЖБ (20-мин)
(Сабақ тақырыбы)
|
Бөлім: |
Өсу және даму |
|
Педагогтің аты-жөні: |
|
|
Күні: |
|
|
Сыныбы: 11 «ә» ЖМБ |
Қатысушылар саны: Қатыспағандар саны: |
|
Сабақтың тақырыбы: |
Практикада қолданылуы. Этикалық аспектісі.§31. Практикада қолданылуы. Этикалық аспектісі. БЖБ (20-мин) |
|
Оқу бағдарламасына сәйкес оқу мақсаты |
11.2.3.1 - бағаналы жасушалардың мамандану үдерісін және олардың практикалық қолданылуын түсіндіру; |
|
Сабақтың мақсаты: |
бағаналы жасушалардың мамандану үдерісін және олардың практикалық қолданылуын түсіндіреді және өсу және даму бөлімі бойынша жиынтық бағалау тапсырмаларын орындайды; |
Сабақтың барысы:
|
Сабақ кезеңі |
Мұғалімнің әрекеті |
Оқушының әрекеті |
Бағалау |
Ресурстар |
|
Сабақтың басы Бұрынғы білімін еске түсіру |
Оқушылармен амандасу, түгендеу, сынып тәртібін қадағалау. «Бір қадам алға..» әдісі арқылы өткен материалды және үй жұмысын пысықтау мақсатында тапсырма беру. Бағаналы жасушалар Эмбрион Соматикалық Феталдық Жасушалардың көбеюі Эмбиобласт Донор Реципиент |
Оқушылар амандасады, сынып тәртібін сақтайды. Оқушылар үй жұмысы бойынша өткен білімдерін еске түсіреді. Берілген тапсырманы орындайды. |
Дескриптор: -әр кілт сөздердің дұрыс мазмұнын сипаттағаны үшін -1 балл; |
Интерактивті панель Презентация Биология 11-сынып, Автор: Е.А.Очкур, Ж.Ж.Құрманғалиева, М.А.Нуртаева. Алматы «Мектеп» баспасы 2020 ж |
|
Оқушылардың назарын аудару |
Бөлім бойынша Дәйек сөз немесе цитата: "Өсу мен даму – бұл тек уақыттың өтуі емес, бұл үнемі өзіңді жетілдіру мен өзгертудің жолы." — Махатма Ганди «Ой қозғау» әдісі Бағаналы жасушалардың медицинадағы қажеттілігі неде? Эмбрионда жүзгізілетін ғылыми зерттеулердің этикалық мүмкіндіктері қандай? Емдеу барысында бағаналы жасушалар қай уақытта қажет болады? «Қызықты деректер» - Тақырыпқа байланысты қызықты фактілер, оқиғалар немесе нақты өмірден алынған мысалдар оқушылардың назарын аударуға көмектеседі және олардың материалды жақсырақ есте сақтауына ықпал етеді. Әр адамда бар: Ересек адамдарда да бағаналы жасушалар бар. Олар сүйек кемігінде, теріде және қан тамырларында ұлпаларды қалпына келтіру үшін жұмыс істейді. Ең жас зерттелетін жасушалар: Эмбриондық бағаналы жасушалар адам өмірінің ең ерте кезеңінде зерттеледі, өйткені олар барлық дене жасушаларына айналу қабілетіне ие. Ерекше регенерация мүмкіндігі: Бағаналы жасушалар жарақат алған органдарды немесе жүйелерді қалпына келтіру үшін ерекше қабілетке ие. Бұл медицинада жаңа емдеу әдістерін жасауға мүмкіндік береді. |
Оқушының логикалық ойлау қабілеті дамиды. Өз ойын, ой-пікірлерін білдіреді. Берілген тапсырманы орындайды. Жауабы: 1.Бағаналы жасушалардың медицинадағы қажеттілігі: Бағаналы жасушалар зақымданған ұлпаларды қалпына келтіру, органдарды регенерациялау және генетикалық ауруларды емдеу үшін қажет. 2.Эмбрионда жүргізілетін ғылыми зерттеулердің этикалық мүмкіндіктері: Эмбриондарды зерттеу этикасы өмірдің бастауы туралы пікірталастарды туғызады, бірақ оларды тек медициналық мақсатта және қатаң бақылаумен пайдалану этикалық саналады. 3.Емдеу барысында бағаналы жасушалар: Бағаналы жасушалар ауыр жарақаттарда, органдар трансплантациясында, қан және жүйке жүйесі ауруларында қажет болады. |
Дескриптор: -сұрақтың әр дұрыс жауабы үшін -1 балл; |
Интерактивті панель Презентация Биология 11-сынып, Автор: Е.А.Очкур, Ж.Ж.Құрманғалиева, М.А.Нуртаева. Алматы «Мектеп» баспасы 2020 ж |
|
Сабақтың мақсатын таныстыру |
11.2.3.1 - бағаналы жасушалардың мамандану үдерісін және олардың практикалық қолданылуын түсіндіру; Оқу мақсаты бойынша Дәйек сөз немесе цитата: "Бағаналы жасушалар — бұл өмірдің бастапқы кезеңдерінде күрделі құрылымдарды қалыптастыру қабілеті бар ерекше жасушалар. Олар тек өмірдің негізі ғана емес, сонымен бірге ғылым мен медицинаның болашағы болып табылады." — Роберт Ланца, биолог, бағаналы жасушалар саласының маманы Кілт сөздер (жұп/топ бөлу үшін): Жедел лейкоздар Лимфобласт Миелоидті өскін Фагоцитарлық дисфункция Лимфопролиферативті бұзылыстар |
Жаңа сабақтың оқу мақсатын жазады. |
Кері байланыс: «Бас бармақ» әдісі арқылы бағаланады. «Керемет!» және т.б |
Интерактивті панель Презентация Биология 11-сынып, Автор: Е.А.Очкур, Ж.Ж.Құрманғалиева, М.А.Нуртаева. Алматы «Мектеп» баспасы 2020 ж |
|
Құндылық: «жасампаздық және жаңашылдық» |
Теориялық білім: бағаналы жасушалардың мамандану үдерісін және олардың практикалық қолданылуын сипаттайды; Практикалық дағдылар: бағаналы жасушалардың мамандану үдерісін және олардың практикалық қолданылуын зерттейді; Функционалдық сауаттылық: бағаналы жасушалардың мамандану үдерісін және олардың практикалық қолданылуын түсіндіреді; |
Сабақтың оқу мақсатымен байланысты басты құндылықтармен танысады. Ой қозғау жүзеге асады. |
Кері байланыс: «Бас бармақ» әдісі арқылы бағаланады. «Керемет!» және т.б |
Интерактивті панель Презентация Биология 11-сынып, Автор: Е.А.Очкур, Ж.Ж.Құрманғалиева, М.А.Нуртаева. Алматы «Мектеп» баспасы 2020 ж |
|
Сабақтың ортасы Жаңа тақырыпты таныстыру |
«Бейнетүсіндіру» әдісі. мұғалім жаңа сабақты бейне сурет, кесте арқылы түсіндіру. |
Оқушылар жаңа сабақ бойынша дайын кестені дәптерге түртіп жазады. Ой қозғау жүзеге асады. |
Кері байланыс: «Бас бармақ» әдісі арқылы бағаланады. «Керемет!» және т.б |
Интерактивті панель Презентация
|
|
Оқушыларға бағыт бағдар беру |
«Проблемалық оқыту әдісі» Мақсаты: Оқушылардың нақты өмірлік жағдайларды шешуге қабілетін арттыру. Тапсырма-1: «Бағаналы жасушаларды қолдану өмірді құтқаруы мүмкін, бірақ бұл кейбір этикалық мәселелерді тудырады. Егер сіз ғылыми зерттеулерді басқаратын жетекші болсаңыз, бағаналы жасушаларды қолдануға қатысты қандай шешім қабылдар едіңіз?» |
Жауабы: Шешім қабылдау: Ғылыми зерттеулердің маңыздылығын мойындау: Бағаналы жасушаларды зерттеу ауыр ауруларды емдеу мүмкіндігін арттырады. Мысалы, Паркинсон ауруы, жүрек-қантамыр аурулары, және органдарды қалпына келтіру. Сондықтан ғылыми зерттеулерді жалғастыру маңызды. Этикалық қағидаларды сақтау: Эмбриондық бағаналы жасушаларды пайдалану: Бұл зерттеулер тек қатаң бақылаумен, медициналық мақсатта және болашақ емдеу әдістерін дамыту үшін жүргізілуі керек. Альтернативті әдістерді қарастыру: Ересек бағаналы жасушалар немесе индуцирленген плюрипотентті бағаналы жасушаларды қолдануды дамыту, өйткені бұл әдістер этикалық мәселелерді азайтады. Қоғамдық келісім: Жұртшылықпен ашық диалог жүргізіп, зерттеулердің пайдасы мен этикалық негіздемелерін түсіндіру. Қоғамдық қолдаусыз ғылым этикалық жағынан күмән тудыруы мүмкін. Тепе-теңдікті табу: Адам өмірін сақтау басты мақсат болғанымен, ғылыми зерттеулер адамның қадір-қасиеті мен өмір құндылығына нұқсан келтірмеуі тиіс. |
Дескриптор: Мазмұнды түсіну: Бағаналы жасушалардың медицинада қолданылуын түсіндіреді. Этикалық мәселелерді нақты анықтап көрсетеді. Шешімнің негізділігі: Шешімі нақты және логикалық түрде ұсынылған. Ұсынылған шешім ғылыми және этикалық тұрғыдан негізделген. Шығармашылық көзқарас: Шешімде тың немесе бірегей идеялар ұсынылған. Бағаналы жасушаларды қолдану туралы инновациялық көзқарас көрсетілген. Этикалық тұрғыдан ойлау: Этикалық мәселелерге қатысты өз пікірін анық және дәйекті түрде білдірген. Шешім қабылдауда адамгершілік құндылықтарды ескерген. Тілдік және жазу дағдылары: Жауап құрылымы логикалық және жүйелі. Тақырыпқа сәйкес терминология дұрыс қолданылған. Қорытынды жасау: Жауап соңында нақты қорытынды немесе ұсыныс жазылған. |
