Қысқа мерзімді жоспар
|
Бөлімі: |
Тербелістер және толқындар |
|
Педагогтің аты-жөні: |
Самат .Е |
|
Күні: |
17.02.25 |
|
Сыныбы: 9 |
Қатысушылар саны: Қатыспағандар саны: |
|
Сабақтың тақырыбы: |
№ 3-зертханалық жұмыс. "Математикалық маятниктің көмегімен еркін түсу үдеуін анықтау" |
|
Оқу бағдарламасына сәйкес оқу мақсаты |
9.2.5.8 математикалық маятник периодының формуласынан еркін түсу үдеуін анықтау; 9.1.3.1 алған нәтижені түсіндіру және қорытынды жасау |
|
Сабақтың мақсаты: |
Оқушылардың барлығы: Тербелмелі қозғалысты біледі және түсінеді, математикалық маятниктің көмегімен еркін түсу үдеуін тәжірибе түрінде агықтайды. Барлық есептеулерді жүргізіп, нәтижелерді түсіндіріп, қателіктерді анықтайды және қорытынды жасайды |
Сабақтың барысы:
|
Сабақ кезеңі/ Уақыты |
Педагогтің іс-әрекеті |
Оқушының іс-әрекеті |
Бағалау |
Ресурстар |
||||||||||||||||||||||||||||
|
Сабақтың басы (10 мин) “Сиқырлы қалам” әдісі 5 мин Миға шабуыл. «барабан әдісі» 5 мин |
Ұйымдастыру: Оқушылармен сәлемдесу, оқушыларды түгелдеу. Оқушылардың сабаққа дайындығын тексеру. Бағалау парғымен таныстыру «Зымыран әдісі»
“Сиқырлы қалам” әдісі бойынша үй жұмысын тексеру №1 ЕСЕП 6 секунд ішінде материалдық нүкте 12 тербеліс жасайды. Тербеліс периоды мен тербеліс жиілігін тап.
Ж t=6 c n=12
T-
№2 ЕСЕП
Ұ L=90 м g=10 м/с2 π=3,14
Т-?
№3 ЕСЕП Қатаңдығы 100 Н/м серіппеге асылған 4 кг дене қандай периодпен тербеліс жасайды? .(g=10 м/с2; π=3,14)
K m=4 кг g=10 м/с2 π=3,14
Т-?
ҚБ: Өзара жұппен тексеріп дескриптор бойынша зымыран әдісі арқылы бағалайды Тақырыпты ашу «суреттер сөйлейді» әдісі Экраннан суреттер көрсету арқылы сабақ тақырыбын, мақсатын анықтау және қауіпсіздік ережелерін еске түсіру «Миға шабуыл» ретінде «Барабан» әдісі арқылы өткенді еске түсіру Сұрақтар
1. Тербеліс деген не? 2. Тербелістің неше түрі бар? 3. Тербеліс амплитудасы деген не? 4. Тербеліс периоды деген не? 5. Тербеліс жиілігі деген не? 6. Еркін тербеліс деген не? 7. Ағаштың тербелуі қандай тербеліс түріне жатады? 8. Еріксіз тербеліс деген не? |
Оқушылар сәлемдеседі
Оқушылар үй жұмысын жұптар өзара тексеріп бағалау жүргізеді
Оқушылар өткен тақырып сұрақтарына жылдам жауап беріп, бүгінгі тақырыппен танысады. |
Бағалау критерийлері Зертханалық жұмысты қалай орындау керектігін біледі және түсінеді. -Математикалық маятниктің тербеліс периодының формуласынан еркін түсу үдеуінің формуласын қорытады. Есептеулерді дұрыс жүргізеді.
Дескриптор Периодты және жиілікті табады Маятниктің тебеліс периодын табады Серіппелі маятниктің тербеліс периодын табады Жалпы 3 балл
ҚБ: Мұғалімнің ауызша мадақтау сөздері
|
Оқулық Слайд
Интерактивті тақта |
||||||||||||||||||||||||||||
|
Сабақтың ортасы
25 минут
|
Зертханалық жұмыс: «Математикалық маятниктің көмегімен дененің еркін түсу үдеуін анықтау» Мақсаты: Математикалық маятниктің қасиеттерін зерттей отырып дененің еркін түсу үдеуін тәжірибе жүзінде анықтау. Теориялық бөлім
Математикалық маятниктің периодының формуласы:
Математикалық маятниктің периоды түбір астындағы еркін түсу үдеуіне кері пропорционал. Осы жерден еркін түсу үдеуін есептейтін формуланы қорытып шығарамыз:
Гипотеза/ болжам: (бұл пункт міндетті емес) Егер жіптің үйкеліс күшін және ауаның кедергі күштерін ескермесек, математикалық маятниктің көмегімен анықталатын еркін түсу үдеуінің мәні 9.8м/с2 -қа тең немесе жуық болуы мүмкін. Жұмыс барысы: 1.Тұрғыны парта шетіне орнатып, оған металл шар ілінген жіпті еденнен 3-5см жоғары тұратындай ілу 2.Маятникті тепе-теңдік күйінен 5-8см-ге ауытқытып, тербелтіп жіберу 3. Жіптің ұзындығын алдын-ала өлшеу. Маятниктің толық 30 тербеліс жасауға кеткен уақытты өлшеу. 4.Тәжірибені үш рет қайталап, уақыттың орташа мәнін алу. Сол уақыттың орташа мәні бойынша орташа периодты есептеу: Торт = tорт / N
5. 6.Барлық өлшеулерді кестеге енгізіп, қателікті анықтап, қорытындылау.
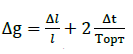
Қателіктерді анықтау: Абсолютті қателік:
Салыстырмалы қателік:
