Сабақ жоспары
Бекітемін:
|
Мектеп |
Қадыр Кәрімов атындағы ЖББМ |
|||||||||||||||||||||
|
Апта дәйек сөзі |
Ынтымақ жүрген жерде ырыс бірге жүреді |
|||||||||||||||||||||
|
Педагогтің Тегі, Аты, Әкесінің аты (бар болса) |
Темиргалиева Ж.С. |
|||||||||||||||||||||
|
Пән/Сынып: |
5 сынып; Қатысқандар саны: Қатыспағандар саны: |
|||||||||||||||||||||
|
Күні: |
|
|||||||||||||||||||||
|
Бөлім: |
5.2А Жай бөлшектерге амалдар қолдану |
|||||||||||||||||||||
|
Сабақтың тақырыбы: |
Жай бөлшектерді және аралас сандарды бөлу |
|||||||||||||||||||||
|
Оқу бағдарламасына сәйкес оқыту мақсаттары |
5.1.2.23 жай бөлшектерді және аралас сандарды бөлуді орындау; |
|||||||||||||||||||||
|
Сабақтың мақсаттары: |
-Жай бөлшектерді бөлу алгоритмін біледі және бөлуді орындайды; -Аралас сандарды бөлу ережесін біледі,есеп шығаруда қолданады.
|
|||||||||||||||||||||
|
Сабақ барысы: |
||||||||||||||||||||||
|
Уақыты |
Кезең дері |
Педагогтің әрекеті |
Оқушының әрекеті |
Бағалау |
Ресурстар |
|||||||||||||||||
|
5 минут |
Ұйымдастыру |
Сәлеметсіздерме! Бүгін, Жай бөлшектерді және аралас сандарды бөлу тақырыбын қарастырамыз. Бүгінгі сабақта меңгеретініңіз: -Жай бөлшектерді бөлу алгоритмін біледі және бөлуді орындайды; -Аралас сандарды бөлу ережесін біледі,есеп шығаруда қолданады. Үй тапсырмасын тексеру. №625. «Миға шабуыл» стратегиясы. Үй тапсырмаларын оқушылар өзара сұрақ қою және тақырыпты мазмұндау 1) Қандай санды бөлшек сан деп атаймыз? 2)Бөлшек неше түрге бөлінеді? 3)Бөлімдері бірдей бөлшектерді қалай қосамыз?Бөлімдері әр түрлі болса ше? 4)Бөлімдері бірдей бөлшектерді қалай азайтамыз?Бөлімдері әр түрлі болса ше? 5)Бөлшектерді қалай көбейтеміз? 6)Бөлшектерді қалай бөлеміз? 7)Аралас сандарды қалай косып азайтамыз? 8) Бөлшек сан не үшін керек болады? |
Сабақ мақсатымен танысады. Үй жұмысын айтады. Сұрақтарға жауап береді |
|
Жалпы білім беретін мектептің 5–сыныбына арналған оқулық. Оқулық авторлары: Т.А.Алдамұратова, Қ.С.Байшоланова, Е.С.Байшоланов Алматы «Атамұра» баспасы 2017 жыл |
|||||||||||||||||
|
8 мин |
Жаңа сабақты бекіту. |
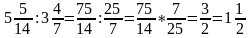
1.Жай бөлшекті жай бөлшекке бөлгенде,1-ші бөлшек өзі жазылып,2-ші бөлшек кері санга айналып көбейтіледі. Мысалы: 2.Аралас санды аралас санға бөлгенде ең бңрінші аралас санды бұрыс бөлшекке айналдырып аламыз да, бөлшекті бөлшекке бөлу амалын қолданамыз. Мысалы: 3.Аралас санды натурал
санға бөлгенде,ең бірінші аралас санды бұрыс бөлшекке
айналдырамызда,ал натурал санды бөлімі 1 болатын бөлшек түрінде
жазамызда,бөлшекке бөлу ережесін қолданамыз.
Мысалы: |
Қайталау тапсырмаларын орындайды. |
Тақырып бойынша ресурстарды қарап, танысады |
Слайд Интернет ресурстары |
|||||||||||||||||
|
15 мин |
Тапсырмалар. |
№
1.
1.
2.
№
2.
1.
2.
№
3.
1.
2.
№
4.
1.
2.
№
5.
1.
2.
№
6.
1.
2.
№
7.
1.
2.
№
8.
1.
№5. Оқулықтан №620, №623.
Жеке жұмыс.
|
1.
2.
3.
4.
5.
6.
7.
Жай бөлшектерді жай бөлшекке, аралас сандарды бөлу, натурал санды бөлшекке бөлу ережесін қолданып есептейді. Оқулықтан берілген есептерді шығарады. Жай бөлшектерге амалдар қолдану ережелерін біледі Жекелеген оқушыларға тапсырмалар беріледі. Дәреже ережесін қолданады. |
Дескриптор: - Жай бөлшектерді жай бөлшекке, аралас сандарды бөлу, натурал санды бөлшекке бөлу ережесін қолданып есептейді. -Тақырыпқа қатысты мәтін есептерді шығарады
Дескриптор: -Жай бөлшектерге амалдар қолдану ережелерін біледі. |
Презента ция Интернет ресурстары слайд Жалпы білім беретін мектептің 5–сыныбына арналған оқулық. Оқулық авторлары: Т.А.Алдамұратова, Қ.С.Байшоланова, Е.С.Байшоланов Алматы «Атамұра» баспасы 2017 жыл |
|||||||||||||||||
|
10 мин |
Жеке жұмыс |
Қосымша тапсырма орындау |
Тапсырманы орындайды |
Мониторинг |
|
|||||||||||||||||
|
2 минут |
|
Бүгінгі
сабақта: -Жай бөлшектерді бөлу
алгоритмін біледі және бөлуді орындады;
-Аралас сандарды бөлу
ережесін біледі,есеп шығаруда қолданды. .
|
Тақырыпты меңгергенін анықтау |
Кері байланыс
|
Презентация |
|||||||||||||||||
Сабақ жоспары
Бекітемін:
|
Мектеп |
Қадыр Кәрімов атындағы ЖББМ |
|||||||||||||||||||||||||||||||||||||||||||||||||||||||||||||
|
Апта дәйек сөзі |
Ынтымақ жүрген жерде ырыс бірге жүреді |
|||||||||||||||||||||||||||||||||||||||||||||||||||||||||||||
|
Педагогтің Тегі, Аты, Әкесінің аты (бар болса) |
Темиргалиева Ж.С. |
|||||||||||||||||||||||||||||||||||||||||||||||||||||||||||||
|
Пән/Сынып: |
5 сынып; Қатысқандар саны: Қатыспағандар саны: |
|||||||||||||||||||||||||||||||||||||||||||||||||||||||||||||
|
Күні: |
|
|||||||||||||||||||||||||||||||||||||||||||||||||||||||||||||
|
Бөлім: |
5.2А Жай бөлшектерге амалдар қолдану |
|||||||||||||||||||||||||||||||||||||||||||||||||||||||||||||
|
Сабақтың тақырыбы: |
Жай бөлшектерді және аралас сандарды бөлу |
|||||||||||||||||||||||||||||||||||||||||||||||||||||||||||||
|
Оқу бағдарламасына сәйкес оқыту мақсаттары |
5.1.2.23жай бөлшектерді және аралас сандарды бөлуді орындау; |
|||||||||||||||||||||||||||||||||||||||||||||||||||||||||||||
|
Сабақтың мақсаттары: |
-Жай бөлшектерді бөлу алгоритмін біледі және бөлуді орындайды; -Аралас сандарды бөлу ережесін біледі,есеп шығаруда қолданады.
