Қысқа мерзімді (сабақ) жоспары
Сабақтың тақырыбы: Натурал сандардың бөлінгіштігі (5 сыныпты қайталау)
|
Бөлім: |
5 сыныпта өтілген материалды қайталау |
||||||||||||||||||||||||||||||||||||||||||||||||||||||||||||
|
Педагогтің аты-жөні: |
|
||||||||||||||||||||||||||||||||||||||||||||||||||||||||||||
|
Күні: |
|
||||||||||||||||||||||||||||||||||||||||||||||||||||||||||||
|
Пән/Сынып: 6 |
Қатысқандар саны: Қатыспагандар саны: |
||||||||||||||||||||||||||||||||||||||||||||||||||||||||||||
|
Сабақтың тақырыбы: |
Натурал сандардың бөлінгіштігі |
||||||||||||||||||||||||||||||||||||||||||||||||||||||||||||
|
Оқу бағдарламасына сәйкес оқыту мақсаттары: |
5.1.2.5 натурал сандардың 2-ге, 5-ке, 10-ға бөлінгіштік белгілерін қолдану; |
||||||||||||||||||||||||||||||||||||||||||||||||||||||||||||
|
Сабақтың мақсаты: |
Натурал сандардың бөлінгіштік белгілерінің анықтамаларын естеріне түсіреді, олардың қасиеттерін есептер шығаруда қолдана біледі. |
||||||||||||||||||||||||||||||||||||||||||||||||||||||||||||
|
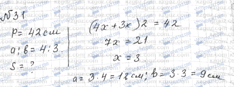
Сабақ барысы: |
|||||||||||||||||||||||||||||||||||||||||||||||||||||||||||||
|
Уақыты |
Кезең дері |
Педагогтің әрекеті |
Оқушының әрекеті |
Бағалау |
Ресурстар |
||||||||||||||||||||||||||||||||||||||||||||||||||||||||
|
5 минут |
Ұйым дастыру |
Сәлеметсіздерме! Оқушылармен амандасу, түгендеу, сабаққа дайындықтарын тексеру. Бүгін, Натурал сандардың бөлінгіштігі тақырыптарын қарастырамыз Бүгінгі сабақта меңгеретініңіз: Натурал санның бөлгіші мен еселігі анықтамаларын білу, натурал сандардың 2-ге, 5-ке, 10-ға бөлінгіштік белгілерін қолдану;
|
Сәлемдесу Үй тапсырмасын тексерту Сұрақтарға жауап беру |
Ынталандыру сөздерін қолдану «жақсы», «жарайсың», «өте жақсы» |
6 сынып оқулығы. 1-бөлім. |
||||||||||||||||||||||||||||||||||||||||||||||||||||||||
|
10 мин |
Жаңа сабақ |
Білу. Қораптың ішінде берілген сұрақтарға жауап сұрау( өткен сабаққа байланысты сұрақтар берілген). 2-ге бөлінгіштік қасиетін айт; 5-ке бөлінгіштік қасиетін айт;10-га бөлінгіштік қасиетін айт; 9-га бөлінгіштік қасиетін айт Түсіну. Венн диаграммасын құру. Жұп сандар мен тақ сандардың, жай сандар мен құрама сандардың, ЕҮОБ пен ЕКОЕ-дің ұқсастықтары мен ерекшеліктерін шеңберлерге жазу. Ортасына олардың ортақ қасиеттерін жазу. І топқа: «Жұп сандар мен тақ сандар» ІІ топқа: «Жай сандар мен құрама сандар» ІІІ топқа:«ЕҮОБ пен ЕКОЕ» |
Сұрақтарға жауап береді • 2 санына бөлінгіштік белгісі: натурал сан 0; 2; 4; 6; 8 цифрларымен аяқталғанда ғана 2-ге бөлінеді |
|
Презентация Тақта Бор Кітап Дәптер Интерактивті тақта Слайд |
||||||||||||||||||||||||||||||||||||||||||||||||||||||||
|
25 минут |
Бекіту тапсырмасы |
Талдау. Семантикалық карточкамен жұмыс. Берілген сандар бойынша карточканы толтыру. колдану. . А деңгейі: №1,№3 |
Семантикалық карточкамен жұмыс жасайды. Берілген сандар бойынша карточканы + қою арқылы толтырады . |
.дескриптор: -2-ге Бөлінгіштік белгілерін біледі; -3-ке Бөлінгіштік белгілерін біледі; -5ке Бөлінгіштік белгілерін біледі; -10-ға Бөлінгіштік белгілерін біледі |
Тақта Бор Кітап Дәптер Интерактивті тақта Презентация Слайд 7-8 |
||||||||||||||||||||||||||||||||||||||||||||||||||||||||
|
|
Жеке жұмыс |
Тапсырманы орындау тәртібін түсіндіреді
10-ға бөлінетін сандарды таңдаңыз.
|
Оқушылар жеке Тапсырманы орындайды «Бөлінгіштік қасиеті» 2-ге бөлінетін сандарды таңдаңыз.
5-ке бөлінетін сандарды таңдаңыз.
|
ҚБ «Қол шапалақтау» әдісі арқылы бағаланады және
дескриптор: -2-ге Бөлінгіштік белгілерін біледі; -3-ке Бөлінгіштік белгілерін біледі; -5ке Бөлінгіштік белгілерін біледі; -10-ға Бөлінгіштік белгілерін біледі
|
Тақта Бор Кітап Дәптер Интерактивті тақта Презентация |
||||||||||||||||||||||||||||||||||||||||||||||||||||||||
|
5 минут |
|
Бүгінгі сабақта: Натурал сандардың бөлінгіштік белгілерінің анықтамаларын естеріне түсіреді, олардың қасиеттерін есептер шығаруда қолдана біледі. Жинақтау. «Күн салу». Оқушыларға натурал сандардың бөлінгіштігінің қасиеттері жазылған қағаз қиындыларын тарату.
Шуақтарына «2-ге, 5-ке, 3-ке, 10-ға және 9-ға бөлінгіштік белгілер, ЕҮОБ, ЕКОЕ, Жай көбейткіштерге жіктеу, Әріпті өрнектер, санды өрнектер, қосынды, жай сандар, құрама сандар»
«Таңдау» әдісін қолдану. Оқушыларға смайликтер тарату. Үйге тапсырма. №4,№5. |
Тақырыпты меңгергенін анықтау Тақырыпты меңгергенін анықтау Оқушылар келесі сөйлемдерді толықтырады: • Мен білдім … • Қызықты болды… • Қиындық тудырды… •Мен тапсырманы орындадым… • Мен енді… • Сабақтан мен не алдым… |
Презентация |
|||||||||||||||||||||||||||||||||||||||||||||||||||||||||
Қысқа мерзімді (сабақ) жоспары
Сабақтың тақырыбы: Жай бөлшектер мен ондық бөлшектерге амалдар қолдану (5 сыныпты қайталау)
|
Бөлім: |
5 сынып қайталау |
||||||
|
Мұғалімнің аты-жөні: |
|
||||||
|
Пән/Сынып: |
6 сынып Қатысқандар саны: Қатыспағандар саны: |
||||||
|
Күні: |
|
||||||
|
Сабақтың тақырыбы: |
Жай бөлшектер мен ондық бөлшектерге амалдар қолдану |
||||||
|
Оқу бағдарламасына сәйкес оқыту мақсаты: |
5.1.2.14 жай бөлшектерді қысқартуда бөлшектің негізгі қасиетін қолдану; 5.1.2.15 жай бөлшекті жаңа бөлімге келтіру; |
||||||
|
Сабақтың мақсаты. |
жай бөлшектерді, аралас сандарды салыстыру; ондық бөлшектерді қосу және азайтуды орындау |
||||||
|
Сабақ барысы |
|||||||
|
Уақыты |
Кезең дері |
Педагогтің әрекеті |
Оқушының әрекеті |
Бағалау |
Ресурстар |
||
|
5 минут |
Ұйымдастыру |
Сәлеметсіздерме! Бүгін, Жай бөлшектер мен ондық бөлшектерге амалдар қолдану тақырыптарын қарастырамыз Бүгінгі сабақта меңгеретініңіз: жай бөлшектерді, аралас сандарды салыстыру; ондық бөлшектерді қосу және азайтуды орындау Оқушылармен амандасу, түгендеу, сабаққа дайындықтарын тексеру. 1.Ұйымдастыру. 2. Үй жұмысын тексеру |
Сәлемдесу Үй тапсырмасын тексерту |
Ынталандыру сөздерін қолдану «жақсы», «жарайсың», «өте жақсы» |
Тақта Бор Кітап Дәптер Интерактивті тақта Бағалау парақтары |
||
|
10мин |
Жаңа сабақ |
Қайталау сұрақтары 1.Жай бөлшектердің түрлері.( дұрыс,бұрыс, аралас) 2.Жай бөлшекті салыстыру. 3.Жай бөлшекті қосу және азайту. 4.Жай бөлшекті көбейту және бөлу. |
Сұрақтарға жауап береді Тақырып бойынша ресурстарды қарап, танысады |
Ынталандыру сөздерін қолдану «жақсы», «жарайсың», «өте жақсы» |
Презентация |
||
|
20 минут |
Бекіту тапсырмасы |
Тапсырмалар.
|
|
Ынталандыру сөздерін қолдану «жақсы», «жарайсың», «өте жақсы» Және де 10 Баллдық жүйе бойынша бағаланады |
Слайд 6 сынып оқулығы. 1-бөлім. Әбілқасымов А.Е., Кучер Т.П., Жұмағұлова З.Ә., 2018ж «Мектеп» баспасы Тақта Бор Кітап Дәптер Интерактивті тақта Бағалау парақтары |
||
|
5мин |
Жеке жұмыс |
Оқулықпен жұмыс. №20,33 |
Тапсырманы орындайды |
|
|
||
|
5 минут |
|
Бүгінгі сабақта: жай бөлшектерді, аралас сандарды салыстыру; ондық бөлшектерді қосу және азайтуды орындау; Рефлексия: «Табыс сатысы» әдісі арқылы әр оқушы берілген сөйлемдерді стикерге аяқтап жазып, сатының тұсына іледі. Сатының суреті, сатының; 1 - ші баспалдағы *Мен.............. БІЛЕМІН*, 2 - ші баспалдағы *Мен.................. ТҮСІНЕМІН*, 3 - ші баспалдағы *Мен............. ЖАСАЙ АЛАМЫН* Үйге тапсырма №21,24
|
Үй тапсырмасын алады Кері байланыс береді |
Жинаған баллдары бойынша дескриптор бойынша бағалау |
Презентация |
||
Қысқа мерзімді (сабақ) жоспары
Сабақтың тақырыбы: Жай бөлшектер мен ондық бөлшектерге амалдар қолдану
|
Бөлім: |
5 сыныпта өтілген материалды қайталау |
||||||
|
Педагогтің аты-жөні: |
|
||||||
|
Пән/Сынып: |
6 сынып Қатысқандар саны: қатыспағандар саны: |
||||||
|
Күні: |
|
||||||
|
Тарау немесе бөлім атауы: |
5 сыныпта өтілген материалды қайталау |
||||||
|
Сабақтың тақырыбы: |
Жай бөлшектер мен ондық бөлшектерге амалдар қолдану |
||||||
|
Оқу бағдарламасына сәйкес оқыту мақсаттары: |
жай бөлшектерді, аралас сандарды салыстыру; ондық бөлшектерді қосу және азайтуды орындау; |
||||||
|
Сабақтың мақсаты: |
жай бөлшектерді, аралас сандарды салыстыру; ондық бөлшектерді қосу және азайтуды орындау |
||||||
|
Сабақ барысы: |
|||||||
|
Уақыты |
Кезең дері |
Педагогтің әрекеті |
Оқушының әрекеті |
Бағалау |
Ресурстар |
||
|
5 минут |
Ұйымдастыру |
Сәлеметсіздерме! Бүгін, Жай бөлшектер мен ондық бөлшектерге амалдар қолдану тақырыптарын қарастырамыз Бүгінгі сабақта меңгеретініңіз: жай бөлшектерді, аралас сандарды салыстыру; ондық бөлшектерді қосу және азайтуды орындау Оқушылармен амандасу, түгендеу, сабаққа дайындықтарын тексеру. 1.Ұйымдастыру. 2. Үй жұмысын тексеру 3. Қайталау сұрақтары 1.Жай бөлшектердің түрлері.( дұрыс,бұрыс, аралас) 2.Жай бөлшекті салыстыру. 3.Жай бөлшекті қосу және азайту. 4.Жай бөлшекті көбейту және бөлу. |
Сәлемдесу Үй тапсырмасын тексерту Сұрактарга жауап береді |
Ынталандыру сөздерін қолдану «жақсы», «жарайсың», «өте жақсы» |
Оқулық |
||
|
5 мин |
Жаңа сабақ |
Сұрақ –
жауап |
Сұрақтарға жауап береді |
Ынталандыру сөздерін қолдану «жақсы», «жарайсың», «өте жақсы» |
Презентация Слайд |
||
|
20 минут |
Бекіту тапсырмасы |
Ойтүрткі кезеңінде әр топқа 3 есептен тұратын тапсырмалар беріледі: Математикалық диктант. Жеке тапсырма
Амалды орындаңдар: Жұптық тапсырма І топ 2,093:91+0,2166:0,38=0,023+0,57=0,593 ІІ топ 0,004:0,25-0,2:16=0,016-0,0125=0,0035 ІІІ топ 0,5415:0,57-0,003:0,024=0,95-0,125=0,825 |
Топтық тапсырма Теңдеуді шешу 1. 25 . (х + 3) = 150 х = 3 2. 169 : (х – 3) = 13 х = 16 3. (х + 97) : 28 = 4 х = 15 4. 14 . (х + 9) = 168 х = 3 5. 121 : (х – 3) = 11 х = 14 6. (х + 27) : 15 = 4 х = 33 Тапсырмаларды орындайды Ондық бөлшекке бөлу 1) 2,5:0,5=5 2) 5:0,5=1
13,125:1,5=8,75 13,125:1,5=131,25:15=8,75 |
Жеке тапсырмаларды орындауда «Смайлик» әдісімен бағаланады Жұптық тапсырмаларды орындауда «екі жұлдыз бір тілек» әдісімен бағаланады Топтық тапсырмаларды орындауда «бас бармақ» әдісі бойынша бағаланады |
Слайд 7-8 |
||
|
10мин |
Жеке жұмыс |
Оқулықпен жұмыс.№20,31 |
Тапсырманы орындайды |
Әр баланың мүмкіндігіне қарай 10 баллдық шкаламен бағалау |
|
||
|
5 минут |
|
Бүгінгі сабақта: жай бөлшектерді, аралас сандарды салыстыру; ондық бөлшектерді қосу және азайтуды орындау; Сабақты қортындылау
мақсатында мұғалім оқушылармен кері байланыс орнатады.Оқушылар
сабақ барысында нені білгенін, қалай жұмыс істегенін ,не қызықты
әрі жеңіл болғанын, не киындық туғызғаны туралы ой-пікірлерін
білдір Дидактикалық ойын: «Сөз ойла, тез ойла» |
Тақырыпты меңгергенін анықтау |
Сабаққа қатысқанына, белсенділігіне қарай мұғалімнің бағалауы |
Презентация |
||
Қысқа мерзімді (сабақ) жоспары
Сабақтың тақырыбы: Берілген санның процентін табу. Проценті бойынша санды табу
|
Бөлім |
5 сыныпта өтілген материалды қайталау |
||||||
|
Мұғалімнің аты-жөні: |
|
||||||
|
Пән/Сынып: |
6 сынып Қатысқандар саны: Қатыспағандар саны: |
||||||
|
Күні: |
|
||||||
|
Сабақтың тақырыбы: |
Берілген санның процентін табу.Проценті бойынша санды табу
|
||||||
|
Оқу бағдарламасына сәйкес оқыту мақсаттары: |
бөлшекті пайызға және пайызды бөлшекке айналдыру; берілген пайызы бойынша санды табу |
||||||
|
Сабақтың мақсаты: |
Оқушыларға санның пайызын табуға есептер шығарту Санның пайызын табу тәсілін біледі. Есептердегі қателерді түзетеді. |
||||||
|
Сабақ барысы: |
|||||||
|
Уақыты |
Кезең дері |
Педагогтің әрекеті |
Оқушының әрекеті |
Бағалау |
Ресурстар |
||
|
5минут |
Ұйымдастыру |
Сәлеметсіздерме! Бүгін, Берілген санның процентін табу.Проценті бойынша санды табу тақырыптарын қарастырамыз Бүгінгі сабақта меңгеретініңіз: бөлшекті пайызға және пайызды бөлшекке айналдыру; берілген пайызы бойынша санды табу Оқушылармен амандасу, түгендеу, сабаққа дайындықтарын тексеру. 1.Ұйымдастыру. 2. Үй жұмысын тексеру |
Сәлемдесу Үй тапсырмасын тексерту Сұрактарга жауап береді |
Ынталандыру сөздерін қолдану «жақсы», «жарайсың», «өте жақсы» |
Оқулық |
||
|
5 мин |
Жаңа сабақ |
Сұрақ – жауап Берілген санның процентін табу үшін:
|
Сұрақтарға жауап береді Тақырып бойынша ресурстарды қарап, танысады |
Ынталандыру сөздерін қолдану «жақсы», «жарайсың», «өте |
Презентация |
||
|
20 минут |
Бекіту тапсырмасы |
№1Процентін табыңдар: 1)30, 57, 125, 200, 250, 310 сандарының 10%-ін; 2)16, 24, 72, 96, 114, 400 сандарының 50%-ін; 3)28, 36, 68, 100, 232, 360 сандарының 25%-ін;
№2. 1)Құлпынайдың 6%-і қант. 35 кг құлпынайда неше килограмм қант бар? |
№1 тапсырманы орындайды
№2 тапсырма
2)Картоптың 18%-і крахмал. 25 кг картопта неше килограмм крахмал бар?
|
Дескриптор: Берілген санның процентін табу үшін: -Процентті жай бөлшекпен немесе ондық бөлшекпен өрнектеу керек; -Берілген санды осы бөлшекке көбейту керек. |
Интернет ресурстары |
||
|
10мин |
Жеке жұмыс |
Оқулықтан №36,38 |
Тапсырманы орындайды |
|
Оқулық |
||
|
5 минут |
|
Бүгінгі сабақта: бөлшекті пайызға және пайызды бөлшекке айналдыру; берілген пайызы бойынша санды табу Сабақты қорытындылау: Берілген санның проценті қалай табылады? Берілген санның процентін табу үшін процентті қандай бөлшекпен өрнектеген тиімді? Үйге тапсырма №32,№40. |
Тақырыпты меңгергенін анықтау |
|
Презентация |
||
Қысқа мерзімді (сабақ) жоспары
Сабақтың тақырыбы:
|
Бөлім |
5 сыныпта өтілген материалды қайталау |
|||||
|
Мұғалімнің аты-жөні: |
|
|||||
|
Пән/Сынып: |
6 сынып Қатысқандар саны: Қатыспағандар саны: |
|||||
|
Күні: |
|
|||||
|
Сабақтың тақырыбы: |
Берілген санның процентін табу.Проценті бойынша санды табу
|
|||||
|
Оқу бағдарламасына сәйкес оқыту мақсаттары: |
бөлшекті пайызға және пайызды бөлшекке айналдыру; берілген пайызы бойынша санды табу |
|||||
|
Сабақтың мақсаты: |
|
|||||
|
Сабақ барысы: |
||||||
|
Уақыты |
Кезең дері |
Педагогтің әрекеті |
Оқушының әрекеті |
Бағалау |
Ресурстар |
|
|
5минут |
Ұйымдастыру |
Сәлеметсіздерме! Бүгін, Берілген санның процентін табу.Проценті бойынша санды табу тақырыптарын қарастырамыз Бүгінгі сабақта меңгеретініңіз: бөлшекті пайызға және пайызды бөлшекке айналдыру; берілген пайызы бойынша санды табу Оқушылармен амандасу, түгендеу, сабаққа дайындықтарын тексеру. 1.Ұйымдастыру. 2. Үй жұмысын тексеру |
Сәлемдесу Үй тапсырмасын тексерту Сұрактарга жауап береді |
Ынталандыру сөздерін қолдану «жақсы», «жарайсың», «өте жақсы» |
Оқулық |
|
|
5мин |
Жаңа сабақ |
«Миға шабуыл» І топқа: 60км-дің 1%-ы, 20метрдің 1%-ы ІІ топқа: 1%-ы 10-ға тең, 1%-ы 5-ке тең болатын санды табу керек |
Сұрақтарға жауап береді Тақырып бойынша ресурстарды қарап, танысады |
|
Оқулық |
|
|
25 минут |
Бекіту тапсырмасы |
1.Тақырыппен, сабақ мақсатымен және күтілетін нәтижемен таныстыру. І топқа: Берілген санның пайызын табу ІІ топқа: Пайызы бойынша санды табу Екі топ бір-бірін «Бағдаршам әдісі» арқылы бағалайды «Кім жылдам» (бекіту жаттығулары)
?
?
200
4%
25%
?
?
?
2%
50%
75%
3.2 «Өрмекші» ойыны (деңгейлік тапсырмалар,оқулықпен жұмыс құндылыққа байланысты есептер) А деңгейі А) Бұйымның бағасы 15%-ке қымбаттады. Егер осы бұйымның алғашқы бағасы 5000 тг болса, оның қымбаттаған бағасы бағасы неше теңге. В) Еркін флэшкасына 50%-өлең жазды.3 гигабайт флэшкада қанша бос орын бар. В деңгейі А)Банк салымшыларға қысқа мерзімді салым бойынша 3,5% жылдық сыйақы төлейді ( сосын жыл сайын 3,5% -ға өсіп отырады.) Бір жылдан соң салымшы 207000 теңге алса, ол банкке алғашқыда қанша теңге салған? В) Мектеп кітапханасында 2800 оқулық бар. Бұл ондағы барлық кітаптың 85%-і. Мектеп кітапханасында барлығы неше кітап бар? С деңгейі А) Атай жинақ кассасына
10%-тік өсіммен 36 В) Мұнай қоймасына әрқайсысы т-дан 30 цистерна мұнай әкелінді. Бірінші күні әкелінген мұнайдың 30%-ы,екінші күні қалған мұнайдың 80%-і сатуға жіберілді.Қоймада қанша мұнай қалды? Топтық жұмыс
Берілгені: бағасы-420теңге 15 % арзандатылды 7 ойыншыққа неше теңге үнемделді? 2 топ №2. Берілгені: жылдамдық 50 км/сағ, 3 сағ 20% арттырды, 2 сағ Орташа жылдамдығы? 3 топ Қоланың-85% мыс,5кг қоланың құрамындағы мыс қалайыдан қанша кг. артық ? «Математикалық лото» логикалық
сұрақтар: |
Тақырып бойынша ресурстарды қарап, танысады Сұрақтарға жауап береді Мысалдар келтіреді. 1.Шешуі: 420*0,15=63 63*7=441 Жауабы : 441 теңге 2.Шешуі: 50+50*0,2=60 (50*3+60*2)/(3+2)=54км/сағ 3.Шешуі: 5*0,85=4,25 5-4,25=0,75 4,25-0,75=3,5 Жауабы: 3,5 артық |
. «Шапалақ» арқылы бағалайды Дескриптор: Берілген санның процентін табуды; Проценті бойынша санды табуды біледі. «Бес жұлдыз» арқылы оқушылар ды бағалаймын. |
Слайд |
|
|
5мин |
Жеке жұмыс |
Оқулықпен жұмыс. №44 |
Тапсырманы орындайды |
|
|
|
|
5 минут |
|
Бүгінгі сабақта: бөлшекті пайызға және пайызды бөлшекке айналдыру; берілген пайызы бойынша санды табу Сабақты қорытындылау: «Бес сұрақ» стикерде жазылған бес сұраққа «ия» немесе «жоқ» деп жауап беру арқылы сабақты қорытындылаймыз Үйге тапсырма. №49. |
Тақырыпты меңгергенін анықтау |
Кері байланыс |
Презентация |
|
Қысқа мерзімді (сабақ) жоспары
Сабақтың тақырыбы: Қатынас
|
Бөлім.: |
Қатынастар және пропорциялар |
||||||
|
Мұғалімнің аты-жөні: |
|
||||||
|
Пән/Сынып: |
6 сынып Қатысқандар саны: Қатыспағандар саны: |
||||||
|
Күні: |
|
||||||
|
Сабақтың тақырыбы: |
Қатынас
|
||||||
|
Оқу бағдарламасына сәйкес оқыту мақсаттары: |
6.1.1.1 екі санның қатынасы нені көрсететінін түсіну; 6.1.2.2 берілген қатынасқа кері қатынасты табу; 6.5.2.1 екі санның қатынасын оқу және жазу; |
||||||
|
Сабақтың мақсаты: |
|
||||||
|
Сабақ барысы: |
|||||||
|
Уақыты |
Кезең дері |
Педагогтің әрекеті |
Оқушының әрекеті |
Бағалау |
Ресурстар |
||
|
5 минут |
Ұйымдастыру |
Сәлеметсіздерме! Бүгін, Қатынас тақырыптарын қарастырамыз Бүгінгі сабақта меңгеретініңіз:
Оқушылармен амандасу, түгендеу, сабаққа дайындықтарын тексеру. 1.Ұйымдастыру. 2. Үй жұмысын тексеру Ширату жаттығулары: 1. Санды өрнек дегеніміз не? 2. Әріпті өрнек дегеніміз не? 3. Санды өрнек пен әріпті өрнектің айырмашылығы неде? 4. Өрнектің ықшамдалған түрінің оның алғашқы түрінен айырмашылығы неде? 5. Қосудың қасиеттерін пайдаланып, өрнекті қалай ықшамдауға болады? 6. Көбейтудің үлестірімділік қасиетін пайдаланып, 20х+9х өрнектерін қалай ықшамдауға болады? |
Сәлемдесу Үй тапсырмасын тексерту Сұрактарга жауап береді |
Ынталандыру сөздерін қолдану «жақсы», «жарайсың», «өте жақсы» |
Тақта Бор Кітап Дәптер Интерактивті тақта Бағалау парақтары |
||
|
10 мин |
Жаңа сабақ |
«Ойлан, жұптас, бөліс» әдісімен жаңа сабақты өздігінен оқып үйренеді. Оқушы жеке оқып, жұпта ой бөлісіп, топта талқылайды. ҚБ: ( А С Д (1.1 - сурет) Сұрақтарға жауап беріңдер: 1)
14 2)
7 Тапсырманы «Сұрақ-жауап» әдісімен орындайды. Жұпта білмегенін сұрап, толықтырып отырады. Дескриптор:
Саралаудың «Бағалау» тәсілімен тақтадағы дұрыс жауапқа қарап бағаланады. |
Сұрақтарға жауап береді Тақырып бойынша ресурстарды қарап, танысады |
Дескриптор: Білім алушы
пропорция құрады |
Тақта Бор Кітап Дәптер Интерактивті тақта Бағалау парақтары |
||
|
25 минут |
Бекіту тапсырмасы |
Тапсырма – 1: Оқушы тапсырманы жеке отырып орындайды.Себебі оқушылар оқу стандартына сай меңгеруге тиіс тапсырма. а) Қатынасты жазыңдар
ә)
Саралаудың «Тапсырма» тәсіліне сәйкес талданады. Тапсырманың дұрыс жауабы интербелсенді тақтаға шығарылып, Бағдаршам түсімен бағаланады.
(Т) Тапсырма-2: 2.а) Мына формулаларды «қатынас» сөзін пайдаланып, оқыңдар
V= 2.ә) Пойыз 3 сағатта 255 км жол жүрді. Пойыздың жылдамдығын қатынас түрінде жазыңыз. б) Принтер 12 минутта 108 бетті шығарды. Принтердің жұмыс өнімділігін қатынас түрінде жазыңыз. в) 4кг кәмпиттің құны 1500 теңге. Кәмпиттің бағасын қатынас түрінде жазыңыз. Оқулықпен жұмыс. №3 №4, №5 |
Оқушылар берілген А)тапсырманы жұптасып орныдайды
Оқушылар берілген Ә) тапсырманы жеке орныдайды Жауаптар: 7ден 91 12ден 96 5тен 9 12ден 144 |
.дескриптор: -қатынастың мүшелерін ажыратады -қатынас түрінде жазады Дескриптор: -формуданы «қатынас» сөзін пайдаланып, оқиды -жылдамдық - қашықтықтың уақытқа қатынасы екенін біледі -жұмыс өнімділігі – өнімнің уақытқа қатынасы екенін біледі -баға – құнның зат мөлшеріне қатынасы екенін біледі. |
Тақта Бор Кітап Дәптер Интерактивті тақта Бағалау парақтары Тақта Бор Кітап Дәптер Интерактивті тақта Бағалау парақтары |
||
|
|
Жеке жұмыс |
Оқулықтан №3-5
|
Тапсырманы орындайды
|
Тақтаға шыққан ір баланың деңгейіне қарай 10 баллдық шкаламен бағаланады |
Тақта Бор Кітап Дәптер Интерактивті тақта Бағалау парақтары |
||
|
5 минут |
|
Бүгінгі сабақта:
Сабақты қорытындылау: Сабақты «Ыстық орындық» әдісімен қорытындылаймын. Оқушылар «Иә» немесе «Жоқ» тәсілімен бағалайды. Үйге тапсырма: №6, №8. |
Тақырыпты меңгергенін анықтау |
Кері байланыс. |
Презентация |
||
Қысқа мерзімді (сабақ) жоспары
Сабақтың тақырыбы:
|
Мұғалімнің аты-жөні: |
|
|||||||
|
Пән/Сынып: |
6 сынып Қатысқандар саны: Қатыспағандар саны: |
|||||||
|
Күні: |
|
|||||||
|
Тарау немесе бөлім атауы: |
Қатынастар және пропорциялар |
|||||||
|
Сабақтың тақырыбы: |
Қатынас
|
|||||||
|
Оқу бағдарламасына сәйкес оқыту мақсаттары: |
6.1.1.1 екі санның қатынасы нені көрсететінін түсіну; 6.1.2.2 берілген қатынасқа кері қатынасты табу; 6.5.2.1 екі санның қатынасын оқу және жазу; |
|||||||
|
Сабақтың мақсаты: |
|
|||||||
|
Сабақ барысы: |
||||||||
|
Уақыты |
Кезең дері |
Педагогтің әрекеті |
Оқушының әрекеті |
Бағалау |
Ресурстар |
|||
|
5 минут |
Ұйым дастыру |
Сәлеметсіздерме! Бүгін, Қатынас тақырыптарын қарастырамыз Бүгінгі сабақта меңгеретініңіз:
Оқушылармен амандасу, түгендеу, сабаққа дайындықтарын тексеру. 1.Ұйымдастыру. 2. Үй жұмысын тексеру. |
Амандасады. Үй жұмысын айтады. |
Ынталандыру сөздерін қолдану «жақсы», «жарайсың», «өте жақсы» |
Оқулық |
|||
|
10 мин |
Жаңа сабақ |
Пысықтау сұрақтары: С-1: Екі санның қатынасы дегеніміз не? С-2: Берілген қатынасқа кері қатынас қалай табылады? С-3: Кері қатынасқа мысалдар келтіру. С-4: Берілген қатынасқа тең қатынас қалай табылады? С-5: Екі санның қатынасын процентпен қалай өрнектеуге болады? |
Сұрақтарға жауап береді Тақырып бойынша ресурстарды қарап, танысады |
«жақсы», «жарайсың», «өте жақсы» |
Презентация Слайд |
|||
|
20 минут |
Бекіту тапсырмасы |
Топтық жұмыс. Қатынас ұғымын пайдалану арқылы есепті шығарту, өмірде қатынас ұғымдарының қолданбалылығы туралы ой қорытады. І топ қа мұғалім нұсқау береді Нұсқау. Ұзындығы
№2. 6 «а» ж»не 6 «б» сынып оқушылары театрдан 60 билет сатып алып, оны сәйкес 2:3 қатынасында бөліп алды. 6 «б» сыныбы неше билет алды? ІІ топқа нұсқау береді Нұсқау. Ұзындығы №2. Ерітінді қалайы мен мыстан тұрады, олардың сәйкес массалары 2:3 қатынасындай. Егер қалайының массасы 360 г болса, онда ерітіндінің массасы неге тең? Жеке оқушымен жұмыс. 1-тапсырма Берілген қатынастарды бөлшек түрінде жазып, қысқартыңыз: a) 6-ның 15-ке; b) 1,1-дің 18,7-ге; c) 21-дің 0,7-ге; d) 117-нің 90-ға. 2-тапсырма а-ның
b-ға
қатынасы
a)
3-тапсырма
|
1 топ тапсырмасы №1. Тік төртбұрыш пішінді жер
учаскесінің қабырғаларының қатынасы Жауабы: 11,34 га.
ІІ топ Тік төртбұрыш пішінді жер
учаскесінің қабырғаларының қатынасы Жауабы: 21,952 га. Оқушылар жеке тапсырманы тақтада кезектесіп орындайды Берілген қатынастарды бөлшек түрінде жазып, қысқартыңыз: a) 6-ның 15-ке; b) 1,1-дің 18,7-ге; c) 21-дің 0,7-ге; d) 117-нің 90-ға. Дескриптор: Білім алушы
нәтижелерге кері сандарды жазады. |
Дескриптор: -Қатынас ережесін біледі Топтар бірін-бірі «бас бармақ» әдісімен бағалайды. Дескриптор: Білім алушы
жазылған қатынастарды қысқармайтын бөлшек түрінде жазады. Дескриптор: Білім алушы
|
Слайд 7-8 Тақта Бор Кітап Дәптер Интерактивті тақта Бағалау парақтары |
|||
|
5мин |
Жеке жұмыс |
Оқулықтан №14,15
|
Тапсырманы орындайды
|
Дескриптор: Білім алушы
Әр дұрыс есеп үшін 1 балл |
Кітап Дәптер Интерактивті тақта Бағалау парақтары |
|||
|
5минут |
|
Бүгінгі сабақта:
Үйге тапсырма: Екі санның қатынасы. №16,20 Рефлексия: 1. Сабақтың мақсаты қандай болды? 2. Мен мақсатқа жеттім бе? 3. Мен не білдім? 4. Мен нені үйрендім? 5. Мен нені түсінбедім? 6. Мен не бойынша әлі де жұмыс істеуім керек? |
Тақырыпты меңгергенін анықтау |
Дескриптор: Тақырыпқа қатысты есептер шығарады, талдайды. -Таңбалар ережесін пайдаланып, теңдеулерді шешеді. |
Тақта Бор Кітап Дәптер Интерактивті тақта Бағалау парақтары |
|||
Қысқа мерзімді (сабақ) жоспары
Сабақтың тақырыбы:
|
Мұғалімнің аты-жөні: |
|
||||||||||
|
Пән/Сынып: |
6 сынып Қатысқандар саны: Қатыспағандар саны: |
||||||||||
|
Күні: |
|
||||||||||
|
Тарау немесе бөлім атауы: |
Қатынастар және пропорциялар |
||||||||||
|
Сабақтың тақырыбы: |
Берілген қатынаста бөлу |
||||||||||
|
Оқу бағдарламасына сәйкес оқыту мақсаттары: |
6.1.2.1 сандардың қатынасы ұғымын меңгеру; 6.1.1.1 екі санның қатынасы нені көрсететінін түсіну; |
||||||||||
|
Сабақтың мақсаты: |
|
||||||||||
|
Сабақ барысы: |
|||||||||||
|
Уақыты |
Кезең дері |
Педагогтің әрекеті |
Оқушының әрекеті |
Бағалау |
Ресурстар |
||||||
|
5 минут |
Ұйымдастыру |
Сәлеметсіздерме! Бүгін, Берілген қатынаста бөлу тақырыптарын қарастырамыз Бүгінгі сабақта меңгеретініңіз:
Оқушылармен амандасу, түгендеу, сабаққа дайындықтарын тексеру. 1.Ұйымдастыру. 2. Үй жұмысын тексеру. |
Амандасады. Үй жұмысын айтады |
Ынталандыру сөздерін қолдану «жақсы», «жарайсың», «өте жақсы» |
Оқулық |
||||||
|
10 мин |
Жаңа сабақ |
II. Қайталау. Ауызша. Мақсаты : Өткен сабақта өткен тақырыпты қайталау, еске түсіру. III. Жаңа тақырыпты оқыту: Мақсаты : Оқушыларды берілген сандарды берілген қатынаста қалай бөлу теориясымен таныстыру. Жаңа тәсілмен танысу үшін оқушылар мына тапсырманы орындайды. Оқушыларға, екі дос арасында 60 кәмпитті 2:3 қатынасында қалай бөліп алар еді деген сұрақ қойылды. Достардың біреуі – ? кәмпит Достардың екіншісі – ? кәмпит - осындай тапсырманы орындай алар ма едік?
Санды берілген қатынаста бөлу ережесі: 60 санын 2 : 3 қатынасында бөлу үшін, 60 -ты қатынастың мүшелерінің 2 + 3 қосындысына бөліп, нәтижені қатынастың әрбір мүшесіне көбейтеміз.
Оқушылар: Сұрақтарға жауап береді Тақырып бойынша ресурстарды қарап, танысады |
Сабаққа белсенді қатысып отырған оқушыларды Ынталандыру сөздерін қолдану «жақсы», «жарайсың», «өте жақсы»
|
Кітап Дәптер Интерактивті тақта Бағалау парақтары Кітап Дәптер Интерактивті тақта Бағалау парақтары |
|||||||
|
25минут |
Бекіту тапсырмасы |
Ұжымдық жұмыс. Мақсаты: Берілген санды берілген қатынаста бөлу ережесі тақырыбын бекіту. –
|
1 деңгей
V Жеке жұмыс Үш деңгей бойынша тапсырмалар орындайды. Мақсаты: Оқушының берілген материалды қандай деңгейде меңгергенін бақылау.
2 деңгей
3 деңгей
|
. Жоғарыдағы алгоритмді қолдана отырып, өздері тапсырмалар ойластырады, басқа топпен алмастырады. Бір-бірін бағалайды. |
Кітап Дәптер Интерактивті тақта Бағалау парақтары Кітап Дәптер Интерактивті тақта Бағалау парақтары |
||||||
|
|
Жеке жұмыс |
Оқулықтан №29, №30.
|
Тапсырманы орындайды
|
Дескриптор: Есеп шартына сәйкес математикалық ммоделін құрады2б -коммерсанттардың әр қайсыының пайда үлесін анықтайды 2б Жалпы 4 балл №31 есеп Дескриптор: Есеп шартына сай теңдеу құады; -белгісіз мүтайды; -ауданды табады |
Кітап Дәптер Интерактивті тақта Бағалау парақтары |
||||||
|
5 минут |
|
Бүгінгі сабақта:
- не білдің, не үйрендің? - не түсініксіз? - ары қарай қандай жұмыс қажет? Үй тапсырмасы:№31,32
|
Тақырыпты меңгергенін анықтау |
|
Презентация |
||||||
Қысқа мерзімді (сабақ) жоспары
Сабақтың тақырыбы:
|
Мұғалімнің аты-жөні: |
|
|||||||||||
|
Пән/Сынып: |
6 сынып Қатысқандар саны: Қатыспағандар саны: |
|||||||||||
|
Күні: |
|
|||||||||||
|
Тарау немесе бөлім атауы: |
Қатынастар және пропорциялар |
|||||||||||
|
Сабақтың тақырыбы: |
Берілген қатынаста бөлу |
|||||||||||
|
Оқу бағдарламасына сәйкес оқыту мақсаттары: |
6.1.2.1 сандардың қатынасы ұғымын меңгеру; 6.1.1.1 екі санның қатынасы нені көрсететінін түсіну; |
|||||||||||
|
Сабақтың мақсаты: |
|
|||||||||||
|
Сабақ барысы: |
||||||||||||
|
Уақыты |
Кезең дері |
Педагогтің әрекеті |
Оқушының әрекеті |
Бағалау |
Ресурстар |
|||||||
|
5минут |
Ұйымдастыру |
Сәлеметсіздерме! Бүгін, Берілген қатынаста бөлу тақырыптарын қарастырамыз Бүгінгі сабақта меңгеретініңіз:
Оқушылармен амандасу, түгендеу, сабаққа дайындықтарын тексеру. 1.Ұйымдастыру. 2. Үй жұмысын тексеру. |
Амандасады. Үй жұмысын айтады. |
Ынталандыру сөздерін қолдану «жақсы», «жарайсың», «өте жақсы» |
Оқулық |
|||||||
|
10 мин |
Жаңа сабақ |
II. Қайталау. Ауызша. Мақсаты : Өткен сабақта өткен тақырыпты қайталау, еске түсіру. III. Жаңа тақырыпты оқыту: Видео сабақ. Тексеру тапсырмалары: Мақсаты : Оқушыларды берілген сандарды берілген қатынаста қалай бөлу теориясымен таныстыру. Жаңа тәсілмен танысу үшін оқушылар мына тапсырманы орындайды.
|
Сұрақтарға жауап береді Тақырып бойынша ресурстарды қарап, танысады |
Ынталандыру сөздерін қолдану «жақсы», «жарайсың», «өте жақсы» |
Тақта Бор Кітап Дәптер Интерактивті тақта Бағалау парақтары |
|||||||
|
25 минут |
Бекіту тапсырмасы |
Тапсырмалар: 1-есеп. Шебер 18 сақина дайындаған уақытта, оның шәкірті 12 сақина дайындайды. Олар бірлесіп жұмыс істеп, 180 сақина дайындады. Шебер неше сақина , шәкірті неше сақина дайындады?
2-есеп: 350 г тұзды су ерітіндісі дайындалды. Ондағы тұздың массасының судың массасына қатынасы 2: 5 қатынасындай.Ерітінді құрамында неше грамм тұз бар? Неше грамм су бар? |
1-есеп Шешуі: 1) 18 : 12 немесе 3:2 қатынасындай.
Жауабы: 108 сақина , 72 сақина. 2-есеп Шешуі: 1) 2 + 5 = 7 2) 350 : 7= 50 (г) 3) 50 ∙ 2 =100 (г) , 50 ∙ 5 =250 (г) Жауабы: 100 г ; 250 г. |
Дескрипто:
Шыққан нәтижені қатынас мүшелерінің әрқайсысына жеке-жеке көбейтеді |
Слайд 7-8 Тақта Бор Кітап Дәптер Интерактивті тақта Бағалау парақтары |
|||||||
|
|
Жеке жұмыс |
Оқулықпен жұмыс №1 х-тің қандай мәнінде
пропорцияның мәні тең болады
а) 8 в) 3 с) 3 №2 Сыныпта 30 оқушы бар. Оның 19-ы математика үйірмесіне, 15-і спорттық үйірмелерге қатысады. Сыныптағы оқушылардың нешеуі математика үйірмесіне де, спорт үйірмеге де қатысады? а) 3; в) 4; с) 5; д) 2 №3 Картадағы 1см-ге жер бетіндегі 500 м қашықтық сәйкес келеді. Картаның масштабын табыңдар. а) 1 : 500 в) 1 : 50000 с) 1 : 5000 д) 1 : 2500 №4Үш санның қатынасы 3 : 4 : 8 қатынасындай. Ең үлкен сан мен, ең кіші санның айырымы 30-ға тең. Осы сандардың қосындысын табыңыздар. а) 52; в) 48; с) 90; д) 36; №5 Есептің шартына сәйкес дұрыс пропорцияны таңдап ал. Есеп: 6 га егістікке 10,8-ң дән себілді. 15 га егістікке себілу үшін қанша дән керек? а) 15 : 6 = 10, 8 : Х в) 6 : 15 = Х : 10, 8 с) 6 : 10,8 = Х : 15 д) 6 : 10, 8 = 15 : Х оқулықтан
|
Тапсырманы орындайды
|
№38есеп Дескриптор: Есеп шартына сай теңдеу құады; -белгісіз мүшені табады; -Елдос ойлаган санды табады №39 Дескриптор: Есеп шартына сай теңдеу құады; -белгісіз мүшені анықтайды; -шаруашылық бірлестігі жерінің ауданын табады
|
Слайд 7-8 Тақта Бор Кітап Дәптер Интерактивті тақта Бағалау парақтары |
|||||||
|
5 минут |
|
Бүгінгі сабақта: шамаларды берілген қатынаста бөле алады; шамаларды берілген қатынаста бөлуді есептер шығаруда қолдана алады Сабақты бекіту
Берілген қатынасқа тең қатынас қалай табылады? Рефлексия: - не білдің, не үйрендің? - не түсініксіз? - ары қарай қандай жұмыс қажет? Үй тапсырмасы:№36 |
Тақырыпты меңгергенін анықтау |
Әр оқушының сабаққа белсенділігіне қарай мұғалімнің бағалауы |
Презентация |
|||||||
Қысқа мерзімді (сабақ) жоспары
Сабақтың тақырыбы:
|
Мұғалімнің аты-жөні: |
|
|||||||
|
Пән/Сынып: |
6 сынып Қатысқандар саны: Қатыспағандар саны: |
|||||||
|
Күні: |
|
|||||||
|
Тарау немесе бөлім атауы: |
Қатынастар және пропорциялар |
|||||||
|
Сабақтың тақырыбы: |
Екі санның проценттік қатынасын табу |
|||||||
|
Оқу бағдарламасына сәйкес оқыту мақсаттары: |
6.1.2.1 сандардың қатынасы ұғымын меңгеру; 6.1.2.2 берілген қатынасқа кері қатынасты табу; |
|||||||
|
Сабақтың мақсаты: |
Оқушылар қатынас ұғымын біледі, түснеді және есеп шығаруда пайдаланады. қосудың қасиеттерін қолдана отырып, әріпті өрнекті дұрыс түрлендіреді; - көбейтудің қасиеттерін қолдана отырып, әріпті өрнекті дұрыс түрлендіреді; |
|||||||
|
Сабақ барысы: |
||||||||
|
Уақыты |
Кезең дері |
Педагогтің әрекеті |
Оқушының әрекеті |
Бағалау |
Ресурстар |
|||
|
5 минут |
Ұйымдастыру |
Сәлеметсіздерме! Бүгін, Екі санның проценттік қатынасын табу тақырыптарын қарастырамыз Бүгінгі сабақта меңгеретініңіз: сандардың қатынасы ұғымын меңгеру; берілген қатынасқа кері қатынасты табу; 1.Ұйымдастыру.Оқушылармен амандасу, түгендеу, сабаққа дайындықтарын тексеру. 2. Үй жұмысын тексеру. |
Амандасады. Үй жұмысын айтады. |
Ынталандыру сөздерін қолдану «жақсы», «жарайсың», «өте жақсы» |
Оқулық |
|||
|
10 мин |
Жаңа сабақ |
Жаңа сабақ. Видео сабақ. Тыңдалым тапсырмасы Екі санның бөліндісі сол сандардың қатынасы д.а. а/в – а-ның в-ға қатынасы. а- алдыңғы, в-соңғы мүшелері. - Қатынастың екі мүшесін де бірдей санға көбейтсек н/е бөлсек берілген қатынасқа тең қатынас шығады. Бөлшектің негізгі қасиеттері.
Егер бөлшектің бөлімінде алымында нөлден өзге бірдей санға көбейтсек, немесе бөлсек, онда бөлшектің мағынасы өзгермейді. Екі шаманың өлшемдерін бөлінді түрінде салыстыру үшін қатынас ұғымын қолданады. АНЫҚТАМА.
Екі санның бөліндісі түріндегі
өрнек сол сандардың қатынасы деп
аталады. Мұнда а және в қатынастың мүшелері деп аталады. а - қатынастың алдыңғы мүшесі, в - қатынастың соңғы мүшесі Оқылуы: «а санының в санына қатынасы немесе а - ның в - ға қатынасы» - Екі санның қатынасын 100-ге көбейтіп, % белгісін тіркеп, проценттік қатынасын аламыз. Мысалы: Оқушы тор көзбен жол көз дәптерлерін 2:1 қатынасындай сатып алды. Егер оқушы 24 тор көз дәптерін сатып алған болса, онда оқушы қанша жол көз дәптерін сатып алған? |
Тақырып бойынша ресурстарды қарап, танысады Сұрақтарға жауап береді Мысалдар келтіреді. Тапсырмаларды орындайды: Топтық жұмыс Тапсырманы оқыңыз
Т Постер арқылы жаңа тақырыпты өткен тақырыппен байланыстыру Мұғалім оқушыларға тапсырмалар береді олар түсініктерін қағазға салу керек , постер арқылы қорғайды Жай бөлшек пен бөлу амалының арасындағы байланысты мысалмен көрсет. ______ 2. Жай бөлшекке мысал келтіріп, оған кері санды тауып, қалай орындағаныңды түсіндіріп бер 3. АВ кесіндісінің ұзындығы 5см. , СД кесіндісінің ұзындығы 2см. АВ кесіндісінің СД кесіндісіне бөліндісін тап Өлшем бірлігін миллиметрге айналдырғандағы бөліндісін жаз: Бұл екі бөлінді нені білдіреді АВ кесіндісі СД кесіндісінен қанша есе үлкен болды? _ 4. Мына проценттерді бөлшекпен жаз: 6% = ____ ; 12% = ____ ; 25% = ____ ; 75%= ____ ; |
Ынталандыру сөздерін қолдану «жақсы», «жарайсың», «өте жақсы» Топтық жұмыстарда Әр топ бірін бірі «Бас бармақ» әдісі арқылы бағалайды Жұптық жұмыста оқушылар бірін-бірі «Бағдаршам» арқылы бір-бірін бағалайды. |
Презентация Слайд Тақта Бор Кітап Дәптер Интерактивті тақта Бағалау парақтары |
|||
|
25 минут |
Бекіту тапсырмасы |
Тапсырмалар: Оқулықпен жұмыс. №47,48
Қалыптастырушы бағалау тапсырмалары. 1.Тік төртбұрыштың периметрі 40см. Егер оның қабырғалары ұзындықтарының қатынасы 3 : 2 қатынасындай болса, ауданын табыңдар. Шешуі:1) ____________________________________________ 2) ___________________________________________ 3)______________________________Жауабы: 96 см2 . 2. Қатынастардағы х-тің мәнін табыңдар: а) 5,4 : 0,6 х ═ 1,8; ___________________ ______________ __________________ _____________________ 2. Қантты су ерітіндісіндегі судың массасының қанттың массасына қатынасы 17 : 3 қатынасындай. Ондағы судың массасы қанттың массасынан 280 г артық. Қантты су ерітіндісінің концентрациясы неше процент? А) 28 % ; В)25% ; С) 20%; Д) 15% |
Оқулықтан және қалыптастырушы бағалау тапсырма ларын орындайды
№49 Дескриптор: -есеп шартын түсінеді; -қызылшаның пайыздық үлесін табады -қара өрікітң пайызын табады -мыстың пайыздық үлесін табады 4 балл - |
. №47 Дескриптор: Сандардың проценттік катынасын табады Әрбір дқры есеп үшін 1 балл №48 Дескриптор: -есеп шартын түсінеді; -қорапшалардың пайыздық үлесін табады Жалпы 3 балл
|
Тақта Бор Кітап Дәптер Интерактивті тақта Бағалау парақтары |
|||
|
|
Жеке оқушы мен жұмыс. Хайролла Т |
1)Екі санның қатынасы 3-ке тең. Оның соңғы мүшесі 7-ге тең. Қатынастың алдыңғы мүшесін табыңдар. 2) Екі санның қатынасы 2-ге тең. Оның алдыңғы мүшесі 8-ге тең. Соңғы мүшесін табыңдар. 3. Шамалардың қатынастарын табыңдар: а) 70 см-дің 150 см-ге ә) 3 км-дің 150 м-ге б) 2,5 кг-ның 0,5 кг-ға |
Тапсырманы орындайды
|
«Екі жұлдыз, бір тілек» |
Тақта Бор Кітап Дәптер Интерактивті тақта Бағалау парақтары |
|||
|
5 минут |
|
Бүгінгі сабақта: сандардың қатынасы ұғымын меңгерді берілген қатынасқа кері қатынасты табады. Рефлексия: «Табыс сатысы» әдісі арқылы әр оқушы берілген сөйлемдерді стикерге аяқтап жазып, сатының тұсына іледі. Сатының суреті, сатының; 1 - ші баспалдағы *Мен.............. БІЛЕМІН*, 2 - ші баспалдағы *Мен.................. ТҮСІНЕМІН*, 3 - ші баспалдағы *Мен............. ЖАСАЙ АЛАМЫН* Үйге тапсырма. №47 /2/ |
Тақырыпты меңгергенін анықтау |
Кері байланыс |
Презентация |
|||
Қысқа мерзімді (сабақ) жоспары
Сабақтың тақырыбы:
|
Мұғалімнің аты-жөні: |
|
|||||
|
Пән/Сынып: |
6 сынып .Қатысқандар саны: Қатыспағандар саны: |
|||||
|
Күні: |
|
|||||
|
Тарау немесе бөлім атауы: |
Қатынастар және пропорциялар |
|||||
|
Сабақтың тақырыбы: |
Екі санның проценттік қатынасын табу |
|||||
|
Оқу бағдарламасына сәйкес оқыту мақсаттары: |
6.1.2.1 сандардың қатынасы ұғымын меңгеру; 6.1.2.2 берілген қатынасқа кері қатынасты табу; |
|||||
|
Сабақтың мақсаты: |
Оқушылар қатынас ұғымын біледі, түснеді және есеп шығаруда пайдаланады. қосудың қасиеттерін қолдана отырып, әріпті өрнекті дұрыс түрлендіреді; - көбейтудің қасиеттерін қолдана отырып, әріпті өрнекті дұрыс түрлендіреді; |
|||||
|
Сабақ барысы: |
||||||
|
Уақыты |
Кезең дері |
Педагогтің әрекеті |
Оқушының әрекеті |
Бағалау |
Ресурстар |
|
|
5минут |
Ұйымдастыру |
Сәлеметсіздерме! Бүгін, Екі санның проценттік қатынасын табу тақырыптарын қарастырамыз Бүгінгі сабақта меңгеретініңіз: сандардың қатынасы ұғымын меңгеру; берілген қатынасқа кері қатынасты табу; 1.Ұйымдастыру. 2. Үй жұмысын тексеру. |
Амандасады. Үй жұмысын айтады. |
Ынталандыру сөздерін қолдану «жақсы», «жарайсың», «өте жақсы» |
Оқулық |
|
|
10 мин |
Жаңа сабақ |
Жаңа сабақ. Видео сабақ. Тыңдалым тапсырмасы Екі санның бөліндісі сол сандардың қатынасы д.а. а/в – а-ның в-ға қатынасы. а- алдыңғы, в-соңғы мүшелері. - Қатынастың екі мүшесін де бірдей санға көбейтсек н/е бөлсек берілген қатынасқа тең қатынас шығады. Бөлшектің негізгі қасиеттері.
