Сабақ жоспары №1
Бекітемін:
|
Бөлім: |
Қысқаша көбейту формулалары |
||||||||||||
|
Педагогің Аты, Тегі; Әкесінің аты (бар болған жағдайда): |
|
||||||||||||
|
Пән/Сынып: |
7 сынып. Қатысқандар саны: Қатыспағандар саны: |
||||||||||||
|
Күні: |
|
||||||||||||
|
Сабақтың тақырыбы: |
Екі өрнектің квадраттарының айырмасы. |
||||||||||||
|
Оқу бағдарламасына сәйкес оқыту мақсаты: |
7.2.1.10
қысқаша көбейту формулаларын білу және қолдану; |
||||||||||||
|
Сабақтың мақсаттары: |
-екі өрнектің квадраттарының айырмасының формуласын білу -екі өрнектің квадраттарының айырмасы формуласын есеп шығаруда қолдану |
||||||||||||
|
Құндылықтарды дарыту |
«Ар-ұят» құндылығына: Топпен, жұппен жұмыс орындау барысында құрмет, серіктестік және жеке жұмыс орындау кезінде жауапкершілік, шешім қабылдай білу және жауапкершілікті сезіну; Достарына,сыныптастарына мейірімділік таныту құндылықтарын дарыту. |
||||||||||||
|
Сабақ барысы: |
|||||||||||||
|
Уақыты |
Кезең дері |
Педагогтің әрекеті |
Оқушының әрекеті |
Бағалау |
Ресурстар |
||||||||
|
5 минут |
Ұйым дастыру |
Сәлеметсіздерме! Бүгін, Екі өрнектің квадраттарының айырмасы тақырыбын қарастырамыз Бүгінгі сабақта меңгеретініңіз: - екі өрнектің квадраттарының айырмасы формуласы. - екі өрнектің квадраттарының айырмасы формуласын қолдану. Үй тапсырмасын тексеру. Сұрақтар.
|
Амандасады, сабаққа дайындалады. Сұрақтарға жауап береді |
|
Тақта Бор Кітап Дәптер Интерактивті тақта Бағалау парақтары |
||||||||
|
10 мин |
Жаңа сабақ |
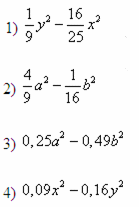
Жаңа сабақ. Видеотүсіндіру. a – b айырмасын a + b қосындысына көбейт: (a – b)(a + b) = a2 + ab – ab + b2 = a2 – b2 немесе a2 – b2 = (a – b)(a + b). a2 – b2 = (a – b)(a + b) теңдігі екі өрнектің квадраттары айырмасының формуласы деп аталады және «екі өрнектің квадраттарының айырмасы олардың айырмасы мен қосындысының көбейтіндісіне тең» деп оқылады. 1-мысал. Көбейтуді орында: a) (5 – 3b)(5 + 3b) = 52 – (3b)2 = 25 – 9b2. b) (7 + 4c)(7 – 4c) = 72 – (4c)2 = 49 – 16c2. 2-мысал. Көбейткіштерге жікте: a) 81 – n2 = 92 – n2 = (9 – n)(9 + n). b) 100m2 – 16x2 y4 = (10m)2 – (4xy2)2 = (10m – 4xy2)(10m + 4xy2 ). 3-мысал. Теңдеуді шеш: x2 – 100 = 0. Шешуі. Алдымен теңдеудің сол жағын көбейткіштерге жікте: x2 – 100 = x2 – 102 = (x – 10)(x + 10). Кейін (x – 10)(x + 10) = 0 теңдеуін шеш. Көбейткіштердің бірі нөлге тең болғанда ғана көбейтіндінің мәні нөлге тең болады: x – 10 = 0 немесе x + 10 = 0, осыдан x = 10 немесе x = –10. Теңдеудің екі шешімі бар: 10 және –10. Жауабы: –10 және 10.
|
Тақырып бойынша ресурстарды қарап, танысады
|
«Бағдаршам» арқылы қалыптастыру шы бағалау
|
Жалпы білім беретін мектептің 7–сыныбына арналған оқулық. Тақта Бор Кітап Дәптер Интерактивті тақта Бағалау парақтары |
||||||||
|
15 минут |
Бекіту тапсырмасы |
Тапсырма 1.
Егер
Тапсырма 2. Көпмүше түрінде жазыңыздар:
Тапсырма 3
|
Оқушылар дескрипторға сәйкес тапсырмаларды орындайды. Кестені дескрипторға сәйкес толтырады. Оқулықтан есептерді шығарады.
|
Дескриптор: -Қысқаша көбейту формулаларын қолдана алады -Есептеулерде қысқаша көбейту формалаларын қолдана алады -Дәлелдеуді жүргізе алады. ҚБ:«Бас бармақ» әдісі
|
Презентация Слайд Интернет ресурстары Жалпы білім беретін мектептің 7–сыныбына арналған оқулық. Карточкалар;7 сыныпқа арналған оқулық Презентация |
||||||||
|
10 мин |
Оқулықпен жұмыс |
|
Тапсырманы орындайды
|
Оқушының тақтадағы белсенділігіне байланысты ауызша бағалау |
Жалпы білім беретін мектептің 7–сыныбына арналған оқулық. Тақта Бор Кітап Дәптер Интерактивті тақта Бағалау парақтары |
||||||||
|
5 минут |
|
Бүгінгі сабақта: - қысқаша көбейту формулаларын ауызша тұжырымдай біледі; - ауызша тұжырымдалған қысқаша көбейту формулаларын жаза біледі; Сабақ соңында оқушылар рефлексия жүргізеді: Рефлексия:
Үйге тапсырма.№31.4 |
Тақырыпты меңгергенін анықтау |
Кері байланыс |
Жалпы білім беретін мектептің 7–сыныбына арналған оқулық. Тақта Бор Кітап Дәптер Интерактивті тақта Бағалау парақтары |
||||||||
Сабақ жоспары №2
Бекітемін:
|
Педагогің Аты, Тегі; Әкесінің аты (бар болған жағдайда): |
|
|||||
|
Пән/Сынып: |
7 сынып. Қатысқандар саны: Қатыспағандар саны: |
|||||
|
Күні: |
|
|||||
|
Бөлім: |
Қысқаша көбейту формулалары |
|||||
|
Сабақтың тақырыбы: |
Екі өрнектің квадраттарының айырмасы. |
|||||
|
Оқу бағдарламасына сәйкес оқыту мақсаты: |
7.2.1.10
қысқаша көбейту формулаларын білу және қолдану; |
|||||
|
Сабақтың мақсаттары: |
-екі өрнектің квадраттарының айырмасының формуласын білу -екі өрнектің квадраттарының айырмасы формуласын есеп шығаруда қолдану |
|||||
|
Сабақ барысы: |
||||||
|
Уақыты |
Кезең дері |
Педагогтің әрекеті |
Оқушының әрекеті |
Бағалау |
Ресурстар |
|
|
5 минут |
Ұйым дастыру |
Сәлеметсіздерме! Бүгін, Екі өрнектің квадраттарының айырмасы тақырыбын қарастырамыз Бүгінгі сабақта меңгеретініңіз: - екі өрнектің квадраттарының айырмасы формуласы. - екі өрнектің квадраттарының айырмасы формуласын қолдану. Үй тапсырмасын тексеру. №31.4. Сұрақтар. Тең өрнектерді сәйкестендіріңіз.
|
Амандасады, сабаққа дайындалады. Сұрақтарға жауап береді |
|
Жалпы білім беретін мектептің 7–сыныбына арналған оқулық. Тақта Бор Кітап Дәптер Интерактивті тақта Бағалау парақтары |
|
|
10 мин |
Жаңа сабақты бекіту |
a – b айырмасын a + b қосындысына көбейт: (a – b)(a + b) = a2 + ab – ab + b2 = a2 – b2 немесе a2 – b2 = (a – b)(a + b). a2 – b2 = (a – b)(a + b) теңдігі екі өрнектің квадраттары айырмасының формуласы деп аталады және «екі өрнектің квадраттарының айырмасы олардың айырмасы мен қосындысының көбейтіндісіне тең» деп оқылады. 1-мысал. Көбейтуді орында: a) (5 – 3b)(5 + 3b) = 52 – (3b)2 = 25 – 9b2. b) (7 + 4c)(7 – 4c) = 72 – (4c)2 = 49 – 16c2. 2-мысал. Көбейткіштерге жікте: a) 81 – n2 = 92 – n2 = (9 – n)(9 + n). b) 100m2 – 16x2 y4 = (10m)2 – (4xy2)2 = (10m – 4xy2)(10m + 4xy2 ). 3-мысал. Теңдеуді шеш: x2 – 100 = 0. Шешуі. Алдымен теңдеудің сол жағын көбейткіштерге жікте: x2 – 100 = x2 – 102 = (x – 10)(x + 10). Кейін (x – 10)(x + 10) = 0 теңдеуін шеш. Көбейткіштердің бірі нөлге тең болғанда ғана көбейтіндінің мәні нөлге тең болады: x – 10 = 0 немесе x + 10 = 0, осыдан x = 10 немесе x = –10. Теңдеудің екі шешімі бар: 10 және –10. Жауабы: –10 және 10.
|
Тақырып бойынша ресурстарды қарап, танысады
|
«Бағдаршам» арқылы қалыптастыру шы бағалау
|
Жалпы білім беретін мектептің 7–сыныбына арналған оқулық. |
|
|
15 минут |
Бекіту тапсырмасы |
Тапсырмалар. 1.Тиімді тәсілмен есептеңіздер 2. Теңдеулерді шешіңіздер
3. Көбейтінді түрінде жазыңыздар.
Оқулықпен жұмыс. №5.39.
Оқулықпен жұмыс. Тиімді тәсілмен шығарыңдар:
|
Оқушылар дескрипторға сәйкес тапсырмаларды орындайды. Кестені дескрипторға сәйкес толтырады. Оқулықтан есептерді шығарады.
|
Дескриптор: -Қысқаша көбейту формулаларын қолдана алады -Есептеулерде қысқаша көбейту формалаларын қолдана алады -Дәлелдеуді жүргізе алады. ҚБ:«Бас бармақ» әдісі
|
Презентация Слайд Интернет ресурстары Жалпы білім беретін мектептің 7–сыныбына арналған оқулық. Карточкалар;7 сыныпқа арналған оқулық Презентация |
|
|
10 мин |
Оқулықпен жұмыс |
|
Тапсырманы орындайды |
Оқушының тақтадағы белсенділігіне байланысты ауызша бағалау |
Жалпы білім беретін мектептің 7–сыныбына арналған оқулық. Тақта Бор Кітап Дәптер Интерактивті тақта Бағалау парақтары |
|
|
5 минут |
|
Бүгінгі сабақта: - қысқаша көбейту формулаларын ауызша тұжырымдай біледі; - ауызша тұжырымдалған қысқаша көбейту формулаларын жаза біледі; Сабақ соңында оқушылар рефлексия жүргізеді: Рефлексия:
Үйге тапсырма.№31.11 |
Тақырыпты меңгергенін анықтау |
Кері байланыс |
|
|
Сабақ жоспары №3
Бекітемін:
|
Бөлім: |
Қысқаша көбейту формулалары |
|||||||||||
|
Педагогің Аты, Тегі; Әкесінің аты (бар болған жағдайда): |
|
|||||||||||
|
Пән/Сынып: |
7 сынып. Қатысқандар саны: Қатыспағандар саны: |
|||||||||||
|
Күні: |
|
|||||||||||
|
Сабақтың тақырыбы: |
Екі өрнектің квадраттарының айырмасы. |
|||||||||||
|
Оқу бағдарламасына сәйкес оқыту мақсаты: |
7.2.1.10
қысқаша көбейту формулаларын білу және қолдану; |
|||||||||||
|
Сабақтың мақсаттары: |
-екі өрнектің квадраттарының айырмасы формуласын білу -екі өрнектің квадраттарының айырмасы формуласын есеп шығаруда қолдану. |
|||||||||||
|
Сабақ барысы: |
||||||||||||
|
Уақыты |
Кезең дері |
Педагогтің әрекеті |
Оқушының әрекеті |
Бағалау |
Ресурстар |
|||||||
|
5 минут |
Ұйым дастыру |
Сәлеметсіздерме! Бүгін, Екі өрнектің квадраттарының айырмасы тақырыбын қарастырамыз Бүгінгі сабақта меңгеретініңіз: - екі өрнектің квадраттарының айырмасы формуласы. - екі өрнектің квадраттарының айырмасы формуласын қолдану. Үй тапсырмасын тексеру. №31.11.
|
Амандасады, сабаққа дайындалады. Сұрақтарға жауап береді |
|
|
|||||||
|
10 мин |
Жаңа сабақты бекіту |
a – b айырмасын a + b қосындысына көбейт: (a – b)(a + b) = a2 + ab – ab + b2 = a2 – b2 немесе a2 – b2 = (a – b)(a + b). a2 – b2 = (a – b)(a + b) теңдігі екі өрнектің квадраттары айырмасының формуласы деп аталады және «екі өрнектің квадраттарының айырмасы олардың айырмасы мен қосындысының көбейтіндісіне тең» деп оқылады. 1-мысал. Көбейтуді орында: a) (5 – 3b)(5 + 3b) = 52 – (3b)2 = 25 – 9b2. b) (7 + 4c)(7 – 4c) = 72 – (4c)2 = 49 – 16c2. 2-мысал. Көбейткіштерге жікте: a) 81 – n2 = 92 – n2 = (9 – n)(9 + n). b) 100m2 – 16x2 y4 = (10m)2 – (4xy2)2 = (10m – 4xy2)(10m + 4xy2 ). 3-мысал. Теңдеуді шеш: x2 – 100 = 0. Шешуі. Алдымен теңдеудің сол жағын көбейткіштерге жікте: x2 – 100 = x2 – 102 = (x – 10)(x + 10). Кейін (x – 10)(x + 10) = 0 теңдеуін шеш. Көбейткіштердің бірі нөлге тең болғанда ғана көбейтіндінің мәні нөлге тең болады: x – 10 = 0 немесе x + 10 = 0, осыдан x = 10 немесе x = –10. Теңдеудің екі шешімі бар: 10 және –10. Жауабы: –10 және 10.
|
Тақырып бойынша ресурстарды қарап, танысады
|
«Бағдаршам» арқылы қалыптастыру шы бағалау
|
Жалпы білім беретін мектептің 7–сыныбына арналған оқулық. |
|||||||
|
15 минут |
Бекіту тапсырмасы |
Тапсырмалар. №1. Көпмүше түріне келтіріңдер: №2. Өрнекті ықшамдаңдар:
№3. І. a) (3m - *)(3m +*) = 9m2 – 4n2 в) (0,5х – у)(* + у) = 0,25х2 - * ІІ. а) (* - 4х)(5а + *) = 25а2 – 16х2 в) (4pq +3)(4pq – 3) =* - * ІІІ. a) (* - b4)(b4 +*)=121a10 – b8 в) (5 – 7xy)(* - 7xy)=25 -* Оқулықпен жұмыс. ! Қатені түзеу керек.
Оқулықпен жұмыс. |
Оқушылар дескрипторға сәйкес тапсырмаларды орындайды. Оқулықтан есептерді шығарады.
|
Дескриптор: -Қысқаша көбейту формулаларын қолдана алады -Есептеулерде қысқаша көбейту формалаларын қолдана алады -Дәлелдеуді жүргізе алады. ҚБ:«Бас бармақ» әдісі
|
Презентация Слайд Интернет ресурстары Жалпы білім беретін мектептің 7–сыныбына арналған оқулық. Карточкалар;7 сыныпқа арналған оқулық Презентация |
|||||||
|
10 мин |
Оқулықпен жұмыс |
|
Тапсырманы орындайды |
Оқушының тақтадағы белсенділігіне байланысты ауызша бағалау |
Жалпы білім беретін мектептің 7–сыныбына арналған оқулық. Тақта Бор Кітап Дәптер Интерактивті тақта Бағалау парақтары |
|||||||
|
5 минут |
|
Бүгінгі сабақта: - қысқаша көбейту формулаларын ауызша тұжырымдай біледі; - ауызша тұжырымдалған қысқаша көбейту формулаларын жаза біледі; Сабақ соңында оқушылар рефлексия жүргізеді: Рефлексия:
Үйге тапсырма.№31.20 |
Тақырыпты меңгергенін анықтау |
Кері байланыс |
Жалпы білім беретін мектептің 7–сыныбына арналған оқулық. Тақта Бор Кітап Дәптер Интерактивті тақта Бағалау парақтары |
|||||||
Сабақ жоспары №4
Бекітемін:
|
Бөлім: |
Қысқаша көбейту формулалары |
|||||||||||||||||||||
|
Педагогің Аты, Тегі; Әкесінің аты (бар болған жағдайда): |
Меруерт У. |
|||||||||||||||||||||
|
Пән/Сынып: |
7 сынып. Қатысқандар саны: Қатыспағандар саны: |
|||||||||||||||||||||
|
Күні: |
|
|||||||||||||||||||||
|
Сабақтың тақырыбы: |
Екі өрнектің қосындысы мен айырмасының квадраты (жаңа тақырып) |
|||||||||||||||||||||
|
Оқу бағдарламасына сәйкес оқыту мақсаты: |
7.2.1.10 қысқаша көбейту формулаларын
біледі және қолданады; |
|||||||||||||||||||||
|
Сабақтың мақсаттары: |
-Қысқаша көбейту формулаларын біледі және қолдана алу; - Қысқаша көбейту формулаларын шығару; - Қысқаша көбейту формулаларын өрнектерді көбейткіштерге жіктеу кезінде қолдана алу |
|||||||||||||||||||||
|
Сабақ барысы: |
||||||||||||||||||||||
|
Уақыты |
Кезең дері |
Педагогтің әрекеті |
Оқушының әрекеті |
Бағалау |
Ресурстар |
|||||||||||||||||
|
5 минут |
Ұйым дастыру |
Сәлеметсіздерме! Бүгін, Қысқаша көбейту формулалары тақырыбын қарастырамыз Бүгінгі сабақта меңгеретініңіз: - екі өрнектің қосындысының квадраты және айырмасының квадратының формулалары. - екі өрнектің қосындысының квадраты және айырмасының квадратының формулаларын қолдану. Сұрақтар.
|
Амандасады, сабаққа дайындалады. Сұрақтарға жауап береді |
|
Оқулық Оқу құралдары; Тақта; Слайд |
|||||||||||||||||
|
10 мин |
Жаңа сабақ |
Жаңа сабақ. a + b қосындысының квадратын тап. Ол үшін (a + b)2 өрнегін (a + b)(a + b) түріне келтіріп, көбейтуді орында. (a + b)2 = (a + b)(a + b) = a2 + ab + ab + b2 = a2 + 2ab + b2 Демек: (a + b)2 = a2 + 2ab + b2. ⠀ (a + b)2 = a2 + 2ab + b2 формуласы екі өрнектің қосындысының квадратының формуласы деп аталады «екі өрнектің қосындысының квадраты бірінші өрнектің квадраты мен екі еселенген бірінші өрнек пен екінші өрнектің көбейтіндісі және екінші өрнектің квадратының қосындысына тең» деп оқылады. ⠀ Енді a – b айырмасының квадратын тап. Ол үшін (a – b)2 өрнегін (a – b)(a – b) түріне келтіріп, көбейтуді орында. (a – b)2 = (a – b)(a – b) = a2 – ab – ab + b2 = a2 – 2ab + b2 Демек: (a – b)2 = a2 – 2ab + b2. ⠀ (a – b)2 = a2 – 2ab + b2 формуласы екі өрнектің айырмасының квадратының формуласы деп аталадыдурыстап карасанызбулмеруерттинжумыстары және «екі өрнектің айырмасының квадраты бірінші өрнектің квадраты минус екі еселенген бірінші өрнек пен екінші өрнектің көбейтіндісі плюс екінші өрнектің квадратына тең» деп оқылады. ⠀ 1-мысал. Көпмүше түрінде жаз: (2m + 3n)2. Шешуі. Қосынды квадратының формуласын қолданып берілген өрнекті түрлендір: (2m + 3n)2 = (2m)2 + 2 ⋅ 2m ⋅ 3n + (3n)2 = 4m2 + 12mn + 9n2. ⠀ 2-мысал. Көпмүше түрінде жаз: (–x – 4y)2. Шешуі. Айырма квадратының формуласын қолданып берілген өрнекті түрлендір: (–x – 4y)2 = (–x)2 – 2 ⋅ (–x) ⋅ 4y + (4y)2 = x2 + 8xy + 16y2. ⠀ 3-мысал. Үшмүшені екімүшенің квадраты түрінде жаз: c2 + 18c + 81. Шешуі. Алдымен берілген үшмүшені келесі түрде жаз: c2 + 18c + 81 = c2 + 2 ∙ c ∙ 9 + 92. Енді екі өрнектің қосындысының квадратының формуласын пайдалан: c2 + 2 ∙ c ∙ 9 + 92 = (c + 9)2. Жауабы: (c + 9)2.⠀ 4-мысал. (7k2p + 8p2k)2 өрнегін көпмүшеге түрлендір. Шешуі. Қосынды квадратының формуласын пайдалан: (7k2p + 8p2k)2 = (7k2p)2 + 2 ∙ 7k2p ∙ 8p2k + (8p2k)2 = 49k4p2 + 112k3p3 + 64p4k2. ⠀ 5-мысал. a2b2 + 2ab3 + b4 өрнегінің мәнін тап, мұндағы a = 2, b = 8. Ескерту: жауапты стандарт түрде жаз. Шешуі. Алдымен ортақ көбейткішті жақша алдына шығарып, екі өрнектің қосындысының квадратының формуласын қолдан: a2b2 + 2ab3 + b4 = b2 (a2 + 2ab + b2) = b2 (a + b)2. Енді a = 2, b = 8 болғандағы соңғы өрнектің мәнін тап: b2 (a + b)2 = 82 ∙ (2 + 8)2 = 64 ∙ 102 = 64 ∙ 100 = 6400. Жауабы: 6,4 ∙ 103. |
Тақырып бойынша ресурстарды қарап, танысады
|
«Бағдаршам» арқылы қалыптастыру шы бағалау
|
Оқулық Оқу құралдары; Тақта; Слайд Жалпы білім беретін мектептің 7–сыныбына арналған оқулық. |
|||||||||||||||||
|
15 минут |
Бекіту тапсырмасы |
Тапсырма 1. Екі мүшенің квадратын көпмүше түрінде көрсетіңдер. Тапсырманы орындау барысында оқушылар ережені қайталайды: а)
б)
в)
г) Тапсырма 2 Кестені толтырыңдар:
|
Оқушылар дескрипторға сәйкес тапсырмаларды орындайды.
Кестені дескрипторға сәйкес толтырады.
Оқулықтан есептерді шығарады. |
Дескриптор: -Қысқаша көбейту формулаларын қолдана алады -Есептеулерде қысқаша көбейту булумбетва меруерттинжумыстарыформалаларын қолдана алады -Дәлелдеуді жүргізе алады.