|
|||||||||||||||||||||||||||||||||||||||||||||||||||||||||||||
|
Сабақ барысы: |
||||||||||||||||||||||||||||||||||||||||||||||||||||||||||||||
|
Уақыты |
Кезең дері |
Педагогтің әрекеті |
Оқушының әрекеті |
Бағалау |
Ресурстар |
|||||||||||||||||||||||||||||||||||||||||||||||||||||||||
|
5 минут |
Ұйымдастыру |
Сәлеметсіздерме! Бүгін, Жай бөлшектерді және аралас сандарды бөлу тақырыбын қарастырамыз. Бүгінгі сабақта меңгеретініңіз: -Жай бөлшектерді бөлу алгоритмін біледі және бөлуді орындайды; -Аралас сандарды бөлу ережесін біледі,есеп шығаруда қолданады. Үй тапсырмасын тексеру. №628. Қайталау сұрақтары. 1. Бөлімдері бірдей жай бөлшектерді қалай қосамыз (азайтамыз)? 2. Бөлімдері әртүрлі жай бөлшектерді қалай қосамыз (азайтамыз)? 3. Жай бөлшекті қысқарту дегеніміз не? 4. Екі бөлшекті қалай көбейтеміз? 5. Жай бөлшектерді қалай ортақ бөлімге келтіреміз? 6. Жай бөлшекке кері санды қалай табамыз? 7. Аралас санға кері санды қалай табамыз? |
Сабақ мақсатымен танысады. Үй жұмысын айтады. Сұрақтарға жауап береді |
|
Жалпы білім беретін мектептің 5–сыныбына арналған оқулық. Оқулық авторлары: Т.А.Алдамұратова, Қ.С.Байшоланова, Е.С.Байшоланов Алматы «Атамұра» баспасы 2017 жыл |
|||||||||||||||||||||||||||||||||||||||||||||||||||||||||
|
8 мин |
Жаңа сабақты бекіту. |
Жай бөлшекті жай бөлшекке бөлу үшін, бөлінгіш бөлшекті бөлгіш бөлшекке кері санға көбейту керек.
Ал енді натурал санды бөлшекке бөлу, бөлшекті натурал санға бөлуді қалай орындаймыз?
Аралас сандарды қалай бөлеміз? |
Жай бөлшектерді, аралас сандарды бөлу ережесін еске түсіріп, мысалдар келтіреді. |
Тақырып бойынша ресурстарды қарап, танысады |
Слайд Интернет ресурстары |
|||||||||||||||||||||||||||||||||||||||||||||||||||||||||
|
15 мин |
Тапсырмалар. |
№1
№2
№3
(4балл) №4.
Есеп: Жаяу адам
Шешуі: х – жаяу адамның жылдамдығы
Нұсқауды пайдаланып, есепті өз беттеріңмен шығарады
№5.Оқулықтан №629, №630.
Жеке жұмыс.
№6.Семантикалық қарта (тапсырманы орындап, жасырылған сөзді табу)
|
Жай бөлшектерді жай бөлшекке, аралас сандарды бөлу, натурал санды бөлшекке бөлу ережесін қолданып есептейді.
Тақырыпқа қатысты мәтін есептерді шығарады
Оқулықтан берілген есептерді шығарады. Жекелеген оқушыларға тапсырмалар беріледі.
Жай бөлшектерге амалдар қолдану ережелерін біледі
|
Дескриптор: - Жай бөлшектерді жай бөлшекке, аралас сандарды бөлу, натурал санды бөлшекке бөлу ережесін қолданып есептейді. Дескриптор: -Берілген қашықтықты белгісізі бар теңдік түрінде жазады -Теңдіктің екі жағын
да -х-тің мәнін жазады -Бөлшекті бөлшекке бөлу ережесін тұжырымдайды
Дескриптор: -Жай бөлшектерге амалдар қолдану ережелерін біледі.
|
Презента ция Интернет ресурстары слайд Жалпы білім беретін мектептің 5–сыныбына арналған оқулық. Оқулық авторлары: Т.А.Алдамұратова, Қ.С.Байшоланова, Е.С.Байшоланов Алматы «Атамұра» баспасы 2017 жыл |
|||||||||||||||||||||||||||||||||||||||||||||||||||||||||
|
10 мин |
Жеке жұмыс |
Қосымша тапсырма орындау |
Тапсырманы орындайды |
|
|
|||||||||||||||||||||||||||||||||||||||||||||||||||||||||
|
2 минут |
|
Бүгінгі сабақта: -Жай бөлшектерді бөлу алгоритмін біледі және бөлуді орындады; -Аралас сандарды бөлу ережесін біледі,есеп шығаруда қолданды.
Үйге тапсырма. №633. |
Тақырыпты меңгергенін анықтау |
Кері байланыс
|
Презентация |
|||||||||||||||||||||||||||||||||||||||||||||||||||||||||
Сабақ жоспары
Бекітемін:
|
Мектеп |
Қадыр Кәрімов атындағы ЖББМ |
|||||||||||||||||||||||||||||||
|
Апта дәйек сөзі |
Ынтымақ жүрген жерде ырыс бірге жүреді |
|||||||||||||||||||||||||||||||
|
Педагогтің Тегі, Аты, Әкесінің аты (бар болса) |
Темиргалиева Ж.С. |
|||||||||||||||||||||||||||||||
|
Пән/Сынып: |
5 сынып; Қатысқандар саны: Қатыспағандар саны: |
|||||||||||||||||||||||||||||||
|
Күні: |
|
|||||||||||||||||||||||||||||||
|
Бөлім: |
5.2А Жай бөлшектерге амалдар қолдану |
|||||||||||||||||||||||||||||||
|
Сабақтың тақырыбы: |
Жай бөлшектерді және аралас сандарды бөлу |
|||||||||||||||||||||||||||||||
|
Оқу бағдарламасына сәйкес оқыту мақсаттары |
5.1.2.23 жай бөлшектерді және аралас сандарды бөлуді орындау; |
|||||||||||||||||||||||||||||||
|
Сабақтың мақсаттары: |
-Жай бөлшектерді бөлу алгоритмін біледі және бөлуді орындайды; -Аралас сандарды бөлу ережесін біледі,есеп шығаруда қолданады.