Егер бөлшектің бөлімінде алымында нөлден өзге бірдей санға көбейтсек, немесе бөлсек, онда бөлшектің мағынасы өзгермейді. Екі шаманың өлшемдерін бөлінді түрінде салыстыру үшін қатынас ұғымын қолданады. АНЫҚТАМА.
Екі санның бөліндісі түріндегі
өрнек сол сандардың қатынасы деп
аталады. Мұнда а және в қатынастың мүшелері деп аталады. а - қатынастың алдыңғы мүшесі, в - қатынастың соңғы мүшесі Оқылуы: «а санының в санына қатынасы немесе а - ның в - ға қатынасы» - Екі санның қатынасын 100-ге көбейтіп, % белгісін тіркеп, проценттік қатынасын аламыз. |
Сұрақтарға жауап береді Тақырып бойынша ресурстарды қарап, танысады
Кері қатынасқа мысал келтіріңдер және түсіндіріп беріңдер. |
Дескриптор: Тақырыпқа қатысты есептер шығарады, талдайды. -Таңбалар ережесін пайдаланып, теңдеулерді шешеді.
|
Презентация Слайд |
|
|
20 минут |
Бекіту тапсырмасы |
Деңгейлік тапсырмалар: І деңгей тапсырмалары 1. 60 санын 2:3:5 қатынасындай үш бөлікке бөліңіз. Жауабы:12;18;30. 2. Таза күміс – бұл 3:4:13 қатынасындағы никель, мырыш, және мыс қорытпасы. Осындай 4 кг жаңа күмісте неше кг никель болады? Жауабы:0,6кг никель. 3. Дүкендегі 150 м матадан 90 м мата сатылды. а) Дүкендегі матаның қандай бөлігі сатылды? ә) Дүкендегі матаның қандай бөлігі сатылмай қалды? б) Сатылған мата дүкендегі сатылмай қалған матадан неше есе артық? Жауабы: а) 4.
Жауабы: 1) 6. Қатынасты қысқартыңдар.
ІІ деңгей тапсырмалары Қатынас, берілген қатынасқа бөлу, проценттік қатынас ұғымдарын қолданып, есепте: 7. Сандардың проценттік қатынасын табыңдар.
Үлгі: 8. Қатынасты қысқартыңдар: 1) 2) 3) Жауабы: 1) ІІІ деңгей тапсырмалары 10. Бөлшек сандардың қатынасын бүтін сандардың қатынасы түрінде жазыңдар
|
Жеке оқушымен жұмыс. №1.Тік төртбұрыштың периметрі 40см. Егер оның қабырғалары ұзындықтарының қатынасы 3:2 қатынасындай болса, ауданын табыңдар. Шешуі:
Жауабы: №2. Қоспаның құрамындағы қалайы массасының мыстың массасына қатынасы 1:4 қатынасына тең. Қоспаның құрамындағы қалайы неше пайыз? Мыс неше пайыз? Жауабы: Жеке оқушымен жұмыс /Хайролла Тілеубекке/.
Жауабы: |
Дескриптор: №1 Есеп шартына сай теңдеу құрады; -есептің белгісіз айнымалысын табады -тік тқртбұрыштың ауданын табады 3 балл ҚБ:смайлик арқылы бағалау Дескриптор: дескриптор: -қатынастың мүшелерін ажыратады -қатынас түрінде жазады -қыстарту жұмысын жүргізеді 3балл Жинаған баллдары бойынша дескриптор бойынша бағалау |
Тақта Бор Кітап Дәптер Интерактивті тақта Бағалау парақтары Слайд 7-8 Тақта Бор Кітап Дәптер Интерактивті тақта Бағалау парақтары |
|
|
5мин |
Жеке жұмыс |
Oқулықпен жұмыс. №54,55
|
Тапсырманы орындайды
|
№54 тақ есептерді орындау Дескриптор: Сандардың пайыздық қатынасын таба алады; -әрбір есеп 1 балл деп есептеледі Жалпы 3 балл №55 Дескриптор: -Есеп шартына сай орнек құрады; -заттың неше пайызға арзандағанын табады -бұйымдардың неше пайызға қымбаттағанын табады Жалпы 3 балл |
Тақта Бор Кітап Дәптер Интерактивті тақта Бағалау парақтары |
|
|
5 минут |
|
Бүгінгі сабақта: сандардың қатынасы ұғымын меңгерді берілген қатынасқа кері қатынасты табады. Үйге тапсырма. №51,62 Рефлексия Не білемін? Не үйрендік? Кімнің көрсеткіші жоғары? |
Тақырыпты меңгергенін анықтау Сабақ соңында рефлексия жүргіземіз. 1. Сабақтың мақсаты қандай болды? 2. Мен мақсатқа жеттім бе? 3. Мен не білдім? 4. Мен нені үйрендім? 5. Мен нені түсінбедім? 6. Мен не бойынша әлі де жұмыс істеуім керек? |
Дескриптор бойынша бағалау Және мұғалімнің белсенді қатысқан оқушыларды қосымша бағалауы |
Тақта Бор Кітап Дәптер Интерактивті тақта Бағалау парақтары Презентация |
|
Қысқа мерзімді (сабақ) жоспары
Сабақтың тақырыбы:
|
Мұғалімнің аты-жөні: |
|
||||||||||||||
|
Пән/Сынып: |
6 сынып Қатысқандар саны: Қатыспағандар саны: |
||||||||||||||
|
Күні: |
|
||||||||||||||
|
Тарау немесе бөлім атауы: |
Қатынастар және пропорциялар |
||||||||||||||
|
Сабақтың тақырыбы: |
Пропорция.Пропорцияның негізгі қасиеті |
||||||||||||||
|
Оқу бағдарламасына сәйкес оқыту мақсаттары: |
6.1.2.3 пропорция анықтамасын білу; 6.1.2.4 пропорцияларды ажырату және құрастыру; 6.1.2.5 пропорцияның негізгі қасиетін білу және қолдану; |
||||||||||||||
|
Сабақтың мақсаты: |
- пропорцияны оқи және жаза біледі; - пропорция анықтамасын біледі; - пропорцияларды ажырата және құрастыра алады; - пропорцияның негізгі қасиетін біледі және қолданады |
||||||||||||||
|
Сабақ барысы: |
|||||||||||||||
|
Уақыты |
Кезең дері |
Педагогтің әрекеті |
Оқушының әрекеті |
Бағалау |
Ресурстар |
||||||||||
|
5 минут |
Ұйымдастыру |
Сәлеметсіздерме! Бүгін, Пропорция.Пропорцияның негізгі қасиеті тақырыптарын қарастырамыз Бүгінгі сабақта меңгеретініңіз: пропорция анықтамасын білу; пропорцияларды ажырату және құрастыру; пропорцияның негізгі қасиетін білу және қолдану Оқушылармен амандасу, түгендеу, сабаққа дайындықтарын тексеру. 1.Ұйымдастыру. 2. Үй жұмысын тексеру. |
Амандасады. Үй жұмысын айтады. |
Ынталандыру сөздерін қолдану «жақсы», «жарайсың», «өте жақсы» |
Оқулық |
||||||||||
|
10мин |
Жаңа сабақ |
Жаңа материалмен таныстыру. «Миға шабуыл».
100:20; 10:5; 40:8; 1:5; 50:10;
10:50; 5-ке тең болатын қатынастардың теңдігін жаз
Бұл теңдіктерді басқаша қалай жазуға болады?
Анықтама: Екі қатынастың теңдігі пропорция деп аталады.
Мысалы, Пропорцияны әріптер арқылы мына түрде жазады
Мұндағы,
Оқылуы: «a ның b ға қатынасы c ның d ға қатынасына тең» a:b=c:d пропорциясындағы а және d пропорцияныңшеткімүшелері, ал b және c пропорцияның ортаңғымүщелері деп аталады. Пропорцияның шеткі мүшелерінің көбейтіндісінің мәні орта мүшелерінің көбейтіндісінің мәніне тең Яғни, a:b=c:d , ad=bc Бұл қасиет пропорцияның негізгі қасиеті деп аталады Мысалы: Шешуі: Пропорцияның негізгі қасиетін қолданамыз 28
Жауабы: 7 |
Сұрақтарға жауап береді Тақырып бойынша ресурстарды қарап, танысады |
Ынталандыру сөздерін қолдану «жақсы», «жарайсың», «өте жақсы» Ынталандыру сөздерін қолдану «жақсы», «жарайсың», «өте жақсы» |
Тақта Бор Кітап Дәптер Интерактивті тақта Бағалау парақтары Презентация |
||||||||||
|
25 минут |
Бекіту тапсырмасы |
Жеке оқушымен жұмыс. №1 1. b–ның қандай мәнінде берілген теңдік пропорция болады? 1) 2. Төмендегі берілген сандардан пропорция құрыңыз. 1) 3; 4; 2; 6 2) 2; 3; 6; 9 №2 1. a–ның қандай мәнінде берілген теңдік пропорция болады? 1) 2. Төмендегі берілген сандардан пропорция құрыңыз. 1) 4; 5; 15; 12 2) 0,6; 1,5; 2; 5. №3 1. c–ның қандай мәнінде берілген теңдік пропорция болады? 1) 2. Төмендегі берілген сандардан пропорция құрыңыз. 1) 3; 10; 6; 2 2) 5; 1,5; 2; 0,6. |
Тақырып бойынша ресурстарды қарап, танысады Сұрақтарға жауап береді Мысалдар келтіреді. |
Дескриптор: Білім алушы
Бірінші болып аяқтаған жұп мадақталып, жұптар бір-бірін от шашу әдісімен бағалап отырады |
Тақта Бор Кітап Дәптер Интерактивті тақта Бағалау парақтары Презентация |
||||||||||
|
|
Жеке жұмыс |
Оқулықпен жұмыс №74-76.
|
Тапсырманы орындайды
|
Дескриптор: Білім алушы
Бірінші болып аяқтаған жұп мадақталып, ҚБ:екі жұлдыз, бір ұсыныс арқылы оқушыны бағалайды |
Тақта Бор Кітап Дәптер Интерактивті тақта Бағалау парақтары Презентация |
||||||||||
|
5 минут |
|
Бүгінгі сабақта: пропорция анықтамасын білу; пропорцияларды ажырату және құрастыру; пропорцияның негізгі қасиетін білу және қолдану Үйге тапсырма: Пропорция. Пропорцияның негізігі қасиеті. №73 /3,5/ Сабақ соңында оқушылар рефлексия жүргізеді: «Білім желкені» бойынша оқушылармен кері байланыс орнату. Кері байланыс Рефлексия - нені білдім, нені үйрендім - нені толық түсінбедім - немен жұмысты жалғастыру қажет Үйге тапсырма /қайталау |
Тақырыпты меңгергенін анықтау
Кері байланыс |
Презентация Тақта Оқу құралдары |
|||||||||||
Қысқа мерзімді (сабақ) жоспары
Сабақтың тақырыбы:
|
Мұғалімнің аты-жөні: |
|
||||||||||||
|
Пән/Сынып: |
6 сынып Қатысқандар саны: Қатыспағандар саны: |
||||||||||||
|
Күні: |
|
||||||||||||
|
Тарау немесе бөлім атауы: |
Қатынастар және пропорциялар |
||||||||||||
|
Сабақтың тақырыбы: |
Пропорция.Пропорцияның негізгі қасиеті |
||||||||||||
|
Оқу бағдарламасына сәйкес оқыту мақсаттары: |
6.1.2.3 пропорция анықтамасын білу; 6.1.2.4 пропорцияларды ажырату және құрастыру; 6.1.2.5 пропорцияның негізгі қасиетін білу және қолдану; |
||||||||||||
|
Сабақтың мақсаты: |
- пропорцияны оқи және жаза біледі; - пропорция анықтамасын біледі; - пропорцияларды ажырата және құрастыра алады; - пропорцияның негізгі қасиетін біледі және қолданады |
||||||||||||
|
Сабақ барысы: |
|||||||||||||
|
Уақыты |
Кезең дері |
Педагогтің әрекеті |
Оқушының әрекеті |
Бағалау |
Ресурстар |
||||||||
|
5 минут |
Ұйымдастыру |
Сәлеметсіздерме! Бүгін, Пропорция.Пропорцияның негізгі қасиеті тақырыптарын қарастырамыз Бүгінгі сабақта меңгеретініңіз: пропорция анықтамасын білу; пропорцияларды ажырату және құрастыру; пропорцияның негізгі қасиетін білу және қолдану Оқушылармен амандасу, түгендеу, сабаққа дайындықтарын тексеру. 1.Ұйымдастыру. 2. Үй жұмысын тексеру. |
Амандасады. Үй жұмысын айтады. |
Ынталандыру сөздерін қолдану «жақсы», «жарайсың», «өте жақсы» |
Оқулық |
||||||||
|
10мин |
Жаңа сабақ |
Ынтымақтастық атмосферасын құрамын. Оқушыларды «Жүректен жүрекке» әдісі арқылы бір-біріне жақсы тілек айтқызамын. 3. Сабақтың мақсатын оқушылармен ашу үшін «Миға шабуыл» әдісін қолданамын. -пропорция дегеніміз не? -пропорцияның негізгі қасиетін айтып беріңдер -пропорцияның белгісіз ортаңғы мүшесі қалай табылады? -пропорцияның белгісіз шеткі мүшесі қалай табылады? Оқушыларды «Бас бармақ» әдісі арқылы бағалаймын. |
Сұрақтарға жауап береді Тақырып бойынша ресурстарды қарап, танысады |
|
Тақта Бор Кітап Дәптер Интерактивті тақта Бағалау парақтары |
||||||||
|
25 минут |
Бекіту тапсырмасы |
1-топ №90 Пойыз 245 км қашықтықты 3,5 сағ жүреді. Пойыз осы жылдамдықпен 336 км қашықтықты неше сағат жүреді?
2-топ №91 127,5 м матадан 51 көйлек тігілді. Осындай 18 көйлек неше метр матадан тігіледі?
3-топ №92 28 кг картоптан 5,6кг крахмал алынады. 35 кг картоптан неше килограмм крахмал алынады?
Оқушыларды смайликтер арқылы бағалаймын. Жеке жұмыс. №1
Дескриптор: -есептің шарты бойынша белгісіздерді анықтайды; -амалдарды орындайды; -шешімін табады;
1-топ 1)Қазір қызы 8 жаста, шешесі 38 жаста. Неше жылдан кейін шешесінің жасы қызының жасынан 3 есе үлкен болады? (7 жыл) 2-топ 2) Бір ауылда бірдей 3 үй бар. Әр бір үйде 3 мысықтан бар. Әр бір мысық бір күнде 3 тышқан ұстайды. 3 күнде 3 үйден қанша тышқан ұсталады? Жауабы: 81 3-топ 3) Сұрақ белгісінің орнына қандай сан қою керек? 12-441 13-961 14-? Ж:691 Оқушыларды мадақтаулар арқылы бағалаймын. Тест.Сабақты қорытындылау. «Өзінді-өзің тексер» әдісімен оқушыларға тест тапсырмасы беріліп жеке-жеке орындайды. Слайдтардан жауабын тексереді. І нұсқа 1.Пропорцияның белгісіз мүшесін
табыңыз: A) 30 B) 5 C) 16 D) 3 E) 15 2. 5 кг алма үшін 120 теңге төленді. 7 кг алма үшін неше теңге төлеу керек? A) 198 т B) 178 т C) 148 т D) 158 т E) 168 т 3.Пропорцияның белгісіз мүшесін
табыңыз: A) 5 B) 13,5 C) 13 D) 12 E) 14
ІІ нұсқа 1. Пропорцияның белгісіз мүшесін тап: 7,5:3,5=х:14 A) 19,6 B) 7 C) 3 D) 70 E) 30 2. Турист қайықпен 504 км жүзді. Бұл барлық жолдың 36 % болса, барлық жолды тап. A) 181,44 км B) 1208 км C) 1608 км D) 1500 км E) 1400 км 3.Пропорцияның белгісіз мүшесін
табыңыз: A) 15 B) 30 C) 10 D) 5 E) 3 Дұрыс жауапқа «+» ,ал қате жауапқа «-» таңбасымен бағалап отырамын.
2. Төмендегі берілген сандардан пропорция құрыңыз. 1) 3; 10; 6; 2 2) 5; 1,5; 2; 0,6. Тақырып бойынша ресурстарды қарап, танысады Сұрақтарға жауап береді Мысалдар келтіреді. |
Дескриптор: -есептің шарты бойынша белгісіздерді анықтайды; -пропорция құрайды; -амалдарды орындайды; -шешімін табады; |
Тақта Бор Кітап Дәптер Интерактивті тақта Бағалау парақтары Тақта Бор Кітап Дәптер Интерактивті тақта Бағалау парақтары |
|||||||||
|
|
Жеке жұмыс |
Оқулықтан №80,81,86
|
Тапсырманы орындайды
|
|
Тақта Бор Кітап Дәптер Интерактивті тақта Бағалау парақтары |
||||||||
|
5 минут |
|
Бүгінгі сабақта: пропорция анықтамасын білу; пропорцияларды ажырату және құрастыру; пропорцияның негізгі қасиетін білу және қолдану Кері байланыс: «Қосу, алу, қызықты» әдісі
Үйге тапсырма: №83,91 |
Тақырыпты меңгергенін анықтау |
Кері байланыс |
Презентация |
||||||||
. Қысқа мерзімді (сабақ) жоспары
Сабақтың тақырыбы:
|
Мұғалімнің аты-жөні: |
|
||||||||||||||||||||||
|
Пән/Сынып: |
6 сынып Қатысқандар саны: Қатыспағандар саны: |
||||||||||||||||||||||
|
Күні: |
|
||||||||||||||||||||||
|
Тарау немесе бөлім атауы: |
Қатынастар және пропорциялар |
||||||||||||||||||||||
|
Сабақтың тақырыбы: |
Тура пропорционалдық тәуелділік. |
||||||||||||||||||||||
|
Оқу бағдарламасына сәйкес оқыту мақсаттары: |
6.1.1.2 қандай шамалар тура пропорционалды болатынын түсіну және оларға мысалдар келтіру, есептер шығару; 6.5.1.1 шамалары тура және кері пропорционалдықпен байланысты есептерді ажырату және шығару; |
||||||||||||||||||||||
|
Сабақтың мақсаты: |
- тура пропорционал шамалар анықтамасын біледі, мысалдар келтіреді. - тура пропорционал шамалардың есептерін шығарады, тура есептер құрастырады. |
||||||||||||||||||||||
|
Сабақ барысы: |
|||||||||||||||||||||||
|
Уақыты |
Кезең дері |
Педагогтің әрекеті |
Оқушының әрекеті |
Бағалау |
Ресурстар |
||||||||||||||||||
|
5 минут |
Ұйымдастыру |
Сәлеметсіздерме! Бүгін, Тура пропорционалдық тәуелділік тақырыптарын қарастырамыз Бүгінгі сабақта меңгеретініңіз: - тура пропорционал шамалар анықтамасын біледі, мысалдар келтіреді. - тура пропорционал шамалардың есептерін шығарады, тура есептер құрастырады. 1.Ұйымдастыру. 2. Үй жұмысын тексеру. «Зымыран сұрақтар» стратегиясы (белсенді оқыту түрі -сұрақ қою және талқылау). Оқушыларға өткен тақырыптан жылдам сұрақтар беріледі: -Пропорция дегеніміз не? -Пропорцияның белгісіз мүшелерін қалай табамыз? -Пропорцияның негізгі қасиетін формуламен жазыңдар? Сұраққа дұрыс жауап берген оқушыларға саралаудың «диалог және қолдау көрсету» тәсілі арқылы мадақталады. |
Амандасады. Үй жұмысын айтады. Сұрақтарға жауап береді |
Ынталандыру сөздерін қолдану «жақсы», «жарайсың», «өте жақсы» |
Оқулық Тақта Бор Кітап Дәптер Интерактивті тақта Бағалау парақтары |
||||||||||||||||||
|
10мин |
Жаңа сабақ |
Жаңа сабақтың тақырыбы мен мақсатын таныстырамын. Егер екі шаманың біреуін бірнеше есе арттырғанда, екіншісі де сонша есе арттырса, онда мұндай шамалар тура пропорционал шамалар деп аталады. Мысалы, заттың бағасы тұрақты болғанда, заттың мөлшері артса, оның құны да артады. Мұндазатмөлшері мен құны тура пропорционал. Жиікездесетін тура пропорционалшамалар:
|
Тақырып бойынша ресурстарды қарап, танысады |
|
Тақта Бор Кітап Дәптер Интерактивті тақта Бағалау парақтары |
||||||||||||||||||
|
20 минут |
Бекіту тапсырмасы |
Ауызша жұмысқа арналған тапсырма. «Жасырын сөзді тап» әдісі (белсенді оқыту түрі - бекіту және қолданысқа енгізу) арқылы пропорцияның белгісіз мүшесін тап:
Жауап берген оқушыларды бас бармақ әдісімен бағалау. Саралау тәсілі - «қарқын». Элективті
тест.Белсенді оқыту түрі
- қорытынды шығару және есте
сақтау түрі бойынша элективті тест
өтізіледі. 1. Пропорцияның белгісіз шеткі
мүшесін тап. 2. 150 метр матадан 60 көйлек тігіледі. 250 метр матадан қанша көйлек тігіледі. А) 120 ; В) 90 ; С) 100 ; Д) 110 ; 3. Тапсырманы 4 жұмысшы 150 сағатта орындайды. Осы тапсырманы 10 жұмысшы неше сағатта орындайды. А) 55 сағ ; В) 52 сағ; С) 61 сағ ; Д) 60 сағ ; Саралаудың қорытынды тәсілі. |
Оқушылар өзін – өзі бағалайды. |
Дескриптор: Білім алушы -Тура пропорцио нал шамаларды ажыратады; -Тура пропорцио нал шаманы пропорция құру арқылы есептеп шығарады;
|
Тақта Бор Кітап Дәптер Интерактивті тақта Бағалау парақтары |
||||||||||||||||||
|
5мин |
Жеке жұмыс |
Оқулықпен жұмыс №101,102,104
|
Тапсырманы орындайды
|
Дескриптор: Білім алушы -Тура пропорцио нал шамаларды ажыратады; -Тура пропорцио нал шаманы пропорция құру арқылы есептеп шығарады;
Дескриптор: Білім алушы -Тура пропорцио нал шамаларды ажыратады; -Тура пропорцио нал шаманы пропорция құру арқылы есептеп шығарады;
|
Тақта Бор Кітап Дәптер Интерактивті тақта Бағалау парақтары |
||||||||||||||||||
|
5 минут |
|
Бүгінгі сабақта: -тура пропорционал шамалар анықтамасын біледі, мысалдар келтіреді. - тура пропорционал шамалардың есептерін шығарады, тура есептер құрастырады Кері байланыс: «Қосу, алу, қызықты» әдісі
Үйге тапсырма: №103, №105.
|
Тақырыпты меңгергенін анықтау |
Кері байланыс |
Презентация |
||||||||||||||||||
. Қысқа мерзімді (сабақ) жоспары
Сабақтың тақырыбы:
|
Мұғалімнің аты-жөні: |
|
||||||
|
Пән/Сынып: |
6 сынып Қатысқандар саны: Қатыспағандар саны: |
||||||
|
Күні: |
|
||||||
|
Тарау немесе бөлім атауы: |
Қатынастар және пропорциялар |
||||||
|
Сабақтың тақырыбы: |
Тура пропорционал тәуелділік. |
||||||
|
Оқу бағдарламасына сәйкес оқыту мақсаттары: |
6.1.1.2 қандай шамалар тура пропорционалды болатынын түсіну және оларға мысалдар келтіру, есептер шығару; 6.5.1.1 шамалары тура және кері пропорционалдықпен байланысты есептерді ажырату және шығару; |
||||||
|
Сабақтың мақсаты: |
- тура пропорционал шамалар анықтамасын біледі, мысалдар келтіреді. - тура пропорционал шамалардың есептерін шығарады, тура есептер құрастырады.
|
||||||
|
Сабақ барысы: |
|||||||
|
Уақыты |
Кезең дері |
Педагогтің әрекеті |
Оқушының әрекеті |
Бағалау |
Ресурстар |
||
|
5 минут |
Ұйымдастыру |
Сәлеметсіздерме! Бүгін, Тура пропорционал тәуелділік тақырыптарын қарастырамыз Бүгінгі сабақта меңгеретініңіз: - тура пропорционал шамалар анықтамасын біледі, мысалдар келтіреді. - тура пропорционал шамалардың есептерін шығарады, тура есептер құрастырады. Оқушылармен амандасу, түгендеу, сабаққа дайындықтарын тексеру. 1.Ұйымдастыру. 2. Үй жұмысын тексеру. |
Амандасады. Үй жұмысын тексереді. |
Ынталандыру сөздерін қолдану «жақсы», «жарайсың», «өте жақсы» |
Оқулық |
||
|
10мин |
Жаңа сабақ |
Сөйлемді толықтырыңдар: «Екі қатынастың теңдігі…деп аталады» «Егер бір шама бірнеше есе артқанда (кемігенде), екінші шама сонша есе артатын (кемитін) болса, онда мұндай шамалар … деп аталады» «Натурал санды бөлшекке немесе бөлшекті натурал санға бөлу үшін…» Егер екі шаманың біреуін бірнеше есе арттырғанда, екіншісі де сонша есе арттырса, онда мұндай шамалар тура пропорционал шамалар деп аталады. Мысалы, заттың бағасы тұрақты болғанда, заттың мөлшері артса, оның құны да артады. Мұндазатмөлшері мен құны тура пропорционал. Жиікездесетін тура пропорционалшамалар:
|
Сұрақтарға жауап береді Тақырып бойынша ресурстарды қарап, танысады |
|
Презентация |
||
|
20 минут |
Бекіту тапсырмасы |
Есеп. №1. Массасы 300г, концентрациясы 15% қантты су ерітіндісіне 60 г таза су құйылды. Соңғы ерітіндінің концентрациясы неше процент. 1. масса процент 300 г------------------ 100 % Х г-----------------------15 % Х= (15*300): 100 =45 демек, алғашқы ерітіндіде 45 г қант бар. 2. Соңғы ерітіндінің массасы 300г + 60г(су) =360 г 3. Соңғы ерітіндінің концентрациясы (у %) неше процент екенін табамыз масса процент 360 г------------------ 100 % 45 г-----------------------у% у =(45*100) : 360 = 12,5 №2. Автоматты станок сағатына 58 бөлшек дайындап, берілген уақытта 348 бөлшек дайындады. Егер осы автоматты станок сағатына 75 бөлшек дайындайтын болса, берілген уақытта неше бөлшек дайындайды? №3. 500 г ерітінді де 40 г тұз бар. Осы ерітіндінің 200 грамында неше грамм тұз бар? |
Оқулықпен жұмыс /топтық жұмыс/ 1-топқа: №106 2-топқа: №107 3-топқа: №111,114
|
. Жеке тапсырмаларды орындауда «Смайлик» әдісімен бағаланады Жұптық тапсырмаларды орындауда «екі жұлдыз бір тілек» әдісімен бағаланады Топтық тапсырмаларды орындауда «бас бармақ» әдісі бойынша бағаланады
|
Тақта Бор Кітап Дәптер Интерактивті тақта Бағалау парақтары Интернет ресурстары |
||
|
5мин |
Жеке жұмыс |
Элективті тест.Белсенді оқыту түрі - қорытынды шығару және есте сақтау түрі бойынша элективті тест өтізіледі. 1. Пропорцияның белгісіз шеткі
мүшесін тап. А) 12,5; В) 14 ; С) 15,3; Д) 15,5 2. 150 метр матадан 60 көйлек тігіледі. 250 метр матадан қанша көйлек тігіледі. А) 120 ; В) 90 ; С) 100 ; Д) 110 ; 3. Тапсырманы 4 жұмысшы 150 сағатта орындайды. Осы тапсырманы 10 жұмысшы неше сағатта орындайды. А) 55 сағ ; В) 52 сағ; С) 61 сағ ; Д) 60 сағ ; |
Тапсырманы орындайды |
|
|
||
|
5 минут |
|
Бүгінгі сабақта: -тура пропорционал шамалар анықтамасын біледі, мысалдар келтіреді. - тура пропорционал шамалардың есептерін шығарады, тура есептер құрастырады Рефлексия Оқыту үшін бағалау және оқуды бағалау
Үйге тапсырма .№118 |
Тақырыпты меңгергенін анықтау |
Кері байланыс |
Презентация |
||
Сабақ жоспары
Бекітемін:
|
Мұғалімнің аты-жөні: |
|
||||||||||||||||
|
Пән/Сынып: |
6 сынып Қатысқандар саны: Қатыспағандар саны: |
||||||||||||||||
|
Күні: |
|
||||||||||||||||
|
Тарау немесе бөлім атауы: |
Қатынастар және пропорциялар |
||||||||||||||||
|
Сабақтың тақырыбы: |
Кері пропорционалдық тәуелділік |
||||||||||||||||
|
Оқу бағдарламасына сәйкес оқыту мақсаттары: |
6.5.1.1 шамалары тура және кері пропорционалдықпен байланысты есептерді ажырату және шығару; 6.1.2.3 пропорция анықтамасын білу; |
||||||||||||||||
|
Сабақтың мақсаты: |
шамалары тура және кері пропорционалдықпен байланысты есептерді ажырату және шығару; пропорция анықтамасын білу; |
||||||||||||||||
|
Сабақ барысы: |
|||||||||||||||||
|
Уақыты |
Кезең дері |
Педагогтің әрекеті |
Оқушының әрекеті |
Бағалау |
Ресурстар |
||||||||||||
|
5 минут |
Ұйымдастыру |
Сәлеметсіздерме! Бүгін, Кері пропорционалдық тәуелділік тақырыптарын қарастырамыз Бүгінгі сабақта меңгеретініңіз: шамалары тура және кері пропорционалдықпен байланысты есептерді ажырату және шығару; пропорция анықтамасын білу; Оқушылармен амандасу, түгендеу, сабаққа дайындықтарын тексеру. 1.Ұйымдастыру. 2. Үй жұмысын тексеру. «Зымыран сұрақтар» стратегиясы (белсенді оқыту түрі -сұрақ қою және талқылау). Оқушыларға өткен тақырыптан жылдам сұрақтар беріледі: -Пропорция дегеніміз не? -Пропорцияның белгісіз мүшелерін қалай табамыз? -Пропорцияның негізгі қасиетін формуламен жазыңдар? Сұраққа дұрыс жауап берген оқушыларға саралаудың «диалог және қолдау көрсету» тәсілі арқылы мадақталады. |
Амандасады. Үй жұмысын айтады. Сұрақтарға жауап береді |
Ынталандыру сөздерін қолдану «жақсы», «жарайсың», «өте жақсы» «Екі жұлдыз, бір тілек» |
Оқулық |
||||||||||||
|
10 мин |
Жаңа сабақ |
Жаңа білім беру. Есеп: Тапсырманы 4жұмысшы 120 сағата орындайды. Осы тапсырманы 8,12,16 жұмысшы неше сағатта орындайды? Шешуі: 1) Егер, тапсырманы 1 жұмысшы орындаса, ол неше сағатта орындайды? 4*120 =480 сағ. 2) тапсырманы 16 жұмысшы орындаса, неше сағ орындайтынын 480: 16 = 30 сағ екенін табамыз. Шамаларлың өзгерісін кестеге салайық
Демек, берілген тапсырманы орындайтын жұмысшылар саны неше артса, жұмсалатын уақыттың сонша есе кемитінін көреміз. • Егер, бірінші шама бірнеше есе артқанда(кемігенде) екінші шама сонша есе кемитін болса, мұндай шамалар кері пропорционал деп аталады. • Егер екі шама кері пропорционал болса, бірінші шаманың мәндерінің қатынасы екінші шаманың мәндерінің кері қатынасына тең болады. Кері пропорционалдылықты әріптермен жазсақ, х1 : х2 = у2 : у1 . Мысалы, кері пропорционал шамалар:
|
Тақырып бойынша ресурстарды қарап, танысады |
Дескриптор:-Кері пропорционалдық тәуелділік ережесін қолдана алады. |
Тақта Бор Кітап Дәптер Интерактивті тақта Бағалау парақтары |
||||||||||||
|
15 минут |
Бекіту тапсырмасы |
Сергіту сәті. Логикалық есептерді шығару.
|
Бекіту есептері. Оқулықпен жұмыс /топтық жұмыс/ 1-топқа: №126 2-топқа: №128 3-топқа: №133
|
.
Дескриптор:-Кері пропорционалдық тәуелділік ережесін қолдана алады. Топтық тапсырмаларды орындауда «бас бармақ» әдісі бойынша бағаланады |
Тақта Бор Кітап Дәптер Интерактивті тақта Бағалау парақтары |
||||||||||||
|
10мин |
Жеке жұмыс |
Карточкамен тапсырмалар беріледі. |
Тапсырманы орындайды |
|
|
||||||||||||
|
5 минут |
|
Бүгінгі сабақта: -тура пропорционал шамалар анықтамасын біледі, мысалдар келтіреді. - тура пропорционал шамалардың есептерін шығарады, тура есептер құрастырады Рефлексия Оқыту үшін бағалау және оқуды бағалау
Үйге тапсырма .№127 |
Тақырыпты меңгергенін анықтау |
Кері байланыс |
Презентация |
||||||||||||
Сабақ жоспары
Бекітемін:
|
Мұғалімнің аты-жөні: |
|
|||||||||||||||||||||||||||||||||||||
|
Пән/Сынып: |
6 сынып Қатысқандар саны: Қатыспағандар саны: |
|||||||||||||||||||||||||||||||||||||
|
Күні: |
|
|||||||||||||||||||||||||||||||||||||
|
Тарау немесе бөлім атауы: |
Қатынастар және пропорциялар |
|||||||||||||||||||||||||||||||||||||
|
Сабақтың тақырыбы: |
Кері пропорционалдық тәуелділік |
|||||||||||||||||||||||||||||||||||||
|
Оқу бағдарламасына сәйкес оқыту мақсаттары: |
6.5.1.1 шамалары тура және кері пропорционалдықпен байланысты есептерді ажырату және шығару; 6.1.2.3 пропорция анықтамасын білу; |
|||||||||||||||||||||||||||||||||||||
|
Сабақтың мақсаты: |
шамалары тура және кері пропорционалдықпен байланысты есептерді ажырату және шығару; пропорция анықтамасын білу; |
|||||||||||||||||||||||||||||||||||||
|
Сабақ барысы: |
||||||||||||||||||||||||||||||||||||||
|
Уақыты |
Кезең дері |
Педагогтің әрекеті |
Оқушының әрекеті |
Бағалау |
Ресурстар |
|||||||||||||||||||||||||||||||||
|
5 минут |
Ұйымдастыру |
Сәлеметсіздерме! Бүгін, Кері пропорционалдық тәуелділік тақырыптарын қарастырамыз Бүгінгі сабақта меңгеретініңіз: шамалары тура және кері пропорционалдықпен байланысты есептерді ажырату және шығару; пропорция анықтамасын білу; Оқушылармен амандасу, түгендеу, сабаққа дайындықтарын тексеру. 1.Ұйымдастыру. 2. Үй жұмысын тексеру. |
Амандсады. Үй жұмысын айтады. |
Ынталандыру сөздерін қолдану «жақсы», «жарайсың», «өте жақсы» |
Оқулық |
|||||||||||||||||||||||||||||||||
|
10 мин |
Негізгі бөлім |
Сұрақтар қойылады : І топ сұрақтары: 1. Пропорция дегеніміз? 2. Пропорцияның қасиеттерін айтыңыз? 3. b –ның қандай
мәнінде ІІ топ сұрақтары : 1. Қандай жағдайда шамалар тура пропорционалды деп аталады? 2. Тура пропорционалды шаманың қандай қасиеттерін білеміз? 3. Теңдеуді
шешіңдер: ІІІ топ сұрақтары : 1 . Қандай жағдайда шамалар кері пропорционалды деп аталады? 2. Кері пропорционалды шаманың қандай қасиеттерін білеміз? 3.
|
Сұрақтарға жауап береді Тақырып бойынша ресурстарды қарап, танысады |
Қ.Б. Сұрақтарға дұрыс жауап берген топтарды, топтардағы оқушыларды мақтау, мадақтау арқылы ауызша бағалау. |
Интернет материалдары Тақта Бор Кітап Дәптер Интерактивті тақта Бағалау парақтары |
|||||||||||||||||||||||||||||||||
|
25 минут |
Бекіту тапсырмасы |
Жеке, жұптық, топтық жұмыс « Жетістік баспалдағы» әдісі арқылы БЛУМ таксономиясы 1- топ Кестені толтыр S= 120 км S=*t
2-топ Кестені толтыр S= 150 км S=*t
3-топ Кестені толтыр S= 180 км S=*t
Оқулықтан №130, №139 Қосымша.
|
Кестені толтырады.
|
Дескриптор:-Кері пропорционалдық тәуелділік ережесін қолдана алады. -есепті дұрыс орындай алды 3 балл әр есепке |
Тақта Бор Кітап Дәптер Интерактивті тақта Бағалау парақтары |
|||||||||||||||||||||||||||||||||
|
|
Жеке жұмыс |
Карточкамен тапсырмалар беріледі. |
Тапсырманы орындайды |
|
|
|||||||||||||||||||||||||||||||||
|
5 минут |
|
Бүгінгі сабақта: шамалары тура және кері пропорционалдықпен байланысты есептерді ажырату және шығарады; пропорция анықтамасын біледі.
Бағалау Үйге тапсырма:№135
|
Тақырыпты меңгергенін анықтау |
Кері байланыс |
Оқулық Тақта Бор Кітап Дәптер Интерактивті тақта Бағалау парақтары |
|||||||||||||||||||||||||||||||||
Сабақ жоспары
Бекітемін:
|
Мұғалімнің аты-жөні: |
|
|||||||
|
Пән/Сынып: |
6 сынып Қатысқандар саны: Қатыспағандар саны: |
|||||||
|
Күні: |
|
|||||||
|
Тарау немесе бөлім атауы: |
Қатынастар және пропорциялар |
|||||||
|
Сабақтың тақырыбы: |
Мәтінді есептерді пропорцияның көмегімен шығару |
|||||||
|
Оқу бағдарламасына сәйкес оқыту мақсаттары: |
6.5.1.2пайызға берілген есептерді пропорция арқылы шешу; 6.1.2.6 шамаларды берілген қатынаста бөлу; 6.1.2.7 шамаларды берілген сандарға кері болатын пропорционал бөліктерге бөлу; |
|||||||
|
Сабақтың мақсаты: |
- пропорция ұғымын біледі; - пайыз ұғымын біледі; -cанның пайызын, пайызы бойынша санды таба алады; - пайызға берілген есептерді пропорция арқылы шеше алады. |
|||||||
|
Сабақ барысы: |
||||||||
|
Уақыты |
Кезең дері |
Педагогтің әрекеті |
Оқушының әрекеті |
Бағалау |
Ресурстар |
|||
|
5 минут |
Ұйымдастыру |
Сәлеметсіздерме! Бүгін, Мәтінді есептерді пропорцияның көмегімен шығару тақырыптарын қарастырамыз Бүгінгі сабақта меңгеретініңіз: -пайызға берілген есептерді пропорция арқылы шешу; -шамаларды берілген қатынаста бөлу; -шамаларды берілген сандарға кері болатын пропорционал бөліктерге бөлу; Оқушылармен амандасу, түгендеу, сабаққа дайындықтарын тексеру. 1.Ұйымдастыру. 2. Үй жұмысын тексеру. |
Амандасады. Үй жұмысын айтады. |
Ынталандыру сөздерін қолдану «жақсы», «жарайсың», «өте жақсы» |
Оқулық |
|||
|
10 мин |
Негізгі бөлім |
Ой-қозғау: С-1: Санның пайызын қалай табамыз? С-2: Пайызы бойынша санды қалай табамыз? С-3: Шамаларды берілген қатынаста қалай бөлеміз? С-4:шамаларды берілген сандарға кері болатын пропорционал бөліктерге қалай бөлеміз? Ауызша тапсырма.
пропорцияны оқыңдар, пропорция дұрыс па? 2.Тура және кері пропорционалдық тәуелділікті анықтаңыз:
Егер ол тұрақты жылдамдықпен жүрсе, Киевтен шекараға дейінгі арақашықтық пен Гонецтің Добрыняға дейінгі жүрген уақыты. Жаңа сабақ. Видео сабақ Тапсырмалар.
Жауабы: 13.
Жауабы: 7,49 т |
Сұрақтарға жауап береді Тақырып бойынша ресурстарды қарап, танысады |
|
Тақта Бор Кітап Дәптер Интерактивті тақта Бағалау парақтары |
|||
|
25 минут |
Бекіту тапсырмасы |
Сергіту сәті. Логикалық тапсырмалар.
Оқулықтан тапсырмалар береді №110,114
Есептерді түсіндіреді. Мысал келтіреді
|
Оқушы әрекеті: А: №1.Пропорцияның белгісіз мүшесін табыңыз: 7,5:3,5=х:14. Жауабы: 30. №2.2,5 кг қойдың еті үшін 475 тг төленді, сонда сол бағамен 665 теңгеге қанша кг қойдың етін сатып алуға болады? Жауабы: 3,5 кг. №3. 120 санын 1:2:3 қатынасындай бөліктерге бөліңіз. Жауабы: 20; 40; 60. В: №1. АВС үшбұрышының АВ қабырғасында жатқан Е нүктесі арқылы АС қабырғасына параллель түзу жүргізілген. Егер АВ=22,5 см, АЕ=18 см, ВС=15 см болса, ВС қабырғасын түзу қандай кесінділерге бөлінетінін табыңыз. Жауабы: 3 см, 12 см №2.
Пропорцияның белгісіз мүшесін
табыңыз:
№1. Жез – мыс пен мырыштың қорытпасы, олардың массаларының қатынасы 3:2 қатынасындай. Бір кесек жез дайындау үшін 120 г мыс қажет. Осы кесек жезді дайындау үшін қанша мырыш қажет болатынын анықтаңыз. Жауабы: 80 г
|
Дескриптор: -пропорция ның негізгі қасиетін біледі. -пропорция ның белгісіз мүшесін табады. |
Тақта Бор Кітап Дәптер Интерактивті тақта Бағалау парақтары Интернет ресурстары |
|||
|
|
Жеке жұмыс |
Карточкамен тапсырмалар беріледі |
Тапсырманы орындайды |
|
|
|||
|
5 минут |
|
Бүгінгі сабақта: -пайызға берілген есептерді пропорция арқылы шешеді; -шамаларды берілген қатынаста бөледі; -шамаларды берілген сандарға кері болатын пропорционал бөліктерге бөледі.
|
Тақырыпты меңгергенін анықтау |
Кері байланыс. |
Оқулық Тақта Бор Кітап Дәптер Интерактивті тақта Бағалау парақтары |
|||
Сабақ жоспары
Бекітемін:
|
Мұғалімнің аты-жөні: |
|
|||||||||||||||||||||||||||||||||
|
Пән/Сынып: |
6 сынып Қатысқандар саны: Қатыспағандар саны: |
|||||||||||||||||||||||||||||||||
|
Күні: |
. |
|||||||||||||||||||||||||||||||||
|
Тарау немесе бөлім атауы: |
Қатынастар және пропорциялар |
|||||||||||||||||||||||||||||||||
|
Сабақтың тақырыбы: |
Мәтінді есептерді пропорцияның көмегімен шығару |
|||||||||||||||||||||||||||||||||
|
Оқу бағдарламасына сәйкес оқыту мақсаттары: |
6.5.1.2пайызға берілген есептерді пропорция арқылы шешу; |
|||||||||||||||||||||||||||||||||
|
Сабақтың мақсаты: |
- пропорция ұғымын біледі; - пайыз ұғымын біледі; -cанның пайызын, пайызы бойынша санды таба алады; - пайызға берілген есептерді пропорция арқылы шеше алады. |
|||||||||||||||||||||||||||||||||
|
Сабақ барысы: |
||||||||||||||||||||||||||||||||||
|
Уақыты |
Кезең дері |
Педагогтің әрекеті |
Оқушының әрекеті |
Бағалау |
Ресурстар |
|||||||||||||||||||||||||||||
|
5 минут |
Ұйымдастыру |
Сәлеметсіздерме! Бүгін, Мәтінді есептерді пропорцияның көмегімен шығару тақырыптарын қарастырамыз Бүгінгі сабақта меңгеретініңіз: -пайызға берілген есептерді пропорция арқылы шешу; 1.Ұйымдастыру. Психологиялық ахуал орнату. 2. Үй жұмысын тексеру. №1 есеп. Қайталау сұрақтары.
|
Амандасады. Үй жұмысын айтады. Сұрақтарға жауап береді. |
|
Оқулық |
|||||||||||||||||||||||||||||
|
10 мин |
Негізгі бөлім |
Есептердің көбінде ондық, жүздік, мыңдық үлестері жиі кездеседі, сондықтан жүзден бір үлесті процент деп атайды. Процент латынның pro centum – «жүздік» деген сөзінен шыққан. Процент деген сөз саннан кейін келсе, оның орнына % белгісі қойылады. Мысалы: 5% «бес процент» деп оқылады. Кез келген тұтас шаманы 1 бүтін деп есептеп, оны 100% деп аламыз. Сонда процент дегеніміз берілген шаманың 1/100 бөлігі болып табылады, яғни 1%=1/100, осылайша 3%=3/100; 18%=18/100
Жай бөлшекті процентпен жазу
үшін оны 100ге көбейтіп, процент (%) тіркеп жазу керек. Әріппен
жазсақ
|
С-1: Санның пайызын қалай табамыз? С-2: Пайызы бойынша санды қалай табамыз? Тақырып бойынша ресурстарды қарап, танысады |
Дескриптор: - Берілген санның пайызын табу үшін пропорция құрып, есептің мәнін табады - Пайызы бойынша санды табу үшін пропорция құрып, есептің мәнін табады - Екі санның пайыздық қатынасын табу үшін пропорция құрып, есептің мәнін табады |
Плакат |
|||||||||||||||||||||||||||||
|
25 минут |
Бекіту тапсырмасы |
Топтық жұмыс. І топ
Оқулықтан. №147/2/ ІІ топ
Оқулықтан. №146/2/ IІІ топ Оқулықтан №149/1/ Өз бетімен жұмыс 1.Кестедегі сандар баған бойынша пропорционал болатындай етіп кестені толтырыңдар.
Жеке жұмыс/карточкамен/ №1.Процентті жай бөлшекпен, ондық бөлшекпен жаз:
№2. Пропорцияның белгісіз мүшесін тап: х:15 = 3:1 а:7 = 3:7 Сергіту сәті. Логикалық тапсырма.
|
Жұптық жұмыс. №147/3/. Жолаушылар түске дейін 64 км қашықтыққа барды, Бұл жүруге тиісті межеленген қашықтықтың 20% -індей. Жолаушылар неше километр қашықтықты жүруді межелеген еді? Шешуі: х- жолаушының межелеген жүруге тиісті қашықтығы. 64 км____________20% x км_____________100%
Жауабы:320 км Логикалық тапсырманы орындайды. |
Дескриптор:
-пайызға берілген есептерді пропорция арқылы шешу
Дескриптор: -Пропорцияның негізгі қасиетін біледі; - Кестедегі сандар баған бойынша пропорционал болатындай етіп кестені толтырады. «Екі жұлдыз, бір тілек»
|
Интернет ресурстары |
|||||||||||||||||||||||||||||
|
|
Жеке жұмыс |
Жеке оқушымен жұмыс/ Хайролла Т/
|
Тапсырманы орындайды |
|
|
|||||||||||||||||||||||||||||
|
5 минут |
|
Бүгінгі сабақта: -пайызға берілген есептерді пропорция арқылы шешеді; Сабақты бекіту кезеңі: 1. Процент деп нені айтады? 2. Процент бөлшекпен қалай жазылады? Мысал келтір. 3. Бөлшек процентпен қалай жазылады? Рефлексия. Сабақта маған не пайдалы болды? Сабақта маған не қызықты болды? Сабақта маған не қиын болды?
|
Тақырыпты меңгергенін анықтау Үйге тапсырма. №148. |
Кері байланыс |
Оқулық |
|||||||||||||||||||||||||||||
Сабақ жоспары
Бекітемін:
|
Мұғалімнің аты-жөні: |
|
|||||||||||||||||
|
Пән/Сынып: |
6 сынып Қатысқандар саны: Қатыспағандар саны: |
|||||||||||||||||
|
Күні: |
|
|||||||||||||||||
|
Тарау немесе бөлім атауы: |
Қатынастар және пропорциялар |
|||||||||||||||||
|
Сабақтың тақырыбы: |
Масштаб |
|||||||||||||||||
|
Оқу бағдарламасына сәйкес оқыту мақсаттары: |
6.1.1.5масштаб ұғымын меңгеру; 6.5.1.3 картамен, сызбамен, жоспармен жұмыс барысында масштабты қолдану; |
|||||||||||||||||
|
Сабақтың мақсаты: |
Масштабтың сандық мағынасын біледі. Картадағы арақашықтық пен жер бетіндегі арақашықтықтың арасындағы байланысын ажырата отырып, есептер шығарады; Өмірмен байланыстыра отырып масштаб өзгерісін анықтап, қалай өзгеретіні туралы ой тұжырымдайды |
|||||||||||||||||
|
Сабақ барысы: |
||||||||||||||||||
|
Уақыты |
Кезең дері |
Педагогтің әрекеті |
Оқушының әрекеті |
Бағалау |
Ресурстар |
|||||||||||||
|
5 минут |
Ұйымдастыру |
Сәлеметсіздерме! Бүгін, Масштаб тақырыптарын қарастырамыз Бүгінгі сабақта меңгеретініңіз: -масштаб ұғымын меңгеру; -картамен, сызбамен, жоспармен жұмыс барысында масштабты қолдану; 1.Ұйымдастыру. 2. Үй жұмысын тексеру. |
Амандасады. Үй жұмысын айтады. Сұрақтарға жауап береді |
Ынталандыру сөздерін қолдану «жақсы», «жарайсың», «өте жақсы» |
Оқулық |
|||||||||||||
|
10 мин |
Жаңа сабақ |
Жаңа сабақ. Географиялық карта – адам мәдениетінің негізгі құжаттарының бірі . Үлкен аймақтар , мемлекеттер немесе географиялық карталарда жер жүзінің бөліктері көрсетіледі.Карта бетіндегі әр сызық,әр штрих – жер қопарушылардың,саяхатшылардың ,зерттеуші – ғалымдардың көпжылдық еңбектерінің нәтижесі. Қазақстан картасына қараңдаршы –біздің еліміздің, туған жеріміздің картасы. Атластарыңды ашыңдар. Ел ордасы Астана қаласын табамыз және біздің облысымыздың басты қаласы Петропавл қаласынтабыңдар. Енді Астана қаласымен Петропавл қалаларының арақашықтығын сызғыш арқылы өлшеңдер. Қандай арақашықтық табылды? Айтыңдаршы , негізінде солай ма? Жоқ. Астанамен Петропавл қалалырының арасындағы арақашықты біз кейін табамыз.
Картада жер беті кішірейтілген түрде көрсетіледі . Мысалы, 1 километр картада – бұл 1 сантиметрге тең кесінді. Картадағы кесінді неше есе кем жер бетіндегі арақашықтықтан ? 1
1км Біз кесіндінің ұзындығының жер бетіндегі сәкес арақашықтыққа қатынасын таптық. Бұл өлшем масштаб деп аталады. Анықтама Картадағы кесінді ұзындығының оған сәйкес жер бетіндегі қашықтыққа қатынасын масштаб деп аталады. Масштаб , картадағы арақашықтық жер бетіндегі арақашықтық неше есе кем екенін көрсетеді.
|
Тақырып бойынша ресурстарды қарап, танысады Жеке жұмыс 1-тапсырма
Атырау мен Алматының арақашықтығы (түзу бойымен алғанда) 1800 км. Картаның масштабын анықтаңыз. Дескриптор: Білімалушы
2-тапсырма
Дескриптор: Білімалушы
жауабын жазады. Масштабтың жазылуына көңіл аударыңдар . Масштаб 1 : 100000 сандық деп аталады.
|
|
Презентация Тақта Бор Кітап Дәптер Интерактивті тақта Бағалау парақтары |
|||||||||||||
|
25 минут |
Бекіту тапсырмасы |
№ 159
Өзіндік жұмыс
х : 2000 = 1 : 1000,
Жауабы : 2см |
Қатынасты жазамыз 1,5 : х , масштабтың анықтамасын айтамыз . Екі қатынасты теңестіреміз. 1,5 : х = 1 : 1000
Жауабы: 0,015км Оқулықтан №156,157,164 |
Дескриптор: -Масштабты анықтайды. |
|
|||||||||||||
|
|
Жеке жұмыс |
Есеп. Белгіленген жердегі кесіндінің ұзындығы 240 м ,ал картадағы оған сәйкес кесіндінің ұзындығы 2,4 см.Карта масштабын анықта.