Интерактивті панель Презентация Биология 11-сынып, Автор: Е.А.Очкур, Ж.Ж.Құрманғалиева, М.А.Нуртаева. Алматы «Мектеп» баспасы 2020 ж |
|
Практикалық тапсырмалар беру. |
«Деректермен жұмыс әдісі» Мақсаты: Графиктерді, диаграммаларды, карталарды, және басқа визуализация құралдарын талдау қабілетін дамыту. Тапсырма-2: Берілген деректерді зерттеп, сұрақтарға жауап беріңіз: 1.Бағаналы жасушалардың медицинада қолданылуының негізгі бағыттары қандай? 2.Эмбриондық және ересек бағаналы жасушалардың қайсысы тиімді және неге? 3.Осы деректер негізінде бағаналы жасушалардың болашағына қатысты болжам жасаңыз. Деректер: Медицинада қолданылуы: Бағаналы жасушалар сүйек кемігі трансплантациясында кеңінен қолданылады. Лейкемия және лимфома сияқты қан ауруларын емдеуде 90%-ға дейін тиімділік көрсетеді. Жүрек инфарктісінен кейін бағаналы жасушаларды енгізу жүрек ұлпасының 50%-ға дейін қалпына келуіне ықпал етеді. Паркинсон ауруы мен Альцгеймер ауруын емдеуде зертханалық сынақтар табысты жүргізілуде. Эмбриондық және ересек бағаналы жасушалардың ерекшеліктері: Эмбриондық бағаналы жасушалар кез келген ұлпаға айнала алады, бірақ олардың этикалық мәселелері бар. Ересек бағаналы жасушалар тек белгілі бір ұлпаларды қалпына келтіруде тиімді, этикалық тұрғыдан қауіпсіз, бірақ қолдану ауқымы шектеулі. Жаңа технологиялар: Индуцирленген плюрипотентті бағаналы жасушалар (iPSCs) эмбриондық жасушаларға балама ретінде қарастырылып, клиникалық сынақтарда қолданыла бастады. |
Жауабы: 1. Бағаналы жасушалардың медицинада қолданылуы: Бағаналы жасушалар терапиясы қан ауруларын (лейкемия, лимфома), жүрек-қантамыр ауруларын, жүйке жүйесінің зақымдалуын емдеуде және зақымдалған органдарды қалпына келтіруде кеңінен қолданылады. 2. Эмбриондық және ересек бағаналы жасушалардың тиімділігі: Эмбриондық бағаналы жасушалар кез келген ұлпаға айналу мүмкіндігі арқасында тиімдірек, бірақ олардың этикалық мәселелері бар. Ересек бағаналы жасушалар этикалық тұрғыдан қауіпсіз, бірақ олардың дифференциациясы шектеулі, сондықтан қолдану аясы тар. 3. Бағаналы жасушалардың болашағы: Индуцирленген плюрипотентті бағаналы жасушалар (iPSCs) этикалық мәселелерді шешіп, терапияның кең таралуына мүмкіндік береді. Бұл технология болашақта орган трансплантациясын жеңілдетіп, күрделі ауруларды емдеуде революция жасауға ықпал етеді. |
Дескриптор: Деректерді талдау және қолдану: Берілген деректер негізінде бағаналы жасушалардың медицинада қолданылу бағыттарын дұрыс анықтайды. Эмбриондық және ересек бағаналы жасушалардың айырмашылықтарын салыстырып, тиімділігін түсіндіреді. Сұрақтарға толық жауап беру: Әр сұраққа толық және мағыналы жауап береді. Жауаптар тақырыпқа сәйкес және нақты деректерге негізделген. Салыстыру және түсіндіру: Эмбриондық және ересек бағаналы жасушаларды салыстыру кезінде айырмашылықтарын нақты көрсетеді. Тиімділік туралы тұжырымдама ғылыми негізге сүйенеді. Болжау және қорытынды: Бағаналы жасушалардың болашағына қатысты болжам жасаған. Болжам логикалық және деректермен дәйектелген. Жауап құрылымы: Жауап жүйелі және логикалық түрде құрылған. Қажетті терминдер мен түсініктер дұрыс қолданылған. Шығармашылық көзқарас: Жауапта ерекше немесе тың идеялар ұсынылған. Болашаққа қатысты өз көзқарасын нақты және дәйекті түрде жеткізген. |
Интерактивті панель Презентация Биология 11-сынып, Автор: Е.А.Очкур, Ж.Ж.Құрманғалиева, М.А.Нуртаева. Алматы «Мектеп» баспасы 2020 ж |
|
Практикалық тапсырмалар беру. |
«STEM тәсілі» Мақсаты: Жаратылыстану ғылымдарын технологиямен, инженериямен және математиканы біріктіре отырып қолдану. Тапсырма-3: Бағаналы жасушаларды қолдану арқылы жасанды орган жасау процесін ойлап табыңыз. Бұл үдерісте ғылым, технология, инженерия және математика рөлін сипаттаңыз. |
Жауабы: 1.Ғылым (Science): Бағаналы жасушаларды зерттеу арқылы олардың қалай дифференциацияланатынын және белгілі бір орган жасушасына айналатынын анықтау. 2.Технология (Technology): 3D биопринтерді пайдалану арқылы жасушаларды белгілі бір орган формасына орналастыру. 3.Инженерия (Engineering): Жасанды органның құрылымдық беріктігін қамтамасыз ету үшін биоматериалдармен ұлпаны қолдау. 3.Математика (Mathematics): Органның пішінін, көлемін және жасушалардың дұрыс орналасуын есептеу үшін математикалық модельдер қолдану. Қысқаша қорытынды: Бағаналы жасушалар мен STEM тәсілін қолдану арқылы жасанды орган жасау медицинадағы төңкеріс болып табылады. Бұл технология ағзаларды трансплантациялаудың қажеттілігін азайтып, өмірді сақтауға мүмкіндік береді. |
Дескриптор: Процесті сипаттау: Бағаналы жасушаларды қолдану арқылы жасанды орган жасау процесі нақты және жүйелі сипатталған. Жасушалардың мамандануы мен қолданылу әдістері түсіндірілген. Ғылымның рөлі: Жасушалардың биологиялық ерекшеліктерін, дамуын және қолдану мүмкіндіктерін түсіндіреді. Ғылымға қатысты нақты деректер немесе мысалдар келтірілген. Технологияның рөлі: Технологияның (мысалы, 3D биопринтер, зертханалық құрылғылар) қолданылуы дұрыс сипатталған. Қазіргі заманғы технологиялардың үлесі көрсетілген. Инженерияның рөлі: Жасанды органның құрылымын жасау немесе биоматериалдарды қолдану инженерия тұрғысынан сипатталған. Құрылымдық беріктік пен органның жұмыс қабілеттілігіне көңіл бөлінген. Математиканың рөлі: Жасушалар саны, орган көлемі немесе құрылымдық модельдерді есептеу үшін математика қалай қолданылатыны түсіндірілген. Математикалық есептеулердің маңызы көрсетілген. Шығармашылық идея: Оқушы үдерісті ойлап табу барысында ерекше немесе инновациялық идея ұсынады. Ұсынылған процесс ғылыми тұрғыда негізделген. Жауап құрылымы: Жауап логикалық түрде ұйымдастырылған және мазмұны нақты. Тақырыпқа сәйкес терминология дұрыс қолданылған. |
Интерактивті панель Презентация Биология 11-сынып, Автор: Е.А.Очкур, Ж.Ж.Құрманғалиева, М.А.Нуртаева. Алматы «Мектеп» баспасы 2020 ж |
|
Бағалау |
«Бөлім бойынша жиынтық бағалау тапсырмалары» Мақсаты: Оқушылардың бөлім бойынша алған білімдерін қорытындылау дағдыларын дамыту. |
Оқушылар бөлім бойынша жиынтық бағалау тапсырмаларын орындайды. Ой қозғау жүзеге асады. |
Дескриптор ҚМЖ қосымшасында орналасқан. |
Интерактивті панель Презентация |
|
Сабақтың соңы Кері байланыс беру |
"Бір сөйлеммен түйіндеу" әдісі Сұрақ: "Бағаналы жасушалардың практикада қолданылуы мен этикалық аспектілері туралы бір сөйлеммен қорытынды жасаңыз." |
Оқушылар ақпаратты талдайды, қорытынды жасайды, оны бір сөйлеммен жеткізеді және пікір алмасуға қатысады. |
Кері байланыс: «Бас бармақ» әдісі арқылы бағаланады. «Керемет!» және т.б |
Интерактивті панель Презентация |
|
Білімді игеруді жақсарту және оны тәжірибеге көшіру |
Шығармашылық жұмыс. Тірек сызба §32.Дезоксирибонуклеин қышқылының кездейсоқ мутациясы. Репликацияның, репарацияның, рекомбинацияның генетикалық үдерістердің қателері. |
Білім алушылар келесі тақырыптың тақырыбымен және тірек сызба сызады. Ой қозғау жүзеге асады. |
Кері байланыс: «Бас бармақ» әдісі арқылы бағаланады. «Керемет!» және т.б |
Биология 11-сынып, Автор: Е.А.Очкур, Ж.Ж.Құрманғалиева, М.А.Нуртаева. Алматы «Мектеп» баспасы 2020 ж |
ҚЫСҚА МЕРЗІМДІ ЖОСПАРҒА ҚОСЫМША
«Бейнетүсіндіру» әдісі. мұғалім жаңа сабақты бейне сурет, кесте арқылы түсіндіру.