|
|||||||||||||||||||||||||||||||
|
Сабақ барысы: |
||||||||||||||||||||||||||||||||
|
Уақыты |
Кезең дері |
Педагогтің әрекеті |
Оқушының әрекеті |
Бағалау |
Ресурстар |
|||||||||||||||||||||||||||
|
5 минут |
Ұйым дастыру |
Сәлеметсіздерме! Бүгін, Жай бөлшектерді және аралас сандарды бөлу тақырыбын қарастырамыз. Бүгінгі сабақта меңгеретініңіз: -Жай бөлшектерді бөлу алгоритмін біледі және бөлуді орындайды; -Аралас сандарды бөлу ережесін біледі,есеп шығаруда қолданады. Үй тапсырмасын тексеру. №633. Қайталау сұрақтары. 1. Бөлімдері бірдей жай бөлшектерді қалай қосамыз (азайтамыз)? 2. Бөлімдері әртүрлі жай бөлшектерді қалай қосамыз (азайтамыз)? 3. Жай бөлшекті қысқарту дегеніміз не? 4. Екі бөлшекті қалай көбейтеміз? 5. Жай бөлшектерді қалай ортақ бөлімге келтіреміз? 6. Жай бөлшекке кері санды қалай табамыз? 7. Аралас санға кері санды қалай табамыз? |
Сабақ мақсатымен танысады. Үй жұмысын айтады. Сұрақтарға жауап береді |
|
Жалпы білім беретін мектептің 5–сыныбына арналған оқулық. Оқулық авторлары: Т.А.Алдамұратова, Қ.С.Байшоланова, Е.С.Байшоланов Алматы «Атамұра» баспасы 2017 жыл |
|||||||||||||||||||||||||||
|
8 мин |
Жаңа сабақ ты бекіту. |
Жай бөлшектерді бөлуді есіңе сақта!
|
Видеотүсіндіру қарайды. Жай бөлшектерді, аралас сандарды бөлу ережесін еске түсіріп, мысалдар келтіреді. |
Тақырып бойынша ресурстарды қарап, танысады |
Слайд Интернет ресурстары |
|||||||||||||||||||||||||||
|
15 мин |
Тапсырмалар. |
№1.Берілген сандардың кері сандарын табыңдар:
№2.Есептеңдер:
№3. Есептеңдер:
№4.
Шолпан
х
алма,
Айман 1 №5. «Математикалық дамино»
№6.Оқулықтан № 635 Жеке жұмыс. «Сәйкестердіріңіз»
|
Жай бөлшектерді жай бөлшекке, аралас сандарды бөлу, натурал санды бөлшекке бөлу ережесін қолданып есептейді.
Тақырыпқа қатысты мәтін есептерді шығарады
Жай бөлшектерге амалдар қолдану ережелерін біледі
Оқулықтан берілген есептерді шығарады.
Жекелеген оқушыларға тапсырмалар беріледі.
|
Дескриптор: - Берілген сандарға кері сандарды табады. Дескриптор: - Жай бөлшектерді жай бөлшекке, аралас сандарды бөлу ережелерін біледі.
Дескриптор: -Жай бөлшектерге амалдар қолдану ережелерін біледі.
|
Презентация Интернет ресурстары слайд Жалпы білім беретін мектептің 5–сыныбына арналған оқулық. Оқулық авторлары: Т.А.Алдамұратова, Қ.С.Байшоланова, Е.С.Байшоланов Алматы «Атамұра» баспасы 2017 жыл |
|||||||||||||||||||||||||||
|
10 мин |
Жеке жұмыс |
Қосымша тапсырма орындау |
Тапсырманы орындайды |
Мониторинг |
|
|||||||||||||||||||||||||||
|
2 минут |
Соңы |
Бүгінгі сабақта: -Жай бөлшектерді бөлу алгоритмін біледі және бөлуді орындады; -Аралас сандарды бөлу ережесін біледі,есеп шығаруда қолданды.
Үйге тапсырма. №637 |
Тақырыпты меңгергенін анықтау |
Кері байланыс
|
Презентация |
|||||||||||||||||||||||||||
Сабақ жоспары
Бекітемін:
|
Мектеп |
Қадыр Кәрімов атындағы ЖББМ |
|||||||||||||||||||||||||||||||
|
Апта дәйек сөзі |
Ынтымақ жүрген жерде ырыс бірге жүреді |
|||||||||||||||||||||||||||||||
|
Педагогтің Тегі, Аты, Әкесінің аты (бар болса) |
Темиргалиева Ж.С. |
|||||||||||||||||||||||||||||||
|
Пән/Сынып: |
5 сынып; Қатысқандар саны: Қатыспағандар саны: |
|||||||||||||||||||||||||||||||
|
Күні: |
|
|||||||||||||||||||||||||||||||
|
Бөлім: |
5.2А Жай бөлшектерге амалдар қолдану |
|||||||||||||||||||||||||||||||
|
Сабақтың тақырыбы: |
Жай бөлшектерді және аралас сандарды бөлу |
|||||||||||||||||||||||||||||||
|
Оқу бағдарламасына сәйкес оқыту мақсаттары |
5.1.2.23 жай бөлшектерді және аралас сандарды бөлуді орындау; |
|||||||||||||||||||||||||||||||
|
Сабақтың мақсаттары: |
-Жай бөлшектерді бөлу алгоритмін біледі және бөлуді орындайды; -Аралас сандарды бөлу ережесін біледі,есеп шығаруда қолданады.
|
|||||||||||||||||||||||||||||||
|
Сабақ барысы: |
||||||||||||||||||||||||||||||||
|
Уақыты |
Кезең дері |
Педагогтің әрекеті |
Оқушының әрекеті |
Бағалау |
Ресурстар |
|||||||||||||||||||||||||||
|
5 минут |
Ұйым дастыру |
Сәлеметсіздерме! Бүгін, Жай бөлшектерді және аралас сандарды бөлу тақырыбын қарастырамыз. Бүгінгі сабақта меңгеретініңіз: -Жай бөлшектерді бөлу алгоритмін біледі және бөлуді орындайды; -Аралас сандарды бөлу ережесін біледі,есеп шығаруда қолданады. Үй тапсырмасын тексеру. №633. Қайталау сұрақтары. 1. Бөлімдері бірдей жай бөлшектерді қалай қосамыз (азайтамыз)? 2. Бөлімдері әртүрлі жай бөлшектерді қалай қосамыз (азайтамыз)? 3. Жай бөлшекті қысқарту дегеніміз не? 4. Екі бөлшекті қалай көбейтеміз? 5. Жай бөлшектерді қалай ортақ бөлімге келтіреміз? 6. Жай бөлшекке кері санды қалай табамыз? 7. Аралас санға кері санды қалай табамыз? |
Сабақ мақсатымен танысады. Үй жұмысын айтады. Сұрақтарға жауап береді |
|
Жалпы білім беретін мектептің 5–сыныбына арналған оқулық. Оқулық авторлары: Т.А.Алдамұратова, Қ.С.Байшоланова, Е.С.Байшоланов Алматы «Атамұра» баспасы 2017 жыл |
|||||||||||||||||||||||||||
|
8 мин |
Жаңа сабақ ты бекіту. |
Жай бөлшектерді бөлуді есіңе сақта!
|
Видеотүсіндіру қарайды. Жай бөлшектерді, аралас сандарды бөлу ережесін еске түсіріп, мысалдар келтіреді. |
Тақырып бойынша ресурстарды қарап, танысады |
Слайд Интернет ресурстары |
|||||||||||||||||||||||||||
|
15 мин |
Тапсырмалар. |
№1.Берілген сандардың кері сандарын табыңдар:
№2.Есептеңдер:
№3. Есептеңдер:
№4.