Масштабтың анықтамасы бойынша.
Жауабы: 1 : 1000 |
Тапсырманы орындайды Масштабтың анықтамасы бойынша.
Жауабы: 1 : 1000 |
|
Тақта Бор Кітап Дәптер Интерактивті тақта Бағалау парақтары |
|||||||||||||
|
5 минут |
|
Бүгінгі сабақта: -масштаб ұғымын меңгереді; -картамен, сызбамен, жоспармен жұмыс барысында масштабты қолданады. Үй тапсырмасы: №160 Рефлекcия
|
Тақырыпты меңгергенін анықтау |
Кері байланыс |
Презентация |
|||||||||||||
Сабақ жоспары
Бекітемін:
|
Мұғалімнің аты-жөні: |
|
||||||||||||
|
Пән/Сынып: |
6 сынып Қатысқандар саны: Қатыспағандар саны: |
||||||||||||
|
Күні: |
|
||||||||||||
|
Тарау немесе бөлім атауы: |
Қатынастар және пропорциялар |
||||||||||||
|
Сабақтың тақырыбы: |
Масштаб |
||||||||||||
|
Оқу бағдарламасына сәйкес оқыту мақсаттары: |
6.1.1.5масштаб ұғымын меңгеру; 6.5.1.3 картамен, сызбамен, жоспармен жұмыс барысында масштабты қолдану; |
||||||||||||
|
Сабақтың мақсаты: |
Масштабтың сандық мағынасын біледі. Картадағы арақашықтық пен жер бетіндегі арақашықтықтың арасындағы байланысын ажырата отырып, есептер шығарады; Өмірмен байланыстыра отырып масштаб өзгерісін анықтап, қалай өзгеретіні туралы ой тұжырымдайды |
||||||||||||
|
Сабақ барысы: |
|||||||||||||
|
Уақыты |
Кезең дері |
Педагогтің әрекеті |
Оқушының әрекеті |
Бағалау |
Ресурстар |
||||||||
|
5 минут |
Ұйымдастыру |
Сәлеметсіздерме! Бүгін, Масштаб тақырыптарын қарастырамыз Бүгінгі сабақта меңгеретініңіз: -масштаб ұғымын меңгеру; -картамен, сызбамен, жоспармен жұмыс барысында масштабты қолдану; Оқушылармен амандасу, түгендеу, сабаққа дайындықтарын тексеру. 1.Ұйымдастыру. 2. Үй жұмысын тексеру. |
Амандасады. Үй жұмысын айтады. |
Ынталандыру сөздерін қолдану «жақсы», «жарайсың», «өте жақсы» |
Оқулық |
||||||||
|
10 мин |
Негізгі бөлім |
Ой-қозғау: С-1: Масштаб дегеніміз не? С-2: Масштаб қайда және не үшін пайдаланады? С-3: Егер дененің нақты өлшемі сызбада 100 есе кемісе, сызбаның масштабы неге тең? Анықтама Картадағы кесінді ұзындығының оған сәйкес жер бетіндегі қашықтыққа қатынасын масштаб деп аталады.
Масштаб , картадағы арақашықтық жер бетіндегі арақашықтық неше есе кем екенін көрсетеді.
Масштабтың жазылуына көңіл аударыңдар . Масштаб 1 : 100000 сандық деп аталады.
|
Сұрақтарға жауап береді Тақырып бойынша ресурстарды қарап, танысады |
|
Оқулық |
||||||||
|
20 минут |
Бекіту тапсырмасы |
Жұптық жұмыс 1 жұп №1. Жер бетіндегі 20 м арақашықтық картаға 5 см болып кескінделген. Картаның масштабын табыңдар. Жауабы: 1:400. №2. Жоспарда үйдің ұзындығы 25 см. Егер жоспар 1: 300 масштабымен жасалса, онда үйдің жер бетіндегі ұзындығын табыңдар. Жауабы: 75 м. 2 жұп №1. Екі қаланың арақашықтығы 1300 км. Осы екі қаланың арақашықтығы масштабы 1:10000000 картада неше сантиметр. Жауабы: 13 см. №2. Деталдың ұзындығы сызбада 1:3 масштабпен 2,4 см-ге тең. Осы деталдың ұзындығы 2:1 масштабпен жасалғанда неше сантиметрге тең болады? Жауабы: 14,4 см. Тест бойынша жұмыс. 1 нұсқа 1.Спорттық базалардың арақашықтығы карта бойынша 8 см-ге тең. Егер картадағы 1 см жербетіндегі 11 км-ге сәйкес келсе, онда шаңғышы бір базадан екінші базаға бару үшін қанша арақашықтық жүру керек. 1) 108 км 2) 58 км 3) 88 км 4) басқа жауап 2. Картаның масштабы 1:100000. Егер жер бетіндегі арақашықтық 13 км болса, онда картадағы арақашықтықты анықтаңдар. 1) 13 см 2) 26 см 3) 13 мм 4) басқа жауап 3. Картаның масштабы 1:1000000. Егер картадағы арақашықтық 6 мм болса, онда жер бетіндегі арақашықтық неге тең. 1) 6000 км 2) 6 км 3) 600 км 4) басқа жауап 4.
18 1) 1:3700000; 2) 1:1850000; 3) 1:370000; 4) басқа жауап. 5. Деталдың ұзындығы сызбада 1:3 масштабпен 12 см-ге тең. Осы деталдың ұзындығы 1:4 масштабпен жасалғанда неше сантиметрге тең болады?
1.Екі ауылдың арақашықтығы карта бойынша 15 см-ге тең. Егер картадағы 1 см жербетіндегі 3 км-ге сәйкес келсе, онда екі ауылдың жербетіндегі арақашықтығы неге тең. 1) 5 км 2) 45 км 3) 82 м 4) басқа жауап 2. Картаның масштабы 1:20000. Егер жер бетіндегі арақашықтық 18,7 км болса, онда картадағы арақашықтықты анықтаңдар. 1) 80 см 2) 820 м 3) 18,7 м 4) басқа жауап 3. Картаның масштабы 1:1000000. Егер картадағы арақашықтық 41 мм болса, онда жер бетіндегі арақашықтық неге тең. 1) 6000 км 2) 6 км 3) 600 км 4) басқа жауап 4.
45 1) 1:452500; 2) 1:36200; 3) 1:3620; 4) басқа жауап. 5. Деталдың ұзындығы сызбада 1:200масштабпен 8 см-ге тең. Осы деталдың ұзындығы 1:70 масштабпен жасалғанда неше сантиметрге тең болады?
Жауаптары:
|
Тақырып бойынша ресурстарды қарап, танысады Сұрақтарға жауап береді Мысалдар келтіреді. |
. Дескриптор: -Масштаб анықтама сын біледі; - картамен, сызбамен, жоспармен жұмыс барысында масштабты қолдана біледі |
Интернет ресурстары |
||||||||
|
5мин |
Жеке жұмыс |
Оқулықпен жұмыс. №167-№170.
|
Тапсырманы орындайды
|
Мониторинг |
|
||||||||
|
5 минут |
|
Бүгінгі сабақта: -масштаб ұғымын меңгереді; -картамен, сызбамен, жоспармен жұмыс барысында масштабты қолданады. Үйге тапсырма: Масштаб. №168. Сабақ соңында рефлексия жүргіземіз. «Сөйлемді жалғастыр» - маған ең ұнағаны …… - мен үшін күрделі болғаны ….. -келесіде мен міндетті түрде орындай аламын……. |
Тақырыпты меңгергенін анықтау |
Кері байланыс |
|
||||||||
Сабақ жоспары
Бекітемін:
|
Мұғалімнің аты-жөні: |
|
|||||
|
Пән/Сынып: |
6 сынып Қатысқандар саны: Қатыспағандар саны: |
|||||
|
Күні: |
|
|||||
|
Тарау немесе бөлім атауы: |
Қатынастар және пропорциялар |
|||||
|
Сабақтың тақырыбы: |
Шеңбердің ұзындығы. Дөңгелектің ауданы. Шар. Сфера |
|||||
|
Оқу бағдарламасына сәйкес оқыту мақсаттары: |
6.3.3.2 шеңбер ұзындығының оның диаметріне қатынасы тұрақты сан екенін білу; 6.3.3.3 шеңбер ұзындығының формуласын білу және қолдану; 6.3.3.4 дөңгелек ауданының формуласын білу және қолдану; 6.3.1.7 шар мен сфера туралы түсінігінің болуы; |
|||||
|
Сабақтың мақсаты: |
Шеңбердің ұзындығы. Дөңгелектің ауданы. туралы түсініктер қалыптастыды, аудандарын табуда формуллаларды дұрыс пайдалануды үйренеді
|
|||||
|
Сабақ барысы: |
||||||
|
Уақыты |
Кезең дері |
Педагогтің әрекеті |
Оқушының әрекеті |
Бағалау |
Ресурстар |
|
|
5 минут |
Ұйымдастыру |
Сәлеметсіздерме! Бүгін, Шеңбердің ұзындығы. Дөңгелектің ауданы. Шар. Сфера тақырыптарын қарастырамыз Бүгінгі сабақта меңгеретініңіз: -шеңбер ұзындығының оның диаметріне қатынасы тұрақты сан екенін білу; -шеңбер ұзындығының формуласын білу және қолдану; -дөңгелек ауданының формуласын білу және қолдану; - шар мен сфера туралы түсінігінің болуы; Амандасу, түгендеу, сабаққа дайындықтарын тексеру. 1.Ұйымдастыру. 2. Үй жұмысын тексеру. |
Амандасады. Үй жұмысын тексереді. «Қайталау – оқу айнасы»
|
Ынталандыру сөздерін қолдану «жақсы», «жарайсың», «өте жақсы» |
Оқулық |
|
|
10 мин |
Жаңа сабақ |
Жаңа сабақты бастамас бұрын ой қозғау мақсатында оқушыларға сұрақ арқылы диалогқа түсіру.Өз ойларын, пікірлерін ашық айту Оқушылардың мұндағы мақсаты берілген сұрақтарға жауап беріп, өз ой-пікірлерімен санаса білу Топпен жұмыс жасау: Жаңа тақырып бойынша арнайы ресурстар Шеңбердің ұзындығы. Шеңбер-барлық нүктелерi қайсыбiр О нүктесiнен бiрдей қашықтықта жататын тұйық қисық сызық екенiн бiлемiз (202–сурет). Кез келген шектеулi сызыктың ұзындығы бар, яғни шеңбердiң де ұзындығы бар. Шеңбердi ұзындығын табуды қарастырайық. Ол үшін мынадай тәжiрибе жүргiземiз. Мысалы, жиегi шеңбер болатын стаканды немесе кесенi алайық. Оның жиегiн жiппен орап (1.7 – сурет), жіптің қзындығын сызғышпен өлшейік. Жіптің ұзындығы шамамен стакан шеңберінің ұзындығына тең Сонан соң стакан диаметрін сызғышпен өлшейміз. Тәжірибелер нәтижесінде кез
келген шеңбер үшін, шеңбер ұзындығының оның диаметріне қатынасы
тұрақты санға тең екені анықталды. Бұл сан
гректiң
Шеңбердің
ұзындығы Демек, шеңбер ұзындығы оның диаметріне тура пропорционал. Егер диаметрдi радиус арқылы
өрнектесек,
1-есеп. Диаметрi 10 м шеңбердің ұзындығын табыңдар. 2-есеп. Радиусы 15 м шеңбердiң ұзындығын табыңдар. . Дөңгелектің ауданы. Математикалық зерттеулер мен
есептеулер нәтижесiнде дөңгелектiң ауданы қабырғасы дөңгелектiң
радиусындай квадраттың ауданынан Егер дөңгелектiң радиусы R см
болса, қабырғасы дөңгелектiң радиусына тең квадраттың ауданы
R2
см2
болады.Демек, дөңгелектің
ауданын мына формуламен есептейміз: Мұндағы S – дөңгелектің ауданы, R – дөңгелектің радиусы. Дөңгелектің ауданы оның
радиусының квадраты мен 3-есеп. Радиусы 5 м дөңгелектiң ауданын табу керек. . Шар. Жердiң дәл моделi болып табылатын глобус, ойын добы, жеңiл атлетикада лақтырылатын ядро және т.6. шар деп аталатын фигура жайында түсiнiк бередi. Шардың бетi сфера деп аталады. «Сфера» грек сөзi, ол қазақша «доп» дегендi бiлдiредi (204-сурет). Сфера нүктелерiнiң барлығы шар (сфера) центрі деп аталатын нүктеден бiрдей қашықтықта жатады. Сфераның кез келген нүктесiн шардың центрiмен қосатын кесiнді шардың (сфераның) радиусы дәл аталады. Шардың центрi арқылы өтiп, сфераның екi нүктесiн қосатын кесiнді шардың (сфераның) диаметрі деп аталады. Шарды жазықтықпен қиғандағы кез келген қима дөңгелек болады (205-сурет). Ал сфераны жазықтықпен қиғандағы кез келген шеңбер болады. Жер - шар тәрiздес дене. Сондықтан оны Жер шары деп атайды. |
Сұрақтарға жауап береді Тақырып бойынша ресурстарды қарап, танысады
1.Шешуi. Жауабы: 31,4 м. 2.Шешуi. R=15 м; С=2πR, онда с=2∙3,14∙15=94,2 (м). Жауабы: 94,2 м.
3.Шешуi. R=5м;
|
«Екі жұлдыз бір ұсыныс»
Дескриптор:-Шеңбердің ұзындығы. Дөңгелектің ауданы. Шар. Сфера формула ларын пайдалана біледі. Дескриптор:-Шеңбердің ұзындығы. Дөңгелектің ауданы. Шар. Сфера формула ларын пайдалана біледі. |
Презентация Слайд |
|
|
25 минут |
Бекіту тапсырмасы |
Топтық жұмыс. Шеңбердің радиусы арқылы дөңгелектің ауданын табыңдар, түсіндірмесін беріңдер. №1. 1.АВ=10см; CD=2см. Дөңгелектің боялған бөлігінің ауданын табыңдар. Шешуі: Кіші
шеңбер:
№2. Қабырғасы 20 см квадраттың ішіне салынған боялған фигураның ауданын табыңдар.
Шешуі: 400 см2 - 314 см2=86 см2. 314 см2 – 86 см2 =228 см2. Жауабы: 228 см2 №3.Тік төртбұрыштың ұзындығы 10 см, ені 5 см. Оның боялған бөлігінің ауданын табыңдар.
Шешуі: 19,625∙2=39,25 см2. 50 см2-39,25 см2=10,75 см2. Жауабы: 10,75 см2. |
|
Дескриптор:-Шеңбердің ұзындығы. Дөңгелектің ауданы. Шар. Сфера формула ларын пайдалана біледі. |
|
|
|
|
Жеке жұмыс |
Оқулықтан №182,183,184.
|
Тапсырманы
орындайды |
|
Оқулық |
|
|
5 минут |
|
Бүгінгі сабақта: шеңбер ұзындығының оның диаметріне қатынасы тұрақты сан екенін білу; -шеңбер ұзындығының формуласын білу және қолдану; -дөңгелек ауданының формуласын білу және қолдану; - шар мен сфера туралы түсінігінің болуы; Үйге тапсырма: №184, №186. |
Тақырыпты меңгергенін анықтау Кері байланыс Рефлексия - нені білдім, нені үйрендім - нені толық түсінбедім - немен жұмысты жалғастыру қажет Үйге тапсырма /қайталау |
|
Презентация |
|
Сабақ жоспары
Бекітемін:
|
Мұғалімнің аты-жөні: |
|
|||||||||||||||||||||
|
Пән/Сынып: |
6 сынып Қатысқандар саны: Қатыспағандар саны: |
|||||||||||||||||||||
|
Күні: |
|
|||||||||||||||||||||
|
Тарау немесе бөлім атауы: |
Қатынастар және пропорциялар |
|||||||||||||||||||||
|
Сабақтың тақырыбы: |
Шеңбердің ұзындығы. Дөңгелектің ауданы. Шар. Сфера |
|||||||||||||||||||||
|
Оқу бағдарламасына сәйкес оқыту мақсаттары: |
6.3.3.2 шеңбер ұзындығының оның диаметріне қатынасы тұрақты сан екенін білу; 6.3.3.3 шеңбер ұзындығының формуласын білу және қолдану; 6.3.3.4 дөңгелек ауданының формуласын білу және қолдану; 6.3.1.7 шар мен сфера туралы түсінігінің болуы; |
|||||||||||||||||||||
|
Сабақтың мақсаты: |
Шеңбердің ұзындығы. Дөңгелектің ауданы. туралы түсініктер қалыптастыды, аудандарын табуда формуллаларды дұрыс пайдалануды үйренеді
|
|||||||||||||||||||||
|
Сабақ барысы: |
||||||||||||||||||||||
|
Уақыты |
Кезең дері |
Педагогтің әрекеті |
Оқушының әрекеті |
Бағалау |
Ресурстар |
|||||||||||||||||
|
5 минут |
Ұйымдастыру |
Сәлеметсіздерме! Бүгін, Шеңбердің ұзындығы. Дөңгелектің ауданы. Шар. Сфера тақырыптарын қарастырамыз Бүгінгі сабақта меңгеретініңіз: -шеңбер ұзындығының оның диаметріне қатынасы тұрақты сан екенін білу; -шеңбер ұзындығының формуласын білу және қолдану; -дөңгелек ауданының формуласын білу және қолдану; - шар мен сфера туралы түсінігінің болуы; амандасу, түгендеу, сабаққа дайындықтарын тексеру. 1.Ұйымдастыру. 2. Үй жұмысын тексеру. |
Амандасады. Үй жұмысын айтады. |
Ынталандыру сөздерін қолдану «жақсы», «жарайсың», «өте жақсы» |
Оқулық |
|||||||||||||||||
|
10 мин |
Жаңа сабақ |
Ой қорыту.
|
Сұрақтарға жауап береді |
Тақырып бойынша ресурстарды қарап, танысады |
Презентация Слайд |
|||||||||||||||||
|
15 минут |
Бекіту тапсырмасы |
Деңгейлік тапсырмалар: І деңгей тапсырмалары 1. Радиустың берілген мәні бойынша шеңбердің ұзындығын, дөңгелектің ауданын тауып, кестені толтырыңдар.
ІІ деңгей тапсырмалары 1. Шеңбердің ұзындығы 43,96 см дөңгелектің ауданын табыңдар.
_
Жауабы: 2. Берілген қашықтықта радиусы 27 см доңғалақ 30 рет айналғанда радиус 18 см доңғалақ неше айналым жасайды?
Жауабы:
ІІІ деңгей тапсырмалары 10.Қыры 32 см куб пішінді қорапшаға радиусы 3,2см неше теннис добы сыяды? Шешуі: 11. Шарды оның центрінен өтетін жазықтықпен қиғандағы дөңгелектің диаметрі 30 см. Дөңгелектің ауданын табыңыз.
|
|
.
Дескриптор:-Шеңбердің ұзындығы. Дөңгелектің ауданы. Шар. Сфера формула ларын пайдалана біледі.
|
Интернет ресурстары |
|||||||||||||||||
|
10мин |
Жеке жұмыс |
Оқулықтан №193, №195. |
Тапсырманы орындайды |
|
|
|||||||||||||||||
|
5 минут |
|
Бүгінгі сабақта: шеңбер ұзындығының оның диаметріне қатынасы тұрақты сан екенін білу; -шеңбер ұзындығының формуласын білу және қолдану; -дөңгелек ауданының формуласын білу және қолдану; - шар мен сфера туралы түсінігінің болуы;
Үйге тапсырма. №196.
|
Тақырыпты меңгергенін анықтау |
Кері байланыс |
Презентация |
|||||||||||||||||
Сабақ жоспары
Бекітемін:
|
Мұғалімнің аты-жөні: |
|
|||||
|
Пән/Сынып: |
6 сынып Қатысқандар саны: Қатыспағандар саны: |
|||||
|
Күні: |
|
|||||
|
Тарау немесе бөлім атауы: |
Қатынастар және пропорциялар |
|||||
|
Сабақтың тақырыбы: |
Шеңбердің ұзындығы. Дөңгелектің ауданы. Шар. Сфера |
|||||
|
Оқу бағдарламасына сәйкес оқыту мақсаттары: |
6.3.3.2 шеңбер ұзындығының оның диаметріне қатынасы тұрақты сан екенін білу; 6.3.3.3 шеңбер ұзындығының формуласын білу және қолдану; 6.3.3.4 дөңгелек ауданының формуласын білу және қолдану; 6.3.1.7 шар мен сфера туралы түсінігінің болуы; |
|||||
|
Сабақтың мақсаты: |
Шеңбердің ұзындығы. Дөңгелектің ауданы. туралы түсініктер қалыптастыды, аудандарын табуда формуллаларды дұрыс пайдалануды үйренеді
|
|||||
|
Сабақ барысы: |
||||||
|
Уақыты |
Кезең дері |
Педагогтің әрекеті |
Оқушының әрекеті |
Бағалау |
Ресурстар |
|
|
5минут |
Ұйымдастыру |
Сәлеметсіздерме! Бүгін, Шеңбердің ұзындығы. Дөңгелектің ауданы. Шар. Сфера тақырыптарын қарастырамыз Бүгінгі сабақта меңгеретініңіз: -шеңбер ұзындығының оның диаметріне қатынасы тұрақты сан екенін білу; -шеңбер ұзындығының формуласын білу және қолдану; -дөңгелек ауданының формуласын білу және қолдану; - шар мен сфера туралы түсінігінің болуы; амандасу, түгендеу, сабаққа дайындықтарын тексеру. 1.Ұйымдастыру. 2. Үй жұмысын тексеру. |
Амандасады. Үй жұмысын айтады. Ой-қозғау:
Диаметр радиустан неше есе ұзын? |
Ынталандыру сөздерін қолдану «жақсы», «жарайсың», «өте жақсы» |
Оқулық |
|
|
10 мин |
Жаңа сабақ |
Ұжымдық жұмыс Шеңбердің ұзындығын өлшеп табуға болады.Мысалы, жиегі шеңбер болатын стақанды алайық. Оның жиегін жіппен орап, жіптің ұзындығын сызғышпен өлшейік. Жіптің ұзындығы шамамен стақан шеңберінің ұзындығына тең. Сонан соң стақан диаметр диаметрін сызғышпен өлшейміз. Тәжірибелер
нәтижесінде кез-келген шеңбер үшін
шеңбер ұзындығының оның диаметріне қатынасы тұрақты санға тең екені
анықталды. Бұл сан
гректің
Есептеулерде π Шеңбердің ұзындығын С әрпімен, ал диаметрін D әрпімен белгілейді.
Шеңбердің ұзындығы π саны мен шеңбер диаметрінің көбейтіндісіне тең. Диаметрді радиус арқылы өрнектесек, D = 2R. Онда шеңбер ұзындығының формуласы С = 2πR түрінде жазылады. 1-есеп. Диаметрі 10 см шеңбердің ұзындығын табыңдар. Шешуі: D = 10 см,
ал C= πD,
онда С
Жауабы:31,4см. Шар. Сфера. Мысалы :Қарбыз, глобус, жеңіл атлетикада қолданылатын ядро, және т.б денелер шар деп аталатын фигура жайында түсінік береді. Шар-кеңістікте орналасатын дене. Шардың беті сфера деп аталады. «Сфера» грек сөзі ,доп дегенді білдіреді. |
Сұрақтарға жауап береді Тақырып бойынша ресурстарды қарап, танысады 2-есеп. Радиусы 15 м шеңбердің ұзындығын табыңдар. Шешуі: R = 15м ; C
= 2πR, онда С
Егер дөңгелектің радиусы R см болса, қабырғасы дөңгелектің радиусына тең квадраттың ауданы R2 см2 болады. Демек, дөңгелектің ауданын мына формуламен есептейміз: S = πR2 3- есеп.Радиусы 5 м дөңгелектің ауданын табыңдар. Шешуі: R= 5м; S =
πR2=π
*52 Жауабы: 78,5 м2. |
|
Оқулық |
|
|
10 минут |
Бекіту тапсырмасы |
Оқулықпен жұмыс Жеке жұмыс №184 1)Д=3476кмДескриптор т/к:С=? Формуланы біледі шешуі: Жер экваторының С= πD ұзындығын табады. С=3,14*3476=10914,64 км Жауабы: 10914,64км. 2)Д=8м т/к:S=? Шешуі: R=D/2=8/2=4м S=πR2Ауданын табады. S=3.14*42 =50,24м2 Жауабы:50,24м2 №185 R=15мм т/к:С=? Шешуі:С=2 πRС=2*3,14*15=94,2мм Шеңбер доғасының ұзындығы шеңбер ұзындығының 1/3 бөлігіне тең С=С/3=94,2/3=31,4мм Жауабы:С=31,4мм |
№186 Д=60см т/к :С=? Шешуі:С= πD С=3,14*60=188,4см 5*188,4=942 см Жауабы:942см Сәйкестендіру тесті Шеңбердің ұзындығы D Диаметрдің белгілеуі 3,14 π – дің мәні С = πD Шеңбердің ұзындығының формуласы С Диаметрді радиус арқылы өрнектеу S = πR2 Дөңгелектің
ауданы Шеңбер ұзындығының диаметрге қатынасы D= 2R |
Дескриптор: -Формуланы біледі - Жер экваторы ның ұзындығын табады -Ауданын табады.
Дескриптор Формуланы біледі Доғаның ұзындығын табады |
Оқулық |
|
|
15 мин |
Жеке жұмыс |
ББЖБ №1 |
Тапсырманы орындайды |
Бағалау критериіне сәйкес бағалау |
Жинақ |
|
|
5 минут |
|
Бүгінгі сабақта: шеңбер ұзындығының оның диаметріне қатынасы тұрақты сан екенін білу; -шеңбер ұзындығының формуласын білу және қолдану; -дөңгелек ауданының формуласын білу және қолдану; - шар мен сфера туралы түсінігінің болуы; Үйге тапсырма: Шеңбердің ұзындығы. Дөңгелектің ауданы. Шар. Сфера. №197, №198 Сабақ соңында рефлексия жүргіземіз. 1. Сабақтың мақсаты қандай болды? 2. Мен мақсатқа жеттім бе? 3. Мен не білдім? 4. Мен нені үйрендім? 5. Мен нені түсінбедім? 6. Мен не бойынша әлі де жұмыс істеуім керек? |
Тақырыпты меңгергенін анықтау |
Кері байланыс |
Презентация |
|
Қысқа мерзімді жоспар
Бекітемін:
|
Сабақ: № 25 |
Мектеп: |
|
|
Күні |
Мұғалімнің аты-жөні: |
|
|
Бөлім: |
6.1В Рационал сандар және оларға амалдар қолдану |
|
|
Сынып: 6 а |
Қатысқан оқушы саны: |
Қатыспаған оқушы саны: |
|
Сабақтың тақырыбы: |
Оң сандар. Теріс сандар. |
|
|
Оқу бағдарламасына сәйкес оқыту мақсаттары |
6.1.1.7 қарама-қарсы сандар ұғымын меңгеру, оларды координаталық түзуде белгілеу; |
|
|
Сабақтың мақсаты: |
Қарама-қарсы сандар ұғымын меңгеру, оларды координаталық түзуде белгілей алады. |
|
САБАҚТЫҢ БАРЫСЫ
|
Сабақтың кезеңі/ уақыт |
Педагогтің әрекеті |
Оқушының әрекеті |
Бағалау |
Ресурстар |
|
Сабақтың басы |
І. Ұйымдастыру кезеңі: амандасу, түгендеу. Үй тапсырмасын тексеру: № тапсырма |
Амандасады, үй тапсырмасын тексертеді |
Ынталандыру сөздерін қолдану «жақсы», «жарайсың», «өте жақсы» |
|
|
Сабақтың ортасы |
Бүгінгі күнді және жаңа тақырыпты жазамыз: «Оң сандар. Теріс сандар.»
|
Анықтамаларды жазып алады Теріс, оң жазады +, - таңбасын пайдаланады Практикалық жұмыс Ауызша жауап береді +, - санмен жазады Градусты табады Кестені толтырады |
1 балл 1 балл 1 балл 1 балл 1 балл 1 балл 1 балл 1 балл |
Математика, 6сынып, Т.А.Алдармұратова & 2.1, 70 бет |
|
Сабақтың соңы |
Кері байланыс: Екі жұлдыз, бір тілек Үйге тапсырма :№ 236. |
Кері байланыс береді |
Жалпы 10 балдық жүйемен бағалау |
кесте |
Қысқа мерзімді жоспар
Бекітемін:
|
Сабақ: № 26 |
Мектеп: |
|
|
Күні: |
Мұғалімнің аты-жөні: |
|
|
Бөлім: |
6.1В Рационал сандар және оларға амалдар қолдану |
|
|
Сынып: 6 а |
Қатысқан оқушы саны: |
Қатыспаған оқушы саны: |
|
Сабақтың тақырыбы: |
Координаталық түзу. Қарама-қарсы сандар |
|
|
Оқу бағдарламасына сәйкес оқыту мақсаттары |
6.1.1.4 координаталық түзудің анықтамасын білу және координаталық түзуді салу; 6.1.1.7 қарама-қарсы сандар ұғымын меңгеру, оларды координаталық түзуде белгілеу; |
|
|
Сабақтың мақсаты: |
Координаталық түзудің анықтамасын білу және координаталық түзуді салу; Қарама-қарсы сандар ұғымын меңгеру, оларды координаталық түзуде белгілеу; |
|
САБАҚТЫҢ БАРЫСЫ
|
Сабақтың кезеңі/ уақыт |
Педагогтің әрекеті |
Оқушының әрекеті |
Бағалау |
Ресурстар |
|
Сабақтың басы 5мин |
І. Ұйымдастыру кезеңі: амандасу, түгендеу. Үй тапсырмасын тексеру: № 237 |
Амандасады, үй тапсырмасын тексертеді |
Ынталандыру сөздерін қолдану «жақсы», «жарайсың», «өте жақсы» |
|
|
Сабақтың ортасы 35 |
Бүгінгі күнді және жаңа тақырыпты жазамыз: «Координаталық түзу. Қарама-қарсы сандар»
|
Тақырып бойынша ресурстарды қарап, танысады Сұрақтарға жауап береді Мысалдар келтіреді. Координатасын сызып алады Қарама- қарсы сандар Шартын атайды Координаталарын атайды Коорд. Түзу сызады Қарама-қарсы сандар жұбын жазады Кестені толтырады |
1 балл Жарайсың! Бәрекелді! Жақсы! 1 балл 2 балл 2 балл 2 балл 2 балл |
Математика, 6сынып, Т.А.Алдармұратова & 2.2, 75-78 бет |
|
Сабақтың соңы 5 |
Кері байланыс: Екі жұлдыз, бір тілек Үйге тапсырма :№ 243, №245. |
Кері байланыс береді |
Жалпы 10 балдық жүйемен бағалау |
кесте |
Сабақ жоспары
Бекітемін:
|
Мұғалімнің аты-жөні: |
|
|||||||||||||||||||||||
|
Пән/Сынып: |
6 сынып Қатысқандар саны: Қатыспағандар саны: |
|||||||||||||||||||||||
|
Күні: |
|
|||||||||||||||||||||||
|
Тарау немесе бөлім атауы: |
6.1В Рационал сандар және оларға амалдар қолдану |
|||||||||||||||||||||||
|
Сабақтың тақырыбы: |
Координаталық түзу. Қарама-қарсы сандар |
|||||||||||||||||||||||
|
Оқу бағдарламасына сәйкес оқыту мақсаттары: |
6.1.1.4 координаталық түзудің анықтамасын білу және координаталық түзуді салу; 6.1.1.7 қарама-қарсы сандар ұғымын меңгеру, оларды координаталық түзуде белгілеу; |
|||||||||||||||||||||||
|
Сабақтың мақсаты: |
Координаталық түзудің анықтамасын білу және координаталық түзуде нүктелерді белгілеу; Координаталық түзу бойында бір ғана нүкте сәйкес келетінін растау; Координаталық түзуде рационал сандарды белгілеуін тұжырымдау |
|||||||||||||||||||||||
|
Сабақ барысы: |
||||||||||||||||||||||||
|
Уақыты |
Кезең дері |
Педагогтің әрекеті |
Оқушының әрекеті |
Бағалау |
Ресурстар |
|||||||||||||||||||
|
2 минут |
Ұйымдастыру |
Сәлеметсіздерме! Бүгін, Координаталық түзу. Қарама-қарсы сандар тақырыптарын қарастырамыз Бүгінгі сабақта меңгеретініңіз: - координаталық түзудің анықтамасын білу және координаталық түзуді салу; -қарама-қарсы сандар ұғымын меңгеру, оларды координаталық түзуде белгілеу; 1.Ұйымдастыру. 2. Үй жұмысын тексеру. |
Амандасады. Үй жұмысын айтады. |
Ынталандыру сөздерін қолдану «жақсы», «жарайсың», «өте жақсы» |
Оқулық |
|||||||||||||||||||
|
8 мин |
Жаңа сабақ |
Оң және теріс сандар не үшін қолданылады? • Өлшеу, есептеу жұмыстарында шамалардың тура мағынасы мен қарама-қарсы мағынасының өзгерісінің сан мәнін ажырата білу үшін оң және теріс сандар қолданылады. • Шамалардың тура мағынасының сан мәнінің алдына «+» таңбасы қойылады. • Шамалардың қарама-қарсы мағынасының сан мәнінің алдына «-» таңбасы қойылады. Нөл қандай сан? • 0 (нөл) саны оң санға да, теріс санға да жатпайды. • 0 (нөл) саны санақ басы ретінде алынады. Нүктелердің координаталарын қалай анықтаймыз? • Берілген санға координаталық түзуде бір ғана нүкте сәйкес келеді. Ол сан нүктенің координатасы деп аталады. Мысал: A(-3,7), B теріс сандар оң сандар
|
Сұрақтарға жауап береді Тақырып бойынша ресурстарды қарап, танысады |
|
Оқулық, сызғыш |
|||||||||||||||||||
|
15 минут |
Бекіту тапсырмасы |
Тапсырмалар.
Ұжымдық жұмыс. Оң және теріс сандарды координаталық түзуге кескіндеңдер, 1. Бірлік кесінді ретінде
дәптердің 6 тор көзінің ұзындығын алып, координаталық түзу
сызыңдар. Оның бойынан: А нүктелерін белгілеңдер. 2. Координаталық түзу бойындағы А және Е нүктелерінің арақашықтығын табыңдар. Олардың орта нүктесінің координатасын табыңдар. 1–топ.шамаларды мағынасына қарай оң немесе теріс санмен жазыңдар.
2 –топ. бос орындарға оң немсе теріс сандарды жазыңдар және тиісті сөздерді қойыңдар
|
Координаталық түзуде берілген нүктелерді белгілей алады. |
Дескриптор: - Оң және теріс сандарды координаталық түзуге кескіндей алады Дескриптор: -Берілген шамаларды оң және теріс сандармен жаза алады. |
|
|||||||||||||||||||
|
10мин |
Жеке жұмыс |
Оқулықтан №247, №251 |
Тапсырманы орындайды |
|
Оқулық |
|||||||||||||||||||
|
5 минут |
|
Бүгінгі сабақта: - координаталық түзудің анықтамасын білу және координаталық түзуді салады; -қарама-қарсы сандар ұғымын меңгеру, оларды координаталық түзуде белгілейді.
Рефлексия. БББ» кестесі
Үйге тапсырма. №256, №258 |
Тақырыпты меңгергенін анықтау Оң және теріс сандар ережесін пайдаланып, сәйкестендіру тестісін орындайды. |
Кері байланыс |
Презентация |
|||||||||||||||||||
Сабақ жоспары
Бекітемін:
|
Мұғалімнің аты-жөні: |
|
|||||||||||||||||||||||||||||||||||||||||||||||||||||||||||||||||||||||
|
Пән/Сынып: |
6 сынып Қатысқандар саны: Қатыспағандар саны: |
|||||||||||||||||||||||||||||||||||||||||||||||||||||||||||||||||||||||
|
Күні: |
|
|||||||||||||||||||||||||||||||||||||||||||||||||||||||||||||||||||||||
|
Тарау немесе бөлім атауы: |
6.1В Рационал сандар және оларға амалдар қолдану |
|||||||||||||||||||||||||||||||||||||||||||||||||||||||||||||||||||||||
|
Сабақтың тақырыбы: |
Бүтін сандар. Рационал сандар |
|||||||||||||||||||||||||||||||||||||||||||||||||||||||||||||||||||||||
|
Оқу бағдарламасына сәйкес оқыту мақсаттары: |
6.1.1.6 бүтін сан ұғымын меңгеру; 6.5.2.3шамаларды сипаттау үшін бүтін сандарды қолдану; 6.1.1.8 рационал сан ұғымын меңгеру; 6.1.2.9 координаталық түзуде рационал сандарды кескіндеу; 6.1.2.11 рационал сандардың ішкі жиындарын Эйлер-Венн дөңгелектері арқылы кескіндеу; |
|||||||||||||||||||||||||||||||||||||||||||||||||||||||||||||||||||||||
|
Сабақтың мақсаты: |
Бүтін сандарды және рационал сандарды ажырата алады. |
|||||||||||||||||||||||||||||||||||||||||||||||||||||||||||||||||||||||
|
Сабақ барысы: |
||||||||||||||||||||||||||||||||||||||||||||||||||||||||||||||||||||||||
|
Уақыты |
Кезең дері |
Педагогтің әрекеті |
Оқушының әрекеті |
Бағалау |
Ресурстар |
|||||||||||||||||||||||||||||||||||||||||||||||||||||||||||||||||||
|
5 минут |
Ұйымдастыру |
Сәлеметсіздерме! Бүгін, Бүтін сандар. Рационал сандар тақырыптарын қарастырамыз Бүгінгі сабақта меңгеретініңіз: -бүтін сан ұғымын меңгеру; -шамаларды сипаттау үшін бүтін сандарды қолдану; -рационал сан ұғымын меңгеру; -координаталық түзуде рационал сандарды кескіндеу; -рационал сандардың ішкі жиындарын Эйлер-Венн дөңгелектері арқылы кескіндеу 1.Ұйымдастыру. 2. Үй жұмысын тексеру. |
Амандасады. Үй жұмысын айтады. |
Ынталандыру сөздерін қолдану «жақсы», «жарайсың», «өте жақсы» |
Оқулық |
|||||||||||||||||||||||||||||||||||||||||||||||||||||||||||||||||||
|
10 мин |
Жаңа сабақ |
Трек-сызба арқылы түсіндіру.
Қандай сандар бүтін сандар және рационал сандар жиыны деп аталады? Натурал сандар жиыны және оған қарама-қарсы сандар жиыны мен 0 саны бүтін сандар жиыны деп аталады. Жазылуы: Z={…, -6;-5;-4;-3;-2;-1, 0,1,2,3,4,5,6,…}. • Бүтін сандар жиыны, оң және теріс бөлшектер жиыны рационал сандар жиыны деп аталады. Белгіленуі: Q. • Натурал сандар жиыны (N), бүтін сандар жиыны (Z), рационал сандар жиыны (Q), нақты сандар жиынына кіреді. • Барлық сандар жиынын Эйлер-Венн дөңгелегі арқылы көрсетейік: Белгіленуі: R. |
Сұрақтарға жауап береді Тақырып бойынша ресурстарды қарап, танысады
|
|
Презентация Слайд |
|||||||||||||||||||||||||||||||||||||||||||||||||||||||||||||||||||
|
20 минут |
Бекіту тапсырмасы |
Оқулықпен жұмыс: № 1 Координаталық түзуде берілген сандардың арасындағы бүтін сандарды жазыңдар. № 2 Координаталық түзу бойында қандай сандар бүтін сандардың арасында орналасқан? №1 Теңдеуді шеш: 1) –x =15
Тапсырмалар І 1. Бір таңбалы бүтін сандар жиынын А әрпімен белгілеп, оны элементтерімен жазыңдар. 2. Бір жылда ең көп дегенде неше жексенбі болуы мүмкін? Жауабы: 53 ІІ В әрпімен белгілеп, оны элементтерімен жазыңдар. Бір елде 20 қала бар. Оның әрқайсысы бір-бірімен әуебайланыста жұмыс жасайды. Бұл елде неше әуебайланыс бар? Шешімі:19+18+17+....+3+2+1=190 Жауабы: 190.
Семантикалық карта (дарынды оқушыға)
|
Бүтін сандар. Рационал сандар тақырыбына берілген есептерді дескрипторға сәйкес шығарады. |
Дескриптор: - Координаталық түзуде берілген сандардың арасындағы бүтін сандарды жаза алады.
«Екі жұлдыз, бір ұсыныс» |
Слайд 7-8 |
|||||||||||||||||||||||||||||||||||||||||||||||||||||||||||||||||||
|
10мин |
Жеке жұмыс |
Оқулықтан №261, №264 |
Тапсырманы орындайды |
|
Оқулық |
|||||||||||||||||||||||||||||||||||||||||||||||||||||||||||||||||||
|
5 минут |
|
Бүгінгі сабақта: -бүтін сан ұғымын меңгеру; -шамаларды сипаттау үшін бүтін сандарды қолдану; - рационал сан ұғымын меңгеру; -координаталық түзуде рационал сандарды кескіндеу; - рационал сандардың ішкі жиындарын Эйлер-Венн дөңгелектері арқылы кескіндеу Рефлексия.БББ» кестесі
Үйге тапсырма. №263, №267 |
Тақырыпты меңгергенін анықтау |
Кері байланыс |
Презентация |
|||||||||||||||||||||||||||||||||||||||||||||||||||||||||||||||||||
Сабақ жоспары
Бекітемін:
|
Мұғалімнің аты-жөні: |
|
|||||||||||
|
Пән/Сынып: |
6 сынып Қатысқандар саны: Қатыспағандар саны: |
|||||||||||
|
Күні: |
|
|||||||||||
|
Тарау немесе бөлім атауы: |
6.1В Рационал сандар және оларға амалдар қолдану |
|||||||||||
|
Сабақтың тақырыбы: |
Бүтін сандар. Рационал сандар |
|||||||||||
|
Оқу бағдарламасына сәйкес оқыту мақсаттары: |
6.1.1.6 бүтін сан ұғымын меңгеру; 6.5.2.3шамаларды сипаттау үшін бүтін сандарды қолдану; 6.1.1.8 рационал сан ұғымын меңгеру; 6.1.2.9 координаталық түзуде рационал сандарды кескіндеу; 6.1.2.11 рационал сандардың ішкі жиындарын Эйлер-Венн дөңгелектері арқылы кескіндеу; |
|||||||||||
|
Сабақтың мақсаты: |
Бүтін сандарды және рационал сандарды ажырата алады. |
|||||||||||
|
Сабақ барысы: |
||||||||||||
|
Уақыты |
Кезең дері |
Педагогтің әрекеті |
Оқушының әрекеті |
Бағалау |
Ресурстар |
|||||||
|
5минут |
Ұйымдастыру |
Сәлеметсіздерме! Бүгін, Бүтін сандар. Рационал сандар тақырыптарын қарастырамыз Бүгінгі сабақта меңгеретініңіз: бүтін сан ұғымын меңгеру; -шамаларды сипаттау үшін бүтін сандарды қолдану; -рационал сан ұғымын меңгеру; -координаталық түзуде рационал сандарды кескіндеу; -рационал сандардың ішкі жиындарын Эйлер-Венн дөңгелектері арқылы кескіндеу 1.Ұйымдастыру. 2. Үй жұмысын тексеру. |
Амандасады. Үй жұмысын тексереді. |
Ынталандыру сөздерін қолдану «жақсы», «жарайсың», «өте жақсы» |
Оқулық |
|||||||
|
10мин |
Жаңа сабақ |
Ой қозғау 1.Қандай сандар қарама- қарсы сандар деп аталады? 2.Оң, теріс, 0 cандарының қарама-қарсы сандар қандай? 3. Қандай сандар бүтін сандар және рационал сандар жиыны деп аталады? 4.Таңбалар ережесі 1. Оң немесе теріс сандармен жазыңдар: а) көшеде 300С аяз- ә) үйде 100С жылы- б) Команда мүшелері 5 ұпай ұтты- в) Команда мүшелері 7 ұпай ұтылды-
Оң сандар: Теріс сандар: 3.Термометрдің көрсетуін жазыңдар: а) таңертеңгілік температура- ә) кешкі температура- б) таңертеңгіге қарағанда кешке температура неше градус төмендеді? 4. Шамаларды мағынасына қарай оң санмен немесе теріс санмен жазыңдар: а) Ұшақ 800 м биіктікте ұшты- м ә) Қыстың бір күнінде 420 аяз болды- |
Сұрақтарға жауап береді Тақырып бойынша ресурстарды қарап, танысады |
|
Карточка Слайд |
|||||||
|
15 минут |
Бекіту тапсырмасы |
Тапсырмалар. І деңгей тапсырмалары 1. Жұлдызшаның орнына теңдік тура болатындай санды тауып, жазыңдар. 1)
ІІ деңгей тапсырмалары Таңбалар ережесін пайдаланып, мәнін табыңдар. 6. Өрнектің мәнін табыңдар. а)
m, 7. Теңдеуді шешіңдер. 1)
2)
8.Есептеңіз: ІІІ деңгей тапсырмалары Есептеңдер,шыққан мәнін координаталық түзуге орналастырыңдар. 9.Есептеңіз: 10.
Жауабы: m=-1; -2. |
Координата лық түзу сызып, нүктені белгілейді |
Дескриптор: -Қарама-қарсы сандарды ажырата алады; -Таңбалар ережесін қолдана алады. Дескриптор: -Бүтін сандар ережесін біледі. |
Интернет ресурстары |
|||||||
|
10мин |
Жеке жұмыс |
Оқулықтан №268. |
Тапсырманы орындайды |
|
Оқулық |
|||||||
|
5 минут |
|
Бүгінгі сабақта: -бүтін сан ұғымын меңгеру; -шамаларды сипаттау үшін бүтін сандарды қолдану; - рационал сан ұғымын меңгеру; -координаталық түзуде рационал сандарды кескіндеу; - рационал сандардың ішкі жиындарын Эйлер-Венн дөңгелектері арқылы кескіндеу Рефлексия.БББ» кестесі
Үйге тапсырма. №269, №270 |
Тақырыпты меңгергенін анықтау |
Кері байлпныс. |
Презентация |
|||||||
Сабақ жоспары
Бекітемін:
|
Мұғалімнің аты-жөні: |
|
||||||||||||||||||||
|
Пән/Сынып: |
6 сынып Қатысқандар саны: Қатыспағандар саны: |
||||||||||||||||||||
|
Күні: |
|
||||||||||||||||||||
|
Тарау немесе бөлім атауы: |
6.1В Рационал сандар және оларға амалдар қолдану |
||||||||||||||||||||
|
Сабақтың тақырыбы: |
Санның модулі |
||||||||||||||||||||
|
Оқу бағдарламасына сәйкес оқыту мақсаттары: |
6.1.1.9 санның модулі анықтамасын білу және оның мәнін табу; 6.2.1.11
6.3.3.1 координаталық түзуде нүктелердің арақашықтығын табу; |
||||||||||||||||||||
|
Сабақтың мақсаты: |
Рационал сандардың модулін табуда,айнымалысы модуль таңбасының ішінде берілген теңдеуді шешуде алған білімдерін тиянақтау,толықтыру,бекіту. |
||||||||||||||||||||
|
Сабақ барысы: |
|||||||||||||||||||||
|
Уақыты |
Кезең дері |
Педагогтің әрекеті |
Оқушының әрекеті |
Бағалау |
Ресурстар |
||||||||||||||||
|
5 минут |
Ұйымдастыру |
Сәлеметсіздерме! Бүгін, Санның модулі тақырыптарын қарастырамыз Бүгінгі сабақта меңгеретініңіз: -санның модулі анықтамасын білу және оның мәнін табу; -
-координаталық түзуде нүктелердің арақашықтығын табу; 1.Ұйымдастыру. 2. Үй жұмысын тексеру. Алдын ала даярлық тапсырма бойынша сұрақтар: • Координаталық түзудегі қашықтықты өрнектейтін сандардың: - ұқсастығын __________________________________________ - айырмашылығын _____________________________________ қалай анықтадыңдар? Кестені толтыр.
|
Амандасады. Үй жұмысын айтады. |
Ынталандыру сөздерін қолдану «жақсы», «жарайсың», «өте жақсы»
|
Оқулық |
||||||||||||||||
|
10 мин |
Жаңа сабақ |
Санның модулі дегеніміз координаталық түзудегі санды кескіндейтін нүктенің санақ басынан (бірлік кесіндімен алынған) қашықтығы. • Модуль латынша modus – «мөлшер» деген мағынаны береді. Кейбір жағдайда «модульді» абсолюттік шама деп атайды.Модуль латынша modulus – қазақша «мөлшер» деген мағынаны білдіреді. Кейбір жағдайда «модульдің» орнына абсолюттік шама деп те атайды. Санның модулі дегеніміз координаталық түзудегі санды кескіндейтін нүктенің санақ басынан (бірлік кесінді есебімен алынған) қашықтығы. Ара қашықтығы оң санмен немесе нөл санымен жазылатыны белгілі. Онда санның модулі координаталық түзуде берілген санды кескіндейтін нүктенің санақ басынан қашықтығы болғандықтан, модуль теріс санмен жазылмайды. Координаталық түзуде 0 санын кескіндейтін нүкте санақ басымен беттеседі. Онда І0І = 0. Нөл санының модулі 0-ге тең. Теріс санның модулі оған қарам қарсы санға тең. Оң санның модулі сол санның өзіне тең.
ОЕ = ОF. Онда І-3І = 3 |
Сұрақтарға жауап береді Тақырып бойынша ресурстарды қарап, танысады |
|
Оқулық, сызғыш Слайд |
||||||||||||||||
|
20 минут |
Бекіту тапсырмасы |
Деңгейлік тапсырмалар: І деңгей тапсырмалары 1. Сандардың модульдерін табыңдар:
|10|=_____;
|24,8|=______;
|-10|=____;
|-24,8|=_____;
II деңгей тапсырмалары 2. Амалдарды орындаңдар: |-6|+4=_________________; |-3,7|+|3,7|=_________________; |14|+|-8|=_______________; 8+|-0,9|=___________________; |-36|+|-2|=_______________; |-0,05|+|-5|=_________________;
III деңгей тапсырмалары _________________________________ 3. Теңдеуді координаталық түзуді пайдаланып шешіңдер:
а)
|x|=2; ә) |y|=3,5;
б) Үлгі: |x|=5; x=5; x=-5.
|
|
Дескриптор: -Модуль анықтама сын біледі. -Модульге амалдар қолдана алады. Дескриптор: Теңдеуді координаталық түзуді пайдаланып шешіңдер |
Слайд 7-8 |
||||||||||||||||
|
5мин |
Жеке жұмыс |
Оқулықтан №280, №282
|
Тапсырманы орындайды |
Мониторинг |
Оқулық |
||||||||||||||||
|
5 минут |
|
Бүгінгі сабақта: - санның модулі анықтамасын білу және оның мәнін табады; -
-координаталық түзуде нүктелердің арақашықтығын табады. Рефлексия. «Жетістік» баспалдағы.