Қорытынды жазу 1 – тапсырма «Жұптық жұмыс» зертханалық жұмыс жүргізу № 1 Маятниктің толық 30 тербеліс жасауға кеткен уақытты өлшеу.(3-рет қайталаңдар ) №2 Әрбір уақытты пайдалана отырып орташа уақытты табу
№3 Сол уақыттың орташа мәні
бойынша орташа периодты есептеу: Торт
=
№4 .
№5 Еркін түсу үдеуінің орташа
мәнін есептеу
НҰСҚАУ: Еркін түсу үдеуін 9,8 м/с2 деп алып, қателіктерді анықтау №6 Еркін түсу үдеуінің абсалюттік қателігін анықтау
№7 Еркін түсу үдеуінің салыстырмалы қателігін анықтау
№8 қорытынды жазу Дескриптор - Маятниктің толық 30 тербеліс жасауға кеткен уақытты өлшейді (1 - ұпай) -Әрбір уақытты пайдалана отырып орташа уақытты табу (1 - ұпай) - Сол уақыттың орташа мәні бойынша орташа периодты есептеу: (1 - ұпай) - Еркін түсу үдеуін есептеу. (1 - ұпай) - Еркін түсу үдеуінің орташа мәнін есептеу (1 - ұпай) - Еркін түсу үдеуінің абсалюттік қателігін анықтау (1 - ұпай) - Еркін түсу үдеуінің салыстырмалы қателігін анықтау (1 - ұпай) - қорытынды жазу (1 - ұпай) |
Зертханалық жұмысты орындауға қажетті құрал-жабдықтар: қысқышы мен сақинасы бар тұрғы, жіп, сызғыш немесе өлшеуіш лента, секунд өлшегіш, металл шар, магнит. |
||||||||||||||||||||||||||||||
|
Бекіту тапсырмасы 5 мин
|
«Жеке жұмыс» тест тапсырмасы 1. Тербеліс периоды А. Дене қозғалысы қайталанатын қозғалыс В. Дене қозғалысы толық қайталанатын қозғалыс С. Дене қозғалысы толық қайталанып отыратын ең аз уақыт аралығы Д. Дене қозғалысы қайталанатын қозғалыстың аралығы 2. Тербеліс жиілігі А. Бірлік уақыт ішіндегі тербелістер саны В. Өте аз уақыттағы тербелістер саны С. Дене қозғалысы толық қайталанып отыратын ең аз уақыт аралығы Д. Бір минуттағы тербелістер. 3. Тербеліс амплитудасы А. Дененің тепе тең күйі В. Дененің тербеліс күйінен ауытқуы С. Дененің тепе теңдік күйінен ең үлкен ығысуының мәні Д. Дененің тепе теңдік күйінен ығысуы 4. Серіппелі маятник неге тәелді? : А. Ұзындыққа В. Еркін түсу үдеуіне С. Ұзындық пен еркін түсу үдеуіне Д. Қатаңдыққа және массаға 5. Математикалық маятниктің периоды мына шамаларға тәуелді: А. Ұзындыққа В. Еркін түсу үдеуіне С. Ұзындық пен еркін түсу үдеуіне Д. Қатаңдыққа |
Оқушылар тест тапсырмасын орындайды, дұрыс жауабын экраннан қарап тексереді және өзара бағалайды |
Дескриптор Дұрыс жауабын белгілейді Әрбір дұрыс жауап 1 ұпай Жалпы ұпай -5
Тест жауабы 1. С 2. А 3. С 4. Д 5. С
ҚБ: «Зымыран әдісі» |
Қосымша таратпа материалдар, интерактивті тақта |
||||||||||||||||||||||||||||
|
Сабақтың соңы. 5 мин
Бағалау
Рефлекция
Үйге тапсырма |
Бағалау: «зымыран» әдісі арқылы 10 баллдық жүйе
"Серіппелі маятник" әдісі
Есептер шығару №1. Қатаңдығы 100 Н/м серіппеге массасы 9 кг дене бекітілген. тербеліс периоды неге тең? №2. Ұзындығы 2,45 м маятник 314 с ішінде 100 рет тербеледі. Математикалық маятниктің периодын және еркін түсу үдеуін табу керек. |
Сабақты қорытындылау барысында оқушылар өз ойларын үлестірме қағаздарға жазып, серіппелі маятникке кім қай мәселені ұққандығына қарай толтырады.
Үй жұмысын белгілеп алады |
Барлығы 16 ұпай 7 – 8 6 балл 9 -10 7 балл 11-12 8 балл 13 – 14 9 балл 15-16 10 балл Оқушылар зертханалық жұмысты орындап болып, қорытындыларын жасайды. Әр жұптан 1 сөйлемнен тыңдап, барлық қорытындылардан жалпы бір қорытынды жасау. |
Презентациямен мұғалім ұсынған қорытындыны көрсетуге де болады. |
||||||||||||||||||||||||||||
Қосымша тапсырма
1. Қатаңдығы 250 Н/м серіппеге асылған жүк 5 с период жасаған болса жүктің массасын табыңдар .(g=10 м/с2; π=3,14)
2. Егер математикалық маятниктің тербеліс периоды 12,56 с болса, оның ұзындығы қандай? (g=10 м/с2; π=3,14)
3. Серіппеде тербеліп тұрған жүк 1 минут ішінде 60 тербеліс жасайды. Тербелістің жиілігі неге тең?
4. Математикалық маятниктің қозғалыс теңдеуі: Х=0,1 cos ( 2t+П/4 ). Математикалық маятниктің ұзындығы қандай?
1 – тапсырма «Жұптық жұмыс» зертханалық жұмыс жүргізу
№ 1 Маятниктің толық 30 тербеліс жасауға кеткен уақытты өлшеу.(3-рет қайталаңдар )
№2 Әрбір уақытты пайдалана отырып орташа уақытты табу