|
Сабақ бөлімі |
Мазмұны |
Түсіндіру әдісі |
|
1. Бағаналы жасушалардың анықтамасы |
- Бағаналы жасушалардың негізгі ерекшеліктері: өзін-өзі жаңғырту және дифференциация. |
- Анимация арқылы жасушалардың дамуын көрсету. |
|
2. Мамандану үдерісі |
- Бағаналы жасушалар әртүрлі маманданған жасушаларға (бұлшықет, жүйке, тері жасушалары) айналады. |
- Қадамдық диаграмма көмегімен процесс түсіндіру. |
|
3. Практикада қолданылуы |
Медицинада: |
|
|
|
- Қан аурулары мен лейкемияны емдеу (сүйек кемігі трансплантациясы). |
- Қан ауруларын емдеу мысалын видео арқылы көрсету. |
|
|
- Жүрек және жүйке жүйесі жарақаттарын қалпына келтіру. |
- Қалпына келтіру терапиясының анимациясы. |
|
|
- Органоидтар құру (бағаналы жасушалардан жасалған "мини-орган"). |
- Ғылыми зертханалардағы тәжірибе бейнесі. |
|
|
Зерттеулерде: |
|
|
|
- Ауруларды зерттеу және дәрілік заттарды сынау. |
- Зертханалық эксперименттердің қысқа бейнесі. |
|
4. Этикалық аспектілері |
- Эмбриондық бағаналы жасушаларды қолдану өмірдің бастауы туралы пікірталас тудырады. |
- Ғалымдар мен философтардың пікірлерін ұсыну. |
|
|
- Этикалық балансты сақтау: тек ғылыми және медициналық мақсаттарда пайдаланылуы. |
- Этикалық кеңес пен заң талаптарын көрсету. |
|
5. Бағаналы жасушалар болашағы |
- Регенеративті медицинадағы үміт: зақымданған органдарды қалпына келтіру және генетикалық ауруларды емдеу. |
- Болашақ жобалар мен технологияларды көрсету. |
«Артықшылығы неде?»
Оқушыларға сұрақ қою және бірнеше түрлі сөз көрсету. Берілген сөздердің арасындағы айырмашылықты анықтауды сұрау. Жауаптарын дəлелдеп отыру.
Сұрақ: Бағаналы жасушалардың артықшылығы неде?
-
Практикада қолданылуы
-
Этикалық аспектілері
-
Медицинада қолданылуы
-
Емдеуге қолданатын ауру түрлері
Оқушының аты-жөні:_____________________________________________________________сыныбы_____
«Көбею. Өсу және даму» бөлімдері бойынша жиынтық бағалау тапсырмалары
Оқу мақсаттары:
11.2.1.1 - адам гаметогенезінің сызбасын талдау;
11.2.1.2 – сперматогенез бен оогенездің айырмашылығын түсіндіру;
11.2.3.1 - бағаналы жасушалардың мамандану үдерісін және олардың практикалық қолданылуын түсіндіру;
1-тапсырма.
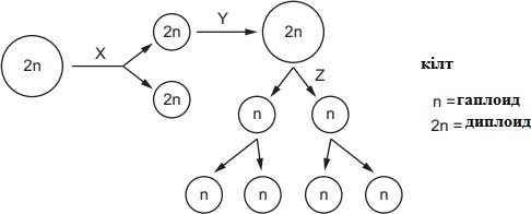
(а)Төменде сүтқоректілердегі гаметогенез үдеріс сызбасы берілген.

(1.1) гаметогенездің бұл түрі жыныс жасушаларының қай түріне тән? Жаубыңызды негіздеңіз.
....................................................................................[2]
(1.2) гаметогенездің екінші кезеңіндегі ерекшелікті түсіндіріңіз.
....................................................................................[1]
(b) сызбада белгіленген бөліну түрін атаңыз.
Х........................................................
Z....................................................... [2]
(с) сызбадағы X, Z, Y жасушаларының атауы қандай?
..................................................................................[3]
(1.3) хромосома санының өзгерісін диплоид немесе гаплоид екенін анықтаңыз және биологиялық мәнін түсіндіріңіз.
....................................................................................[2]
2-тапсырма.
Төменде жыныс безі және онда жүретін үдеріс көрсетілген.

(а) суреттегі R, S және құрылымдарын атаңыз. R................................................................................................
S.......................................................................................[2]
(2.2.)T құрылымы көрсетілген процесті түсіндіріңіз.
.........................................................................................[1]
(b) сперматогенез процесінен ерекшелейтін бір белгісін сипаттаңыз
.........................................................................................[1]
3-тапсырма.
«Бағаналы жасуша» ұғымына анықтама беріңіз. (2 ден кем емес ерекшелігін қамтыңыз)
…………………………………………………………………………………
………………………………………………………………………………[2]
Қай салада және қандай мақсатпен қолдынылатын түсіндіріңіз
........................................................................................................................................[2]
|
Бағалау критерийі |
№ тапсырма |
Дескриптор Білім алушылар |
Балл |
|
Адам гаметогенезінің сызбасын талдайды |
1 |
сызбадан гаметогенез түрін анықтайды; |
1 |
|
жауабын дәлелдейді; |
1 |
||
|
гаметогенездің екінші кезеңіндегі ерекшелікті түсіндіреді; |
1 |
||
|
гаметогенездің Х кезеңіндегі жасушаның бөліну түрін анықтайды; |
1 |
||
|
гаметогенездің Z кезеңіндегі жасушаның бөліну түрін анықтайды; |
1 |
||
|
сызбадағы Х деп белгіленген жасушаларын атайды; |
1 |
||
|
сызбадағы Z деп белгіленген жасушаларын атайды; |
1 |
||
|
сызбадағы Ү деп белгіленген жасушаларын атайды; |
1 |
||
|
Хромосома санының өзгерісін диплоид немесе гаплоид екенін анықтайды; |
1 |
||
|
Хромосома санының өзгерісінің биологиялық мәнін түсіндіреді; |
1 |
||
|
Сперматогенез бен оогенездің айырмашылығын түсіндіреді |
2 |
жыныс безі сызбасынан R құрылымын атайды; |
1 |
|
жыныс безі сызбасынан S құрылымын атайды; |
1 |
||
|
берілген процесті атайды; |
1 |
||
|
сперматогенез процесін ерекшелейтін бір белгіні сипаттайды. |
1 |
||
|
Бағаналы жасушалардың мамандану үдерісін және олардың практикалық қолданылуын түсіндіреді. |
3 |
«бағаналы жасуша» ұғымына анықтама береді; |
1 |
|
|
|
бағаналы жасушаның ерекшеліктерін |
1 |
|
|
|
бағаналы жасушалардың қолдануды түсіндіреді қай салада қолданылатын тұсіндіреді |
1 |
|
Барлығы |
17 |
||
Бағаналык жасуша дегеніміз не?
Бағаналык жасуша дифференцияланбаған, маманданған жасушаларға айнала алатын жасушалар. Олар қажет болған кезде бөлініп, маманданып, белгілі бір жасушаға айналу арқылы мүшені қалпына келтіре алады. Қалыпты жағдайда олар бөлінбейді, өзгерісіз ұзақ уақыт сақталады.
Олардың негізгі көздері:
Эмбриондық дамудың бластоцист кезеңінде түзілген эмбриондар (эмбриондық бағаналык жасуша)
Ересек (сомалық) ұлпа (ересек бағаналык жасуша).
Осы екі жасуша да тері, бұлшық ет, сүйек жасушаларына айналу әлеуетке ие.