Үйге тапсырма. №281, №284 |
Тақырыпты меңгергенін анықтау |
Кері байланыс |
|
||||||||||||||||
Сабақ жоспары
Бекітемін:
|
Мұғалімнің аты-жөні: |
|
|||||||||||||||||||||
|
Пән/Сынып: |
6 сынып Қатысқандар саны: Қатыспағандар саны: |
|||||||||||||||||||||
|
Күні: |
|
|||||||||||||||||||||
|
Тарау немесе бөлім атауы: |
6.1В Рационал сандар және оларға амалдар қолдану |
|||||||||||||||||||||
|
Сабақтың тақырыбы: |
Санның модулі |
|||||||||||||||||||||
|
Оқу бағдарламасына сәйкес оқыту мақсаттары: |
6.1.1.9 санның модулі анықтамасын білу және оның мәнін табу; 6.2.1.11
6.3.3.1 координаталық түзуде нүктелердің арақашықтығын табу; |
|||||||||||||||||||||
|
Сабақтың мақсаты: |
Рационал сандардың модулін табуда,айнымалысы модуль таңбасының ішінде берілген теңдеуді шешуде алған білімдерін тиянақтау,толықтыру,бекіту. |
|||||||||||||||||||||
|
Сабақ барысы: |
||||||||||||||||||||||
|
Уақыты |
Кезең дері |
Педагогтің әрекеті |
Оқушының әрекеті |
Бағалау |
Ресурстар |
|||||||||||||||||
|
5 минут |
Ұйымдастыру |
Сәлеметсіздерме! Бүгін, Санның модулі тақырыптарын қарастырамыз Бүгінгі сабақта меңгеретініңіз: -санның модулі анықтамасын білу және оның мәнін табу; -
-координаталық түзуде нүктелердің арақашықтығын табу; 1.Ұйымдастыру. 2. Үй жұмысын тексеру. 1.Санның модулі деген не? 2.Теріс санның модулі қандай санмен өрнектеледі?мысал келтір. 3.Оң санның модулі қандай санмен өрнектеледі?Мысал келтір. 4.Қандай санның модулі 0-ге тең? 5.Қарама-қарсы сандар деп қандай сандарды айтады? 6.Қандай сандар бүтін сандар жиынын құрайды? 7.Қандай сандарды рационал сандар дейміз. 8.0 санына қарама-қарсы қандай сан? |
Амандасады. Үй жұмысын айтады. Сұрақтарға жауап береді |
Ынталандыру сөздерін қолдану «жақсы», «жарайсың», «өте жақсы» |
Оқулық |
|||||||||||||||||
|
5 мин |
Жаңа сабақ |
Санның модулі дегеніміз координаталық түзудегі санды кескіндейтін нүктенің санақ басынан (бірлік кесіндімен алынған) қашықтығы. • Модуль латынша modus – «мөлшер» деген мағынаны береді. Кейбір жағдайда «модульді» абсолюттік шама деп атайды.Модуль латынша modulus – қазақша «мөлшер» деген мағынаны білдіреді. Кейбір жағдайда «модульдің» орнына абсолюттік шама деп те атайды. Нөл санының модулі 0-ге тең. Теріс санның модулі оған қарам қарсы санға тең. Оң санның модулі сол санның өзіне тең. |
Тақырып бойынша ресурстарды қарап, танысады
ОЕ = ОF. Онда І-3І = 3 |
|
Презентация Слайд |
|||||||||||||||||
|
20 минут |
Бекіту тапсырмасы |
Тапсырмалар. Оқулықтан. №285 (1,2,3) 1)
-2 0 2 2)
О
3)
2. Сандардың модульдерін табыңдар:
|10|=
|24,8|=
|-10|=
|-24,8|=
3. Амалдарды орындаңдар: |-6|+4= |-3,7|+|3,7|= |14|+|-8|= 8+|-0,9|= |-36|+|-2|=_ |-0,05|+|-5|=
4. Теңдеуді координаталық түзуді пайдаланып шешіңдер: а) |x|=2; ә) |y|=3,5; 5. |x|-ті табыңдар:
|
Берілген дескрипторға сәйкес тапсырмаларды орындайды. Үлгі: |x|=5; x=5; x=-5. |
. Дескриптор: -Санның модулі анықтама сын біледі; -Модульдің қасиеттерін дұрыс қолдана біледі. Дескриптор: - Теңдеуді координата лық түзуді пайдаланып шеше алады |
Слайд 7-8 |
|||||||||||||||||
|
10мин |
Жеке жұмыс |
Оқулықтан №287, №289 |
Тапсырманы орындайды |
Мониторинг |
|
|||||||||||||||||
|
5 минут |
|
Бүгінгі сабақта: - санның модулі анықтамасын білу және оның мәнін табады; -
-координаталық түзуде нүктелердің арақашықтығын табады. Қорытынды. «Кім жылдам?» әдісі
Үйге тапсырма. №291, №292 Рефлексия. «Жетістік» баспалдағы. |
Тақырыпты меңгергенін анықтау
|
Кері байланыс |
Презентация |
|||||||||||||||||
Сабақ жоспары
Бекітемін:
|
Мұғалімнің аты-жөні: |
|
|||||
|
Пән/Сынып: |
6 сынып Қатысқандар саны: Қатыспағандар саны: |
|||||
|
Күні: |
. |
|||||
|
Тарау немесе бөлім атауы: |
6.1В Рационал сандар және оларға амалдар қолдану |
|||||
|
Сабақтың тақырыбы: |
Рационал сандарды салыстыру |
|||||
|
Оқу бағдарламасына сәйкес оқыту мақсаттары: |
6.1.2.8 бүтін сандарды салыстыру; 6.1.2.12 рационал сандарды салыстыру |
|||||
|
Сабақтың мақсаты: |
Рационал сандарды салыстыруды, координаталық түзуде суреттеуді біледі. |
|||||
|
Сабақ барысы: |
||||||
|
Уақыты |
Кезең дері |
Педагогтің әрекеті |
Оқушының әрекеті |
Бағалау |
Ресурстар |
|
|
5 минут |
Ұйымдастыру |
Сәлеметсіздерме! Бүгін, Рационал сандарды салыстыру тақырыптарын қарастырамыз Бүгінгі сабақта меңгеретініңіз: - бүтін сандарды салыстыру; -рационал сандарды салыстыру санның модулі анықтамасын білу және оның мәнін табу; 1.Ұйымдастыру. 2. Үй жұмысын тексеру. Жаңа сабақты бастамас бұрын оқушыларға сұрақ қою.
|
Амандасады. Үй жұмысын айтады. |
Ынталандыру сөздерін қолдану «жақсы», «жарайсың», «өте жақсы» |
Оқулық |
|
|
10 мин |
Жаңа сабақ |
Жаңа сабақ. Оқулықты пайдалана отырып, жаңа тақырыпты өз беттерінше меңгереді. І. Координаталық түзу бойында
үлкен сан . . . жақта, ал одан кіші сан . . . жақта
кескінделеді. |
Сұрақтарға жауап береді Тақырып бойынша ресурстарды қарап, танысады |
|
Оқулық
|
|
|
25 минут |
Бекіту тапсырмасы |
Тапсырмалар. Топтық жұмыс. .«Тыңдап отырған үштік» әдісі арқылы оқушылар алған білімдерін қолданып, тұжырымдайды.
a) Координаталық түзуде 0-ден оңға қарай бағытта сан кеми ме? әлде өсе ме? б) Координаталық түзуде 0-ден солға қарай бағытта сандар қалай өзгереді?
в) А(-2), B(3,5), C( с).AжәнеB, CжәнеD, EжәнеF нүктелеріне сәйкес сандарды салыстырыңдар. №306 1)8,7 мен 7,8 ; 4) -6 мен -11 ; 2) -4,1 мен 2 ; 5) -18 бен -1,8 ; 3) 2,9 бен -920 ; 6) -100 бен 0 . Оқулықтан №307,308 |
Рационал сандарды координаталық түзуде кескіндеп салыстырады Жұптық жұмыс. Салыстырыңдар: 1) 8,7 мен 7,8; |
Дескриптор: -рационал сандардың анықтама ларын тұжырым дайды. -Координата лық түзуде рационал сандарды салыстыра ды. ҚБ: «Бағдаршам» әдісімен бағалау
Дескриптор: -Рационал сандарды салыстыруды орындай алады |
Интернет ресурстары |
|
|
10 |
Жеке жұмыс |
Сандарды салыстырыңыз:
|
Тапсырманы орындайды |
|
|
|
|
5 минут |
|
Бүгінгі сабақта: - бүтін сандарды салыстыру; -рационал сандарды салыстыру санның модулі анықтамасын білу және оның мәнін табу; Рефлексия Бүгінгі сабақ қандай пәнмен байланысты болды? Қандай қосымша жаңа сөздермен таныстыңыз? Сабақтан қандай әсер алдыңыз? Сабаққа бір ұсыныс. Үйге тапсырма. №309,310 |
Тақырыпты меңгергенін анықтау |
|
Презентация |
|
Сабақ жоспары
Бекітемін:
|
Мұғалімнің аты-жөні: |
|
|||||
|
Пән/Сынып: |
6 сынып Қатысқандар саны: Қатыспағандар саны: |
|||||
|
Күні: |
|
|||||
|
Тарау немесе бөлім атауы: |
6.1В Рационал сандар және оларға амалдар қолдану |
|||||
|
Сабақтың тақырыбы: |
Рационал сандарды салыстыру. |
|||||
|
Оқу бағдарламасына сәйкес оқыту мақсаттары: |
6.1.2.8 бүтін сандарды салыстыру; 6.1.2.12 рационал сандарды салыстыру |
|||||
|
Сабақтың мақсаты: |
Рационал сандарды салыстыруды, координаталық түзуде суреттеуді біледі. |
|||||
|
Сабақ барысы: |
||||||
|
Уақыты |
Кезең дері |
Педагогтің әрекеті |
Оқушының әрекеті |
Бағалау |
Ресурстар |
|
|
5 минут |
Ұйымдастыру |
Сәлеметсіздерме! Бүгін, Рационал сандарды салыстыру тақырыптарын қарастырамыз Бүгінгі сабақта меңгеретініңіз: - бүтін сандарды салыстыру; -рационал сандарды салыстыру санның модулі анықтамасын білу және оның мәнін табу; 1.Ұйымдастыру. 2. Үй жұмысын тексеру. Жаңа сабақты бастамас бұрын оқушыларға сұрақ қою.
|
|
Ынталандыру сөздерін қолдану «жақсы», «жарайсың», «өте жақсы» |
Whatsapp месенжерін қолдану. |
|
|
10мин |
Жаңа сабақ |
Координаталық сәуледе кіші сан
сол жақта, үлкен сан оң жағында кескінделетіні
белгілі. Онда:
0 Келесі сұрақтар бойынша фронталды сұхбат: Координаталық түзуде 0-ден оңға қарай бағытта сан кеми ме, әлде өсе ме? Координаталық түзуде 0-ден солға қарай бағытта сандар қалай өзгереді? Координаталық түзуді
пайдаланып, жұлдызшаның орнына ( - 5)
( - 2)
Жауаптарды дескриптор бойынша тексеру.
Кеше ауаның температурасы
2 температурасы төмендеп, -
3 Өз жауабыңызды түсіндіріңіз. |
Сұрақтарға жауап береді Тақырып бойынша ресурстарды қарап, танысады Мысалдарды шығарады. |
Дескриптор: - Координаталық түзуде 0-ден оңға қарай, 0-ден солға қарай бағытта сандар қалай өзгеретінін біледі; Координаталық түзуді
пайдаланып, жұлдызшаның орнына |
Презентация Слайд |
|
|
20 минут |
Бекіту тапсырмасы |
Оқулықтан №314, №315 Шығармашылық жұмыс №1 Салыстырып,жұлдызшаның орнына тиісті теңсіздік белгісін қойыңдар: 1) (-5)*(-5,7), онда |-5|*|-5,7| 2) (-7)*(-6,3), онда |-7|*|-6,3| 3) (-2)*(-1,25), онда |-2|*|-1,25| 4)| (-9)*(-8,7), онда |-9|*|-8,7| №2 Салыстырыңдар: |1,5|+|8|*|1,5+8| |7|+|-|*|7-| |-1|+|-4|*|4+1| |2|+|-0,8|*|2-0,8| №3 Х-тің бүтін сан мәнін табыңдар: 1) 1 <х<2,4 2) -<х< 3) -8,5<х<-7,25 4) 20<х<21,3 |
Өз бетімен жұмыс. Қате жазылған есептердің қатесін табу керек.
|
Дескриптор: -Рационал сандарды салыстырып,жұлдызша ның орнына тиісті теңсіздік белгісін қояды. |
Интернет ресурстары |
|
|
5 мин |
Жеке жұмыс |
ҚБ (қалыптастырушы бағалау) Жеке жұмыс. Тапсырма 1. Координаталық түзуде мына нүктелердің координаталарын салыстырыңыз.
Тапсырма 2. Координаталық түзуде мына сандардың арасында қандай бүтін сандар орналасқан? Қос теңсіздік түрінде жазыңыздар. а )-3 пен 5; б) 2 мен 7; в) -7 мен -2; г) -5 пен 0; д) 0 мен 4; е) 9,5; ж) - 4. |
Тапсырманы орындайды |
Мониторинг |
|
|
|
5 минут |
|
Бүгінгі сабақта: - бүтін сандарды салыстыру; -рационал сандарды салыстыру санның модулі анықтамасын білу және оның мәнін табу; Кері байланыс «Үш белгі» !! – барлығы түсінікті ?! – тақырыпты түсіндім, бірақ бірнеше сұрағым бар ?? – тақырыпқа түсінбедім, маған көмек керек. Үйге тапсырма. №317, №318 |
Тақырыпты меңгергенін анықтау |
|
Whatsapp месенжерін қолдану Презентация |
|
Сабақ жоспары
Бекітемін:
|
Мұғалімнің аты-жөні: |
|
|||||
|
Пән/Сынып: |
6 сынып. Қатысқандар саны: Қатыспағандар саны: |
|||||
|
Күні: |
|
|||||
|
Тарау немесе бөлім атауы: |
6.1В Рационал сандар және оларға амалдар қолдану |
|||||
|
Сабақтың тақырыбы: |
Өзендегі қозғалысқа қосымша есептер |
|||||
|
Оқу бағдарламасына сәйкес оқыту мақсаттары: |
6.5.1.2 пайызға берілген есептерді пропорция арқылы шешу; 6.1.2.6 шамаларды берілген қатынаста бөлу; 6.1.2.7 шамаларды берілген сандарға кері болатын пропорционал бөліктерге бөлу |
|||||
|
Сабақтың мақсаты: |
Өзендегі, көлдегі қозғалыс әрекеттерін түсіндіре білу. Дәлелдеп көрсету. Қозғалысқа байланысты кездесетін терминдерді дұрыс айта білуге, дұрыс жаза білуге, формулаларды дұрыс қолдана білуге үйрету.
|
|||||
|
Сабақ барысы: |
||||||
|
Уақыты |
Кезең дері |
Педагогтің әрекеті |
Оқушының әрекеті |
Бағалау |
Ресурстар |
|
|
5 минут |
Ұйымдастыру |
Сәлеметсіздерме! Бүгін, өзендегі қозғалысқа қосымша есептер тақырыптарын қарастырамыз Бүгінгі сабақта меңгеретініңіз: - Қозғалысқа байланысты кездесетін терминдерді дұрыс айту -Пайызға берілген есептерді пропорция арқылы шешу |
Амандасады. Үй жұмысын айтады. |
Ынталандыру сөздерін қолдану «жақсы», «жарайсың», «өте жақсы» |
Оқулық |
|
|
10 мин |
Жаңа сабақ |
Қозғалыс тақырыбына мәтінді есептер Қайық, катер, теплоход, пароход көлде немесе өзенде жүзеді. Мысалы, қөл ағынсыз су болғандықтан, қайық көлде жүзгенде өзінің меншікті жылдамдығымен жүзеді. Сал өзенде жүзгенде ағыс жылдамдығына тең жылдамдықпен жүзеді. Егер дене ағыспен жүзсе, оның жылдамдығы ағыс жылдамдығына артады.
Дененің ағыспен жылдамдығы оның меншікті жылдамдығы мен ағыс жылдамдығының қосындысына тең.
Мұндағы
Егер дене ағысқа қарсы жүзсе, оның жылдамдығы ағыс жылдамдығына кемиді. Дененің ағысқа қарсы жылдамдығы оның меншіңті жылдамдығы мен ағыс жылдамдығының айырмасына тең:
Мұндағы Өзендегі қозғалысты есептеу үшін қажет болатын ағыс жылдамдығымен меншікті жылдамдықты табуды үйренейік. 2.14-суретте дененің ағыспен жылдамдығы және ағысқа қарсы жылдамдығы кесінділермен берілген.
|
Сұрақтарға жауап береді Тақырып бойынша ресурстарды қарап, танысады Есеп. Меншікті жылдамдығы 6 км/сағ қайық ағыс жылдамдығы 2 км/сағ озенде ағыспен жүзеді. Қайық 3 сағатта қанша қашықтыққа барады? Ш: 1) 6+2=8 км/сағ – қайықтың ағыспен жүзгендегі жылдамдығы. 2) 8*3=24 км – қайықтың үш сағатта барған жылдамдығы.
І. Ағыс жылдамдығын табайық. 2.14-сурет бойынша:
Онда Ағыс жылдамдығы ағыспен жылдамдық пен ағысқа қарсы жылдамдықтың айырмасының жартысына тең. ІІ. Меншікті жылдамдықты табайық. Меншікті жылдамдықты табу үшін ағыспен жылдамдық пен ағысқа қарсы жылдамдықтың қосындысын табу керек.
|
|
Оқулық |
|
|
25 минут |
Бекіту тапсырмасы |
№347
№349
|
Бекіту сұрақтары. Катер өзенде ағыспен жүзсе, оның қозғалыс жылдамдығы қала табылады?
|
Дескриптор: -дененің ағыспен жылдамдығы және ағысқа қарсы жылдамды ғын табады. Дескриптор: -Ағыс жылдамды ғын таба алады. -Меншікті жылдамдық ты таба алады. |
Интернет ресурстары. |
|
|
|
Жеке жұмыс |
Оқулықтан №331, 332, 333 |
Тапсырманы орындайды |
Мониторинг |
Оқулық |
|
|
5 минут |
|
Бүгінгі сабақта: Қозғалысқа байланысты кездесетін терминдерді дұрыс айта алады Рефлексия Нені түсінді? Не түсініксіз болды? Не ұнады? Не ұнамады? Үйге тапсырма. №334, қосымша №5. |
Тақырыпты меңгергенін анықтау |
Кері байланыс |
|
|
Сабақ жоспары
Бекітемін:
|
Мұғалімнің аты-жөні: |
|
|||||
|
Пән/Сынып: |
6 сынып Қатысқандар саны: Қатыспағандар саны: |
|||||
|
Күні: |
|
|||||
|
Тарау немесе бөлім атауы: |
6.1В Рационал сандар және оларға амалдар қолдану |
|||||
|
Сабақтың тақырыбы: |
Өзендегі қозғалысқа қосымша есептер |
|||||
|
Оқу бағдарламасына сәйкес оқыту мақсаттары: |
6.5.1.2 пайызға берілген есептерді пропорция арқылы шешу; 6.1.2.6 шамаларды берілген қатынаста бөлу; 6.1.2.7 шамаларды берілген сандарға кері болатын пропорционал бөліктерге бөлу |
|||||
|
Сабақтың мақсаты: |
Өзендегі, көлдегі қозғалыс әрекеттерін түсіндіре білу. Дәлелдеп көрсету. Қозғалысқа байланысты кездесетін терминдерді дұрыс айта білуге, дұрыс жаза білуге, формулаларды дұрыс қолдана білуге үйрету.
|
|||||
|
Сабақ барысы: |
||||||
|
Уақыты |
Кезең дері |
Педагогтің әрекеті |
Оқушының әрекеті |
Бағалау |
Ресурстар |
|
|
5 минут |
Ұйымдастыру |
Сәлеметсіздерме! Бүгін, өзендегі қозғалысқа қосымша есептер тақырыптарын қарастырамыз Бүгінгі сабақта меңгеретініңіз: - Қозғалысқа байланысты кездесетін терминдерді дұрыс айту -Пайызға берілген есептерді пропорция арқылы шешу |
Амандасады. Үй жұмысын айтады. |
Ынталандыру сөздерін қолдану «жақсы», «жарайсың», «өте жақсы» |
Оқулық |
|
|
25 мин |
Жаңа сабақ |
Ұжымдық жұмыс. № 1. Катердің ағыспен жүзгендегі жылдамдығы 24 км/сағ, ал ағысқа қарсы жүзгендегі жылдамдығы 20 км/сағ. Катердің меншікті жылдамдығын табыңдар. Шарты: Ʋа-пен = 24 км/сағ Ʋа-қ = 20 км/сағ Ʋм — ? км/сағ Шешуі: Ʋм = (24 + 20) : 2 = 22 (км/сағ) Жауабы: Ʋм = 22 км/сағ
№ 2. Моторлы қайықтың ағыспен жүзгендегі жылдамдығы 30 км/сағ, ал ағысқа қарсы жүзгендегі жылдамдығы 26 км/сағ. Ағыс жылдамдығын табыңдар Шарты: Ʋа-пен = 30 км/сағ Ʋа-қ = 26 км/сағ Ʋа — ? км/сағ Шешуі: Ʋа = (30 – 26) : 2 = 2 (км/сағ) Жауабы: Ʋа = 2 км/сағ Инклюзив оқушымен жұмыс Теңсіздікті қанағаттандыратын барлық бүтін сандарды тап. а)
|
Сұрақтарға жауап береді Тақырып бойынша ресурстарды қарап, танысады Өз бетімен жұмыс. Теңдеуді шешіңдер: а)
ә)
|
Дескриптор: дененің ағыспен жылдамдығы және ағысқа қарсы жылдамды ғын табады.
ҚБ «Екi жұлдыз бiр тiлек» әдiсi . Бiрiн-бiрi бағалау |
|
|
|
10мин |
Жеке жұмыс |
Оқулықпен жұмыс. №334, №335. |
Тапсырманы орындайды |
Мониторинг |
|
|
|
5 минут |
|
Бүгінгі сабақта:
Рефлексия. Нені түсінді? Не түсініксіз болды? Не ұнады? Не ұнамады? Үйге тапсырма. №336
|
Тақырыпты меңгергенін анықтау |
Кері байланыс |
Оқулық |
|
Сабақ жоспары
Бекітемін:
|
Мұғалімнің аты-жөні: |
|
|||||
|
Пән/Сынып: |
6 сынып Қатысқандар саны: Қатыспағандар саны: |
|||||
|
Күні: |
|
|||||
|
Тарау немесе бөлім атауы: |
6.1В Рационал сандар және оларға амалдар қолдану |
|||||
|
Сабақтың тақырыбы: |
Рационал сандарды координаталық түзудің көмегімен қосу |
|||||
|
Оқу бағдарламасына сәйкес оқыту мақсаттары: |
6.1.2.10 бүтін сандарды координаталық түзу көмегімен қосу және азайтуды орындау; |
|||||
|
Сабақтың мақсаты: |
|
|||||
|
Сабақ барысы: |
||||||
|
Уақыты |
Кезең дері |
Педагогтің әрекеті |
Оқушының әрекеті |
Бағалау |
Ресурстар |
|
|
5 минут |
Ұйымдастыру |
Сәлеметсіздерме! Бүгін, рационал сандарды координаталық түзудің көмегімен қосу тақырыбын қарастырамыз Бүгінгі сабақта меңгеретініңіз: бүтін сандарды координаталық түзу көмегімен қосу және азайтуды орындау;
|
Амандасады. Үй жұмысын айтады. |
Ынталандыру сөздерін қолдану «жақсы», «жарайсың», «өте жақсы» |
Оқулық |
|
|
10 мин |
Жаңа сабақ |
Рационал сандарды координаталық түзудің көмегімен қосуда берілген санға сәйкес нүктені координаталық түзу бойында жылжытып орын ауыстыру әдісі пайдаланылады. Рационал сандарды координаталық түзудің көмегімен қосуда өрнектегі «+» таңбасы берілген санға сәйкес нүктенің оң бағытта жылжытындығын білдірсе, ал «-» таңбасы теріс бағытта жылжитындығын білдіреді.
Координаталық түзудің көмегімен a және b рационал сандарының қосындысын табу үшін:
ә) егер b – теріс сан (b<0) болса, онда А (а) нүктесін теріс бағытта b бірлік кесіндіге жылжыту керек. Сонда А(а) нүктесі координатасы a-b –ға тең В нүктесіне ауысады. В(a-b);
1-мысал. -3 пен 5 сандарының қосындысын табайық. Шешуі: -3 санын координаталық түзу бойында кескіндейтін нүктені А әрпімен белгілейік. А(-3) нүктесін оң бағытта 5 бірлік кесіндіге жылжыту керек. Сонда қосындының мәнін кескіндейтін В(2) нүктесі алынады. Демек, -3+5=2
А О В
0 -3 2
2-мысал. 4 пен -7 сандарының қосындысын табайық. Шешуі: 4 санын координаталық түзу бойында кескіндейтін нүктені А әрпімен белгілейік. А(4) нүктесін теріс бағытта 5 бірлік кесіндіге жылжыту керек. Сонда қосындының мәнін кескіндейтін В(-3) нүктесі алынады. Демек,
А В 4+(-7) = - 3
О
0 -3 4
a санына b санын қосу үшін – а санын b бірлікке өзгерту болып табылады.
3-мысал. 5 пен -5 сандарының қосындысын табайық.
Ш В ешуі: 5 санын координаталық түзу бойында кескіндейтін нүктені В әрпімен белгілейік. В(5) нүктесін теріс бағытта 5 бірлік кесіндіге жылжыту керек. Сонда В(5) нүктесі санақ басы болаын О(0) нүктесімен беттеседі. Демек,5+(-5) =0
О
0 5
Қарама-қарсы сандардың қосындысы 0-ге тең, a+(-a)=0.
Кез келген санға нөлді
қосқаннан кейін сан өзгермейді. a
+ 0 -2 4
О +0 +0 |
Сұрақтарға жауап береді Тақырып бойынша ресурстарды қарап, танысады |
|
Презентация Слайд |
|
|
25 минут |
Бекіту тапсырмасы |
Тапсырма: Есептер шығару: №348.
1) О
0 2 ?
2) О
0 5 ?
№349. Координаталық түзудің көмегімен қосындының мәнін табыңдар: 1) – 2 + 5; 3) – 5 + 6; 5) – 5 + 0; 2) – 3 + 7; 4) – 4 + 4; 6) – 2 + 6.
№350. Координаталық түзудің көмегімен айырманың мәнін табыңдар: 1) 3 – 5; 3) 4 – 5; 5) – 2 – 4; 2) 2 – 4; 4) – 1 – 4; 6) 3 – 3. Өз бетімен жұмыс. Координаталық түзудің көмегімен рационал сандарды қосу. 1) Түзу бойында екі натурал
сан белгіленген. Ол санның біреуі в әрпімен белгіленген. Екінші сан
b санынан кейін алынған, b+1 өрнегінің мәніне тең. Осы түзудің
бойынан 1) b+4; 2) 2) Түзу бойынан екі натурал
сан алынған. Ол санның біреуі m әрпімен белгіленген. Екінші сан m
санынан кейін алынған, m+1 өрнегінің мәніне тең. Осы түзудің
бойынан 1) |
|
. Дескриптор: Тақырыпқа қатысты есептер шығарады, талдайды. Координаталық түзудің көмегімен қосады. Дескриптор: Мәтіндегі негізгі ойды анықтайды |
Оқулық |
|
|
|
Жеке жұмыс |
№1. Есепті координаталық түзудің көмегімен шығарыңдар. Таңертең ауаның температурасы 2°С, ал кешке қарай өзгеріп, - 4°С болды. Күні бойы ауаның темпетурасы неше градусқа өзгерді?
№2. І О зделінді нүктенің координатасын тап.
0 -1 ?
|
Тапсырманы орындайды |
Мониторинг |
|
|
|
5 минут |
|
Бүгінгі сабақта:
Кері байланыс.
Үйге тапсырма. №351, №352
|
Тақырыпты меңгергенін анықтау |
Кері байланыс. |
Презентация |
|
Сабақ жоспары
Бекітемін:
|
Мұғалімнің аты-жөні: |
|
|||||||||||
|
Пән/Сынып: |
6 сынып Қатысқандар саны: Қатыспағандар саны: |
|||||||||||
|
Күні: |
|
|||||||||||
|
Тарау немесе бөлім атауы: |
6.1В Рационал сандар және оларға амалдар қолдану |
|||||||||||
|
Сабақтың тақырыбы: |
Рационал сандарды координаталық түзудің көмегімен қосу |
|||||||||||
|
Оқу бағдарламасына сәйкес оқыту мақсаттары: |
6.1.2.10 бүтін сандарды координаталық түзу көмегімен қосу және азайтуды орындау |
|||||||||||
|
Сабақтың мақсаты: |
|
|||||||||||
|
Сабақ барысы: |
||||||||||||
|
Уақыты |
Кезең дері |
Педагогтің әрекеті |
Оқушының әрекеті |
Бағалау |
Ресурстар |
|||||||
|
5 минут |
Ұйымдастыру |
Сәлеметсіздерме! Бүгін, Рационал сандарды координаталық түзудің көмегімен қосу тақырыбын қарастырамыз Бүгінгі сабақта меңгеретініңіз: бүтін сандарды координаталық түзу көмегімен қосу және азайтуды орындау;
|
Амандасады. Үй жұмысын айтады. Алған білімдерін жүйелеу. Таңертең ауаның температурасы -30С болды, ал түсте 80Сқа көтерiлдi. Түсте термометр қанша градусты берiп тұр? Түсте ауаның температурасы +30С болды, ал кешке 5С төмендедi. термометр қанша градусты берiп тұр? |
Ынталандыру сөздерін қолдану «жақсы», «жарайсың», «өте жақсы» |
Оқулық |
|||||||
|
10 мин |
Жаңа сабақ |
Анықтама Координаталық түзудің көмегімен a және b рационал сандарының қосындысын табу үшін:
Сонда А (а) нүктесі координатасы a-b-ға тең В нүктесіне ауысады. В (a-b); Екі қарама-қарсы рационал сандардың қосындысының мәні 0-ге тең. а+(-а)=(-а)+а=0 Рационал сан мен нөлдің қосындысының мәні нөл мен рационал санның қосындысының мәніне, яғни сол санның өзіне тең. Кез келген а рационал саны үшін а+0=0+а=а теңдігі ақиқат болады. |
Сұрақтарға жауап береді Тақырып бойынша ресурстарды қарап, танысады Тапсырма. Координаталық түзудiң көмегiмен қосындының және азайтудың мәнiн табыңдар: 1) – 2 + 5; 6) – 2 + 6. 2) -3 + 5; 7) – 5 + 6; 3) – 3 + 4; 8) - 4 + 5; 4) – 5 - 6 ; 9) -4+0 5) -9+0 10) – 3 + 3; |
|
Презентация Слайд |
|||||||
|
25 минут |
Бекіту тапсырмасы |
Тапсырма: А-деңгей №1.1) -6+2=-4 2) -3+8=5 3) -7+5=-2 4) -5+(-1)=-6 В-деңгей №2. 1) 5-9+3=-1 2) -6+11-8=-3 3) -4+10-14=-8 4) 3-8+12=7 5) 4-10+14=8 6) -3+8-12=-7 7) -2-5+12=5 8) -1-4+13=8 С-деңгей №361. 2.37 суретте нүктенiң кординаталық түзу бойымен жылжу схема түрiнде берiлген. Нүктенiң координаталық түзу бойымен жылжуының санды өрнегiн жазыңдар. Санды өрнектiң мәнiн табыңдар.
Оқулықтан №357, №360.
|
Жеке жұмыс. Тапсырмалар: 1.Таңертең ауаның температурасы -1ºС болды. Кешке дейiн ауаның температурасы 6 ºС –қа өзгердi.кешке термометр неше градуст көрсетiп отыр А) -5 ºС В) 7 ºС С) 5 ºС 2. Координаталық түзудiң көмегiмен айырманың мәнiн табыңдар: -2- 4= А) 2 В) -6 С) 6 3. Кез- келген санға нөлдi қосқанда сан... А) 0-ге тең болады В) сан өзгередi С) сан өзгермейдi 4. Қарама-қарсы сандардың қосындысы неге тең ? А) оң болады В) терiс болады С) 0 5.Күндiз ауаның температура +5ºС болды. Кешке термометр 0ºС ты көрсеттi. Термометр қай бағытта , қанша бiрлiк жылжыды ? А) оң бағытта 5 бiрлiк В) сол бағытта 5 бiрлiк С) оң бағытта 4бiрлiк |
. Дескриптор: Тақырыпқа қатысты есептер шығарады, талдайды. -Таңбалар ережесін пайдаланып, орындайды. Мәтіндегі негізгі ойды анықтайды |
Интернет ресурстары Слайд Оқулық |
|||||||
|
|
Жеке оқушымен жұмыс |
№1. 1) -12+20-26= 2) 6-18+24= 3) 9-23+18= 4) -12+26-19= №2. 1) -3+7= 2) -4+4= 3) -2+8= |
Карточкамен берілген тапсырманы орындайды |
Дескриптор: -Таңбалар ережесін пайдаланып, орындайды |
|
|||||||
|
5 минут |
|
Бүгінгі сабақта:
Қорытынды.Тақырыптық сұрақтар беру.
Рефлексия.
Үйге тапсырма. №356, №362
|
Тақырыпты меңгергенін анықтау |
Кері байланыс |
Презентация |
|||||||
Сабақ жоспары
Бекітемін:
|
Мұғалімнің аты-жөні: |
|
|||||||||||||||||||||||
|
Пән/Сынып: |
6 сынып Қатысқандар саны: Қатыспағандар саны: |
|||||||||||||||||||||||
|
Күні: |
|
|||||||||||||||||||||||
|
Тарау немесе бөлім атауы: |
6.1В Рационал сандар және оларға амалдар қолдану |
|||||||||||||||||||||||
|
Сабақтың тақырыбы: |
Теріс рационал сандарды қосу |
|||||||||||||||||||||||
|
Оқу бағдарламасына сәйкес оқыту мақсаттары: |
6.1.2.13 таңбалары бірдей, таңбалары әртүрлі рационал сандарды қосуды орындау; |
|||||||||||||||||||||||
|
Сабақтың мақсаты: |
|
|||||||||||||||||||||||
|
Сабақ барысы: |
||||||||||||||||||||||||
|
Уақыты |
Кезең дері |
Педагогтің әрекеті |
Оқушының әрекеті |
Бағалау |
Ресурстар |
|||||||||||||||||||
|
5 минут |
Ұйымдастыру |
Сәлеметсіздерме! Бүгін, Теріс рационал сандарды қосу тақырыбын қарастырамыз Бүгінгі сабақта меңгеретініңіз: -таңбалары бірдей, таңбалары әртүрлі рационал сандарды қосуды орындау; |
Амандасады. Үй жұмысын айтады. |
Ынталандыру сөздерін қолдану «жақсы», «жарайсың», «өте жақсы» |
Оқулық |
|||||||||||||||||||
|
10 мин |
Жаңа сабақ |
Алған білімдерін жүйелеу. Зерттеу тапсырмасы Мына сурет бойынша есеп құрастырыңыз:
Бір, екі оқушының пікірін тыңдау, талқылау, қорытындылау. Жаңа сабақ Түсте ауаның температурасы -30С болды, ал кешке -40С- қа өзгерді (40С төмендеді). Кешке ауаның температурасы неше градус болды? Кешкі ауаның температурасын табу үшін (-3) санына (-4) санын қосу керек. (-3) + (-4) = -7. Бірінші қосылғышты әдетте жақшасыз жазады: -3 + (-4) = -7. Демек, кешкі ауаның температурасы -70С-қа тең. Есіңе сақта! Екі теріс санды қосу үшін:
|
Сұрақтарға жауап береді Тақырып бойынша ресурстарды қарап, танысады Мысал: -8 + (-11) = -(8+11)= -19.
Жақша ашу ережесі 1 : -(-(-(-)))=+ 2 : -(-(-(-(-))))=- 3 : -(-(-(-(-(-)))))=+ |
«Басбармақ» әдісімен бағалайды. |
Презентация Слайд |
|||||||||||||||||||
|
25 минут |
Бекіту тапсырмасы |
Ұжымдық тапсырмалар: №1. Есептеңіз: -6 + (-9) = - 15; -1,5 + (-5) = -6,5; -2 + (-3,7) = - 5,7; -3,1 + (-1,5) = -4,6; -32 + (-32) = - 64. №2. Бос орынды толықтырыңыз: -14 + … = - 37; -4,8 + … = - 8,6; -2,13 + … = - 17; -3,8 + … = - 4,08; -51,22 + … = - 60,1. №3.
Жауабы: №4. Қосуды орындаңдар, сәйкестендір
|
Өз бетімен жұмыс. Графикалық диктант иә, жоқ
Оқулықтан №367, №368. |
Дескриптор: Тақырыпқа қатысты есептер шығарады, талдайды. -Таңбалар ережесін пайдаланып, орындайды. |
Интернет ресурстары Слайд Оқулық |
|||||||||||||||||||
|
|
Жеке оқушымен жұмыс |
№1.
|
Карточкамен берілген тапсырманы орындайды |
Дескриптор: -Таңбалар ережесін пайдаланып, орындайды.
«Екі жұлдыз, бір ұсыныс» |
|
|||||||||||||||||||
|
5 минут |
|
Бүгінгі сабақта: -Теріс сандарды қосу алгоритмін білді -Теріс сандарды қосу ережесін есеп шығаруда қолдануға үйренді Рефлексия.
Үйге тапсырма. №366, №369.
|
Тақырыпты меңгергенін анықтау |
Кері байланыс |
Презентация |
|||||||||||||||||||
Сабақ жоспары
Бекітемін:
|
Мұғалімнің аты-жөні: |
|
|||||||||||||||||||||||
|
Пән/Сынып: |
6 сынып Қатысқандар саны: Қатыспағандар саны: |
|||||||||||||||||||||||
|
Күні: |
|
|||||||||||||||||||||||
|
Тарау немесе бөлім атауы: |
6.1В Рационал сандар және оларға амалдар қолдану |
|||||||||||||||||||||||
|
Сабақтың тақырыбы: |
Теріс рационал сандарды қосу |
|||||||||||||||||||||||
|
Оқу бағдарламасына сәйкес оқыту мақсаттары: |
6.1.2.13 таңбалары бірдей, таңбалары әртүрлі рационал сандарды қосуды орындау; |
|||||||||||||||||||||||
|
Сабақтың мақсаты: |
-Рационал сандарды қосу ережелерін білу, амалдарды орындау алгоритмін білу -Рационал сандардың қосу қасиеттерін білу. Координаталық түзуде сәуледе аралас сандарды орналастырады |
|||||||||||||||||||||||
|
Сабақ барысы: |
||||||||||||||||||||||||
|
Уақыты |
Кезең дері |
Педагогтің әрекеті |
Оқушының әрекеті |
Бағалау |
Ресурстар |
|||||||||||||||||||
|
5 минут |
Ұйым дастыру |
Сәлеметсіздерме! Бүгін, Теріс рационал сандарды қосу тақырыбын қарастырамыз Бүгінгі сабақта меңгеретініңіз: -Теріс сандарды қосу алгоритмін біледі -Теріс сандарды қосу ережесін есеп шығаруда қолдануға үйренеді |
Амандасады. Үй жұмысын айтады. |
Ынталандыру сөздерін қолдану «жақсы», «жарайсың», «өте жақсы» |
Оқулық |
|||||||||||||||||||
|
5 мин |
Жаңа сабақты бекіту |
Сұрақтарға жауап беру
|
Сұрақтарға жауап береді Тақырып бойынша ресурстарды қарап, танысады Жақша ашу ережесі 1 : -(-(-(-)))=+ 2 : -(-(-(-(-))))=- 3 : -(-(-(-(-(-)))))=+ |
|
Карточка |
|||||||||||||||||||
|
30 минут |
Бекіту тапсырмасы |
Тапсырма:
|
Өз бетімен жұмыс. Тест жұмысы: 1. Қосуды
орында:-11,6+(-4,8) Жеке жұмыс. Оқулықтан №372, №376, №377 |
Дескриптор: Тақырыпқа қатысты есептер шығарады, талдайды. -Таңбалар ережесін пайдаланып, теңдеулерді шешеді.
Дескриптор: -Теріс сандарды қосу ережесін қолданып, тест жауаптарын табады. |
Слайд |
|||||||||||||||||||
|
|
Жеке оқушы мен жұмыс. |
Хайролла Т. 1 тапсырма. Кестені толтырыңдар
|
Тапсырманы орындайды |
Мониторинг |
|
|||||||||||||||||||
|
5 минут |
|
Бүгінгі сабақта: -Теріс сандарды қосу алгоритмін білді -Теріс сандарды қосу ережесін есеп шығаруда қолдануға үйренді Рефлексия Бүгінгі сабақтағы өз жұмысыңды төмендегі жауаптардың біреуін таңдау арқылы бағалаңыз. Сабақтың күрделілігін бағала. Сізге сабақ... -жеңіл -қарапайым -қиын Материалды меңгеру дәрежеңізді бағалаңыз: - толық меңгердім - бүгінгі сабақты жартылай түсіндім - бүгінгі сабақты түсінбедім
|
Тақырыпты меңгергенін анықтау Үйге тапсырма. №378, №379 |
Кері байланыс |
|
|||||||||||||||||||
Сабақ жоспары
Бекітемін:
|
Мұғалімнің аты-жөні: |
|
|||||||||||||||||||
|
Пән/Сынып: |
6 сынып Қатысқандар саны: Қатыспағандар саны: |
|||||||||||||||||||
|
Күні: |
|
|||||||||||||||||||
|
Тарау немесе бөлім атауы: |
6.1В Рационал сандар және оларға амалдар қолдану |
|||||||||||||||||||
|
Сабақтың тақырыбы: |
Таңбалары әртүрлі рационал сандарды қосу |
|||||||||||||||||||
|
Оқу бағдарламасына сәйкес оқыту мақсаттары: |
6.1.2.13 таңбалары бірдей, таңбалары әртүрлі рационал сандарды қосуды орындау; |
|||||||||||||||||||
|
Сабақтың мақсаты: |
Қосылғыштарды алгебралық түрінде жаза біледі. |
|||||||||||||||||||
|
Сабақ барысы: |
||||||||||||||||||||
|
Уақыты |
Кезең дері |
Педагогтің әрекеті |
Оқушының әрекеті |
Бағалау |
Ресурстар |
|||||||||||||||
|
3 минут |
Ұйым дастыру |
Сәлеметсіздерме! Бүгін, Таңбалары әртүрлі рационал сандарды қосу тақырыбын қарастырамыз Бүгінгі сабақта меңгеретініңіз: -Таңбалары әр түрлі рационал сандарды қосу алгоритмін біледі - Таңбалары әр түрлі рационал сандарды қосу ережесін есеп шығаруда қолдануға үйренеді |
Амандасады. Үй жұмысын айтады. |
Ынталандыру сөздерін қолдану «жақсы», «жарайсың», «өте жақсы» |
Оқулық. |
|||||||||||||||
|
5 мин |
Жаңа сабақ |
Сұрақтарға жауап беру 1Екі теріс санның қосындысы неге тең?(теріс сан) 2Қарама қарсы санның қосындысы неге тең? ( о ) 3.Қандай сандар 0 ден үлкен? (кез келген оң сан) 4. Қандай сандар 0ден кіші? ( оң сандар ) 5.Теріс санға қарама-қарсы сан қандай сан? (оң сан) 6.Теріс санның модулі неге тең?(оған қарама-қарсы санға) 7. Оң санның модулі неге нең?(сол санның өзіне тең) Жақша ашу ережесі 1 : -(-(-(-)))=+ 2 : -(-(-(-(-))))=- 3 : -(-(-(-(-(-)))))=+ Жаңа сабақ. Видео сабақ ұсынады Оқушылар. видео сабақ көріп тұжырымдайды. Оқушыларға сәйкестендіру тест ережесін түсіндіреді. Оқушылардың мұндағы мақсаты берілген тапсырманы сәйкестендіріп дұрыс жауабын көрсетеді. 1 2 3 4 |
Сұрақтарға жауап береді Тақырып бойынша ресурстарды қарап, танысады |
|
Презентация |
|||||||||||||||
|
10 минут |
Бекіту тапсырмасы |
Тапсырма: №1. 1) -2) -
№2. a+b өрнегінің мәнін табыңдар, мұндағы
1)a=6; b=-15;6+(- 15 ) = -
9:2) a=7,6;b=-5,3; 7,6+(- 5,3)==2,3: 3) a=
-
№3. Теңдеудің түбірін ойлап табыңдар.Дұрыстығын тексер. 1) -7+X=132) X+(-9) =-43) X+(-15)=104) X+35= 10 X= 20 X= 5 X= 25 X= -25 20 + 5 + 25 + ( - 25 ) = 25 №4. Температураның өзгерісі бойынша кестені толтырыңдар:
№5.Жұлдызшаларды тиісті «+» немесе «-» таңбасымен ауыстырыңдар: 1)*8,4+(*5,9)=-2,5;2)
*3,2+(*9)=-5,8;3) *5 7,3;6)
*2 7) (-15)+(*8)=- 23;8) (-3,25)+(*0,75)=- 4; Жеке жұмыс.
Оқулықтан №393, №394 |
|
Дескриптор: Тақырыпқа қатысты есептер шығарады, талдайды Дескриптор: Мәтіндегі негізгі ойды анықтайды -Жұлдызша ның орнына тиісті таңбаларды қояды. |
Интернет ресурстары Оқулық |
|||||||||||||||
|
25мин |
Жеке жұмыс |
ББЖБ №2 |
Тапсырманы орындайды |
Мониторинг |
|
|||||||||||||||
|
2 минут |
|
Бүгінгі сабақта: - Таңбалары әр түрлі рационал сандарды қосу алгоритмін білді; - Таңбалары әр түрлі рационал сандарды қосу ережесін есеп шығаруда қолдануға үйренді. Рефлексия Бас бармақ – «Түсіне білдім»Сұқ саусақ –«тақырыпқа сай нақты нұсқаулар берілді»Ортан терек - Ұнамады»Шылдыр шүмек –Түсіну қиын болды»Кішкентай бөбек – «мүлдем түсінбедім»
Үйге тапсырма. №395, №396. |
Тақырыпты меңгергенін анықтау |
Кері байланыс |
Презентация |
|||||||||||||||
Сабақ жоспары
Бекітемін:
|
Мұғалімнің аты-жөні: |
|
|||||
|
Пән/Сынып: |
6 сынып Қатысқандар саны: Қатыспағандар саны: |
|||||
|
Күні: |
|
|||||
|
Тарау немесе бөлім атауы: |
6.1В Рационал сандар және оларға амалдар қолдану |
|||||
|
Сабақтың тақырыбы: |
Таңбалары әртүрлі рационал сандарды қосу |
|||||
|
Оқу бағдарламасына сәйкес оқыту мақсаттары: |
6.1.2.13 таңбалары бірдей, таңбалары әртүрлі рационал сандарды қосуды орындау; |
|||||
|
Сабақтың мақсаты: |
Қосылғыштарды алгебралық түрінде жаза біледі. |
|||||
|
Сабақ барысы: |
||||||
|
Уақыты |
Кезең дері |
Педагогтің әрекеті |
Оқушының әрекеті |
Бағалау |
Ресурстар |
|
|
5 минут |
Ұйым дастыру |
Сәлеметсіздерме! Бүгін, Таңбалары әртүрлі рационал сандарды қосу тақырыбын қарастырамыз Бүгінгі сабақта меңгеретініңіз: -Таңбалары әр түрлі рационал сандарды қосу алгоритмін біледі - Таңбалары әр түрлі рационал сандарды қосу ережесін есеп шығаруда қолдануға үйренеді |
Амандасады. Үй жұмысын айтады. |
Ынталандыру сөздерін қолдану «жақсы», «жарайсың», «өте жақсы» |
Оқулық |
|
|
10 мин |
Жаңа сабақты бекіту. |
«Қарыз», «ыстық», «кіріс»,«пайда», «шығын» сөзін оң, теріс сандармен алмастырып, таңбалары әр түрлі сандарды қосу ережесін қорытып шығарады
1)«қарыз + пайда =
?» 2)Таңбалары бірдей сандар қалай қосылады? 3)Қарама-қарсы сандардың қосындысы туралы не айтуға болады? 4)Таңбалары әртүрлі сандарды қосу ережесін тұжырымда? Жақша ашу ережесі 1 : -(-(-(-)))=+ 2 : -(-(-(-(-))))=- 3 : -(-(-(-(-(-)))))=+ |
Сұрақтарға жауап береді Тақырып бойынша ресурстарды қарап, танысады №1. Ауызша есептер:
|
Дескриптор: -Таңбалар ережесін қолданады. |
Презентация Слайд |
|
|
25 минут |
Бекіту тапсырмасы |
Тапсырма: №2. Қосуды орында.
Көмек: Есептің берілгеніне, таңбасына мұқият көңіл бөл; №3. Өрнектің мәнін табыңдар: ә) 47,5-9,403-5,46+0,027 б)
№4: Теңдеуді шешіңдер: А) (-х-6,3)-(-3,9)=2,8 Ә)
№6. Жұлдызшалардың орнына теңдік орындалатындай санды жазындар:
Жеке жұмыс. Оқулықтан №397, №402 /мәтінді есеп/ |
Өз бетімен жұмыс. №5 Салыстырындар: А) -15+(-78) және –(15+78) Б) –(8+(-6)) және –(8+6) Г) –(-(-0,7+(- 1,3))) және 0,7+1,3 |
Дескриптор: -Сәйкестендіру тест орындайды. Тақырыпқа қатысты есептер шығарады, талдай Дескриптор: -Таңбалар ережесін қолданады -Жұлдызшаның орнына теңдік орындалатын дай санды қояды. Дескриптор: Мәтіндегі негізгі ойды анықтайды |
Слайд |
|
|
|
Жеке оқушымен жұмыс |
№1.Сәйкес жауаптармен қос: 1. -2,3 – 0,7 1,5 2. -8-(-9,5) -5 3. 3,85-5,3 10 4. -32-(-42) -3 5. 10,5-(-9,5) -1,45 6. -1,9-3,1 20 |
Тапсырманы орындайды |
|
|
|
|
5 минут |
|
Бүгінгі сабақта: - Таңбалары әр түрлі рационал сандарды қосу алгоритмін білді; - Таңбалары әр түрлі рационал сандарды қосу ережесін есеп шығаруда қолдануға үйренді. Рефлексия Бас бармақ» әдісі арқылы тақырыпты қорытындылау. Басбармақ жоғарыға қарай = Мен түсінемін. Басбармақ көлденең = Мен түсінгендеймін. Басбармақ төмен қарай = Мен түсінбедім. Үйге тапсырма. №398, №400
|
Тақырыпты меңгергенін анықтау |
|
Презентация |
|
Сабақ жоспары
Бекітемін:
|
Мұғалімнің аты-жөні: |
|
|||||
|
Пән/Сынып: |
6 сынып Қатысқандар саны: Қатыспағандар саны: |
|||||
|
Күні: |
|
|||||
|
Тарау немесе бөлім атауы: |
6.1В Рационал сандар және оларға амалдар қолдану |
|||||
|
Сабақтың тақырыбы: |
Рационал сандарды қосудың қасиеттері |
|||||
|
Оқу бағдарламасына сәйкес оқыту мақсаттары: |
6.1.2.13 таңбалары бірдей, таңбалары әртүрлі рационал сандарды қосуды орындау; |
|||||
|
Сабақтың мақсаты: |
-Рационал сандарды қосып, қосындыны табуда ауыстырымдылық, терімділік қасиеттерін біледі. -Рационал сандарды қосу ережелерін әр түрлі есептерде пайдаланады. |
|||||
|
Сабақ барысы: |
||||||
|
Уақыты |
Кезең дері |
Педагогтің әрекеті |
Оқушының әрекеті |
Бағалау |
Ресурстар |
|
|
5 минут |
Ұйым дастыру |
Сәлеметсіздерме! Бүгін, Рационал сандарды қосудың қасиеттері тақырыбын қарастырамыз Бүгінгі сабақта меңгеретініңіз: -Рационал сандарды қосып, қосындыны табуда ауыстырымдылық, терімділік қасиеттерін біледі. -Рационал сандарды қосу ережелерін әр түрлі есептерде пайдаланады. |
Амандасады. Үй жұмысын айтады. |
Ынталандыру сөздерін қолдану «жақсы», «жарайсың», «өте жақсы» |
Оқулық |
|
|
10 мин |
Жаңа сабақ. |
Сұрақтарға жауап беру
Рационал сандардың қосудың қандай қасиеттері бар. Жаңа тақырыпты натурал сандарға қолданылатын қасиеттер арқылы түсіндіру. Мысал келтіру Қосу амалының ауыстырымдылық және терімділік қасиеттері рационал сандарды қосуда да орындалады. 1.а+в==в+а қосудың ауыстырымдылық қасиеті 2.(а+в)+с=а+(в+с) қосудың терімділік қасиеті а, в, с — рационал сандар 3. а+0=а екі қосылғыштың біреуі 0 болса, қосынды екінші қосылғышқа тең. Мысалы: -9+(-13)=-22 -13+(-9)=-22 -7+(-1,6))+(-0,4)=-8,6+(-0,4)=-9 -8+0=-8 немесе 0+(-8)=-8 |
Сұрақтарға жауап береді Тақырып бойынша ресурстарды қарап, танысады |
|
Презентация Слайд |
|
|
25 минут |
Бекіту тапсырмасы |
Тапсырма: 1-деңгей . (Дидактикалық материалдар есебі) №1 а) -267+(-415) Б) -0,26+(-0,74) №2 а) -12,64+53,24 Б) (-53)+53 +(-24) №3 терімділік қасиетін пайдаланып есепте -17,8+9,9+17,8+2,1 2-деңгей. Оқулықпен жұмыс 128 бет. №419 3-деңгей. Теңдеуді шешу
Өз бетімен жұмыс. Оқулықтан № 414, №417 |
|
Дескриптор: -Таңбалар ережесін қолданады. Дескриптор: Тақырыпқа қатысты есептер шығарады, талдайды Дескриптор: -Таңбалар ережесін қолданады Мәтіндегі негізгі ойды анықтайды |
Слайд |
|
|
|
Жеке жұмыс |
Оқулықтан №415. |
Тапсырманы орындайды |
|
|
|
|
5 минут |
|
Бүгінгі сабақта: 1. Қандай өрнек алгебралық қосынды деп аталады? 2. Қосудың ауыстырмдылық қасиетінің тұжырымдамасын айтыңдар 3. Қосудың терімділік қасиеті әріптермен қалай жазылады? Рефлексия Бас бармақ» әдісі арқылы тақырыпты қорытындылау. Басбармақ жоғарыға қарай = Мен түсінемін. Басбармақ көлденең = Мен түсінгендеймін. Басбармақ төмен қарай = Мен түсінбедім.
|
Тақырыпты меңгергенін анықтау |
|
Презентация |
|
жүктеу мүмкіндігіне ие боласыз
Бұл материал сайт қолданушысы жариялаған. Материалдың ішінде жазылған барлық ақпаратқа жауапкершілікті жариялаған қолданушы жауап береді. Ұстаз тілегі тек ақпаратты таратуға қолдау көрсетеді. Егер материал сіздің авторлық құқығыңызды бұзған болса немесе басқа да себептермен сайттан өшіру керек деп ойласаңыз осында жазыңыз
6сынып қмж алгебра
6сынып қмж алгебра
Қысқа мерзімді (сабақ) жоспары
Сабақтың тақырыбы: Натурал сандардың бөлінгіштігі (5 сыныпты қайталау)
|
Бөлім: |
5 сыныпта өтілген материалды қайталау |
||||||||||||||||||||||||||||||||||||||||||||||||||||||||||||
|
Педагогтің аты-жөні: |
|
||||||||||||||||||||||||||||||||||||||||||||||||||||||||||||
|
Күні: |
|
||||||||||||||||||||||||||||||||||||||||||||||||||||||||||||
|
Пән/Сынып: 6 |
Қатысқандар саны: Қатыспагандар саны: |
||||||||||||||||||||||||||||||||||||||||||||||||||||||||||||
|
Сабақтың тақырыбы: |
Натурал сандардың бөлінгіштігі |
||||||||||||||||||||||||||||||||||||||||||||||||||||||||||||
|
Оқу бағдарламасына сәйкес оқыту мақсаттары: |
5.1.2.5 натурал сандардың 2-ге, 5-ке, 10-ға бөлінгіштік белгілерін қолдану; |
||||||||||||||||||||||||||||||||||||||||||||||||||||||||||||
|
Сабақтың мақсаты: |
Натурал сандардың бөлінгіштік белгілерінің анықтамаларын естеріне түсіреді, олардың қасиеттерін есептер шығаруда қолдана біледі. |
||||||||||||||||||||||||||||||||||||||||||||||||||||||||||||
|
Сабақ барысы: |
|||||||||||||||||||||||||||||||||||||||||||||||||||||||||||||
|
Уақыты |
Кезең дері |
Педагогтің әрекеті |
Оқушының әрекеті |
Бағалау |
Ресурстар |
||||||||||||||||||||||||||||||||||||||||||||||||||||||||
|
5 минут |
Ұйым дастыру |
Сәлеметсіздерме! Оқушылармен амандасу, түгендеу, сабаққа дайындықтарын тексеру. Бүгін, Натурал сандардың бөлінгіштігі тақырыптарын қарастырамыз Бүгінгі сабақта меңгеретініңіз: Натурал санның бөлгіші мен еселігі анықтамаларын білу, натурал сандардың 2-ге, 5-ке, 10-ға бөлінгіштік белгілерін қолдану;
|
Сәлемдесу Үй тапсырмасын тексерту Сұрақтарға жауап беру |
Ынталандыру сөздерін қолдану «жақсы», «жарайсың», «өте жақсы» |
6 сынып оқулығы. 1-бөлім. |
||||||||||||||||||||||||||||||||||||||||||||||||||||||||
|
10 мин |
Жаңа сабақ |
Білу. Қораптың ішінде берілген сұрақтарға жауап сұрау( өткен сабаққа байланысты сұрақтар берілген). 2-ге бөлінгіштік қасиетін айт; 5-ке бөлінгіштік қасиетін айт;10-га бөлінгіштік қасиетін айт; 9-га бөлінгіштік қасиетін айт Түсіну. Венн диаграммасын құру. Жұп сандар мен тақ сандардың, жай сандар мен құрама сандардың, ЕҮОБ пен ЕКОЕ-дің ұқсастықтары мен ерекшеліктерін шеңберлерге жазу. Ортасына олардың ортақ қасиеттерін жазу. І топқа: «Жұп сандар мен тақ сандар» ІІ топқа: «Жай сандар мен құрама сандар» ІІІ топқа:«ЕҮОБ пен ЕКОЕ» |
Сұрақтарға жауап береді • 2 санына бөлінгіштік белгісі: натурал сан 0; 2; 4; 6; 8 цифрларымен аяқталғанда ғана 2-ге бөлінеді |
|
Презентация Тақта Бор Кітап Дәптер Интерактивті тақта Слайд |
||||||||||||||||||||||||||||||||||||||||||||||||||||||||
|
25 минут |
Бекіту тапсырмасы |
Талдау. Семантикалық карточкамен жұмыс. Берілген сандар бойынша карточканы толтыру. колдану. . А деңгейі: №1,№3 |
Семантикалық карточкамен жұмыс жасайды. Берілген сандар бойынша карточканы + қою арқылы толтырады . |
.дескриптор: -2-ге Бөлінгіштік белгілерін біледі; -3-ке Бөлінгіштік белгілерін біледі; -5ке Бөлінгіштік белгілерін біледі; -10-ға Бөлінгіштік белгілерін біледі |
Тақта Бор Кітап Дәптер Интерактивті тақта Презентация Слайд 7-8 |
||||||||||||||||||||||||||||||||||||||||||||||||||||||||
|
|
Жеке жұмыс |
Тапсырманы орындау тәртібін түсіндіреді
10-ға бөлінетін сандарды таңдаңыз.
|
Оқушылар жеке Тапсырманы орындайды «Бөлінгіштік қасиеті» 2-ге бөлінетін сандарды таңдаңыз.