№3
Сол уақыттың орташа мәні
бойынша орташа периодты есептеу: Торт
=
№4
.
формуласы бойынша
еркін түсу үдеуін есептеу.
№5
Еркін түсу үдеуінің орташа
мәнін есептеу

НҰСҚАУ: Еркін түсу үдеуін 9,8 м/с2 деп алып, қателіктерді анықтау
№6 Еркін түсу үдеуінің абсалюттік қателігін анықтау

№7 Еркін түсу үдеуінің салыстырмалы қателігін анықтау

№8 қорытынды жазу
|
№ |
N |
t,с |
tорт, с |
Tорт, с |
g, м/с2 |
gорт, м/с2 |
|
1 |
30 |
|
|
|
|
|
|
2 |
30 |
|
|
|
|
|
|
3 |
30 |
|
|
|
|
|
Дескриптор
- Маятниктің толық 30 тербеліс жасауға кеткен уақытты өлшейді (1 - ұпай)
-Әрбір уақытты пайдалана отырып орташа уақытты табу (1 - ұпай)
- Сол уақыттың орташа мәні бойынша орташа периодты есептеу: (1 - ұпай)
- Еркін түсу үдеуін есептеу. (1 - ұпай)
- Еркін түсу үдеуінің орташа мәнін есептеу (1 - ұпай)
- Еркін түсу үдеуінің абсалюттік қателігін анықтау (1 - ұпай)
- Еркін түсу үдеуінің салыстырмалы қателігін анықтау (1 - ұпай)
- қорытынды жазу (1 - ұпай)
1 – тапсырма «Жұптық жұмыс» зертханалық жұмыс жүргізу
№ 1 Маятниктің толық 30 тербеліс жасауға кеткен уақытты өлшеу.(3-рет қайталаңдар )
№2 Әрбір уақытты пайдалана отырып орташа уақытты табу

№3 Сол уақыттың орташа мәні бойынша орташа периодты есептеу:
Торт
=
№4
.
формуласы бойынша
еркін түсу үдеуін есептеу.
№5
Еркін түсу үдеуінің орташа
мәнін есептеу

НҰСҚАУ: Еркін түсу үдеуін 9,8 м/с2 деп алып, қателіктерді анықтау
№6 Еркін түсу үдеуінің абсалюттік қателігін анықтау