Ересек немесе сомалық бағаналык жасуша
Ересек бағаналык жасуша эмбриондық дамудан кейін денедегі кез келген ұлпада сақталып қалады. Олар сүйек кемігі, ми, қан, қан тамырлары, қаңқа бұлшық еттері, тері, бауырдан табылған. Олар ұзақ жылдар бойы қозғалыссыз, бөлшектенбеген күйде сақталып, тек зақымдану, жарақат немесе ауырған кезде ғана белсенділенеді.
Бұл жасушалар өздігінен жаңарып, көптеген ұқсас жасушаларды, тіпті жекелеген мүшелерді бастапқы қалпына келтіре алады. Олар дифференцияланып, түрлі жасушаларға айнала алады.
Эмбриондық бағаналык жасушалар
Эмбриондық бағаналык жасушалар адамның 4-5 күндік бластоцист фазасындағы эмбрионынан алынады. Бластоцист кезеңі дегеніміз зигота бірнеше рет бөлініп, 2, 4, 8, 16 жасушаға айналады. 4 кейде 6 күннен соң жатырға имплантацияланғанға дейінгі кезең. Эмбриондар, көбінесе ЭКО жасатқан кезде қалған эмбриондардан алынады.
Бластоцист ішкі (эмбриобласт) және сыртқы (трофобласт) жасушалық массадан тұрады. Трофобласт плацентаның бір бөлшегіне айналады да, эмбриобласт ересек ағзаның барлық құрылымдарының бастамасын береді. Эмбриобласттар эмбриондық бағаналык жасушалардың бастамасы, ағзаның кез келген жасушаларын түзуге қабілетті немесе тотипотентті жасушалар.
Қалыпты жүктілікте эмбрионның жатырға енгенге дейін балстоцист кезеңі, ал жатырға енгеннен соң 10 аптадан бастап ұрықтық даму жалғасады. 10аптаға дейін негізгі мүшелердің негізі қалыптасады.
Бағаналык жасушалар дифференциялануы бойынша бірнеше топтарға жіктеледі:
-
Тотипотентті – кез келген жасушаға айналуға қабілетті жасушалар. Бұл ұрықтанудан кейінгі зиготаның бөлінуінен, бластоциста фазасында пайда болған жасушалар.
-
Плюрипотентті – кез келген жасушаға айнала алатын жасушалар. Мысалы: эмбриондық дифференцациясының бастапқы кезеңінде мезодерма, энтодерма, эктодермадан алынған эмбриондық бағаналык жасушалар.
-
Мультипотентті – белгілі бір жасушалар тобына ғана айнала алатын жасушалар. Мысалы: қанның қызыл және ақ түйіршіктері мен тромбоциттерге айнала алатын, гемопоэтикалық (ересек) бағаналык жасушалар.
-
Олигопотентті – бірнеше жасушаларға айнала алатын жасушалар. Мысалы: ересек бағаналык жасушалар мен миелоидты бағаналык жасушалар лимфоидті түрлері.
-
Унипотентті –тек өз жасушаларына ғана айнала алатын, өздігінен қалпына келіге қабілетті, жасушалар. Мысалы: бұлшық еттік бағаналык жасушалар.
Эмбрионды бағаналык жасушалар эктра-эмбрионалдық мембрана мен пласцента жасушасына айнала алмайтындықтан көбінесе оларды тотипотенттен гөрі плюрипотентті деп атайды.
Бағаналык жасушалардың басақ жасушалардан ерекшеліктері:
1. Олар өзіне ұқсас жасушалар копияларын түзе алады.
2. Олар пісіп жетілгеннен соң 200 жуық жасуша түрлеріне(жүйке және бұлшық ет т.б) айналуға қабілетті.
Тотипотентті түрлері ең мықты, себебі дамудың ең ертедегі кезеңінде бластоцист фазасына дейін алынады. Олар дене жасушасының кез келген түріне айнала алуға қабілетті болғандықтан, ағзаны толығымен қалпына келтіретән әлеуетке ие.Бұлар ұрықтың құрылымына жатпайтын, экстраэмбрионалды жасушалар плаценталық жасушаларды да түзе алады.
Өсімдік жасушалары тотипотенттілікті тіршілік бойы сақтайтындықтан, өсімдіктің бір бөлшегі бүтін ағзаға айнала алады.
Ал адамдарда бластоцист түзлгендегі шардың ішінде эмбрионалдық бағаналык жасушалар қалыптасып, ағзаға қажетті кез келген жасушаларға айнала алады. Бірақ олар эмбрионнан тыс плаценталық жаушаға айнала алмайтындықтан адам ағзасынын толығымен жасай алмайды. Олар плюрипотентті.
Мультипотентті жасушалар белгілі бір топ жасушаны қалпына келтіре алады. Белгілі бір мүшені қалпына келтіруде өте маңызды рөл атқаратын жасушалар. . Стволовые клетки «Унипотентті» (мысалы, тері жасушалары) өз тіршілігін ұзарта алмайды және тек бір типтік жаушаны ғана түзуге қабілетті.
Тотипотентті және плюрипотенттілер ғана нағыз бағаналык жасушалар деуге болады. Дегенмен мультипотентті және унипотентті жасушалар да осы санатқа жатқызылады.
Гемопоэтикалық бағаналык жасушалар барлық қан жасушаларын түзе алады: эритроциттер, лимфоциттер, Т-лимфоциттер, табиғи-киллерлер, нейтрофилдер, эозинофиллдер, базофилллдер, моноцитттер мен макрофагтар.
Мезенхималық бағаналык жасушалар көптеген ұлпаларда кездеседі. Сүйек кемігіндегі жасушалар түзе алатын жасушалар: сүйек жасушалары, (остеобласттар мен остеоциттер), шеміршек жасушалары, (хондроциттер), май жасушалары (адипоциттер) және қанның түзілуін қамтамасыз ететін, стромалдық жасушалар жатады.
Жүйкелік бағаналык жасушалар мидың бағаналык жасушалары: жүйке жасушалары (нейрондар) нейрондық емес екі түрлі жасушалар-астроциттер мен олигодендроциттерді түзе алады.
Эпителиалдық бағаналык жасушалар асқорыту жолындағы крипталардың арасында кездеседі. Олар: сіңіруші жасушалар, созылыңқы жасушалар мен энтероэндокриндік жасушаларға айналады.
Тері бағаналык жасушалары эпидермистің базальды қабаты мен түк фолликулаларының негізінде қалыптасады. Эпидермалдық бағаналык жасушалар терінің беткі қабатында қорғаныш қабатын түзеді. Көптеген ауруларды емдеуде бағаналык жасушаларды қолдануға болады. Мысалы: жұлынның зақымдануы, жүрек аурулары, инсульт, диабет, остеоартрит, ревматоидты артрит.
Трансплантация үшін бағаналык жасушалардың:
-
Ұлпаның қалпына келтірілуі үшін жеткілікті мөлшерде алынады
-
Қажетті жасуша түріне дифференциялануы
-
Трансплантациядан кейін қалыптасуы
-
Трансплантациядан кейін өзге де ұлпалармен бірігісе алуы.
-
Қалпына келтірілген ұлпаның өз жұмысын қалыпты атқаруға толық қабілетті болуы
-
Қандай да бір зақым немесе зиян келтірілмеуі тиіс.
-
Иммундық қабылдамауды (отторжение) болдырмау үшін жағдай жасалуы тиіс.
Бағаналы жасушаларды қолданудағы туындайтын мәселелер.
-
Эмбриондық бағаналы жасушалар даму барысында кез келген жасуша түріне маманданып, өзгере алады;
-
Эмбриондық бағаналы жасушалар шексіз көбейе алады және де олар ересек ағзаның арнайы химиялық командаларын ұғынып, қабылдай алмайды, себебі ол командаларды беретін бластоцистада ондай құрылғы жоқ;
-
Ағзаға бұндай жасушаларды енгізу түрлі қатерлі ісік ауруларына немесе тератомалардың пайда болуына әкеп соқтырады;
-
Трансплантациядағы бағаналы жасушаларды қолданудағы басты мәселе, олардың реципиент жасушалармен иммундық сәйкестікте болу-болмауы;
-
Бағаналы жасушаларды қолданудағы этикалық мәселелердің туындауы.
-
Бағаналы жасушаларды зерттеуде ғалымдардың жеткен жетістіктері.
Бағаналы жасушаларды қолданудағы қойылатын талаптар:
-
Бағаналы жасушалардың саны қол жетімді мөлшерде болу қажет;
-
Бағаналы жасушалардың дифференциациясы бағытты түрде жүруі қажет;
-
Бағаналы жасушалар реципиент ағзада өмір сүре алуы қажет;
-
Трансплантациялаудан кейін бағаналы жасушалар реципиент жасушада мамандана алу қажет;
-
Трансплантация кезінде реципиент жасушаға ешқандай зақым келмеуі тиіс.
жүктеу мүмкіндігіне ие боласыз
Бұл материал сайт қолданушысы жариялаған. Материалдың ішінде жазылған барлық ақпаратқа жауапкершілікті жариялаған қолданушы жауап береді. Ұстаз тілегі тек ақпаратты таратуға қолдау көрсетеді. Егер материал сіздің авторлық құқығыңызды бұзған болса немесе басқа да себептермен сайттан өшіру керек деп ойласаңыз осында жазыңыз
§31. Практикада қолданылуы. Этикалық аспектісі.