5-ке бөлінетін сандарды таңдаңыз.
|
ҚБ «Қол шапалақтау» әдісі арқылы бағаланады және
дескриптор: -2-ге Бөлінгіштік белгілерін біледі; -3-ке Бөлінгіштік белгілерін біледі; -5ке Бөлінгіштік белгілерін біледі; -10-ға Бөлінгіштік белгілерін біледі
|
Тақта Бор Кітап Дәптер Интерактивті тақта Презентация |
||||||||||||||||||||||||||||||||||||||||||||||||||||||||
|
5 минут |
|
Бүгінгі сабақта: Натурал сандардың бөлінгіштік белгілерінің анықтамаларын естеріне түсіреді, олардың қасиеттерін есептер шығаруда қолдана біледі. Жинақтау. «Күн салу». Оқушыларға натурал сандардың бөлінгіштігінің қасиеттері жазылған қағаз қиындыларын тарату.
Шуақтарына «2-ге, 5-ке, 3-ке, 10-ға және 9-ға бөлінгіштік белгілер, ЕҮОБ, ЕКОЕ, Жай көбейткіштерге жіктеу, Әріпті өрнектер, санды өрнектер, қосынды, жай сандар, құрама сандар»
«Таңдау» әдісін қолдану. Оқушыларға смайликтер тарату. Үйге тапсырма. №4,№5. |
Тақырыпты меңгергенін анықтау Тақырыпты меңгергенін анықтау Оқушылар келесі сөйлемдерді толықтырады: • Мен білдім … • Қызықты болды… • Қиындық тудырды… •Мен тапсырманы орындадым… • Мен енді… • Сабақтан мен не алдым… |
Презентация |
|||||||||||||||||||||||||||||||||||||||||||||||||||||||||
Қысқа мерзімді (сабақ) жоспары
Сабақтың тақырыбы: Жай бөлшектер мен ондық бөлшектерге амалдар қолдану (5 сыныпты қайталау)
|
Бөлім: |
5 сынып қайталау |
||||||
|
Мұғалімнің аты-жөні: |
|
||||||
|
Пән/Сынып: |
6 сынып Қатысқандар саны: Қатыспағандар саны: |
||||||
|
Күні: |
|
||||||
|
Сабақтың тақырыбы: |
Жай бөлшектер мен ондық бөлшектерге амалдар қолдану |
||||||
|
Оқу бағдарламасына сәйкес оқыту мақсаты: |
5.1.2.14 жай бөлшектерді қысқартуда бөлшектің негізгі қасиетін қолдану; 5.1.2.15 жай бөлшекті жаңа бөлімге келтіру; |
||||||
|
Сабақтың мақсаты. |
жай бөлшектерді, аралас сандарды салыстыру; ондық бөлшектерді қосу және азайтуды орындау |
||||||
|
Сабақ барысы |
|||||||
|
Уақыты |
Кезең дері |
Педагогтің әрекеті |
Оқушының әрекеті |
Бағалау |
Ресурстар |
||
|
5 минут |
Ұйымдастыру |
Сәлеметсіздерме! Бүгін, Жай бөлшектер мен ондық бөлшектерге амалдар қолдану тақырыптарын қарастырамыз Бүгінгі сабақта меңгеретініңіз: жай бөлшектерді, аралас сандарды салыстыру; ондық бөлшектерді қосу және азайтуды орындау Оқушылармен амандасу, түгендеу, сабаққа дайындықтарын тексеру. 1.Ұйымдастыру. 2. Үй жұмысын тексеру |
Сәлемдесу Үй тапсырмасын тексерту |
Ынталандыру сөздерін қолдану «жақсы», «жарайсың», «өте жақсы» |
Тақта Бор Кітап Дәптер Интерактивті тақта Бағалау парақтары |
||
|
10мин |
Жаңа сабақ |
Қайталау сұрақтары 1.Жай бөлшектердің түрлері.( дұрыс,бұрыс, аралас) 2.Жай бөлшекті салыстыру. 3.Жай бөлшекті қосу және азайту. 4.Жай бөлшекті көбейту және бөлу. |
Сұрақтарға жауап береді Тақырып бойынша ресурстарды қарап, танысады |
Ынталандыру сөздерін қолдану «жақсы», «жарайсың», «өте жақсы» |
Презентация |
||
|
20 минут |
Бекіту тапсырмасы |
Тапсырмалар.
|
|
Ынталандыру сөздерін қолдану «жақсы», «жарайсың», «өте жақсы» Және де 10 Баллдық жүйе бойынша бағаланады |
Слайд 6 сынып оқулығы. 1-бөлім. Әбілқасымов А.Е., Кучер Т.П., Жұмағұлова З.Ә., 2018ж «Мектеп» баспасы Тақта Бор Кітап Дәптер Интерактивті тақта Бағалау парақтары |
||
|
5мин |
Жеке жұмыс |
Оқулықпен жұмыс. №20,33 |
Тапсырманы орындайды |
|
|
||
|
5 минут |
|
Бүгінгі сабақта: жай бөлшектерді, аралас сандарды салыстыру; ондық бөлшектерді қосу және азайтуды орындау; Рефлексия: «Табыс сатысы» әдісі арқылы әр оқушы берілген сөйлемдерді стикерге аяқтап жазып, сатының тұсына іледі. Сатының суреті, сатының; 1 - ші баспалдағы *Мен.............. БІЛЕМІН*, 2 - ші баспалдағы *Мен.................. ТҮСІНЕМІН*, 3 - ші баспалдағы *Мен............. ЖАСАЙ АЛАМЫН* Үйге тапсырма №21,24
|
Үй тапсырмасын алады Кері байланыс береді |
Жинаған баллдары бойынша дескриптор бойынша бағалау |
Презентация |
||
Қысқа мерзімді (сабақ) жоспары
Сабақтың тақырыбы: Жай бөлшектер мен ондық бөлшектерге амалдар қолдану
|
Бөлім: |
5 сыныпта өтілген материалды қайталау |
||||||
|
Педагогтің аты-жөні: |
|
||||||
|
Пән/Сынып: |
6 сынып Қатысқандар саны: қатыспағандар саны: |
||||||
|
Күні: |
|
||||||
|
Тарау немесе бөлім атауы: |
5 сыныпта өтілген материалды қайталау |
||||||
|
Сабақтың тақырыбы: |
Жай бөлшектер мен ондық бөлшектерге амалдар қолдану |
||||||
|
Оқу бағдарламасына сәйкес оқыту мақсаттары: |
жай бөлшектерді, аралас сандарды салыстыру; ондық бөлшектерді қосу және азайтуды орындау; |
||||||
|
Сабақтың мақсаты: |
жай бөлшектерді, аралас сандарды салыстыру; ондық бөлшектерді қосу және азайтуды орындау |
||||||
|
Сабақ барысы: |
|||||||
|
Уақыты |
Кезең дері |
Педагогтің әрекеті |
Оқушының әрекеті |
Бағалау |
Ресурстар |
||
|
5 минут |
Ұйымдастыру |
Сәлеметсіздерме! Бүгін, Жай бөлшектер мен ондық бөлшектерге амалдар қолдану тақырыптарын қарастырамыз Бүгінгі сабақта меңгеретініңіз: жай бөлшектерді, аралас сандарды салыстыру; ондық бөлшектерді қосу және азайтуды орындау Оқушылармен амандасу, түгендеу, сабаққа дайындықтарын тексеру. 1.Ұйымдастыру. 2. Үй жұмысын тексеру 3. Қайталау сұрақтары 1.Жай бөлшектердің түрлері.( дұрыс,бұрыс, аралас) 2.Жай бөлшекті салыстыру. 3.Жай бөлшекті қосу және азайту. 4.Жай бөлшекті көбейту және бөлу. |
Сәлемдесу Үй тапсырмасын тексерту Сұрактарга жауап береді |
Ынталандыру сөздерін қолдану «жақсы», «жарайсың», «өте жақсы» |
Оқулық |
||
|
5 мин |
Жаңа сабақ |
Сұрақ –
жауап |
Сұрақтарға жауап береді |
Ынталандыру сөздерін қолдану «жақсы», «жарайсың», «өте жақсы» |
Презентация Слайд |
||
|
20 минут |
Бекіту тапсырмасы |
Ойтүрткі кезеңінде әр топқа 3 есептен тұратын тапсырмалар беріледі: Математикалық диктант. Жеке тапсырма
Амалды орындаңдар: Жұптық тапсырма І топ 2,093:91+0,2166:0,38=0,023+0,57=0,593 ІІ топ 0,004:0,25-0,2:16=0,016-0,0125=0,0035 ІІІ топ 0,5415:0,57-0,003:0,024=0,95-0,125=0,825 |
Топтық тапсырма Теңдеуді шешу 1. 25 . (х + 3) = 150 х = 3 2. 169 : (х – 3) = 13 х = 16 3. (х + 97) : 28 = 4 х = 15 4. 14 . (х + 9) = 168 х = 3 5. 121 : (х – 3) = 11 х = 14 6. (х + 27) : 15 = 4 х = 33 Тапсырмаларды орындайды Ондық бөлшекке бөлу 1) 2,5:0,5=5 2) 5:0,5=1
13,125:1,5=8,75 13,125:1,5=131,25:15=8,75 |
Жеке тапсырмаларды орындауда «Смайлик» әдісімен бағаланады Жұптық тапсырмаларды орындауда «екі жұлдыз бір тілек» әдісімен бағаланады Топтық тапсырмаларды орындауда «бас бармақ» әдісі бойынша бағаланады |
Слайд 7-8 |
||
|
10мин |
Жеке жұмыс |
Оқулықпен жұмыс.№20,31 |
Тапсырманы орындайды |
Әр баланың мүмкіндігіне қарай 10 баллдық шкаламен бағалау |
|
||
|
5 минут |
|
Бүгінгі сабақта: жай бөлшектерді, аралас сандарды салыстыру; ондық бөлшектерді қосу және азайтуды орындау; Сабақты қортындылау
мақсатында мұғалім оқушылармен кері байланыс орнатады.Оқушылар
сабақ барысында нені білгенін, қалай жұмыс істегенін ,не қызықты
әрі жеңіл болғанын, не киындық туғызғаны туралы ой-пікірлерін
білдір Дидактикалық ойын: «Сөз ойла, тез ойла» |
Тақырыпты меңгергенін анықтау |
Сабаққа қатысқанына, белсенділігіне қарай мұғалімнің бағалауы |
Презентация |
||
Қысқа мерзімді (сабақ) жоспары
Сабақтың тақырыбы: Берілген санның процентін табу. Проценті бойынша санды табу
|
Бөлім |
5 сыныпта өтілген материалды қайталау |
||||||
|
Мұғалімнің аты-жөні: |
|
||||||
|
Пән/Сынып: |
6 сынып Қатысқандар саны: Қатыспағандар саны: |
||||||
|
Күні: |
|
||||||
|
Сабақтың тақырыбы: |
Берілген санның процентін табу.Проценті бойынша санды табу
|
||||||
|
Оқу бағдарламасына сәйкес оқыту мақсаттары: |
бөлшекті пайызға және пайызды бөлшекке айналдыру; берілген пайызы бойынша санды табу |
||||||
|
Сабақтың мақсаты: |
Оқушыларға санның пайызын табуға есептер шығарту Санның пайызын табу тәсілін біледі. Есептердегі қателерді түзетеді. |
||||||
|
Сабақ барысы: |
|||||||
|
Уақыты |
Кезең дері |
Педагогтің әрекеті |
Оқушының әрекеті |
Бағалау |
Ресурстар |
||
|
5минут |
Ұйымдастыру |
Сәлеметсіздерме! Бүгін, Берілген санның процентін табу.Проценті бойынша санды табу тақырыптарын қарастырамыз Бүгінгі сабақта меңгеретініңіз: бөлшекті пайызға және пайызды бөлшекке айналдыру; берілген пайызы бойынша санды табу Оқушылармен амандасу, түгендеу, сабаққа дайындықтарын тексеру. 1.Ұйымдастыру. 2. Үй жұмысын тексеру |
Сәлемдесу Үй тапсырмасын тексерту Сұрактарга жауап береді |
Ынталандыру сөздерін қолдану «жақсы», «жарайсың», «өте жақсы» |
Оқулық |
||
|
5 мин |
Жаңа сабақ |
Сұрақ – жауап Берілген санның процентін табу үшін:
|
Сұрақтарға жауап береді Тақырып бойынша ресурстарды қарап, танысады |
Ынталандыру сөздерін қолдану «жақсы», «жарайсың», «өте |
Презентация |
||
|
20 минут |
Бекіту тапсырмасы |
№1Процентін табыңдар: 1)30, 57, 125, 200, 250, 310 сандарының 10%-ін; 2)16, 24, 72, 96, 114, 400 сандарының 50%-ін; 3)28, 36, 68, 100, 232, 360 сандарының 25%-ін;
№2. 1)Құлпынайдың 6%-і қант. 35 кг құлпынайда неше килограмм қант бар? |
№1 тапсырманы орындайды
№2 тапсырма
2)Картоптың 18%-і крахмал. 25 кг картопта неше килограмм крахмал бар?
|
Дескриптор: Берілген санның процентін табу үшін: -Процентті жай бөлшекпен немесе ондық бөлшекпен өрнектеу керек; -Берілген санды осы бөлшекке көбейту керек. |
Интернет ресурстары |
||
|
10мин |
Жеке жұмыс |
Оқулықтан №36,38 |
Тапсырманы орындайды |
|
Оқулық |
||
|
5 минут |
|
Бүгінгі сабақта: бөлшекті пайызға және пайызды бөлшекке айналдыру; берілген пайызы бойынша санды табу Сабақты қорытындылау: Берілген санның проценті қалай табылады? Берілген санның процентін табу үшін процентті қандай бөлшекпен өрнектеген тиімді? Үйге тапсырма №32,№40. |
Тақырыпты меңгергенін анықтау |
|
Презентация |
||
Қысқа мерзімді (сабақ) жоспары
Сабақтың тақырыбы:
|
Бөлім |
5 сыныпта өтілген материалды қайталау |
|||||
|
Мұғалімнің аты-жөні: |
|
|||||
|
Пән/Сынып: |
6 сынып Қатысқандар саны: Қатыспағандар саны: |
|||||
|
Күні: |
|
|||||
|
Сабақтың тақырыбы: |
Берілген санның процентін табу.Проценті бойынша санды табу
|
|||||
|
Оқу бағдарламасына сәйкес оқыту мақсаттары: |
бөлшекті пайызға және пайызды бөлшекке айналдыру; берілген пайызы бойынша санды табу |
|||||
|
Сабақтың мақсаты: |
|
|||||
|
Сабақ барысы: |
||||||
|
Уақыты |
Кезең дері |
Педагогтің әрекеті |
Оқушының әрекеті |
Бағалау |
Ресурстар |
|
|
5минут |
Ұйымдастыру |
Сәлеметсіздерме! Бүгін, Берілген санның процентін табу.Проценті бойынша санды табу тақырыптарын қарастырамыз Бүгінгі сабақта меңгеретініңіз: бөлшекті пайызға және пайызды бөлшекке айналдыру; берілген пайызы бойынша санды табу Оқушылармен амандасу, түгендеу, сабаққа дайындықтарын тексеру. 1.Ұйымдастыру. 2. Үй жұмысын тексеру |
Сәлемдесу Үй тапсырмасын тексерту Сұрактарга жауап береді |
Ынталандыру сөздерін қолдану «жақсы», «жарайсың», «өте жақсы» |
Оқулық |
|
|
5мин |
Жаңа сабақ |
«Миға шабуыл» І топқа: 60км-дің 1%-ы, 20метрдің 1%-ы ІІ топқа: 1%-ы 10-ға тең, 1%-ы 5-ке тең болатын санды табу керек |
Сұрақтарға жауап береді Тақырып бойынша ресурстарды қарап, танысады |
|
Оқулық |
|
|
25 минут |
Бекіту тапсырмасы |
1.Тақырыппен, сабақ мақсатымен және күтілетін нәтижемен таныстыру. І топқа: Берілген санның пайызын табу ІІ топқа: Пайызы бойынша санды табу Екі топ бір-бірін «Бағдаршам әдісі» арқылы бағалайды «Кім жылдам» (бекіту жаттығулары)
?
?
200
4%
25%
?
?
?
2%
50%
75%
3.2 «Өрмекші» ойыны (деңгейлік тапсырмалар,оқулықпен жұмыс құндылыққа байланысты есептер) А деңгейі А) Бұйымның бағасы 15%-ке қымбаттады. Егер осы бұйымның алғашқы бағасы 5000 тг болса, оның қымбаттаған бағасы бағасы неше теңге. В) Еркін флэшкасына 50%-өлең жазды.3 гигабайт флэшкада қанша бос орын бар. В деңгейі А)Банк салымшыларға қысқа мерзімді салым бойынша 3,5% жылдық сыйақы төлейді ( сосын жыл сайын 3,5% -ға өсіп отырады.) Бір жылдан соң салымшы 207000 теңге алса, ол банкке алғашқыда қанша теңге салған? В) Мектеп кітапханасында 2800 оқулық бар. Бұл ондағы барлық кітаптың 85%-і. Мектеп кітапханасында барлығы неше кітап бар? С деңгейі А) Атай жинақ кассасына
10%-тік өсіммен 36 В) Мұнай қоймасына әрқайсысы т-дан 30 цистерна мұнай әкелінді. Бірінші күні әкелінген мұнайдың 30%-ы,екінші күні қалған мұнайдың 80%-і сатуға жіберілді.Қоймада қанша мұнай қалды? Топтық жұмыс
Берілгені: бағасы-420теңге 15 % арзандатылды 7 ойыншыққа неше теңге үнемделді? 2 топ №2. Берілгені: жылдамдық 50 км/сағ, 3 сағ 20% арттырды, 2 сағ Орташа жылдамдығы? 3 топ Қоланың-85% мыс,5кг қоланың құрамындағы мыс қалайыдан қанша кг. артық ? «Математикалық лото» логикалық
сұрақтар: |
Тақырып бойынша ресурстарды қарап, танысады Сұрақтарға жауап береді Мысалдар келтіреді. 1.Шешуі: 420*0,15=63 63*7=441 Жауабы : 441 теңге 2.Шешуі: 50+50*0,2=60 (50*3+60*2)/(3+2)=54км/сағ 3.Шешуі: 5*0,85=4,25 5-4,25=0,75 4,25-0,75=3,5 Жауабы: 3,5 артық |
. «Шапалақ» арқылы бағалайды Дескриптор: Берілген санның процентін табуды; Проценті бойынша санды табуды біледі. «Бес жұлдыз» арқылы оқушылар ды бағалаймын. |
Слайд |
|
|
5мин |
Жеке жұмыс |
Оқулықпен жұмыс. №44 |
Тапсырманы орындайды |
|
|
|
|
5 минут |
|
Бүгінгі сабақта: бөлшекті пайызға және пайызды бөлшекке айналдыру; берілген пайызы бойынша санды табу Сабақты қорытындылау: «Бес сұрақ» стикерде жазылған бес сұраққа «ия» немесе «жоқ» деп жауап беру арқылы сабақты қорытындылаймыз Үйге тапсырма. №49. |
Тақырыпты меңгергенін анықтау |
Кері байланыс |
Презентация |
|
Қысқа мерзімді (сабақ) жоспары
Сабақтың тақырыбы: Қатынас
|
Бөлім.: |
Қатынастар және пропорциялар |
||||||
|
Мұғалімнің аты-жөні: |
|
||||||
|
Пән/Сынып: |
6 сынып Қатысқандар саны: Қатыспағандар саны: |
||||||
|
Күні: |
|
||||||
|
Сабақтың тақырыбы: |
Қатынас
|
||||||
|
Оқу бағдарламасына сәйкес оқыту мақсаттары: |
6.1.1.1 екі санның қатынасы нені көрсететінін түсіну; 6.1.2.2 берілген қатынасқа кері қатынасты табу; 6.5.2.1 екі санның қатынасын оқу және жазу; |
||||||
|
Сабақтың мақсаты: |
|
||||||
|
Сабақ барысы: |
|||||||
|
Уақыты |
Кезең дері |
Педагогтің әрекеті |
Оқушының әрекеті |
Бағалау |
Ресурстар |
||
|
5 минут |
Ұйымдастыру |
Сәлеметсіздерме! Бүгін, Қатынас тақырыптарын қарастырамыз Бүгінгі сабақта меңгеретініңіз:
Оқушылармен амандасу, түгендеу, сабаққа дайындықтарын тексеру. 1.Ұйымдастыру. 2. Үй жұмысын тексеру Ширату жаттығулары: 1. Санды өрнек дегеніміз не? 2. Әріпті өрнек дегеніміз не? 3. Санды өрнек пен әріпті өрнектің айырмашылығы неде? 4. Өрнектің ықшамдалған түрінің оның алғашқы түрінен айырмашылығы неде? 5. Қосудың қасиеттерін пайдаланып, өрнекті қалай ықшамдауға болады? 6. Көбейтудің үлестірімділік қасиетін пайдаланып, 20х+9х өрнектерін қалай ықшамдауға болады? |
Сәлемдесу Үй тапсырмасын тексерту Сұрактарга жауап береді |
Ынталандыру сөздерін қолдану «жақсы», «жарайсың», «өте жақсы» |
Тақта Бор Кітап Дәптер Интерактивті тақта Бағалау парақтары |
||
|
10 мин |
Жаңа сабақ |
«Ойлан, жұптас, бөліс» әдісімен жаңа сабақты өздігінен оқып үйренеді. Оқушы жеке оқып, жұпта ой бөлісіп, топта талқылайды. ҚБ: ( А С Д (1.1 - сурет) Сұрақтарға жауап беріңдер: 1)
14 2)
7 Тапсырманы «Сұрақ-жауап» әдісімен орындайды. Жұпта білмегенін сұрап, толықтырып отырады. Дескриптор:
Саралаудың «Бағалау» тәсілімен тақтадағы дұрыс жауапқа қарап бағаланады. |
Сұрақтарға жауап береді Тақырып бойынша ресурстарды қарап, танысады |
Дескриптор: Білім алушы
пропорция құрады |
Тақта Бор Кітап Дәптер Интерактивті тақта Бағалау парақтары |
||
|
25 минут |
Бекіту тапсырмасы |
Тапсырма – 1: Оқушы тапсырманы жеке отырып орындайды.Себебі оқушылар оқу стандартына сай меңгеруге тиіс тапсырма. а) Қатынасты жазыңдар
ә)
Саралаудың «Тапсырма» тәсіліне сәйкес талданады. Тапсырманың дұрыс жауабы интербелсенді тақтаға шығарылып, Бағдаршам түсімен бағаланады.
(Т) Тапсырма-2: 2.а) Мына формулаларды «қатынас» сөзін пайдаланып, оқыңдар
V= 2.ә) Пойыз 3 сағатта 255 км жол жүрді. Пойыздың жылдамдығын қатынас түрінде жазыңыз. б) Принтер 12 минутта 108 бетті шығарды. Принтердің жұмыс өнімділігін қатынас түрінде жазыңыз. в) 4кг кәмпиттің құны 1500 теңге. Кәмпиттің бағасын қатынас түрінде жазыңыз. Оқулықпен жұмыс. №3 №4, №5 |
Оқушылар берілген А)тапсырманы жұптасып орныдайды
Оқушылар берілген Ә) тапсырманы жеке орныдайды Жауаптар: 7ден 91 12ден 96 5тен 9 12ден 144 |
.дескриптор: -қатынастың мүшелерін ажыратады -қатынас түрінде жазады Дескриптор: -формуданы «қатынас» сөзін пайдаланып, оқиды -жылдамдық - қашықтықтың уақытқа қатынасы екенін біледі -жұмыс өнімділігі – өнімнің уақытқа қатынасы екенін біледі -баға – құнның зат мөлшеріне қатынасы екенін біледі. |
Тақта Бор Кітап Дәптер Интерактивті тақта Бағалау парақтары Тақта Бор Кітап Дәптер Интерактивті тақта Бағалау парақтары |
||
|
|
Жеке жұмыс |
Оқулықтан №3-5
|
Тапсырманы орындайды
|
Тақтаға шыққан ір баланың деңгейіне қарай 10 баллдық шкаламен бағаланады |
Тақта Бор Кітап Дәптер Интерактивті тақта Бағалау парақтары |
||
|
5 минут |
|
Бүгінгі сабақта:
Сабақты қорытындылау: Сабақты «Ыстық орындық» әдісімен қорытындылаймын. Оқушылар «Иә» немесе «Жоқ» тәсілімен бағалайды. Үйге тапсырма: №6, №8. |
Тақырыпты меңгергенін анықтау |
Кері байланыс. |
Презентация |
||
Қысқа мерзімді (сабақ) жоспары
Сабақтың тақырыбы:
|
Мұғалімнің аты-жөні: |
|
|||||||
|
Пән/Сынып: |
6 сынып Қатысқандар саны: Қатыспағандар саны: |
|||||||
|
Күні: |
|
|||||||
|
Тарау немесе бөлім атауы: |
Қатынастар және пропорциялар |
|||||||
|
Сабақтың тақырыбы: |
Қатынас
|
|||||||
|
Оқу бағдарламасына сәйкес оқыту мақсаттары: |
6.1.1.1 екі санның қатынасы нені көрсететінін түсіну; 6.1.2.2 берілген қатынасқа кері қатынасты табу; 6.5.2.1 екі санның қатынасын оқу және жазу; |
|||||||
|
Сабақтың мақсаты: |
|
|||||||
|
Сабақ барысы: |
||||||||
|
Уақыты |
Кезең дері |
Педагогтің әрекеті |
Оқушының әрекеті |
Бағалау |
Ресурстар |
|||
|
5 минут |
Ұйым дастыру |
Сәлеметсіздерме! Бүгін, Қатынас тақырыптарын қарастырамыз Бүгінгі сабақта меңгеретініңіз:
Оқушылармен амандасу, түгендеу, сабаққа дайындықтарын тексеру. 1.Ұйымдастыру. 2. Үй жұмысын тексеру. |
Амандасады. Үй жұмысын айтады. |
Ынталандыру сөздерін қолдану «жақсы», «жарайсың», «өте жақсы» |
Оқулық |
|||
|
10 мин |
Жаңа сабақ |
Пысықтау сұрақтары: С-1: Екі санның қатынасы дегеніміз не? С-2: Берілген қатынасқа кері қатынас қалай табылады? С-3: Кері қатынасқа мысалдар келтіру. С-4: Берілген қатынасқа тең қатынас қалай табылады? С-5: Екі санның қатынасын процентпен қалай өрнектеуге болады? |
Сұрақтарға жауап береді Тақырып бойынша ресурстарды қарап, танысады |
«жақсы», «жарайсың», «өте жақсы» |
Презентация Слайд |
|||
|
20 минут |
Бекіту тапсырмасы |
Топтық жұмыс. Қатынас ұғымын пайдалану арқылы есепті шығарту, өмірде қатынас ұғымдарының қолданбалылығы туралы ой қорытады. І топ қа мұғалім нұсқау береді Нұсқау. Ұзындығы
№2. 6 «а» ж»не 6 «б» сынып оқушылары театрдан 60 билет сатып алып, оны сәйкес 2:3 қатынасында бөліп алды. 6 «б» сыныбы неше билет алды? ІІ топқа нұсқау береді Нұсқау. Ұзындығы №2. Ерітінді қалайы мен мыстан тұрады, олардың сәйкес массалары 2:3 қатынасындай. Егер қалайының массасы 360 г болса, онда ерітіндінің массасы неге тең? Жеке оқушымен жұмыс. 1-тапсырма Берілген қатынастарды бөлшек түрінде жазып, қысқартыңыз: a) 6-ның 15-ке; b) 1,1-дің 18,7-ге; c) 21-дің 0,7-ге; d) 117-нің 90-ға. 2-тапсырма а-ның
b-ға
қатынасы
a)
3-тапсырма
|
1 топ тапсырмасы №1. Тік төртбұрыш пішінді жер
учаскесінің қабырғаларының қатынасы Жауабы: 11,34 га.
ІІ топ Тік төртбұрыш пішінді жер
учаскесінің қабырғаларының қатынасы Жауабы: 21,952 га. Оқушылар жеке тапсырманы тақтада кезектесіп орындайды Берілген қатынастарды бөлшек түрінде жазып, қысқартыңыз: a) 6-ның 15-ке; b) 1,1-дің 18,7-ге; c) 21-дің 0,7-ге; d) 117-нің 90-ға. Дескриптор: Білім алушы
нәтижелерге кері сандарды жазады. |
Дескриптор: -Қатынас ережесін біледі Топтар бірін-бірі «бас бармақ» әдісімен бағалайды. Дескриптор: Білім алушы
жазылған қатынастарды қысқармайтын бөлшек түрінде жазады. Дескриптор: Білім алушы
|
Слайд 7-8 Тақта Бор Кітап Дәптер Интерактивті тақта Бағалау парақтары |
|||
|
5мин |
Жеке жұмыс |
Оқулықтан №14,15
|
Тапсырманы орындайды
|
Дескриптор: Білім алушы
Әр дұрыс есеп үшін 1 балл |
Кітап Дәптер Интерактивті тақта Бағалау парақтары |
|||
|
5минут |
|
Бүгінгі сабақта:
Үйге тапсырма: Екі санның қатынасы. №16,20 Рефлексия: 1. Сабақтың мақсаты қандай болды? 2. Мен мақсатқа жеттім бе? 3. Мен не білдім? 4. Мен нені үйрендім? 5. Мен нені түсінбедім? 6. Мен не бойынша әлі де жұмыс істеуім керек? |
Тақырыпты меңгергенін анықтау |
Дескриптор: Тақырыпқа қатысты есептер шығарады, талдайды. -Таңбалар ережесін пайдаланып, теңдеулерді шешеді. |
Тақта Бор Кітап Дәптер Интерактивті тақта Бағалау парақтары |
|||
Қысқа мерзімді (сабақ) жоспары
Сабақтың тақырыбы:
|
Мұғалімнің аты-жөні: |
|
||||||||||
|
Пән/Сынып: |
6 сынып Қатысқандар саны: Қатыспағандар саны: |
||||||||||
|
Күні: |
|
||||||||||
|
Тарау немесе бөлім атауы: |
Қатынастар және пропорциялар |
||||||||||
|
Сабақтың тақырыбы: |
Берілген қатынаста бөлу |
||||||||||
|
Оқу бағдарламасына сәйкес оқыту мақсаттары: |
6.1.2.1 сандардың қатынасы ұғымын меңгеру; 6.1.1.1 екі санның қатынасы нені көрсететінін түсіну; |
||||||||||
|
Сабақтың мақсаты: |
|
||||||||||
|
Сабақ барысы: |
|||||||||||
|
Уақыты |
Кезең дері |
Педагогтің әрекеті |
Оқушының әрекеті |
Бағалау |
Ресурстар |
||||||
|
5 минут |
Ұйымдастыру |
Сәлеметсіздерме! Бүгін, Берілген қатынаста бөлу тақырыптарын қарастырамыз Бүгінгі сабақта меңгеретініңіз:
Оқушылармен амандасу, түгендеу, сабаққа дайындықтарын тексеру. 1.Ұйымдастыру. 2. Үй жұмысын тексеру. |
Амандасады. Үй жұмысын айтады |
Ынталандыру сөздерін қолдану «жақсы», «жарайсың», «өте жақсы» |
Оқулық |
||||||
|
10 мин |
Жаңа сабақ |
II. Қайталау. Ауызша. Мақсаты : Өткен сабақта өткен тақырыпты қайталау, еске түсіру. III. Жаңа тақырыпты оқыту: Мақсаты : Оқушыларды берілген сандарды берілген қатынаста қалай бөлу теориясымен таныстыру. Жаңа тәсілмен танысу үшін оқушылар мына тапсырманы орындайды. Оқушыларға, екі дос арасында 60 кәмпитті 2:3 қатынасында қалай бөліп алар еді деген сұрақ қойылды. Достардың біреуі – ? кәмпит Достардың екіншісі – ? кәмпит - осындай тапсырманы орындай алар ма едік?
Санды берілген қатынаста бөлу ережесі: 60 санын 2 : 3 қатынасында бөлу үшін, 60 -ты қатынастың мүшелерінің 2 + 3 қосындысына бөліп, нәтижені қатынастың әрбір мүшесіне көбейтеміз.
Оқушылар: Сұрақтарға жауап береді Тақырып бойынша ресурстарды қарап, танысады |
Сабаққа белсенді қатысып отырған оқушыларды Ынталандыру сөздерін қолдану «жақсы», «жарайсың», «өте жақсы»
|
Кітап Дәптер Интерактивті тақта Бағалау парақтары Кітап Дәптер Интерактивті тақта Бағалау парақтары |
|||||||
|
25минут |
Бекіту тапсырмасы |
Ұжымдық жұмыс. Мақсаты: Берілген санды берілген қатынаста бөлу ережесі тақырыбын бекіту. –
|
1 деңгей
V Жеке жұмыс Үш деңгей бойынша тапсырмалар орындайды. Мақсаты: Оқушының берілген материалды қандай деңгейде меңгергенін бақылау.
2 деңгей
3 деңгей
|
. Жоғарыдағы алгоритмді қолдана отырып, өздері тапсырмалар ойластырады, басқа топпен алмастырады. Бір-бірін бағалайды. |
Кітап Дәптер Интерактивті тақта Бағалау парақтары Кітап Дәптер Интерактивті тақта Бағалау парақтары |
||||||
|
|
Жеке жұмыс |
Оқулықтан №29, №30.
|
Тапсырманы орындайды
|
Дескриптор: Есеп шартына сәйкес математикалық ммоделін құрады2б -коммерсанттардың әр қайсыының пайда үлесін анықтайды 2б Жалпы 4 балл №31 есеп Дескриптор: Есеп шартына сай теңдеу құады; -белгісіз мүтайды; -ауданды табады |
Кітап Дәптер Интерактивті тақта Бағалау парақтары |
||||||
|
5 минут |
|
Бүгінгі сабақта:
- не білдің, не үйрендің? - не түсініксіз? - ары қарай қандай жұмыс қажет? Үй тапсырмасы:№31,32
|
Тақырыпты меңгергенін анықтау |
|
Презентация |
||||||
Қысқа мерзімді (сабақ) жоспары
Сабақтың тақырыбы:
|
Мұғалімнің аты-жөні: |
|
|||||||||||
|
Пән/Сынып: |
6 сынып Қатысқандар саны: Қатыспағандар саны: |
|||||||||||
|
Күні: |
|
|||||||||||
|
Тарау немесе бөлім атауы: |
Қатынастар және пропорциялар |
|||||||||||
|
Сабақтың тақырыбы: |
Берілген қатынаста бөлу |
|||||||||||
|
Оқу бағдарламасына сәйкес оқыту мақсаттары: |
6.1.2.1 сандардың қатынасы ұғымын меңгеру; 6.1.1.1 екі санның қатынасы нені көрсететінін түсіну; |
|||||||||||
|
Сабақтың мақсаты: |
|
|||||||||||
|
Сабақ барысы: |
||||||||||||
|
Уақыты |
Кезең дері |
Педагогтің әрекеті |
Оқушының әрекеті |
Бағалау |
Ресурстар |
|||||||
|
5минут |
Ұйымдастыру |
Сәлеметсіздерме! Бүгін, Берілген қатынаста бөлу тақырыптарын қарастырамыз Бүгінгі сабақта меңгеретініңіз:
Оқушылармен амандасу, түгендеу, сабаққа дайындықтарын тексеру. 1.Ұйымдастыру. 2. Үй жұмысын тексеру. |
Амандасады. Үй жұмысын айтады. |
Ынталандыру сөздерін қолдану «жақсы», «жарайсың», «өте жақсы» |
Оқулық |
|||||||
|
10 мин |
Жаңа сабақ |
II. Қайталау. Ауызша. Мақсаты : Өткен сабақта өткен тақырыпты қайталау, еске түсіру. III. Жаңа тақырыпты оқыту: Видео сабақ. Тексеру тапсырмалары: Мақсаты : Оқушыларды берілген сандарды берілген қатынаста қалай бөлу теориясымен таныстыру. Жаңа тәсілмен танысу үшін оқушылар мына тапсырманы орындайды.
|
Сұрақтарға жауап береді Тақырып бойынша ресурстарды қарап, танысады |
Ынталандыру сөздерін қолдану «жақсы», «жарайсың», «өте жақсы» |
Тақта Бор Кітап Дәптер Интерактивті тақта Бағалау парақтары |
|||||||
|
25 минут |
Бекіту тапсырмасы |
Тапсырмалар: 1-есеп. Шебер 18 сақина дайындаған уақытта, оның шәкірті 12 сақина дайындайды. Олар бірлесіп жұмыс істеп, 180 сақина дайындады. Шебер неше сақина , шәкірті неше сақина дайындады?
2-есеп: 350 г тұзды су ерітіндісі дайындалды. Ондағы тұздың массасының судың массасына қатынасы 2: 5 қатынасындай.Ерітінді құрамында неше грамм тұз бар? Неше грамм су бар? |
1-есеп Шешуі: 1) 18 : 12 немесе 3:2 қатынасындай.
Жауабы: 108 сақина , 72 сақина. 2-есеп Шешуі: 1) 2 + 5 = 7 2) 350 : 7= 50 (г) 3) 50 ∙ 2 =100 (г) , 50 ∙ 5 =250 (г) Жауабы: 100 г ; 250 г. |
Дескрипто:
Шыққан нәтижені қатынас мүшелерінің әрқайсысына жеке-жеке көбейтеді |
Слайд 7-8 Тақта Бор Кітап Дәптер Интерактивті тақта Бағалау парақтары |
|||||||
|
|
Жеке жұмыс |
Оқулықпен жұмыс №1 х-тің қандай мәнінде
пропорцияның мәні тең болады
а) 8 в) 3 с) 3 №2 Сыныпта 30 оқушы бар. Оның 19-ы математика үйірмесіне, 15-і спорттық үйірмелерге қатысады. Сыныптағы оқушылардың нешеуі математика үйірмесіне де, спорт үйірмеге де қатысады? а) 3; в) 4; с) 5; д) 2 №3 Картадағы 1см-ге жер бетіндегі 500 м қашықтық сәйкес келеді. Картаның масштабын табыңдар. а) 1 : 500 в) 1 : 50000 с) 1 : 5000 д) 1 : 2500 №4Үш санның қатынасы 3 : 4 : 8 қатынасындай. Ең үлкен сан мен, ең кіші санның айырымы 30-ға тең. Осы сандардың қосындысын табыңыздар. а) 52; в) 48; с) 90; д) 36; №5 Есептің шартына сәйкес дұрыс пропорцияны таңдап ал. Есеп: 6 га егістікке 10,8-ң дән себілді. 15 га егістікке себілу үшін қанша дән керек? а) 15 : 6 = 10, 8 : Х в) 6 : 15 = Х : 10, 8 с) 6 : 10,8 = Х : 15 д) 6 : 10, 8 = 15 : Х оқулықтан
|
Тапсырманы орындайды
|
№38есеп Дескриптор: Есеп шартына сай теңдеу құады; -белгісіз мүшені табады; -Елдос ойлаган санды табады №39 Дескриптор: Есеп шартына сай теңдеу құады; -белгісіз мүшені анықтайды; -шаруашылық бірлестігі жерінің ауданын табады
|
Слайд 7-8 Тақта Бор Кітап Дәптер Интерактивті тақта Бағалау парақтары |
|||||||
|
5 минут |
|
Бүгінгі сабақта: шамаларды берілген қатынаста бөле алады; шамаларды берілген қатынаста бөлуді есептер шығаруда қолдана алады Сабақты бекіту
Берілген қатынасқа тең қатынас қалай табылады? Рефлексия: - не білдің, не үйрендің? - не түсініксіз? - ары қарай қандай жұмыс қажет? Үй тапсырмасы:№36 |
Тақырыпты меңгергенін анықтау |
Әр оқушының сабаққа белсенділігіне қарай мұғалімнің бағалауы |
Презентация |
|||||||
Қысқа мерзімді (сабақ) жоспары
Сабақтың тақырыбы:
|
Мұғалімнің аты-жөні: |
|
|||||||
|
Пән/Сынып: |
6 сынып Қатысқандар саны: Қатыспағандар саны: |
|||||||
|
Күні: |
|
|||||||
|
Тарау немесе бөлім атауы: |
Қатынастар және пропорциялар |
|||||||
|
Сабақтың тақырыбы: |
Екі санның проценттік қатынасын табу |
|||||||
|
Оқу бағдарламасына сәйкес оқыту мақсаттары: |
6.1.2.1 сандардың қатынасы ұғымын меңгеру; 6.1.2.2 берілген қатынасқа кері қатынасты табу; |
|||||||
|
Сабақтың мақсаты: |
Оқушылар қатынас ұғымын біледі, түснеді және есеп шығаруда пайдаланады. қосудың қасиеттерін қолдана отырып, әріпті өрнекті дұрыс түрлендіреді; - көбейтудің қасиеттерін қолдана отырып, әріпті өрнекті дұрыс түрлендіреді; |
|||||||
|
Сабақ барысы: |
||||||||
|
Уақыты |
Кезең дері |
Педагогтің әрекеті |
Оқушының әрекеті |
Бағалау |
Ресурстар |
|||
|
5 минут |
Ұйымдастыру |
Сәлеметсіздерме! Бүгін, Екі санның проценттік қатынасын табу тақырыптарын қарастырамыз Бүгінгі сабақта меңгеретініңіз: сандардың қатынасы ұғымын меңгеру; берілген қатынасқа кері қатынасты табу; 1.Ұйымдастыру.Оқушылармен амандасу, түгендеу, сабаққа дайындықтарын тексеру. 2. Үй жұмысын тексеру. |
Амандасады. Үй жұмысын айтады. |
Ынталандыру сөздерін қолдану «жақсы», «жарайсың», «өте жақсы» |
Оқулық |
|||
|
10 мин |
Жаңа сабақ |
Жаңа сабақ. Видео сабақ. Тыңдалым тапсырмасы Екі санның бөліндісі сол сандардың қатынасы д.а. а/в – а-ның в-ға қатынасы. а- алдыңғы, в-соңғы мүшелері. - Қатынастың екі мүшесін де бірдей санға көбейтсек н/е бөлсек берілген қатынасқа тең қатынас шығады. Бөлшектің негізгі қасиеттері.
Егер бөлшектің бөлімінде алымында нөлден өзге бірдей санға көбейтсек, немесе бөлсек, онда бөлшектің мағынасы өзгермейді. Екі шаманың өлшемдерін бөлінді түрінде салыстыру үшін қатынас ұғымын қолданады. АНЫҚТАМА.
Екі санның бөліндісі түріндегі
өрнек сол сандардың қатынасы деп
аталады. Мұнда а және в қатынастың мүшелері деп аталады. а - қатынастың алдыңғы мүшесі, в - қатынастың соңғы мүшесі Оқылуы: «а санының в санына қатынасы немесе а - ның в - ға қатынасы» - Екі санның қатынасын 100-ге көбейтіп, % белгісін тіркеп, проценттік қатынасын аламыз. Мысалы: Оқушы тор көзбен жол көз дәптерлерін 2:1 қатынасындай сатып алды. Егер оқушы 24 тор көз дәптерін сатып алған болса, онда оқушы қанша жол көз дәптерін сатып алған? |
Тақырып бойынша ресурстарды қарап, танысады Сұрақтарға жауап береді Мысалдар келтіреді. Тапсырмаларды орындайды: Топтық жұмыс Тапсырманы оқыңыз
Т Постер арқылы жаңа тақырыпты өткен тақырыппен байланыстыру Мұғалім оқушыларға тапсырмалар береді олар түсініктерін қағазға салу керек , постер арқылы қорғайды Жай бөлшек пен бөлу амалының арасындағы байланысты мысалмен көрсет. ______ 2. Жай бөлшекке мысал келтіріп, оған кері санды тауып, қалай орындағаныңды түсіндіріп бер 3. АВ кесіндісінің ұзындығы 5см. , СД кесіндісінің ұзындығы 2см. АВ кесіндісінің СД кесіндісіне бөліндісін тап Өлшем бірлігін миллиметрге айналдырғандағы бөліндісін жаз: Бұл екі бөлінді нені білдіреді АВ кесіндісі СД кесіндісінен қанша есе үлкен болды? _ 4. Мына проценттерді бөлшекпен жаз: 6% = ____ ; 12% = ____ ; 25% = ____ ; 75%= ____ ; |
Ынталандыру сөздерін қолдану «жақсы», «жарайсың», «өте жақсы» Топтық жұмыстарда Әр топ бірін бірі «Бас бармақ» әдісі арқылы бағалайды Жұптық жұмыста оқушылар бірін-бірі «Бағдаршам» арқылы бір-бірін бағалайды. |
Презентация Слайд Тақта Бор Кітап Дәптер Интерактивті тақта Бағалау парақтары |
|||
|
25 минут |
Бекіту тапсырмасы |
Тапсырмалар: Оқулықпен жұмыс. №47,48
Қалыптастырушы бағалау тапсырмалары. 1.Тік төртбұрыштың периметрі 40см. Егер оның қабырғалары ұзындықтарының қатынасы 3 : 2 қатынасындай болса, ауданын табыңдар. Шешуі:1) ____________________________________________ 2) ___________________________________________ 3)______________________________Жауабы: 96 см2 . 2. Қатынастардағы х-тің мәнін табыңдар: а) 5,4 : 0,6 х ═ 1,8; ___________________ ______________ __________________ _____________________ 2. Қантты су ерітіндісіндегі судың массасының қанттың массасына қатынасы 17 : 3 қатынасындай. Ондағы судың массасы қанттың массасынан 280 г артық. Қантты су ерітіндісінің концентрациясы неше процент? А) 28 % ; В)25% ; С) 20%; Д) 15% |
Оқулықтан және қалыптастырушы бағалау тапсырма ларын орындайды
№49 Дескриптор: -есеп шартын түсінеді; -қызылшаның пайыздық үлесін табады -қара өрікітң пайызын табады -мыстың пайыздық үлесін табады 4 балл - |
. №47 Дескриптор: Сандардың проценттік катынасын табады Әрбір дқры есеп үшін 1 балл №48 Дескриптор: -есеп шартын түсінеді; -қорапшалардың пайыздық үлесін табады Жалпы 3 балл
|
Тақта Бор Кітап Дәптер Интерактивті тақта Бағалау парақтары |
|||
|
|
Жеке оқушы мен жұмыс. Хайролла Т |
1)Екі санның қатынасы 3-ке тең. Оның соңғы мүшесі 7-ге тең. Қатынастың алдыңғы мүшесін табыңдар. 2) Екі санның қатынасы 2-ге тең. Оның алдыңғы мүшесі 8-ге тең. Соңғы мүшесін табыңдар. 3. Шамалардың қатынастарын табыңдар: а) 70 см-дің 150 см-ге ә) 3 км-дің 150 м-ге б) 2,5 кг-ның 0,5 кг-ға |
Тапсырманы орындайды
|
«Екі жұлдыз, бір тілек» |
Тақта Бор Кітап Дәптер Интерактивті тақта Бағалау парақтары |
|||
|
5 минут |
|
Бүгінгі сабақта: сандардың қатынасы ұғымын меңгерді берілген қатынасқа кері қатынасты табады. Рефлексия: «Табыс сатысы» әдісі арқылы әр оқушы берілген сөйлемдерді стикерге аяқтап жазып, сатының тұсына іледі. Сатының суреті, сатының; 1 - ші баспалдағы *Мен.............. БІЛЕМІН*, 2 - ші баспалдағы *Мен.................. ТҮСІНЕМІН*, 3 - ші баспалдағы *Мен............. ЖАСАЙ АЛАМЫН* Үйге тапсырма. №47 /2/ |
Тақырыпты меңгергенін анықтау |
Кері байланыс |
Презентация |
|||
Қысқа мерзімді (сабақ) жоспары
Сабақтың тақырыбы:
|
Мұғалімнің аты-жөні: |
|
|||||
|
Пән/Сынып: |
6 сынып .Қатысқандар саны: Қатыспағандар саны: |
|||||
|
Күні: |
|
|||||
|
Тарау немесе бөлім атауы: |
Қатынастар және пропорциялар |
|||||
|
Сабақтың тақырыбы: |
Екі санның проценттік қатынасын табу |
|||||
|
Оқу бағдарламасына сәйкес оқыту мақсаттары: |
6.1.2.1 сандардың қатынасы ұғымын меңгеру; 6.1.2.2 берілген қатынасқа кері қатынасты табу; |
|||||
|
Сабақтың мақсаты: |
Оқушылар қатынас ұғымын біледі, түснеді және есеп шығаруда пайдаланады. қосудың қасиеттерін қолдана отырып, әріпті өрнекті дұрыс түрлендіреді; - көбейтудің қасиеттерін қолдана отырып, әріпті өрнекті дұрыс түрлендіреді; |
|||||
|
Сабақ барысы: |
||||||
|
Уақыты |
Кезең дері |
Педагогтің әрекеті |
Оқушының әрекеті |
Бағалау |
Ресурстар |
|
|
5минут |
Ұйымдастыру |
Сәлеметсіздерме! Бүгін, Екі санның проценттік қатынасын табу тақырыптарын қарастырамыз Бүгінгі сабақта меңгеретініңіз: сандардың қатынасы ұғымын меңгеру; берілген қатынасқа кері қатынасты табу; 1.Ұйымдастыру. 2. Үй жұмысын тексеру. |
Амандасады. Үй жұмысын айтады. |
Ынталандыру сөздерін қолдану «жақсы», «жарайсың», «өте жақсы» |
Оқулық |
|
|
10 мин |
Жаңа сабақ |
Жаңа сабақ. Видео сабақ. Тыңдалым тапсырмасы Екі санның бөліндісі сол сандардың қатынасы д.а. а/в – а-ның в-ға қатынасы. а- алдыңғы, в-соңғы мүшелері. - Қатынастың екі мүшесін де бірдей санға көбейтсек н/е бөлсек берілген қатынасқа тең қатынас шығады. Бөлшектің негізгі қасиеттері.