№7 Еркін түсу үдеуінің салыстырмалы қателігін анықтау

№8 қорытынды жазу
|
№ |
N |
t,с |
tорт, с |
Tорт, с |
g, м/с2 |
gорт, м/с2 |
|
1 |
30 |
|
|
|
|
|
|
2 |
30 |
|
|
|
|
|
|
3 |
30 |
|
|
|
|
|
Дескриптор
- Маятниктің толық 30 тербеліс жасауға кеткен уақытты өлшейді (1 - ұпай)
-Әрбір уақытты пайдалана отырып орташа уақытты табу (1 - ұпай)
- Сол уақыттың орташа мәні бойынша орташа периодты есептеу: (1 - ұпай)
- Еркін түсу үдеуін есептеу. (1 - ұпай)
- Еркін түсу үдеуінің орташа мәнін есептеу (1 - ұпай)
- Еркін түсу үдеуінің абсалюттік қателігін анықтау (1 - ұпай)
- Еркін түсу үдеуінің салыстырмалы қателігін анықтау (1 - ұпай)
- қорытынды жазу (1 - ұпай)
Жалпы 8 ұпай
«Жеке жұмыс» тест тапсырмасы
1. Тербеліс периоды
А. Дене қозғалысы қайталанатын қозғалыс
В. Дене қозғалысы толық қайталанатын қозғалыс
С. Дене қозғалысы толық қайталанып отыратын ең аз уақыт аралығы
Д. Дене қозғалысы қайталанатын қозғалыстың аралығы
2. Тербеліс жиілігі
А. Бірлік уақыт ішіндегі тербелістер саны
В. Өте аз уақыттағы тербелістер саны
С. Дене қозғалысы толық қайталанып отыратын ең аз уақыт аралығы
Д. Бір минуттағы тербелістер.
3. Тербеліс амплитудасы
А. Дененің тепе тең күйі
В. Дененің тербеліс күйінен ауытқуы
С. Дененің тепе теңдік күйінен ең үлкен ығысуының мәні
Д. Дененің тепе теңдік күйінен ығысуы
4. Серіппелі маятник неге тәелді? :
А. Ұзындыққа
В. Еркін түсу үдеуіне
С. Ұзындық пен еркін түсу үдеуіне
Д. Қатаңдыққа және массаға
5. Математикалық маятниктің периоды мына шамаларға тәуелді:
А. Ұзындыққа
В. Еркін түсу үдеуіне
С. Ұзындық пен еркін түсу үдеуіне
Д. Қатаңдыққа
«Жеке жұмыс» тест тапсырмасы
1. Тербеліс периоды
А. Дене қозғалысы қайталанатын қозғалыс
В. Дене қозғалысы толық қайталанатын қозғалыс
С. Дене қозғалысы толық қайталанып отыратын ең аз уақыт аралығы
Д. Дене қозғалысы қайталанатын қозғалыстың аралығы
2. Тербеліс жиілігі
А. Бірлік уақыт ішіндегі тербелістер саны
В. Өте аз уақыттағы тербелістер саны
С. Дене қозғалысы толық қайталанып отыратын ең аз уақыт аралығы
Д. Бір минуттағы тербелістер.
3. Тербеліс амплитудасы
А. Дененің тепе тең күйі
В. Дененің тербеліс күйінен ауытқуы
С. Дененің тепе теңдік күйінен ең үлкен ығысуының мәні
Д. Дененің тепе теңдік күйінен ығысуы
4. Серіппелі маятник неге тәелді? :
А. Ұзындыққа
В. Еркін түсу үдеуіне
С. Ұзындық пен еркін түсу үдеуіне
Д. Қатаңдыққа және массаға
5. Математикалық маятниктің периоды мына шамаларға тәуелді:
А. Ұзындыққа
В. Еркін түсу үдеуіне
С. Ұзындық пен еркін түсу үдеуіне
Д. Қатаңдыққа
«Жеке жұмыс» тест тапсырмасы
1. Тербеліс периоды
А. Дене қозғалысы қайталанатын қозғалыс
В. Дене қозғалысы толық қайталанатын қозғалыс
С. Дене қозғалысы толық қайталанып отыратын ең аз уақыт аралығы
Д. Дене қозғалысы қайталанатын қозғалыстың аралығы
2. Тербеліс жиілігі
А. Бірлік уақыт ішіндегі тербелістер саны
В. Өте аз уақыттағы тербелістер саны
С. Дене қозғалысы толық қайталанып отыратын ең аз уақыт аралығы
Д. Бір минуттағы тербелістер.
3. Тербеліс амплитудасы
А. Дененің тепе тең күйі
В. Дененің тербеліс күйінен ауытқуы
С. Дененің тепе теңдік күйінен ең үлкен ығысуының мәні
Д. Дененің тепе теңдік күйінен ығысуы
4. Серіппелі маятник неге тәелді? :
А. Ұзындыққа
В. Еркін түсу үдеуіне
С. Ұзындық пен еркін түсу үдеуіне
Д. Қатаңдыққа және массаға
5. Математикалық маятниктің периоды мына шамаларға тәуелді:
А. Ұзындыққа
В. Еркін түсу үдеуіне
С. Ұзындық пен еркін түсу үдеуіне
Д. Қатаңдыққа
«Жеке жұмыс» тест тапсырмасы
1. Тербеліс периоды
А. Дене қозғалысы қайталанатын қозғалыс
В. Дене қозғалысы толық қайталанатын қозғалыс
С. Дене қозғалысы толық қайталанып отыратын ең аз уақыт аралығы
Д. Дене қозғалысы қайталанатын қозғалыстың аралығы
2. Тербеліс жиілігі
А. Бірлік уақыт ішіндегі тербелістер саны
В. Өте аз уақыттағы тербелістер саны
С. Дене қозғалысы толық қайталанып отыратын ең аз уақыт аралығы
Д. Бір минуттағы тербелістер.
3. Тербеліс амплитудасы
А. Дененің тепе тең күйі
В. Дененің тербеліс күйінен ауытқуы
С. Дененің тепе теңдік күйінен ең үлкен ығысуының мәні
Д. Дененің тепе теңдік күйінен ығысуы
4. Серіппелі маятник неге тәелді? :
А. Ұзындыққа
В. Еркін түсу үдеуіне
С. Ұзындық пен еркін түсу үдеуіне
Д. Қатаңдыққа және массаға
5. Математикалық маятниктің периоды мына шамаларға тәуелді:
А. Ұзындыққа
В. Еркін түсу үдеуіне
С. Ұзындық пен еркін түсу үдеуіне
Д. Қатаңдыққа
жүктеу мүмкіндігіне ие боласыз
Бұл материал сайт қолданушысы жариялаған. Материалдың ішінде жазылған барлық ақпаратқа жауапкершілікті жариялаған қолданушы жауап береді. Ұстаз тілегі тек ақпаратты таратуға қолдау көрсетеді. Егер материал сіздің авторлық құқығыңызды бұзған болса немесе басқа да себептермен сайттан өшіру керек деп ойласаңыз осында жазыңыз
№3 ЗЕРТХАНАЛЫҚ ЖҰМЫС "Математикалық маятник көмегімен еркін түсу үдеуін анықтау"
№3 ЗЕРТХАНАЛЫҚ ЖҰМЫС "Математикалық маятник көмегімен еркін түсу үдеуін анықтау"
Қысқа мерзімді жоспар
|
Бөлімі: |
Тербелістер және толқындар |
|
Педагогтің аты-жөні: |
Самат .Е |
|
Күні: |
17.02.25 |
|
Сыныбы: 9 |
Қатысушылар саны: Қатыспағандар саны: |
|
Сабақтың тақырыбы: |
№ 3-зертханалық жұмыс. "Математикалық маятниктің көмегімен еркін түсу үдеуін анықтау" |
|
Оқу бағдарламасына сәйкес оқу мақсаты |
9.2.5.8 математикалық маятник периодының формуласынан еркін түсу үдеуін анықтау; 9.1.3.1 алған нәтижені түсіндіру және қорытынды жасау |
|
Сабақтың мақсаты: |
Оқушылардың барлығы: Тербелмелі қозғалысты біледі және түсінеді, математикалық маятниктің көмегімен еркін түсу үдеуін тәжірибе түрінде агықтайды. Барлық есептеулерді жүргізіп, нәтижелерді түсіндіріп, қателіктерді анықтайды және қорытынды жасайды |
Сабақтың барысы:
|
Сабақ кезеңі/ Уақыты |
Педагогтің іс-әрекеті |
Оқушының іс-әрекеті |
Бағалау |
Ресурстар |
||||||||||||||||||||||||||||
|
Сабақтың басы (10 мин) “Сиқырлы қалам” әдісі 5 мин Миға шабуыл. «барабан әдісі» 5 мин |
Ұйымдастыру: Оқушылармен сәлемдесу, оқушыларды түгелдеу. Оқушылардың сабаққа дайындығын тексеру. Бағалау парғымен таныстыру «Зымыран әдісі»
“Сиқырлы қалам” әдісі бойынша үй жұмысын тексеру №1 ЕСЕП 6 секунд ішінде материалдық нүкте 12 тербеліс жасайды. Тербеліс периоды мен тербеліс жиілігін тап.
Ж t=6 c n=12
T-
№2 ЕСЕП
Ұ L=90 м g=10 м/с2 π=3,14
Т-?
№3 ЕСЕП Қатаңдығы 100 Н/м серіппеге асылған 4 кг дене қандай периодпен тербеліс жасайды? .(g=10 м/с2; π=3,14)
K m=4 кг g=10 м/с2 π=3,14
Т-?
ҚБ: Өзара жұппен тексеріп дескриптор бойынша зымыран әдісі арқылы бағалайды Тақырыпты ашу «суреттер сөйлейді» әдісі Экраннан суреттер көрсету арқылы сабақ тақырыбын, мақсатын анықтау және қауіпсіздік ережелерін еске түсіру «Миға шабуыл» ретінде «Барабан» әдісі арқылы өткенді еске түсіру Сұрақтар
1. Тербеліс деген не? 2. Тербелістің неше түрі бар? 3. Тербеліс амплитудасы деген не? 4. Тербеліс периоды деген не? 5. Тербеліс жиілігі деген не? 6. Еркін тербеліс деген не? 7. Ағаштың тербелуі қандай тербеліс түріне жатады? 8. Еріксіз тербеліс деген не? |
Оқушылар сәлемдеседі
Оқушылар үй жұмысын жұптар өзара тексеріп бағалау жүргізеді
Оқушылар өткен тақырып сұрақтарына жылдам жауап беріп, бүгінгі тақырыппен танысады. |
Бағалау критерийлері Зертханалық жұмысты қалай орындау керектігін біледі және түсінеді. -Математикалық маятниктің тербеліс периодының формуласынан еркін түсу үдеуінің формуласын қорытады. Есептеулерді дұрыс жүргізеді.
Дескриптор Периодты және жиілікті табады Маятниктің тебеліс периодын табады Серіппелі маятниктің тербеліс периодын табады Жалпы 3 балл
ҚБ: Мұғалімнің ауызша мадақтау сөздері
|
Оқулық Слайд
Интерактивті тақта |
||||||||||||||||||||||||||||
|
Сабақтың ортасы
25 минут
|
Зертханалық жұмыс: «Математикалық маятниктің көмегімен дененің еркін түсу үдеуін анықтау» Мақсаты: Математикалық маятниктің қасиеттерін зерттей отырып дененің еркін түсу үдеуін тәжірибе жүзінде анықтау. Теориялық бөлім
Математикалық маятниктің периодының формуласы:
Математикалық маятниктің периоды түбір астындағы еркін түсу үдеуіне кері пропорционал. Осы жерден еркін түсу үдеуін есептейтін формуланы қорытып шығарамыз:
Гипотеза/ болжам: (бұл пункт міндетті емес) Егер жіптің үйкеліс күшін және ауаның кедергі күштерін ескермесек, математикалық маятниктің көмегімен анықталатын еркін түсу үдеуінің мәні 9.8м/с2 -қа тең немесе жуық болуы мүмкін. Жұмыс барысы: 1.Тұрғыны парта шетіне орнатып, оған металл шар ілінген жіпті еденнен 3-5см жоғары тұратындай ілу 2.Маятникті тепе-теңдік күйінен 5-8см-ге ауытқытып, тербелтіп жіберу 3. Жіптің ұзындығын алдын-ала өлшеу. Маятниктің толық 30 тербеліс жасауға кеткен уақытты өлшеу. 4.Тәжірибені үш рет қайталап, уақыттың орташа мәнін алу. Сол уақыттың орташа мәні бойынша орташа периодты есептеу: Торт = tорт / N