ҚБ:«Бас бармақ» әдісі
|
Презентация Слайд Интернет ресурстары Жалпы білім беретін мектептің 7–сыныбына арналған оқулық. |
|||||||||||||||||
|
10 мин |
Оқулықпен жұмыс |
|
Тапсырманы орындайды |
|
Жалпы білім беретін мектептің 7–сыныбына арналған оқулық. Тақта Бор Кітап Дәптер Интерактивті тақта Бағалау парақтары |
|||||||||||||||||
|
5 минут |
|
Бүгінгі сабақта: - қысқаша көбейту формулаларын ауызша тұжырымдай біледі; - ауызша тұжырымдалған қысқаша көбейту формулаларын жаза біледі;
Сабақ соңында оқушылар рефлексия жүргізеді: Рефлексия:
Үйге тапсырма.№ |
Тақырыпты меңгергенін анықтау |
Кері байланыс |
Жалпы білім беретін мектептің 7–сыныбына арналған оқулық. Тақта Бор Кітап Дәптер Интерактивті тақта Бағалау парақтары |
|||||||||||||||||
Сабақ жоспары №5
Бекітемін:
|
Педагогің Аты, Тегі; Әкесінің аты (бар болған жағдайда): |
|
|||||||
|
Пән/Сынып: |
7 сынып. Қатысқандар саны: Қатыспағандар саны: |
|||||||
|
Күні: |
|
|||||||
|
Бөлім: |
Қысқаша көбейту формулалары |
|||||||
|
Сабақтың тақырыбы: |
Екі өрнектің қосындысы мен айырмасының квадраты (жаңа тақырып) |
|||||||
|
Оқу бағдарламасына сәйкес оқыту мақсаты: |
7.2.1.10 қысқаша көбейту формулаларын
біледі және қолданады; |
|||||||
|
Сабақтың мақсаттары: |
-Қысқаша көбейту формулаларын біледі және қолдана аладу; - Қысқаша көбейту формулаларын шығару; - Қысқаша көбейту формулаларын өрнектерді көбейткіштерге жіктеу кезінде қолдана алу; |
|||||||
|
Сабақ барысы: |
||||||||
|
Уақыты |
Кезең дері |
Педагогтің әрекеті |
Оқушының әрекеті |
Бағалау |
Ресурстар |
|||
|
5 минут |
Ұйым дастыру |
Сәлеметсіздерме! Бүгін, Қысқаша көбейту формулалары тақырыбын қарастырамыз Бүгінгі сабақта меңгеретініңіз: - екі өрнектің қосындысының квадраты және айырмасының квадратының формулалары. - екі өрнектің қосындысының квадраты және айырмасының квадратының формулаларын қолдану. Үй тапсырмасын тексеру. Сұрақтар.
|
Амандасады, сабаққа дайындалады. Сұрақтарға жауап береді |
|
Жалпы білім беретін мектептің 7–сыныбына арналған оқулық. Тақта Бор Кітап Дәптер Интерактивті тақта Бағалау парақтары |
|||
|
10 мин |
Жаңа сабақ |
Видеотүсіндіру. (a ± b)2 = a2 ± 2ab + b2 қысқаша көбейту формулалары сандардың квадраттарын тез есептеуде көмектеседі. Мысалы: 522 = (50 + 2)2 = 502 + 2 ∙ 50 ∙ 2 + 22 = 2500 + 200 + 4 = 2704. 372 = (40 – 3)2 = 402 – 2 ∙ 40 ∙ 3 + 32 = 1600 – 240 + 9 = 1369. ⠀⠀ 1-мысал. (6s – 3)2 – (5 + 6s)2 өрнегін ықшамда. Шешуі. Екі өрнектің қосындысының квадраты және айырмасының квадратының формулаларын қолдан: (6s – 3)2 – (5 + 6s)2 = (6s)2 – 2 ∙ 6s ∙ 3 + 32 – (52 + 2 ∙ 5 ∙ 6s + (6s)2 ) = 36s2 – 36s + 9 – 25 – 60s –36s2 = –96s – 16. Жауабы: –96s – 16.
|
Тақырып бойынша ресурстарды қарап, танысады
|
«Бағдаршам» арқылы қалыптастыру шы бағалау
|
Жалпы білім беретін мектептің 7–сыныбына арналған оқулық. |
|||
|
15 минут |
Бекіту тапсырмасы |
Тапсырма 1. Өрнекті ықшамдаңдар: а) ( 4а + 7)²; б) (6х – 5у)²; в) (у² -х³)².
2. Теңдік орындалатындай * орнына өрнектерді қойыңдар
а) (6а
б) ( 10 х
в) ( * - 8а 3. Қысқаша көбейту формуласы арқылы есептеңдер: 21², 31², 85². Келесі сызбаларды қолданып, екі өрнектің қосындысы мен айырмасының квадрат формулаларын қорытып шығарыңдар. Сызбаларды салып, формулалардың қорытындысын дәптерге жазыңдар.
1)
4. Оқулықтан №5.4, №5.8.
5. №1 көпмүше түрінде жазыңдар А)
B)
C)
D)
№2 Өрнекті ықшамдаңдар
№3 Теңдеуді шешіңдер: |
Оқушылар дескрипторға сәйкес тапсырмаларды орындайды. Жауаптары.
Оқулықтан есептерді шығарады.
|
Дескриптор: -Қысқаша көбейту формулаларын қолдана алады -Есептеулерде қысқаша көбейту формалаларын қолдана алады -Дәлелдеуді жүргізе алады. ҚБ:«Бас бармақ» әдісі Дескриптор: -Қысқаша көбейту формулаларын қолдана алады -Есептеулерде қысқаша көбейту формалаларын қолдана алады -Дәлелдеуді жүргізе алады |
Презентация Интернет ресурстары Жалпы білім беретін мектептің 7–сыныбына арналған оқулық. Жалпы білім беретін мектептің 7–сыныбына арналған оқулық. Тақта Бор Кітап Дәптер Интерактивті тақта Бағалау парақтары |
|||
|
10 мин |
Оқулықпен жұмыс |
|
Тапсырманы орындайды
|
|
Жалпы білім беретін мектептің 7–сыныбына арналған оқулық. Тақта Бор Кітап Дәптер Интерактивті тақта Бағалау парақтары |
|||
|
5 минут |
|
Бүгінгі сабақта: - қысқаша көбейту формулаларын ауызша тұжырымдай біледі; - ауызша тұжырымдалған қысқаша көбейту формулаларын жаза біледі; Сабақ соңында оқушылар рефлексия жүргізеді: Рефлексия: Оқушыларға кішігірім сауалнаманы толтыруға беру
Үйге тапсырма.№ |
Тақырыпты меңгергенін анықтау |
Кері байланыс |
Жалпы білім беретін мектептің 7–сыныбына арналған оқулық. Тақта Бор Кітап Дәптер Интерактивті тақта Бағалау парақтары |
|||
Сабақ жоспары
Бекітемін:
|
Педагогің Аты, Тегі; Әкесінің аты (бар болған жағдайда): |
|
|||||||||||
|
Пән/Сынып: |
7 сынып. Қатысқандар саны: Қатыспағандар саны: |
|||||||||||
|
Күні: |
|
|||||||||||
|
Бөлім: |
Қысқаша көбейту формулалары |
|||||||||||
|
Сабақтың тақырыбы: |
Екі өрнектің кубтарының қосындысы мен айырмасы |
|||||||||||
|
Оқу бағдарламасына сәйкес оқыту мақсаты: |
7.2.1.11 |
|||||||||||
|
Сабақтың мақсаттары: |
-екі өрнектің кубтарының қосындысы мен айырмасының формулаларын білу -екі өрнектің кубтарының қосындысы мен айырмасының формулаларын қолдану. |
|||||||||||
|
Сабақ барысы: |
||||||||||||
|
Уақыты |
Кезең дері |
Педагогтің әрекеті |
Оқушының әрекеті |
Бағалау |
Ресурстар |
|||||||
|
5 минут |
Ұйым дастыру |
Сәлеметсіздерме! Бүгін, Екі өрнектің кубтарының қосындысы мен айырмасы тақырыбын қарастырамыз. Бүгінгі сабақта меңгеретініңіз: -екі өрнектің кубтарының қосындысы мен айырмасының формулалары. -екі өрнектің кубтарының қосындысы мен айырмасының формулаларын қолдану. Үй тапсырмасын тексеру. №
|
Амандасады, сабаққа дайындалады. Сұрақтарға жауап береді |
|
Жалпы білім беретін мектептің 7–сыныбына арналған оқулық. Тақта Бор Кітап Дәптер Интерактивті тақта Бағалау парақтары |
|||||||
|
10 мин |
Жаңа сабақ |
Екі өрнектің кубтарының қосындысын көбейткіштерге жіктеу үшін келесі тепе-теңдік қолданылады: a3 + b3 = (a + b)(a2 – ab + b2). Тепе-теңдікті дәлелдеу үшін көпмүшені көпмүшеге көбейту ережесін қолдан: (a + b)(a2 – ab + b2) = a3 – a2b + ab2 + a2b – ab2 + b3 = a3 + b3. (a2 – ab + b2) үшмүшесін айырманың толымсыз квадраты деп атайды. Бұл айырманың толық квадратынан (a2 – 2ab + b2) тек орта коэффициенті арқылы ерекшеленеді (2 сандық коэффициенті жоқ). a3 + b3 = (a + b)(a2 – ab + b2) формуласы екі өрнектің кубтарының қосындысының формуласы деп аталады және «екі өрнектің кубтарының қосындысы осы екі өрнектің қосындысын олардың айырмасының толымсыз квадратына көбейткенге тең» деп оқылады. ⠀⠀ Екі өрнектің кубтарының айырмасын көбейткіштерге жіктеу үшін келесі тепе-теңдік қолданылады: a3 – b3 = (a – b)(a2 + ab + b2). Тексеру: (a – b)(a2 + ab + b2) = a3 + a2b + ab2 – a2b – ab2 – b3 = a3 + b3. (a2 + ab + b2) үшмүшесін қосындының толымсыз квадраты деп атайды. Бұл қосындының толық квадратынан (a2 + 2ab + b2) тек орта коэффициенті арқылы ерекшеленеді (2 сандық коэффициенті жоқ). a3 – b3 = (a – b)(a2 + ab + b2) формуласы екі өрнектің кубтарының айырмасының формуласы деп аталады және «екі өрнектің кубтарының айырмасы осы екі өрнектің айырмасын олардың қосындысының толымсыз квадратына көбейткенге тең» деп оқылады. ⠀⠀ |
Тақырып бойынша ресурстарды қарап, танысады 1-мысал. 64x3 + y3 көпмүшесін көбейткіштерге жікте. Шешуі. Кубтар қосындысының формуласын қолданып, көбейткіштерге жікте: 64x3 + y3 = (4x)3 + y3 = (4x + y)((4x)2 – 4x ∙ y + y2) = (4x + y)(16x2 – 4xy + y2). ⠀⠀ 2-мысал. 27m3 – 8n3 көпмүшесін көбейткіштерге жікте. Шешуі. Кубтар айырмасының формуласын қолданып, көбейткіштерге жікте: 27m3 – 8n3 = (3m)3 – (2n)3 = (3m – 2n)((3m)2 + 3m ∙ 2n + (2n)2) = (3m – 2n)(9m2 + 6mn + 4n2). ⠀⠀ |
«Бағдаршам» арқылы қалыптастыру шы бағалау
|
Жалпы білім беретін мектептің 7–сыныбына арналған оқулық. |
|||||||
|
15 минут |
Бекіту тапсырмасы |
Тапсырмалар. 1-жаттығу Көбейткіштерге жіктеңіз.
1)
2)
3)
4)
2-жаттығу Көпмүшелерді көбейтуді орындаңыз.
1)
2)
3-жаттығу Бос орындарды толтырыңыз.
1)
2)
3) 4-жаттығу Тең өрнектерді бір-бірімен байланыстырыңыз.
1)
2)
3)
Оқулықпен жұмыс. № |
Оқушылар дескрипторға сәйкес тапсырмаларды орындайды. Оқулықтан есептерді шығарады.
|
Дескриптор: -Қысқаша көбейту формулаларын қолдана алады -Есептеулерде қысқаша көбейту формалаларын қолдана алады -Дәлелдеуді жүргізе алады. ҚБ:«Бас бармақ» әдісі
Дескриптор: -Кубтардың қосындысының формуласын біледі; -Кубтардың айырмасының формуласын біледі; - Есеп шығаруда дұрыс қолданады. |
Презентация Слайд Интернет ресурстары Жалпы білім беретін мектептің 7–сыныбына арналған оқулық. |
|||||||
|
10 мин |
Оқулықпен жұмыс |
|
Тапсырманы орындайды
|
Оқушының тақтадағы белсенділігіне байланысты ауызша бағалау |
Жалпы білім беретін мектептің 7–сыныбына арналған оқулық. Тақта Бор Кітап Дәптер Интерактивті тақта Бағалау парақтары |
|||||||
|
5 минут |
|
Бүгінгі сабақта: -екі өрнектің кубтарының қосындысы мен айырмасының формулалары. -екі өрнектің кубтарының қосындысы мен айырмасының формулаларын қолдану. Сабақ соңында оқушылар рефлексия жүргізеді: Рефлексия:
Үйге тапсырма.№ |
Тақырыпты меңгергенін анықтау |
Кері байланыс |
|
|||||||
Сабақ жоспары
Бекітемін:
|
Педагогің Аты, Тегі; Әкесінің аты (бар болған жағдайда): |
|
|||||||||||||
|
Пән/Сынып: |
7 сынып. Қатысқандар саны: Қатыспағандар саны: |
|||||||||||||
|
Күні: |
|
|||||||||||||
|
Бөлім: |
Қысқаша көбейту формулалары |
|||||||||||||
|
Сабақтың тақырыбы: |
Екі өрнектің кубтарының қосындысы мен айырмасы |
|||||||||||||
|
Оқу бағдарламасына сәйкес оқыту мақсаты: |
7.2.1.11 |
|||||||||||||
|
Сабақтың мақсаттары: |
-екі өрнектің кубтарының қосындысы мен айырмасының формулалары. -екі өрнектің кубтарының қосындысы мен айырмасының формулаларын қолдану. |
|||||||||||||
|
Сабақ барысы: |
||||||||||||||
|
|
|
|
||||||||||||
|
Уақыты |
Кезең дері |
Педагогтің әрекеті |
Оқушының әрекеті |
Бағалау |
Ресурстар |
|||||||||
|
5 минут |
Ұйым дастыру |
Сәлеметсіздерме! Бүгін, Екі өрнектің кубтарының қосындысы мен айырмасы тақырыбын қарастырамыз. Бүгінгі сабақта меңгеретініңіз: -екі өрнектің кубтарының қосындысы мен айырмасының формулалары. -екі өрнектің кубтарының қосындысы мен айырмасының формулаларын қолдану. Үй тапсырмасын тексеру. №5.73.
|
Амандасады, сабаққа дайындалады. Сұрақтарға жауап береді |
|
Жалпы білім беретін мектептің 7–сыныбына арналған оқулық. Тақта Бор Кітап Дәптер Интерактивті тақта Бағалау парақтары |
|||||||||
|
10 мин |
Жаңа сабақ |
Екі өрнектің кубтарының қосындысын көбейткіштерге жіктеу үшін келесі тепе-теңдік қолданылады: a3 + b3 = (a + b)(a2 – ab + b2). Тепе-теңдікті дәлелдеу үшін көпмүшені көпмүшеге көбейту ережесін қолдан: (a + b)(a2 – ab + b2) = a3 – a2b + ab2 + a2b – ab2 + b3 = a3 + b3. (a2 – ab + b2) үшмүшесін айырманың толымсыз квадраты деп атайды. Бұл айырманың толық квадратынан (a2 – 2ab + b2) тек орта коэффициенті арқылы ерекшеленеді (2 сандық коэффициенті жоқ). a3 + b3 = (a + b)(a2 – ab + b2) формуласы екі өрнектің кубтарының қосындысының формуласы деп аталады және «екі өрнектің кубтарының қосындысы осы екі өрнектің қосындысын олардың айырмасының толымсыз квадратына көбейткенге тең» деп оқылады. ⠀⠀ Екі өрнектің кубтарының айырмасын көбейткіштерге жіктеу үшін келесі тепе-теңдік қолданылады: a3 – b3 = (a – b)(a2 + ab + b2). Тексеру: (a – b)(a2 + ab + b2) = a3 + a2b + ab2 – a2b – ab2 – b3 = a3 + b3. (a2 + ab + b2) үшмүшесін қосындының толымсыз квадраты деп атайды. Бұл қосындының толық квадратынан (a2 + 2ab + b2) тек орта коэффициенті арқылы ерекшеленеді (2 сандық коэффициенті жоқ). a3 – b3 = (a – b)(a2 + ab + b2) формуласы екі өрнектің кубтарының айырмасының формуласы деп аталады және «екі өрнектің кубтарының айырмасы осы екі өрнектің айырмасын олардың қосындысының толымсыз квадратына көбейткенге тең» деп оқылады. ⠀⠀ |
Тақырып бойынша ресурстарды қарап, танысады 1-мысал. 64x3 + y3 көпмүшесін көбейткіштерге жікте. Шешуі. Кубтар қосындысының формуласын қолданып, көбейткіштерге жікте: 64x3 + y3 = (4x)3 + y3 = (4x + y)((4x)2 – 4x ∙ y + y2) = (4x + y)(16x2 – 4xy + y2). ⠀⠀ 2-мысал. 27m3 – 8n3 көпмүшесін көбейткіштерге жікте. Шешуі. Кубтар айырмасының формуласын қолданып, көбейткіштерге жікте: 27m3 – 8n3 = (3m)3 – (2n)3 = (3m – 2n)((3m)2 + 3m ∙ 2n + (2n)2) = (3m – 2n)(9m2 + 6mn + 4n2). ⠀⠀ |
«Бағдаршам» арқылы қалыптастыру шы бағалау
|
Жалпы білім беретін мектептің 7–сыныбына арналған оқулық. Карточкалар;7 сыныпқа арналған оқулық Презентация |
|||||||||
|
15 минут |
Бекіту тапсырмасы |
Тапсырмалар. «Формуланы сәйкестендір» әдісі
Жеке тапсырма: 1-тапсырма: Көбейткіштерге жіктеңдер: а) a3+x3= (a+x)(a2-ax+x2) a) y3-b3=(y-b)(y2-yb+b2) b) z3-8=(z-2)(z2+2z+4) b) m3+64=(m+4)(m2+4m+16) 2-тапсырма:Формуланы жалғастыр... Екі өрнектің квадраттарының айырымы... Екі өрнектің қосындысының квадраты... Екі өрнектің айырымының квадраты... Екі өрнектің қосындысының кубы... Екі өрнектің айырымының кубы... Екі өрнектің кубының қосындысы... Екі өрнектің кубының айырымы...... Деңгейлік тапсырма: «А» деңгей: Бос орындарды толтырыңыз.
«В» деңгей:
«С»деңгей: Теңдеуді шеш: (x+4)(16-4x+x2)-x(x2+8)=-192 - Кубтардың қосындысының және айырмасының формуласын біледі;(1) - Есеп шығаруда дұрыс қолданады.(1) Оқулықпен жұмыс. №5.75. |
Оқушылар дескрипторға сәйкес тапсырмаларды орындайды. Жазылуы бойынша формулаларды жалғастырады (1) ҚКФ ажырата алады (1) Формуланы ауызша тұжырымдай алады Оқулықтан есептерді шығарады.
|
Дескриптор: - Кубтардың қосындысы ның формуласын біледі;(1) - Кубтардың айырмасының формуласын біледі;(1) - Есеп шығаруда дұрыс қолданады.(1) ҚБ:«Бас бармақ» әдісі
Дескриптор: -Кубтардың қосындысының формуласын біледі; -Кубтардың айырмасының формуласын біледі; - Есеп шығаруда дұрыс қолданады. |
Презентация Слайд Интернет ресурстары Жалпы білім беретін мектептің 7–сыныбына арналған оқулық. |
|||||||||
|
10 мин |
Оқулықпен жұмыс |
|
Тапсырманы орындайды
|
Оқушының тақтадағы белсенділігіне байланысты ауызша бағалау |
|
|||||||||
|
5 минут |
|
Бүгінгі сабақта: -екі өрнектің кубтарының қосындысы мен айырмасының формулалары. -екі өрнектің кубтарының қосындысы мен айырмасының формулаларын қолдану. Сабақ соңында оқушылар рефлексия жүргізеді: Рефлексия:
Үйге тапсырма.№ |
Тақырыпты меңгергенін анықтау |
Кері байланыс |
|
|||||||||
Сабақ жоспары
Бекітемін:
|
Педагогің Аты, Тегі; Әкесінің аты (бар болған жағдайда): |
|
|||||||||||||||||||||||||||||||||||||||||
|
Пән/Сынып: |
7 сынып. Қатысқандар саны: Қатыспағандар саны: |
|||||||||||||||||||||||||||||||||||||||||
|
Күні: |
|
|||||||||||||||||||||||||||||||||||||||||
|
Бөлім: |
Қысқаша көбейту формулалары |
|||||||||||||||||||||||||||||||||||||||||
|
Сабақтың тақырыбы: |
Екі өрнектің қосындысының кубы және айырмасының кубы. |
|||||||||||||||||||||||||||||||||||||||||
|
Оқу бағдарламасына сәйкес оқыту мақсаты: |
7.2.1.11
қысқаша көбейту формулаларын білу және қолдану; |
|||||||||||||||||||||||||||||||||||||||||
|
Сабақтың мақсаттары: |
- қысқаша көбейту формулаларын алгебралық өрнектерді ықшамдау кезінде қолдана алады -Қысқаша көбейту формулаларын өрнектерді көбейткіштерге жіктеу кезінде қолдана алады; |
|||||||||||||||||||||||||||||||||||||||||
|
Сабақ барысы: |
||||||||||||||||||||||||||||||||||||||||||
|
Уақыты |
Кезең дері |
Педагогтің әрекеті |
Оқушының әрекеті |
Бағалау |
Ресурстар |
|||||||||||||||||||||||||||||||||||||
|
5 минут |
Ұйым дастыру |
Сәлеметсіздерме! Бүгін, Екі өрнектің қосындысының кубы және айырмасының кубы тақырыбын қарастырамыз. Бүгінгі сабақта меңгеретініңіз: - екі өрнектің қосындысының кубы және айырмасының кубы формулалары. -екі өрнектің қосындысының кубы және айырмасының кубы формулаларын қолдану. Үй тапсырмасын тексеру. №5.73. «Сәйкестендір» стратегиясы. Сол жақтағы өрнектерге оң жақтағы бағандағы сәйкес өрнекті сәйкестендіру:
|
Амандасады, сабаққа дайындалады. Сұрақтарға жауап береді Сәйкестендіру тест орындайды. |
«Бағдаршам» арқылы қалыптастыру шы бағалау
|
Оқулық; оқу құралдары; тақта; слайд; |
|||||||||||||||||||||||||||||||||||||
|
10 мин |
Жаңа сабақ |
(a + b)3 = a3 + 3a2b + 3ab2 + b3 формуласы екі өрнектің қосындысының кубы формуласы деп аталады және екі өрнектің қосындысының кубы бірінші өрнектің кубы, плюс үш еселенген бірінші өрнектің квадраты мен екінші өрнектің көбейтіндісі, плюс үш еселенген бірінші өрнек пен екінші өрнектің квадратының көбейтіндісі, плюс екінші өрнектің кубына тең деп оқылады. (a – b)3 = a3 – 3a2b + 3ab2 – b3 формуласы екі өрнектің айырмасының кубы формуласы деп аталады және екі өрнектің айырмасының кубы бірінші өрнектің кубы, минус үш еселенген бірінші өрнектің квадраты мен екінші өрнектің көбейтіндісі, плюс үш еселенген бірінші өрнек пен екінші өрнектің квадратының көбейтіндісі, минус екінші өрнектің кубына тең деп оқылады. 1-мысал. Көпмүше түрінде жаз: (2m + 3n)3. Шешуі. Қосынды кубының формуласын қолданып, берілген өрнекті түрлендір: (2m + 3n)3 = (2m)3 + 3 ∙ (2m)2 ∙ 3n + 3 ∙ 2m ∙ (3n)2 + (3n)3 = 8m3 + 36m2n + 54mn2 + 27n3. 2-мысал. Көпмүше түрінде жаз: (–x – 4y)3.
|
Тақырып бойынша ресурстарды қарап, танысады ⠀⠀ ⠀⠀ 2). Шешуі. Айырма кубының формуласын қолданып өрнекті түрлендір: (–x – 4y)3 = (–x)3 – 3 ∙ (–x)2 ∙ 4y + 3 ∙ (–x) ∙ (4y)2 – (4y)3 = –x3 – 12x2y – 48xy2 – 64y3.
|
«Бағдаршам» арқылы қалыптастыру шы бағалау
|
оқулық; оқу құралдары; тақта; слайд;
Оқулық; оқу құралдары; тақта; слайд; |
|||||||||||||||||||||||||||||||||||||
|
15 минут |
Бекіту тапсырмасы |
№1. Өрнекті көпмүше түрінде көрсетіңдер:
a)
б)
в)
г) №2. Көпмүше түрінде көрсетіңдер: а) (2а2+3в2)3 в) (10х4–6у2)3
№3. Көпмүшені екі өрнектің кубы түрінде көрсетіңдер: а) (8р3–27q3+54pq2–36p2q) в) (х3у3+6х2у2+12ху+8)
Оқулықпен жұмыс. №5.100. Оқулықпен жұмыс. №1. Көпмүше түрінде көрсетіңдер: a) (8x3–4y2)3 в) (0,2x5+0,5y2)3 №2. Көпмүшені екі өрнектің кубы түрінде көрсетіңдер: а) x3+6x2y+12xy2+8y3 в) 0,125z9+0,15z6k4+0,06z3k8+0,008k12 |
Оқушылар дескрипторға сәйкес тапсырмаларды орындайды.