§31. Практикада қолданылуы. Этикалық аспектісі.
11 сынып ЖМБ №27
ДӘІЖО___________
Қазақстан Республикасының
Білім және ғылым министрлігі
«»
КММ
(білім беру ұйымының
атауы)
Қысқа мерзімді (сабақ) жоспары
Практикада қолданылуы.
Этикалық аспектісі.§31. Практикада қолданылуы. Этикалық
аспектісі.
БЖБ (20-мин)
(Сабақ тақырыбы)
|
Бөлім: |
Өсу және даму |
|
Педагогтің аты-жөні: |
|
|
Күні: |
|
|
Сыныбы: 11 «ә» ЖМБ |
Қатысушылар саны: Қатыспағандар саны: |
|
Сабақтың тақырыбы: |
Практикада қолданылуы. Этикалық аспектісі.§31. Практикада қолданылуы. Этикалық аспектісі. БЖБ (20-мин) |
|
Оқу бағдарламасына сәйкес оқу мақсаты |
11.2.3.1 - бағаналы жасушалардың мамандану үдерісін және олардың практикалық қолданылуын түсіндіру; |
|
Сабақтың мақсаты: |
бағаналы жасушалардың мамандану үдерісін және олардың практикалық қолданылуын түсіндіреді және өсу және даму бөлімі бойынша жиынтық бағалау тапсырмаларын орындайды; |
Сабақтың барысы:
|
Сабақ кезеңі |
Мұғалімнің әрекеті |
Оқушының әрекеті |
Бағалау |
Ресурстар |
|
Сабақтың басы Бұрынғы білімін еске түсіру |
Оқушылармен амандасу, түгендеу, сынып тәртібін қадағалау. «Бір қадам алға..» әдісі арқылы өткен материалды және үй жұмысын пысықтау мақсатында тапсырма беру. Бағаналы жасушалар Эмбрион Соматикалық Феталдық Жасушалардың көбеюі Эмбиобласт Донор Реципиент |
Оқушылар амандасады, сынып тәртібін сақтайды. Оқушылар үй жұмысы бойынша өткен білімдерін еске түсіреді. Берілген тапсырманы орындайды. |
Дескриптор: -әр кілт сөздердің дұрыс мазмұнын сипаттағаны үшін -1 балл; |
Интерактивті панель Презентация Биология 11-сынып, Автор: Е.А.Очкур, Ж.Ж.Құрманғалиева, М.А.Нуртаева. Алматы «Мектеп» баспасы 2020 ж |
|
Оқушылардың назарын аудару |
Бөлім бойынша Дәйек сөз немесе цитата: "Өсу мен даму – бұл тек уақыттың өтуі емес, бұл үнемі өзіңді жетілдіру мен өзгертудің жолы." — Махатма Ганди «Ой қозғау» әдісі Бағаналы жасушалардың медицинадағы қажеттілігі неде? Эмбрионда жүзгізілетін ғылыми зерттеулердің этикалық мүмкіндіктері қандай? Емдеу барысында бағаналы жасушалар қай уақытта қажет болады? «Қызықты деректер» - Тақырыпқа байланысты қызықты фактілер, оқиғалар немесе нақты өмірден алынған мысалдар оқушылардың назарын аударуға көмектеседі және олардың материалды жақсырақ есте сақтауына ықпал етеді. Әр адамда бар: Ересек адамдарда да бағаналы жасушалар бар. Олар сүйек кемігінде, теріде және қан тамырларында ұлпаларды қалпына келтіру үшін жұмыс істейді. Ең жас зерттелетін жасушалар: Эмбриондық бағаналы жасушалар адам өмірінің ең ерте кезеңінде зерттеледі, өйткені олар барлық дене жасушаларына айналу қабілетіне ие. Ерекше регенерация мүмкіндігі: Бағаналы жасушалар жарақат алған органдарды немесе жүйелерді қалпына келтіру үшін ерекше қабілетке ие. Бұл медицинада жаңа емдеу әдістерін жасауға мүмкіндік береді. |
Оқушының логикалық ойлау қабілеті дамиды. Өз ойын, ой-пікірлерін білдіреді. Берілген тапсырманы орындайды. Жауабы: 1.Бағаналы жасушалардың медицинадағы қажеттілігі: Бағаналы жасушалар зақымданған ұлпаларды қалпына келтіру, органдарды регенерациялау және генетикалық ауруларды емдеу үшін қажет. 2.Эмбрионда жүргізілетін ғылыми зерттеулердің этикалық мүмкіндіктері: Эмбриондарды зерттеу этикасы өмірдің бастауы туралы пікірталастарды туғызады, бірақ оларды тек медициналық мақсатта және қатаң бақылаумен пайдалану этикалық саналады. 3.Емдеу барысында бағаналы жасушалар: Бағаналы жасушалар ауыр жарақаттарда, органдар трансплантациясында, қан және жүйке жүйесі ауруларында қажет болады. |
Дескриптор: -сұрақтың әр дұрыс жауабы үшін -1 балл; |
Интерактивті панель Презентация Биология 11-сынып, Автор: Е.А.Очкур, Ж.Ж.Құрманғалиева, М.А.Нуртаева. Алматы «Мектеп» баспасы 2020 ж |
|
Сабақтың мақсатын таныстыру |
11.2.3.1 - бағаналы жасушалардың мамандану үдерісін және олардың практикалық қолданылуын түсіндіру; Оқу мақсаты бойынша Дәйек сөз немесе цитата: "Бағаналы жасушалар — бұл өмірдің бастапқы кезеңдерінде күрделі құрылымдарды қалыптастыру қабілеті бар ерекше жасушалар. Олар тек өмірдің негізі ғана емес, сонымен бірге ғылым мен медицинаның болашағы болып табылады." — Роберт Ланца, биолог, бағаналы жасушалар саласының маманы Кілт сөздер (жұп/топ бөлу үшін): Жедел лейкоздар Лимфобласт Миелоидті өскін Фагоцитарлық дисфункция Лимфопролиферативті бұзылыстар |
Жаңа сабақтың оқу мақсатын жазады. |
Кері байланыс: «Бас бармақ» әдісі арқылы бағаланады. «Керемет!» және т.б |
Интерактивті панель Презентация Биология 11-сынып, Автор: Е.А.Очкур, Ж.Ж.Құрманғалиева, М.А.Нуртаева. Алматы «Мектеп» баспасы 2020 ж |
|
Құндылық: «жасампаздық және жаңашылдық» |
Теориялық білім: бағаналы жасушалардың мамандану үдерісін және олардың практикалық қолданылуын сипаттайды; Практикалық дағдылар: бағаналы жасушалардың мамандану үдерісін және олардың практикалық қолданылуын зерттейді; Функционалдық сауаттылық: бағаналы жасушалардың мамандану үдерісін және олардың практикалық қолданылуын түсіндіреді; |
Сабақтың оқу мақсатымен байланысты басты құндылықтармен танысады. Ой қозғау жүзеге асады. |
Кері байланыс: «Бас бармақ» әдісі арқылы бағаланады. «Керемет!» және т.б |
Интерактивті панель Презентация Биология 11-сынып, Автор: Е.А.Очкур, Ж.Ж.Құрманғалиева, М.А.Нуртаева. Алматы «Мектеп» баспасы 2020 ж |
|
Сабақтың ортасы Жаңа тақырыпты таныстыру |
«Бейнетүсіндіру» әдісі. мұғалім жаңа сабақты бейне сурет, кесте арқылы түсіндіру. |
Оқушылар жаңа сабақ бойынша дайын кестені дәптерге түртіп жазады. Ой қозғау жүзеге асады. |
Кері байланыс: «Бас бармақ» әдісі арқылы бағаланады. «Керемет!» және т.б |
Интерактивті панель Презентация
|
|
Оқушыларға бағыт бағдар беру |
«Проблемалық оқыту әдісі» Мақсаты: Оқушылардың нақты өмірлік жағдайларды шешуге қабілетін арттыру. Тапсырма-1: «Бағаналы жасушаларды қолдану өмірді құтқаруы мүмкін, бірақ бұл кейбір этикалық мәселелерді тудырады. Егер сіз ғылыми зерттеулерді басқаратын жетекші болсаңыз, бағаналы жасушаларды қолдануға қатысты қандай шешім қабылдар едіңіз?» |
Жауабы: Шешім қабылдау: Ғылыми зерттеулердің маңыздылығын мойындау: Бағаналы жасушаларды зерттеу ауыр ауруларды емдеу мүмкіндігін арттырады. Мысалы, Паркинсон ауруы, жүрек-қантамыр аурулары, және органдарды қалпына келтіру. Сондықтан ғылыми зерттеулерді жалғастыру маңызды. Этикалық қағидаларды сақтау: Эмбриондық бағаналы жасушаларды пайдалану: Бұл зерттеулер тек қатаң бақылаумен, медициналық мақсатта және болашақ емдеу әдістерін дамыту үшін жүргізілуі керек. Альтернативті әдістерді қарастыру: Ересек бағаналы жасушалар немесе индуцирленген плюрипотентті бағаналы жасушаларды қолдануды дамыту, өйткені бұл әдістер этикалық мәселелерді азайтады. Қоғамдық келісім: Жұртшылықпен ашық диалог жүргізіп, зерттеулердің пайдасы мен этикалық негіздемелерін түсіндіру. Қоғамдық қолдаусыз ғылым этикалық жағынан күмән тудыруы мүмкін. Тепе-теңдікті табу: Адам өмірін сақтау басты мақсат болғанымен, ғылыми зерттеулер адамның қадір-қасиеті мен өмір құндылығына нұқсан келтірмеуі тиіс. |
Дескриптор: Мазмұнды түсіну: Бағаналы жасушалардың медицинада қолданылуын түсіндіреді. Этикалық мәселелерді нақты анықтап көрсетеді. Шешімнің негізділігі: Шешімі нақты және логикалық түрде ұсынылған. Ұсынылған шешім ғылыми және этикалық тұрғыдан негізделген. Шығармашылық көзқарас: Шешімде тың немесе бірегей идеялар ұсынылған. Бағаналы жасушаларды қолдану туралы инновациялық көзқарас көрсетілген. Этикалық тұрғыдан ойлау: Этикалық мәселелерге қатысты өз пікірін анық және дәйекті түрде білдірген. Шешім қабылдауда адамгершілік құндылықтарды ескерген. Тілдік және жазу дағдылары: Жауап құрылымы логикалық және жүйелі. Тақырыпқа сәйкес терминология дұрыс қолданылған. Қорытынды жасау: Жауап соңында нақты қорытынды немесе ұсыныс жазылған. |