5. 6.Барлық өлшеулерді кестеге енгізіп, қателікті анықтап, қорытындылау.
Қателіктерді анықтау: Абсолютті қателік:
Салыстырмалы қателік:
Қорытынды жазу 1 – тапсырма «Жұптық жұмыс» зертханалық жұмыс жүргізу № 1 Маятниктің толық 30 тербеліс жасауға кеткен уақытты өлшеу.(3-рет қайталаңдар ) №2 Әрбір уақытты пайдалана отырып орташа уақытты табу
№3 Сол уақыттың орташа мәні
бойынша орташа периодты есептеу: Торт
=
№4 .
№5 Еркін түсу үдеуінің орташа
мәнін есептеу
НҰСҚАУ: Еркін түсу үдеуін 9,8 м/с2 деп алып, қателіктерді анықтау №6 Еркін түсу үдеуінің абсалюттік қателігін анықтау
№7 Еркін түсу үдеуінің салыстырмалы қателігін анықтау
№8 қорытынды жазу Дескриптор - Маятниктің толық 30 тербеліс жасауға кеткен уақытты өлшейді (1 - ұпай) -Әрбір уақытты пайдалана отырып орташа уақытты табу (1 - ұпай) - Сол уақыттың орташа мәні бойынша орташа периодты есептеу: (1 - ұпай) - Еркін түсу үдеуін есептеу. (1 - ұпай) - Еркін түсу үдеуінің орташа мәнін есептеу (1 - ұпай) - Еркін түсу үдеуінің абсалюттік қателігін анықтау (1 - ұпай) - Еркін түсу үдеуінің салыстырмалы қателігін анықтау (1 - ұпай) - қорытынды жазу (1 - ұпай) |
Зертханалық жұмысты орындауға қажетті құрал-жабдықтар: қысқышы мен сақинасы бар тұрғы, жіп, сызғыш немесе өлшеуіш лента, секунд өлшегіш, металл шар, магнит. |
||||||||||||||||||||||||||||||
|
Бекіту тапсырмасы 5 мин
|
«Жеке жұмыс» тест тапсырмасы 1. Тербеліс периоды А. Дене қозғалысы қайталанатын қозғалыс В. Дене қозғалысы толық қайталанатын қозғалыс С. Дене қозғалысы толық қайталанып отыратын ең аз уақыт аралығы Д. Дене қозғалысы қайталанатын қозғалыстың аралығы 2. Тербеліс жиілігі А. Бірлік уақыт ішіндегі тербелістер саны В. Өте аз уақыттағы тербелістер саны С. Дене қозғалысы толық қайталанып отыратын ең аз уақыт аралығы Д. Бір минуттағы тербелістер. 3. Тербеліс амплитудасы А. Дененің тепе тең күйі В. Дененің тербеліс күйінен ауытқуы С. Дененің тепе теңдік күйінен ең үлкен ығысуының мәні Д. Дененің тепе теңдік күйінен ығысуы 4. Серіппелі маятник неге тәелді? : А. Ұзындыққа В. Еркін түсу үдеуіне С. Ұзындық пен еркін түсу үдеуіне Д. Қатаңдыққа және массаға 5. Математикалық маятниктің периоды мына шамаларға тәуелді: А. Ұзындыққа В. Еркін түсу үдеуіне С. Ұзындық пен еркін түсу үдеуіне Д. Қатаңдыққа |
Оқушылар тест тапсырмасын орындайды, дұрыс жауабын экраннан қарап тексереді және өзара бағалайды |
Дескриптор Дұрыс жауабын белгілейді Әрбір дұрыс жауап 1 ұпай Жалпы ұпай -5
Тест жауабы 1. С 2. А 3. С 4. Д 5. С
ҚБ: «Зымыран әдісі» |
Қосымша таратпа материалдар, интерактивті тақта |
||||||||||||||||||||||||||||
|
Сабақтың соңы. 5 мин
Бағалау
Рефлекция
Үйге тапсырма |
Бағалау: «зымыран» әдісі арқылы 10 баллдық жүйе
"Серіппелі маятник" әдісі
Есептер шығару №1. Қатаңдығы 100 Н/м серіппеге массасы 9 кг дене бекітілген. тербеліс периоды неге тең? №2. Ұзындығы 2,45 м маятник 314 с ішінде 100 рет тербеледі. Математикалық маятниктің периодын және еркін түсу үдеуін табу керек. |
Сабақты қорытындылау барысында оқушылар өз ойларын үлестірме қағаздарға жазып, серіппелі маятникке кім қай мәселені ұққандығына қарай толтырады.
Үй жұмысын белгілеп алады |
Барлығы 16 ұпай 7 – 8 6 балл 9 -10 7 балл 11-12 8 балл 13 – 14 9 балл 15-16 10 балл Оқушылар зертханалық жұмысты орындап болып, қорытындыларын жасайды. Әр жұптан 1 сөйлемнен тыңдап, барлық қорытындылардан жалпы бір қорытынды жасау. |
Презентациямен мұғалім ұсынған қорытындыны көрсетуге де болады. |
||||||||||||||||||||||||||||
Қосымша тапсырма
1. Қатаңдығы 250 Н/м серіппеге асылған жүк 5 с период жасаған болса жүктің массасын табыңдар .(g=10 м/с2; π=3,14)
2. Егер математикалық маятниктің тербеліс периоды 12,56 с болса, оның ұзындығы қандай? (g=10 м/с2; π=3,14)
3. Серіппеде тербеліп тұрған жүк 1 минут ішінде 60 тербеліс жасайды. Тербелістің жиілігі неге тең?
4. Математикалық маятниктің қозғалыс теңдеуі: Х=0,1 cos ( 2t+П/4 ). Математикалық маятниктің ұзындығы қандай?
1 – тапсырма «Жұптық жұмыс» зертханалық жұмыс жүргізу
№ 1 Маятниктің толық 30 тербеліс жасауға кеткен уақытты өлшеу.(3-рет қайталаңдар )
№2 Әрбір уақытты пайдалана отырып орташа уақытты табу