Жазылуы бойынша формулаларды жалғастырады (1) ҚКФ ажырата алады (1) Формуланы ауызша тұжырымдай алады
Оқулықтан есептерді шығарады.
|
Дескриптор: - Қосынды ның, айырманың кубы формуласын біледі. - Есеп шығаруда дұрыс қолданады.(1)
ҚБ:«Бас бармақ» әдісі
|
Презентация Слайд Интернет ресурстары Оқулық; оқу құралдары; тақта; слайд; Карточкалар;7 сыныпқа арналған оқулық Презентация |
|||||||||||||||||||||||||||||||||||||
|
10 мин |
Оқулықпен жұмыс |
Оқулықтан есептер шығару:
|
Тапсырманы орындайды
|
Оқушының тақтадағы белсенділігіне байланысты ауызша бағалау |
оқулық; оқу құралдары; тақта; слайд; |
|||||||||||||||||||||||||||||||||||||
|
5 минут |
|
Бүгінгі сабақта: -екі өрнектің қосындысының кубы және айырмасының кубы формулалары. -екі өрнектің қосындысының кубы және айырмасының кубы формулаларын қолдану. Сабақ соңында оқушылар рефлексия жүргізеді: Рефлексия:
Үйге тапсырма.№ |
Тақырыпты меңгергенін анықтау |
Кері байланыс |
Оқулық; оқу құралдары; тақта; слайд; |
|||||||||||||||||||||||||||||||||||||
Сабақ жоспары
Бекітемін:
|
Педагогің Аты, Тегі; Әкесінің аты (бар болған жағдайда): |
|
|||||||||||||||||
|
Пән/Сынып: |
7 сынып. Қатысқандар саны: Қатыспағандар саны: |
|||||||||||||||||
|
Күні: |
|
|||||||||||||||||
|
Бөлім: |
Қысқаша көбейту формулалары |
|||||||||||||||||
|
Сабақтың тақырыбы: |
Екі өрнектің қосындысының кубы және айырмасының кубы. |
|||||||||||||||||
|
Оқу бағдарламасына сәйкес оқыту мақсаты: |
7.2.1.11
қысқаша көбейту формулаларын білу және қолдану; |
|||||||||||||||||
|
Сабақтың мақсаттары: |
- қысқаша көбейту формулаларын алгебралық өрнектерді ықшамдау кезінде қолдана алады -Қысқаша көбейту формулаларын өрнектерді көбейткіштерге жіктеу кезінде қолдана алады; |
|||||||||||||||||
|
Сабақ барысы: |
||||||||||||||||||
|
Уақыты |
Кезең дері |
Педагогтің әрекеті |
Оқушының әрекеті |
Бағалау |
Ресурстар |
|||||||||||||
|
5 минут |
Ұйым дастыру |
Сәлеметсіздерме! Бүгін, Екі өрнектің қосындысының кубы және айырмасының кубы тақырыбын қарастырамыз. Бүгінгі сабақта меңгеретініңіз: - екі өрнектің қосындысының кубы және айырмасының кубы формулалары. -екі өрнектің қосындысының кубы және айырмасының кубы формулаларын қолдану. Үй тапсырмасын тексеру. №5.102.
|
Амандасады, сабаққа дайындалады. Сұрақтарға жауап береді Сәйкестендіру тест орындайды. |
«Бағдаршам» арқылы қалыптастыру шы бағалау
|
Оқулық; оқу құралдары; тақта; слайд; |
|||||||||||||
|
10 мин |
Жаңа сабақ |
(a + b)3 = a3 + 3a2b + 3ab2 + b3 формуласы екі өрнектің қосындысының кубы формуласы деп аталады және екі өрнектің қосындысының кубы бірінші өрнектің кубы, плюс үш еселенген бірінші өрнектің квадраты мен екінші өрнектің көбейтіндісі, плюс үш еселенген бірінші өрнек пен екінші өрнектің квадратының көбейтіндісі, плюс екінші өрнектің кубына тең деп оқылады. (a – b)3 = a3 – 3a2b + 3ab2 – b3 формуласы екі өрнектің айырмасының кубы формуласы деп аталады және екі өрнектің айырмасының кубы бірінші өрнектің кубы, минус үш еселенген бірінші өрнектің квадраты мен екінші өрнектің көбейтіндісі, плюс үш еселенген бірінші өрнек пен екінші өрнектің квадратының көбейтіндісі, минус екінші өрнектің кубына тең деп оқылады. 1-мысал. Көпмүше түрінде жаз: (2m + 3n)3. Шешуі. Қосынды кубының формуласын қолданып, берілген өрнекті түрлендір: (2m + 3n)3 = (2m)3 + 3 ∙ (2m)2 ∙ 3n + 3 ∙ 2m ∙ (3n)2 + (3n)3 = 8m3 + 36m2n + 54mn2 + 27n3. 2-мысал. Көпмүше түрінде жаз: (–x – 4y)3.
|
Тақырып бойынша ресурстарды қарап, танысады ⠀⠀ ⠀⠀ 2). Шешуі. Айырма кубының формуласын қолданып өрнекті түрлендір: (–x – 4y)3 = (–x)3 – 3 ∙ (–x)2 ∙ 4y + 3 ∙ (–x) ∙ (4y)2 – (4y)3 = –x3 – 12x2y – 48xy2 – 64y3.
|
«Бағдаршам» арқылы қалыптастыру шы бағалау
|
Оқулық; оқу құралдары; тақта; слайд; Карточкалар;7 сыныпқа арналған оқулық Презентация |
|||||||||||||
|
15 минут |
Бекіту тапсырмасы |
Тапсырма. 1. Жалғастыр...
4. (3n + 2p)2 = 5. (5a + 2b)3 = 6. (2m – 3n)3 = 7. 8y3 + 27 = 8. 64 – 8a3 = 9. (x + 4)(x2 – 4x + 16) = 10. (2 – 3k)(4 + 6k + 9k2) =
2. Теңдеуді шешіңдер: e) (2x+1)3 =4x2(2x+3) f) 27x2(1–x)=(1–3x)3 3. Есептеңдер: a) 113 b) 213 c) 193 d) 293
Оқулықпен жұмыс. Теңдік орындалатындай * орындарына бірмүшелері орналастырыңдар:
Оқулықпен жұмыс. №
|
Оқушылар дескрипторға сәйкес тапсырмаларды орындайды.
Жазылуы бойынша формулаларды жалғастырады (1) ҚКФ ажырата алады (1) Формуланы ауызша тұжырымдай алады
Оқулықтан есептерді шығарады.
|
Дескриптор:
ҚБ:«Бас бармақ» әдісі
|
Презентация Слайд Интернет ресурстары Оқулық; оқу құралдары; тақта; слайд; Карточкалар;7 сыныпқа арналған оқулық Презентация |
|||||||||||||
|
10 мин |
Оқулықпен жұмыс |
Оқулықтан есептер шығару:
|
Тапсырманы орындайды |
Оқушының тақтадағы белсенділігіне байланысты ауызша бағалау |
|
|||||||||||||
|
5 минут |
|
Бүгінгі сабақта: -екі өрнектің қосындысының кубы және айырмасының кубы формулалары. -екі өрнектің қосындысының кубы және айырмасының кубы формулаларын қолдану. Сабақ соңында оқушылар рефлексия жүргізеді: Рефлексия:
Үйге тапсырма.№ |
Тақырыпты меңгергенін анықтау |
Кері байланыс |
Оқулық; оқу құралдары; тақта; слайд; |
|||||||||||||
Сабақ жоспары
Бекітемін:
|
Педагогің Аты, Тегі; Әкесінің аты (бар болған жағдайда): |
|
|||||||||||||||||
|
Пән/Сынып: |
7 сынып. Қатысқандар саны: Қатыспағандар саны: |
|||||||||||||||||
|
Күні: |
|
|||||||||||||||||
|
Бөлім: |
Қысқаша көбейту формулалары |
|||||||||||||||||
|
Сабақтың тақырыбы: |
Екі өрнектің қосындысының кубы және айырмасының кубы. |
|||||||||||||||||
|
Оқу бағдарламасына сәйкес оқыту мақсаты: |
7.2.1.11
қысқаша көбейту формулаларын білу және қолдану; |
|||||||||||||||||
|
Сабақтың мақсаттары: |
- қысқаша көбейту формулаларын алгебралық өрнектерді ықшамдау кезінде қолдана алады -Қысқаша көбейту формулаларын өрнектерді көбейткіштерге жіктеу кезінде қолдана алады; |
|||||||||||||||||
|
Сабақ барысы: |
||||||||||||||||||
|
Уақыты |
Кезең дері |
Педагогтің әрекеті |
Оқушының әрекеті |
Бағалау |
Ресурстар |
|||||||||||||
|
5 минут |
Ұйым дастыру |
Сәлеметсіздерме! Бүгін, Екі өрнектің қосындысының кубы және айырмасының кубы тақырыбын қарастырамыз. Бүгінгі сабақта меңгеретініңіз: - екі өрнектің қосындысының кубы және айырмасының кубы формулалары. -екі өрнектің қосындысының кубы және айырмасының кубы формулаларын қолдану. Үй тапсырмасын тексеру. №5.102.
|
Амандасады, сабаққа дайындалады. Сұрақтарға жауап береді Сәйкестендіру тест орындайды. |
«Бағдаршам» арқылы қалыптастыру шы бағалау
|
Оқулық; оқу құралдары; тақта; слайд; |
|||||||||||||
|
10 мин |
Жаңа сабақ |
(a + b)3 = a3 + 3a2b + 3ab2 + b3 формуласы екі өрнектің қосындысының кубы формуласы деп аталады және екі өрнектің қосындысының кубы бірінші өрнектің кубы, плюс үш еселенген бірінші өрнектің квадраты мен екінші өрнектің көбейтіндісі, плюс үш еселенген бірінші өрнек пен екінші өрнектің квадратының көбейтіндісі, плюс екінші өрнектің кубына тең деп оқылады. (a – b)3 = a3 – 3a2b + 3ab2 – b3 формуласы екі өрнектің айырмасының кубы формуласы деп аталады және екі өрнектің айырмасының кубы бірінші өрнектің кубы, минус үш еселенген бірінші өрнектің квадраты мен екінші өрнектің көбейтіндісі, плюс үш еселенген бірінші өрнек пен екінші өрнектің квадратының көбейтіндісі, минус екінші өрнектің кубына тең деп оқылады. 1-мысал. Көпмүше түрінде жаз: (2m + 3n)3. Шешуі. Қосынды кубының формуласын қолданып, берілген өрнекті түрлендір: (2m + 3n)3 = (2m)3 + 3 ∙ (2m)2 ∙ 3n + 3 ∙ 2m ∙ (3n)2 + (3n)3 = 8m3 + 36m2n + 54mn2 + 27n3. 2-мысал. Көпмүше түрінде жаз: (–x – 4y)3.
|
Тақырып бойынша ресурстарды қарап, танысады ⠀⠀ ⠀⠀ 2). Шешуі. Айырма кубының формуласын қолданып өрнекті түрлендір: (–x – 4y)3 = (–x)3 – 3 ∙ (–x)2 ∙ 4y + 3 ∙ (–x) ∙ (4y)2 – (4y)3 = –x3 – 12x2y – 48xy2 – 64y3.
|
«Бағдаршам» арқылы қалыптастыру шы бағалау
|
Оқулық; оқу құралдары; тақта; слайд; Карточкалар;7 сыныпқа арналған оқулық Презентация |
|||||||||||||
|
15 минут |
Бекіту тапсырмасы |
№197
№198 2) (2у-3)3=8у3-36у2+54у-27 4) (3п-2м)3=27п3-54п2м+36пм2-8м3 № 199 2) (4а+1/3в)3=64а3+16а2в+4/3ав2+1/27в3 4) (2/3х-3у)3=8/27х3-4х2у+18ху2-27у3 6) (1/5+5в)3=1/125+3/5в+15в2+125в3 №200 2( 0,2а+10в)3=0,008а3+1,2а2в+60ав2+1000в3 4) (0,5х-2у)3=0,125х3-1,5х2у+6ху2-8у3 Тест тапсырмасы I-нұсқа.
1.
x2-9 көпмүшесін көбейткіштерге жіктеңдер.
Ә)(x-3)(x+3); В)(9-x)(9+x)
2.
(m-4n)(m-4n) көбейтіндісін көпмүше түрінде жазыңдар.
Ә)m2+8mn+16n2; В) m2-8mn+16n2 3. а3+6а2в+12ав2+8в3 көпмүшесін екімүшен кубы ретінде жазыңдар: А) (а-2в)3 Ә) (а+2в)3 Б) (а3+8в3)3 В) (а3-8в3)3 4. Көпмүше түрінде жазыңдар: (5х-3у)3 А) 125х3+27у3 Ә) 125х3-27у3 Б) 125х3-225х2у+135ху2-27у3 В) 125х3+225х2у+135ху2+27у3
5.Дұрыс теңдікті табыңдар.
Ә)
25-81b2=(5+9b)(5-9b); В) 25-81b2=(9b -5)(5+9b);
Оқулықпен жұмыс. №5.107.
|
Оқушылар дескрипторға сәйкес тапсырмаларды орындайды.
Жазылуы бойынша формулаларды жалғастырады (1) ҚКФ ажырата алады (1) Формуланы ауызша тұжырымдай алады
Тест тапсырмаларын орындайды
Оқулықтан есептерді шығарады.
|
Дескриптор:
ҚБ:«Бас бармақ» әдісі
|
Презентация Слайд Интернет ресурстары Оқулық; оқу құралдары; тақта; слайд; Карточкалар;7 сыныпқа арналған оқулық Презентация |
|||||||||||||
|
10 мин |
Оқулықпен жұмыс |
Оқулықтан есептер шығару:
|
Тапсырманы орындайды |
Оқушының тақтадағы белсенділігіне байланысты ауызша бағалау |
|
|||||||||||||
|
5 минут |
|
Бүгінгі сабақта: -екі өрнектің қосындысының кубы және айырмасының кубы формулалары. -екі өрнектің қосындысының кубы және айырмасының кубы формулаларын қолдану. Сабақ соңында оқушылар рефлексия жүргізеді: Рефлексия:
Үйге тапсырма.№ |
Тақырыпты меңгергенін анықтау |
Кері байланыс |
Оқулық; оқу құралдары; тақта; слайд; |
|||||||||||||
Сабақ жоспары
Бекітемін:
|
Педагогің Аты, Тегі; Әкесінің аты (бар болған жағдайда): |
|
|||||
|
Пән/Сынып: |
7 сынып. Қатысқандар саны: Қатыспағандар саны: |
|||||
|
Күні: |
|
|||||
|
Бөлім: |
Қысқаша көбейту формулалары |
|||||
|
Сабақтың тақырыбы: |
Қысқаша көбейту формулаларының көмегімен өрнектерді түрлендіру |
|||||
|
Оқу бағдарламасына сәйкес оқыту мақсаты: |
7. 1.2.14 тиімді есептеу үшін қысқаша көбейту формулаларын қолдану; |
|||||
|
Сабақтың мақсаттары: |
- қысқаша көбейту формулаларын алгебралық өрнектерді ықшамдау кезінде қолдана алады -Қысқаша көбейту формулаларын өрнектерді көбейткіштерге жіктеу кезінде қолдана алады; |
|||||
|
Сабақ барысы: |
||||||
|
Уақыты |
Кезең дері |
Педагогтің әрекеті |
Оқушының әрекеті |
Бағалау |
Ресурстар |
|
|
5 минут |
Ұйым дастыру |
Сәлеметсіздерме! Бүгін, Қысқаша көбейту формулаларының көмегімен өрнектерді түрлендіру тақырыбын қарастырамыз. Бүгінгі сабақта меңгеретініңіз: - Қысқаша көбейту формулаларын біледі және қолдана алады; - қысқаша көбейту формулаларын алгебралық өрнектерді ықшамдау кезінде қолдана алады -Қысқаша көбейту формулаларын өрнектерді көбейткіштерге жіктеу кезінде қолдана алады; Үй тапсырмасын тексеру. №5.107. |
Амандасады, сабаққа дайындалады. Сұрақтарға жауап береді |
«Бағдаршам» арқылы қалыптастыру шы бағалау |
Оқулық; оқу құралдары; тақта; слайд; |
|
|
10 мин |
Жаңа сабақ |
1) Көпмүшені көбейткіштерге жіктеуді қалай түсінесіз? Көпмүшені көбейткіштерге жіктеу – көпмүшені екі немесе бірнеше көпмүшелердің көбейтіндісі түріне келтіру 2) Көпмүшені көбейткіштерге жіктеудің қандай түрлерін білесіз? (Ортақ көбейткішті жақшаның сыртына шығару, қысқаша көбейту формулаларын пайдалану, топтау тәсілі) 3) Көпмүшені көбейткіштерге жіктеу не үшін қажет? Көпмүшені көбейткіштерге жіктеу дағдысы өрнектерді түрлендіруде, алгебралық бөлшектерді қысқартуда, теңдеу мен теңсіздіктерді шешуде қажет. 4) Көбейткіштерге
жіктеңіз:
5) Көбейткіштерге жіктеуге есеп ойдан құрастырыңыз. 6) Топтау тәсілімен көбейткіштерге жіктеу тәсілін сипаттаңыз. Топтау тәсілімен көбейткіштерге жіктеу алгоритмі: 1. Көпмүшенің ортақ көбейткіштері бар мүшелерін бірыңғай топтарға бөлу; 2. Әр топтағы мүшелердің бірмүше түріндегі ортақ көбейткішін жақша сыртына шығару; 3. Әр топтағы мүшелердің бірмүше түріндегі ортақ көбейткішін жақша сыртына шығару; |
Тақырып бойынша ресурстарды қарап, танысады ⠀⠀ ⠀⠀ 2). Шешуі. Айырма кубының формуласын қолданып өрнекті түрлендір: (–x – 4y)3 = (–x)3 – 3 ∙ (–x)2 ∙ 4y + 3 ∙ (–x) ∙ (4y)2 – (4y)3 = –x3 – 12x2y – 48xy2 – 64y3.
|
«Бағдаршам» арқылы қалыптастыру шы бағалау
|
Оқулық; оқу құралдары; тақта; слайд; Карточкалар;7 сыныпқа арналған оқулық Презентация |
|
|
15 минут |
Бекіту тапсырмасы |
1.Көбейткіштерге жіктеңіз:
2.Өрнектерді көбейтінді түрінде жазыңыз:
3.Көбейткіштерге жіктеңіз:
4. Көбейтінді түрінде жазыңыз:
5. Көбейткіштерге жіктеңіз:
c)
Оқулықпен жұмыс. Көпмүшені көбейткіштерге жіктеңіз:
|
Оқушылар дескрипторға сәйкес тапсырмаларды орындайды. Жазылуы бойынша формулаларды жалғастырады (1) ҚКФ ажырата алады (1) Формуланы ауызша тұжырымдай алады Оқулықтан есептерді шығарады.
|
Дескриптор: Екі өрнектің квадраттарының айырмасының формуласын дұрыс қолдана алады; Екі өрнектің кубтарының қосындысының формуласын дұрыс қолдана алады; Екі өрнектің кубтарының айырмасының формуласын дұрыс қолдана алады; Топтау тәсілін дұрыс қолдана алды; Ортақ көбейткішті жақша сыртына шығарады; ҚБ:«Бас бармақ» әдіс |
Презентация Слайд Интернет ресурстары Оқулық; оқу құралдары; тақта; слайд; Карточкалар;7 сыныпқа арналған оқулық Презентация |
|
|
10 мин |
Оқулықпен жұмыс |
Оқулықтан есептер шығару:
|
Тапсырманы орындайды
|
Оқушының тақтадағы белсенділігіне байланысты ауызша бағалау |
|
|
|
5 минут |
|
Бүгінгі сабақта:
- қысқаша көбейту формулаларын алгебралық өрнектерді ықшамдау кезінде қолдана алады -Қысқаша көбейту формулаларын өрнектерді көбейткіштерге жіктеу кезінде қолдана алады; Сабақ соңында оқушылар рефлексия жүргізеді: Рефлексия:
Үйге тапсырма.№. |
Тақырыпты меңгергенін анықтау |
Кері байланыс |
Оқулық; оқу құралдары; тақта; слайд; |
|
Сабақ жоспары
Бекітемін:
|
Педагогің Аты, Тегі; Әкесінің аты (бар болған жағдайда): |
|
||||||||||||||||||||
|
Пән/Сынып: |
7 сынып. Қатысқандар саны: Қатыспағандар саны: |
||||||||||||||||||||
|
Күні: |
|
||||||||||||||||||||
|
Бөлім: |
Қысқаша көбейту формулалары |
||||||||||||||||||||
|
Сабақтың тақырыбы: |
Қысқаша көбейту формулаларының көмегімен өрнектерді түрлендіру |
||||||||||||||||||||
|
Оқу бағдарламасына сәйкес оқыту мақсаты: |
7. 1.2.14 тиімді есептеу үшін қысқаша көбейту формулаларын қолдану; |
||||||||||||||||||||
|
Сабақтың мақсаттары: |
- қысқаша көбейту формулаларын алгебралық өрнектерді ықшамдау кезінде қолдана алады -Қысқаша көбейту формулаларын өрнектерді көбейткіштерге жіктеу кезінде қолдана алады; |
||||||||||||||||||||
|
Сабақ барысы: |
|||||||||||||||||||||
|
Уақыты |
Кезең дері |
Педагогтің әрекеті |
Оқушының әрекеті |
Бағалау |
Ресурстар |
||||||||||||||||
|
5 минут |
Ұйым дастыру |
Сәлеметсіздерме! Бүгін, Қысқаша көбейту формулаларының көмегімен өрнектерді түрлендіру тақырыбын қарастырамыз. Бүгінгі сабақта меңгеретініңіз: - Қысқаша көбейту формулаларын біледі және қолдана алады; - қысқаша көбейту формулаларын алгебралық өрнектерді ықшамдау кезінде қолдана алады -Қысқаша көбейту формулаларын өрнектерді көбейткіштерге жіктеу кезінде қолдана алады; Үй тапсырмасын тексеру. № |
Амандасады, сабаққа дайындалады. Сұрақтарға жауап береді |
«Бағдаршам» арқылы қалыптастыру шы бағалау |
Оқулық; оқу құралдары; тақта; слайд; |
||||||||||||||||
|
10 мин |
Жаңа сабақ |
1) Көпмүшені көбейткіштерге жіктеуді қалай түсінесіз? Көпмүшені көбейткіштерге жіктеу – көпмүшені екі немесе бірнеше көпмүшелердің көбейтіндісі түріне келтіру 2) Көпмүшені көбейткіштерге жіктеудің қандай түрлерін білесіз? (Ортақ көбейткішті жақшаның сыртына шығару, қысқаша көбейту формулаларын пайдалану, топтау тәсілі) 3) Көпмүшені көбейткіштерге жіктеу не үшін қажет? Көпмүшені көбейткіштерге жіктеу дағдысы өрнектерді түрлендіруде, алгебралық бөлшектерді қысқартуда, теңдеу мен теңсіздіктерді шешуде қажет. 4) Көбейткіштерге
жіктеңіз:
5) Көбейткіштерге жіктеуге есеп ойдан құрастырыңыз. 6) Топтау тәсілімен көбейткіштерге жіктеу тәсілін сипаттаңыз. Топтау тәсілімен көбейткіштерге жіктеу алгоритмі: 1. Көпмүшенің ортақ көбейткіштері бар мүшелерін бірыңғай топтарға бөлу; 2. Әр топтағы мүшелердің бірмүше түріндегі ортақ көбейткішін жақша сыртына шығару; 3. Әр топтағы мүшелердің бірмүше түріндегі ортақ көбейткішін жақша сыртына шығару; |
Тақырып бойынша ресурстарды қарап, танысады ⠀⠀ ⠀⠀ 2). Шешуі. Айырма кубының формуласын қолданып өрнекті түрлендір: (–x – 4y)3 = (–x)3 – 3 ∙ (–x)2 ∙ 4y + 3 ∙ (–x) ∙ (4y)2 – (4y)3 = –x3 – 12x2y – 48xy2 – 64y3.
|
«Бағдаршам» арқылы қалыптастыру шы бағалау
|
Оқулық; оқу құралдары; тақта; слайд; Карточкалар;7 сыныпқа арналған оқулық Презентация |
||||||||||||||||
|
15 минут |
Бекіту тапсырмасы |
a) b)
Тапсырма. Төменгі әр теңдеу географиялық атаулармен аталған. Теңдеулердің жауабына әр географиялық атау туралы қосымша ақпарат сәйкес келеді. Берілген теңдеулерді шешіп, мәтіндегі түбірлердің орнына сәйкес географиялық атауды енгізе отырып, әрқайсысы туралы туралы ақпарат алыңыз.