Егер бөлшектің бөлімінде алымында нөлден өзге бірдей санға көбейтсек, немесе бөлсек, онда бөлшектің мағынасы өзгермейді. Екі шаманың өлшемдерін бөлінді түрінде салыстыру үшін қатынас ұғымын қолданады. АНЫҚТАМА.
Екі санның бөліндісі түріндегі
өрнек сол сандардың қатынасы деп
аталады. Мұнда а және в қатынастың мүшелері деп аталады. а - қатынастың алдыңғы мүшесі, в - қатынастың соңғы мүшесі Оқылуы: «а санының в санына қатынасы немесе а - ның в - ға қатынасы» - Екі санның қатынасын 100-ге көбейтіп, % белгісін тіркеп, проценттік қатынасын аламыз. |
Сұрақтарға жауап береді Тақырып бойынша ресурстарды қарап, танысады
Кері қатынасқа мысал келтіріңдер және түсіндіріп беріңдер. |
Дескриптор: Тақырыпқа қатысты есептер шығарады, талдайды. -Таңбалар ережесін пайдаланып, теңдеулерді шешеді.
|
Презентация Слайд |
|
|
20 минут |
Бекіту тапсырмасы |
Деңгейлік тапсырмалар: І деңгей тапсырмалары 1. 60 санын 2:3:5 қатынасындай үш бөлікке бөліңіз. Жауабы:12;18;30. 2. Таза күміс – бұл 3:4:13 қатынасындағы никель, мырыш, және мыс қорытпасы. Осындай 4 кг жаңа күмісте неше кг никель болады? Жауабы:0,6кг никель. 3. Дүкендегі 150 м матадан 90 м мата сатылды. а) Дүкендегі матаның қандай бөлігі сатылды? ә) Дүкендегі матаның қандай бөлігі сатылмай қалды? б) Сатылған мата дүкендегі сатылмай қалған матадан неше есе артық? Жауабы: а) 4.
Жауабы: 1) 6. Қатынасты қысқартыңдар.
ІІ деңгей тапсырмалары Қатынас, берілген қатынасқа бөлу, проценттік қатынас ұғымдарын қолданып, есепте: 7. Сандардың проценттік қатынасын табыңдар.
Үлгі: 8. Қатынасты қысқартыңдар: 1) 2) 3) Жауабы: 1) ІІІ деңгей тапсырмалары 10. Бөлшек сандардың қатынасын бүтін сандардың қатынасы түрінде жазыңдар
|
Жеке оқушымен жұмыс. №1.Тік төртбұрыштың периметрі 40см. Егер оның қабырғалары ұзындықтарының қатынасы 3:2 қатынасындай болса, ауданын табыңдар. Шешуі:
Жауабы: №2. Қоспаның құрамындағы қалайы массасының мыстың массасына қатынасы 1:4 қатынасына тең. Қоспаның құрамындағы қалайы неше пайыз? Мыс неше пайыз? Жауабы: Жеке оқушымен жұмыс /Хайролла Тілеубекке/.
Жауабы: |
Дескриптор: №1 Есеп шартына сай теңдеу құрады; -есептің белгісіз айнымалысын табады -тік тқртбұрыштың ауданын табады 3 балл ҚБ:смайлик арқылы бағалау Дескриптор: дескриптор: -қатынастың мүшелерін ажыратады -қатынас түрінде жазады -қыстарту жұмысын жүргізеді 3балл Жинаған баллдары бойынша дескриптор бойынша бағалау |
Тақта Бор Кітап Дәптер Интерактивті тақта Бағалау парақтары Слайд 7-8 Тақта Бор Кітап Дәптер Интерактивті тақта Бағалау парақтары |
|
|
5мин |
Жеке жұмыс |
Oқулықпен жұмыс. №54,55
|
Тапсырманы орындайды
|
№54 тақ есептерді орындау Дескриптор: Сандардың пайыздық қатынасын таба алады; -әрбір есеп 1 балл деп есептеледі Жалпы 3 балл №55 Дескриптор: -Есеп шартына сай орнек құрады; -заттың неше пайызға арзандағанын табады -бұйымдардың неше пайызға қымбаттағанын табады Жалпы 3 балл |
Тақта Бор Кітап Дәптер Интерактивті тақта Бағалау парақтары |
|
|
5 минут |
|
Бүгінгі сабақта: сандардың қатынасы ұғымын меңгерді берілген қатынасқа кері қатынасты табады. Үйге тапсырма. №51,62 Рефлексия Не білемін? Не үйрендік? Кімнің көрсеткіші жоғары? |
Тақырыпты меңгергенін анықтау Сабақ соңында рефлексия жүргіземіз. 1. Сабақтың мақсаты қандай болды? 2. Мен мақсатқа жеттім бе? 3. Мен не білдім? 4. Мен нені үйрендім? 5. Мен нені түсінбедім? 6. Мен не бойынша әлі де жұмыс істеуім керек? |
Дескриптор бойынша бағалау Және мұғалімнің белсенді қатысқан оқушыларды қосымша бағалауы |
Тақта Бор Кітап Дәптер Интерактивті тақта Бағалау парақтары Презентация |
|
Қысқа мерзімді (сабақ) жоспары
Сабақтың тақырыбы:
|
Мұғалімнің аты-жөні: |
|
||||||||||||||
|
Пән/Сынып: |
6 сынып Қатысқандар саны: Қатыспағандар саны: |
||||||||||||||
|
Күні: |
|
||||||||||||||
|
Тарау немесе бөлім атауы: |
Қатынастар және пропорциялар |
||||||||||||||
|
Сабақтың тақырыбы: |
Пропорция.Пропорцияның негізгі қасиеті |
||||||||||||||
|
Оқу бағдарламасына сәйкес оқыту мақсаттары: |
6.1.2.3 пропорция анықтамасын білу; 6.1.2.4 пропорцияларды ажырату және құрастыру; 6.1.2.5 пропорцияның негізгі қасиетін білу және қолдану; |
||||||||||||||
|
Сабақтың мақсаты: |
- пропорцияны оқи және жаза біледі; - пропорция анықтамасын біледі; - пропорцияларды ажырата және құрастыра алады; - пропорцияның негізгі қасиетін біледі және қолданады |
||||||||||||||
|
Сабақ барысы: |
|||||||||||||||
|
Уақыты |
Кезең дері |
Педагогтің әрекеті |
Оқушының әрекеті |
Бағалау |
Ресурстар |
||||||||||
|
5 минут |
Ұйымдастыру |
Сәлеметсіздерме! Бүгін, Пропорция.Пропорцияның негізгі қасиеті тақырыптарын қарастырамыз Бүгінгі сабақта меңгеретініңіз: пропорция анықтамасын білу; пропорцияларды ажырату және құрастыру; пропорцияның негізгі қасиетін білу және қолдану Оқушылармен амандасу, түгендеу, сабаққа дайындықтарын тексеру. 1.Ұйымдастыру. 2. Үй жұмысын тексеру. |
Амандасады. Үй жұмысын айтады. |
Ынталандыру сөздерін қолдану «жақсы», «жарайсың», «өте жақсы» |
Оқулық |
||||||||||
|
10мин |
Жаңа сабақ |
Жаңа материалмен таныстыру. «Миға шабуыл».
100:20; 10:5; 40:8; 1:5; 50:10;
10:50; 5-ке тең болатын қатынастардың теңдігін жаз
Бұл теңдіктерді басқаша қалай жазуға болады?
Анықтама: Екі қатынастың теңдігі пропорция деп аталады.
Мысалы, Пропорцияны әріптер арқылы мына түрде жазады
Мұндағы,
Оқылуы: «a ның b ға қатынасы c ның d ға қатынасына тең» a:b=c:d пропорциясындағы а және d пропорцияныңшеткімүшелері, ал b және c пропорцияның ортаңғымүщелері деп аталады. Пропорцияның шеткі мүшелерінің көбейтіндісінің мәні орта мүшелерінің көбейтіндісінің мәніне тең Яғни, a:b=c:d , ad=bc Бұл қасиет пропорцияның негізгі қасиеті деп аталады Мысалы: Шешуі: Пропорцияның негізгі қасиетін қолданамыз 28
Жауабы: 7 |
Сұрақтарға жауап береді Тақырып бойынша ресурстарды қарап, танысады |
Ынталандыру сөздерін қолдану «жақсы», «жарайсың», «өте жақсы» Ынталандыру сөздерін қолдану «жақсы», «жарайсың», «өте жақсы» |
Тақта Бор Кітап Дәптер Интерактивті тақта Бағалау парақтары Презентация |
||||||||||
|
25 минут |
Бекіту тапсырмасы |
Жеке оқушымен жұмыс. №1 1. b–ның қандай мәнінде берілген теңдік пропорция болады? 1) 2. Төмендегі берілген сандардан пропорция құрыңыз. 1) 3; 4; 2; 6 2) 2; 3; 6; 9 №2 1. a–ның қандай мәнінде берілген теңдік пропорция болады? 1) 2. Төмендегі берілген сандардан пропорция құрыңыз. 1) 4; 5; 15; 12 2) 0,6; 1,5; 2; 5. №3 1. c–ның қандай мәнінде берілген теңдік пропорция болады? 1) 2. Төмендегі берілген сандардан пропорция құрыңыз. 1) 3; 10; 6; 2 2) 5; 1,5; 2; 0,6. |
Тақырып бойынша ресурстарды қарап, танысады Сұрақтарға жауап береді Мысалдар келтіреді. |
Дескриптор: Білім алушы
Бірінші болып аяқтаған жұп мадақталып, жұптар бір-бірін от шашу әдісімен бағалап отырады |
Тақта Бор Кітап Дәптер Интерактивті тақта Бағалау парақтары Презентация |
||||||||||
|
|
Жеке жұмыс |
Оқулықпен жұмыс №74-76.
|
Тапсырманы орындайды
|
Дескриптор: Білім алушы
Бірінші болып аяқтаған жұп мадақталып, ҚБ:екі жұлдыз, бір ұсыныс арқылы оқушыны бағалайды |
Тақта Бор Кітап Дәптер Интерактивті тақта Бағалау парақтары Презентация |
||||||||||
|
5 минут |
|
Бүгінгі сабақта: пропорция анықтамасын білу; пропорцияларды ажырату және құрастыру; пропорцияның негізгі қасиетін білу және қолдану Үйге тапсырма: Пропорция. Пропорцияның негізігі қасиеті. №73 /3,5/ Сабақ соңында оқушылар рефлексия жүргізеді: «Білім желкені» бойынша оқушылармен кері байланыс орнату. Кері байланыс Рефлексия - нені білдім, нені үйрендім - нені толық түсінбедім - немен жұмысты жалғастыру қажет Үйге тапсырма /қайталау |
Тақырыпты меңгергенін анықтау
Кері байланыс |
Презентация Тақта Оқу құралдары |
|||||||||||
Қысқа мерзімді (сабақ) жоспары
Сабақтың тақырыбы:
|
Мұғалімнің аты-жөні: |
|
||||||||||||
|
Пән/Сынып: |
6 сынып Қатысқандар саны: Қатыспағандар саны: |
||||||||||||
|
Күні: |
|
||||||||||||
|
Тарау немесе бөлім атауы: |
Қатынастар және пропорциялар |
||||||||||||
|
Сабақтың тақырыбы: |
Пропорция.Пропорцияның негізгі қасиеті |
||||||||||||
|
Оқу бағдарламасына сәйкес оқыту мақсаттары: |
6.1.2.3 пропорция анықтамасын білу; 6.1.2.4 пропорцияларды ажырату және құрастыру; 6.1.2.5 пропорцияның негізгі қасиетін білу және қолдану; |
||||||||||||
|
Сабақтың мақсаты: |
- пропорцияны оқи және жаза біледі; - пропорция анықтамасын біледі; - пропорцияларды ажырата және құрастыра алады; - пропорцияның негізгі қасиетін біледі және қолданады |
||||||||||||
|
Сабақ барысы: |
|||||||||||||
|
Уақыты |
Кезең дері |
Педагогтің әрекеті |
Оқушының әрекеті |
Бағалау |
Ресурстар |
||||||||
|
5 минут |
Ұйымдастыру |
Сәлеметсіздерме! Бүгін, Пропорция.Пропорцияның негізгі қасиеті тақырыптарын қарастырамыз Бүгінгі сабақта меңгеретініңіз: пропорция анықтамасын білу; пропорцияларды ажырату және құрастыру; пропорцияның негізгі қасиетін білу және қолдану Оқушылармен амандасу, түгендеу, сабаққа дайындықтарын тексеру. 1.Ұйымдастыру. 2. Үй жұмысын тексеру. |
Амандасады. Үй жұмысын айтады. |
Ынталандыру сөздерін қолдану «жақсы», «жарайсың», «өте жақсы» |
Оқулық |
||||||||
|
10мин |
Жаңа сабақ |
Ынтымақтастық атмосферасын құрамын. Оқушыларды «Жүректен жүрекке» әдісі арқылы бір-біріне жақсы тілек айтқызамын. 3. Сабақтың мақсатын оқушылармен ашу үшін «Миға шабуыл» әдісін қолданамын. -пропорция дегеніміз не? -пропорцияның негізгі қасиетін айтып беріңдер -пропорцияның белгісіз ортаңғы мүшесі қалай табылады? -пропорцияның белгісіз шеткі мүшесі қалай табылады? Оқушыларды «Бас бармақ» әдісі арқылы бағалаймын. |
Сұрақтарға жауап береді Тақырып бойынша ресурстарды қарап, танысады |
|
Тақта Бор Кітап Дәптер Интерактивті тақта Бағалау парақтары |
||||||||
|
25 минут |
Бекіту тапсырмасы |
1-топ №90 Пойыз 245 км қашықтықты 3,5 сағ жүреді. Пойыз осы жылдамдықпен 336 км қашықтықты неше сағат жүреді?
2-топ №91 127,5 м матадан 51 көйлек тігілді. Осындай 18 көйлек неше метр матадан тігіледі?
3-топ №92 28 кг картоптан 5,6кг крахмал алынады. 35 кг картоптан неше килограмм крахмал алынады?
Оқушыларды смайликтер арқылы бағалаймын. Жеке жұмыс. №1
Дескриптор: -есептің шарты бойынша белгісіздерді анықтайды; -амалдарды орындайды; -шешімін табады;
1-топ 1)Қазір қызы 8 жаста, шешесі 38 жаста. Неше жылдан кейін шешесінің жасы қызының жасынан 3 есе үлкен болады? (7 жыл) 2-топ 2) Бір ауылда бірдей 3 үй бар. Әр бір үйде 3 мысықтан бар. Әр бір мысық бір күнде 3 тышқан ұстайды. 3 күнде 3 үйден қанша тышқан ұсталады? Жауабы: 81 3-топ 3) Сұрақ белгісінің орнына қандай сан қою керек? 12-441 13-961 14-? Ж:691 Оқушыларды мадақтаулар арқылы бағалаймын. Тест.Сабақты қорытындылау. «Өзінді-өзің тексер» әдісімен оқушыларға тест тапсырмасы беріліп жеке-жеке орындайды. Слайдтардан жауабын тексереді. І нұсқа 1.Пропорцияның белгісіз мүшесін
табыңыз: A) 30 B) 5 C) 16 D) 3 E) 15 2. 5 кг алма үшін 120 теңге төленді. 7 кг алма үшін неше теңге төлеу керек? A) 198 т B) 178 т C) 148 т D) 158 т E) 168 т 3.Пропорцияның белгісіз мүшесін
табыңыз: A) 5 B) 13,5 C) 13 D) 12 E) 14
ІІ нұсқа 1. Пропорцияның белгісіз мүшесін тап: 7,5:3,5=х:14 A) 19,6 B) 7 C) 3 D) 70 E) 30 2. Турист қайықпен 504 км жүзді. Бұл барлық жолдың 36 % болса, барлық жолды тап. A) 181,44 км B) 1208 км C) 1608 км D) 1500 км E) 1400 км 3.Пропорцияның белгісіз мүшесін
табыңыз: A) 15 B) 30 C) 10 D) 5 E) 3 Дұрыс жауапқа «+» ,ал қате жауапқа «-» таңбасымен бағалап отырамын.
2. Төмендегі берілген сандардан пропорция құрыңыз. 1) 3; 10; 6; 2 2) 5; 1,5; 2; 0,6. Тақырып бойынша ресурстарды қарап, танысады Сұрақтарға жауап береді Мысалдар келтіреді. |
Дескриптор: -есептің шарты бойынша белгісіздерді анықтайды; -пропорция құрайды; -амалдарды орындайды; -шешімін табады; |
Тақта Бор Кітап Дәптер Интерактивті тақта Бағалау парақтары Тақта Бор Кітап Дәптер Интерактивті тақта Бағалау парақтары |
|||||||||
|
|
Жеке жұмыс |
Оқулықтан №80,81,86
|
Тапсырманы орындайды
|
|
Тақта Бор Кітап Дәптер Интерактивті тақта Бағалау парақтары |
||||||||
|
5 минут |
|
Бүгінгі сабақта: пропорция анықтамасын білу; пропорцияларды ажырату және құрастыру; пропорцияның негізгі қасиетін білу және қолдану Кері байланыс: «Қосу, алу, қызықты» әдісі
Үйге тапсырма: №83,91 |
Тақырыпты меңгергенін анықтау |
Кері байланыс |
Презентация |
||||||||
. Қысқа мерзімді (сабақ) жоспары
Сабақтың тақырыбы:
|
Мұғалімнің аты-жөні: |
|
||||||||||||||||||||||
|
Пән/Сынып: |
6 сынып Қатысқандар саны: Қатыспағандар саны: |
||||||||||||||||||||||
|
Күні: |
|
||||||||||||||||||||||
|
Тарау немесе бөлім атауы: |
Қатынастар және пропорциялар |
||||||||||||||||||||||
|
Сабақтың тақырыбы: |
Тура пропорционалдық тәуелділік. |
||||||||||||||||||||||
|
Оқу бағдарламасына сәйкес оқыту мақсаттары: |
6.1.1.2 қандай шамалар тура пропорционалды болатынын түсіну және оларға мысалдар келтіру, есептер шығару; 6.5.1.1 шамалары тура және кері пропорционалдықпен байланысты есептерді ажырату және шығару; |
||||||||||||||||||||||
|
Сабақтың мақсаты: |
- тура пропорционал шамалар анықтамасын біледі, мысалдар келтіреді. - тура пропорционал шамалардың есептерін шығарады, тура есептер құрастырады. |
||||||||||||||||||||||
|
Сабақ барысы: |
|||||||||||||||||||||||
|
Уақыты |
Кезең дері |
Педагогтің әрекеті |
Оқушының әрекеті |
Бағалау |
Ресурстар |
||||||||||||||||||
|
5 минут |
Ұйымдастыру |
Сәлеметсіздерме! Бүгін, Тура пропорционалдық тәуелділік тақырыптарын қарастырамыз Бүгінгі сабақта меңгеретініңіз: - тура пропорционал шамалар анықтамасын біледі, мысалдар келтіреді. - тура пропорционал шамалардың есептерін шығарады, тура есептер құрастырады. 1.Ұйымдастыру. 2. Үй жұмысын тексеру. «Зымыран сұрақтар» стратегиясы (белсенді оқыту түрі -сұрақ қою және талқылау). Оқушыларға өткен тақырыптан жылдам сұрақтар беріледі: -Пропорция дегеніміз не? -Пропорцияның белгісіз мүшелерін қалай табамыз? -Пропорцияның негізгі қасиетін формуламен жазыңдар? Сұраққа дұрыс жауап берген оқушыларға саралаудың «диалог және қолдау көрсету» тәсілі арқылы мадақталады. |
Амандасады. Үй жұмысын айтады. Сұрақтарға жауап береді |
Ынталандыру сөздерін қолдану «жақсы», «жарайсың», «өте жақсы» |
Оқулық Тақта Бор Кітап Дәптер Интерактивті тақта Бағалау парақтары |
||||||||||||||||||
|
10мин |
Жаңа сабақ |
Жаңа сабақтың тақырыбы мен мақсатын таныстырамын. Егер екі шаманың біреуін бірнеше есе арттырғанда, екіншісі де сонша есе арттырса, онда мұндай шамалар тура пропорционал шамалар деп аталады. Мысалы, заттың бағасы тұрақты болғанда, заттың мөлшері артса, оның құны да артады. Мұндазатмөлшері мен құны тура пропорционал. Жиікездесетін тура пропорционалшамалар:
|
Тақырып бойынша ресурстарды қарап, танысады |
|
Тақта Бор Кітап Дәптер Интерактивті тақта Бағалау парақтары |
||||||||||||||||||
|
20 минут |
Бекіту тапсырмасы |
Ауызша жұмысқа арналған тапсырма. «Жасырын сөзді тап» әдісі (белсенді оқыту түрі - бекіту және қолданысқа енгізу) арқылы пропорцияның белгісіз мүшесін тап:
Жауап берген оқушыларды бас бармақ әдісімен бағалау. Саралау тәсілі - «қарқын». Элективті
тест.Белсенді оқыту түрі
- қорытынды шығару және есте
сақтау түрі бойынша элективті тест
өтізіледі. 1. Пропорцияның белгісіз шеткі
мүшесін тап. 2. 150 метр матадан 60 көйлек тігіледі. 250 метр матадан қанша көйлек тігіледі. А) 120 ; В) 90 ; С) 100 ; Д) 110 ; 3. Тапсырманы 4 жұмысшы 150 сағатта орындайды. Осы тапсырманы 10 жұмысшы неше сағатта орындайды. А) 55 сағ ; В) 52 сағ; С) 61 сағ ; Д) 60 сағ ; Саралаудың қорытынды тәсілі. |
Оқушылар өзін – өзі бағалайды. |
Дескриптор: Білім алушы -Тура пропорцио нал шамаларды ажыратады; -Тура пропорцио нал шаманы пропорция құру арқылы есептеп шығарады;
|
Тақта Бор Кітап Дәптер Интерактивті тақта Бағалау парақтары |
||||||||||||||||||
|
5мин |
Жеке жұмыс |
Оқулықпен жұмыс №101,102,104
|
Тапсырманы орындайды
|
Дескриптор: Білім алушы -Тура пропорцио нал шамаларды ажыратады; -Тура пропорцио нал шаманы пропорция құру арқылы есептеп шығарады;
Дескриптор: Білім алушы -Тура пропорцио нал шамаларды ажыратады; -Тура пропорцио нал шаманы пропорция құру арқылы есептеп шығарады;
|
Тақта Бор Кітап Дәптер Интерактивті тақта Бағалау парақтары |
||||||||||||||||||
|
5 минут |
|
Бүгінгі сабақта: -тура пропорционал шамалар анықтамасын біледі, мысалдар келтіреді. - тура пропорционал шамалардың есептерін шығарады, тура есептер құрастырады Кері байланыс: «Қосу, алу, қызықты» әдісі
Үйге тапсырма: №103, №105.
|
Тақырыпты меңгергенін анықтау |
Кері байланыс |
Презентация |
||||||||||||||||||
. Қысқа мерзімді (сабақ) жоспары
Сабақтың тақырыбы:
|
Мұғалімнің аты-жөні: |
|
||||||
|
Пән/Сынып: |
6 сынып Қатысқандар саны: Қатыспағандар саны: |
||||||
|
Күні: |
|
||||||
|
Тарау немесе бөлім атауы: |
Қатынастар және пропорциялар |
||||||
|
Сабақтың тақырыбы: |
Тура пропорционал тәуелділік. |
||||||
|
Оқу бағдарламасына сәйкес оқыту мақсаттары: |
6.1.1.2 қандай шамалар тура пропорционалды болатынын түсіну және оларға мысалдар келтіру, есептер шығару; 6.5.1.1 шамалары тура және кері пропорционалдықпен байланысты есептерді ажырату және шығару; |
||||||
|
Сабақтың мақсаты: |
- тура пропорционал шамалар анықтамасын біледі, мысалдар келтіреді. - тура пропорционал шамалардың есептерін шығарады, тура есептер құрастырады.
|
||||||
|
Сабақ барысы: |
|||||||
|
Уақыты |
Кезең дері |
Педагогтің әрекеті |
Оқушының әрекеті |
Бағалау |
Ресурстар |
||
|
5 минут |
Ұйымдастыру |
Сәлеметсіздерме! Бүгін, Тура пропорционал тәуелділік тақырыптарын қарастырамыз Бүгінгі сабақта меңгеретініңіз: - тура пропорционал шамалар анықтамасын біледі, мысалдар келтіреді. - тура пропорционал шамалардың есептерін шығарады, тура есептер құрастырады. Оқушылармен амандасу, түгендеу, сабаққа дайындықтарын тексеру. 1.Ұйымдастыру. 2. Үй жұмысын тексеру. |
Амандасады. Үй жұмысын тексереді. |
Ынталандыру сөздерін қолдану «жақсы», «жарайсың», «өте жақсы» |
Оқулық |
||
|
10мин |
Жаңа сабақ |
Сөйлемді толықтырыңдар: «Екі қатынастың теңдігі…деп аталады» «Егер бір шама бірнеше есе артқанда (кемігенде), екінші шама сонша есе артатын (кемитін) болса, онда мұндай шамалар … деп аталады» «Натурал санды бөлшекке немесе бөлшекті натурал санға бөлу үшін…» Егер екі шаманың біреуін бірнеше есе арттырғанда, екіншісі де сонша есе арттырса, онда мұндай шамалар тура пропорционал шамалар деп аталады. Мысалы, заттың бағасы тұрақты болғанда, заттың мөлшері артса, оның құны да артады. Мұндазатмөлшері мен құны тура пропорционал. Жиікездесетін тура пропорционалшамалар:
|
Сұрақтарға жауап береді Тақырып бойынша ресурстарды қарап, танысады |
|
Презентация |
||
|
20 минут |
Бекіту тапсырмасы |
Есеп. №1. Массасы 300г, концентрациясы 15% қантты су ерітіндісіне 60 г таза су құйылды. Соңғы ерітіндінің концентрациясы неше процент. 1. масса процент 300 г------------------ 100 % Х г-----------------------15 % Х= (15*300): 100 =45 демек, алғашқы ерітіндіде 45 г қант бар. 2. Соңғы ерітіндінің массасы 300г + 60г(су) =360 г 3. Соңғы ерітіндінің концентрациясы (у %) неше процент екенін табамыз масса процент 360 г------------------ 100 % 45 г-----------------------у% у =(45*100) : 360 = 12,5 №2. Автоматты станок сағатына 58 бөлшек дайындап, берілген уақытта 348 бөлшек дайындады. Егер осы автоматты станок сағатына 75 бөлшек дайындайтын болса, берілген уақытта неше бөлшек дайындайды? №3. 500 г ерітінді де 40 г тұз бар. Осы ерітіндінің 200 грамында неше грамм тұз бар? |
Оқулықпен жұмыс /топтық жұмыс/ 1-топқа: №106 2-топқа: №107 3-топқа: №111,114
|
. Жеке тапсырмаларды орындауда «Смайлик» әдісімен бағаланады Жұптық тапсырмаларды орындауда «екі жұлдыз бір тілек» әдісімен бағаланады Топтық тапсырмаларды орындауда «бас бармақ» әдісі бойынша бағаланады
|
Тақта Бор Кітап Дәптер Интерактивті тақта Бағалау парақтары Интернет ресурстары |
||
|
5мин |
Жеке жұмыс |
Элективті тест.Белсенді оқыту түрі - қорытынды шығару және есте сақтау түрі бойынша элективті тест өтізіледі. 1. Пропорцияның белгісіз шеткі
мүшесін тап. А) 12,5; В) 14 ; С) 15,3; Д) 15,5 2. 150 метр матадан 60 көйлек тігіледі. 250 метр матадан қанша көйлек тігіледі. А) 120 ; В) 90 ; С) 100 ; Д) 110 ; 3. Тапсырманы 4 жұмысшы 150 сағатта орындайды. Осы тапсырманы 10 жұмысшы неше сағатта орындайды. А) 55 сағ ; В) 52 сағ; С) 61 сағ ; Д) 60 сағ ; |
Тапсырманы орындайды |
|
|
||
|
5 минут |
|
Бүгінгі сабақта: -тура пропорционал шамалар анықтамасын біледі, мысалдар келтіреді. - тура пропорционал шамалардың есептерін шығарады, тура есептер құрастырады Рефлексия Оқыту үшін бағалау және оқуды бағалау
Үйге тапсырма .№118 |
Тақырыпты меңгергенін анықтау |
Кері байланыс |
Презентация |
||
Сабақ жоспары
Бекітемін:
|
Мұғалімнің аты-жөні: |
|
||||||||||||||||
|
Пән/Сынып: |
6 сынып Қатысқандар саны: Қатыспағандар саны: |
||||||||||||||||
|
Күні: |
|
||||||||||||||||
|
Тарау немесе бөлім атауы: |
Қатынастар және пропорциялар |
||||||||||||||||
|
Сабақтың тақырыбы: |
Кері пропорционалдық тәуелділік |
||||||||||||||||
|
Оқу бағдарламасына сәйкес оқыту мақсаттары: |
6.5.1.1 шамалары тура және кері пропорционалдықпен байланысты есептерді ажырату және шығару; 6.1.2.3 пропорция анықтамасын білу; |
||||||||||||||||
|
Сабақтың мақсаты: |
шамалары тура және кері пропорционалдықпен байланысты есептерді ажырату және шығару; пропорция анықтамасын білу; |
||||||||||||||||
|
Сабақ барысы: |
|||||||||||||||||
|
Уақыты |
Кезең дері |
Педагогтің әрекеті |
Оқушының әрекеті |
Бағалау |
Ресурстар |
||||||||||||
|
5 минут |
Ұйымдастыру |
Сәлеметсіздерме! Бүгін, Кері пропорционалдық тәуелділік тақырыптарын қарастырамыз Бүгінгі сабақта меңгеретініңіз: шамалары тура және кері пропорционалдықпен байланысты есептерді ажырату және шығару; пропорция анықтамасын білу; Оқушылармен амандасу, түгендеу, сабаққа дайындықтарын тексеру. 1.Ұйымдастыру. 2. Үй жұмысын тексеру. «Зымыран сұрақтар» стратегиясы (белсенді оқыту түрі -сұрақ қою және талқылау). Оқушыларға өткен тақырыптан жылдам сұрақтар беріледі: -Пропорция дегеніміз не? -Пропорцияның белгісіз мүшелерін қалай табамыз? -Пропорцияның негізгі қасиетін формуламен жазыңдар? Сұраққа дұрыс жауап берген оқушыларға саралаудың «диалог және қолдау көрсету» тәсілі арқылы мадақталады. |
Амандасады. Үй жұмысын айтады. Сұрақтарға жауап береді |
Ынталандыру сөздерін қолдану «жақсы», «жарайсың», «өте жақсы» «Екі жұлдыз, бір тілек» |
Оқулық |
||||||||||||
|
10 мин |
Жаңа сабақ |
Жаңа білім беру. Есеп: Тапсырманы 4жұмысшы 120 сағата орындайды. Осы тапсырманы 8,12,16 жұмысшы неше сағатта орындайды? Шешуі: 1) Егер, тапсырманы 1 жұмысшы орындаса, ол неше сағатта орындайды? 4*120 =480 сағ. 2) тапсырманы 16 жұмысшы орындаса, неше сағ орындайтынын 480: 16 = 30 сағ екенін табамыз. Шамаларлың өзгерісін кестеге салайық
Демек, берілген тапсырманы орындайтын жұмысшылар саны неше артса, жұмсалатын уақыттың сонша есе кемитінін көреміз. • Егер, бірінші шама бірнеше есе артқанда(кемігенде) екінші шама сонша есе кемитін болса, мұндай шамалар кері пропорционал деп аталады. • Егер екі шама кері пропорционал болса, бірінші шаманың мәндерінің қатынасы екінші шаманың мәндерінің кері қатынасына тең болады. Кері пропорционалдылықты әріптермен жазсақ, х1 : х2 = у2 : у1 . Мысалы, кері пропорционал шамалар:
|
Тақырып бойынша ресурстарды қарап, танысады |
Дескриптор:-Кері пропорционалдық тәуелділік ережесін қолдана алады. |
Тақта Бор Кітап Дәптер Интерактивті тақта Бағалау парақтары |
||||||||||||
|
15 минут |
Бекіту тапсырмасы |
Сергіту сәті. Логикалық есептерді шығару.
|
Бекіту есептері. Оқулықпен жұмыс /топтық жұмыс/ 1-топқа: №126 2-топқа: №128 3-топқа: №133
|
.
Дескриптор:-Кері пропорционалдық тәуелділік ережесін қолдана алады. Топтық тапсырмаларды орындауда «бас бармақ» әдісі бойынша бағаланады |
Тақта Бор Кітап Дәптер Интерактивті тақта Бағалау парақтары |
||||||||||||
|
10мин |
Жеке жұмыс |
Карточкамен тапсырмалар беріледі. |
Тапсырманы орындайды |
|
|
||||||||||||
|
5 минут |
|
Бүгінгі сабақта: -тура пропорционал шамалар анықтамасын біледі, мысалдар келтіреді. - тура пропорционал шамалардың есептерін шығарады, тура есептер құрастырады Рефлексия Оқыту үшін бағалау және оқуды бағалау
Үйге тапсырма .№127 |
Тақырыпты меңгергенін анықтау |
Кері байланыс |
Презентация |
||||||||||||
Сабақ жоспары
Бекітемін:
|
Мұғалімнің аты-жөні: |
|
|||||||||||||||||||||||||||||||||||||
|
Пән/Сынып: |
6 сынып Қатысқандар саны: Қатыспағандар саны: |
|||||||||||||||||||||||||||||||||||||
|
Күні: |
|
|||||||||||||||||||||||||||||||||||||
|
Тарау немесе бөлім атауы: |
Қатынастар және пропорциялар |
|||||||||||||||||||||||||||||||||||||
|
Сабақтың тақырыбы: |
Кері пропорционалдық тәуелділік |
|||||||||||||||||||||||||||||||||||||
|
Оқу бағдарламасына сәйкес оқыту мақсаттары: |
6.5.1.1 шамалары тура және кері пропорционалдықпен байланысты есептерді ажырату және шығару; 6.1.2.3 пропорция анықтамасын білу; |
|||||||||||||||||||||||||||||||||||||
|
Сабақтың мақсаты: |
шамалары тура және кері пропорционалдықпен байланысты есептерді ажырату және шығару; пропорция анықтамасын білу; |
|||||||||||||||||||||||||||||||||||||
|
Сабақ барысы: |
||||||||||||||||||||||||||||||||||||||
|
Уақыты |
Кезең дері |
Педагогтің әрекеті |
Оқушының әрекеті |
Бағалау |
Ресурстар |
|||||||||||||||||||||||||||||||||
|
5 минут |
Ұйымдастыру |
Сәлеметсіздерме! Бүгін, Кері пропорционалдық тәуелділік тақырыптарын қарастырамыз Бүгінгі сабақта меңгеретініңіз: шамалары тура және кері пропорционалдықпен байланысты есептерді ажырату және шығару; пропорция анықтамасын білу; Оқушылармен амандасу, түгендеу, сабаққа дайындықтарын тексеру. 1.Ұйымдастыру. 2. Үй жұмысын тексеру. |
Амандсады. Үй жұмысын айтады. |
Ынталандыру сөздерін қолдану «жақсы», «жарайсың», «өте жақсы» |
Оқулық |
|||||||||||||||||||||||||||||||||
|
10 мин |
Негізгі бөлім |
Сұрақтар қойылады : І топ сұрақтары: 1. Пропорция дегеніміз? 2. Пропорцияның қасиеттерін айтыңыз? 3. b –ның қандай
мәнінде ІІ топ сұрақтары : 1. Қандай жағдайда шамалар тура пропорционалды деп аталады? 2. Тура пропорционалды шаманың қандай қасиеттерін білеміз? 3. Теңдеуді
шешіңдер: ІІІ топ сұрақтары : 1 . Қандай жағдайда шамалар кері пропорционалды деп аталады? 2. Кері пропорционалды шаманың қандай қасиеттерін білеміз? 3.
|
Сұрақтарға жауап береді Тақырып бойынша ресурстарды қарап, танысады |
Қ.Б. Сұрақтарға дұрыс жауап берген топтарды, топтардағы оқушыларды мақтау, мадақтау арқылы ауызша бағалау. |
Интернет материалдары Тақта Бор Кітап Дәптер Интерактивті тақта Бағалау парақтары |
|||||||||||||||||||||||||||||||||
|
25 минут |
Бекіту тапсырмасы |
Жеке, жұптық, топтық жұмыс « Жетістік баспалдағы» әдісі арқылы БЛУМ таксономиясы 1- топ Кестені толтыр S= 120 км S=*t
2-топ Кестені толтыр S= 150 км S=*t
3-топ Кестені толтыр S= 180 км S=*t
Оқулықтан №130, №139 Қосымша.
|
Кестені толтырады.
|
Дескриптор:-Кері пропорционалдық тәуелділік ережесін қолдана алады. -есепті дұрыс орындай алды 3 балл әр есепке |
Тақта Бор Кітап Дәптер Интерактивті тақта Бағалау парақтары |
|||||||||||||||||||||||||||||||||
|
|
Жеке жұмыс |
Карточкамен тапсырмалар беріледі. |
Тапсырманы орындайды |
|
|
|||||||||||||||||||||||||||||||||
|
5 минут |
|
Бүгінгі сабақта: шамалары тура және кері пропорционалдықпен байланысты есептерді ажырату және шығарады; пропорция анықтамасын біледі.
Бағалау Үйге тапсырма:№135
|
Тақырыпты меңгергенін анықтау |
Кері байланыс |
Оқулық Тақта Бор Кітап Дәптер Интерактивті тақта Бағалау парақтары |
|||||||||||||||||||||||||||||||||
Сабақ жоспары
Бекітемін:
|
Мұғалімнің аты-жөні: |
|
|||||||
|
Пән/Сынып: |
6 сынып Қатысқандар саны: Қатыспағандар саны: |
|||||||
|
Күні: |
|
|||||||
|
Тарау немесе бөлім атауы: |
Қатынастар және пропорциялар |
|||||||
|
Сабақтың тақырыбы: |
Мәтінді есептерді пропорцияның көмегімен шығару |
|||||||
|
Оқу бағдарламасына сәйкес оқыту мақсаттары: |
6.5.1.2пайызға берілген есептерді пропорция арқылы шешу; 6.1.2.6 шамаларды берілген қатынаста бөлу; 6.1.2.7 шамаларды берілген сандарға кері болатын пропорционал бөліктерге бөлу; |
|||||||
|
Сабақтың мақсаты: |
- пропорция ұғымын біледі; - пайыз ұғымын біледі; -cанның пайызын, пайызы бойынша санды таба алады; - пайызға берілген есептерді пропорция арқылы шеше алады. |
|||||||
|
Сабақ барысы: |
||||||||
|
Уақыты |
Кезең дері |
Педагогтің әрекеті |
Оқушының әрекеті |
Бағалау |
Ресурстар |
|||
|
5 минут |
Ұйымдастыру |
Сәлеметсіздерме! Бүгін, Мәтінді есептерді пропорцияның көмегімен шығару тақырыптарын қарастырамыз Бүгінгі сабақта меңгеретініңіз: -пайызға берілген есептерді пропорция арқылы шешу; -шамаларды берілген қатынаста бөлу; -шамаларды берілген сандарға кері болатын пропорционал бөліктерге бөлу; Оқушылармен амандасу, түгендеу, сабаққа дайындықтарын тексеру. 1.Ұйымдастыру. 2. Үй жұмысын тексеру. |
Амандасады. Үй жұмысын айтады. |
Ынталандыру сөздерін қолдану «жақсы», «жарайсың», «өте жақсы» |
Оқулық |
|||
|
10 мин |
Негізгі бөлім |
Ой-қозғау: С-1: Санның пайызын қалай табамыз? С-2: Пайызы бойынша санды қалай табамыз? С-3: Шамаларды берілген қатынаста қалай бөлеміз? С-4:шамаларды берілген сандарға кері болатын пропорционал бөліктерге қалай бөлеміз? Ауызша тапсырма.
пропорцияны оқыңдар, пропорция дұрыс па? 2.Тура және кері пропорционалдық тәуелділікті анықтаңыз:
Егер ол тұрақты жылдамдықпен жүрсе, Киевтен шекараға дейінгі арақашықтық пен Гонецтің Добрыняға дейінгі жүрген уақыты. Жаңа сабақ. Видео сабақ Тапсырмалар.
Жауабы: 13.
Жауабы: 7,49 т |
Сұрақтарға жауап береді Тақырып бойынша ресурстарды қарап, танысады |
|
Тақта Бор Кітап Дәптер Интерактивті тақта Бағалау парақтары |
|||
|
25 минут |
Бекіту тапсырмасы |
Сергіту сәті. Логикалық тапсырмалар.
Оқулықтан тапсырмалар береді №110,114
Есептерді түсіндіреді. Мысал келтіреді
|
Оқушы әрекеті: А: №1.Пропорцияның белгісіз мүшесін табыңыз: 7,5:3,5=х:14. Жауабы: 30. №2.2,5 кг қойдың еті үшін 475 тг төленді, сонда сол бағамен 665 теңгеге қанша кг қойдың етін сатып алуға болады? Жауабы: 3,5 кг. №3. 120 санын 1:2:3 қатынасындай бөліктерге бөліңіз. Жауабы: 20; 40; 60. В: №1. АВС үшбұрышының АВ қабырғасында жатқан Е нүктесі арқылы АС қабырғасына параллель түзу жүргізілген. Егер АВ=22,5 см, АЕ=18 см, ВС=15 см болса, ВС қабырғасын түзу қандай кесінділерге бөлінетінін табыңыз. Жауабы: 3 см, 12 см №2.
Пропорцияның белгісіз мүшесін
табыңыз:
№1. Жез – мыс пен мырыштың қорытпасы, олардың массаларының қатынасы 3:2 қатынасындай. Бір кесек жез дайындау үшін 120 г мыс қажет. Осы кесек жезді дайындау үшін қанша мырыш қажет болатынын анықтаңыз. Жауабы: 80 г
|
Дескриптор: -пропорция ның негізгі қасиетін біледі. -пропорция ның белгісіз мүшесін табады. |
Тақта Бор Кітап Дәптер Интерактивті тақта Бағалау парақтары Интернет ресурстары |
|||
|
|
Жеке жұмыс |
Карточкамен тапсырмалар беріледі |
Тапсырманы орындайды |
|
|
|||
|
5 минут |
|
Бүгінгі сабақта: -пайызға берілген есептерді пропорция арқылы шешеді; -шамаларды берілген қатынаста бөледі; -шамаларды берілген сандарға кері болатын пропорционал бөліктерге бөледі.
|
Тақырыпты меңгергенін анықтау |
Кері байланыс. |
Оқулық Тақта Бор Кітап Дәптер Интерактивті тақта Бағалау парақтары |
|||
Сабақ жоспары
Бекітемін:
|
Мұғалімнің аты-жөні: |
|
|||||||||||||||||||||||||||||||||
|
Пән/Сынып: |
6 сынып Қатысқандар саны: Қатыспағандар саны: |
|||||||||||||||||||||||||||||||||
|
Күні: |
. |
|||||||||||||||||||||||||||||||||
|
Тарау немесе бөлім атауы: |
Қатынастар және пропорциялар |
|||||||||||||||||||||||||||||||||
|
Сабақтың тақырыбы: |
Мәтінді есептерді пропорцияның көмегімен шығару |
|||||||||||||||||||||||||||||||||
|
Оқу бағдарламасына сәйкес оқыту мақсаттары: |
6.5.1.2пайызға берілген есептерді пропорция арқылы шешу; |
|||||||||||||||||||||||||||||||||
|
Сабақтың мақсаты: |
- пропорция ұғымын біледі; - пайыз ұғымын біледі; -cанның пайызын, пайызы бойынша санды таба алады; - пайызға берілген есептерді пропорция арқылы шеше алады. |
|||||||||||||||||||||||||||||||||
|
Сабақ барысы: |
||||||||||||||||||||||||||||||||||
|
Уақыты |
Кезең дері |
Педагогтің әрекеті |
Оқушының әрекеті |
Бағалау |
Ресурстар |
|||||||||||||||||||||||||||||
|
5 минут |
Ұйымдастыру |
Сәлеметсіздерме! Бүгін, Мәтінді есептерді пропорцияның көмегімен шығару тақырыптарын қарастырамыз Бүгінгі сабақта меңгеретініңіз: -пайызға берілген есептерді пропорция арқылы шешу; 1.Ұйымдастыру. Психологиялық ахуал орнату. 2. Үй жұмысын тексеру. №1 есеп. Қайталау сұрақтары.
|
Амандасады. Үй жұмысын айтады. Сұрақтарға жауап береді. |
|
Оқулық |
|||||||||||||||||||||||||||||
|
10 мин |
Негізгі бөлім |
Есептердің көбінде ондық, жүздік, мыңдық үлестері жиі кездеседі, сондықтан жүзден бір үлесті процент деп атайды. Процент латынның pro centum – «жүздік» деген сөзінен шыққан. Процент деген сөз саннан кейін келсе, оның орнына % белгісі қойылады. Мысалы: 5% «бес процент» деп оқылады. Кез келген тұтас шаманы 1 бүтін деп есептеп, оны 100% деп аламыз. Сонда процент дегеніміз берілген шаманың 1/100 бөлігі болып табылады, яғни 1%=1/100, осылайша 3%=3/100; 18%=18/100
Жай бөлшекті процентпен жазу
үшін оны 100ге көбейтіп, процент (%) тіркеп жазу керек. Әріппен
жазсақ
|
С-1: Санның пайызын қалай табамыз? С-2: Пайызы бойынша санды қалай табамыз? Тақырып бойынша ресурстарды қарап, танысады |
Дескриптор: - Берілген санның пайызын табу үшін пропорция құрып, есептің мәнін табады - Пайызы бойынша санды табу үшін пропорция құрып, есептің мәнін табады - Екі санның пайыздық қатынасын табу үшін пропорция құрып, есептің мәнін табады |
Плакат |
|||||||||||||||||||||||||||||
|
25 минут |
Бекіту тапсырмасы |
Топтық жұмыс. І топ
Оқулықтан. №147/2/ ІІ топ
Оқулықтан. №146/2/ IІІ топ Оқулықтан №149/1/ Өз бетімен жұмыс 1.Кестедегі сандар баған бойынша пропорционал болатындай етіп кестені толтырыңдар.
Жеке жұмыс/карточкамен/ №1.Процентті жай бөлшекпен, ондық бөлшекпен жаз:
№2. Пропорцияның белгісіз мүшесін тап: х:15 = 3:1 а:7 = 3:7 Сергіту сәті. Логикалық тапсырма.
|
Жұптық жұмыс. №147/3/. Жолаушылар түске дейін 64 км қашықтыққа барды, Бұл жүруге тиісті межеленген қашықтықтың 20% -індей. Жолаушылар неше километр қашықтықты жүруді межелеген еді? Шешуі: х- жолаушының межелеген жүруге тиісті қашықтығы. 64 км____________20% x км_____________100%
Жауабы:320 км Логикалық тапсырманы орындайды. |
Дескриптор:
-пайызға берілген есептерді пропорция арқылы шешу
Дескриптор: -Пропорцияның негізгі қасиетін біледі; - Кестедегі сандар баған бойынша пропорционал болатындай етіп кестені толтырады. «Екі жұлдыз, бір тілек»
|
Интернет ресурстары |
|||||||||||||||||||||||||||||
|
|
Жеке жұмыс |
Жеке оқушымен жұмыс/ Хайролла Т/
|
Тапсырманы орындайды |
|
|
|||||||||||||||||||||||||||||
|
5 минут |
|
Бүгінгі сабақта: -пайызға берілген есептерді пропорция арқылы шешеді; Сабақты бекіту кезеңі: 1. Процент деп нені айтады? 2. Процент бөлшекпен қалай жазылады? Мысал келтір. 3. Бөлшек процентпен қалай жазылады? Рефлексия. Сабақта маған не пайдалы болды? Сабақта маған не қызықты болды? Сабақта маған не қиын болды?
|
Тақырыпты меңгергенін анықтау Үйге тапсырма. №148. |
Кері байланыс |
Оқулық |
|||||||||||||||||||||||||||||
Сабақ жоспары
Бекітемін:
|
Мұғалімнің аты-жөні: |
|
|||||||||||||||||
|
Пән/Сынып: |
6 сынып Қатысқандар саны: Қатыспағандар саны: |
|||||||||||||||||
|
Күні: |
|
|||||||||||||||||
|
Тарау немесе бөлім атауы: |
Қатынастар және пропорциялар |
|||||||||||||||||
|
Сабақтың тақырыбы: |
Масштаб |
|||||||||||||||||
|
Оқу бағдарламасына сәйкес оқыту мақсаттары: |
6.1.1.5масштаб ұғымын меңгеру; 6.5.1.3 картамен, сызбамен, жоспармен жұмыс барысында масштабты қолдану; |
|||||||||||||||||
|
Сабақтың мақсаты: |
Масштабтың сандық мағынасын біледі. Картадағы арақашықтық пен жер бетіндегі арақашықтықтың арасындағы байланысын ажырата отырып, есептер шығарады; Өмірмен байланыстыра отырып масштаб өзгерісін анықтап, қалай өзгеретіні туралы ой тұжырымдайды |
|||||||||||||||||
|
Сабақ барысы: |
||||||||||||||||||
|
Уақыты |
Кезең дері |
Педагогтің әрекеті |
Оқушының әрекеті |
Бағалау |
Ресурстар |
|||||||||||||
|
5 минут |
Ұйымдастыру |
Сәлеметсіздерме! Бүгін, Масштаб тақырыптарын қарастырамыз Бүгінгі сабақта меңгеретініңіз: -масштаб ұғымын меңгеру; -картамен, сызбамен, жоспармен жұмыс барысында масштабты қолдану; 1.Ұйымдастыру. 2. Үй жұмысын тексеру. |
Амандасады. Үй жұмысын айтады. Сұрақтарға жауап береді |
Ынталандыру сөздерін қолдану «жақсы», «жарайсың», «өте жақсы» |
Оқулық |
|||||||||||||
|
10 мин |
Жаңа сабақ |
Жаңа сабақ. Географиялық карта – адам мәдениетінің негізгі құжаттарының бірі . Үлкен аймақтар , мемлекеттер немесе географиялық карталарда жер жүзінің бөліктері көрсетіледі.Карта бетіндегі әр сызық,әр штрих – жер қопарушылардың,саяхатшылардың ,зерттеуші – ғалымдардың көпжылдық еңбектерінің нәтижесі. Қазақстан картасына қараңдаршы –біздің еліміздің, туған жеріміздің картасы. Атластарыңды ашыңдар. Ел ордасы Астана қаласын табамыз және біздің облысымыздың басты қаласы Петропавл қаласынтабыңдар. Енді Астана қаласымен Петропавл қалаларының арақашықтығын сызғыш арқылы өлшеңдер. Қандай арақашықтық табылды? Айтыңдаршы , негізінде солай ма? Жоқ. Астанамен Петропавл қалалырының арасындағы арақашықты біз кейін табамыз.
Картада жер беті кішірейтілген түрде көрсетіледі . Мысалы, 1 километр картада – бұл 1 сантиметрге тең кесінді. Картадағы кесінді неше есе кем жер бетіндегі арақашықтықтан ? 1
1км Біз кесіндінің ұзындығының жер бетіндегі сәкес арақашықтыққа қатынасын таптық. Бұл өлшем масштаб деп аталады. Анықтама Картадағы кесінді ұзындығының оған сәйкес жер бетіндегі қашықтыққа қатынасын масштаб деп аталады. Масштаб , картадағы арақашықтық жер бетіндегі арақашықтық неше есе кем екенін көрсетеді.
|
Тақырып бойынша ресурстарды қарап, танысады Жеке жұмыс 1-тапсырма
Атырау мен Алматының арақашықтығы (түзу бойымен алғанда) 1800 км. Картаның масштабын анықтаңыз. Дескриптор: Білімалушы
2-тапсырма
Дескриптор: Білімалушы
жауабын жазады. Масштабтың жазылуына көңіл аударыңдар . Масштаб 1 : 100000 сандық деп аталады.
|
|
Презентация Тақта Бор Кітап Дәптер Интерактивті тақта Бағалау парақтары |
|||||||||||||
|
25 минут |
Бекіту тапсырмасы |
№ 159
Өзіндік жұмыс
х : 2000 = 1 : 1000,
Жауабы : 2см |
Қатынасты жазамыз 1,5 : х , масштабтың анықтамасын айтамыз . Екі қатынасты теңестіреміз. 1,5 : х = 1 : 1000
Жауабы: 0,015км Оқулықтан №156,157,164 |
Дескриптор: -Масштабты анықтайды. |
|
|||||||||||||
|
|
Жеке жұмыс |
Есеп. Белгіленген жердегі кесіндінің ұзындығы 240 м ,ал картадағы оған сәйкес кесіндінің ұзындығы 2,4 см.Карта масштабын анықта.