Интерактивті панель Презентация Биология 11-сынып, Автор: Е.А.Очкур, Ж.Ж.Құрманғалиева, М.А.Нуртаева. Алматы «Мектеп» баспасы 2020 ж |
|
Практикалық тапсырмалар беру. |
«Деректермен жұмыс әдісі» Мақсаты: Графиктерді, диаграммаларды, карталарды, және басқа визуализация құралдарын талдау қабілетін дамыту. Тапсырма-2: Берілген деректерді зерттеп, сұрақтарға жауап беріңіз: 1.Бағаналы жасушалардың медицинада қолданылуының негізгі бағыттары қандай? 2.Эмбриондық және ересек бағаналы жасушалардың қайсысы тиімді және неге? 3.Осы деректер негізінде бағаналы жасушалардың болашағына қатысты болжам жасаңыз. Деректер: Медицинада қолданылуы: Бағаналы жасушалар сүйек кемігі трансплантациясында кеңінен қолданылады. Лейкемия және лимфома сияқты қан ауруларын емдеуде 90%-ға дейін тиімділік көрсетеді. Жүрек инфарктісінен кейін бағаналы жасушаларды енгізу жүрек ұлпасының 50%-ға дейін қалпына келуіне ықпал етеді. Паркинсон ауруы мен Альцгеймер ауруын емдеуде зертханалық сынақтар табысты жүргізілуде. Эмбриондық және ересек бағаналы жасушалардың ерекшеліктері: Эмбриондық бағаналы жасушалар кез келген ұлпаға айнала алады, бірақ олардың этикалық мәселелері бар. Ересек бағаналы жасушалар тек белгілі бір ұлпаларды қалпына келтіруде тиімді, этикалық тұрғыдан қауіпсіз, бірақ қолдану ауқымы шектеулі. Жаңа технологиялар: Индуцирленген плюрипотентті бағаналы жасушалар (iPSCs) эмбриондық жасушаларға балама ретінде қарастырылып, клиникалық сынақтарда қолданыла бастады. |
Жауабы: 1. Бағаналы жасушалардың медицинада қолданылуы: Бағаналы жасушалар терапиясы қан ауруларын (лейкемия, лимфома), жүрек-қантамыр ауруларын, жүйке жүйесінің зақымдалуын емдеуде және зақымдалған органдарды қалпына келтіруде кеңінен қолданылады. 2. Эмбриондық және ересек бағаналы жасушалардың тиімділігі: Эмбриондық бағаналы жасушалар кез келген ұлпаға айналу мүмкіндігі арқасында тиімдірек, бірақ олардың этикалық мәселелері бар. Ересек бағаналы жасушалар этикалық тұрғыдан қауіпсіз, бірақ олардың дифференциациясы шектеулі, сондықтан қолдану аясы тар. 3. Бағаналы жасушалардың болашағы: Индуцирленген плюрипотентті бағаналы жасушалар (iPSCs) этикалық мәселелерді шешіп, терапияның кең таралуына мүмкіндік береді. Бұл технология болашақта орган трансплантациясын жеңілдетіп, күрделі ауруларды емдеуде революция жасауға ықпал етеді. |
Дескриптор: Деректерді талдау және қолдану: Берілген деректер негізінде бағаналы жасушалардың медицинада қолданылу бағыттарын дұрыс анықтайды. Эмбриондық және ересек бағаналы жасушалардың айырмашылықтарын салыстырып, тиімділігін түсіндіреді. Сұрақтарға толық жауап беру: Әр сұраққа толық және мағыналы жауап береді. Жауаптар тақырыпқа сәйкес және нақты деректерге негізделген. Салыстыру және түсіндіру: Эмбриондық және ересек бағаналы жасушаларды салыстыру кезінде айырмашылықтарын нақты көрсетеді. Тиімділік туралы тұжырымдама ғылыми негізге сүйенеді. Болжау және қорытынды: Бағаналы жасушалардың болашағына қатысты болжам жасаған. Болжам логикалық және деректермен дәйектелген. Жауап құрылымы: Жауап жүйелі және логикалық түрде құрылған. Қажетті терминдер мен түсініктер дұрыс қолданылған. Шығармашылық көзқарас: Жауапта ерекше немесе тың идеялар ұсынылған. Болашаққа қатысты өз көзқарасын нақты және дәйекті түрде жеткізген. |
Интерактивті панель Презентация Биология 11-сынып, Автор: Е.А.Очкур, Ж.Ж.Құрманғалиева, М.А.Нуртаева. Алматы «Мектеп» баспасы 2020 ж |
|
Практикалық тапсырмалар беру. |
«STEM тәсілі» Мақсаты: Жаратылыстану ғылымдарын технологиямен, инженериямен және математиканы біріктіре отырып қолдану. Тапсырма-3: Бағаналы жасушаларды қолдану арқылы жасанды орган жасау процесін ойлап табыңыз. Бұл үдерісте ғылым, технология, инженерия және математика рөлін сипаттаңыз. |
Жауабы: 1.Ғылым (Science): Бағаналы жасушаларды зерттеу арқылы олардың қалай дифференциацияланатынын және белгілі бір орган жасушасына айналатынын анықтау. 2.Технология (Technology): 3D биопринтерді пайдалану арқылы жасушаларды белгілі бір орган формасына орналастыру. 3.Инженерия (Engineering): Жасанды органның құрылымдық беріктігін қамтамасыз ету үшін биоматериалдармен ұлпаны қолдау. 3.Математика (Mathematics): Органның пішінін, көлемін және жасушалардың дұрыс орналасуын есептеу үшін математикалық модельдер қолдану. Қысқаша қорытынды: Бағаналы жасушалар мен STEM тәсілін қолдану арқылы жасанды орган жасау медицинадағы төңкеріс болып табылады. Бұл технология ағзаларды трансплантациялаудың қажеттілігін азайтып, өмірді сақтауға мүмкіндік береді. |
Дескриптор: Процесті сипаттау: Бағаналы жасушаларды қолдану арқылы жасанды орган жасау процесі нақты және жүйелі сипатталған. Жасушалардың мамандануы мен қолданылу әдістері түсіндірілген. Ғылымның рөлі: Жасушалардың биологиялық ерекшеліктерін, дамуын және қолдану мүмкіндіктерін түсіндіреді. Ғылымға қатысты нақты деректер немесе мысалдар келтірілген. Технологияның рөлі: Технологияның (мысалы, 3D биопринтер, зертханалық құрылғылар) қолданылуы дұрыс сипатталған. Қазіргі заманғы технологиялардың үлесі көрсетілген. Инженерияның рөлі: Жасанды органның құрылымын жасау немесе биоматериалдарды қолдану инженерия тұрғысынан сипатталған. Құрылымдық беріктік пен органның жұмыс қабілеттілігіне көңіл бөлінген. Математиканың рөлі: Жасушалар саны, орган көлемі немесе құрылымдық модельдерді есептеу үшін математика қалай қолданылатыны түсіндірілген. Математикалық есептеулердің маңызы көрсетілген. Шығармашылық идея: Оқушы үдерісті ойлап табу барысында ерекше немесе инновациялық идея ұсынады. Ұсынылған процесс ғылыми тұрғыда негізделген. Жауап құрылымы: Жауап логикалық түрде ұйымдастырылған және мазмұны нақты. Тақырыпқа сәйкес терминология дұрыс қолданылған. |
Интерактивті панель Презентация Биология 11-сынып, Автор: Е.А.Очкур, Ж.Ж.Құрманғалиева, М.А.Нуртаева. Алматы «Мектеп» баспасы 2020 ж |
|
Бағалау |
«Бөлім бойынша жиынтық бағалау тапсырмалары» Мақсаты: Оқушылардың бөлім бойынша алған білімдерін қорытындылау дағдыларын дамыту. |
Оқушылар бөлім бойынша жиынтық бағалау тапсырмаларын орындайды. Ой қозғау жүзеге асады. |
Дескриптор ҚМЖ қосымшасында орналасқан. |
Интерактивті панель Презентация |
|
Сабақтың соңы Кері байланыс беру |
"Бір сөйлеммен түйіндеу" әдісі Сұрақ: "Бағаналы жасушалардың практикада қолданылуы мен этикалық аспектілері туралы бір сөйлеммен қорытынды жасаңыз." |
Оқушылар ақпаратты талдайды, қорытынды жасайды, оны бір сөйлеммен жеткізеді және пікір алмасуға қатысады. |
Кері байланыс: «Бас бармақ» әдісі арқылы бағаланады. «Керемет!» және т.б |
Интерактивті панель Презентация |
|
Білімді игеруді жақсарту және оны тәжірибеге көшіру |
Шығармашылық жұмыс. Тірек сызба §32.Дезоксирибонуклеин қышқылының кездейсоқ мутациясы. Репликацияның, репарацияның, рекомбинацияның генетикалық үдерістердің қателері. |
Білім алушылар келесі тақырыптың тақырыбымен және тірек сызба сызады. Ой қозғау жүзеге асады. |
Кері байланыс: «Бас бармақ» әдісі арқылы бағаланады. «Керемет!» және т.б |
Биология 11-сынып, Автор: Е.А.Очкур, Ж.Ж.Құрманғалиева, М.А.Нуртаева. Алматы «Мектеп» баспасы 2020 ж |
ҚЫСҚА МЕРЗІМДІ ЖОСПАРҒА ҚОСЫМША
«Бейнетүсіндіру» әдісі. мұғалім жаңа сабақты бейне сурет, кесте арқылы түсіндіру.