Әлемдегі ең үлкен
жанартау
Әлемдегі ең биік тау
–
Әлемдегі ең биік сарқырама
–
Әлемдегі ең ұзын тау
–
Әлемдегі жауын-шашын ең көп
түсетін жер –
Әлемдегі ең үлкен тау асты
мұздығы -
Әр оқушы өзін дайын жауап бойынша тексереді. Әлемдегі ең биік тау – Гималай (Джомолунга, 8848 м) Әлемдегі ең ұзын тау – Анд (9000 км) Әлемдегі жауын-шашын ең көп түсетін жер – Черапунджи (жылына 12000 мм) Әлемдегі ең үлкен тау асты мұздығы - Хабборт (145 км) Әлемдегі ең биік сарқырама – Анхель (1054 м) Әлемдегі ең үлкен жанартау Гавайядағы Мауна-Лао (ені 10 км, тереңдігі 180 км)
Оқулықпен жұмыс. №5.128, №5.129. |
Оқушылар дескрипторға сәйкес тапсырмаларды орындайды.
Жазылуы бойынша формулаларды жалғастырады (1) ҚКФ ажырата алады (1) Формуланы ауызша тұжырымдай алады
Оқулықтан есептерді шығарады.
|
Дескриптор: Топтау тәсілін дұрыс қолдана алды; Ортақ көбейткішті жақша сыртына шығарады;
ҚБ:«Бас бармақ» әдісі
|
Презентация Слайд Интернет ресурстары Оқулық; оқу құралдары; тақта; слайд; Карточкалар;7 сыныпқа арналған оқулық Презентация |
||||||||||||||||
|
10 мин |
Оқулықпен жұмыс |
Оқулықтан есептер шығару:
|
Тапсырманы орындайды
|
Оқушының тақтадағы белсенділігіне байланысты ауызша бағалау |
Жалпы білім беретін мектептің 7–сыныбына арналған оқулық. Тақта Бор Кітап Дәптер Интерактивті тақта Бағалау парақтары |
||||||||||||||||
|
5 минут |
|
Бүгінгі сабақта:
- қысқаша көбейту формулаларын алгебралық өрнектерді ықшамдау кезінде қолдана алады -Қысқаша көбейту формулаларын өрнектерді көбейткіштерге жіктеу кезінде қолдана алады; Сабақ соңында оқушылар рефлексия жүргізеді: Рефлексия:
Үйге тапсырма.№ |
Тақырыпты меңгергенін анықтау |
Кері байланыс |
Оқулық; оқу құралдары; тақта; слайд; |
||||||||||||||||
Сабақ жоспары
Бекітемін:
|
Педагогің Аты, Тегі; Әкесінің аты (бар болған жағдайда): |
|
|||||||||||
|
Пән/Сынып: |
7 сынып. Қатысқандар саны: Қатыспағандар саны: |
|||||||||||
|
Күні: |
|
|||||||||||
|
Бөлім: |
Қысқаша көбейту формулалары |
|||||||||||
|
Сабақтың тақырыбы: |
Алгебралық өрнектерді қысқаша көбейту формулалары арқылы көбейткіштерге жіктеу. |
|||||||||||
|
Оқу бағдарламасына сәйкес оқыту мақсаты: |
7. 1.2.14 тиімді есептеу үшін қысқаша көбейту формулаларын қолдану; |
|||||||||||
|
Сабақтың мақсаттары: |
|
|||||||||||
|
Сабақ барысы: |
||||||||||||
|
Уақыты |
Кезең дері |
Педагогтің әрекеті |
Оқушының әрекеті |
Бағалау |
Ресурстар |
|||||||
|
5 минут |
Ұйым дастыру |
Сәлеметсіздерме! Бүгін, Алгебралық өрнектерді қысқаша көбейту формулалары арқылы көбейткіштерге жіктеу тақырыбын қарастырамыз. Бүгінгі сабақта меңгеретініңіз:
топтау, қысқаша көбейту формулаларын қолдану сияқты түрлі әдістің комбинацияларын қолдану жолы Үй тапсырмасын тексеру. № |
Амандасады, сабаққа дайындалады. Сұрақтарға жауап береді |
«Бағдаршам» арқылы қалыптастыру шы бағалау |
Оқулық; оқу құралдары; тақта; слайд; |
|||||||
|
10 мин |
Жаңа сабақ |
Көпмүшені көбейткіштерге жіктеу үшін түрлі әдіс қолданады: ортақ көбейткішті жақша сыртына шығару, топтау, қысқаша көбейту формулаларын қолдану. Кейде көпмүшені көбейткіштерге жіктеу үшін бірнеше әдістерді бірінен кейін бірін қолдану керек. Түрлендіруді мүмкін және тиімді болған жағдайда ортақ көбейткішті жақша сыртына шығарудан бастаған жөн. ⠀⠀ 1-мысал. Көпмүшесні көбейткіштерге жікте: 16x2 – 100y2. Шешуі. 16x2 = (4x)2, 100y2 = (10y)2 түрінде жаз. Бұл өрнекті көбейткіштерге жіктеу үшін квадраттардың айырмасы формуласын қолдан: 16x2 – 100y2 = (4x – 10y)(4x + 10y). ⠀⠀ 2-мысал. Көпмүшені көбейткіштерге жікте: 20x3 – 5x. Шешуі. Бұл көпмүшенің мүшелерінде 5x ортақ көбейткіші бар. Осы көбейткішті жақша сыртына шығар: 20x3 – 5x = 5x (4x2 – 1). 4x2 – 1 өрнегіне квадраттардың айырмасы формуласын қолдану арқылы көбейткіштерге жіктеуді жалғастыруға болады. Нәтижесінде көбейткіштер ретінде неғұрлым төмен дәрежелі көпмүшелер шығады: 20x3 – 5x = 5x (4x2 – 1) = 5x (2x – 1)(2x + 1). ⠀⠀ 3-мысал. Үшмүшені көбейткіштерге жікте: 9a2 – 12ab + 4b2. Шешуі. 9a2 – 12ab + 4b2 үшмүшесін екі өрнектің айырмасының квадраты түрінде жазуға болады. Демек: 9a2 – 12ab + 4b2 = (3a – 2b)2. ⠀⠀ |
Тақырып бойынша ресурстарды қарап, танысады ⠀⠀ ⠀⠀ |
«Бағдаршам» арқылы қалыптастыру шы бағалау
|
Оқулық; оқу құралдары; тақта; слайд; Карточкалар;7 сыныпқа арналған оқулық Презентация |
|||||||
|
15 минут |
Бекіту тапсырмасы |
№1.Қабырғасының ұзындығы
Кілт арқылы бір-бірін тексеру
Сұрақтарға жауап беру:
№2.Бос орындарды толтырыңыз (5а+*) 2 =*+*+81b2 (*-2у) 2 =9х4-*+* (*-10а)(*+*)=9с2-* 27a3-*=(*-4b)(*+12ab+16b2) (*+*)3=8+*+6х2+* (*-*)3=*-225х2у+*-27у3 Жауабы. (5а+9b) 2 =25a2+90ab+81b2 (3x 2 -2у) 2 =9х4-12x 2 y+4y 2 (3c-10а)(3c+10a)=9с2-100a 2 27a3-4b=(3a-4b)(9a 2 +12ab+16b2) (2+x)3=8+12x+6х2+x 3 (5x-3y)3=135x 3 -225х2у+135xy 2 -27у3
Оқулықпен жұмыс. № |
Оқушылар дескрипторға сәйкес тапсырмаларды орындайды. Жазылуы бойынша формулаларды жалғастырады (1) ҚКФ ажырата алады (1) Формуланы ауызша тұжырымдай алады Оқулықтан есептерді шығарады.
|
Дескриптор: Топтау тәсілін дұрыс қолдана алды; Ортақ көбейткішті жақша сыртына шығарады; ҚБ:«Бас бармақ» әдісі
Дескриптор:
|
Презентация Слайд Интернет ресурстары Оқулық; оқу құралдары; тақта; слайд; Карточкалар;7 сыныпқа арналған оқулық Презентация |
|||||||
|
10 мин |
Оқулықпен жұмыс |
Оқулықтан есептер шығару:
|
Тапсырманы орындайды |
Оқушының тақтадағы белсенділігіне байланысты ауызша бағалау |
Жалпы білім беретін мектептің 7–сыныбына арналған оқулық. Тақта Бор Кітап Дәптер Интерактивті тақта Бағалау парақтары |
|||||||
|
5 минут |
|
Бүгінгі сабақта:
Үйге тапсырма.№ |
Тақырыпты меңгергенін анықтау |
Кері байланыс |
Оқулық; оқу құралдары; тақта; слайд; |
|||||||
Сабақ жоспары
Бекітемін:
|
Педагогің Аты, Тегі; Әкесінің аты (бар болған жағдайда): |
|
|||||||||||
|
Пән/Сынып: |
7 сынып. Қатысқандар саны: Қатыспағандар саны: |
|||||||||||
|
Күні: |
|
|||||||||||
|
Бөлім: |
Қысқаша көбейту формулалары |
|||||||||||
|
Сабақтың тақырыбы: |
Алгебралық өрнектерді қысқаша көбейту формулалары арқылы көбейткіштерге жіктеу. |
|||||||||||
|
Оқу бағдарламасына сәйкес оқыту мақсаты: |
7. 1.2.14 тиімді есептеу үшін қысқаша көбейту формулаларын қолдану; |
|||||||||||
|
Сабақтың мақсаттары: |
|
|||||||||||
|
Сабақ барысы: |
||||||||||||
|
Уақыты |
Кезең дері |
Педагогтің әрекеті |
Оқушының әрекеті |
Бағалау |
Ресурстар |
|||||||
|
5 минут |
Ұйым дастыру |
Сәлеметсіздерме! Бүгін, Алгебралық өрнектерді қысқаша көбейту формулалары арқылы көбейткіштерге жіктеу тақырыбын қарастырамыз. Бүгінгі сабақта меңгеретініңіз:
топтау, қысқаша көбейту формулаларын қолдану сияқты түрлі әдістің комбинацияларын қолдану жолы Үй тапсырмасын тексеру. №5.134. |
Амандасады, сабаққа дайындалады. Сұрақтарға жауап береді |
«Бағдаршам» арқылы қалыптастыру шы бағалау |
Оқулық; оқу құралдары; тақта; слайд; |
|||||||
|
10 мин |
Жаңа сабақ |
Көпмүшені көбейткіштерге жіктеу үшін түрлі әдіс қолданады: ортақ көбейткішті жақша сыртына шығару, топтау, қысқаша көбейту формулаларын қолдану. Кейде көпмүшені көбейткіштерге жіктеу үшін бірнеше әдістерді бірінен кейін бірін қолдану керек. Түрлендіруді мүмкін және тиімді болған жағдайда ортақ көбейткішті жақша сыртына шығарудан бастаған жөн. ⠀⠀ 1-мысал. Көпмүшесні көбейткіштерге жікте: 16x2 – 100y2. Шешуі. 16x2 = (4x)2, 100y2 = (10y)2 түрінде жаз. Бұл өрнекті көбейткіштерге жіктеу үшін квадраттардың айырмасы формуласын қолдан: 16x2 – 100y2 = (4x – 10y)(4x + 10y). ⠀⠀ 2-мысал. Көпмүшені көбейткіштерге жікте: 20x3 – 5x. Шешуі. Бұл көпмүшенің мүшелерінде 5x ортақ көбейткіші бар. Осы көбейткішті жақша сыртына шығар: 20x3 – 5x = 5x (4x2 – 1). 4x2 – 1 өрнегіне квадраттардың айырмасы формуласын қолдану арқылы көбейткіштерге жіктеуді жалғастыруға болады. Нәтижесінде көбейткіштер ретінде неғұрлым төмен дәрежелі көпмүшелер шығады: 20x3 – 5x = 5x (4x2 – 1) = 5x (2x – 1)(2x + 1). ⠀⠀ 3-мысал. Үшмүшені көбейткіштерге жікте: 9a2 – 12ab + 4b2. Шешуі. 9a2 – 12ab + 4b2 үшмүшесін екі өрнектің айырмасының квадраты түрінде жазуға болады. Демек: 9a2 – 12ab + 4b2 = (3a – 2b)2. ⠀⠀ |
Тақырып бойынша ресурстарды қарап, танысады ⠀⠀ ⠀⠀ |
«Бағдаршам» арқылы қалыптастыру шы бағалау
|
Оқулық; оқу құралдары; тақта; слайд; Карточкалар;7 сыныпқа арналған оқулық Презентация |
|||||||
|
15 минут |
Бекіту тапсырмасы |
|
Оқушылар дескрипторға сәйкес тапсырмаларды орындайды. Жазылуы бойынша формулаларды жалғастырады (1) ҚКФ ажырата алады (1) Формуланы ауызша тұжырымдай алады Оқулықтан есептерді шығарады.
|
Дескриптор: Топтау тәсілін дұрыс қолдана алды; Ортақ көбейткішті жақша сыртына шығарады; ҚБ:«Бас бармақ» әдісі
Дескриптор:
|
Презентация Слайд Интернет ресурстары Оқулық; оқу құралдары; тақта; слайд; Карточкалар;7 сыныпқа арналған оқулық Презентация |
|||||||
|
10 мин |
Оқулықпен жұмыс |
Оқулықтан есептер шығару:
|
Тапсырманы орындайды |
Оқушының тақтадағы белсенділігіне байланысты ауызша бағалау |
Жалпы білім беретін мектептің 7–сыныбына арналған оқулық. Тақта Бор Кітап Дәптер Интерактивті тақта Бағалау парақтары |
|||||||
|
5 минут |
|
Бүгінгі сабақта:
Үйге тапсырма.№ |
Тақырыпты меңгергенін анықтау |
Кері байланыс |
Оқулық; оқу құралдары; тақта; слайд; |
|||||||
Сабақ жоспары
Бекітемін:
|
Педагогің Аты, Тегі; Әкесінің аты (бар болған жағдайда): |
|
||||||||||||||||
|
Пән/Сынып: |
7 сынып. Қатысқандар саны: Қатыспағандар саны: |
||||||||||||||||
|
Күні: |
|
||||||||||||||||
|
Бөлім: |
Қысқаша көбейту формулалары |
||||||||||||||||
|
Сабақтың тақырыбы: |
Алгебралық өрнектерді қысқаша көбейту формулалары арқылы көбейткіштерге жіктеу. |
||||||||||||||||
|
Оқу бағдарламасына сәйкес оқыту мақсаты: |
7. 1.2.14 тиімді есептеу үшін қысқаша көбейту формулаларын қолдану; |
||||||||||||||||
|
Сабақтың мақсаттары: |
|
||||||||||||||||
|
Сабақ барысы: |
|||||||||||||||||
|
Уақыты |
Кезең дері |
Педагогтің әрекеті |
Оқушының әрекеті |
Бағалау |
Ресурстар |
||||||||||||
|
5 минут |
Ұйым дастыру |
Сәлеметсіздерме! Бүгін, Алгебралық өрнектерді қысқаша көбейту формулалары арқылы көбейткіштерге жіктеу тақырыбын қарастырамыз. Бүгінгі сабақта меңгеретініңіз:
топтау, қысқаша көбейту формулаларын қолдану сияқты түрлі әдістің комбинацияларын қолдану жолы Үй тапсырмасын тексеру. №5.137. |
Амандасады, сабаққа дайындалады. Сұрақтарға жауап береді |
«Бағдаршам» арқылы қалыптастыру шы бағалау |
Оқулық; оқу құралдары; тақта; слайд; |
||||||||||||
|
10 мин |
Жаңа сабақ |
Көпмүшені көбейткіштерге жіктеу үшін түрлі әдіс қолданады: ортақ көбейткішті жақша сыртына шығару, топтау, қысқаша көбейту формулаларын қолдану. Кейде көпмүшені көбейткіштерге жіктеу үшін бірнеше әдістерді бірінен кейін бірін қолдану керек. Түрлендіруді мүмкін және тиімді болған жағдайда ортақ көбейткішті жақша сыртына шығарудан бастаған жөн. ⠀⠀ 1-мысал. Көпмүшесні көбейткіштерге жікте: 16x2 – 100y2. Шешуі. 16x2 = (4x)2, 100y2 = (10y)2 түрінде жаз. Бұл өрнекті көбейткіштерге жіктеу үшін квадраттардың айырмасы формуласын қолдан: 16x2 – 100y2 = (4x – 10y)(4x + 10y). ⠀⠀ 2-мысал. Көпмүшені көбейткіштерге жікте: 20x3 – 5x. Шешуі. Бұл көпмүшенің мүшелерінде 5x ортақ көбейткіші бар. Осы көбейткішті жақша сыртына шығар: 20x3 – 5x = 5x (4x2 – 1). 4x2 – 1 өрнегіне квадраттардың айырмасы формуласын қолдану арқылы көбейткіштерге жіктеуді жалғастыруға болады. Нәтижесінде көбейткіштер ретінде неғұрлым төмен дәрежелі көпмүшелер шығады: 20x3 – 5x = 5x (4x2 – 1) = 5x (2x – 1)(2x + 1). ⠀⠀ 3-мысал. Үшмүшені көбейткіштерге жікте: 9a2 – 12ab + 4b2. Шешуі. 9a2 – 12ab + 4b2 үшмүшесін екі өрнектің айырмасының квадраты түрінде жазуға болады. Демек: 9a2 – 12ab + 4b2 = (3a – 2b)2. ⠀⠀ |
Тақырып бойынша ресурстарды қарап, танысады ⠀⠀ ⠀⠀ |
«Бағдаршам» арқылы қалыптастыру шы бағалау
|
Оқулық; оқу құралдары; тақта; слайд; Карточкалар;7 сыныпқа арналған оқулық Презентация |
||||||||||||
|
15 минут |
Бекіту тапсырмасы |
3. Ықшамдаңдар:
Карточка 1 Жақша сыртына ортақ көбейткішті шығарыңыз:
Карточка 2 Көпмүшені көбейткіштерге жіктеңіз:
|
Оқушылар дескрипторға сәйкес тапсырмаларды орындайды.
Жазылуы бойынша формулаларды жалғастырады (1) ҚКФ ажырата алады (1) Формуланы ауызша тұжырымдай алады
Оқулықтан есептерді шығарады.
|
Дескриптор: -Ұқсас қосылғыштарды дұрыс табады. -Ортақ көбейткішті жақша сыртына дұрыс шығарады.
ҚБ:«Бас бармақ» әдісі
Дескриптор:
|
Презентация Слайд Интернет ресурстары Оқулық; оқу құралдары; тақта; слайд; Карточкалар;7 сыныпқа арналған оқулық Презентация |
||||||||||||
|
10 мин |
Оқулықпен жұмыс |
Оқулықтан есептер шығару:
|
Тапсырманы орындайды |
Оқушының тақтадағы белсенділігіне байланысты ауызша бағалау |
Жалпы білім беретін мектептің 7–сыныбына арналған оқулық. Тақта Бор Кітап Дәптер Интерактивті тақта Бағалау парақтары |
||||||||||||
|
5 минут |
|
Бүгінгі сабақта:
Үйге тапсырма.№ |
Тақырыпты меңгергенін анықтау |
Кері байланыс |
Оқулық; оқу құралдары; тақта; слайд; |
||||||||||||
Сабақ жоспары
Бекітемін:
|
Педагогің Аты, Тегі; Әкесінің аты (бар болған жағдайда): |
|
|||||||||||
|
Пән/Сынып: |
7 сынып. Қатысқандар саны: Қатыспағандар саны: |
|||||||||||
|
Күні: |
|
|||||||||||
|
Бөлім: |
Қысқаша көбейту формулалары |
|||||||||||
|
Сабақтың тақырыбы: |
Алгебралық өрнектерді қысқаша көбейту формулалары арқылы көбейткіштерге жіктеу. |
|||||||||||
|
Оқу бағдарламасына сәйкес оқыту мақсаты: |
7. 1.2.14 тиімді есептеу үшін қысқаша көбейту формулаларын қолдану; |
|||||||||||
|
Сабақтың мақсаттары: |
|
|||||||||||
|
Сабақ барысы: |
||||||||||||
|
Уақыты |
Кезең дері |
Педагогтің әрекеті |
Оқушының әрекеті |
Бағалау |
Ресурстар |
|||||||
|
5 минут |
Ұйым дастыру |
Сәлеметсіздерме! Бүгін, Алгебралық өрнектерді қысқаша көбейту формулалары арқылы көбейткіштерге жіктеу тақырыбын қарастырамыз. Бүгінгі сабақта меңгеретініңіз:
|
Амандасады, сабаққа дайындалады. Сұрақтарға жауап береді |
«Бағдаршам» арқылы қалыптастыру шы бағалау |
Оқулық; оқу құралдары; тақта; слайд; |
|||||||
|
10 мин |
Жаңа сабақ |
1 мысал. Көпмүшені көбейткіштерге жіктеңіз және қолданылған әдістерді жазыңыз,
•ортақ көбейткішті жақша сыртына шығару; •қысқаша көбейту формулалары. 2 мысал.
•топтау тәсілі; •қысқаша көбейту формулалары. 3 мысал.
Үш әдіс қолданылды: Топтау тәсілі; Қысқаша көбейту формулалары; Ортақ көбейткішті жақша сыртына шығару. |
Тақырып бойынша ресурстарды қарап, танысады ⠀⠀ ⠀⠀ |
«Бағдаршам» арқылы қалыптастыру шы бағалау
|
Оқулық; оқу құралдары; тақта; слайд; Карточкалар;7 сыныпқа арналған оқулық Презентация |
|||||||
|
15 минут |
Бекіту тапсырмасы |
|
Оқушылар дескрипторға сәйкес тапсырмаларды орындайды.
Жазылуы бойынша формулаларды жалғастырады (1) ҚКФ ажырата алады (1) Формуланы ауызша тұжырымдай алады
Оқулықтан есептерді шығарады.
|
Дескриптор: -Ұқсас қосылғыштарды дұрыс табады. -Ортақ көбейткішті жақша сыртына дұрыс шығарады.
ҚБ:«Бас бармақ» әдісі
Дескриптор:
|
Презентация Слайд Интернет ресурстары Оқулық; оқу құралдары; тақта; слайд; Карточкалар;7 сыныпқа арналған оқулық Презентация |
|||||||
|
10 мин |
Оқулықпен жұмыс |
Оқулықтан есептер шығару: |
Тапсырманы орындайды |
Оқушының тақтадағы белсенділігіне байланысты ауызша бағалау |
Жалпы білім беретін мектептің 7–сыныбына арналған оқулық. Тақта Бор Кітап Дәптер Интерактивті тақта Бағалау парақтары |
|||||||
|
5 минут |
|
Бүгінгі сабақта:
Үйге тапсырма.№5.144 |
Тақырыпты меңгергенін анықтау |
Кері байланыс |
Оқулық; оқу құралдары; тақта; слайд; |
|||||||
Сабақ жоспары
Бекітемін:
|
Педагогің Аты, Тегі; Әкесінің аты (бар болған жағдайда): |
|
|||||||||||
|
Пән/Сынып: |
7 сынып. Қатысқандар саны: Қатыспағандар саны: |
|||||||||||
|
Күні: |
|
|||||||||||
|
Бөлім: |
Қысқаша көбейту формулалары |
|||||||||||
|
Сабақтың тақырыбы: |
Алгебралық өрнектерді қысқаша көбейту формулалары арқылы көбейткіштерге жіктеу. |
|||||||||||
|
Оқу бағдарламасына сәйкес оқыту мақсаты: |
7. 1.2.14 тиімді есептеу үшін қысқаша көбейту формулаларын қолдану; |
|||||||||||
|
Сабақтың мақсаттары: |
|
|||||||||||
|
Сабақ барысы: |
||||||||||||
|
Уақыты |
Кезең дері |
Педагогтің әрекеті |
Оқушының әрекеті |
Бағалау |
Ресурстар |
|||||||
|
5 минут |
Ұйым дастыру |
Сәлеметсіздерме! Бүгін, Алгебралық өрнектерді қысқаша көбейту формулалары арқылы көбейткіштерге жіктеу тақырыбын қарастырамыз. Бүгінгі сабақта меңгеретініңіз:
|
Амандасады, сабаққа дайындалады. Сұрақтарға жауап береді |
«Бағдаршам» арқылы қалыптастыру шы бағалау |
Оқулық; оқу құралдары; тақта; слайд; |
|||||||
|
10 мин |
Жаңа сабақ |
1 мысал. Көпмүшені көбейткіштерге жіктеңіз және қолданылған әдістерді жазыңыз,
•ортақ көбейткішті жақша сыртына шығару; •қысқаша көбейту формулалары. 2 мысал.