№3
Сол уақыттың орташа мәні
бойынша орташа периодты есептеу: Торт
=
№4
.
формуласы бойынша
еркін түсу үдеуін есептеу.
№5
Еркін түсу үдеуінің орташа
мәнін есептеу

НҰСҚАУ: Еркін түсу үдеуін 9,8 м/с2 деп алып, қателіктерді анықтау
№6 Еркін түсу үдеуінің абсалюттік қателігін анықтау

№7 Еркін түсу үдеуінің салыстырмалы қателігін анықтау

№8 қорытынды жазу
|
№ |
N |
t,с |
tорт, с |
Tорт, с |
g, м/с2 |
gорт, м/с2 |
|
1 |
30 |
|
|
|
|
|
|
2 |
30 |
|
|
|
|
|
|
3 |
30 |
|
|
|
|
|
Дескриптор
- Маятниктің толық 30 тербеліс жасауға кеткен уақытты өлшейді (1 - ұпай)
-Әрбір уақытты пайдалана отырып орташа уақытты табу (1 - ұпай)
- Сол уақыттың орташа мәні бойынша орташа периодты есептеу: (1 - ұпай)
- Еркін түсу үдеуін есептеу. (1 - ұпай)
- Еркін түсу үдеуінің орташа мәнін есептеу (1 - ұпай)
- Еркін түсу үдеуінің абсалюттік қателігін анықтау (1 - ұпай)
- Еркін түсу үдеуінің салыстырмалы қателігін анықтау (1 - ұпай)
- қорытынды жазу (1 - ұпай)
1 – тапсырма «Жұптық жұмыс» зертханалық жұмыс жүргізу
№ 1 Маятниктің толық 30 тербеліс жасауға кеткен уақытты өлшеу.(3-рет қайталаңдар )
№2 Әрбір уақытты пайдалана отырып орташа уақытты табу

№3 Сол уақыттың орташа мәні бойынша орташа периодты есептеу:
Торт
=
№4
.
формуласы бойынша
еркін түсу үдеуін есептеу.
№5
Еркін түсу үдеуінің орташа
мәнін есептеу

НҰСҚАУ: Еркін түсу үдеуін 9,8 м/с2 деп алып, қателіктерді анықтау
№6 Еркін түсу үдеуінің абсалюттік қателігін анықтау