Шолпан
х
алма,
Айман 1 №5. «Математикалық дамино»
№6.Оқулықтан № 635 Жеке жұмыс. «Сәйкестердіріңіз»
|
Жай бөлшектерді жай бөлшекке, аралас сандарды бөлу, натурал санды бөлшекке бөлу ережесін қолданып есептейді.
Тақырыпқа қатысты мәтін есептерді шығарады
Жай бөлшектерге амалдар қолдану ережелерін біледі
Оқулықтан берілген есептерді шығарады.
Жекелеген оқушыларға тапсырмалар беріледі.
|
Дескриптор: - Берілген сандарға кері сандарды табады. Дескриптор: - Жай бөлшектерді жай бөлшекке, аралас сандарды бөлу ережелерін біледі.
Дескриптор: -Жай бөлшектерге амалдар қолдану ережелерін біледі.
|
Презентация Интернет ресурстары слайд Жалпы білім беретін мектептің 5–сыныбына арналған оқулық. Оқулық авторлары: Т.А.Алдамұратова, Қ.С.Байшоланова, Е.С.Байшоланов Алматы «Атамұра» баспасы 2017 жыл |
|||||||||||||||||||||||||||
|
10 мин |
Жеке жұмыс |
Қосымша тапсырма орындау |
Тапсырманы орындайды |
Мониторинг |
|
|||||||||||||||||||||||||||
|
2 минут |
Соңы |
Бүгінгі сабақта: -Жай бөлшектерді бөлу алгоритмін біледі және бөлуді орындады; -Аралас сандарды бөлу ережесін біледі,есеп шығаруда қолданды.
Үйге тапсырма. №637 |
Тақырыпты меңгергенін анықтау |
Кері байланыс
|
Презентация |
|||||||||||||||||||||||||||
Сабақ жоспары
Бекітемін:
|
Мектеп |
Қадыр Кәрімов атындағы ЖББМ |
|||||
|
Апта дәйек сөзі |
Ынтымақ жүрген жерде ырыс бірге жүреді |
|||||
|
Педагогтің Тегі, Аты, Әкесінің аты (бар болса) |
Темиргалиева Ж.С. |
|||||
|
Пән/Сынып: |
5 сынып; Қатысқандар саны: Қатыспағандар саны: |
|||||
|
Күні: |
|
|||||
|
Бөлім: |
5.2А Жай бөлшектерге амалдар қолдану |
|||||
|
Сабақтың тақырыбы: |
Жай бөлшектерді және аралас сандарды бөлу |
|||||
|
Оқу бағдарламасына сәйкес оқыту мақсаттары |
5.1.2.23 жай бөлшектерді және аралас сандарды бөлуді орындау; |
|||||
|
Сабақтың мақсаттары: |
-Жай бөлшектерді бөлу алгоритмін біледі және бөлуді орындайды; -Аралас сандарды бөлу ережесін біледі,есеп шығаруда қолданады.
|
|||||
|
Сабақ барысы: |
||||||
|
Уақыты |
Кезең дері |
Педагогтің әрекеті |
Оқушының әрекеті |
Бағалау |
Ресурстар |
|
|
5 минут |
Ұйым дастыру |
Сәлеметсіздерме! Бүгін, Жай бөлшектерді және аралас сандарды бөлу тақырыбын қарастырамыз. Бүгінгі сабақта меңгеретініңіз: -Жай бөлшектерді бөлу алгоритмін біледі және бөлуді орындайды; -Аралас сандарды бөлу ережесін біледі,есеп шығаруда қолданады. Үй тапсырмасын тексеру. №637. Мына кестедегі әріптерден
көлденеңінен математикалық терминдер құрастыру керек. Тапсырма тез
құру әрекетімен есептеледі. Олай болса, тез орындайық: |
Сабақ мақсатымен танысады. Үй жұмысын айтады. Сұрақтарға жауап береді |
|
Жалпы білім беретін мектептің 5–сыныбына арналған оқулық. Оқулық авторлары: Т.А.Алдамұратова, Қ.С.Байшоланова, Е.С.Байшоланов Алматы «Атамұра» баспасы 2017 жыл |
|
|
8 мин |
Жаңа сабақ ты бекіту. |
Аралас санды жай бөлшекке бөлуді есіңе сақта!
Аралас санды жай бөлшекке бөлу үшін аралас санды бұрыс бөлшек түрінде жазып, бөлшектерді бөлу ережесін қолдану керек. Аралас санды аралас санға бөлуді есіңе сақта!
Аралас санды аралас санға бөлу үшін оларды бұрыс бөлшек түрінде жазып, бөлшектерді бөлу ережесін қолдану керек. |
Видеотүсіндіру қарайды. Жай бөлшектерді, аралас сандарды бөлу ережесін еске түсіріп, мысалдар келтіреді. |
Тақырып бойынша ресурстарды қарап, танысады |
Слайд Интернет ресурстары |
|
|
15 мин |
Тапсырмалар. |
№1.
№2. Теңдеуді шешіңдер:
1).
2).
3).
№3.
2. Тест
тапсырмалары. 2. Теңдеуді
шеш: у + 33/4 = 57/8. 3.Оқулықтан № 640
4. Жеке жұмыс.
1)
|
Жай бөлшектерді жай бөлшекке, аралас сандарды бөлу, натурал санды бөлшекке бөлу ережесін қолданып есептейді. Тақырыпқа қатысты мәтін есептерді шығарады
Жай бөлшектерге амалдар қолдану ережелерін біледі
Оқулықтан берілген есептерді шығарады.
Жекелеген оқушыларға тапсырмалар беріледі. |
Дескриптор: - Берілген сандарға кері сандарды табады. Дескриптор: - Жай бөлшектерді жай бөлшекке, аралас сандарды бөлу ережелерін біледі. Дескриптор: -Жай бөлшектерге амалдар қолдану ережелерін біледі.
|
Презентация Интернет ресурстары слайд Жалпы білім беретін мектептің 5–сыныбына арналған оқулық. Оқулық авторлары: Т.А.Алдамұратова, Қ.С.Байшоланова, Е.С.Байшоланов Алматы «Атамұра» баспасы 2017 жыл |
|
|
10 мин |
Жеке жұмыс |
Қосымша тапсырма орындау |
Тапсырманы орындайды |
Мониторинг |
|
|
|
2 минут |
Соңы |
Бүгінгі сабақта: -Жай бөлшектерді бөлу алгоритмін біледі және бөлуді орындады; -Аралас сандарды бөлу ережесін біледі,есеп шығаруда қолданды.