•топтау тәсілі; •қысқаша көбейту формулалары. 3 мысал.
Үш әдіс қолданылды: Топтау тәсілі; Қысқаша көбейту формулалары; Ортақ көбейткішті жақша сыртына шығару. |
Тақырып бойынша ресурстарды қарап, танысады ⠀⠀ ⠀⠀ |
«Бағдаршам» арқылы қалыптастыру шы бағалау
|
Оқулық; оқу құралдары; тақта; слайд; Карточкалар;7 сыныпқа арналған оқулық Презентация |
|||||||
|
15 минут |
Бекіту тапсырмасы |
|
Оқушылар дескрипторға сәйкес тапсырмаларды орындайды.
Жазылуы бойынша формулаларды жалғастырады (1) ҚКФ ажырата алады (1) Формуланы ауызша тұжырымдай алады
Жауаптар:
4. 899,96
Оқулықтан есептерді шығарады.
|
Дескриптор: -Ұқсас қосылғыштарды дұрыс табады. -Ортақ көбейткішті жақша сыртына дұрыс шығарады.
ҚБ:«Бас бармақ» әдісі
Дескриптор:
|
Презентация Слайд Интернет ресурстары Оқулық; оқу құралдары; тақта; слайд; Карточкалар;7 сыныпқа арналған оқулық Презентация |
|||||||
|
10 мин |
Оқулықпен жұмыс |
Оқулықтан есептер шығару: |
Тапсырманы орындайды |
Оқушының тақтадағы белсенділігіне байланысты ауызша бағалау |
Жалпы білім беретін мектептің 7–сыныбына арналған оқулық. Тақта Бор Кітап Дәптер Интерактивті тақта Бағалау парақтары |
|||||||
|
5 минут |
|
Бүгінгі сабақта:
Үйге тапсырма.№5.148. |
Тақырыпты меңгергенін анықтау |
Кері байланыс |
Оқулық; оқу құралдары; тақта; слайд; |
|||||||
Сабақ жоспары
Бекітемін:
|
Педагогің Аты, Тегі; Әкесінің аты (бар болған жағдайда): |
|
|||||||||||||||||||||||||||||||||||
|
Пән/Сынып: |
7 сынып. Қатысқандар саны: Қатыспағандар саны: |
|||||||||||||||||||||||||||||||||||
|
Күні: |
|
|||||||||||||||||||||||||||||||||||
|
Бөлім: |
Қысқаша көбейту формулалары |
|||||||||||||||||||||||||||||||||||
|
Сабақтың тақырыбы: |
Алгебралық өрнектерді қысқаша көбейту формулалары арқылы көбейткіштерге жіктеу. |
|||||||||||||||||||||||||||||||||||
|
Оқу бағдарламасына сәйкес оқыту мақсаты: |
7. 1.2.14 тиімді есептеу үшін қысқаша көбейту формулаларын қолдану; |
|||||||||||||||||||||||||||||||||||
|
Сабақтың мақсаттары: |
|
|||||||||||||||||||||||||||||||||||
|
Сабақ барысы: |
||||||||||||||||||||||||||||||||||||
|
Уақыты |
Кезең дері |
Педагогтің әрекеті |
Оқушының әрекеті |
Бағалау |
Ресурстар |
|||||||||||||||||||||||||||||||
|
5 минут |
Ұйым дастыру |
Сәлеметсіздерме! Бүгін, Алгебралық өрнектерді қысқаша көбейту формулалары арқылы көбейткіштерге жіктеу тақырыбын қарастырамыз. Бүгінгі сабақта меңгеретініңіз:
|
Амандасады, сабаққа дайындалады. Сұрақтарға жауап береді |
«Бағдаршам» арқылы қалыптастыру шы бағалау |
Оқулық; оқу құралдары; тақта; слайд; |
|||||||||||||||||||||||||||||||
|
10 мин |
Жаңа сабақ |
1 мысал. Көпмүшені көбейткіштерге жіктеңіз және қолданылған әдістерді жазыңыз,
•ортақ көбейткішті жақша сыртына шығару; •қысқаша көбейту формулалары. 2 мысал.
•топтау тәсілі; •қысқаша көбейту формулалары. 3 мысал.
Үш әдіс қолданылды: Топтау тәсілі; Қысқаша көбейту формулалары; Ортақ көбейткішті жақша сыртына шығару. |
Тақырып бойынша ресурстарды қарап, танысады ⠀⠀ ⠀⠀ |
«Бағдаршам» арқылы қалыптастыру шы бағалау
|
Оқулық; оқу құралдары; тақта; слайд; Карточкалар;7 сыныпқа арналған оқулық Презентация |
|||||||||||||||||||||||||||||||
|
15 минут |
Бекіту тапсырмасы |
|
Оқушылар дескрипторға сәйкес тапсырмаларды орындайды. Жауаптар: 1-D 2-G 3-E 4-B 5-A 6-F 7-C
Жазылуы бойынша формулаларды жалғастырады (1) ҚКФ ажырата алады (1) Формуланы ауызша тұжырымдай алады
Оқулықтан есептерді шығарады.
|
Дескриптор: -Ұқсас қосылғыштарды дұрыс табады. -Ортақ көбейткішті жақша сыртына дұрыс шығарады.
ҚБ:«Бас бармақ» әдісі
Дескриптор:
|
Презентация Слайд Интернет ресурстары Оқулық; оқу құралдары; тақта; слайд; Карточкалар;7 сыныпқа арналған оқулық Презентация |
|||||||||||||||||||||||||||||||
|
10 мин |
Оқулықпен жұмыс |
Оқулықтан есептер шығару: |
Тапсырманы орындайды |
Оқушының тақтадағы белсенділігіне байланысты ауызша бағалау |
Жалпы білім беретін мектептің 7–сыныбына арналған оқулық. Тақта Бор Кітап Дәптер Интерактивті тақта Бағалау парақтары |
|||||||||||||||||||||||||||||||
|
5 минут |
|
Бүгінгі сабақта:
Үйге тапсырма.№5.150. |
Тақырыпты меңгергенін анықтау |
Кері байланыс |
Оқулық; оқу құралдары; тақта; слайд; |
|||||||||||||||||||||||||||||||
Сабақ жоспары
Бекітемін:
|
Педагогің Аты, Тегі; Әкесінің аты (бар болған жағдайда): |
|
|||||||||||||||||||||||||||||||||||||||||||||||
|
Пән/Сынып: |
7 сынып. Қатысқандар саны: Қатыспағандар саны: |
|||||||||||||||||||||||||||||||||||||||||||||||
|
Күні: |
|
|||||||||||||||||||||||||||||||||||||||||||||||
|
Бөлім: |
Қысқаша көбейту формулалары |
|||||||||||||||||||||||||||||||||||||||||||||||
|
Сабақтың тақырыбы: |
Алгебралық өрнектерді қысқаша көбейту формулалары арқылы көбейткіштерге жіктеу. |
|||||||||||||||||||||||||||||||||||||||||||||||
|
Оқу бағдарламасына сәйкес оқыту мақсаты: |
7. 1.2.14 тиімді есептеу үшін қысқаша көбейту формулаларын қолдану; |
|||||||||||||||||||||||||||||||||||||||||||||||
|
Сабақтың мақсаттары: |
|
|||||||||||||||||||||||||||||||||||||||||||||||
|
Сабақ барысы: |
||||||||||||||||||||||||||||||||||||||||||||||||
|
Уақыты |
Кезең дері |
Педагогтің әрекеті |
Оқушының әрекеті |
Бағалау |
Ресурстар |
|||||||||||||||||||||||||||||||||||||||||||
|
5 минут |
Ұйым дастыру |
Сәлеметсіздерме! Бүгін, Алгебралық өрнектерді қысқаша көбейту формулалары арқылы көбейткіштерге жіктеу тақырыбын қарастырамыз. Бүгінгі сабақта меңгеретініңіз:
|
Амандасады, сабаққа дайындалады. Сұрақтарға жауап береді |
«Бағдаршам» арқылы қалыптастыру шы бағалау |
Оқулық; оқу құралдары; тақта; слайд; |
|||||||||||||||||||||||||||||||||||||||||||
|
10 мин |
Жаңа сабақты бекіту. |
(а+в)(а-в)=? (а-в)2=? (а-в)3=? (а+в)(а2-ав+в2)=? (а-в)(а2+ав+в2)=? (а+в)3=?
|
Тақырып бойынша ресурстарды қарап, танысады ⠀⠀ ⠀⠀ |
«Бағдаршам» арқылы қалыптастыру шы бағалау
|
Оқулық; оқу құралдары; тақта; слайд; Карточкалар;7 сыныпқа арналған оқулық Презентация |
|||||||||||||||||||||||||||||||||||||||||||
|
15 минут |
Бекіту тапсырмасы |
Мына тапсырмаларды дәптерге жазып, теңбе-теңдік орындалатындай етіп, А мен Б бірмүшелерін табу: (А+3у)(4х2-6ху+9у2)=8х3+Б (х+3у)2=А+6ху+Б 49а2-А=(Б-2в)(Б+2в) (4с-5в)3= А-240с2 в+Б-125в3 (10х-7у)2=А-140ху+Б (х2-2у2)(х2+А+4у4)=х6-Б Кілті: 1)А=2х, Б=27у3; 2)А=х2, Б=9у2; 3)А=4в2, Б=7а; 4)А=64с3, Б=300св2; 5)А=100х2, Б=49у2; 6)А=2х2у2, Б=8у6
Деңгейлік тапсырмалар. 1 тапсырма. Тепе-теңдікті дәлелде: (а+в)2-4ав=(а-в)2 (а-в)2+4ав=(а+в)2
2 тапсырма. Теңдіктің дұрыстығын көрсет: (а-в)(а+в)(а2+в2)=а4-в4 (а4+в4)(а2+в2)(а+в)(а-в)=а8-в8
3 тапсырма. Тепе-теңдікті дәлелде: (а+в)2(а-в)-2ав(в-а)-6ав(а-в)=(а-в)3 |
Оқушылар дескрипторға сәйкес тапсырмаларды орындайды. Жазылуы бойынша формулаларды жалғастырады (1) ҚКФ ажырата алады (1) Формуланы ауызша тұжырымдай алады
Оқулықтан есептерді шығарады.
№5.145, №5.148. |
|
Презентация Слайд Интернет ресурстары Оқулық; оқу құралдары; тақта; слайд; Карточкалар;7 сыныпқа арналған оқулық Презентация |
|||||||||||||||||||||||||||||||||||||||||||
|
10 мин |
Оқулықпен жұмыс |
Оқулықтан есептер шығару: |
Тапсырманы орындайды |
Оқушының тақтадағы белсенділігіне байланысты ауызша бағалау |
Жалпы білім беретін мектептің 7–сыныбына арналған оқулық. Тақта Бор Кітап Дәптер Интерактивті тақта Бағалау парақтары |
|||||||||||||||||||||||||||||||||||||||||||
|
5 минут |
|
Бүгінгі сабақта:
Үйге тапсырма.№3, №4 /есептер жинағынан/. |
Тақырыпты меңгергенін анықтау |
Кері байланыс |
Оқулық; оқу құралдары; тақта; слайд; |
|||||||||||||||||||||||||||||||||||||||||||
Сабақ жоспары
Бекітемін:
|
Педагогің Аты, Тегі; Әкесінің аты (бар болған жағдайда): |
|
|||||||||||
|
Пән/Сынып: |
7 сынып. Қатысқандар саны: Қатыспағандар саны: |
|||||||||||
|
Күні: |
|
|||||||||||
|
Бөлім: |
Қысқаша көбейту формулалары |
|||||||||||
|
Сабақтың тақырыбы: |
Қысқаша көбейту формулаларын қолданып өрнектерді түрлендіру |
|||||||||||
|
Оқу бағдарламасына сәйкес оқыту мақсаты: |
7.2.1.15 қысқаша көбейту формулалары арқылы алгебралық өрнектерді тепе-тең түрлендірулерді орындау ;
|
|||||||||||
|
Сабақтың мақсаттары: |
|
|||||||||||
|
Сабақ барысы: |
||||||||||||
|
Уақыты |
Кезең дері |
Педагогтің әрекеті |
Оқушының әрекеті |
Бағалау |
Ресурстар |
|||||||
|
5 минут |
Ұйым дастыру |
Сәлеметсіздерме! Бүгін, Қысқаша көбейту формулаларын қолданып өрнектерді түрлендіру тақырыбын қарастырамыз. Бүгінгі сабақта меңгеретініңіз:
|
Амандасады, сабаққа дайындалады. Сұрақтарға жауап береді |
«Бағдаршам» арқылы қалыптастыру шы бағалау |
Оқулық; оқу құралдары; тақта; слайд; |
|||||||
|
10 мин |
Жаңа сабақты бекіту. |
(4p-3)2-9p2
(3х – 2)(3х + 2) – (1 + х)(х – 1)
Өзін-өзі тексеру |
Тақырып бойынша ресурстарды қарап, танысады ⠀⠀ ⠀ Жауаптары: 1)А; 2)В; 3)С; 4)А; 5)В
|
«Бағдаршам» арқылы қалыптастыру шы бағалау
|
Интернет ресурстары Оқулық; оқу құралдары; тақта; слайд; Карточкалар;7 сыныпқа арналған оқулық Презентация |
|||||||
|
15 минут |
Бекіту тапсырмасы |
Тапсырма 1: 1.А. Өрнекті ықшамдаңыздар. а) (x + 7)2 – 10 (x + 4); б) 5b2 – (a – 2b)2; в) (a + 3c)2 – (b + 3c) (b – 3c); г) (x + 3)2 – (x – 3)2.
Тапсырма 2: Көбейткіштерге жіктеңіздер: (5b2 – (a – 2b)2; (x + 3)2 – (x – 3)2.
Тапсырма 3: Есептеңіздер:
Тапсырма 4: Өрнектерді ықшамдаңыздар (қосымша тапсырма, мұғалімге тапсырылады)
(у-2)(у+3)-(у-1)2 4(а+5)2-(4а2+40а) |
Оқушылар дескрипторға сәйкес тапсырмаларды орындайды. Жазылуы бойынша формулаларды жалғастырады (1) ҚКФ ажырата алады (1) Формуланы ауызша тұжырымдай алады Оқулықтан есептерді шығарады.
|
|
Презентация Слайд Интернет ресурстары Оқулық; оқу құралдары; тақта; слайд; Карточкалар;7 сыныпқа арналған оқулық Презентация |
|||||||
|
10 мин |
Оқулықпен жұмыс |
Оқулықтан есептер шығару: |
Тапсырманы орындайды |
Оқушының тақтадағы белсенділігіне байланысты ауызша бағалау |
Жалпы білім беретін мектептің 7–сыныбына арналған оқулық. Тақта Бор Кітап Дәптер Интерактивті тақта Бағалау парақтары |
|||||||
|
5 минут |
|
Бүгінгі сабақта:
Үйге тапсырма. №3. №4. |
Тақырыпты меңгергенін анықтау |
Кері байланыс |
Оқулық; оқу құралдары; тақта; слайд; |
|||||||
Сабақ жоспары
Бекітемін:
|
Педагогің Аты, Тегі; Әкесінің аты (бар болған жағдайда): |
|
|||||||||||||||||||||||||
|
Пән/Сынып: |
7 сынып. Қатысқандар саны: Қатыспағандар саны: |
|||||||||||||||||||||||||
|
Күні: |
|
|||||||||||||||||||||||||
|
Бөлім: |
Қысқаша көбейту формулалары |
|||||||||||||||||||||||||
|
Сабақтың тақырыбы: |
Қысқаша көбейту формулаларын қолданып өрнектерді түрлендіру |
|||||||||||||||||||||||||
|
Оқу бағдарламасына сәйкес оқыту мақсаты: |
7.2.1.15 қысқаша көбейту формулалары арқылы алгебралық өрнектерді тепе-тең түрлендірулерді орындау ;
|
|||||||||||||||||||||||||
|
Сабақтың мақсаттары: |
|
|||||||||||||||||||||||||
|
Сабақ барысы: |
||||||||||||||||||||||||||
|
Уақыты |
Кезең дері |
Педагогтің әрекеті |
Оқушының әрекеті |
Бағалау |
Ресурстар |
|||||||||||||||||||||
|
5 минут |
Ұйым дастыру |
Сәлеметсіздерме! Бүгін, Қысқаша көбейту формулаларын қолданып өрнектерді түрлендіру тақырыбын қарастырамыз. Бүгінгі сабақта меңгеретініңіз:
«Қатені тап» тапсырмасында оқушылар екі өрнектің қосындысы мен айырмасының квадраты және екі өрнектің қосындысы мен айырмасының кубы формулаларын қайталап, естеріне түсіреді. 1.
2.
3.
4.
5.
|
Амандасады, сабаққа дайындалады. Сұрақтарға жауап береді Оқушылар бірін бірі тексереді. Барлық қателерді таба алдыңыздар ма? |
«Бағдаршам» арқылы қалыптастыру шы бағалау |
Оқулық; оқу құралдары; тақта; слайд; |
|||||||||||||||||||||
|
10 мин |
Жаңа сабақты бекіту. |
Тапсырма. а) Көбейтінділерді көпмүшелерге түрлендіріңіз және табылған жауапқа сәйкес келетін әріптерді жазыңыз.
|
⠀⠀
|
«Бағдаршам» арқылы қалыптастыру шы бағалау
|
Интернет ресурстары
Оқулық; оқу құралдары; тақта; слайд; Карточкалар;7 сыныпқа арналған оқулық Презентация |
|||||||||||||||||||||
|
15 минут |
Бекіту тапсырмасы |
Тапсырма. 1-тапсырма.Теңдік орындалатындай * орнына бірмүшелер қойыңыз. a)
2-тапсырма.Өрнектің мәнін табыңыз:
3-тапсырма. Бос
орындарды
4-тапсырма. Өрнекті тиімді тәсілмен есептеп, төменгі тұжырымдардың қайсысы ақиқат, қайсысы жалған екендігін анықтаңыз:
|
Оқушылар дескрипторға сәйкес тапсырмаларды орындайды. Жаз
ылуы бойынша формулаларды жалғастырады (1) ҚКФ ажырата алады (1) Формуланы ауызша тұжырымдай алады
Оқулықтан есептерді шығарады.
|
|
Презентация Слайд Интернет ресурстары Оқулық; оқу құралдары; тақта; слайд; Карточкалар;7 сыныпқа арналған оқулық Презентация |
|||||||||||||||||||||
|
10 мин |
Оқулықпен жұмыс |
Оқулықтан есептер шығару: |
Тапсырманы орындайды |
Оқушының тақтадағы белсенділігіне байланысты ауызша бағалау |
Жалпы білім беретін мектептің 7–сыныбына арналған оқулық. Тақта Бор Кітап Дәптер Интерактивті тақта Бағалау парақтары |
|||||||||||||||||||||
|
5 минут |
|
Бүгінгі сабақта:
Кері байланыс. «Бес саусақ» әдісі арқылы 1. Маған ұнағаны 2. Маған қиындық тудырған 3. Мен үшін маңызды ақпарат 4. Білгім келеді 5. Ұсынысым Үй жұмысы. №5 /есептер жинағы/ Өрнектерді ықшамдаңыз
a)
b)
|
Тақырыпты меңгергенін анықтау |
Кері байланыс |
Оқулық; оқу құралдары; тақта; слайд; |
|||||||||||||||||||||
Сабақ жоспары
Бекітемін:
|
Педагогің Аты, Тегі; Әкесінің аты (бар болған жағдайда): |
|
||||||
|
Пән/Сынып: |
7 сынып. Қатысқандар саны: Қатыспағандар саны: |
||||||
|
Күні: |
|
||||||
|
Бөлім: |
Қысқаша көбейту формулалары |
||||||
|
Сабақтың тақырыбы: |
Қысқаша көбейту формулаларын қолданып өрнектерді түрлендіру |
||||||
|
Оқу бағдарламасына сәйкес оқыту мақсаты: |
7.2.1.15 қысқаша көбейту формулалары арқылы алгебралық өрнектерді тепе-тең түрлендірулерді орындау ;
|
||||||
|
Сабақтың мақсаттары: |
|
||||||
|
Сабақ барысы: |
|||||||
|
Уақыты |
Кезең дері |
Педагогтің әрекеті |
Оқушының әрекеті |
Бағалау |
Ресурстар |
||
|
5 минут |
Ұйым дастыру |
Сәлеметсіздерме! Бүгін, Қысқаша көбейту формулаларын қолданып өрнектерді түрлендіру тақырыбын қарастырамыз. Бүгінгі сабақта меңгеретініңіз:
|
Амандасады, сабаққа дайындалады. Сұрақтарға жауап береді Оқушылар бірін бірі тексереді. |
«Бағдаршам» арқылы қалыптастыру шы бағалау |
Оқулық; оқу құралдары; тақта; слайд; |
||
|
10 мин |
Жаңа сабақты бекіту. |
Тапсырма. Көбейткіштерге жіктендер: Берілген өрнектермен қалай көбейткіштерге жіктеу болады? Қандай ыдырау әдістері алгебриялық өрнектерді сіз білесіх және мысалындарды беріңіз. Тақырыпқа шығу «Қысқаша көбейту формулалары арқылы алгебралық өрнектерді тепе-тең түрлендірулерді орындау» |
⠀⠀ |
«Бағдаршам» арқылы қалыптастыру шы бағалау |
Интернет ресурстары Оқулық; оқу құралдары; тақта; слайд; Карточкалар;7 сыныпқа арналған оқулық Презентация |
||
|
15 минут |
Бекіту тапсырмасы |
Тапсырма. Жаттығу 1. Алгебралық өрнектерді көбейтінді түріне келтіріңіз.