Масштабтың анықтамасы бойынша.
Жауабы: 1 : 1000 |
Тапсырманы орындайды Масштабтың анықтамасы бойынша.
Жауабы: 1 : 1000 |
|
Тақта Бор Кітап Дәптер Интерактивті тақта Бағалау парақтары |
|||||||||||||
|
5 минут |
|
Бүгінгі сабақта: -масштаб ұғымын меңгереді; -картамен, сызбамен, жоспармен жұмыс барысында масштабты қолданады. Үй тапсырмасы: №160 Рефлекcия
|
Тақырыпты меңгергенін анықтау |
Кері байланыс |
Презентация |
|||||||||||||
Сабақ жоспары
Бекітемін:
|
Мұғалімнің аты-жөні: |
|
||||||||||||
|
Пән/Сынып: |
6 сынып Қатысқандар саны: Қатыспағандар саны: |
||||||||||||
|
Күні: |
|
||||||||||||
|
Тарау немесе бөлім атауы: |
Қатынастар және пропорциялар |
||||||||||||
|
Сабақтың тақырыбы: |
Масштаб |
||||||||||||
|
Оқу бағдарламасына сәйкес оқыту мақсаттары: |
6.1.1.5масштаб ұғымын меңгеру; 6.5.1.3 картамен, сызбамен, жоспармен жұмыс барысында масштабты қолдану; |
||||||||||||
|
Сабақтың мақсаты: |
Масштабтың сандық мағынасын біледі. Картадағы арақашықтық пен жер бетіндегі арақашықтықтың арасындағы байланысын ажырата отырып, есептер шығарады; Өмірмен байланыстыра отырып масштаб өзгерісін анықтап, қалай өзгеретіні туралы ой тұжырымдайды |
||||||||||||
|
Сабақ барысы: |
|||||||||||||
|
Уақыты |
Кезең дері |
Педагогтің әрекеті |
Оқушының әрекеті |
Бағалау |
Ресурстар |
||||||||
|
5 минут |
Ұйымдастыру |
Сәлеметсіздерме! Бүгін, Масштаб тақырыптарын қарастырамыз Бүгінгі сабақта меңгеретініңіз: -масштаб ұғымын меңгеру; -картамен, сызбамен, жоспармен жұмыс барысында масштабты қолдану; Оқушылармен амандасу, түгендеу, сабаққа дайындықтарын тексеру. 1.Ұйымдастыру. 2. Үй жұмысын тексеру. |
Амандасады. Үй жұмысын айтады. |
Ынталандыру сөздерін қолдану «жақсы», «жарайсың», «өте жақсы» |
Оқулық |
||||||||
|
10 мин |
Негізгі бөлім |
Ой-қозғау: С-1: Масштаб дегеніміз не? С-2: Масштаб қайда және не үшін пайдаланады? С-3: Егер дененің нақты өлшемі сызбада 100 есе кемісе, сызбаның масштабы неге тең? Анықтама Картадағы кесінді ұзындығының оған сәйкес жер бетіндегі қашықтыққа қатынасын масштаб деп аталады.
Масштаб , картадағы арақашықтық жер бетіндегі арақашықтық неше есе кем екенін көрсетеді.
Масштабтың жазылуына көңіл аударыңдар . Масштаб 1 : 100000 сандық деп аталады.
|
Сұрақтарға жауап береді Тақырып бойынша ресурстарды қарап, танысады |
|
Оқулық |
||||||||
|
20 минут |
Бекіту тапсырмасы |
Жұптық жұмыс 1 жұп №1. Жер бетіндегі 20 м арақашықтық картаға 5 см болып кескінделген. Картаның масштабын табыңдар. Жауабы: 1:400. №2. Жоспарда үйдің ұзындығы 25 см. Егер жоспар 1: 300 масштабымен жасалса, онда үйдің жер бетіндегі ұзындығын табыңдар. Жауабы: 75 м. 2 жұп №1. Екі қаланың арақашықтығы 1300 км. Осы екі қаланың арақашықтығы масштабы 1:10000000 картада неше сантиметр. Жауабы: 13 см. №2. Деталдың ұзындығы сызбада 1:3 масштабпен 2,4 см-ге тең. Осы деталдың ұзындығы 2:1 масштабпен жасалғанда неше сантиметрге тең болады? Жауабы: 14,4 см. Тест бойынша жұмыс. 1 нұсқа 1.Спорттық базалардың арақашықтығы карта бойынша 8 см-ге тең. Егер картадағы 1 см жербетіндегі 11 км-ге сәйкес келсе, онда шаңғышы бір базадан екінші базаға бару үшін қанша арақашықтық жүру керек. 1) 108 км 2) 58 км 3) 88 км 4) басқа жауап 2. Картаның масштабы 1:100000. Егер жер бетіндегі арақашықтық 13 км болса, онда картадағы арақашықтықты анықтаңдар. 1) 13 см 2) 26 см 3) 13 мм 4) басқа жауап 3. Картаның масштабы 1:1000000. Егер картадағы арақашықтық 6 мм болса, онда жер бетіндегі арақашықтық неге тең. 1) 6000 км 2) 6 км 3) 600 км 4) басқа жауап 4.
18 1) 1:3700000; 2) 1:1850000; 3) 1:370000; 4) басқа жауап. 5. Деталдың ұзындығы сызбада 1:3 масштабпен 12 см-ге тең. Осы деталдың ұзындығы 1:4 масштабпен жасалғанда неше сантиметрге тең болады?
1.Екі ауылдың арақашықтығы карта бойынша 15 см-ге тең. Егер картадағы 1 см жербетіндегі 3 км-ге сәйкес келсе, онда екі ауылдың жербетіндегі арақашықтығы неге тең. 1) 5 км 2) 45 км 3) 82 м 4) басқа жауап 2. Картаның масштабы 1:20000. Егер жер бетіндегі арақашықтық 18,7 км болса, онда картадағы арақашықтықты анықтаңдар. 1) 80 см 2) 820 м 3) 18,7 м 4) басқа жауап 3. Картаның масштабы 1:1000000. Егер картадағы арақашықтық 41 мм болса, онда жер бетіндегі арақашықтық неге тең. 1) 6000 км 2) 6 км 3) 600 км 4) басқа жауап 4.
45 1) 1:452500; 2) 1:36200; 3) 1:3620; 4) басқа жауап. 5. Деталдың ұзындығы сызбада 1:200масштабпен 8 см-ге тең. Осы деталдың ұзындығы 1:70 масштабпен жасалғанда неше сантиметрге тең болады?
Жауаптары:
|
Тақырып бойынша ресурстарды қарап, танысады Сұрақтарға жауап береді Мысалдар келтіреді. |
. Дескриптор: -Масштаб анықтама сын біледі; - картамен, сызбамен, жоспармен жұмыс барысында масштабты қолдана біледі |
Интернет ресурстары |
||||||||
|
5мин |
Жеке жұмыс |
Оқулықпен жұмыс. №167-№170.
|
Тапсырманы орындайды
|
Мониторинг |
|
||||||||
|
5 минут |
|
Бүгінгі сабақта: -масштаб ұғымын меңгереді; -картамен, сызбамен, жоспармен жұмыс барысында масштабты қолданады. Үйге тапсырма: Масштаб. №168. Сабақ соңында рефлексия жүргіземіз. «Сөйлемді жалғастыр» - маған ең ұнағаны …… - мен үшін күрделі болғаны ….. -келесіде мен міндетті түрде орындай аламын……. |
Тақырыпты меңгергенін анықтау |
Кері байланыс |
|
||||||||
Сабақ жоспары
Бекітемін:
|
Мұғалімнің аты-жөні: |
|
|||||
|
Пән/Сынып: |
6 сынып Қатысқандар саны: Қатыспағандар саны: |
|||||
|
Күні: |
|
|||||
|
Тарау немесе бөлім атауы: |
Қатынастар және пропорциялар |
|||||
|
Сабақтың тақырыбы: |
Шеңбердің ұзындығы. Дөңгелектің ауданы. Шар. Сфера |
|||||
|
Оқу бағдарламасына сәйкес оқыту мақсаттары: |
6.3.3.2 шеңбер ұзындығының оның диаметріне қатынасы тұрақты сан екенін білу; 6.3.3.3 шеңбер ұзындығының формуласын білу және қолдану; 6.3.3.4 дөңгелек ауданының формуласын білу және қолдану; 6.3.1.7 шар мен сфера туралы түсінігінің болуы; |
|||||
|
Сабақтың мақсаты: |
Шеңбердің ұзындығы. Дөңгелектің ауданы. туралы түсініктер қалыптастыды, аудандарын табуда формуллаларды дұрыс пайдалануды үйренеді
|
|||||
|
Сабақ барысы: |
||||||
|
Уақыты |
Кезең дері |
Педагогтің әрекеті |
Оқушының әрекеті |
Бағалау |
Ресурстар |
|
|
5 минут |
Ұйымдастыру |
Сәлеметсіздерме! Бүгін, Шеңбердің ұзындығы. Дөңгелектің ауданы. Шар. Сфера тақырыптарын қарастырамыз Бүгінгі сабақта меңгеретініңіз: -шеңбер ұзындығының оның диаметріне қатынасы тұрақты сан екенін білу; -шеңбер ұзындығының формуласын білу және қолдану; -дөңгелек ауданының формуласын білу және қолдану; - шар мен сфера туралы түсінігінің болуы; Амандасу, түгендеу, сабаққа дайындықтарын тексеру. 1.Ұйымдастыру. 2. Үй жұмысын тексеру. |
Амандасады. Үй жұмысын тексереді. «Қайталау – оқу айнасы»
|
Ынталандыру сөздерін қолдану «жақсы», «жарайсың», «өте жақсы» |
Оқулық |
|
|
10 мин |
Жаңа сабақ |
Жаңа сабақты бастамас бұрын ой қозғау мақсатында оқушыларға сұрақ арқылы диалогқа түсіру.Өз ойларын, пікірлерін ашық айту Оқушылардың мұндағы мақсаты берілген сұрақтарға жауап беріп, өз ой-пікірлерімен санаса білу Топпен жұмыс жасау: Жаңа тақырып бойынша арнайы ресурстар Шеңбердің ұзындығы. Шеңбер-барлық нүктелерi қайсыбiр О нүктесiнен бiрдей қашықтықта жататын тұйық қисық сызық екенiн бiлемiз (202–сурет). Кез келген шектеулi сызыктың ұзындығы бар, яғни шеңбердiң де ұзындығы бар. Шеңбердi ұзындығын табуды қарастырайық. Ол үшін мынадай тәжiрибе жүргiземiз. Мысалы, жиегi шеңбер болатын стаканды немесе кесенi алайық. Оның жиегiн жiппен орап (1.7 – сурет), жіптің қзындығын сызғышпен өлшейік. Жіптің ұзындығы шамамен стакан шеңберінің ұзындығына тең Сонан соң стакан диаметрін сызғышпен өлшейміз. Тәжірибелер нәтижесінде кез
келген шеңбер үшін, шеңбер ұзындығының оның диаметріне қатынасы
тұрақты санға тең екені анықталды. Бұл сан
гректiң
Шеңбердің
ұзындығы Демек, шеңбер ұзындығы оның диаметріне тура пропорционал. Егер диаметрдi радиус арқылы
өрнектесек,
1-есеп. Диаметрi 10 м шеңбердің ұзындығын табыңдар. 2-есеп. Радиусы 15 м шеңбердiң ұзындығын табыңдар. . Дөңгелектің ауданы. Математикалық зерттеулер мен
есептеулер нәтижесiнде дөңгелектiң ауданы қабырғасы дөңгелектiң
радиусындай квадраттың ауданынан Егер дөңгелектiң радиусы R см
болса, қабырғасы дөңгелектiң радиусына тең квадраттың ауданы
R2
см2
болады.Демек, дөңгелектің
ауданын мына формуламен есептейміз: Мұндағы S – дөңгелектің ауданы, R – дөңгелектің радиусы. Дөңгелектің ауданы оның
радиусының квадраты мен 3-есеп. Радиусы 5 м дөңгелектiң ауданын табу керек. . Шар. Жердiң дәл моделi болып табылатын глобус, ойын добы, жеңiл атлетикада лақтырылатын ядро және т.6. шар деп аталатын фигура жайында түсiнiк бередi. Шардың бетi сфера деп аталады. «Сфера» грек сөзi, ол қазақша «доп» дегендi бiлдiредi (204-сурет). Сфера нүктелерiнiң барлығы шар (сфера) центрі деп аталатын нүктеден бiрдей қашықтықта жатады. Сфераның кез келген нүктесiн шардың центрiмен қосатын кесiнді шардың (сфераның) радиусы дәл аталады. Шардың центрi арқылы өтiп, сфераның екi нүктесiн қосатын кесiнді шардың (сфераның) диаметрі деп аталады. Шарды жазықтықпен қиғандағы кез келген қима дөңгелек болады (205-сурет). Ал сфераны жазықтықпен қиғандағы кез келген шеңбер болады. Жер - шар тәрiздес дене. Сондықтан оны Жер шары деп атайды. |
Сұрақтарға жауап береді Тақырып бойынша ресурстарды қарап, танысады
1.Шешуi. Жауабы: 31,4 м. 2.Шешуi. R=15 м; С=2πR, онда с=2∙3,14∙15=94,2 (м). Жауабы: 94,2 м.
3.Шешуi. R=5м;
|
«Екі жұлдыз бір ұсыныс»
Дескриптор:-Шеңбердің ұзындығы. Дөңгелектің ауданы. Шар. Сфера формула ларын пайдалана біледі. Дескриптор:-Шеңбердің ұзындығы. Дөңгелектің ауданы. Шар. Сфера формула ларын пайдалана біледі. |
Презентация Слайд |
|
|
25 минут |
Бекіту тапсырмасы |
Топтық жұмыс. Шеңбердің радиусы арқылы дөңгелектің ауданын табыңдар, түсіндірмесін беріңдер. №1. 1.АВ=10см; CD=2см. Дөңгелектің боялған бөлігінің ауданын табыңдар. Шешуі: Кіші
шеңбер:
№2. Қабырғасы 20 см квадраттың ішіне салынған боялған фигураның ауданын табыңдар.
Шешуі: 400 см2 - 314 см2=86 см2. 314 см2 – 86 см2 =228 см2. Жауабы: 228 см2 №3.Тік төртбұрыштың ұзындығы 10 см, ені 5 см. Оның боялған бөлігінің ауданын табыңдар.
Шешуі: 19,625∙2=39,25 см2. 50 см2-39,25 см2=10,75 см2. Жауабы: 10,75 см2. |
|
Дескриптор:-Шеңбердің ұзындығы. Дөңгелектің ауданы. Шар. Сфера формула ларын пайдалана біледі. |
|
|
|
|
Жеке жұмыс |
Оқулықтан №182,183,184.
|
Тапсырманы
орындайды |
|
Оқулық |
|
|
5 минут |
|
Бүгінгі сабақта: шеңбер ұзындығының оның диаметріне қатынасы тұрақты сан екенін білу; -шеңбер ұзындығының формуласын білу және қолдану; -дөңгелек ауданының формуласын білу және қолдану; - шар мен сфера туралы түсінігінің болуы; Үйге тапсырма: №184, №186. |
Тақырыпты меңгергенін анықтау Кері байланыс Рефлексия - нені білдім, нені үйрендім - нені толық түсінбедім - немен жұмысты жалғастыру қажет Үйге тапсырма /қайталау |
|
Презентация |
|
Сабақ жоспары
Бекітемін:
|
Мұғалімнің аты-жөні: |
|
|||||||||||||||||||||
|
Пән/Сынып: |
6 сынып Қатысқандар саны: Қатыспағандар саны: |
|||||||||||||||||||||
|
Күні: |
|
|||||||||||||||||||||
|
Тарау немесе бөлім атауы: |
Қатынастар және пропорциялар |
|||||||||||||||||||||
|
Сабақтың тақырыбы: |
Шеңбердің ұзындығы. Дөңгелектің ауданы. Шар. Сфера |
|||||||||||||||||||||
|
Оқу бағдарламасына сәйкес оқыту мақсаттары: |
6.3.3.2 шеңбер ұзындығының оның диаметріне қатынасы тұрақты сан екенін білу; 6.3.3.3 шеңбер ұзындығының формуласын білу және қолдану; 6.3.3.4 дөңгелек ауданының формуласын білу және қолдану; 6.3.1.7 шар мен сфера туралы түсінігінің болуы; |
|||||||||||||||||||||
|
Сабақтың мақсаты: |
Шеңбердің ұзындығы. Дөңгелектің ауданы. туралы түсініктер қалыптастыды, аудандарын табуда формуллаларды дұрыс пайдалануды үйренеді
|
|||||||||||||||||||||
|
Сабақ барысы: |
||||||||||||||||||||||
|
Уақыты |
Кезең дері |
Педагогтің әрекеті |
Оқушының әрекеті |
Бағалау |
Ресурстар |
|||||||||||||||||
|
5 минут |
Ұйымдастыру |
Сәлеметсіздерме! Бүгін, Шеңбердің ұзындығы. Дөңгелектің ауданы. Шар. Сфера тақырыптарын қарастырамыз Бүгінгі сабақта меңгеретініңіз: -шеңбер ұзындығының оның диаметріне қатынасы тұрақты сан екенін білу; -шеңбер ұзындығының формуласын білу және қолдану; -дөңгелек ауданының формуласын білу және қолдану; - шар мен сфера туралы түсінігінің болуы; амандасу, түгендеу, сабаққа дайындықтарын тексеру. 1.Ұйымдастыру. 2. Үй жұмысын тексеру. |
Амандасады. Үй жұмысын айтады. |
Ынталандыру сөздерін қолдану «жақсы», «жарайсың», «өте жақсы» |
Оқулық |
|||||||||||||||||
|
10 мин |
Жаңа сабақ |
Ой қорыту.
|
Сұрақтарға жауап береді |
Тақырып бойынша ресурстарды қарап, танысады |
Презентация Слайд |
|||||||||||||||||
|
15 минут |
Бекіту тапсырмасы |
Деңгейлік тапсырмалар: І деңгей тапсырмалары 1. Радиустың берілген мәні бойынша шеңбердің ұзындығын, дөңгелектің ауданын тауып, кестені толтырыңдар.
ІІ деңгей тапсырмалары 1. Шеңбердің ұзындығы 43,96 см дөңгелектің ауданын табыңдар.
_
Жауабы: 2. Берілген қашықтықта радиусы 27 см доңғалақ 30 рет айналғанда радиус 18 см доңғалақ неше айналым жасайды?
Жауабы:
ІІІ деңгей тапсырмалары 10.Қыры 32 см куб пішінді қорапшаға радиусы 3,2см неше теннис добы сыяды? Шешуі: 11. Шарды оның центрінен өтетін жазықтықпен қиғандағы дөңгелектің диаметрі 30 см. Дөңгелектің ауданын табыңыз.
|
|
.
Дескриптор:-Шеңбердің ұзындығы. Дөңгелектің ауданы. Шар. Сфера формула ларын пайдалана біледі.
|
Интернет ресурстары |
|||||||||||||||||
|
10мин |
Жеке жұмыс |
Оқулықтан №193, №195. |
Тапсырманы орындайды |
|
|
|||||||||||||||||
|
5 минут |
|
Бүгінгі сабақта: шеңбер ұзындығының оның диаметріне қатынасы тұрақты сан екенін білу; -шеңбер ұзындығының формуласын білу және қолдану; -дөңгелек ауданының формуласын білу және қолдану; - шар мен сфера туралы түсінігінің болуы;
Үйге тапсырма. №196.
|
Тақырыпты меңгергенін анықтау |
Кері байланыс |
Презентация |
|||||||||||||||||
Сабақ жоспары
Бекітемін:
|
Мұғалімнің аты-жөні: |
|
|||||
|
Пән/Сынып: |
6 сынып Қатысқандар саны: Қатыспағандар саны: |
|||||
|
Күні: |
|
|||||
|
Тарау немесе бөлім атауы: |
Қатынастар және пропорциялар |
|||||
|
Сабақтың тақырыбы: |
Шеңбердің ұзындығы. Дөңгелектің ауданы. Шар. Сфера |
|||||
|
Оқу бағдарламасына сәйкес оқыту мақсаттары: |
6.3.3.2 шеңбер ұзындығының оның диаметріне қатынасы тұрақты сан екенін білу; 6.3.3.3 шеңбер ұзындығының формуласын білу және қолдану; 6.3.3.4 дөңгелек ауданының формуласын білу және қолдану; 6.3.1.7 шар мен сфера туралы түсінігінің болуы; |
|||||
|
Сабақтың мақсаты: |
Шеңбердің ұзындығы. Дөңгелектің ауданы. туралы түсініктер қалыптастыды, аудандарын табуда формуллаларды дұрыс пайдалануды үйренеді
|
|||||
|
Сабақ барысы: |
||||||
|
Уақыты |
Кезең дері |
Педагогтің әрекеті |
Оқушының әрекеті |
Бағалау |
Ресурстар |
|
|
5минут |
Ұйымдастыру |
Сәлеметсіздерме! Бүгін, Шеңбердің ұзындығы. Дөңгелектің ауданы. Шар. Сфера тақырыптарын қарастырамыз Бүгінгі сабақта меңгеретініңіз: -шеңбер ұзындығының оның диаметріне қатынасы тұрақты сан екенін білу; -шеңбер ұзындығының формуласын білу және қолдану; -дөңгелек ауданының формуласын білу және қолдану; - шар мен сфера туралы түсінігінің болуы; амандасу, түгендеу, сабаққа дайындықтарын тексеру. 1.Ұйымдастыру. 2. Үй жұмысын тексеру. |
Амандасады. Үй жұмысын айтады. Ой-қозғау:
Диаметр радиустан неше есе ұзын? |
Ынталандыру сөздерін қолдану «жақсы», «жарайсың», «өте жақсы» |
Оқулық |
|
|
10 мин |
Жаңа сабақ |
Ұжымдық жұмыс Шеңбердің ұзындығын өлшеп табуға болады.Мысалы, жиегі шеңбер болатын стақанды алайық. Оның жиегін жіппен орап, жіптің ұзындығын сызғышпен өлшейік. Жіптің ұзындығы шамамен стақан шеңберінің ұзындығына тең. Сонан соң стақан диаметр диаметрін сызғышпен өлшейміз. Тәжірибелер
нәтижесінде кез-келген шеңбер үшін
шеңбер ұзындығының оның диаметріне қатынасы тұрақты санға тең екені
анықталды. Бұл сан
гректің
Есептеулерде π Шеңбердің ұзындығын С әрпімен, ал диаметрін D әрпімен белгілейді.
Шеңбердің ұзындығы π саны мен шеңбер диаметрінің көбейтіндісіне тең. Диаметрді радиус арқылы өрнектесек, D = 2R. Онда шеңбер ұзындығының формуласы С = 2πR түрінде жазылады. 1-есеп. Диаметрі 10 см шеңбердің ұзындығын табыңдар. Шешуі: D = 10 см,
ал C= πD,
онда С
Жауабы:31,4см. Шар. Сфера. Мысалы :Қарбыз, глобус, жеңіл атлетикада қолданылатын ядро, және т.б денелер шар деп аталатын фигура жайында түсінік береді. Шар-кеңістікте орналасатын дене. Шардың беті сфера деп аталады. «Сфера» грек сөзі ,доп дегенді білдіреді. |
Сұрақтарға жауап береді Тақырып бойынша ресурстарды қарап, танысады 2-есеп. Радиусы 15 м шеңбердің ұзындығын табыңдар. Шешуі: R = 15м ; C
= 2πR, онда С
Егер дөңгелектің радиусы R см болса, қабырғасы дөңгелектің радиусына тең квадраттың ауданы R2 см2 болады. Демек, дөңгелектің ауданын мына формуламен есептейміз: S = πR2 3- есеп.Радиусы 5 м дөңгелектің ауданын табыңдар. Шешуі: R= 5м; S =
πR2=π
*52 Жауабы: 78,5 м2. |
|
Оқулық |
|
|
10 минут |
Бекіту тапсырмасы |
Оқулықпен жұмыс Жеке жұмыс №184 1)Д=3476кмДескриптор т/к:С=? Формуланы біледі шешуі: Жер экваторының С= πD ұзындығын табады. С=3,14*3476=10914,64 км Жауабы: 10914,64км. 2)Д=8м т/к:S=? Шешуі: R=D/2=8/2=4м S=πR2Ауданын табады. S=3.14*42 =50,24м2 Жауабы:50,24м2 №185 R=15мм т/к:С=? Шешуі:С=2 πRС=2*3,14*15=94,2мм Шеңбер доғасының ұзындығы шеңбер ұзындығының 1/3 бөлігіне тең С=С/3=94,2/3=31,4мм Жауабы:С=31,4мм |
№186 Д=60см т/к :С=? Шешуі:С= πD С=3,14*60=188,4см 5*188,4=942 см Жауабы:942см Сәйкестендіру тесті Шеңбердің ұзындығы D Диаметрдің белгілеуі 3,14 π – дің мәні С = πD Шеңбердің ұзындығының формуласы С Диаметрді радиус арқылы өрнектеу S = πR2 Дөңгелектің
ауданы Шеңбер ұзындығының диаметрге қатынасы D= 2R |
Дескриптор: -Формуланы біледі - Жер экваторы ның ұзындығын табады -Ауданын табады.
Дескриптор Формуланы біледі Доғаның ұзындығын табады |
Оқулық |
|
|
15 мин |
Жеке жұмыс |
ББЖБ №1 |
Тапсырманы орындайды |
Бағалау критериіне сәйкес бағалау |
Жинақ |
|
|
5 минут |
|
Бүгінгі сабақта: шеңбер ұзындығының оның диаметріне қатынасы тұрақты сан екенін білу; -шеңбер ұзындығының формуласын білу және қолдану; -дөңгелек ауданының формуласын білу және қолдану; - шар мен сфера туралы түсінігінің болуы; Үйге тапсырма: Шеңбердің ұзындығы. Дөңгелектің ауданы. Шар. Сфера. №197, №198 Сабақ соңында рефлексия жүргіземіз. 1. Сабақтың мақсаты қандай болды? 2. Мен мақсатқа жеттім бе? 3. Мен не білдім? 4. Мен нені үйрендім? 5. Мен нені түсінбедім? 6. Мен не бойынша әлі де жұмыс істеуім керек? |
Тақырыпты меңгергенін анықтау |
Кері байланыс |
Презентация |
|
Қысқа мерзімді жоспар
Бекітемін:
|
Сабақ: № 25 |
Мектеп: |
|
|
Күні |
Мұғалімнің аты-жөні: |
|
|
Бөлім: |
6.1В Рационал сандар және оларға амалдар қолдану |
|
|
Сынып: 6 а |
Қатысқан оқушы саны: |
Қатыспаған оқушы саны: |
|
Сабақтың тақырыбы: |
Оң сандар. Теріс сандар. |
|
|
Оқу бағдарламасына сәйкес оқыту мақсаттары |
6.1.1.7 қарама-қарсы сандар ұғымын меңгеру, оларды координаталық түзуде белгілеу; |
|
|
Сабақтың мақсаты: |
Қарама-қарсы сандар ұғымын меңгеру, оларды координаталық түзуде белгілей алады. |
|
САБАҚТЫҢ БАРЫСЫ
|
Сабақтың кезеңі/ уақыт |
Педагогтің әрекеті |
Оқушының әрекеті |
Бағалау |
Ресурстар |
|
Сабақтың басы |
І. Ұйымдастыру кезеңі: амандасу, түгендеу. Үй тапсырмасын тексеру: № тапсырма |
Амандасады, үй тапсырмасын тексертеді |
Ынталандыру сөздерін қолдану «жақсы», «жарайсың», «өте жақсы» |
|
|
Сабақтың ортасы |
Бүгінгі күнді және жаңа тақырыпты жазамыз: «Оң сандар. Теріс сандар.»
|
Анықтамаларды жазып алады Теріс, оң жазады +, - таңбасын пайдаланады Практикалық жұмыс Ауызша жауап береді +, - санмен жазады Градусты табады Кестені толтырады |
1 балл 1 балл 1 балл 1 балл 1 балл 1 балл 1 балл 1 балл |
Математика, 6сынып, Т.А.Алдармұратова & 2.1, 70 бет |
|
Сабақтың соңы |
Кері байланыс: Екі жұлдыз, бір тілек Үйге тапсырма :№ 236. |
Кері байланыс береді |
Жалпы 10 балдық жүйемен бағалау |
кесте |
Қысқа мерзімді жоспар
Бекітемін:
|
Сабақ: № 26 |
Мектеп: |
|
|
Күні: |
Мұғалімнің аты-жөні: |
|
|
Бөлім: |
6.1В Рационал сандар және оларға амалдар қолдану |
|
|
Сынып: 6 а |
Қатысқан оқушы саны: |
Қатыспаған оқушы саны: |
|
Сабақтың тақырыбы: |
Координаталық түзу. Қарама-қарсы сандар |
|
|
Оқу бағдарламасына сәйкес оқыту мақсаттары |
6.1.1.4 координаталық түзудің анықтамасын білу және координаталық түзуді салу; 6.1.1.7 қарама-қарсы сандар ұғымын меңгеру, оларды координаталық түзуде белгілеу; |
|
|
Сабақтың мақсаты: |
Координаталық түзудің анықтамасын білу және координаталық түзуді салу; Қарама-қарсы сандар ұғымын меңгеру, оларды координаталық түзуде белгілеу; |
|
САБАҚТЫҢ БАРЫСЫ
|
Сабақтың кезеңі/ уақыт |
Педагогтің әрекеті |
Оқушының әрекеті |
Бағалау |
Ресурстар |
|
Сабақтың басы 5мин |
І. Ұйымдастыру кезеңі: амандасу, түгендеу. Үй тапсырмасын тексеру: № 237 |
Амандасады, үй тапсырмасын тексертеді |
Ынталандыру сөздерін қолдану «жақсы», «жарайсың», «өте жақсы» |
|
|
Сабақтың ортасы 35 |
Бүгінгі күнді және жаңа тақырыпты жазамыз: «Координаталық түзу. Қарама-қарсы сандар»
|
Тақырып бойынша ресурстарды қарап, танысады Сұрақтарға жауап береді Мысалдар келтіреді. Координатасын сызып алады Қарама- қарсы сандар Шартын атайды Координаталарын атайды Коорд. Түзу сызады Қарама-қарсы сандар жұбын жазады Кестені толтырады |
1 балл Жарайсың! Бәрекелді! Жақсы! 1 балл 2 балл 2 балл 2 балл 2 балл |
Математика, 6сынып, Т.А.Алдармұратова & 2.2, 75-78 бет |
|
Сабақтың соңы 5 |
Кері байланыс: Екі жұлдыз, бір тілек Үйге тапсырма :№ 243, №245. |
Кері байланыс береді |
Жалпы 10 балдық жүйемен бағалау |
кесте |
Сабақ жоспары
Бекітемін:
|
Мұғалімнің аты-жөні: |
|
|||||||||||||||||||||||
|
Пән/Сынып: |
6 сынып Қатысқандар саны: Қатыспағандар саны: |
|||||||||||||||||||||||
|
Күні: |
|
|||||||||||||||||||||||
|
Тарау немесе бөлім атауы: |
6.1В Рационал сандар және оларға амалдар қолдану |
|||||||||||||||||||||||
|
Сабақтың тақырыбы: |
Координаталық түзу. Қарама-қарсы сандар |
|||||||||||||||||||||||
|
Оқу бағдарламасына сәйкес оқыту мақсаттары: |
6.1.1.4 координаталық түзудің анықтамасын білу және координаталық түзуді салу; 6.1.1.7 қарама-қарсы сандар ұғымын меңгеру, оларды координаталық түзуде белгілеу; |
|||||||||||||||||||||||
|
Сабақтың мақсаты: |
Координаталық түзудің анықтамасын білу және координаталық түзуде нүктелерді белгілеу; Координаталық түзу бойында бір ғана нүкте сәйкес келетінін растау; Координаталық түзуде рационал сандарды белгілеуін тұжырымдау |
|||||||||||||||||||||||
|
Сабақ барысы: |
||||||||||||||||||||||||
|
Уақыты |
Кезең дері |
Педагогтің әрекеті |
Оқушының әрекеті |
Бағалау |
Ресурстар |
|||||||||||||||||||
|
2 минут |
Ұйымдастыру |
Сәлеметсіздерме! Бүгін, Координаталық түзу. Қарама-қарсы сандар тақырыптарын қарастырамыз Бүгінгі сабақта меңгеретініңіз: - координаталық түзудің анықтамасын білу және координаталық түзуді салу; -қарама-қарсы сандар ұғымын меңгеру, оларды координаталық түзуде белгілеу; 1.Ұйымдастыру. 2. Үй жұмысын тексеру. |
Амандасады. Үй жұмысын айтады. |
Ынталандыру сөздерін қолдану «жақсы», «жарайсың», «өте жақсы» |
Оқулық |
|||||||||||||||||||
|
8 мин |
Жаңа сабақ |
Оң және теріс сандар не үшін қолданылады? • Өлшеу, есептеу жұмыстарында шамалардың тура мағынасы мен қарама-қарсы мағынасының өзгерісінің сан мәнін ажырата білу үшін оң және теріс сандар қолданылады. • Шамалардың тура мағынасының сан мәнінің алдына «+» таңбасы қойылады. • Шамалардың қарама-қарсы мағынасының сан мәнінің алдына «-» таңбасы қойылады. Нөл қандай сан? • 0 (нөл) саны оң санға да, теріс санға да жатпайды. • 0 (нөл) саны санақ басы ретінде алынады. Нүктелердің координаталарын қалай анықтаймыз? • Берілген санға координаталық түзуде бір ғана нүкте сәйкес келеді. Ол сан нүктенің координатасы деп аталады. Мысал: A(-3,7), B теріс сандар оң сандар
|
Сұрақтарға жауап береді Тақырып бойынша ресурстарды қарап, танысады |
|
Оқулық, сызғыш |
|||||||||||||||||||
|
15 минут |
Бекіту тапсырмасы |
Тапсырмалар.
Ұжымдық жұмыс. Оң және теріс сандарды координаталық түзуге кескіндеңдер, 1. Бірлік кесінді ретінде
дәптердің 6 тор көзінің ұзындығын алып, координаталық түзу
сызыңдар. Оның бойынан: А нүктелерін белгілеңдер. 2. Координаталық түзу бойындағы А және Е нүктелерінің арақашықтығын табыңдар. Олардың орта нүктесінің координатасын табыңдар. 1–топ.шамаларды мағынасына қарай оң немесе теріс санмен жазыңдар.
2 –топ. бос орындарға оң немсе теріс сандарды жазыңдар және тиісті сөздерді қойыңдар
|
Координаталық түзуде берілген нүктелерді белгілей алады. |
Дескриптор: - Оң және теріс сандарды координаталық түзуге кескіндей алады Дескриптор: -Берілген шамаларды оң және теріс сандармен жаза алады. |
|
|||||||||||||||||||
|
10мин |
Жеке жұмыс |
Оқулықтан №247, №251 |
Тапсырманы орындайды |
|
Оқулық |
|||||||||||||||||||
|
5 минут |
|
Бүгінгі сабақта: - координаталық түзудің анықтамасын білу және координаталық түзуді салады; -қарама-қарсы сандар ұғымын меңгеру, оларды координаталық түзуде белгілейді.
Рефлексия. БББ» кестесі
Үйге тапсырма. №256, №258 |
Тақырыпты меңгергенін анықтау Оң және теріс сандар ережесін пайдаланып, сәйкестендіру тестісін орындайды. |
Кері байланыс |
Презентация |
|||||||||||||||||||
Сабақ жоспары
Бекітемін:
|
Мұғалімнің аты-жөні: |
|
|||||||||||||||||||||||||||||||||||||||||||||||||||||||||||||||||||||||
|
Пән/Сынып: |
6 сынып Қатысқандар саны: Қатыспағандар саны: |
|||||||||||||||||||||||||||||||||||||||||||||||||||||||||||||||||||||||
|
Күні: |
|
|||||||||||||||||||||||||||||||||||||||||||||||||||||||||||||||||||||||
|
Тарау немесе бөлім атауы: |
6.1В Рационал сандар және оларға амалдар қолдану |
|||||||||||||||||||||||||||||||||||||||||||||||||||||||||||||||||||||||
|
Сабақтың тақырыбы: |
Бүтін сандар. Рационал сандар |
|||||||||||||||||||||||||||||||||||||||||||||||||||||||||||||||||||||||
|
Оқу бағдарламасына сәйкес оқыту мақсаттары: |
6.1.1.6 бүтін сан ұғымын меңгеру; 6.5.2.3шамаларды сипаттау үшін бүтін сандарды қолдану; 6.1.1.8 рационал сан ұғымын меңгеру; 6.1.2.9 координаталық түзуде рационал сандарды кескіндеу; 6.1.2.11 рационал сандардың ішкі жиындарын Эйлер-Венн дөңгелектері арқылы кескіндеу; |
|||||||||||||||||||||||||||||||||||||||||||||||||||||||||||||||||||||||
|
Сабақтың мақсаты: |
Бүтін сандарды және рационал сандарды ажырата алады. |
|||||||||||||||||||||||||||||||||||||||||||||||||||||||||||||||||||||||
|
Сабақ барысы: |
||||||||||||||||||||||||||||||||||||||||||||||||||||||||||||||||||||||||
|
Уақыты |
Кезең дері |
Педагогтің әрекеті |
Оқушының әрекеті |
Бағалау |
Ресурстар |
|||||||||||||||||||||||||||||||||||||||||||||||||||||||||||||||||||
|
5 минут |
Ұйымдастыру |
Сәлеметсіздерме! Бүгін, Бүтін сандар. Рационал сандар тақырыптарын қарастырамыз Бүгінгі сабақта меңгеретініңіз: -бүтін сан ұғымын меңгеру; -шамаларды сипаттау үшін бүтін сандарды қолдану; -рационал сан ұғымын меңгеру; -координаталық түзуде рационал сандарды кескіндеу; -рационал сандардың ішкі жиындарын Эйлер-Венн дөңгелектері арқылы кескіндеу 1.Ұйымдастыру. 2. Үй жұмысын тексеру. |
Амандасады. Үй жұмысын айтады. |
Ынталандыру сөздерін қолдану «жақсы», «жарайсың», «өте жақсы» |
Оқулық |
|||||||||||||||||||||||||||||||||||||||||||||||||||||||||||||||||||
|
10 мин |
Жаңа сабақ |
Трек-сызба арқылы түсіндіру.
Қандай сандар бүтін сандар және рационал сандар жиыны деп аталады? Натурал сандар жиыны және оған қарама-қарсы сандар жиыны мен 0 саны бүтін сандар жиыны деп аталады. Жазылуы: Z={…, -6;-5;-4;-3;-2;-1, 0,1,2,3,4,5,6,…}. • Бүтін сандар жиыны, оң және теріс бөлшектер жиыны рационал сандар жиыны деп аталады. Белгіленуі: Q. • Натурал сандар жиыны (N), бүтін сандар жиыны (Z), рационал сандар жиыны (Q), нақты сандар жиынына кіреді. • Барлық сандар жиынын Эйлер-Венн дөңгелегі арқылы көрсетейік: Белгіленуі: R. |
Сұрақтарға жауап береді Тақырып бойынша ресурстарды қарап, танысады
|
|
Презентация Слайд |
|||||||||||||||||||||||||||||||||||||||||||||||||||||||||||||||||||
|
20 минут |
Бекіту тапсырмасы |
Оқулықпен жұмыс: № 1 Координаталық түзуде берілген сандардың арасындағы бүтін сандарды жазыңдар. № 2 Координаталық түзу бойында қандай сандар бүтін сандардың арасында орналасқан? №1 Теңдеуді шеш: 1) –x =15
Тапсырмалар І 1. Бір таңбалы бүтін сандар жиынын А әрпімен белгілеп, оны элементтерімен жазыңдар. 2. Бір жылда ең көп дегенде неше жексенбі болуы мүмкін? Жауабы: 53 ІІ В әрпімен белгілеп, оны элементтерімен жазыңдар. Бір елде 20 қала бар. Оның әрқайсысы бір-бірімен әуебайланыста жұмыс жасайды. Бұл елде неше әуебайланыс бар? Шешімі:19+18+17+....+3+2+1=190 Жауабы: 190.
Семантикалық карта (дарынды оқушыға)
|
Бүтін сандар. Рационал сандар тақырыбына берілген есептерді дескрипторға сәйкес шығарады. |
Дескриптор: - Координаталық түзуде берілген сандардың арасындағы бүтін сандарды жаза алады.
«Екі жұлдыз, бір ұсыныс» |
Слайд 7-8 |
|||||||||||||||||||||||||||||||||||||||||||||||||||||||||||||||||||
|
10мин |
Жеке жұмыс |
Оқулықтан №261, №264 |
Тапсырманы орындайды |
|
Оқулық |
|||||||||||||||||||||||||||||||||||||||||||||||||||||||||||||||||||
|
5 минут |
|
Бүгінгі сабақта: -бүтін сан ұғымын меңгеру; -шамаларды сипаттау үшін бүтін сандарды қолдану; - рационал сан ұғымын меңгеру; -координаталық түзуде рационал сандарды кескіндеу; - рационал сандардың ішкі жиындарын Эйлер-Венн дөңгелектері арқылы кескіндеу Рефлексия.БББ» кестесі
Үйге тапсырма. №263, №267 |
Тақырыпты меңгергенін анықтау |
Кері байланыс |
Презентация |
|||||||||||||||||||||||||||||||||||||||||||||||||||||||||||||||||||
Сабақ жоспары
Бекітемін:
|
Мұғалімнің аты-жөні: |
|
|||||||||||
|
Пән/Сынып: |
6 сынып Қатысқандар саны: Қатыспағандар саны: |
|||||||||||
|
Күні: |
|
|||||||||||
|
Тарау немесе бөлім атауы: |
6.1В Рационал сандар және оларға амалдар қолдану |
|||||||||||
|
Сабақтың тақырыбы: |
Бүтін сандар. Рационал сандар |
|||||||||||
|
Оқу бағдарламасына сәйкес оқыту мақсаттары: |
6.1.1.6 бүтін сан ұғымын меңгеру; 6.5.2.3шамаларды сипаттау үшін бүтін сандарды қолдану; 6.1.1.8 рационал сан ұғымын меңгеру; 6.1.2.9 координаталық түзуде рационал сандарды кескіндеу; 6.1.2.11 рационал сандардың ішкі жиындарын Эйлер-Венн дөңгелектері арқылы кескіндеу; |
|||||||||||
|
Сабақтың мақсаты: |
Бүтін сандарды және рационал сандарды ажырата алады. |
|||||||||||
|
Сабақ барысы: |
||||||||||||
|
Уақыты |
Кезең дері |
Педагогтің әрекеті |
Оқушының әрекеті |
Бағалау |
Ресурстар |
|||||||
|
5минут |
Ұйымдастыру |
Сәлеметсіздерме! Бүгін, Бүтін сандар. Рационал сандар тақырыптарын қарастырамыз Бүгінгі сабақта меңгеретініңіз: бүтін сан ұғымын меңгеру; -шамаларды сипаттау үшін бүтін сандарды қолдану; -рационал сан ұғымын меңгеру; -координаталық түзуде рационал сандарды кескіндеу; -рационал сандардың ішкі жиындарын Эйлер-Венн дөңгелектері арқылы кескіндеу 1.Ұйымдастыру. 2. Үй жұмысын тексеру. |
Амандасады. Үй жұмысын тексереді. |
Ынталандыру сөздерін қолдану «жақсы», «жарайсың», «өте жақсы» |
Оқулық |
|||||||
|
10мин |
Жаңа сабақ |
Ой қозғау 1.Қандай сандар қарама- қарсы сандар деп аталады? 2.Оң, теріс, 0 cандарының қарама-қарсы сандар қандай? 3. Қандай сандар бүтін сандар және рационал сандар жиыны деп аталады? 4.Таңбалар ережесі 1. Оң немесе теріс сандармен жазыңдар: а) көшеде 300С аяз- ә) үйде 100С жылы- б) Команда мүшелері 5 ұпай ұтты- в) Команда мүшелері 7 ұпай ұтылды-
Оң сандар: Теріс сандар: 3.Термометрдің көрсетуін жазыңдар: а) таңертеңгілік температура- ә) кешкі температура- б) таңертеңгіге қарағанда кешке температура неше градус төмендеді? 4. Шамаларды мағынасына қарай оң санмен немесе теріс санмен жазыңдар: а) Ұшақ 800 м биіктікте ұшты- м ә) Қыстың бір күнінде 420 аяз болды- |
Сұрақтарға жауап береді Тақырып бойынша ресурстарды қарап, танысады |
|
Карточка Слайд |
|||||||
|
15 минут |
Бекіту тапсырмасы |
Тапсырмалар. І деңгей тапсырмалары 1. Жұлдызшаның орнына теңдік тура болатындай санды тауып, жазыңдар. 1)
ІІ деңгей тапсырмалары Таңбалар ережесін пайдаланып, мәнін табыңдар. 6. Өрнектің мәнін табыңдар. а)
m, 7. Теңдеуді шешіңдер. 1)
2)
8.Есептеңіз: ІІІ деңгей тапсырмалары Есептеңдер,шыққан мәнін координаталық түзуге орналастырыңдар. 9.Есептеңіз: 10.
Жауабы: m=-1; -2. |
Координата лық түзу сызып, нүктені белгілейді |
Дескриптор: -Қарама-қарсы сандарды ажырата алады; -Таңбалар ережесін қолдана алады. Дескриптор: -Бүтін сандар ережесін біледі. |
Интернет ресурстары |
|||||||
|
10мин |
Жеке жұмыс |
Оқулықтан №268. |
Тапсырманы орындайды |
|
Оқулық |
|||||||
|
5 минут |
|
Бүгінгі сабақта: -бүтін сан ұғымын меңгеру; -шамаларды сипаттау үшін бүтін сандарды қолдану; - рационал сан ұғымын меңгеру; -координаталық түзуде рационал сандарды кескіндеу; - рационал сандардың ішкі жиындарын Эйлер-Венн дөңгелектері арқылы кескіндеу Рефлексия.БББ» кестесі
Үйге тапсырма. №269, №270 |
Тақырыпты меңгергенін анықтау |
Кері байлпныс. |
Презентация |
|||||||
Сабақ жоспары
Бекітемін:
|
Мұғалімнің аты-жөні: |
|
||||||||||||||||||||
|
Пән/Сынып: |
6 сынып Қатысқандар саны: Қатыспағандар саны: |
||||||||||||||||||||
|
Күні: |
|
||||||||||||||||||||
|
Тарау немесе бөлім атауы: |
6.1В Рационал сандар және оларға амалдар қолдану |
||||||||||||||||||||
|
Сабақтың тақырыбы: |
Санның модулі |
||||||||||||||||||||
|
Оқу бағдарламасына сәйкес оқыту мақсаттары: |
6.1.1.9 санның модулі анықтамасын білу және оның мәнін табу; 6.2.1.11
6.3.3.1 координаталық түзуде нүктелердің арақашықтығын табу; |
||||||||||||||||||||
|
Сабақтың мақсаты: |
Рационал сандардың модулін табуда,айнымалысы модуль таңбасының ішінде берілген теңдеуді шешуде алған білімдерін тиянақтау,толықтыру,бекіту. |
||||||||||||||||||||
|
Сабақ барысы: |
|||||||||||||||||||||
|
Уақыты |
Кезең дері |
Педагогтің әрекеті |
Оқушының әрекеті |
Бағалау |
Ресурстар |
||||||||||||||||
|
5 минут |
Ұйымдастыру |
Сәлеметсіздерме! Бүгін, Санның модулі тақырыптарын қарастырамыз Бүгінгі сабақта меңгеретініңіз: -санның модулі анықтамасын білу және оның мәнін табу; -
-координаталық түзуде нүктелердің арақашықтығын табу; 1.Ұйымдастыру. 2. Үй жұмысын тексеру. Алдын ала даярлық тапсырма бойынша сұрақтар: • Координаталық түзудегі қашықтықты өрнектейтін сандардың: - ұқсастығын __________________________________________ - айырмашылығын _____________________________________ қалай анықтадыңдар? Кестені толтыр.
|
Амандасады. Үй жұмысын айтады. |
Ынталандыру сөздерін қолдану «жақсы», «жарайсың», «өте жақсы»
|
Оқулық |
||||||||||||||||
|
10 мин |
Жаңа сабақ |
Санның модулі дегеніміз координаталық түзудегі санды кескіндейтін нүктенің санақ басынан (бірлік кесіндімен алынған) қашықтығы. • Модуль латынша modus – «мөлшер» деген мағынаны береді. Кейбір жағдайда «модульді» абсолюттік шама деп атайды.Модуль латынша modulus – қазақша «мөлшер» деген мағынаны білдіреді. Кейбір жағдайда «модульдің» орнына абсолюттік шама деп те атайды. Санның модулі дегеніміз координаталық түзудегі санды кескіндейтін нүктенің санақ басынан (бірлік кесінді есебімен алынған) қашықтығы. Ара қашықтығы оң санмен немесе нөл санымен жазылатыны белгілі. Онда санның модулі координаталық түзуде берілген санды кескіндейтін нүктенің санақ басынан қашықтығы болғандықтан, модуль теріс санмен жазылмайды. Координаталық түзуде 0 санын кескіндейтін нүкте санақ басымен беттеседі. Онда І0І = 0. Нөл санының модулі 0-ге тең. Теріс санның модулі оған қарам қарсы санға тең. Оң санның модулі сол санның өзіне тең.
ОЕ = ОF. Онда І-3І = 3 |
Сұрақтарға жауап береді Тақырып бойынша ресурстарды қарап, танысады |
|
Оқулық, сызғыш Слайд |
||||||||||||||||
|
20 минут |
Бекіту тапсырмасы |
Деңгейлік тапсырмалар: І деңгей тапсырмалары 1. Сандардың модульдерін табыңдар:
|10|=_____;
|24,8|=______;
|-10|=____;
|-24,8|=_____;
II деңгей тапсырмалары 2. Амалдарды орындаңдар: |-6|+4=_________________; |-3,7|+|3,7|=_________________; |14|+|-8|=_______________; 8+|-0,9|=___________________; |-36|+|-2|=_______________; |-0,05|+|-5|=_________________;
III деңгей тапсырмалары _________________________________ 3. Теңдеуді координаталық түзуді пайдаланып шешіңдер:
а)
|x|=2; ә) |y|=3,5;
б) Үлгі: |x|=5; x=5; x=-5.
|
|
Дескриптор: -Модуль анықтама сын біледі. -Модульге амалдар қолдана алады. Дескриптор: Теңдеуді координаталық түзуді пайдаланып шешіңдер |
Слайд 7-8 |
||||||||||||||||
|
5мин |
Жеке жұмыс |
Оқулықтан №280, №282
|
Тапсырманы орындайды |
Мониторинг |
Оқулық |
||||||||||||||||
|
5 минут |
|
Бүгінгі сабақта: - санның модулі анықтамасын білу және оның мәнін табады; -
-координаталық түзуде нүктелердің арақашықтығын табады. Рефлексия. «Жетістік» баспалдағы.