Үйге тапсырма. Қайталау. |
Тақырыпты меңгергенін анықтау |
Кері байланыс
|
Презентация |
|
жүктеу мүмкіндігіне ие боласыз
Бұл материал сайт қолданушысы жариялаған. Материалдың ішінде жазылған барлық ақпаратқа жауапкершілікті жариялаған қолданушы жауап береді. Ұстаз тілегі тек ақпаратты таратуға қолдау көрсетеді. Егер материал сіздің авторлық құқығыңызды бұзған болса немесе басқа да себептермен сайттан өшіру керек деп ойласаңыз осында жазыңыз
5 сынып математика қмж
Сабақ жоспары
Бекітемін:
|
Мектеп |
Қадыр Кәрімов атындағы ЖББМ |
|||||||||||||||||||||
|
Апта дәйек сөзі |
Ынтымақ жүрген жерде ырыс бірге жүреді |
|||||||||||||||||||||
|
Педагогтің Тегі, Аты, Әкесінің аты (бар болса) |
Темиргалиева Ж.С. |
|||||||||||||||||||||
|
Пән/Сынып: |
5 сынып; Қатысқандар саны: Қатыспағандар саны: |
|||||||||||||||||||||
|
Күні: |
|
|||||||||||||||||||||
|
Бөлім: |
5.2А Жай бөлшектерге амалдар қолдану |
|||||||||||||||||||||
|
Сабақтың тақырыбы: |
Жай бөлшектерді және аралас сандарды бөлу |
|||||||||||||||||||||
|
Оқу бағдарламасына сәйкес оқыту мақсаттары |
5.1.2.23 жай бөлшектерді және аралас сандарды бөлуді орындау; |
|||||||||||||||||||||
|
Сабақтың мақсаттары: |
-Жай бөлшектерді бөлу алгоритмін біледі және бөлуді орындайды; -Аралас сандарды бөлу ережесін біледі,есеп шығаруда қолданады.
|
|||||||||||||||||||||
|
Сабақ барысы: |
||||||||||||||||||||||
|
Уақыты |
Кезең дері |
Педагогтің әрекеті |
Оқушының әрекеті |
Бағалау |
Ресурстар |
|||||||||||||||||
|
5 минут |
Ұйымдастыру |
Сәлеметсіздерме! Бүгін, Жай бөлшектерді және аралас сандарды бөлу тақырыбын қарастырамыз. Бүгінгі сабақта меңгеретініңіз: -Жай бөлшектерді бөлу алгоритмін біледі және бөлуді орындайды; -Аралас сандарды бөлу ережесін біледі,есеп шығаруда қолданады. Үй тапсырмасын тексеру. №625. «Миға шабуыл» стратегиясы. Үй тапсырмаларын оқушылар өзара сұрақ қою және тақырыпты мазмұндау 1) Қандай санды бөлшек сан деп атаймыз? 2)Бөлшек неше түрге бөлінеді? 3)Бөлімдері бірдей бөлшектерді қалай қосамыз?Бөлімдері әр түрлі болса ше? 4)Бөлімдері бірдей бөлшектерді қалай азайтамыз?Бөлімдері әр түрлі болса ше? 5)Бөлшектерді қалай көбейтеміз? 6)Бөлшектерді қалай бөлеміз? 7)Аралас сандарды қалай косып азайтамыз? 8) Бөлшек сан не үшін керек болады? |
Сабақ мақсатымен танысады. Үй жұмысын айтады. Сұрақтарға жауап береді |
|
Жалпы білім беретін мектептің 5–сыныбына арналған оқулық. Оқулық авторлары: Т.А.Алдамұратова, Қ.С.Байшоланова, Е.С.Байшоланов Алматы «Атамұра» баспасы 2017 жыл |
|||||||||||||||||
|
8 мин |
Жаңа сабақты бекіту. |
1.Жай бөлшекті жай бөлшекке бөлгенде,1-ші бөлшек өзі жазылып,2-ші бөлшек кері санга айналып көбейтіледі. Мысалы: 2.Аралас санды аралас санға бөлгенде ең бңрінші аралас санды бұрыс бөлшекке айналдырып аламыз да, бөлшекті бөлшекке бөлу амалын қолданамыз. Мысалы: 3.Аралас санды натурал
санға бөлгенде,ең бірінші аралас санды бұрыс бөлшекке
айналдырамызда,ал натурал санды бөлімі 1 болатын бөлшек түрінде
жазамызда,бөлшекке бөлу ережесін қолданамыз.
Мысалы: |
Қайталау тапсырмаларын орындайды. |
Тақырып бойынша ресурстарды қарап, танысады |
Слайд Интернет ресурстары |
|||||||||||||||||
|
15 мин |
Тапсырмалар. |
№
1.
1.
2.
№
2.
1.
2.
№
3.
1.
2.
№
4.
1.
2.
№
5.
1.
2.
№
6.
1.
2.
№
7.
1.
2.
№
8.
1.
№5. Оқулықтан №620, №623.
Жеке жұмыс.
|
1.
2.
3.
4.
5.
6.
7.
Жай бөлшектерді жай бөлшекке, аралас сандарды бөлу, натурал санды бөлшекке бөлу ережесін қолданып есептейді. Оқулықтан берілген есептерді шығарады. Жай бөлшектерге амалдар қолдану ережелерін біледі Жекелеген оқушыларға тапсырмалар беріледі. Дәреже ережесін қолданады. |
Дескриптор: - Жай бөлшектерді жай бөлшекке, аралас сандарды бөлу, натурал санды бөлшекке бөлу ережесін қолданып есептейді. -Тақырыпқа қатысты мәтін есептерді шығарады
Дескриптор: -Жай бөлшектерге амалдар қолдану ережелерін біледі. |
Презента ция Интернет ресурстары слайд Жалпы білім беретін мектептің 5–сыныбына арналған оқулық. Оқулық авторлары: Т.А.Алдамұратова, Қ.С.Байшоланова, Е.С.Байшоланов Алматы «Атамұра» баспасы 2017 жыл |
|||||||||||||||||
|
10 мин |
Жеке жұмыс |
Қосымша тапсырма орындау |
Тапсырманы орындайды |
Мониторинг |
|
|||||||||||||||||
|
2 минут |
|
Бүгінгі
сабақта: -Жай бөлшектерді бөлу
алгоритмін біледі және бөлуді орындады;
-Аралас сандарды бөлу
ережесін біледі,есеп шығаруда қолданды. .
|
Тақырыпты меңгергенін анықтау |
Кері байланыс
|
Презентация |
|||||||||||||||||
Сабақ жоспары
Бекітемін:
|
Мектеп |
Қадыр Кәрімов атындағы ЖББМ |
|||||||||||||||||||||||||||||||||||||||||||||||||||||||||||||
|
Апта дәйек сөзі |
Ынтымақ жүрген жерде ырыс бірге жүреді |
|||||||||||||||||||||||||||||||||||||||||||||||||||||||||||||
|
Педагогтің Тегі, Аты, Әкесінің аты (бар болса) |
Темиргалиева Ж.С. |
|||||||||||||||||||||||||||||||||||||||||||||||||||||||||||||
|
Пән/Сынып: |
5 сынып; Қатысқандар саны: Қатыспағандар саны: |
|||||||||||||||||||||||||||||||||||||||||||||||||||||||||||||
|
Күні: |
|
|||||||||||||||||||||||||||||||||||||||||||||||||||||||||||||
|
Бөлім: |
5.2А Жай бөлшектерге амалдар қолдану |
|||||||||||||||||||||||||||||||||||||||||||||||||||||||||||||
|
Сабақтың тақырыбы: |
Жай бөлшектерді және аралас сандарды бөлу |
|||||||||||||||||||||||||||||||||||||||||||||||||||||||||||||
|
Оқу бағдарламасына сәйкес оқыту мақсаттары |
5.1.2.23жай бөлшектерді және аралас сандарды бөлуді орындау; |
|||||||||||||||||||||||||||||||||||||||||||||||||||||||||||||
|
Сабақтың мақсаттары: |
-Жай бөлшектерді бөлу алгоритмін біледі және бөлуді орындайды; -Аралас сандарды бөлу ережесін біледі,есеп шығаруда қолданады.