Жаттығу 1. Көпмүшелерді көбейткіштерге жіктендер: а)
б)
в)
г)
д)
е)
Жаттығу 3. Көпмүшені көбейткіштерге жіктегенен кейінгі дұрыс өрнекті таңдаңыз.
|
Оқушылар дескрипторға сәйкес тапсырмаларды орындайды. Жаз
ылуы бойынша формулаларды жалғастырады (1) ҚКФ ажырата алады (1) Формуланы ауызша тұжырымдай алады
Оқулықтан есептерді шығарады.
|
Дескриптор: -қысқаша көбейту формуларынды біледі; -қысқаша көбейту формулалары арқылы алгебралық өрнектерді тепе-тең түрлендірулерді біледі.
|
Презентация Слайд Интернет ресурстары Оқулық; оқу құралдары; тақта; слайд; Карточкалар;7 сыныпқа арналған оқулық Презентация |
||
|
10 мин |
Оқулықпен жұмыс |
Оқулықтан есептер шығару: |
Тапсырманы орындайды |
Оқушының тақтадағы белсенділігіне байланысты ауызша бағалау |
Жалпы білім беретін мектептің 7–сыныбына арналған оқулық. Тақта Бор Кітап Дәптер Интерактивті тақта Бағалау парақтары |
||
|
5 минут |
|
Бүгінгі сабақта:
Кері байланыс. «Бес саусақ» әдісі арқылы 1. Маған ұнағаны 2. Маған қиындық тудырған 3. Мен үшін маңызды ақпарат 4. Білгім келеді 5. Ұсынысым Үй жұмысы. №4 /есептер жинағы/ Көпмүшелерді көбейткіштерге жіктендер:
а)
б)
в)
|
Тақырыпты меңгергенін анықтау |
Кері байланыс Дескриптор: -қысқаша көбейту формуларынды біледі; -қысқаша көбейту формулалары арқылы алгебралық өрнектерді тепе-тең түрлендірулерді біледі. |
Оқулық; оқу құралдары; тақта; слайд; |
||
Сабақ жоспары
Бекітемін:
|
Педагогің Аты, Тегі; Әкесінің аты (бар болған жағдайда): |
|
||||||||||||||||||||||||
|
Пән/Сынып: |
7 сынып. Қатысқандар саны: Қатыспағандар саны: |
||||||||||||||||||||||||
|
Күні: |
|
||||||||||||||||||||||||
|
Бөлім: |
Қысқаша көбейту формулалары |
||||||||||||||||||||||||
|
Сабақтың тақырыбы: |
Қысқаша көбейту формулаларын қолданып өрнектерді түрлендіру |
||||||||||||||||||||||||
|
Оқу бағдарламасына сәйкес оқыту мақсаты: |
7.2.1.15 қысқаша көбейту формулалары арқылы алгебралық өрнектерді тепе-тең түрлендірулерді орындау ;
|
||||||||||||||||||||||||
|
Сабақтың мақсаттары: |
|
||||||||||||||||||||||||
|
Сабақ барысы: |
|||||||||||||||||||||||||
|
Уақыты |
Кезең дері |
Педагогтің әрекеті |
Оқушының әрекеті |
Бағалау |
Ресурстар |
||||||||||||||||||||
|
5 минут |
Ұйым дастыру |
Сәлеметсіздерме! Бүгін, Қысқаша көбейту формулаларын қолданып өрнектерді түрлендіру тақырыбын қарастырамыз. Бүгінгі сабақта меңгеретініңіз:
|
Амандасады, сабаққа дайындалады. Сұрақтарға жауап береді Оқушылар бірін бірі тексереді. |
«Бағдаршам» арқылы қалыптастыру шы бағалау |
Оқулық; оқу құралдары; тақта; слайд; |
||||||||||||||||||||
|
10 мин |
Жаңа сабақты бекіту. |
Тапсырма. Тақырыпқа шығу мақсатында оқушылар келесі сұрақтарға жауап береді:
Оқушылар а) пунктегі тапсырмадағы әрбір қосылғыш 3-ке бөлінетінін көреді. Бірақ б) пункті оларға қиындық туғызады. Кейбір оқушылар кубтардың қосындысын көбейткіштерге жіктеу керектігін түсінуі мүмкін. с) пункті үшін квадраттардың айырмасын қолданып, дәлелдеуге болатынын түсінеді. Квадраттардың айырмасы Кейбір есептеулерді тиімді орындау үшін квадраттардың айырмасы формуласын қолдануға болады:
|
⠀⠀ |
«Бағдаршам» арқылы қалыптастыру шы бағалау |
Интернет ресурстары Оқулық; оқу құралдары; тақта; слайд; Карточкалар;7 сыныпқа арналған оқулық Презентация |
||||||||||||||||||||
|
15 минут |
Бекіту тапсырмасы |
Тапсырма.1. Тапсырма 2. Ауызша есептеңіз
2. Есептеңіз:
Қысқаша көбейту формулаларын сонымен қатар, бөлінгішті дәлелдеу үшін қолдануға болады:
Өрнектің мәні 100-ге бөлінеді, демек ол екі нөлмен аяқталады.
Оқушылар жұпта келесі өрнектердің бөлінгіштігін көрсетеді:
Оқушылар жұпта келесі өрнектердің мәнін квадраттардың айырмасы формуласын қолданып, табады:
А деңгейі
В деңгейі
|
Оқушылар дескрипторға сәйкес тапсырмаларды орындайды.
Жазылуы бойынша формулаларды жалғастырады (1) ҚКФ ажырата алады (1) Формуланы ауызша тұжырымдай алады
Оқулықтан есептерді шығарады.
|
Дескриптор: -қысқаша көбейту формуларынды біледі; -қысқаша көбейту формулалары арқылы алгебралық өрнектерді тепе-тең түрлендірулерді біледі.
|
Презентация Слайд Интернет ресурстары Оқулық; оқу құралдары; тақта; слайд; Карточкалар;7 сыныпқа арналған оқулық Презентация |
||||||||||||||||||||
|
10 мин |
Оқулықпен жұмыс |
Оқулықтан есептер шығару: |
Тапсырманы орындайды |
Оқушының тақтадағы белсенділігіне байланысты ауызша бағалау |
Жалпы білім беретін мектептің 7–сыныбына арналған оқулық. Тақта Бор Кітап Дәптер Интерактивті тақта Бағалау парақтары |
||||||||||||||||||||
|
5 минут |
|
Бүгінгі сабақта:
Кері байланыс. «Бес саусақ» әдісі арқылы 1. Маған ұнағаны 2. Маған қиындық тудырған 3. Мен үшін маңызды ақпарат 4. Білгім келеді 5. Ұсынысым Үй жұмысы. №8 /есептер жинағы/
|
Тақырыпты меңгергенін анықтау |
Кері байланыс
|
Оқулық; оқу құралдары; тақта; слайд; |
||||||||||||||||||||
Сабақ жоспары
Бекітемін:
|
Педагогің Аты, Тегі; Әкесінің аты (бар болған жағдайда): |
|
|||||||||||||||
|
Пән/Сынып: |
7 сынып. Қатысқандар саны: Қатыспағандар саны: |
|||||||||||||||
|
Күні: |
|
|||||||||||||||
|
Бөлім: |
Қысқаша көбейту формулалары |
|||||||||||||||
|
Сабақтың тақырыбы: |
Қысқаша көбейту формулаларын қолданып өрнектерді түрлендіру |
|||||||||||||||
|
Оқу бағдарламасына сәйкес оқыту мақсаты: |
7.2.1.15 қысқаша көбейту формулалары арқылы алгебралық өрнектерді тепе-тең түрлендірулерді орындау ;
|
|||||||||||||||
|
Сабақтың мақсаттары: |
|
|||||||||||||||
|
Сабақ барысы: |
||||||||||||||||
|
Уақыты |
Кезең дері |
Педагогтің әрекеті |
Оқушының әрекеті |
Бағалау |
Ресурстар |
|||||||||||
|
5 минут |
Ұйым дастыру |
Сәлеметсіздерме! Бүгін, Қысқаша көбейту формулаларын қолданып өрнектерді түрлендіру тақырыбын қарастырамыз. Бүгінгі сабақта меңгеретініңіз:
|
Амандасады, сабаққа дайындалады. Сұрақтарға жауап береді Оқушылар бірін бірі тексереді. |
«Бағдаршам» арқылы қалыптастыру шы бағалау |
Оқулық; оқу құралдары; тақта; слайд; |
|||||||||||
|
10 мин |
Жаңа сабақты бекіту. |
Тапсырма. Тақырыпқа шығу мақсатында оқушылар келесі сұрақтарға жауап береді:
Оқушылар а) пунктегі тапсырмадағы әрбір қосылғыш 3-ке бөлінетінін көреді. Бірақ б) пункті оларға қиындық туғызады. Кейбір оқушылар кубтардың қосындысын көбейткіштерге жіктеу керектігін түсінуі мүмкін. с) пункті үшін квадраттардың айырмасын қолданып, дәлелдеуге болатынын түсінеді. Квадраттардың айырмасы Кейбір есептеулерді тиімді орындау үшін квадраттардың айырмасы формуласын қолдануға болады:
|
⠀⠀ |
«Бағдаршам» арқылы қалыптастыру шы бағалау |
Интернет ресурстары Оқулық; оқу құралдары; тақта; слайд; Карточкалар;7 сыныпқа арналған оқулық Презентация |
|||||||||||
|
15 минут |
Бекіту тапсырмасы |
Тапсырма 1. Ортақ көбейткішті жақшаның сыртына шығарыңыз. а) б) в) г) Тапсырма 2. Көпмүшелерді топтау тәсілмен көбейткіштерге жіктеңіз: а) б) в) г) Тапсырма 3. Тендеуді шешіңіз
«Жасырын дифференциация» техникасын қолдану. Әр оқушы өзіне тапсырма таңдайды. Тапсырмаларды таңдау шарттары: әр оқушы өзіне 3 тапсырма таңдайды, есептер диагональ арқылы немесе вертикаль арқылы немесе горизонталь арқылы болу керек. Диагональ –жоғары деңгей тапсырмалар Горизонталь – орта деңгей тапсырмалар Вертикаль – төмен деңгей тапсырмалар
Көбейткіштерге жіктеңдер
|
Оқушылар дескрипторға сәйкес тапсырмаларды орындайды.
Жазылуы бойынша формулаларды жалғастырады (1) ҚКФ ажырата алады (1) Формуланы ауызша тұжырымдай алады
Оқулықтан есептерді шығарады.
|
Дескриптор: -қысқаша көбейту формуларынды біледі; -қысқаша көбейту формулалары арқылы алгебралық өрнектерді тепе-тең түрлендірулерді біледі.
|
Презентация Слайд Интернет ресурстары Оқулық; оқу құралдары; тақта; слайд; Карточкалар;7 сыныпқа арналған оқулық Презентация |
|||||||||||
|
10 мин |
Оқулықпен жұмыс |
Оқулықтан есептер шығару: |
Тапсырманы орындайды |
Оқушының тақтадағы белсенділігіне байланысты ауызша бағалау |
|
|||||||||||
|
5 минут |
|
Бүгінгі сабақта:
Кері байланыс. «Бес саусақ» әдісі арқылы 1. Маған ұнағаны 2. Маған қиындық тудырған 3. Мен үшін маңызды ақпарат 4. Білгім келеді 5. Ұсынысым Үй жұмысы. №4 /есептер жинағы/
|
Тақырыпты меңгергенін анықтау |
Кері байланыс
|
Оқулық; оқу құралдары; тақта; слайд; |
|||||||||||
Сабақ жоспары
Бекітемін:
|
Педагогің Аты, Тегі; Әкесінің аты (бар болған жағдайда): |
|
|||||||||||||||||||||||||||||||||||||||||
|
Пән/Сынып: |
7 сынып. Қатысқандар саны: Қатыспағандар саны: |
|||||||||||||||||||||||||||||||||||||||||
|
Күні: |
|
|||||||||||||||||||||||||||||||||||||||||
|
Бөлім: |
Қысқаша көбейту формулалары |
|||||||||||||||||||||||||||||||||||||||||
|
Сабақтың тақырыбы: |
Мәтінді есептерді шығару |
|||||||||||||||||||||||||||||||||||||||||
|
Оқу бағдарламасына сәйкес оқыту мақсаты: |
7.4.3.1есеп шарты бойынша математикалық модель құру; 7.4.2.2 мәтінді есептерді теңдеулер және теңсіздіктер құру арқылы шығару; |
|||||||||||||||||||||||||||||||||||||||||
|
Сабақтың мақсаттары: |
|
|||||||||||||||||||||||||||||||||||||||||
|
Сабақ барысы: |
||||||||||||||||||||||||||||||||||||||||||
|
Уақыты |
Кезең дері |
Педагогтің әрекеті |
Оқушының әрекеті |
Бағалау |
Ресурстар |
|||||||||||||||||||||||||||||||||||||
|
5 минут |
Ұйым дастыру |
Сәлеметсіздерме! Бүгін, Мәтінді есептерді шығару тақырыбын қарастырамыз. Бүгінгі сабақта меңгеретініңіз:
|
Амандасады, сабаққа дайындалады. Сұрақтарға жауап береді Оқушылар бірін бірі тексереді. |
«Бағдаршам» арқылы қалыптастыру шы бағалау |
Оқулық; оқу құралдары; тақта; слайд; |
|||||||||||||||||||||||||||||||||||||
|
5 мин |
Жаңа сабақ. |
Физикалық есепті бірлесіп талдау (видео талдау) Тапсырма: Тордың көлемін анықтауға арналған есепті шешіңіздер. (Бір оқушы тақтада, қалғандары орындарында жеке орындайды, кейін салыстырады, жұппен қарастыруға болады).
Есептің берілген (мұғалім тақтаға жазады):
Шешуі:
Егер a=17, b=7, онда
|
⠀⠀ |
«Бағдаршам» арқылы қалыптастыру шы бағалау |
Интернет ресурстары Оқулық; оқу құралдары; тақта; слайд; Карточкалар;7 сыныпқа арналған оқулық Презентация |
|||||||||||||||||||||||||||||||||||||
|
10 минут |
Бекіту тапсырмасы |
1 есеп (теңдеу құруға): Егер қабырғасы х см шаршыға 3см-ге арттырса, онда пайда болған шаршының ауданы шаршының ауданынан 39см2-ге артық болады. Кіші шаршының периметрін анықтаңыздар. Шешуі: Бірінші шаршының қабырғасы х см болсын.
(х+3)2 өрнегі х2-тан 39 см2-ге артық екені белгілі. Теңдеу:
5 см - бірінші шаршының қабырғасы, 5+3 = 8 см – екінші шаршының қабырғасы Р= 4*5=20 см. Жауабы: кіші шаршының периметрі 20 см.
2 есеп: (теңсіздік құруға) Шаршының қабырғасын 4см-ге арттырды. Пайда болған шаршының ауданы бастапқы шаршының ауданынан 32см2-ге артық болатындай бастапқы шаршының қабырғасының ұзындығы қанша болуы керек?
Шешуі: Бірінші шаршының қабырғасы х см болсын.
(х+4)2 өрнегі х2 –тан 32 см2-ге артық екені белгілі. Теңсіздік:
Жауабы: бірінші шаршының қабырғасы 2см-ден артық болуы тиіс. 3.Тізбектес екі натурал сандардың квадраттарының айырмасы 5-ке тең. Осы сандардың квадраттарының қосындысын табыңдар.
Шешуі: Бірінші сан n болсын.
Теңдеу:
Бірінші сан – 2, екінші сан – 3. Квадраттарының қосындысы: 4+9=13 Жауабы: 13
|
Оқушылар дескрипторға сәйкес тапсырмаларды орындайды.
Жазылуы бойынша формулаларды жалғастырады (1) ҚКФ ажырата алады (1) Формуланы ауызша тұжырымдай алады
Оқулықтан есептерді шығарады.
|
Дескриптор: -қысқаша көбейту формуларынды біледі; -қысқаша көбейту формулалары арқылы алгебралық өрнектерді тепе-тең түрлендірулерді біледі.
|
Презентация Слайд Интернет ресурстары Оқулық; оқу құралдары; тақта; слайд; Карточкалар;7 сыныпқа арналған оқулық Презентация |
|||||||||||||||||||||||||||||||||||||
|
20 мин |
Оқулықпен жұмыс |
Оқулықтан есептер шығару:-тен ББЖБ |
Тапсырманы орындайды |
Оқушының тақтадағы белсенділігіне байланысты ауызша бағалау |
|
|||||||||||||||||||||||||||||||||||||
|
5 минут |
|
Бүгінгі сабақта:
Кері байланыс. «Бес саусақ» әдісі арқылы 1. Маған ұнағаны 2. Маған қиындық тудырған 3. Мен үшін маңызды ақпарат 4. Білгім келеді 5. Ұсынысым Үй жұмысы. №4 /есептер жинағы/
|
Тақырыпты меңгергенін анықтау |
Кері байланыс
|
Оқулық; оқу құралдары; тақта; слайд; |
|||||||||||||||||||||||||||||||||||||
Сабақ жоспары
Бекітемін:
|
Педагогің Аты, Тегі; Әкесінің аты (бар болған жағдайда): |
|
|||||
|
Пән/Сынып: |
7 сынып. Қатысқандар саны: Қатыспағандар саны: |
|||||
|
Күні: |
|
|||||
|
Бөлім: |
Қысқаша көбейту формулалары |
|||||
|
Сабақтың тақырыбы: |
Мәтінді есептерді шығару |
|||||
|
Оқу бағдарламасына сәйкес оқыту мақсаты: |
7.4.3.1есеп шарты бойынша математикалық модель құру; 7.4.2.2 мәтінді есептерді теңдеулер және теңсіздіктер құру арқылы шығару; |
|||||
|
Сабақтың мақсаттары: |
|
|||||
|
Сабақ барысы: |
||||||
|
Уақыты |
Кезең дері |
Педагогтің әрекеті |
Оқушының әрекеті |
Бағалау |
Ресурстар |
|
|
5 минут |
Ұйым дастыру |
Сәлеметсіздерме! Бүгін, Мәтінді есептерді шығару тақырыбын қарастырамыз. Бүгінгі сабақта меңгеретініңіз:
|
Амандасады, сабаққа дайындалады. Сұрақтарға жауап береді Оқушылар бірін бірі тексереді. |
«Бағдаршам» арқылы қалыптастыру шы бағалау |
Оқулық; оқу құралдары; тақта; слайд; |
|
|
5 мин |
Жаңа сабақ. |
Физикалық есепті бірлесіп талдау (видео талдау) Тапсырма: Тордың көлемін анықтауға арналған есепті шешіңіздер. (Бір оқушы тақтада, қалғандары орындарында жеке орындайды, кейін салыстырады, жұппен қарастыруға болады).
Есептің берілген (мұғалім тақтаға жазады):
Шешуі:
Егер a=17, b=7, онда
|
⠀⠀ |
«Бағдаршам» арқылы қалыптастыру шы бағалау |
Интернет ресурстары Оқулық; оқу құралдары; тақта; слайд; Карточкалар;7 сыныпқа арналған оқулық Презентация |
|
|
20 минут |
Бекіту тапсырмасы |
1) Өрнекті
ықшамдаңыз: 2) Көбейткіштерге жіктеңіз: - 144+121х2 Жауабы: (11x-12) (11x+12) 3)
Есептеңіз 4) Берілген функцияның
анықталу облысын табыңыз: 5) 6)
Тиімді тәсілмен есептеңіз:
18,6 7) Теңдеуді
шешіңіз: 4 Жауабы: -1,5 және 1,5 8) 9)Есептеңіз Есеп 3 5-пен аяқталатын кез келген
натурал санды 10а+5 түрінде жазуға болады Мысалы
25=10 Дәлелдеуі (10а+5)2=100а2+100а+25=100а(а+1)+25=а(а+1)100+25 Есеп 4 Тік төртбұрыштың ұзындығы енінен 3есе үлкен. Егер оның енін 4метрге ұзартып, ал ұзындығын 5м қысқартсақ, онда тік төртбұрышың ауданы 15м2-ге артады. Тік төртбұрыштың өлшемдерін табыңыздар. Шешуі: енін х-деп,ал ұзындығын 3х-деп белгілейік, онда келесі теңдеуді құрайық (х+4)(3х-5)-3х2=15 х=5м(ені); 3х=15м(ұзындығы) Есеп-1 Тіктөртбұрыштың периметрі 28 см-ге тең. Егер оның ұзындығын 3 см-ге кішірейтіп, енін 2 см-ге арттырсақ, онда оның ауданы 8 см2 кемиді. Тіктөртбұрыштың ауданы қандай? |
Оқушылар дескрипторға сәйкес тапсырмаларды орындайды. Жазылуы бойынша формулаларды жалғастырады (1) ҚКФ ажырата алады (1) Формуланы ауызша тұжырымдай алады Оқулықтан есептерді шығарады.
|
Дескриптор: -қысқаша көбейту формуларынды біледі; -қысқаша көбейту формулалары арқылы алгебралық өрнектерді тепе-тең түрлендірулерді біледі.
|
Презентация Слайд Интернет ресурстары Оқулық; оқу құралдары; тақта; слайд; Карточкалар;7 сыныпқа арналған оқулық Презентация |
|
|
10 мин |
Оқулықпен жұмыс |
Оқулықтан есептер шығару:
|
Тапсырманы орындайды |
Оқушының тақтадағы белсенділігіне байланысты ауызша бағалау |
Жалпы білім беретін мектептің 7–сыныбына арналған оқулық. Тақта Бор Кітап Дәптер Интерактивті тақта Бағалау парақтары |
|
|
5 минут |
|
Бүгінгі сабақта:
Кері байланыс. «Бес саусақ» әдісі арқылы 1. Маған ұнағаны 2. Маған қиындық тудырған 3. Мен үшін маңызды ақпарат 4. Білгім келеді 5. Ұсынысым Үй жұмысы. №4 /есептер жинағы/ |
Тақырыпты меңгергенін анықтау |
Кері байланыс |
Оқулық; оқу құралдары; тақта; слайд; |
|
Сабақ жоспары
Бекітемін:
|
Педагогің Аты, Тегі; Әкесінің аты (бар болған жағдайда): |
|
|||||||||||||||||
|
Пән/Сынып: |
7 сынып. Қатысқандар саны: Қатыспағандар саны: |
|||||||||||||||||
|
Күні: |
|
|||||||||||||||||
|
Бөлім: |
Қысқаша көбейту формулалары |
|||||||||||||||||
|
Сабақтың тақырыбы: |
Мәтінді есептерді шығару |
|||||||||||||||||
|
Оқу бағдарламасына сәйкес оқыту мақсаты: |
7.4.3.1есеп шарты бойынша математикалық модель құру; 7.4.2.2 мәтінді есептерді теңдеулер және теңсіздіктер құру арқылы шығару; |
|||||||||||||||||
|
Сабақтың мақсаттары: |
|
|||||||||||||||||
|
Сабақ барысы: |
||||||||||||||||||
|
Уақыты |
Кезең дері |
Педагогтің әрекеті |
Оқушының әрекеті |
Бағалау |
Ресурстар |
|||||||||||||
|
5 минут |
Ұйым дастыру |
Сәлеметсіздерме! Бүгін, Мәтінді есептерді шығару тақырыбын қарастырамыз. Бүгінгі сабақта меңгеретініңіз:
|
Амандасады, сабаққа дайындалады. Сұрақтарға жауап береді Оқушылар бірін бірі тексереді. |
«Бағдаршам» арқылы қалыптастыру шы бағалау |
Оқулық; оқу құралдары; тақта; слайд; |
|||||||||||||
|
5 мин |
Жаңа сабақ. |
Физикалық есепті бірлесіп талдау (видео талдау) Тапсырма: Тордың көлемін анықтауға арналған есепті шешіңіздер. (Бір оқушы тақтада, қалғандары орындарында жеке орындайды, кейін салыстырады, жұппен қарастыруға болады).
Есептің берілген (мұғалім тақтаға жазады):
Шешуі:
Егер a=17, b=7, онда
|
⠀⠀ |
«Бағдаршам» арқылы қалыптастыру шы бағалау |
Интернет ресурстары Оқулық; оқу құралдары; тақта; слайд; Карточкалар;7 сыныпқа арналған оқулық Презентация |
|||||||||||||
|
20 минут |
Бекіту тапсырмасы |
Графикалық диктант. Дұрыс жауап ^ белгісімен белгіленеді, қате жауап _-_ белгісімен белгіленеді
Бір-бірін тексеру Тексеру кілті: _- ^- ^--^ ^ Есеп 1 Үш таңбалы сан және осы цифрлардан, бірақ кері ретпен орналасқан цифрлардан құралған сандардың айырмасы 99-ға қалдықсыз бөлінетінін дәлелдеңіз. Шешімі:Үш таңбалы санды 100х+10у+z түрінде жазамыз, онда осы санға кері ретпен орналасқан цифрландан құралған санды 100z+10y+x түрінде жазамыз. Осы екі саның айырмасын келесідей жазамыз 100х+10у+z-(100z+10y+x)=99х-99z=99(x-z) Есеп 2 Боялған фигураның ауданың табыңыз
Есеп.3. Қаладағы кинотеатрда екі кинозал бар. Екеуі де шаршы түрінде, қатардағы орындармен бағандағы орындар сәйкес келеді. Алайда бір залға екінші залға қарағанда 175 адам артық сыяды, себебі қатар саны мен қатардағы орын 5-ке артық. Кинотеатрға бір мезетте екі кинозалға да қанша көрермен қатыса алады? Шешуі: Бірінші залда х қатар болсын.
Теңдеу:
Кіші залда 15 қатарда 15 орыннан, екінші залда 18 қатарда 18 орыннан. Барлық орын 15*15+18*18=549. Жауабы: Кинотеатрға бір мезетте 549 көрермен қатыса алады.
|
Оқушылар дескрипторға сәйкес тапсырмаларды орындайды.