№7 Еркін түсу үдеуінің салыстырмалы қателігін анықтау

№8 қорытынды жазу
|
№ |
N |
t,с |
tорт, с |
Tорт, с |
g, м/с2 |
gорт, м/с2 |
|
1 |
30 |
|
|
|
|
|
|
2 |
30 |
|
|
|
|
|
|
3 |
30 |
|
|
|
|
|
Дескриптор
- Маятниктің толық 30 тербеліс жасауға кеткен уақытты өлшейді (1 - ұпай)
-Әрбір уақытты пайдалана отырып орташа уақытты табу (1 - ұпай)
- Сол уақыттың орташа мәні бойынша орташа периодты есептеу: (1 - ұпай)
- Еркін түсу үдеуін есептеу. (1 - ұпай)
- Еркін түсу үдеуінің орташа мәнін есептеу (1 - ұпай)
- Еркін түсу үдеуінің абсалюттік қателігін анықтау (1 - ұпай)
- Еркін түсу үдеуінің салыстырмалы қателігін анықтау (1 - ұпай)
- қорытынды жазу (1 - ұпай)
Жалпы 8 ұпай
«Жеке жұмыс» тест тапсырмасы
1. Тербеліс периоды
А. Дене қозғалысы қайталанатын қозғалыс
В. Дене қозғалысы толық қайталанатын қозғалыс
С. Дене қозғалысы толық қайталанып отыратын ең аз уақыт аралығы
Д. Дене қозғалысы қайталанатын қозғалыстың аралығы
2. Тербеліс жиілігі
А. Бірлік уақыт ішіндегі тербелістер саны
В. Өте аз уақыттағы тербелістер саны
С. Дене қозғалысы толық қайталанып отыратын ең аз уақыт аралығы
Д. Бір минуттағы тербелістер.
3. Тербеліс амплитудасы
А. Дененің тепе тең күйі
В. Дененің тербеліс күйінен ауытқуы
С. Дененің тепе теңдік күйінен ең үлкен ығысуының мәні
Д. Дененің тепе теңдік күйінен ығысуы
4. Серіппелі маятник неге тәелді? :
А. Ұзындыққа
В. Еркін түсу үдеуіне
С. Ұзындық пен еркін түсу үдеуіне
Д. Қатаңдыққа және массаға
5. Математикалық маятниктің периоды мына шамаларға тәуелді:
А. Ұзындыққа
В. Еркін түсу үдеуіне
С. Ұзындық пен еркін түсу үдеуіне
Д. Қатаңдыққа
«Жеке жұмыс» тест тапсырмасы
1. Тербеліс периоды
А. Дене қозғалысы қайталанатын қозғалыс
В. Дене қозғалысы толық қайталанатын қозғалыс
С. Дене қозғалысы толық қайталанып отыратын ең аз уақыт аралығы
Д. Дене қозғалысы қайталанатын қозғалыстың аралығы
2. Тербеліс жиілігі
А. Бірлік уақыт ішіндегі тербелістер саны
В. Өте аз уақыттағы тербелістер саны
С. Дене қозғалысы толық қайталанып отыратын ең аз уақыт аралығы
Д. Бір минуттағы тербелістер.
3. Тербеліс амплитудасы
А. Дененің тепе тең күйі
В. Дененің тербеліс күйінен ауытқуы
С. Дененің тепе теңдік күйінен ең үлкен ығысуының мәні
Д. Дененің тепе теңдік күйінен ығысуы
4. Серіппелі маятник неге тәелді? :
А. Ұзындыққа
В. Еркін түсу үдеуіне
С. Ұзындық пен еркін түсу үдеуіне
Д. Қатаңдыққа және массаға
5. Математикалық маятниктің периоды мына шамаларға тәуелді:
А. Ұзындыққа
В. Еркін түсу үдеуіне
С. Ұзындық пен еркін түсу үдеуіне
Д. Қатаңдыққа
«Жеке жұмыс» тест тапсырмасы
1. Тербеліс периоды
А. Дене қозғалысы қайталанатын қозғалыс
В. Дене қозғалысы толық қайталанатын қозғалыс
С. Дене қозғалысы толық қайталанып отыратын ең аз уақыт аралығы
Д. Дене қозғалысы қайталанатын қозғалыстың аралығы
2. Тербеліс жиілігі
А. Бірлік уақыт ішіндегі тербелістер саны
В. Өте аз уақыттағы тербелістер саны
С. Дене қозғалысы толық қайталанып отыратын ең аз уақыт аралығы
Д. Бір минуттағы тербелістер.
3. Тербеліс амплитудасы
А. Дененің тепе тең күйі
В. Дененің тербеліс күйінен ауытқуы
С. Дененің тепе теңдік күйінен ең үлкен ығысуының мәні
Д. Дененің тепе теңдік күйінен ығысуы
4. Серіппелі маятник неге тәелді? :
А. Ұзындыққа
В. Еркін түсу үдеуіне
С. Ұзындық пен еркін түсу үдеуіне
Д. Қатаңдыққа және массаға
5. Математикалық маятниктің периоды мына шамаларға тәуелді:
А. Ұзындыққа
В. Еркін түсу үдеуіне
С. Ұзындық пен еркін түсу үдеуіне
Д. Қатаңдыққа
«Жеке жұмыс» тест тапсырмасы
1. Тербеліс периоды
А. Дене қозғалысы қайталанатын қозғалыс
В. Дене қозғалысы толық қайталанатын қозғалыс
С. Дене қозғалысы толық қайталанып отыратын ең аз уақыт аралығы
Д. Дене қозғалысы қайталанатын қозғалыстың аралығы
2. Тербеліс жиілігі
А. Бірлік уақыт ішіндегі тербелістер саны
В. Өте аз уақыттағы тербелістер саны
С. Дене қозғалысы толық қайталанып отыратын ең аз уақыт аралығы
Д. Бір минуттағы тербелістер.
3. Тербеліс амплитудасы
А. Дененің тепе тең күйі
В. Дененің тербеліс күйінен ауытқуы
С. Дененің тепе теңдік күйінен ең үлкен ығысуының мәні
Д. Дененің тепе теңдік күйінен ығысуы
4. Серіппелі маятник неге тәелді? :
А. Ұзындыққа
В. Еркін түсу үдеуіне
С. Ұзындық пен еркін түсу үдеуіне
Д. Қатаңдыққа және массаға
5. Математикалық маятниктің периоды мына шамаларға тәуелді:
А. Ұзындыққа
В. Еркін түсу үдеуіне
С. Ұзындық пен еркін түсу үдеуіне
Д. Қатаңдыққа
шағым қалдыра аласыз
ауабы





