|
Сабақ бөлімі |
Мазмұны |
Түсіндіру әдісі |
|
1. Бағаналы жасушалардың анықтамасы |
- Бағаналы жасушалардың негізгі ерекшеліктері: өзін-өзі жаңғырту және дифференциация. |
- Анимация арқылы жасушалардың дамуын көрсету. |
|
2. Мамандану үдерісі |
- Бағаналы жасушалар әртүрлі маманданған жасушаларға (бұлшықет, жүйке, тері жасушалары) айналады. |
- Қадамдық диаграмма көмегімен процесс түсіндіру. |
|
3. Практикада қолданылуы |
Медицинада: |
|
|
|
- Қан аурулары мен лейкемияны емдеу (сүйек кемігі трансплантациясы). |
- Қан ауруларын емдеу мысалын видео арқылы көрсету. |
|
|
- Жүрек және жүйке жүйесі жарақаттарын қалпына келтіру. |
- Қалпына келтіру терапиясының анимациясы. |
|
|
- Органоидтар құру (бағаналы жасушалардан жасалған "мини-орган"). |
- Ғылыми зертханалардағы тәжірибе бейнесі. |
|
|
Зерттеулерде: |
|
|
|
- Ауруларды зерттеу және дәрілік заттарды сынау. |
- Зертханалық эксперименттердің қысқа бейнесі. |
|
4. Этикалық аспектілері |
- Эмбриондық бағаналы жасушаларды қолдану өмірдің бастауы туралы пікірталас тудырады. |
- Ғалымдар мен философтардың пікірлерін ұсыну. |
|
|
- Этикалық балансты сақтау: тек ғылыми және медициналық мақсаттарда пайдаланылуы. |
- Этикалық кеңес пен заң талаптарын көрсету. |
|
5. Бағаналы жасушалар болашағы |
- Регенеративті медицинадағы үміт: зақымданған органдарды қалпына келтіру және генетикалық ауруларды емдеу. |
- Болашақ жобалар мен технологияларды көрсету. |
«Артықшылығы неде?»
Оқушыларға сұрақ қою және бірнеше түрлі сөз көрсету. Берілген сөздердің арасындағы айырмашылықты анықтауды сұрау. Жауаптарын дəлелдеп отыру.
Сұрақ: Бағаналы жасушалардың артықшылығы неде?
-
Практикада қолданылуы
-
Этикалық аспектілері
-
Медицинада қолданылуы
-
Емдеуге қолданатын ауру түрлері
Оқушының аты-жөні:_____________________________________________________________сыныбы_____
«Көбею. Өсу және даму» бөлімдері бойынша жиынтық бағалау тапсырмалары
Оқу мақсаттары:
11.2.1.1 - адам гаметогенезінің сызбасын талдау;
11.2.1.2 – сперматогенез бен оогенездің айырмашылығын түсіндіру;
11.2.3.1 - бағаналы жасушалардың мамандану үдерісін және олардың практикалық қолданылуын түсіндіру;
1-тапсырма.
(а)Төменде сүтқоректілердегі гаметогенез үдеріс сызбасы берілген.

(1.1) гаметогенездің бұл түрі жыныс жасушаларының қай түріне тән? Жаубыңызды негіздеңіз.
....................................................................................[2]
(1.2) гаметогенездің екінші кезеңіндегі ерекшелікті түсіндіріңіз.
....................................................................................[1]
(b) сызбада белгіленген бөліну түрін атаңыз.
Х........................................................
Z....................................................... [2]
(с) сызбадағы X, Z, Y жасушаларының атауы қандай?
..................................................................................[3]
(1.3) хромосома санының өзгерісін диплоид немесе гаплоид екенін анықтаңыз және биологиялық мәнін түсіндіріңіз.
....................................................................................[2]
2-тапсырма.
Төменде жыныс безі және онда жүретін үдеріс көрсетілген.

(а) суреттегі R, S және құрылымдарын атаңыз. R................................................................................................
S.......................................................................................[2]
(2.2.)T құрылымы көрсетілген процесті түсіндіріңіз.
.........................................................................................[1]
(b) сперматогенез процесінен ерекшелейтін бір белгісін сипаттаңыз
.........................................................................................[1]
3-тапсырма.
«Бағаналы жасуша» ұғымына анықтама беріңіз. (2 ден кем емес ерекшелігін қамтыңыз)
…………………………………………………………………………………
………………………………………………………………………………[2]
Қай салада және қандай мақсатпен қолдынылатын түсіндіріңіз
........................................................................................................................................[2]
|
Бағалау критерийі |
№ тапсырма |
Дескриптор Білім алушылар |
Балл |
|
Адам гаметогенезінің сызбасын талдайды |
1 |
сызбадан гаметогенез түрін анықтайды; |
1 |
|
жауабын дәлелдейді; |
1 |
||
|
гаметогенездің екінші кезеңіндегі ерекшелікті түсіндіреді; |
1 |
||
|
гаметогенездің Х кезеңіндегі жасушаның бөліну түрін анықтайды; |
1 |
||
|
гаметогенездің Z кезеңіндегі жасушаның бөліну түрін анықтайды; |
1 |
||
|
сызбадағы Х деп белгіленген жасушаларын атайды; |
1 |
||
|
сызбадағы Z деп белгіленген жасушаларын атайды; |
1 |
||
|
сызбадағы Ү деп белгіленген жасушаларын атайды; |
1 |
||
|
Хромосома санының өзгерісін диплоид немесе гаплоид екенін анықтайды; |
1 |
||
|
Хромосома санының өзгерісінің биологиялық мәнін түсіндіреді; |
1 |
||
|
Сперматогенез бен оогенездің айырмашылығын түсіндіреді |
2 |
жыныс безі сызбасынан R құрылымын атайды; |
1 |
|
жыныс безі сызбасынан S құрылымын атайды; |
1 |
||
|
берілген процесті атайды; |
1 |
||
|
сперматогенез процесін ерекшелейтін бір белгіні сипаттайды. |
1 |
||
|
Бағаналы жасушалардың мамандану үдерісін және олардың практикалық қолданылуын түсіндіреді. |
3 |
«бағаналы жасуша» ұғымына анықтама береді; |
1 |
|
|
|
бағаналы жасушаның ерекшеліктерін |
1 |
|
|
|
бағаналы жасушалардың қолдануды түсіндіреді қай салада қолданылатын тұсіндіреді |
1 |
|
Барлығы |
17 |
||
Бағаналык жасуша дегеніміз не?
Бағаналык жасуша дифференцияланбаған, маманданған жасушаларға айнала алатын жасушалар. Олар қажет болған кезде бөлініп, маманданып, белгілі бір жасушаға айналу арқылы мүшені қалпына келтіре алады. Қалыпты жағдайда олар бөлінбейді, өзгерісіз ұзақ уақыт сақталады.
Олардың негізгі көздері:
Эмбриондық дамудың бластоцист кезеңінде түзілген эмбриондар (эмбриондық бағаналык жасуша)
Ересек (сомалық) ұлпа (ересек бағаналык жасуша).