Жазылуы бойынша формулаларды жалғастырады (1) ҚКФ ажырата алады (1) Формуланы ауызша тұжырымдай алады
Оқулықтан есептерді шығарады.
|
Дескриптор: -қысқаша көбейту формуларынды біледі; -дұрыс жауабын табады.
Дескриптор: -қысқаша көбейту формуларынды біледі; -қысқаша көбейту формулалары арқылы алгебралық өрнектерді тепе-тең түрлендірулерді біледі.
|
Презентация Слайд Интернет ресурстары Оқулық; оқу құралдары; тақта; слайд; Карточкалар;7 сыныпқа арналған оқулық Презентация |
|||||||||||||
|
10 мин |
Оқулықпен жұмыс |
Оқулықтан есептер шығару:
|
Тапсырманы орындайды |
Оқушының тақтадағы белсенділігіне байланысты ауызша бағалау |
Жалпы білім беретін мектептің 7–сыныбына арналған оқулық. Тақта Бор Кітап Дәптер Интерактивті тақта Бағалау парақтары |
|||||||||||||
|
5 минут |
|
Бүгінгі сабақта:
«Бес саусақ» әдісі арқылы 1. Маған ұнағаны 2. Маған қиындық тудырған 3. Мен үшін маңызды ақпарат 4. Білгім келеді 5. Ұсынысым Үй жұмысы. №5.163,№5.164.
|
Тақырыпты меңгергенін анықтау |
Кері байланыс
|
Оқулық; оқу құралдары; тақта; слайд; |
|||||||||||||
Сабақ жоспары
Бекітемін:
|
Педагогің Аты, Тегі; Әкесінің аты (бар болған жағдайда): |
|
|||||
|
Пән/Сынып: |
7 сынып. Қатысқандар саны: Қатыспағандар саны: |
|||||
|
Күні: |
|
|||||
|
Бөлім: |
Қысқаша көбейту формулалары |
|||||
|
Сабақтың тақырыбы: |
Мәтінді есептерді шығару |
|||||
|
Оқу бағдарламасына сәйкес оқыту мақсаты: |
7.4.3.1есеп шарты бойынша математикалық модель құру; 7.4.2.2 мәтінді есептерді теңдеулер және теңсіздіктер құру арқылы шығару; |
|||||
|
Сабақтың мақсаттары: |
|
|||||
|
Сабақ барысы: |
||||||
|
Уақыты |
Кезең дері |
Педагогтің әрекеті |
Оқушының әрекеті |
Бағалау |
Ресурстар |
|
|
5 минут |
Ұйым дастыру |
Сәлеметсіздерме! Бүгін, Мәтінді есептерді шығару тақырыбын қарастырамыз. Бүгінгі сабақта меңгеретініңіз:
|
Амандасады, сабаққа дайындалады. Сұрақтарға жауап береді Оқушылар бірін бірі тексереді. |
«Бағдаршам» арқылы қалыптастыру шы бағалау |
Оқулық; оқу құралдары; тақта; слайд; |
|
|
5 мин |
Жаңа сабақ. |
Тапсырма
1:
Есептеңіздер: Түрткі сұрақтар арқылы мұғалім оқушыларды өрнекті екі өрнектің айырмасы формуласын тануға жетелейді
Және қысқаша көбейту формулалары есептеулерді жеңілдететініне көздерін жеткізеді.
Тапсырма 2: Натурал санды 5-ке бөлгенде 1 қалдық, ал басқа санды 5-ке бөлгенде 2 қалдық береді. Осы сандардың квадраттарының қосындысы 5-ке бөлінетінін дәлелдеңіздер.
Бұл тапсырманы санды 5-ке
бөлгенде 1 қалдық қалады деген өрнектің қалай жазылатынынан бастау
қажет
Содан соң мұғалім қысқаша көбейту формулалары қолданылатын жағдайларды жалпылауды ұсынады және сабақ мақсатын тұжырымдауды сұрайды. (мұғалім мақсатты сауатты тұжырымдауға көмектесе алады). Сонымен қатар оқушылар қысқаша көбейту формулаларын білу қажеттілігін түсінуі керек.
|
⠀⠀ |
«Бағдаршам» арқылы қалыптастыру шы бағалау |
Интернет ресурстары Оқулық; оқу құралдары; тақта; слайд; Карточкалар;7 сыныпқа арналған оқулық Презентация |
|
|
20 минут |
Бекіту тапсырмасы |
2.Тізбектелген екі натурал санның көбейтіндісі келесі екі тізбектелген сандардың көбейтіндісінен 38-ге кем. Осы сандарды табыңыздар. 1.
2. Теңдеу құрамыз Геометриялық есеп Тікбұрышты параллелепипедтің ұзындығы енінен 5см-ге артық және биіктігінен 5см-ге кіші. Бүйір бетінің ауданы 244см2. Параллелепипедтің өлшемдерін табыңыздар.
Шешуі: АВ (ұзындығы) x см болсын, онда AA1(биіктігі) - (x+5) cм, AD(ені) - (x-5) см. S = 2SABCD + 2SAA1D1D + 2SAA1B1B, шарты бойынша – 244 см² SABCD = x(x-5); SAA1D1D = (x-5)(x+5); SAA1B1B = x(x+5) Теңдеу: 2x(x-5) + 2(x-5)(x+5) + 2x(x+5) = 244 x(x-5) + (x-5)(x+5) + x(x+5) = 122 x² – 5x + x² – 5² + x² + 5x = 122 3x² = 122+25 3x² = 147 x² = 49, x > 0 (мағынасы бойынша) x = 7 AB = 7 см – ұзындығы AA1 = 7 см + 5 см = 12 см – биіктігі AD = 7 см – 5 см = 2 см – ені Жауабы: 7 см; 12 см; 2 см). |
Оқушылар дескрипторға сәйкес тапсырмаларды орындайды. Жазылуы бойынша формулаларды жалғастырады (1) ҚКФ ажырата алады (1) Формуланы ауызша тұжырымдай алады Оқулықтан есептерді шығарады.
|
Дескриптор: -қысқаша көбейту формуларынды біледі; -дұрыс жауабын табады. Дескриптор: -қысқаша көбейту формуларынды біледі; -қысқаша көбейту формулалары арқылы алгебралық өрнектерді тепе-тең түрлендірулерді біледі.
|
Презентация Слайд Интернет ресурстары Оқулық; оқу құралдары; тақта; слайд; Карточкалар;7 сыныпқа арналған оқулық Презентация |
|
|
10 мин |
Оқулықпен жұмыс |
Оқулықтан есептер шығару:
|
Тапсырманы орындайды |
Оқушының тақтадағы белсенділігіне байланысты ауызша бағалау |
Жалпы білім беретін мектептің 7–сыныбына арналған оқулық. Тақта Бор Кітап Дәптер Интерактивті тақта Бағалау парақтары |
|
|
5 минут |
|
Бүгінгі сабақта:
«Бес саусақ» әдісі арқылы 1. Маған ұнағаны 2. Маған қиындық тудырған 3. Мен үшін маңызды ақпарат 4. Білгім келеді 5. Ұсынысым Үй жұмысы. № |
Тақырыпты меңгергенін анықтау |
Кері байланыс |
Оқулық; оқу құралдары; тақта; слайд; |
|
жүктеу мүмкіндігіне ие боласыз
Бұл материал сайт қолданушысы жариялаған. Материалдың ішінде жазылған барлық ақпаратқа жауапкершілікті жариялаған қолданушы жауап береді. Ұстаз тілегі тек ақпаратты таратуға қолдау көрсетеді. Егер материал сіздің авторлық құқығыңызды бұзған болса немесе басқа да себептермен сайттан өшіру керек деп ойласаңыз осында жазыңыз
7 сынып Алгебра ҚМЖ 3 тоқсан
7 сынып Алгебра ҚМЖ 3 тоқсан
Сабақ жоспары №1
Бекітемін:
|
Бөлім: |
Қысқаша көбейту формулалары |
||||||||||||
|
Педагогің Аты, Тегі; Әкесінің аты (бар болған жағдайда): |
|
||||||||||||
|
Пән/Сынып: |
7 сынып. Қатысқандар саны: Қатыспағандар саны: |
||||||||||||
|
Күні: |
|
||||||||||||
|
Сабақтың тақырыбы: |
Екі өрнектің квадраттарының айырмасы. |
||||||||||||
|
Оқу бағдарламасына сәйкес оқыту мақсаты: |
7.2.1.10
қысқаша көбейту формулаларын білу және қолдану; |
||||||||||||
|
Сабақтың мақсаттары: |
-екі өрнектің квадраттарының айырмасының формуласын білу -екі өрнектің квадраттарының айырмасы формуласын есеп шығаруда қолдану |
||||||||||||
|
Құндылықтарды дарыту |
«Ар-ұят» құндылығына: Топпен, жұппен жұмыс орындау барысында құрмет, серіктестік және жеке жұмыс орындау кезінде жауапкершілік, шешім қабылдай білу және жауапкершілікті сезіну; Достарына,сыныптастарына мейірімділік таныту құндылықтарын дарыту. |
||||||||||||
|
Сабақ барысы: |
|||||||||||||
|
Уақыты |
Кезең дері |
Педагогтің әрекеті |
Оқушының әрекеті |
Бағалау |
Ресурстар |
||||||||
|
5 минут |
Ұйым дастыру |
Сәлеметсіздерме! Бүгін, Екі өрнектің квадраттарының айырмасы тақырыбын қарастырамыз Бүгінгі сабақта меңгеретініңіз: - екі өрнектің квадраттарының айырмасы формуласы. - екі өрнектің квадраттарының айырмасы формуласын қолдану. Үй тапсырмасын тексеру. Сұрақтар.
|
Амандасады, сабаққа дайындалады. Сұрақтарға жауап береді |
|
Тақта Бор Кітап Дәптер Интерактивті тақта Бағалау парақтары |
||||||||
|
10 мин |
Жаңа сабақ |
Жаңа сабақ. Видеотүсіндіру. a – b айырмасын a + b қосындысына көбейт: (a – b)(a + b) = a2 + ab – ab + b2 = a2 – b2 немесе a2 – b2 = (a – b)(a + b). a2 – b2 = (a – b)(a + b) теңдігі екі өрнектің квадраттары айырмасының формуласы деп аталады және «екі өрнектің квадраттарының айырмасы олардың айырмасы мен қосындысының көбейтіндісіне тең» деп оқылады. 1-мысал. Көбейтуді орында: a) (5 – 3b)(5 + 3b) = 52 – (3b)2 = 25 – 9b2. b) (7 + 4c)(7 – 4c) = 72 – (4c)2 = 49 – 16c2. 2-мысал. Көбейткіштерге жікте: a) 81 – n2 = 92 – n2 = (9 – n)(9 + n). b) 100m2 – 16x2 y4 = (10m)2 – (4xy2)2 = (10m – 4xy2)(10m + 4xy2 ). 3-мысал. Теңдеуді шеш: x2 – 100 = 0. Шешуі. Алдымен теңдеудің сол жағын көбейткіштерге жікте: x2 – 100 = x2 – 102 = (x – 10)(x + 10). Кейін (x – 10)(x + 10) = 0 теңдеуін шеш. Көбейткіштердің бірі нөлге тең болғанда ғана көбейтіндінің мәні нөлге тең болады: x – 10 = 0 немесе x + 10 = 0, осыдан x = 10 немесе x = –10. Теңдеудің екі шешімі бар: 10 және –10. Жауабы: –10 және 10.
|
Тақырып бойынша ресурстарды қарап, танысады
|
«Бағдаршам» арқылы қалыптастыру шы бағалау
|
Жалпы білім беретін мектептің 7–сыныбына арналған оқулық. Тақта Бор Кітап Дәптер Интерактивті тақта Бағалау парақтары |
||||||||
|
15 минут |
Бекіту тапсырмасы |
Тапсырма 1.
Егер
Тапсырма 2. Көпмүше түрінде жазыңыздар:
Тапсырма 3
|
Оқушылар дескрипторға сәйкес тапсырмаларды орындайды. Кестені дескрипторға сәйкес толтырады. Оқулықтан есептерді шығарады.
|
Дескриптор: -Қысқаша көбейту формулаларын қолдана алады -Есептеулерде қысқаша көбейту формалаларын қолдана алады -Дәлелдеуді жүргізе алады. ҚБ:«Бас бармақ» әдісі
|
Презентация Слайд Интернет ресурстары Жалпы білім беретін мектептің 7–сыныбына арналған оқулық. Карточкалар;7 сыныпқа арналған оқулық Презентация |
||||||||
|
10 мин |
Оқулықпен жұмыс |
|
Тапсырманы орындайды
|
Оқушының тақтадағы белсенділігіне байланысты ауызша бағалау |
Жалпы білім беретін мектептің 7–сыныбына арналған оқулық. Тақта Бор Кітап Дәптер Интерактивті тақта Бағалау парақтары |
||||||||
|
5 минут |
|
Бүгінгі сабақта: - қысқаша көбейту формулаларын ауызша тұжырымдай біледі; - ауызша тұжырымдалған қысқаша көбейту формулаларын жаза біледі; Сабақ соңында оқушылар рефлексия жүргізеді: Рефлексия:
Үйге тапсырма.№31.4 |
Тақырыпты меңгергенін анықтау |
Кері байланыс |
Жалпы білім беретін мектептің 7–сыныбына арналған оқулық. Тақта Бор Кітап Дәптер Интерактивті тақта Бағалау парақтары |
||||||||
Сабақ жоспары №2
Бекітемін:
|
Педагогің Аты, Тегі; Әкесінің аты (бар болған жағдайда): |
|
|||||
|
Пән/Сынып: |
7 сынып. Қатысқандар саны: Қатыспағандар саны: |
|||||
|
Күні: |
|
|||||
|
Бөлім: |
Қысқаша көбейту формулалары |
|||||
|
Сабақтың тақырыбы: |
Екі өрнектің квадраттарының айырмасы. |
|||||
|
Оқу бағдарламасына сәйкес оқыту мақсаты: |
7.2.1.10
қысқаша көбейту формулаларын білу және қолдану; |
|||||
|
Сабақтың мақсаттары: |
-екі өрнектің квадраттарының айырмасының формуласын білу -екі өрнектің квадраттарының айырмасы формуласын есеп шығаруда қолдану |
|||||
|
Сабақ барысы: |
||||||
|
Уақыты |
Кезең дері |
Педагогтің әрекеті |
Оқушының әрекеті |
Бағалау |
Ресурстар |
|
|
5 минут |
Ұйым дастыру |
Сәлеметсіздерме! Бүгін, Екі өрнектің квадраттарының айырмасы тақырыбын қарастырамыз Бүгінгі сабақта меңгеретініңіз: - екі өрнектің квадраттарының айырмасы формуласы. - екі өрнектің квадраттарының айырмасы формуласын қолдану. Үй тапсырмасын тексеру. №31.4. Сұрақтар. Тең өрнектерді сәйкестендіріңіз.
|
Амандасады, сабаққа дайындалады. Сұрақтарға жауап береді |
|
Жалпы білім беретін мектептің 7–сыныбына арналған оқулық. Тақта Бор Кітап Дәптер Интерактивті тақта Бағалау парақтары |
|
|
10 мин |
Жаңа сабақты бекіту |
a – b айырмасын a + b қосындысына көбейт: (a – b)(a + b) = a2 + ab – ab + b2 = a2 – b2 немесе a2 – b2 = (a – b)(a + b). a2 – b2 = (a – b)(a + b) теңдігі екі өрнектің квадраттары айырмасының формуласы деп аталады және «екі өрнектің квадраттарының айырмасы олардың айырмасы мен қосындысының көбейтіндісіне тең» деп оқылады. 1-мысал. Көбейтуді орында: a) (5 – 3b)(5 + 3b) = 52 – (3b)2 = 25 – 9b2. b) (7 + 4c)(7 – 4c) = 72 – (4c)2 = 49 – 16c2. 2-мысал. Көбейткіштерге жікте: a) 81 – n2 = 92 – n2 = (9 – n)(9 + n). b) 100m2 – 16x2 y4 = (10m)2 – (4xy2)2 = (10m – 4xy2)(10m + 4xy2 ). 3-мысал. Теңдеуді шеш: x2 – 100 = 0. Шешуі. Алдымен теңдеудің сол жағын көбейткіштерге жікте: x2 – 100 = x2 – 102 = (x – 10)(x + 10). Кейін (x – 10)(x + 10) = 0 теңдеуін шеш. Көбейткіштердің бірі нөлге тең болғанда ғана көбейтіндінің мәні нөлге тең болады: x – 10 = 0 немесе x + 10 = 0, осыдан x = 10 немесе x = –10. Теңдеудің екі шешімі бар: 10 және –10. Жауабы: –10 және 10.
|
Тақырып бойынша ресурстарды қарап, танысады
|
«Бағдаршам» арқылы қалыптастыру шы бағалау
|
Жалпы білім беретін мектептің 7–сыныбына арналған оқулық. |
|
|
15 минут |
Бекіту тапсырмасы |
Тапсырмалар. 1.Тиімді тәсілмен есептеңіздер 2. Теңдеулерді шешіңіздер
3. Көбейтінді түрінде жазыңыздар.
Оқулықпен жұмыс. №5.39.
Оқулықпен жұмыс. Тиімді тәсілмен шығарыңдар:
|
Оқушылар дескрипторға сәйкес тапсырмаларды орындайды. Кестені дескрипторға сәйкес толтырады. Оқулықтан есептерді шығарады.
|
Дескриптор: -Қысқаша көбейту формулаларын қолдана алады -Есептеулерде қысқаша көбейту формалаларын қолдана алады -Дәлелдеуді жүргізе алады. ҚБ:«Бас бармақ» әдісі
|
Презентация Слайд Интернет ресурстары Жалпы білім беретін мектептің 7–сыныбына арналған оқулық. Карточкалар;7 сыныпқа арналған оқулық Презентация |
|
|
10 мин |
Оқулықпен жұмыс |
|
Тапсырманы орындайды |
Оқушының тақтадағы белсенділігіне байланысты ауызша бағалау |
Жалпы білім беретін мектептің 7–сыныбына арналған оқулық. Тақта Бор Кітап Дәптер Интерактивті тақта Бағалау парақтары |
|
|
5 минут |
|
Бүгінгі сабақта: - қысқаша көбейту формулаларын ауызша тұжырымдай біледі; - ауызша тұжырымдалған қысқаша көбейту формулаларын жаза біледі; Сабақ соңында оқушылар рефлексия жүргізеді: Рефлексия:
Үйге тапсырма.№31.11 |
Тақырыпты меңгергенін анықтау |
Кері байланыс |
|
|
Сабақ жоспары №3
Бекітемін:
|
Бөлім: |
Қысқаша көбейту формулалары |
|||||||||||
|
Педагогің Аты, Тегі; Әкесінің аты (бар болған жағдайда): |
|
|||||||||||
|
Пән/Сынып: |
7 сынып. Қатысқандар саны: Қатыспағандар саны: |
|||||||||||
|
Күні: |
|
|||||||||||
|
Сабақтың тақырыбы: |
Екі өрнектің квадраттарының айырмасы. |
|||||||||||
|
Оқу бағдарламасына сәйкес оқыту мақсаты: |
7.2.1.10
қысқаша көбейту формулаларын білу және қолдану; |
|||||||||||
|
Сабақтың мақсаттары: |
-екі өрнектің квадраттарының айырмасы формуласын білу -екі өрнектің квадраттарының айырмасы формуласын есеп шығаруда қолдану. |
|||||||||||
|
Сабақ барысы: |
||||||||||||
|
Уақыты |
Кезең дері |
Педагогтің әрекеті |
Оқушының әрекеті |
Бағалау |
Ресурстар |
|||||||
|
5 минут |
Ұйым дастыру |
Сәлеметсіздерме! Бүгін, Екі өрнектің квадраттарының айырмасы тақырыбын қарастырамыз Бүгінгі сабақта меңгеретініңіз: - екі өрнектің квадраттарының айырмасы формуласы. - екі өрнектің квадраттарының айырмасы формуласын қолдану. Үй тапсырмасын тексеру. №31.11.
|
Амандасады, сабаққа дайындалады. Сұрақтарға жауап береді |
|
|
|||||||
|
10 мин |
Жаңа сабақты бекіту |
a – b айырмасын a + b қосындысына көбейт: (a – b)(a + b) = a2 + ab – ab + b2 = a2 – b2 немесе a2 – b2 = (a – b)(a + b). a2 – b2 = (a – b)(a + b) теңдігі екі өрнектің квадраттары айырмасының формуласы деп аталады және «екі өрнектің квадраттарының айырмасы олардың айырмасы мен қосындысының көбейтіндісіне тең» деп оқылады. 1-мысал. Көбейтуді орында: a) (5 – 3b)(5 + 3b) = 52 – (3b)2 = 25 – 9b2. b) (7 + 4c)(7 – 4c) = 72 – (4c)2 = 49 – 16c2. 2-мысал. Көбейткіштерге жікте: a) 81 – n2 = 92 – n2 = (9 – n)(9 + n). b) 100m2 – 16x2 y4 = (10m)2 – (4xy2)2 = (10m – 4xy2)(10m + 4xy2 ). 3-мысал. Теңдеуді шеш: x2 – 100 = 0. Шешуі. Алдымен теңдеудің сол жағын көбейткіштерге жікте: x2 – 100 = x2 – 102 = (x – 10)(x + 10). Кейін (x – 10)(x + 10) = 0 теңдеуін шеш. Көбейткіштердің бірі нөлге тең болғанда ғана көбейтіндінің мәні нөлге тең болады: x – 10 = 0 немесе x + 10 = 0, осыдан x = 10 немесе x = –10. Теңдеудің екі шешімі бар: 10 және –10. Жауабы: –10 және 10.
|
Тақырып бойынша ресурстарды қарап, танысады
|
«Бағдаршам» арқылы қалыптастыру шы бағалау
|
Жалпы білім беретін мектептің 7–сыныбына арналған оқулық. |
|||||||
|
15 минут |
Бекіту тапсырмасы |
Тапсырмалар. №1. Көпмүше түріне келтіріңдер: №2. Өрнекті ықшамдаңдар:
№3. І. a) (3m - *)(3m +*) = 9m2 – 4n2 в) (0,5х – у)(* + у) = 0,25х2 - * ІІ. а) (* - 4х)(5а + *) = 25а2 – 16х2 в) (4pq +3)(4pq – 3) =* - * ІІІ. a) (* - b4)(b4 +*)=121a10 – b8 в) (5 – 7xy)(* - 7xy)=25 -* Оқулықпен жұмыс. ! Қатені түзеу керек.