|
|||||||||||||||||||||||||||||||||||||||||||||||||||||||||||||
|
Сабақ барысы: |
||||||||||||||||||||||||||||||||||||||||||||||||||||||||||||||
|
Уақыты |
Кезең дері |
Педагогтің әрекеті |
Оқушының әрекеті |
Бағалау |
Ресурстар |
|||||||||||||||||||||||||||||||||||||||||||||||||||||||||
|
5 минут |
Ұйымдастыру |
Сәлеметсіздерме! Бүгін, Жай бөлшектерді және аралас сандарды бөлу тақырыбын қарастырамыз. Бүгінгі сабақта меңгеретініңіз: -Жай бөлшектерді бөлу алгоритмін біледі және бөлуді орындайды; -Аралас сандарды бөлу ережесін біледі,есеп шығаруда қолданады. Үй тапсырмасын тексеру. №628. Қайталау сұрақтары. 1. Бөлімдері бірдей жай бөлшектерді қалай қосамыз (азайтамыз)? 2. Бөлімдері әртүрлі жай бөлшектерді қалай қосамыз (азайтамыз)? 3. Жай бөлшекті қысқарту дегеніміз не? 4. Екі бөлшекті қалай көбейтеміз? 5. Жай бөлшектерді қалай ортақ бөлімге келтіреміз? 6. Жай бөлшекке кері санды қалай табамыз? 7. Аралас санға кері санды қалай табамыз? |
Сабақ мақсатымен танысады. Үй жұмысын айтады. Сұрақтарға жауап береді |
|
Жалпы білім беретін мектептің 5–сыныбына арналған оқулық. Оқулық авторлары: Т.А.Алдамұратова, Қ.С.Байшоланова, Е.С.Байшоланов Алматы «Атамұра» баспасы 2017 жыл |
|||||||||||||||||||||||||||||||||||||||||||||||||||||||||
|
8 мин |
Жаңа сабақты бекіту. |
Жай бөлшекті жай бөлшекке бөлу үшін, бөлінгіш бөлшекті бөлгіш бөлшекке кері санға көбейту керек.
Ал енді натурал санды бөлшекке бөлу, бөлшекті натурал санға бөлуді қалай орындаймыз?
Аралас сандарды қалай бөлеміз? |
Жай бөлшектерді, аралас сандарды бөлу ережесін еске түсіріп, мысалдар келтіреді. |
Тақырып бойынша ресурстарды қарап, танысады |
Слайд Интернет ресурстары |
|||||||||||||||||||||||||||||||||||||||||||||||||||||||||
|
15 мин |
Тапсырмалар. |
№1
№2
№3
(4балл) №4.
Есеп: Жаяу адам
Шешуі: х – жаяу адамның жылдамдығы
Нұсқауды пайдаланып, есепті өз беттеріңмен шығарады
№5.Оқулықтан №629, №630.
Жеке жұмыс.
№6.Семантикалық қарта (тапсырманы орындап, жасырылған сөзді табу)
|
Жай бөлшектерді жай бөлшекке, аралас сандарды бөлу, натурал санды бөлшекке бөлу ережесін қолданып есептейді.
Тақырыпқа қатысты мәтін есептерді шығарады
Оқулықтан берілген есептерді шығарады. Жекелеген оқушыларға тапсырмалар беріледі.
Жай бөлшектерге амалдар қолдану ережелерін біледі
|
Дескриптор: - Жай бөлшектерді жай бөлшекке, аралас сандарды бөлу, натурал санды бөлшекке бөлу ережесін қолданып есептейді. Дескриптор: -Берілген қашықтықты белгісізі бар теңдік түрінде жазады -Теңдіктің екі жағын
да -х-тің мәнін жазады -Бөлшекті бөлшекке бөлу ережесін тұжырымдайды
Дескриптор: -Жай бөлшектерге амалдар қолдану ережелерін біледі.
|
Презента ция Интернет ресурстары слайд Жалпы білім беретін мектептің 5–сыныбына арналған оқулық. Оқулық авторлары: Т.А.Алдамұратова, Қ.С.Байшоланова, Е.С.Байшоланов Алматы «Атамұра» баспасы 2017 жыл |
|||||||||||||||||||||||||||||||||||||||||||||||||||||||||
|
10 мин |
Жеке жұмыс |
Қосымша тапсырма орындау |
Тапсырманы орындайды |
|
|
|||||||||||||||||||||||||||||||||||||||||||||||||||||||||
|
2 минут |
|
Бүгінгі сабақта: -Жай бөлшектерді бөлу алгоритмін біледі және бөлуді орындады; -Аралас сандарды бөлу ережесін біледі,есеп шығаруда қолданды.
Үйге тапсырма. №633. |
Тақырыпты меңгергенін анықтау |
Кері байланыс
|
Презентация |
|||||||||||||||||||||||||||||||||||||||||||||||||||||||||
Сабақ жоспары
Бекітемін:
|
Мектеп |
Қадыр Кәрімов атындағы ЖББМ |
|||||||||||||||||||||||||||||||
|
Апта дәйек сөзі |
Ынтымақ жүрген жерде ырыс бірге жүреді |
|||||||||||||||||||||||||||||||
|
Педагогтің Тегі, Аты, Әкесінің аты (бар болса) |
Темиргалиева Ж.С. |
|||||||||||||||||||||||||||||||
|
Пән/Сынып: |
5 сынып; Қатысқандар саны: Қатыспағандар саны: |
|||||||||||||||||||||||||||||||
|
Күні: |
|
|||||||||||||||||||||||||||||||
|
Бөлім: |
5.2А Жай бөлшектерге амалдар қолдану |
|||||||||||||||||||||||||||||||
|
Сабақтың тақырыбы: |
Жай бөлшектерді және аралас сандарды бөлу |
|||||||||||||||||||||||||||||||
|
Оқу бағдарламасына сәйкес оқыту мақсаттары |
5.1.2.23 жай бөлшектерді және аралас сандарды бөлуді орындау; |
|||||||||||||||||||||||||||||||
|
Сабақтың мақсаттары: |
-Жай бөлшектерді бөлу алгоритмін біледі және бөлуді орындайды; -Аралас сандарды бөлу ережесін біледі,есеп шығаруда қолданады.