Осы екі жасуша да тері, бұлшық ет, сүйек жасушаларына айналу әлеуетке ие.
Ересек немесе сомалық бағаналык жасуша
Ересек бағаналык жасуша эмбриондық дамудан кейін денедегі кез келген ұлпада сақталып қалады. Олар сүйек кемігі, ми, қан, қан тамырлары, қаңқа бұлшық еттері, тері, бауырдан табылған. Олар ұзақ жылдар бойы қозғалыссыз, бөлшектенбеген күйде сақталып, тек зақымдану, жарақат немесе ауырған кезде ғана белсенділенеді.
Бұл жасушалар өздігінен жаңарып, көптеген ұқсас жасушаларды, тіпті жекелеген мүшелерді бастапқы қалпына келтіре алады. Олар дифференцияланып, түрлі жасушаларға айнала алады.
Эмбриондық бағаналык жасушалар
Эмбриондық бағаналык жасушалар адамның 4-5 күндік бластоцист фазасындағы эмбрионынан алынады. Бластоцист кезеңі дегеніміз зигота бірнеше рет бөлініп, 2, 4, 8, 16 жасушаға айналады. 4 кейде 6 күннен соң жатырға имплантацияланғанға дейінгі кезең. Эмбриондар, көбінесе ЭКО жасатқан кезде қалған эмбриондардан алынады.
Бластоцист ішкі (эмбриобласт) және сыртқы (трофобласт) жасушалық массадан тұрады. Трофобласт плацентаның бір бөлшегіне айналады да, эмбриобласт ересек ағзаның барлық құрылымдарының бастамасын береді. Эмбриобласттар эмбриондық бағаналык жасушалардың бастамасы, ағзаның кез келген жасушаларын түзуге қабілетті немесе тотипотентті жасушалар.
Қалыпты жүктілікте эмбрионның жатырға енгенге дейін балстоцист кезеңі, ал жатырға енгеннен соң 10 аптадан бастап ұрықтық даму жалғасады. 10аптаға дейін негізгі мүшелердің негізі қалыптасады.
Бағаналык жасушалар дифференциялануы бойынша бірнеше топтарға жіктеледі:
-
Тотипотентті – кез келген жасушаға айналуға қабілетті жасушалар. Бұл ұрықтанудан кейінгі зиготаның бөлінуінен, бластоциста фазасында пайда болған жасушалар.
-
Плюрипотентті – кез келген жасушаға айнала алатын жасушалар. Мысалы: эмбриондық дифференцациясының бастапқы кезеңінде мезодерма, энтодерма, эктодермадан алынған эмбриондық бағаналык жасушалар.
-
Мультипотентті – белгілі бір жасушалар тобына ғана айнала алатын жасушалар. Мысалы: қанның қызыл және ақ түйіршіктері мен тромбоциттерге айнала алатын, гемопоэтикалық (ересек) бағаналык жасушалар.
-
Олигопотентті – бірнеше жасушаларға айнала алатын жасушалар. Мысалы: ересек бағаналык жасушалар мен миелоидты бағаналык жасушалар лимфоидті түрлері.
-
Унипотентті –тек өз жасушаларына ғана айнала алатын, өздігінен қалпына келіге қабілетті, жасушалар. Мысалы: бұлшық еттік бағаналык жасушалар.
Эмбрионды бағаналык жасушалар эктра-эмбрионалдық мембрана мен пласцента жасушасына айнала алмайтындықтан көбінесе оларды тотипотенттен гөрі плюрипотентті деп атайды.
Бағаналык жасушалардың басақ жасушалардан ерекшеліктері:
1. Олар өзіне ұқсас жасушалар копияларын түзе алады.
2. Олар пісіп жетілгеннен соң 200 жуық жасуша түрлеріне(жүйке және бұлшық ет т.б) айналуға қабілетті.
Тотипотентті түрлері ең мықты, себебі дамудың ең ертедегі кезеңінде бластоцист фазасына дейін алынады. Олар дене жасушасының кез келген түріне айнала алуға қабілетті болғандықтан, ағзаны толығымен қалпына келтіретән әлеуетке ие.Бұлар ұрықтың құрылымына жатпайтын, экстраэмбрионалды жасушалар плаценталық жасушаларды да түзе алады.
Өсімдік жасушалары тотипотенттілікті тіршілік бойы сақтайтындықтан, өсімдіктің бір бөлшегі бүтін ағзаға айнала алады.
Ал адамдарда бластоцист түзлгендегі шардың ішінде эмбрионалдық бағаналык жасушалар қалыптасып, ағзаға қажетті кез келген жасушаларға айнала алады. Бірақ олар эмбрионнан тыс плаценталық жаушаға айнала алмайтындықтан адам ағзасынын толығымен жасай алмайды. Олар плюрипотентті.
Мультипотентті жасушалар белгілі бір топ жасушаны қалпына келтіре алады. Белгілі бір мүшені қалпына келтіруде өте маңызды рөл атқаратын жасушалар. . Стволовые клетки «Унипотентті» (мысалы, тері жасушалары) өз тіршілігін ұзарта алмайды және тек бір типтік жаушаны ғана түзуге қабілетті.
Тотипотентті және плюрипотенттілер ғана нағыз бағаналык жасушалар деуге болады. Дегенмен мультипотентті және унипотентті жасушалар да осы санатқа жатқызылады.
Гемопоэтикалық бағаналык жасушалар барлық қан жасушаларын түзе алады: эритроциттер, лимфоциттер, Т-лимфоциттер, табиғи-киллерлер, нейтрофилдер, эозинофиллдер, базофилллдер, моноцитттер мен макрофагтар.
Мезенхималық бағаналык жасушалар көптеген ұлпаларда кездеседі. Сүйек кемігіндегі жасушалар түзе алатын жасушалар: сүйек жасушалары, (остеобласттар мен остеоциттер), шеміршек жасушалары, (хондроциттер), май жасушалары (адипоциттер) және қанның түзілуін қамтамасыз ететін, стромалдық жасушалар жатады.
Жүйкелік бағаналык жасушалар мидың бағаналык жасушалары: жүйке жасушалары (нейрондар) нейрондық емес екі түрлі жасушалар-астроциттер мен олигодендроциттерді түзе алады.
Эпителиалдық бағаналык жасушалар асқорыту жолындағы крипталардың арасында кездеседі. Олар: сіңіруші жасушалар, созылыңқы жасушалар мен энтероэндокриндік жасушаларға айналады.
Тері бағаналык жасушалары эпидермистің базальды қабаты мен түк фолликулаларының негізінде қалыптасады. Эпидермалдық бағаналык жасушалар терінің беткі қабатында қорғаныш қабатын түзеді. Көптеген ауруларды емдеуде бағаналык жасушаларды қолдануға болады. Мысалы: жұлынның зақымдануы, жүрек аурулары, инсульт, диабет, остеоартрит, ревматоидты артрит.
Трансплантация үшін бағаналык жасушалардың:
-
Ұлпаның қалпына келтірілуі үшін жеткілікті мөлшерде алынады
-
Қажетті жасуша түріне дифференциялануы
-
Трансплантациядан кейін қалыптасуы
-
Трансплантациядан кейін өзге де ұлпалармен бірігісе алуы.
-
Қалпына келтірілген ұлпаның өз жұмысын қалыпты атқаруға толық қабілетті болуы
-
Қандай да бір зақым немесе зиян келтірілмеуі тиіс.
-
Иммундық қабылдамауды (отторжение) болдырмау үшін жағдай жасалуы тиіс.
Бағаналы жасушаларды қолданудағы туындайтын мәселелер.
-
Эмбриондық бағаналы жасушалар даму барысында кез келген жасуша түріне маманданып, өзгере алады;
-
Эмбриондық бағаналы жасушалар шексіз көбейе алады және де олар ересек ағзаның арнайы химиялық командаларын ұғынып, қабылдай алмайды, себебі ол командаларды беретін бластоцистада ондай құрылғы жоқ;
-
Ағзаға бұндай жасушаларды енгізу түрлі қатерлі ісік ауруларына немесе тератомалардың пайда болуына әкеп соқтырады;
-
Трансплантациядағы бағаналы жасушаларды қолданудағы басты мәселе, олардың реципиент жасушалармен иммундық сәйкестікте болу-болмауы;
-
Бағаналы жасушаларды қолданудағы этикалық мәселелердің туындауы.
-
Бағаналы жасушаларды зерттеуде ғалымдардың жеткен жетістіктері.
Бағаналы жасушаларды қолданудағы қойылатын талаптар:
-
Бағаналы жасушалардың саны қол жетімді мөлшерде болу қажет;
-
Бағаналы жасушалардың дифференциациясы бағытты түрде жүруі қажет;
-
Бағаналы жасушалар реципиент ағзада өмір сүре алуы қажет;
-
Трансплантациялаудан кейін бағаналы жасушалар реципиент жасушада мамандана алу қажет;
-
Трансплантация кезінде реципиент жасушаға ешқандай зақым келмеуі тиіс.
шағым қалдыра аласыз













