7 сынып Алгебра 2 тоқсан бжб№1
Тақырып бойынша 31 материал табылды
7 сынып Алгебра 2 тоқсан бжб№1
Материал туралы қысқаша түсінік
ІІ тоқсан Алгебра БЖБ №3
Оқушының аты – жөні:_______________________________________ 7 « » сынып. Күні:
«Функция. Функцияның графигі» бөлімі бойынша жиынтық бағалау»
Орындау уақыты: 20 минут І– нұсқа
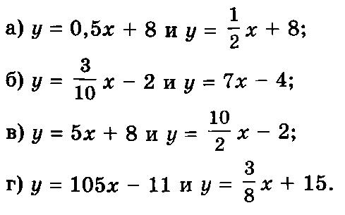
1. Графиктері өзара параллель болатын функцияларды тауып, жауабын түсіндіріңіз: 2 балл
2. y=х3 функциясының графигін табыңыз: 1 балл
3. Берілген функциялардың графиктерін тап: 2 балл
А) y =-2x+4 В) y=1 2/3 + 5
Б) y=3x-3 Г)y =-0.75x+3
4. Теңдеулер жүйесін графиктік тәсілмен шешіңдер: {█(2x+y=8@2x-y=1)┤ 5 балл
5. Табыңдар:
a) функцияның анықталу облысын табыңдар: 1) y=3x+1 2) y=x/(3x-9)
б) 5 х 3 кесіндісіндегі y= (3x-5)/2 функцияның
Материалдың қысқаша нұсқасы
Бөлісу
ЖИ арқылы жасау
Файл форматы:
docx
16.12.2024
212
ЖИ арқылы жасау
Жариялаған:
Бұл материалды қолданушы жариялаған. Ustaz Tilegi ақпаратты жеткізуші ғана болып табылады. Жарияланған материалдың мазмұны мен авторлық құқық толықтай автордың жауапкершілігінде. Егер материал авторлық құқықты бұзады немесе сайттан алынуы тиіс деп есептесеңіз,
шағым қалдыра аласыз
шағым қалдыра аласыз


