|
|||||||||||||||||||||||||||||||
|
Сабақ барысы: |
||||||||||||||||||||||||||||||||
|
Уақыты |
Кезең дері |
Педагогтің әрекеті |
Оқушының әрекеті |
Бағалау |
Ресурстар |
|||||||||||||||||||||||||||
|
5 минут |
Ұйым дастыру |
Сәлеметсіздерме! Бүгін, Жай бөлшектерді және аралас сандарды бөлу тақырыбын қарастырамыз. Бүгінгі сабақта меңгеретініңіз: -Жай бөлшектерді бөлу алгоритмін біледі және бөлуді орындайды; -Аралас сандарды бөлу ережесін біледі,есеп шығаруда қолданады. Үй тапсырмасын тексеру. №633. Қайталау сұрақтары. 1. Бөлімдері бірдей жай бөлшектерді қалай қосамыз (азайтамыз)? 2. Бөлімдері әртүрлі жай бөлшектерді қалай қосамыз (азайтамыз)? 3. Жай бөлшекті қысқарту дегеніміз не? 4. Екі бөлшекті қалай көбейтеміз? 5. Жай бөлшектерді қалай ортақ бөлімге келтіреміз? 6. Жай бөлшекке кері санды қалай табамыз? 7. Аралас санға кері санды қалай табамыз? |
Сабақ мақсатымен танысады. Үй жұмысын айтады. Сұрақтарға жауап береді |
|
Жалпы білім беретін мектептің 5–сыныбына арналған оқулық. Оқулық авторлары: Т.А.Алдамұратова, Қ.С.Байшоланова, Е.С.Байшоланов Алматы «Атамұра» баспасы 2017 жыл |
|||||||||||||||||||||||||||
|
8 мин |
Жаңа сабақ ты бекіту. |
Жай бөлшектерді бөлуді есіңе сақта!
|
Видеотүсіндіру қарайды. Жай бөлшектерді, аралас сандарды бөлу ережесін еске түсіріп, мысалдар келтіреді. |
Тақырып бойынша ресурстарды қарап, танысады |
Слайд Интернет ресурстары |
|||||||||||||||||||||||||||
|
15 мин |
Тапсырмалар. |
№1.Берілген сандардың кері сандарын табыңдар:
№2.Есептеңдер:
№3. Есептеңдер:
№4.
Шолпан
х
алма,
Айман 1 №5. «Математикалық дамино»
№6.Оқулықтан № 635 Жеке жұмыс. «Сәйкестердіріңіз»
|
Жай бөлшектерді жай бөлшекке, аралас сандарды бөлу, натурал санды бөлшекке бөлу ережесін қолданып есептейді.
Тақырыпқа қатысты мәтін есептерді шығарады
Жай бөлшектерге амалдар қолдану ережелерін біледі
Оқулықтан берілген есептерді шығарады.
Жекелеген оқушыларға тапсырмалар беріледі.
|
Дескриптор: - Берілген сандарға кері сандарды табады. Дескриптор: - Жай бөлшектерді жай бөлшекке, аралас сандарды бөлу ережелерін біледі.
Дескриптор: -Жай бөлшектерге амалдар қолдану ережелерін біледі.
|
Презентация Интернет ресурстары слайд Жалпы білім беретін мектептің 5–сыныбына арналған оқулық. Оқулық авторлары: Т.А.Алдамұратова, Қ.С.Байшоланова, Е.С.Байшоланов Алматы «Атамұра» баспасы 2017 жыл |
|||||||||||||||||||||||||||
|
10 мин |
Жеке жұмыс |
Қосымша тапсырма орындау |
Тапсырманы орындайды |
Мониторинг |
|
|||||||||||||||||||||||||||
|
2 минут |
Соңы |
Бүгінгі сабақта: -Жай бөлшектерді бөлу алгоритмін біледі және бөлуді орындады; -Аралас сандарды бөлу ережесін біледі,есеп шығаруда қолданды.
Үйге тапсырма. №637 |
Тақырыпты меңгергенін анықтау |
Кері байланыс
|
Презентация |
|||||||||||||||||||||||||||
Сабақ жоспары
Бекітемін:
|
Мектеп |
Қадыр Кәрімов атындағы ЖББМ |
|||||||||||||||||||||||||||||||
|
Апта дәйек сөзі |
Ынтымақ жүрген жерде ырыс бірге жүреді |
|||||||||||||||||||||||||||||||
|
Педагогтің Тегі, Аты, Әкесінің аты (бар болса) |
Темиргалиева Ж.С. |
|||||||||||||||||||||||||||||||
|
Пән/Сынып: |
5 сынып; Қатысқандар саны: Қатыспағандар саны: |
|||||||||||||||||||||||||||||||
|
Күні: |
|
|||||||||||||||||||||||||||||||
|
Бөлім: |
5.2А Жай бөлшектерге амалдар қолдану |
|||||||||||||||||||||||||||||||
|
Сабақтың тақырыбы: |
Жай бөлшектерді және аралас сандарды бөлу |
|||||||||||||||||||||||||||||||
|
Оқу бағдарламасына сәйкес оқыту мақсаттары |
5.1.2.23 жай бөлшектерді және аралас сандарды бөлуді орындау; |
|||||||||||||||||||||||||||||||
|
Сабақтың мақсаттары: |
-Жай бөлшектерді бөлу алгоритмін біледі және бөлуді орындайды; -Аралас сандарды бөлу ережесін біледі,есеп шығаруда қолданады.
|
|||||||||||||||||||||||||||||||
|
Сабақ барысы: |
||||||||||||||||||||||||||||||||
|
Уақыты |
Кезең дері |
Педагогтің әрекеті |
Оқушының әрекеті |
Бағалау |
Ресурстар |
|||||||||||||||||||||||||||
|
5 минут |
Ұйым дастыру |
Сәлеметсіздерме! Бүгін, Жай бөлшектерді және аралас сандарды бөлу тақырыбын қарастырамыз. Бүгінгі сабақта меңгеретініңіз: -Жай бөлшектерді бөлу алгоритмін біледі және бөлуді орындайды; -Аралас сандарды бөлу ережесін біледі,есеп шығаруда қолданады. Үй тапсырмасын тексеру. №633. Қайталау сұрақтары. 1. Бөлімдері бірдей жай бөлшектерді қалай қосамыз (азайтамыз)? 2. Бөлімдері әртүрлі жай бөлшектерді қалай қосамыз (азайтамыз)? 3. Жай бөлшекті қысқарту дегеніміз не? 4. Екі бөлшекті қалай көбейтеміз? 5. Жай бөлшектерді қалай ортақ бөлімге келтіреміз? 6. Жай бөлшекке кері санды қалай табамыз? 7. Аралас санға кері санды қалай табамыз? |
Сабақ мақсатымен танысады. Үй жұмысын айтады. Сұрақтарға жауап береді |
|
Жалпы білім беретін мектептің 5–сыныбына арналған оқулық. Оқулық авторлары: Т.А.Алдамұратова, Қ.С.Байшоланова, Е.С.Байшоланов Алматы «Атамұра» баспасы 2017 жыл |
|||||||||||||||||||||||||||
|
8 мин |
Жаңа сабақ ты бекіту. |
Жай бөлшектерді бөлуді есіңе сақта!
|
Видеотүсіндіру қарайды. Жай бөлшектерді, аралас сандарды бөлу ережесін еске түсіріп, мысалдар келтіреді. |
Тақырып бойынша ресурстарды қарап, танысады |
Слайд Интернет ресурстары |
|||||||||||||||||||||||||||
|
15 мин |
Тапсырмалар. |
№1.Берілген сандардың кері сандарын табыңдар:
№2.Есептеңдер:
№3. Есептеңдер:
№4.