Үйге тапсырма. №281, №284 |
Тақырыпты меңгергенін анықтау |
Кері байланыс |
|
||||||||||||||||
Сабақ жоспары
Бекітемін:
|
Мұғалімнің аты-жөні: |
|
|||||||||||||||||||||
|
Пән/Сынып: |
6 сынып Қатысқандар саны: Қатыспағандар саны: |
|||||||||||||||||||||
|
Күні: |
|
|||||||||||||||||||||
|
Тарау немесе бөлім атауы: |
6.1В Рационал сандар және оларға амалдар қолдану |
|||||||||||||||||||||
|
Сабақтың тақырыбы: |
Санның модулі |
|||||||||||||||||||||
|
Оқу бағдарламасына сәйкес оқыту мақсаттары: |
6.1.1.9 санның модулі анықтамасын білу және оның мәнін табу; 6.2.1.11
6.3.3.1 координаталық түзуде нүктелердің арақашықтығын табу; |
|||||||||||||||||||||
|
Сабақтың мақсаты: |
Рационал сандардың модулін табуда,айнымалысы модуль таңбасының ішінде берілген теңдеуді шешуде алған білімдерін тиянақтау,толықтыру,бекіту. |
|||||||||||||||||||||
|
Сабақ барысы: |
||||||||||||||||||||||
|
Уақыты |
Кезең дері |
Педагогтің әрекеті |
Оқушының әрекеті |
Бағалау |
Ресурстар |
|||||||||||||||||
|
5 минут |
Ұйымдастыру |
Сәлеметсіздерме! Бүгін, Санның модулі тақырыптарын қарастырамыз Бүгінгі сабақта меңгеретініңіз: -санның модулі анықтамасын білу және оның мәнін табу; -
-координаталық түзуде нүктелердің арақашықтығын табу; 1.Ұйымдастыру. 2. Үй жұмысын тексеру. 1.Санның модулі деген не? 2.Теріс санның модулі қандай санмен өрнектеледі?мысал келтір. 3.Оң санның модулі қандай санмен өрнектеледі?Мысал келтір. 4.Қандай санның модулі 0-ге тең? 5.Қарама-қарсы сандар деп қандай сандарды айтады? 6.Қандай сандар бүтін сандар жиынын құрайды? 7.Қандай сандарды рационал сандар дейміз. 8.0 санына қарама-қарсы қандай сан? |
Амандасады. Үй жұмысын айтады. Сұрақтарға жауап береді |
Ынталандыру сөздерін қолдану «жақсы», «жарайсың», «өте жақсы» |
Оқулық |
|||||||||||||||||
|
5 мин |
Жаңа сабақ |
Санның модулі дегеніміз координаталық түзудегі санды кескіндейтін нүктенің санақ басынан (бірлік кесіндімен алынған) қашықтығы. • Модуль латынша modus – «мөлшер» деген мағынаны береді. Кейбір жағдайда «модульді» абсолюттік шама деп атайды.Модуль латынша modulus – қазақша «мөлшер» деген мағынаны білдіреді. Кейбір жағдайда «модульдің» орнына абсолюттік шама деп те атайды. Нөл санының модулі 0-ге тең. Теріс санның модулі оған қарам қарсы санға тең. Оң санның модулі сол санның өзіне тең. |
Тақырып бойынша ресурстарды қарап, танысады
ОЕ = ОF. Онда І-3І = 3 |
|
Презентация Слайд |
|||||||||||||||||
|
20 минут |
Бекіту тапсырмасы |
Тапсырмалар. Оқулықтан. №285 (1,2,3) 1)
-2 0 2 2)
О
3)
2. Сандардың модульдерін табыңдар:
|10|=
|24,8|=
|-10|=
|-24,8|=
3. Амалдарды орындаңдар: |-6|+4= |-3,7|+|3,7|= |14|+|-8|= 8+|-0,9|= |-36|+|-2|=_ |-0,05|+|-5|=
4. Теңдеуді координаталық түзуді пайдаланып шешіңдер: а) |x|=2; ә) |y|=3,5; 5. |x|-ті табыңдар:
|
Берілген дескрипторға сәйкес тапсырмаларды орындайды. Үлгі: |x|=5; x=5; x=-5. |
. Дескриптор: -Санның модулі анықтама сын біледі; -Модульдің қасиеттерін дұрыс қолдана біледі. Дескриптор: - Теңдеуді координата лық түзуді пайдаланып шеше алады |
Слайд 7-8 |
|||||||||||||||||
|
10мин |
Жеке жұмыс |
Оқулықтан №287, №289 |
Тапсырманы орындайды |
Мониторинг |
|
|||||||||||||||||
|
5 минут |
|
Бүгінгі сабақта: - санның модулі анықтамасын білу және оның мәнін табады; -
-координаталық түзуде нүктелердің арақашықтығын табады. Қорытынды. «Кім жылдам?» әдісі
Үйге тапсырма. №291, №292 Рефлексия. «Жетістік» баспалдағы. |
Тақырыпты меңгергенін анықтау
|
Кері байланыс |
Презентация |
|||||||||||||||||
Сабақ жоспары
Бекітемін:
|
Мұғалімнің аты-жөні: |
|
|||||
|
Пән/Сынып: |
6 сынып Қатысқандар саны: Қатыспағандар саны: |
|||||
|
Күні: |
. |
|||||
|
Тарау немесе бөлім атауы: |
6.1В Рационал сандар және оларға амалдар қолдану |
|||||
|
Сабақтың тақырыбы: |
Рационал сандарды салыстыру |
|||||
|
Оқу бағдарламасына сәйкес оқыту мақсаттары: |
6.1.2.8 бүтін сандарды салыстыру; 6.1.2.12 рационал сандарды салыстыру |
|||||
|
Сабақтың мақсаты: |
Рационал сандарды салыстыруды, координаталық түзуде суреттеуді біледі. |
|||||
|
Сабақ барысы: |
||||||
|
Уақыты |
Кезең дері |
Педагогтің әрекеті |
Оқушының әрекеті |
Бағалау |
Ресурстар |
|
|
5 минут |
Ұйымдастыру |
Сәлеметсіздерме! Бүгін, Рационал сандарды салыстыру тақырыптарын қарастырамыз Бүгінгі сабақта меңгеретініңіз: - бүтін сандарды салыстыру; -рационал сандарды салыстыру санның модулі анықтамасын білу және оның мәнін табу; 1.Ұйымдастыру. 2. Үй жұмысын тексеру. Жаңа сабақты бастамас бұрын оқушыларға сұрақ қою.
|
Амандасады. Үй жұмысын айтады. |
Ынталандыру сөздерін қолдану «жақсы», «жарайсың», «өте жақсы» |
Оқулық |
|
|
10 мин |
Жаңа сабақ |
Жаңа сабақ. Оқулықты пайдалана отырып, жаңа тақырыпты өз беттерінше меңгереді. І. Координаталық түзу бойында
үлкен сан . . . жақта, ал одан кіші сан . . . жақта
кескінделеді. |
Сұрақтарға жауап береді Тақырып бойынша ресурстарды қарап, танысады |
|
Оқулық
|
|
|
25 минут |
Бекіту тапсырмасы |
Тапсырмалар. Топтық жұмыс. .«Тыңдап отырған үштік» әдісі арқылы оқушылар алған білімдерін қолданып, тұжырымдайды.
a) Координаталық түзуде 0-ден оңға қарай бағытта сан кеми ме? әлде өсе ме? б) Координаталық түзуде 0-ден солға қарай бағытта сандар қалай өзгереді?
в) А(-2), B(3,5), C( с).AжәнеB, CжәнеD, EжәнеF нүктелеріне сәйкес сандарды салыстырыңдар. №306 1)8,7 мен 7,8 ; 4) -6 мен -11 ; 2) -4,1 мен 2 ; 5) -18 бен -1,8 ; 3) 2,9 бен -920 ; 6) -100 бен 0 . Оқулықтан №307,308 |
Рационал сандарды координаталық түзуде кескіндеп салыстырады Жұптық жұмыс. Салыстырыңдар: 1) 8,7 мен 7,8; |
Дескриптор: -рационал сандардың анықтама ларын тұжырым дайды. -Координата лық түзуде рационал сандарды салыстыра ды. ҚБ: «Бағдаршам» әдісімен бағалау
Дескриптор: -Рационал сандарды салыстыруды орындай алады |
Интернет ресурстары |
|
|
10 |
Жеке жұмыс |
Сандарды салыстырыңыз:
|
Тапсырманы орындайды |
|
|
|
|
5 минут |
|
Бүгінгі сабақта: - бүтін сандарды салыстыру; -рационал сандарды салыстыру санның модулі анықтамасын білу және оның мәнін табу; Рефлексия Бүгінгі сабақ қандай пәнмен байланысты болды? Қандай қосымша жаңа сөздермен таныстыңыз? Сабақтан қандай әсер алдыңыз? Сабаққа бір ұсыныс. Үйге тапсырма. №309,310 |
Тақырыпты меңгергенін анықтау |
|
Презентация |
|
Сабақ жоспары
Бекітемін:
|
Мұғалімнің аты-жөні: |
|
|||||
|
Пән/Сынып: |
6 сынып Қатысқандар саны: Қатыспағандар саны: |
|||||
|
Күні: |
|
|||||
|
Тарау немесе бөлім атауы: |
6.1В Рационал сандар және оларға амалдар қолдану |
|||||
|
Сабақтың тақырыбы: |
Рационал сандарды салыстыру. |
|||||
|
Оқу бағдарламасына сәйкес оқыту мақсаттары: |
6.1.2.8 бүтін сандарды салыстыру; 6.1.2.12 рационал сандарды салыстыру |
|||||
|
Сабақтың мақсаты: |
Рационал сандарды салыстыруды, координаталық түзуде суреттеуді біледі. |
|||||
|
Сабақ барысы: |
||||||
|
Уақыты |
Кезең дері |
Педагогтің әрекеті |
Оқушының әрекеті |
Бағалау |
Ресурстар |
|
|
5 минут |
Ұйымдастыру |
Сәлеметсіздерме! Бүгін, Рационал сандарды салыстыру тақырыптарын қарастырамыз Бүгінгі сабақта меңгеретініңіз: - бүтін сандарды салыстыру; -рационал сандарды салыстыру санның модулі анықтамасын білу және оның мәнін табу; 1.Ұйымдастыру. 2. Үй жұмысын тексеру. Жаңа сабақты бастамас бұрын оқушыларға сұрақ қою.
|
|
Ынталандыру сөздерін қолдану «жақсы», «жарайсың», «өте жақсы» |
Whatsapp месенжерін қолдану. |
|
|
10мин |
Жаңа сабақ |
Координаталық сәуледе кіші сан
сол жақта, үлкен сан оң жағында кескінделетіні
белгілі. Онда:
0 Келесі сұрақтар бойынша фронталды сұхбат: Координаталық түзуде 0-ден оңға қарай бағытта сан кеми ме, әлде өсе ме? Координаталық түзуде 0-ден солға қарай бағытта сандар қалай өзгереді? Координаталық түзуді
пайдаланып, жұлдызшаның орнына ( - 5)
( - 2)
Жауаптарды дескриптор бойынша тексеру.
Кеше ауаның температурасы
2 температурасы төмендеп, -
3 Өз жауабыңызды түсіндіріңіз. |
Сұрақтарға жауап береді Тақырып бойынша ресурстарды қарап, танысады Мысалдарды шығарады. |
Дескриптор: - Координаталық түзуде 0-ден оңға қарай, 0-ден солға қарай бағытта сандар қалай өзгеретінін біледі; Координаталық түзуді
пайдаланып, жұлдызшаның орнына |
Презентация Слайд |
|
|
20 минут |
Бекіту тапсырмасы |
Оқулықтан №314, №315 Шығармашылық жұмыс №1 Салыстырып,жұлдызшаның орнына тиісті теңсіздік белгісін қойыңдар: 1) (-5)*(-5,7), онда |-5|*|-5,7| 2) (-7)*(-6,3), онда |-7|*|-6,3| 3) (-2)*(-1,25), онда |-2|*|-1,25| 4)| (-9)*(-8,7), онда |-9|*|-8,7| №2 Салыстырыңдар: |1,5|+|8|*|1,5+8| |7|+|-|*|7-| |-1|+|-4|*|4+1| |2|+|-0,8|*|2-0,8| №3 Х-тің бүтін сан мәнін табыңдар: 1) 1 <х<2,4 2) -<х< 3) -8,5<х<-7,25 4) 20<х<21,3 |
Өз бетімен жұмыс. Қате жазылған есептердің қатесін табу керек.
|
Дескриптор: -Рационал сандарды салыстырып,жұлдызша ның орнына тиісті теңсіздік белгісін қояды. |
Интернет ресурстары |
|
|
5 мин |
Жеке жұмыс |
ҚБ (қалыптастырушы бағалау) Жеке жұмыс. Тапсырма 1. Координаталық түзуде мына нүктелердің координаталарын салыстырыңыз.
Тапсырма 2. Координаталық түзуде мына сандардың арасында қандай бүтін сандар орналасқан? Қос теңсіздік түрінде жазыңыздар. а )-3 пен 5; б) 2 мен 7; в) -7 мен -2; г) -5 пен 0; д) 0 мен 4; е) 9,5; ж) - 4. |
Тапсырманы орындайды |
Мониторинг |
|
|
|
5 минут |
|
Бүгінгі сабақта: - бүтін сандарды салыстыру; -рационал сандарды салыстыру санның модулі анықтамасын білу және оның мәнін табу; Кері байланыс «Үш белгі» !! – барлығы түсінікті ?! – тақырыпты түсіндім, бірақ бірнеше сұрағым бар ?? – тақырыпқа түсінбедім, маған көмек керек. Үйге тапсырма. №317, №318 |
Тақырыпты меңгергенін анықтау |
|
Whatsapp месенжерін қолдану Презентация |
|
Сабақ жоспары
Бекітемін:
|
Мұғалімнің аты-жөні: |
|
|||||
|
Пән/Сынып: |
6 сынып. Қатысқандар саны: Қатыспағандар саны: |
|||||
|
Күні: |
|
|||||
|
Тарау немесе бөлім атауы: |
6.1В Рационал сандар және оларға амалдар қолдану |
|||||
|
Сабақтың тақырыбы: |
Өзендегі қозғалысқа қосымша есептер |
|||||
|
Оқу бағдарламасына сәйкес оқыту мақсаттары: |
6.5.1.2 пайызға берілген есептерді пропорция арқылы шешу; 6.1.2.6 шамаларды берілген қатынаста бөлу; 6.1.2.7 шамаларды берілген сандарға кері болатын пропорционал бөліктерге бөлу |
|||||
|
Сабақтың мақсаты: |
Өзендегі, көлдегі қозғалыс әрекеттерін түсіндіре білу. Дәлелдеп көрсету. Қозғалысқа байланысты кездесетін терминдерді дұрыс айта білуге, дұрыс жаза білуге, формулаларды дұрыс қолдана білуге үйрету.
|
|||||
|
Сабақ барысы: |
||||||
|
Уақыты |
Кезең дері |
Педагогтің әрекеті |
Оқушының әрекеті |
Бағалау |
Ресурстар |
|
|
5 минут |
Ұйымдастыру |
Сәлеметсіздерме! Бүгін, өзендегі қозғалысқа қосымша есептер тақырыптарын қарастырамыз Бүгінгі сабақта меңгеретініңіз: - Қозғалысқа байланысты кездесетін терминдерді дұрыс айту -Пайызға берілген есептерді пропорция арқылы шешу |
Амандасады. Үй жұмысын айтады. |
Ынталандыру сөздерін қолдану «жақсы», «жарайсың», «өте жақсы» |
Оқулық |
|
|
10 мин |
Жаңа сабақ |
Қозғалыс тақырыбына мәтінді есептер Қайық, катер, теплоход, пароход көлде немесе өзенде жүзеді. Мысалы, қөл ағынсыз су болғандықтан, қайық көлде жүзгенде өзінің меншікті жылдамдығымен жүзеді. Сал өзенде жүзгенде ағыс жылдамдығына тең жылдамдықпен жүзеді. Егер дене ағыспен жүзсе, оның жылдамдығы ағыс жылдамдығына артады.
Дененің ағыспен жылдамдығы оның меншікті жылдамдығы мен ағыс жылдамдығының қосындысына тең.
Мұндағы
Егер дене ағысқа қарсы жүзсе, оның жылдамдығы ағыс жылдамдығына кемиді. Дененің ағысқа қарсы жылдамдығы оның меншіңті жылдамдығы мен ағыс жылдамдығының айырмасына тең:
Мұндағы Өзендегі қозғалысты есептеу үшін қажет болатын ағыс жылдамдығымен меншікті жылдамдықты табуды үйренейік. 2.14-суретте дененің ағыспен жылдамдығы және ағысқа қарсы жылдамдығы кесінділермен берілген.
|
Сұрақтарға жауап береді Тақырып бойынша ресурстарды қарап, танысады Есеп. Меншікті жылдамдығы 6 км/сағ қайық ағыс жылдамдығы 2 км/сағ озенде ағыспен жүзеді. Қайық 3 сағатта қанша қашықтыққа барады? Ш: 1) 6+2=8 км/сағ – қайықтың ағыспен жүзгендегі жылдамдығы. 2) 8*3=24 км – қайықтың үш сағатта барған жылдамдығы.
І. Ағыс жылдамдығын табайық. 2.14-сурет бойынша:
Онда Ағыс жылдамдығы ағыспен жылдамдық пен ағысқа қарсы жылдамдықтың айырмасының жартысына тең. ІІ. Меншікті жылдамдықты табайық. Меншікті жылдамдықты табу үшін ағыспен жылдамдық пен ағысқа қарсы жылдамдықтың қосындысын табу керек.
|
|
Оқулық |
|
|
25 минут |
Бекіту тапсырмасы |
№347
№349
|
Бекіту сұрақтары. Катер өзенде ағыспен жүзсе, оның қозғалыс жылдамдығы қала табылады?
|
Дескриптор: -дененің ағыспен жылдамдығы және ағысқа қарсы жылдамды ғын табады. Дескриптор: -Ағыс жылдамды ғын таба алады. -Меншікті жылдамдық ты таба алады. |
Интернет ресурстары. |
|
|
|
Жеке жұмыс |
Оқулықтан №331, 332, 333 |
Тапсырманы орындайды |
Мониторинг |
Оқулық |
|
|
5 минут |
|
Бүгінгі сабақта: Қозғалысқа байланысты кездесетін терминдерді дұрыс айта алады Рефлексия Нені түсінді? Не түсініксіз болды? Не ұнады? Не ұнамады? Үйге тапсырма. №334, қосымша №5. |
Тақырыпты меңгергенін анықтау |
Кері байланыс |
|
|
Сабақ жоспары
Бекітемін:
|
Мұғалімнің аты-жөні: |
|
|||||
|
Пән/Сынып: |
6 сынып Қатысқандар саны: Қатыспағандар саны: |
|||||
|
Күні: |
|
|||||
|
Тарау немесе бөлім атауы: |
6.1В Рационал сандар және оларға амалдар қолдану |
|||||
|
Сабақтың тақырыбы: |
Өзендегі қозғалысқа қосымша есептер |
|||||
|
Оқу бағдарламасына сәйкес оқыту мақсаттары: |
6.5.1.2 пайызға берілген есептерді пропорция арқылы шешу; 6.1.2.6 шамаларды берілген қатынаста бөлу; 6.1.2.7 шамаларды берілген сандарға кері болатын пропорционал бөліктерге бөлу |
|||||
|
Сабақтың мақсаты: |
Өзендегі, көлдегі қозғалыс әрекеттерін түсіндіре білу. Дәлелдеп көрсету. Қозғалысқа байланысты кездесетін терминдерді дұрыс айта білуге, дұрыс жаза білуге, формулаларды дұрыс қолдана білуге үйрету.
|
|||||
|
Сабақ барысы: |
||||||
|
Уақыты |
Кезең дері |
Педагогтің әрекеті |
Оқушының әрекеті |
Бағалау |
Ресурстар |
|
|
5 минут |
Ұйымдастыру |
Сәлеметсіздерме! Бүгін, өзендегі қозғалысқа қосымша есептер тақырыптарын қарастырамыз Бүгінгі сабақта меңгеретініңіз: - Қозғалысқа байланысты кездесетін терминдерді дұрыс айту -Пайызға берілген есептерді пропорция арқылы шешу |
Амандасады. Үй жұмысын айтады. |
Ынталандыру сөздерін қолдану «жақсы», «жарайсың», «өте жақсы» |
Оқулық |
|
|
25 мин |
Жаңа сабақ |
Ұжымдық жұмыс. № 1. Катердің ағыспен жүзгендегі жылдамдығы 24 км/сағ, ал ағысқа қарсы жүзгендегі жылдамдығы 20 км/сағ. Катердің меншікті жылдамдығын табыңдар. Шарты: Ʋа-пен = 24 км/сағ Ʋа-қ = 20 км/сағ Ʋм — ? км/сағ Шешуі: Ʋм = (24 + 20) : 2 = 22 (км/сағ) Жауабы: Ʋм = 22 км/сағ
№ 2. Моторлы қайықтың ағыспен жүзгендегі жылдамдығы 30 км/сағ, ал ағысқа қарсы жүзгендегі жылдамдығы 26 км/сағ. Ағыс жылдамдығын табыңдар Шарты: Ʋа-пен = 30 км/сағ Ʋа-қ = 26 км/сағ Ʋа — ? км/сағ Шешуі: Ʋа = (30 – 26) : 2 = 2 (км/сағ) Жауабы: Ʋа = 2 км/сағ Инклюзив оқушымен жұмыс Теңсіздікті қанағаттандыратын барлық бүтін сандарды тап. а)
|
Сұрақтарға жауап береді Тақырып бойынша ресурстарды қарап, танысады Өз бетімен жұмыс. Теңдеуді шешіңдер: а)
ә)
|
Дескриптор: дененің ағыспен жылдамдығы және ағысқа қарсы жылдамды ғын табады.
ҚБ «Екi жұлдыз бiр тiлек» әдiсi . Бiрiн-бiрi бағалау |
|
|
|
10мин |
Жеке жұмыс |
Оқулықпен жұмыс. №334, №335. |
Тапсырманы орындайды |
Мониторинг |
|
|
|
5 минут |
|
Бүгінгі сабақта:
Рефлексия. Нені түсінді? Не түсініксіз болды? Не ұнады? Не ұнамады? Үйге тапсырма. №336
|
Тақырыпты меңгергенін анықтау |
Кері байланыс |
Оқулық |
|
Сабақ жоспары
Бекітемін:
|
Мұғалімнің аты-жөні: |
|
|||||
|
Пән/Сынып: |
6 сынып Қатысқандар саны: Қатыспағандар саны: |
|||||
|
Күні: |
|
|||||
|
Тарау немесе бөлім атауы: |
6.1В Рационал сандар және оларға амалдар қолдану |
|||||
|
Сабақтың тақырыбы: |
Рационал сандарды координаталық түзудің көмегімен қосу |
|||||
|
Оқу бағдарламасына сәйкес оқыту мақсаттары: |
6.1.2.10 бүтін сандарды координаталық түзу көмегімен қосу және азайтуды орындау; |
|||||
|
Сабақтың мақсаты: |
|
|||||
|
Сабақ барысы: |
||||||
|
Уақыты |
Кезең дері |
Педагогтің әрекеті |
Оқушының әрекеті |
Бағалау |
Ресурстар |
|
|
5 минут |
Ұйымдастыру |
Сәлеметсіздерме! Бүгін, рационал сандарды координаталық түзудің көмегімен қосу тақырыбын қарастырамыз Бүгінгі сабақта меңгеретініңіз: бүтін сандарды координаталық түзу көмегімен қосу және азайтуды орындау;
|
Амандасады. Үй жұмысын айтады. |
Ынталандыру сөздерін қолдану «жақсы», «жарайсың», «өте жақсы» |
Оқулық |
|
|
10 мин |
Жаңа сабақ |
Рационал сандарды координаталық түзудің көмегімен қосуда берілген санға сәйкес нүктені координаталық түзу бойында жылжытып орын ауыстыру әдісі пайдаланылады. Рационал сандарды координаталық түзудің көмегімен қосуда өрнектегі «+» таңбасы берілген санға сәйкес нүктенің оң бағытта жылжытындығын білдірсе, ал «-» таңбасы теріс бағытта жылжитындығын білдіреді.
Координаталық түзудің көмегімен a және b рационал сандарының қосындысын табу үшін:
ә) егер b – теріс сан (b<0) болса, онда А (а) нүктесін теріс бағытта b бірлік кесіндіге жылжыту керек. Сонда А(а) нүктесі координатасы a-b –ға тең В нүктесіне ауысады. В(a-b);
1-мысал. -3 пен 5 сандарының қосындысын табайық. Шешуі: -3 санын координаталық түзу бойында кескіндейтін нүктені А әрпімен белгілейік. А(-3) нүктесін оң бағытта 5 бірлік кесіндіге жылжыту керек. Сонда қосындының мәнін кескіндейтін В(2) нүктесі алынады. Демек, -3+5=2
А О В
0 -3 2
2-мысал. 4 пен -7 сандарының қосындысын табайық. Шешуі: 4 санын координаталық түзу бойында кескіндейтін нүктені А әрпімен белгілейік. А(4) нүктесін теріс бағытта 5 бірлік кесіндіге жылжыту керек. Сонда қосындының мәнін кескіндейтін В(-3) нүктесі алынады. Демек,
А В 4+(-7) = - 3
О
0 -3 4
a санына b санын қосу үшін – а санын b бірлікке өзгерту болып табылады.
3-мысал. 5 пен -5 сандарының қосындысын табайық.
Ш В ешуі: 5 санын координаталық түзу бойында кескіндейтін нүктені В әрпімен белгілейік. В(5) нүктесін теріс бағытта 5 бірлік кесіндіге жылжыту керек. Сонда В(5) нүктесі санақ басы болаын О(0) нүктесімен беттеседі. Демек,5+(-5) =0
О
0 5
Қарама-қарсы сандардың қосындысы 0-ге тең, a+(-a)=0.
Кез келген санға нөлді
қосқаннан кейін сан өзгермейді. a
+ 0 -2 4
О +0 +0 |
Сұрақтарға жауап береді Тақырып бойынша ресурстарды қарап, танысады |
|
Презентация Слайд |
|
|
25 минут |
Бекіту тапсырмасы |
Тапсырма: Есептер шығару: №348.
1) О
0 2 ?
2) О
0 5 ?
№349. Координаталық түзудің көмегімен қосындының мәнін табыңдар: 1) – 2 + 5; 3) – 5 + 6; 5) – 5 + 0; 2) – 3 + 7; 4) – 4 + 4; 6) – 2 + 6.
№350. Координаталық түзудің көмегімен айырманың мәнін табыңдар: 1) 3 – 5; 3) 4 – 5; 5) – 2 – 4; 2) 2 – 4; 4) – 1 – 4; 6) 3 – 3. Өз бетімен жұмыс. Координаталық түзудің көмегімен рационал сандарды қосу. 1) Түзу бойында екі натурал
сан белгіленген. Ол санның біреуі в әрпімен белгіленген. Екінші сан
b санынан кейін алынған, b+1 өрнегінің мәніне тең. Осы түзудің
бойынан 1) b+4; 2) 2) Түзу бойынан екі натурал
сан алынған. Ол санның біреуі m әрпімен белгіленген. Екінші сан m
санынан кейін алынған, m+1 өрнегінің мәніне тең. Осы түзудің
бойынан 1) |
|
. Дескриптор: Тақырыпқа қатысты есептер шығарады, талдайды. Координаталық түзудің көмегімен қосады. Дескриптор: Мәтіндегі негізгі ойды анықтайды |
Оқулық |
|
|
|
Жеке жұмыс |
№1. Есепті координаталық түзудің көмегімен шығарыңдар. Таңертең ауаның температурасы 2°С, ал кешке қарай өзгеріп, - 4°С болды. Күні бойы ауаның темпетурасы неше градусқа өзгерді?
№2. І О зделінді нүктенің координатасын тап.
0 -1 ?
|
Тапсырманы орындайды |
Мониторинг |
|
|
|
5 минут |
|
Бүгінгі сабақта:
Кері байланыс.
Үйге тапсырма. №351, №352
|
Тақырыпты меңгергенін анықтау |
Кері байланыс. |
Презентация |
|
Сабақ жоспары
Бекітемін:
|
Мұғалімнің аты-жөні: |
|
|||||||||||
|
Пән/Сынып: |
6 сынып Қатысқандар саны: Қатыспағандар саны: |
|||||||||||
|
Күні: |
|
|||||||||||
|
Тарау немесе бөлім атауы: |
6.1В Рационал сандар және оларға амалдар қолдану |
|||||||||||
|
Сабақтың тақырыбы: |
Рационал сандарды координаталық түзудің көмегімен қосу |
|||||||||||
|
Оқу бағдарламасына сәйкес оқыту мақсаттары: |
6.1.2.10 бүтін сандарды координаталық түзу көмегімен қосу және азайтуды орындау |
|||||||||||
|
Сабақтың мақсаты: |
|
|||||||||||
|
Сабақ барысы: |
||||||||||||
|
Уақыты |
Кезең дері |
Педагогтің әрекеті |
Оқушының әрекеті |
Бағалау |
Ресурстар |
|||||||
|
5 минут |
Ұйымдастыру |
Сәлеметсіздерме! Бүгін, Рационал сандарды координаталық түзудің көмегімен қосу тақырыбын қарастырамыз Бүгінгі сабақта меңгеретініңіз: бүтін сандарды координаталық түзу көмегімен қосу және азайтуды орындау;
|
Амандасады. Үй жұмысын айтады. Алған білімдерін жүйелеу. Таңертең ауаның температурасы -30С болды, ал түсте 80Сқа көтерiлдi. Түсте термометр қанша градусты берiп тұр? Түсте ауаның температурасы +30С болды, ал кешке 5С төмендедi. термометр қанша градусты берiп тұр? |
Ынталандыру сөздерін қолдану «жақсы», «жарайсың», «өте жақсы» |
Оқулық |
|||||||
|
10 мин |
Жаңа сабақ |
Анықтама Координаталық түзудің көмегімен a және b рационал сандарының қосындысын табу үшін:
Сонда А (а) нүктесі координатасы a-b-ға тең В нүктесіне ауысады. В (a-b); Екі қарама-қарсы рационал сандардың қосындысының мәні 0-ге тең. а+(-а)=(-а)+а=0 Рационал сан мен нөлдің қосындысының мәні нөл мен рационал санның қосындысының мәніне, яғни сол санның өзіне тең. Кез келген а рационал саны үшін а+0=0+а=а теңдігі ақиқат болады. |
Сұрақтарға жауап береді Тақырып бойынша ресурстарды қарап, танысады Тапсырма. Координаталық түзудiң көмегiмен қосындының және азайтудың мәнiн табыңдар: 1) – 2 + 5; 6) – 2 + 6. 2) -3 + 5; 7) – 5 + 6; 3) – 3 + 4; 8) - 4 + 5; 4) – 5 - 6 ; 9) -4+0 5) -9+0 10) – 3 + 3; |
|
Презентация Слайд |
|||||||
|
25 минут |
Бекіту тапсырмасы |
Тапсырма: А-деңгей №1.1) -6+2=-4 2) -3+8=5 3) -7+5=-2 4) -5+(-1)=-6 В-деңгей №2. 1) 5-9+3=-1 2) -6+11-8=-3 3) -4+10-14=-8 4) 3-8+12=7 5) 4-10+14=8 6) -3+8-12=-7 7) -2-5+12=5 8) -1-4+13=8 С-деңгей №361. 2.37 суретте нүктенiң кординаталық түзу бойымен жылжу схема түрiнде берiлген. Нүктенiң координаталық түзу бойымен жылжуының санды өрнегiн жазыңдар. Санды өрнектiң мәнiн табыңдар.
Оқулықтан №357, №360.
|
Жеке жұмыс. Тапсырмалар: 1.Таңертең ауаның температурасы -1ºС болды. Кешке дейiн ауаның температурасы 6 ºС –қа өзгердi.кешке термометр неше градуст көрсетiп отыр А) -5 ºС В) 7 ºС С) 5 ºС 2. Координаталық түзудiң көмегiмен айырманың мәнiн табыңдар: -2- 4= А) 2 В) -6 С) 6 3. Кез- келген санға нөлдi қосқанда сан... А) 0-ге тең болады В) сан өзгередi С) сан өзгермейдi 4. Қарама-қарсы сандардың қосындысы неге тең ? А) оң болады В) терiс болады С) 0 5.Күндiз ауаның температура +5ºС болды. Кешке термометр 0ºС ты көрсеттi. Термометр қай бағытта , қанша бiрлiк жылжыды ? А) оң бағытта 5 бiрлiк В) сол бағытта 5 бiрлiк С) оң бағытта 4бiрлiк |
. Дескриптор: Тақырыпқа қатысты есептер шығарады, талдайды. -Таңбалар ережесін пайдаланып, орындайды. Мәтіндегі негізгі ойды анықтайды |
Интернет ресурстары Слайд Оқулық |
|||||||
|
|
Жеке оқушымен жұмыс |
№1. 1) -12+20-26= 2) 6-18+24= 3) 9-23+18= 4) -12+26-19= №2. 1) -3+7= 2) -4+4= 3) -2+8= |
Карточкамен берілген тапсырманы орындайды |
Дескриптор: -Таңбалар ережесін пайдаланып, орындайды |
|
|||||||
|
5 минут |
|
Бүгінгі сабақта:
Қорытынды.Тақырыптық сұрақтар беру.
Рефлексия.
Үйге тапсырма. №356, №362
|
Тақырыпты меңгергенін анықтау |
Кері байланыс |
Презентация |
|||||||
Сабақ жоспары
Бекітемін:
|
Мұғалімнің аты-жөні: |
|
|||||||||||||||||||||||
|
Пән/Сынып: |
6 сынып Қатысқандар саны: Қатыспағандар саны: |
|||||||||||||||||||||||
|
Күні: |
|
|||||||||||||||||||||||
|
Тарау немесе бөлім атауы: |
6.1В Рационал сандар және оларға амалдар қолдану |
|||||||||||||||||||||||
|
Сабақтың тақырыбы: |
Теріс рационал сандарды қосу |
|||||||||||||||||||||||
|
Оқу бағдарламасына сәйкес оқыту мақсаттары: |
6.1.2.13 таңбалары бірдей, таңбалары әртүрлі рационал сандарды қосуды орындау; |
|||||||||||||||||||||||
|
Сабақтың мақсаты: |
|
|||||||||||||||||||||||
|
Сабақ барысы: |
||||||||||||||||||||||||
|
Уақыты |
Кезең дері |
Педагогтің әрекеті |
Оқушының әрекеті |
Бағалау |
Ресурстар |
|||||||||||||||||||
|
5 минут |
Ұйымдастыру |
Сәлеметсіздерме! Бүгін, Теріс рационал сандарды қосу тақырыбын қарастырамыз Бүгінгі сабақта меңгеретініңіз: -таңбалары бірдей, таңбалары әртүрлі рационал сандарды қосуды орындау; |
Амандасады. Үй жұмысын айтады. |
Ынталандыру сөздерін қолдану «жақсы», «жарайсың», «өте жақсы» |
Оқулық |
|||||||||||||||||||
|
10 мин |
Жаңа сабақ |
Алған білімдерін жүйелеу. Зерттеу тапсырмасы Мына сурет бойынша есеп құрастырыңыз:
Бір, екі оқушының пікірін тыңдау, талқылау, қорытындылау. Жаңа сабақ Түсте ауаның температурасы -30С болды, ал кешке -40С- қа өзгерді (40С төмендеді). Кешке ауаның температурасы неше градус болды? Кешкі ауаның температурасын табу үшін (-3) санына (-4) санын қосу керек. (-3) + (-4) = -7. Бірінші қосылғышты әдетте жақшасыз жазады: -3 + (-4) = -7. Демек, кешкі ауаның температурасы -70С-қа тең. Есіңе сақта! Екі теріс санды қосу үшін:
|
Сұрақтарға жауап береді Тақырып бойынша ресурстарды қарап, танысады Мысал: -8 + (-11) = -(8+11)= -19.
Жақша ашу ережесі 1 : -(-(-(-)))=+ 2 : -(-(-(-(-))))=- 3 : -(-(-(-(-(-)))))=+ |
«Басбармақ» әдісімен бағалайды. |
Презентация Слайд |
|||||||||||||||||||
|
25 минут |
Бекіту тапсырмасы |
Ұжымдық тапсырмалар: №1. Есептеңіз: -6 + (-9) = - 15; -1,5 + (-5) = -6,5; -2 + (-3,7) = - 5,7; -3,1 + (-1,5) = -4,6; -32 + (-32) = - 64. №2. Бос орынды толықтырыңыз: -14 + … = - 37; -4,8 + … = - 8,6; -2,13 + … = - 17; -3,8 + … = - 4,08; -51,22 + … = - 60,1. №3.
Жауабы: №4. Қосуды орындаңдар, сәйкестендір
|
Өз бетімен жұмыс. Графикалық диктант иә, жоқ
Оқулықтан №367, №368. |
Дескриптор: Тақырыпқа қатысты есептер шығарады, талдайды. -Таңбалар ережесін пайдаланып, орындайды. |
Интернет ресурстары Слайд Оқулық |
|||||||||||||||||||
|
|
Жеке оқушымен жұмыс |
№1.
|
Карточкамен берілген тапсырманы орындайды |
Дескриптор: -Таңбалар ережесін пайдаланып, орындайды.
«Екі жұлдыз, бір ұсыныс» |
|
|||||||||||||||||||
|
5 минут |
|
Бүгінгі сабақта: -Теріс сандарды қосу алгоритмін білді -Теріс сандарды қосу ережесін есеп шығаруда қолдануға үйренді Рефлексия.
Үйге тапсырма. №366, №369.
|
Тақырыпты меңгергенін анықтау |
Кері байланыс |
Презентация |
|||||||||||||||||||
Сабақ жоспары
Бекітемін:
|
Мұғалімнің аты-жөні: |
|
|||||||||||||||||||||||
|
Пән/Сынып: |
6 сынып Қатысқандар саны: Қатыспағандар саны: |
|||||||||||||||||||||||
|
Күні: |
|
|||||||||||||||||||||||
|
Тарау немесе бөлім атауы: |
6.1В Рационал сандар және оларға амалдар қолдану |
|||||||||||||||||||||||
|
Сабақтың тақырыбы: |
Теріс рационал сандарды қосу |
|||||||||||||||||||||||
|
Оқу бағдарламасына сәйкес оқыту мақсаттары: |
6.1.2.13 таңбалары бірдей, таңбалары әртүрлі рационал сандарды қосуды орындау; |
|||||||||||||||||||||||
|
Сабақтың мақсаты: |
-Рационал сандарды қосу ережелерін білу, амалдарды орындау алгоритмін білу -Рационал сандардың қосу қасиеттерін білу. Координаталық түзуде сәуледе аралас сандарды орналастырады |
|||||||||||||||||||||||
|
Сабақ барысы: |
||||||||||||||||||||||||
|
Уақыты |
Кезең дері |
Педагогтің әрекеті |
Оқушының әрекеті |
Бағалау |
Ресурстар |
|||||||||||||||||||
|
5 минут |
Ұйым дастыру |
Сәлеметсіздерме! Бүгін, Теріс рационал сандарды қосу тақырыбын қарастырамыз Бүгінгі сабақта меңгеретініңіз: -Теріс сандарды қосу алгоритмін біледі -Теріс сандарды қосу ережесін есеп шығаруда қолдануға үйренеді |
Амандасады. Үй жұмысын айтады. |
Ынталандыру сөздерін қолдану «жақсы», «жарайсың», «өте жақсы» |
Оқулық |
|||||||||||||||||||
|
5 мин |
Жаңа сабақты бекіту |
Сұрақтарға жауап беру
|
Сұрақтарға жауап береді Тақырып бойынша ресурстарды қарап, танысады Жақша ашу ережесі 1 : -(-(-(-)))=+ 2 : -(-(-(-(-))))=- 3 : -(-(-(-(-(-)))))=+ |
|
Карточка |
|||||||||||||||||||
|
30 минут |
Бекіту тапсырмасы |
Тапсырма:
|
Өз бетімен жұмыс. Тест жұмысы: 1. Қосуды
орында:-11,6+(-4,8) Жеке жұмыс. Оқулықтан №372, №376, №377 |
Дескриптор: Тақырыпқа қатысты есептер шығарады, талдайды. -Таңбалар ережесін пайдаланып, теңдеулерді шешеді.
Дескриптор: -Теріс сандарды қосу ережесін қолданып, тест жауаптарын табады. |
Слайд |
|||||||||||||||||||
|
|
Жеке оқушы мен жұмыс. |
Хайролла Т. 1 тапсырма. Кестені толтырыңдар
|
Тапсырманы орындайды |
Мониторинг |
|
|||||||||||||||||||
|
5 минут |
|
Бүгінгі сабақта: -Теріс сандарды қосу алгоритмін білді -Теріс сандарды қосу ережесін есеп шығаруда қолдануға үйренді Рефлексия Бүгінгі сабақтағы өз жұмысыңды төмендегі жауаптардың біреуін таңдау арқылы бағалаңыз. Сабақтың күрделілігін бағала. Сізге сабақ... -жеңіл -қарапайым -қиын Материалды меңгеру дәрежеңізді бағалаңыз: - толық меңгердім - бүгінгі сабақты жартылай түсіндім - бүгінгі сабақты түсінбедім
|
Тақырыпты меңгергенін анықтау Үйге тапсырма. №378, №379 |
Кері байланыс |
|
|||||||||||||||||||
Сабақ жоспары
Бекітемін:
|
Мұғалімнің аты-жөні: |
|
|||||||||||||||||||
|
Пән/Сынып: |
6 сынып Қатысқандар саны: Қатыспағандар саны: |
|||||||||||||||||||
|
Күні: |
|
|||||||||||||||||||
|
Тарау немесе бөлім атауы: |
6.1В Рационал сандар және оларға амалдар қолдану |
|||||||||||||||||||
|
Сабақтың тақырыбы: |
Таңбалары әртүрлі рационал сандарды қосу |
|||||||||||||||||||
|
Оқу бағдарламасына сәйкес оқыту мақсаттары: |
6.1.2.13 таңбалары бірдей, таңбалары әртүрлі рационал сандарды қосуды орындау; |
|||||||||||||||||||
|
Сабақтың мақсаты: |
Қосылғыштарды алгебралық түрінде жаза біледі. |
|||||||||||||||||||
|
Сабақ барысы: |
||||||||||||||||||||
|
Уақыты |
Кезең дері |
Педагогтің әрекеті |
Оқушының әрекеті |
Бағалау |
Ресурстар |
|||||||||||||||
|
3 минут |
Ұйым дастыру |
Сәлеметсіздерме! Бүгін, Таңбалары әртүрлі рационал сандарды қосу тақырыбын қарастырамыз Бүгінгі сабақта меңгеретініңіз: -Таңбалары әр түрлі рационал сандарды қосу алгоритмін біледі - Таңбалары әр түрлі рационал сандарды қосу ережесін есеп шығаруда қолдануға үйренеді |
Амандасады. Үй жұмысын айтады. |
Ынталандыру сөздерін қолдану «жақсы», «жарайсың», «өте жақсы» |
Оқулық. |
|||||||||||||||
|
5 мин |
Жаңа сабақ |
Сұрақтарға жауап беру 1Екі теріс санның қосындысы неге тең?(теріс сан) 2Қарама қарсы санның қосындысы неге тең? ( о ) 3.Қандай сандар 0 ден үлкен? (кез келген оң сан) 4. Қандай сандар 0ден кіші? ( оң сандар ) 5.Теріс санға қарама-қарсы сан қандай сан? (оң сан) 6.Теріс санның модулі неге тең?(оған қарама-қарсы санға) 7. Оң санның модулі неге нең?(сол санның өзіне тең) Жақша ашу ережесі 1 : -(-(-(-)))=+ 2 : -(-(-(-(-))))=- 3 : -(-(-(-(-(-)))))=+ Жаңа сабақ. Видео сабақ ұсынады Оқушылар. видео сабақ көріп тұжырымдайды. Оқушыларға сәйкестендіру тест ережесін түсіндіреді. Оқушылардың мұндағы мақсаты берілген тапсырманы сәйкестендіріп дұрыс жауабын көрсетеді. 1 2 3 4 |
Сұрақтарға жауап береді Тақырып бойынша ресурстарды қарап, танысады |
|
Презентация |
|||||||||||||||
|
10 минут |
Бекіту тапсырмасы |
Тапсырма: №1. 1) -2) -
№2. a+b өрнегінің мәнін табыңдар, мұндағы
1)a=6; b=-15;6+(- 15 ) = -
9:2) a=7,6;b=-5,3; 7,6+(- 5,3)==2,3: 3) a=
-
№3. Теңдеудің түбірін ойлап табыңдар.Дұрыстығын тексер. 1) -7+X=132) X+(-9) =-43) X+(-15)=104) X+35= 10 X= 20 X= 5 X= 25 X= -25 20 + 5 + 25 + ( - 25 ) = 25 №4. Температураның өзгерісі бойынша кестені толтырыңдар:
№5.Жұлдызшаларды тиісті «+» немесе «-» таңбасымен ауыстырыңдар: 1)*8,4+(*5,9)=-2,5;2)
*3,2+(*9)=-5,8;3) *5 7,3;6)
*2 7) (-15)+(*8)=- 23;8) (-3,25)+(*0,75)=- 4; Жеке жұмыс.
Оқулықтан №393, №394 |
|
Дескриптор: Тақырыпқа қатысты есептер шығарады, талдайды Дескриптор: Мәтіндегі негізгі ойды анықтайды -Жұлдызша ның орнына тиісті таңбаларды қояды. |
Интернет ресурстары Оқулық |
|||||||||||||||
|
25мин |
Жеке жұмыс |
ББЖБ №2 |
Тапсырманы орындайды |
Мониторинг |
|
|||||||||||||||
|
2 минут |
|
Бүгінгі сабақта: - Таңбалары әр түрлі рационал сандарды қосу алгоритмін білді; - Таңбалары әр түрлі рационал сандарды қосу ережесін есеп шығаруда қолдануға үйренді. Рефлексия Бас бармақ – «Түсіне білдім»Сұқ саусақ –«тақырыпқа сай нақты нұсқаулар берілді»Ортан терек - Ұнамады»Шылдыр шүмек –Түсіну қиын болды»Кішкентай бөбек – «мүлдем түсінбедім»
Үйге тапсырма. №395, №396. |
Тақырыпты меңгергенін анықтау |
Кері байланыс |
Презентация |
|||||||||||||||
Сабақ жоспары
Бекітемін:
|
Мұғалімнің аты-жөні: |
|
|||||
|
Пән/Сынып: |
6 сынып Қатысқандар саны: Қатыспағандар саны: |
|||||
|
Күні: |
|
|||||
|
Тарау немесе бөлім атауы: |
6.1В Рационал сандар және оларға амалдар қолдану |
|||||
|
Сабақтың тақырыбы: |
Таңбалары әртүрлі рационал сандарды қосу |
|||||
|
Оқу бағдарламасына сәйкес оқыту мақсаттары: |
6.1.2.13 таңбалары бірдей, таңбалары әртүрлі рационал сандарды қосуды орындау; |
|||||
|
Сабақтың мақсаты: |
Қосылғыштарды алгебралық түрінде жаза біледі. |
|||||
|
Сабақ барысы: |
||||||
|
Уақыты |
Кезең дері |
Педагогтің әрекеті |
Оқушының әрекеті |
Бағалау |
Ресурстар |
|
|
5 минут |
Ұйым дастыру |
Сәлеметсіздерме! Бүгін, Таңбалары әртүрлі рационал сандарды қосу тақырыбын қарастырамыз Бүгінгі сабақта меңгеретініңіз: -Таңбалары әр түрлі рационал сандарды қосу алгоритмін біледі - Таңбалары әр түрлі рационал сандарды қосу ережесін есеп шығаруда қолдануға үйренеді |
Амандасады. Үй жұмысын айтады. |
Ынталандыру сөздерін қолдану «жақсы», «жарайсың», «өте жақсы» |
Оқулық |
|
|
10 мин |
Жаңа сабақты бекіту. |
«Қарыз», «ыстық», «кіріс»,«пайда», «шығын» сөзін оң, теріс сандармен алмастырып, таңбалары әр түрлі сандарды қосу ережесін қорытып шығарады
1)«қарыз + пайда =
?» 2)Таңбалары бірдей сандар қалай қосылады? 3)Қарама-қарсы сандардың қосындысы туралы не айтуға болады? 4)Таңбалары әртүрлі сандарды қосу ережесін тұжырымда? Жақша ашу ережесі 1 : -(-(-(-)))=+ 2 : -(-(-(-(-))))=- 3 : -(-(-(-(-(-)))))=+ |
Сұрақтарға жауап береді Тақырып бойынша ресурстарды қарап, танысады №1. Ауызша есептер:
|
Дескриптор: -Таңбалар ережесін қолданады. |
Презентация Слайд |
|
|
25 минут |
Бекіту тапсырмасы |
Тапсырма: №2. Қосуды орында.
Көмек: Есептің берілгеніне, таңбасына мұқият көңіл бөл; №3. Өрнектің мәнін табыңдар: ә) 47,5-9,403-5,46+0,027 б)
№4: Теңдеуді шешіңдер: А) (-х-6,3)-(-3,9)=2,8 Ә)
№6. Жұлдызшалардың орнына теңдік орындалатындай санды жазындар:
Жеке жұмыс. Оқулықтан №397, №402 /мәтінді есеп/ |
Өз бетімен жұмыс. №5 Салыстырындар: А) -15+(-78) және –(15+78) Б) –(8+(-6)) және –(8+6) Г) –(-(-0,7+(- 1,3))) және 0,7+1,3 |
Дескриптор: -Сәйкестендіру тест орындайды. Тақырыпқа қатысты есептер шығарады, талдай Дескриптор: -Таңбалар ережесін қолданады -Жұлдызшаның орнына теңдік орындалатын дай санды қояды. Дескриптор: Мәтіндегі негізгі ойды анықтайды |
Слайд |
|
|
|
Жеке оқушымен жұмыс |
№1.Сәйкес жауаптармен қос: 1. -2,3 – 0,7 1,5 2. -8-(-9,5) -5 3. 3,85-5,3 10 4. -32-(-42) -3 5. 10,5-(-9,5) -1,45 6. -1,9-3,1 20 |
Тапсырманы орындайды |
|
|
|
|
5 минут |
|
Бүгінгі сабақта: - Таңбалары әр түрлі рационал сандарды қосу алгоритмін білді; - Таңбалары әр түрлі рационал сандарды қосу ережесін есеп шығаруда қолдануға үйренді. Рефлексия Бас бармақ» әдісі арқылы тақырыпты қорытындылау. Басбармақ жоғарыға қарай = Мен түсінемін. Басбармақ көлденең = Мен түсінгендеймін. Басбармақ төмен қарай = Мен түсінбедім. Үйге тапсырма. №398, №400
|
Тақырыпты меңгергенін анықтау |
|
Презентация |
|
Сабақ жоспары
Бекітемін:
|
Мұғалімнің аты-жөні: |
|
|||||
|
Пән/Сынып: |
6 сынып Қатысқандар саны: Қатыспағандар саны: |
|||||
|
Күні: |
|
|||||
|
Тарау немесе бөлім атауы: |
6.1В Рационал сандар және оларға амалдар қолдану |
|||||
|
Сабақтың тақырыбы: |
Рационал сандарды қосудың қасиеттері |
|||||
|
Оқу бағдарламасына сәйкес оқыту мақсаттары: |
6.1.2.13 таңбалары бірдей, таңбалары әртүрлі рационал сандарды қосуды орындау; |
|||||
|
Сабақтың мақсаты: |
-Рационал сандарды қосып, қосындыны табуда ауыстырымдылық, терімділік қасиеттерін біледі. -Рационал сандарды қосу ережелерін әр түрлі есептерде пайдаланады. |
|||||
|
Сабақ барысы: |
||||||
|
Уақыты |
Кезең дері |
Педагогтің әрекеті |
Оқушының әрекеті |
Бағалау |
Ресурстар |
|
|
5 минут |
Ұйым дастыру |
Сәлеметсіздерме! Бүгін, Рационал сандарды қосудың қасиеттері тақырыбын қарастырамыз Бүгінгі сабақта меңгеретініңіз: -Рационал сандарды қосып, қосындыны табуда ауыстырымдылық, терімділік қасиеттерін біледі. -Рационал сандарды қосу ережелерін әр түрлі есептерде пайдаланады. |
Амандасады. Үй жұмысын айтады. |
Ынталандыру сөздерін қолдану «жақсы», «жарайсың», «өте жақсы» |
Оқулық |
|
|
10 мин |
Жаңа сабақ. |
Сұрақтарға жауап беру
Рационал сандардың қосудың қандай қасиеттері бар. Жаңа тақырыпты натурал сандарға қолданылатын қасиеттер арқылы түсіндіру. Мысал келтіру Қосу амалының ауыстырымдылық және терімділік қасиеттері рационал сандарды қосуда да орындалады. 1.а+в==в+а қосудың ауыстырымдылық қасиеті 2.(а+в)+с=а+(в+с) қосудың терімділік қасиеті а, в, с — рационал сандар 3. а+0=а екі қосылғыштың біреуі 0 болса, қосынды екінші қосылғышқа тең. Мысалы: -9+(-13)=-22 -13+(-9)=-22 -7+(-1,6))+(-0,4)=-8,6+(-0,4)=-9 -8+0=-8 немесе 0+(-8)=-8 |
Сұрақтарға жауап береді Тақырып бойынша ресурстарды қарап, танысады |
|
Презентация Слайд |
|
|
25 минут |
Бекіту тапсырмасы |
Тапсырма: 1-деңгей . (Дидактикалық материалдар есебі) №1 а) -267+(-415) Б) -0,26+(-0,74) №2 а) -12,64+53,24 Б) (-53)+53 +(-24) №3 терімділік қасиетін пайдаланып есепте -17,8+9,9+17,8+2,1 2-деңгей. Оқулықпен жұмыс 128 бет. №419 3-деңгей. Теңдеуді шешу
Өз бетімен жұмыс. Оқулықтан № 414, №417 |
|
Дескриптор: -Таңбалар ережесін қолданады. Дескриптор: Тақырыпқа қатысты есептер шығарады, талдайды Дескриптор: -Таңбалар ережесін қолданады Мәтіндегі негізгі ойды анықтайды |
Слайд |
|
|
|
Жеке жұмыс |
Оқулықтан №415. |
Тапсырманы орындайды |
|
|
|
|
5 минут |
|
Бүгінгі сабақта: 1. Қандай өрнек алгебралық қосынды деп аталады? 2. Қосудың ауыстырмдылық қасиетінің тұжырымдамасын айтыңдар 3. Қосудың терімділік қасиеті әріптермен қалай жазылады? Рефлексия Бас бармақ» әдісі арқылы тақырыпты қорытындылау. Басбармақ жоғарыға қарай = Мен түсінемін. Басбармақ көлденең = Мен түсінгендеймін. Басбармақ төмен қарай = Мен түсінбедім.
|
Тақырыпты меңгергенін анықтау |
|
Презентация |
|
шағым қалдыра аласыз



































Жол к




ә)
б) 

2)
3)






2)
3)






































































см






















3,14159265 








C(2,4), D(6) нүктелерін горизонтальдық
координаталық түзуде кескіндеңдер:



2.Мына сандардан: -4;3;-9;
оң
сандарын бөлек, теріс сандарын бөлек
жазыңдар:



















),





























=8