Шолпан
х
алма,
Айман 1 №5. «Математикалық дамино»
№6.Оқулықтан № 635 Жеке жұмыс. «Сәйкестердіріңіз»
|
Жай бөлшектерді жай бөлшекке, аралас сандарды бөлу, натурал санды бөлшекке бөлу ережесін қолданып есептейді.
Тақырыпқа қатысты мәтін есептерді шығарады
Жай бөлшектерге амалдар қолдану ережелерін біледі
Оқулықтан берілген есептерді шығарады.
Жекелеген оқушыларға тапсырмалар беріледі.
|
Дескриптор: - Берілген сандарға кері сандарды табады. Дескриптор: - Жай бөлшектерді жай бөлшекке, аралас сандарды бөлу ережелерін біледі.
Дескриптор: -Жай бөлшектерге амалдар қолдану ережелерін біледі.
|
Презентация Интернет ресурстары слайд Жалпы білім беретін мектептің 5–сыныбына арналған оқулық. Оқулық авторлары: Т.А.Алдамұратова, Қ.С.Байшоланова, Е.С.Байшоланов Алматы «Атамұра» баспасы 2017 жыл |
|||||||||||||||||||||||||||
|
10 мин |
Жеке жұмыс |
Қосымша тапсырма орындау |
Тапсырманы орындайды |
Мониторинг |
|
|||||||||||||||||||||||||||
|
2 минут |
Соңы |
Бүгінгі сабақта: -Жай бөлшектерді бөлу алгоритмін біледі және бөлуді орындады; -Аралас сандарды бөлу ережесін біледі,есеп шығаруда қолданды.
Үйге тапсырма. №637 |
Тақырыпты меңгергенін анықтау |
Кері байланыс
|
Презентация |
|||||||||||||||||||||||||||
Сабақ жоспары
Бекітемін:
|
Мектеп |
Қадыр Кәрімов атындағы ЖББМ |
|||||
|
Апта дәйек сөзі |
Ынтымақ жүрген жерде ырыс бірге жүреді |
|||||
|
Педагогтің Тегі, Аты, Әкесінің аты (бар болса) |
Темиргалиева Ж.С. |
|||||
|
Пән/Сынып: |
5 сынып; Қатысқандар саны: Қатыспағандар саны: |
|||||
|
Күні: |
|
|||||
|
Бөлім: |
5.2А Жай бөлшектерге амалдар қолдану |
|||||
|
Сабақтың тақырыбы: |
Жай бөлшектерді және аралас сандарды бөлу |
|||||
|
Оқу бағдарламасына сәйкес оқыту мақсаттары |
5.1.2.23 жай бөлшектерді және аралас сандарды бөлуді орындау; |
|||||
|
Сабақтың мақсаттары: |
-Жай бөлшектерді бөлу алгоритмін біледі және бөлуді орындайды; -Аралас сандарды бөлу ережесін біледі,есеп шығаруда қолданады.
|
|||||
|
Сабақ барысы: |
||||||
|
Уақыты |
Кезең дері |
Педагогтің әрекеті |
Оқушының әрекеті |
Бағалау |
Ресурстар |
|
|
5 минут |
Ұйым дастыру |
Сәлеметсіздерме! Бүгін, Жай бөлшектерді және аралас сандарды бөлу тақырыбын қарастырамыз. Бүгінгі сабақта меңгеретініңіз: -Жай бөлшектерді бөлу алгоритмін біледі және бөлуді орындайды; -Аралас сандарды бөлу ережесін біледі,есеп шығаруда қолданады. Үй тапсырмасын тексеру. №637. Мына кестедегі әріптерден
көлденеңінен математикалық терминдер құрастыру керек. Тапсырма тез
құру әрекетімен есептеледі. Олай болса, тез орындайық: |
Сабақ мақсатымен танысады. Үй жұмысын айтады. Сұрақтарға жауап береді |
|
Жалпы білім беретін мектептің 5–сыныбына арналған оқулық. Оқулық авторлары: Т.А.Алдамұратова, Қ.С.Байшоланова, Е.С.Байшоланов Алматы «Атамұра» баспасы 2017 жыл |
|
|
8 мин |
Жаңа сабақ ты бекіту. |
Аралас санды жай бөлшекке бөлуді есіңе сақта!
Аралас санды жай бөлшекке бөлу үшін аралас санды бұрыс бөлшек түрінде жазып, бөлшектерді бөлу ережесін қолдану керек. Аралас санды аралас санға бөлуді есіңе сақта!
Аралас санды аралас санға бөлу үшін оларды бұрыс бөлшек түрінде жазып, бөлшектерді бөлу ережесін қолдану керек. |
Видеотүсіндіру қарайды. Жай бөлшектерді, аралас сандарды бөлу ережесін еске түсіріп, мысалдар келтіреді. |
Тақырып бойынша ресурстарды қарап, танысады |
Слайд Интернет ресурстары |
|
|
15 мин |
Тапсырмалар. |
№1.
№2. Теңдеуді шешіңдер:
1).
2).
3).
№3.
2. Тест
тапсырмалары. 2. Теңдеуді
шеш: у + 33/4 = 57/8. 3.Оқулықтан № 640
4. Жеке жұмыс.
1)
|
Жай бөлшектерді жай бөлшекке, аралас сандарды бөлу, натурал санды бөлшекке бөлу ережесін қолданып есептейді. Тақырыпқа қатысты мәтін есептерді шығарады
Жай бөлшектерге амалдар қолдану ережелерін біледі
Оқулықтан берілген есептерді шығарады.
Жекелеген оқушыларға тапсырмалар беріледі. |
Дескриптор: - Берілген сандарға кері сандарды табады. Дескриптор: - Жай бөлшектерді жай бөлшекке, аралас сандарды бөлу ережелерін біледі. Дескриптор: -Жай бөлшектерге амалдар қолдану ережелерін біледі.
|
Презентация Интернет ресурстары слайд Жалпы білім беретін мектептің 5–сыныбына арналған оқулық. Оқулық авторлары: Т.А.Алдамұратова, Қ.С.Байшоланова, Е.С.Байшоланов Алматы «Атамұра» баспасы 2017 жыл |
|
|
10 мин |
Жеке жұмыс |
Қосымша тапсырма орындау |
Тапсырманы орындайды |
Мониторинг |
|
|
|
2 минут |
Соңы |
Бүгінгі сабақта: -Жай бөлшектерді бөлу алгоритмін біледі және бөлуді орындады; -Аралас сандарды бөлу ережесін біледі,есеп шығаруда қолданды.
Үйге тапсырма. Қайталау. |
Тақырыпты меңгергенін анықтау |
Кері байланыс
|
Презентация |
|
шағым қалдыра аласыз








































.
Барлығы 48 алма. Шолпанда алма қанша?








•