Оқулықпен жұмыс. |
Оқушылар дескрипторға сәйкес тапсырмаларды орындайды. Оқулықтан есептерді шығарады.
|
Дескриптор: -Қысқаша көбейту формулаларын қолдана алады -Есептеулерде қысқаша көбейту формалаларын қолдана алады -Дәлелдеуді жүргізе алады. ҚБ:«Бас бармақ» әдісі
|
Презентация Слайд Интернет ресурстары Жалпы білім беретін мектептің 7–сыныбына арналған оқулық. Карточкалар;7 сыныпқа арналған оқулық Презентация |
|||||||
|
10 мин |
Оқулықпен жұмыс |
|
Тапсырманы орындайды |
Оқушының тақтадағы белсенділігіне байланысты ауызша бағалау |
Жалпы білім беретін мектептің 7–сыныбына арналған оқулық. Тақта Бор Кітап Дәптер Интерактивті тақта Бағалау парақтары |
|||||||
|
5 минут |
|
Бүгінгі сабақта: - қысқаша көбейту формулаларын ауызша тұжырымдай біледі; - ауызша тұжырымдалған қысқаша көбейту формулаларын жаза біледі; Сабақ соңында оқушылар рефлексия жүргізеді: Рефлексия:
Үйге тапсырма.№31.20 |
Тақырыпты меңгергенін анықтау |
Кері байланыс |
Жалпы білім беретін мектептің 7–сыныбына арналған оқулық. Тақта Бор Кітап Дәптер Интерактивті тақта Бағалау парақтары |
|||||||
Сабақ жоспары №4
Бекітемін:
|
Бөлім: |
Қысқаша көбейту формулалары |
|||||||||||||||||||||
|
Педагогің Аты, Тегі; Әкесінің аты (бар болған жағдайда): |
Меруерт У. |
|||||||||||||||||||||
|
Пән/Сынып: |
7 сынып. Қатысқандар саны: Қатыспағандар саны: |
|||||||||||||||||||||
|
Күні: |
|
|||||||||||||||||||||
|
Сабақтың тақырыбы: |
Екі өрнектің қосындысы мен айырмасының квадраты (жаңа тақырып) |
|||||||||||||||||||||
|
Оқу бағдарламасына сәйкес оқыту мақсаты: |
7.2.1.10 қысқаша көбейту формулаларын
біледі және қолданады; |
|||||||||||||||||||||
|
Сабақтың мақсаттары: |
-Қысқаша көбейту формулаларын біледі және қолдана алу; - Қысқаша көбейту формулаларын шығару; - Қысқаша көбейту формулаларын өрнектерді көбейткіштерге жіктеу кезінде қолдана алу |
|||||||||||||||||||||
|
Сабақ барысы: |
||||||||||||||||||||||
|
Уақыты |
Кезең дері |
Педагогтің әрекеті |
Оқушының әрекеті |
Бағалау |
Ресурстар |
|||||||||||||||||
|
5 минут |
Ұйым дастыру |
Сәлеметсіздерме! Бүгін, Қысқаша көбейту формулалары тақырыбын қарастырамыз Бүгінгі сабақта меңгеретініңіз: - екі өрнектің қосындысының квадраты және айырмасының квадратының формулалары. - екі өрнектің қосындысының квадраты және айырмасының квадратының формулаларын қолдану. Сұрақтар.
|
Амандасады, сабаққа дайындалады. Сұрақтарға жауап береді |
|
Оқулық Оқу құралдары; Тақта; Слайд |
|||||||||||||||||
|
10 мин |
Жаңа сабақ |
Жаңа сабақ. a + b қосындысының квадратын тап. Ол үшін (a + b)2 өрнегін (a + b)(a + b) түріне келтіріп, көбейтуді орында. (a + b)2 = (a + b)(a + b) = a2 + ab + ab + b2 = a2 + 2ab + b2 Демек: (a + b)2 = a2 + 2ab + b2. ⠀ (a + b)2 = a2 + 2ab + b2 формуласы екі өрнектің қосындысының квадратының формуласы деп аталады «екі өрнектің қосындысының квадраты бірінші өрнектің квадраты мен екі еселенген бірінші өрнек пен екінші өрнектің көбейтіндісі және екінші өрнектің квадратының қосындысына тең» деп оқылады. ⠀ Енді a – b айырмасының квадратын тап. Ол үшін (a – b)2 өрнегін (a – b)(a – b) түріне келтіріп, көбейтуді орында. (a – b)2 = (a – b)(a – b) = a2 – ab – ab + b2 = a2 – 2ab + b2 Демек: (a – b)2 = a2 – 2ab + b2. ⠀ (a – b)2 = a2 – 2ab + b2 формуласы екі өрнектің айырмасының квадратының формуласы деп аталадыдурыстап карасанызбулмеруерттинжумыстары және «екі өрнектің айырмасының квадраты бірінші өрнектің квадраты минус екі еселенген бірінші өрнек пен екінші өрнектің көбейтіндісі плюс екінші өрнектің квадратына тең» деп оқылады. ⠀ 1-мысал. Көпмүше түрінде жаз: (2m + 3n)2. Шешуі. Қосынды квадратының формуласын қолданып берілген өрнекті түрлендір: (2m + 3n)2 = (2m)2 + 2 ⋅ 2m ⋅ 3n + (3n)2 = 4m2 + 12mn + 9n2. ⠀ 2-мысал. Көпмүше түрінде жаз: (–x – 4y)2. Шешуі. Айырма квадратының формуласын қолданып берілген өрнекті түрлендір: (–x – 4y)2 = (–x)2 – 2 ⋅ (–x) ⋅ 4y + (4y)2 = x2 + 8xy + 16y2. ⠀ 3-мысал. Үшмүшені екімүшенің квадраты түрінде жаз: c2 + 18c + 81. Шешуі. Алдымен берілген үшмүшені келесі түрде жаз: c2 + 18c + 81 = c2 + 2 ∙ c ∙ 9 + 92. Енді екі өрнектің қосындысының квадратының формуласын пайдалан: c2 + 2 ∙ c ∙ 9 + 92 = (c + 9)2. Жауабы: (c + 9)2.⠀ 4-мысал. (7k2p + 8p2k)2 өрнегін көпмүшеге түрлендір. Шешуі. Қосынды квадратының формуласын пайдалан: (7k2p + 8p2k)2 = (7k2p)2 + 2 ∙ 7k2p ∙ 8p2k + (8p2k)2 = 49k4p2 + 112k3p3 + 64p4k2. ⠀ 5-мысал. a2b2 + 2ab3 + b4 өрнегінің мәнін тап, мұндағы a = 2, b = 8. Ескерту: жауапты стандарт түрде жаз. Шешуі. Алдымен ортақ көбейткішті жақша алдына шығарып, екі өрнектің қосындысының квадратының формуласын қолдан: a2b2 + 2ab3 + b4 = b2 (a2 + 2ab + b2) = b2 (a + b)2. Енді a = 2, b = 8 болғандағы соңғы өрнектің мәнін тап: b2 (a + b)2 = 82 ∙ (2 + 8)2 = 64 ∙ 102 = 64 ∙ 100 = 6400. Жауабы: 6,4 ∙ 103. |
Тақырып бойынша ресурстарды қарап, танысады
|
«Бағдаршам» арқылы қалыптастыру шы бағалау
|
Оқулық Оқу құралдары; Тақта; Слайд Жалпы білім беретін мектептің 7–сыныбына арналған оқулық. |
|||||||||||||||||
|
15 минут |
Бекіту тапсырмасы |
Тапсырма 1. Екі мүшенің квадратын көпмүше түрінде көрсетіңдер. Тапсырманы орындау барысында оқушылар ережені қайталайды: а)
б)
в)
г) Тапсырма 2 Кестені толтырыңдар:
|
Оқушылар дескрипторға сәйкес тапсырмаларды орындайды.
Кестені дескрипторға сәйкес толтырады.
Оқулықтан есептерді шығарады. |
Дескриптор: -Қысқаша көбейту формулаларын қолдана алады -Есептеулерде қысқаша көбейту булумбетва меруерттинжумыстарыформалаларын қолдана алады -Дәлелдеуді жүргізе алады.
ҚБ:«Бас бармақ» әдісі
|
Презентация Слайд Интернет ресурстары Жалпы білім беретін мектептің 7–сыныбына арналған оқулық. |
|||||||||||||||||
|
10 мин |
Оқулықпен жұмыс |
|
Тапсырманы орындайды |
|
Жалпы білім беретін мектептің 7–сыныбына арналған оқулық. Тақта Бор Кітап Дәптер Интерактивті тақта Бағалау парақтары |
|||||||||||||||||
|
5 минут |
|
Бүгінгі сабақта: - қысқаша көбейту формулаларын ауызша тұжырымдай біледі; - ауызша тұжырымдалған қысқаша көбейту формулаларын жаза біледі;
Сабақ соңында оқушылар рефлексия жүргізеді: Рефлексия:
Үйге тапсырма.№ |
Тақырыпты меңгергенін анықтау |
Кері байланыс |
Жалпы білім беретін мектептің 7–сыныбына арналған оқулық. Тақта Бор Кітап Дәптер Интерактивті тақта Бағалау парақтары |
|||||||||||||||||
Сабақ жоспары №5
Бекітемін:
|
Педагогің Аты, Тегі; Әкесінің аты (бар болған жағдайда): |
|
|||||||
|
Пән/Сынып: |
7 сынып. Қатысқандар саны: Қатыспағандар саны: |
|||||||
|
Күні: |
|
|||||||
|
Бөлім: |
Қысқаша көбейту формулалары |
|||||||
|
Сабақтың тақырыбы: |
Екі өрнектің қосындысы мен айырмасының квадраты (жаңа тақырып) |
|||||||
|
Оқу бағдарламасына сәйкес оқыту мақсаты: |
7.2.1.10 қысқаша көбейту формулаларын
біледі және қолданады; |
|||||||
|
Сабақтың мақсаттары: |
-Қысқаша көбейту формулаларын біледі және қолдана аладу; - Қысқаша көбейту формулаларын шығару; - Қысқаша көбейту формулаларын өрнектерді көбейткіштерге жіктеу кезінде қолдана алу; |
|||||||
|
Сабақ барысы: |
||||||||
|
Уақыты |
Кезең дері |
Педагогтің әрекеті |
Оқушының әрекеті |
Бағалау |
Ресурстар |
|||
|
5 минут |
Ұйым дастыру |
Сәлеметсіздерме! Бүгін, Қысқаша көбейту формулалары тақырыбын қарастырамыз Бүгінгі сабақта меңгеретініңіз: - екі өрнектің қосындысының квадраты және айырмасының квадратының формулалары. - екі өрнектің қосындысының квадраты және айырмасының квадратының формулаларын қолдану. Үй тапсырмасын тексеру. Сұрақтар.
|
Амандасады, сабаққа дайындалады. Сұрақтарға жауап береді |
|
Жалпы білім беретін мектептің 7–сыныбына арналған оқулық. Тақта Бор Кітап Дәптер Интерактивті тақта Бағалау парақтары |
|||
|
10 мин |
Жаңа сабақ |
Видеотүсіндіру. (a ± b)2 = a2 ± 2ab + b2 қысқаша көбейту формулалары сандардың квадраттарын тез есептеуде көмектеседі. Мысалы: 522 = (50 + 2)2 = 502 + 2 ∙ 50 ∙ 2 + 22 = 2500 + 200 + 4 = 2704. 372 = (40 – 3)2 = 402 – 2 ∙ 40 ∙ 3 + 32 = 1600 – 240 + 9 = 1369. ⠀⠀ 1-мысал. (6s – 3)2 – (5 + 6s)2 өрнегін ықшамда. Шешуі. Екі өрнектің қосындысының квадраты және айырмасының квадратының формулаларын қолдан: (6s – 3)2 – (5 + 6s)2 = (6s)2 – 2 ∙ 6s ∙ 3 + 32 – (52 + 2 ∙ 5 ∙ 6s + (6s)2 ) = 36s2 – 36s + 9 – 25 – 60s –36s2 = –96s – 16. Жауабы: –96s – 16.
|
Тақырып бойынша ресурстарды қарап, танысады
|
«Бағдаршам» арқылы қалыптастыру шы бағалау
|
Жалпы білім беретін мектептің 7–сыныбына арналған оқулық. |
|||
|
15 минут |
Бекіту тапсырмасы |
Тапсырма 1. Өрнекті ықшамдаңдар: а) ( 4а + 7)²; б) (6х – 5у)²; в) (у² -х³)².
2. Теңдік орындалатындай * орнына өрнектерді қойыңдар
а) (6а
б) ( 10 х
в) ( * - 8а 3. Қысқаша көбейту формуласы арқылы есептеңдер: 21², 31², 85². Келесі сызбаларды қолданып, екі өрнектің қосындысы мен айырмасының квадрат формулаларын қорытып шығарыңдар. Сызбаларды салып, формулалардың қорытындысын дәптерге жазыңдар.
1)
4. Оқулықтан №5.4, №5.8.
5. №1 көпмүше түрінде жазыңдар А)
B)
C)
D)
№2 Өрнекті ықшамдаңдар
№3 Теңдеуді шешіңдер: |
Оқушылар дескрипторға сәйкес тапсырмаларды орындайды. Жауаптары.
Оқулықтан есептерді шығарады.
|
Дескриптор: -Қысқаша көбейту формулаларын қолдана алады -Есептеулерде қысқаша көбейту формалаларын қолдана алады -Дәлелдеуді жүргізе алады. ҚБ:«Бас бармақ» әдісі Дескриптор: -Қысқаша көбейту формулаларын қолдана алады -Есептеулерде қысқаша көбейту формалаларын қолдана алады -Дәлелдеуді жүргізе алады |
Презентация Интернет ресурстары Жалпы білім беретін мектептің 7–сыныбына арналған оқулық. Жалпы білім беретін мектептің 7–сыныбына арналған оқулық. Тақта Бор Кітап Дәптер Интерактивті тақта Бағалау парақтары |
|||
|
10 мин |
Оқулықпен жұмыс |
|
Тапсырманы орындайды
|
|
Жалпы білім беретін мектептің 7–сыныбына арналған оқулық. Тақта Бор Кітап Дәптер Интерактивті тақта Бағалау парақтары |
|||
|
5 минут |
|
Бүгінгі сабақта: - қысқаша көбейту формулаларын ауызша тұжырымдай біледі; - ауызша тұжырымдалған қысқаша көбейту формулаларын жаза біледі; Сабақ соңында оқушылар рефлексия жүргізеді: Рефлексия: Оқушыларға кішігірім сауалнаманы толтыруға беру
Үйге тапсырма.№ |
Тақырыпты меңгергенін анықтау |
Кері байланыс |
Жалпы білім беретін мектептің 7–сыныбына арналған оқулық. Тақта Бор Кітап Дәптер Интерактивті тақта Бағалау парақтары |
|||
Сабақ жоспары
Бекітемін:
|
Педагогің Аты, Тегі; Әкесінің аты (бар болған жағдайда): |
|
|||||||||||
|
Пән/Сынып: |
7 сынып. Қатысқандар саны: Қатыспағандар саны: |
|||||||||||
|
Күні: |
|
|||||||||||
|
Бөлім: |
Қысқаша көбейту формулалары |
|||||||||||
|
Сабақтың тақырыбы: |
Екі өрнектің кубтарының қосындысы мен айырмасы |
|||||||||||
|
Оқу бағдарламасына сәйкес оқыту мақсаты: |
7.2.1.11 |
|||||||||||
|
Сабақтың мақсаттары: |
-екі өрнектің кубтарының қосындысы мен айырмасының формулаларын білу -екі өрнектің кубтарының қосындысы мен айырмасының формулаларын қолдану. |
|||||||||||
|
Сабақ барысы: |
||||||||||||
|
Уақыты |
Кезең дері |
Педагогтің әрекеті |
Оқушының әрекеті |
Бағалау |
Ресурстар |
|||||||
|
5 минут |
Ұйым дастыру |
Сәлеметсіздерме! Бүгін, Екі өрнектің кубтарының қосындысы мен айырмасы тақырыбын қарастырамыз. Бүгінгі сабақта меңгеретініңіз: -екі өрнектің кубтарының қосындысы мен айырмасының формулалары. -екі өрнектің кубтарының қосындысы мен айырмасының формулаларын қолдану. Үй тапсырмасын тексеру. №
|
Амандасады, сабаққа дайындалады. Сұрақтарға жауап береді |
|
Жалпы білім беретін мектептің 7–сыныбына арналған оқулық. Тақта Бор Кітап Дәптер Интерактивті тақта Бағалау парақтары |
|||||||
|
10 мин |
Жаңа сабақ |
Екі өрнектің кубтарының қосындысын көбейткіштерге жіктеу үшін келесі тепе-теңдік қолданылады: a3 + b3 = (a + b)(a2 – ab + b2). Тепе-теңдікті дәлелдеу үшін көпмүшені көпмүшеге көбейту ережесін қолдан: (a + b)(a2 – ab + b2) = a3 – a2b + ab2 + a2b – ab2 + b3 = a3 + b3. (a2 – ab + b2) үшмүшесін айырманың толымсыз квадраты деп атайды. Бұл айырманың толық квадратынан (a2 – 2ab + b2) тек орта коэффициенті арқылы ерекшеленеді (2 сандық коэффициенті жоқ). a3 + b3 = (a + b)(a2 – ab + b2) формуласы екі өрнектің кубтарының қосындысының формуласы деп аталады және «екі өрнектің кубтарының қосындысы осы екі өрнектің қосындысын олардың айырмасының толымсыз квадратына көбейткенге тең» деп оқылады. ⠀⠀ Екі өрнектің кубтарының айырмасын көбейткіштерге жіктеу үшін келесі тепе-теңдік қолданылады: a3 – b3 = (a – b)(a2 + ab + b2). Тексеру: (a – b)(a2 + ab + b2) = a3 + a2b + ab2 – a2b – ab2 – b3 = a3 + b3. (a2 + ab + b2) үшмүшесін қосындының толымсыз квадраты деп атайды. Бұл қосындының толық квадратынан (a2 + 2ab + b2) тек орта коэффициенті арқылы ерекшеленеді (2 сандық коэффициенті жоқ). a3 – b3 = (a – b)(a2 + ab + b2) формуласы екі өрнектің кубтарының айырмасының формуласы деп аталады және «екі өрнектің кубтарының айырмасы осы екі өрнектің айырмасын олардың қосындысының толымсыз квадратына көбейткенге тең» деп оқылады. ⠀⠀ |
Тақырып бойынша ресурстарды қарап, танысады 1-мысал. 64x3 + y3 көпмүшесін көбейткіштерге жікте. Шешуі. Кубтар қосындысының формуласын қолданып, көбейткіштерге жікте: 64x3 + y3 = (4x)3 + y3 = (4x + y)((4x)2 – 4x ∙ y + y2) = (4x + y)(16x2 – 4xy + y2). ⠀⠀ 2-мысал. 27m3 – 8n3 көпмүшесін көбейткіштерге жікте. Шешуі. Кубтар айырмасының формуласын қолданып, көбейткіштерге жікте: 27m3 – 8n3 = (3m)3 – (2n)3 = (3m – 2n)((3m)2 + 3m ∙ 2n + (2n)2) = (3m – 2n)(9m2 + 6mn + 4n2). ⠀⠀ |
«Бағдаршам» арқылы қалыптастыру шы бағалау
|
Жалпы білім беретін мектептің 7–сыныбына арналған оқулық. |
|||||||
|
15 минут |
Бекіту тапсырмасы |
Тапсырмалар. 1-жаттығу Көбейткіштерге жіктеңіз.
1)
2)
3)
4)
2-жаттығу Көпмүшелерді көбейтуді орындаңыз.
1)
2)
3-жаттығу Бос орындарды толтырыңыз.
1)
2)
3) 4-жаттығу Тең өрнектерді бір-бірімен байланыстырыңыз.
1)
2)
3)
Оқулықпен жұмыс. № |
Оқушылар дескрипторға сәйкес тапсырмаларды орындайды. Оқулықтан есептерді шығарады.
|
Дескриптор: -Қысқаша көбейту формулаларын қолдана алады -Есептеулерде қысқаша көбейту формалаларын қолдана алады -Дәлелдеуді жүргізе алады. ҚБ:«Бас бармақ» әдісі
Дескриптор: -Кубтардың қосындысының формуласын біледі; -Кубтардың айырмасының формуласын біледі; - Есеп шығаруда дұрыс қолданады. |
Презентация Слайд Интернет ресурстары Жалпы білім беретін мектептің 7–сыныбына арналған оқулық. |
|||||||
|
10 мин |
Оқулықпен жұмыс |
|
Тапсырманы орындайды
|
Оқушының тақтадағы белсенділігіне байланысты ауызша бағалау |
Жалпы білім беретін мектептің 7–сыныбына арналған оқулық. Тақта Бор Кітап Дәптер Интерактивті тақта Бағалау парақтары |
|||||||
|
5 минут |
|
Бүгінгі сабақта: -екі өрнектің кубтарының қосындысы мен айырмасының формулалары. -екі өрнектің кубтарының қосындысы мен айырмасының формулаларын қолдану. Сабақ соңында оқушылар рефлексия жүргізеді: Рефлексия:
Үйге тапсырма.№ |
Тақырыпты меңгергенін анықтау |
Кері байланыс |
|
|||||||
Сабақ жоспары
Бекітемін:
|
Педагогің Аты, Тегі; Әкесінің аты (бар болған жағдайда): |
|
|||||||||||||
|
Пән/Сынып: |
7 сынып. Қатысқандар саны: Қатыспағандар саны: |
|||||||||||||
|
Күні: |
|
|||||||||||||
|
Бөлім: |
Қысқаша көбейту формулалары |
|||||||||||||
|
Сабақтың тақырыбы: |
Екі өрнектің кубтарының қосындысы мен айырмасы |
|||||||||||||
|
Оқу бағдарламасына сәйкес оқыту мақсаты: |
7.2.1.11 |
|||||||||||||
|
Сабақтың мақсаттары: |
-екі өрнектің кубтарының қосындысы мен айырмасының формулалары. -екі өрнектің кубтарының қосындысы мен айырмасының формулаларын қолдану. |
|||||||||||||
|
Сабақ барысы: |
||||||||||||||
|
|
|
|
||||||||||||
|
Уақыты |
Кезең дері |
Педагогтің әрекеті |
Оқушының әрекеті |
Бағалау |
Ресурстар |
|||||||||
|
5 минут |
Ұйым дастыру |
Сәлеметсіздерме! Бүгін, Екі өрнектің кубтарының қосындысы мен айырмасы тақырыбын қарастырамыз. Бүгінгі сабақта меңгеретініңіз: -екі өрнектің кубтарының қосындысы мен айырмасының формулалары. -екі өрнектің кубтарының қосындысы мен айырмасының формулаларын қолдану. Үй тапсырмасын тексеру. №5.73.
|
Амандасады, сабаққа дайындалады. Сұрақтарға жауап береді |
|
Жалпы білім беретін мектептің 7–сыныбына арналған оқулық. Тақта Бор Кітап Дәптер Интерактивті тақта Бағалау парақтары |
|||||||||
|
10 мин |
Жаңа сабақ |
Екі өрнектің кубтарының қосындысын көбейткіштерге жіктеу үшін келесі тепе-теңдік қолданылады: a3 + b3 = (a + b)(a2 – ab + b2). Тепе-теңдікті дәлелдеу үшін көпмүшені көпмүшеге көбейту ережесін қолдан: (a + b)(a2 – ab + b2) = a3 – a2b + ab2 + a2b – ab2 + b3 = a3 + b3. (a2 – ab + b2) үшмүшесін айырманың толымсыз квадраты деп атайды. Бұл айырманың толық квадратынан (a2 – 2ab + b2) тек орта коэффициенті арқылы ерекшеленеді (2 сандық коэффициенті жоқ). a3 + b3 = (a + b)(a2 – ab + b2) формуласы екі өрнектің кубтарының қосындысының формуласы деп аталады және «екі өрнектің кубтарының қосындысы осы екі өрнектің қосындысын олардың айырмасының толымсыз квадратына көбейткенге тең» деп оқылады. ⠀⠀ Екі өрнектің кубтарының айырмасын көбейткіштерге жіктеу үшін келесі тепе-теңдік қолданылады: a3 – b3 = (a – b)(a2 + ab + b2). Тексеру: (a – b)(a2 + ab + b2) = a3 + a2b + ab2 – a2b – ab2 – b3 = a3 + b3. (a2 + ab + b2) үшмүшесін қосындының толымсыз квадраты деп атайды. Бұл қосындының толық квадратынан (a2 + 2ab + b2) тек орта коэффициенті арқылы ерекшеленеді (2 сандық коэффициенті жоқ). a3 – b3 = (a – b)(a2 + ab + b2) формуласы екі өрнектің кубтарының айырмасының формуласы деп аталады және «екі өрнектің кубтарының айырмасы осы екі өрнектің айырмасын олардың қосындысының толымсыз квадратына көбейткенге тең» деп оқылады. ⠀⠀ |
Тақырып бойынша ресурстарды қарап, танысады 1-мысал. 64x3 + y3 көпмүшесін көбейткіштерге жікте. Шешуі. Кубтар қосындысының формуласын қолданып, көбейткіштерге жікте: 64x3 + y3 = (4x)3 + y3 = (4x + y)((4x)2 – 4x ∙ y + y2) = (4x + y)(16x2 – 4xy + y2). ⠀⠀ 2-мысал. 27m3 – 8n3 көпмүшесін көбейткіштерге жікте. Шешуі. Кубтар айырмасының формуласын қолданып, көбейткіштерге жікте: 27m3 – 8n3 = (3m)3 – (2n)3 = (3m – 2n)((3m)2 + 3m ∙ 2n + (2n)2) = (3m – 2n)(9m2 + 6mn + 4n2). ⠀⠀ |
«Бағдаршам» арқылы қалыптастыру шы бағалау
|
Жалпы білім беретін мектептің 7–сыныбына арналған оқулық. Карточкалар;7 сыныпқа арналған оқулық Презентация |
|||||||||
|
15 минут |
Бекіту тапсырмасы |
Тапсырмалар. «Формуланы сәйкестендір» әдісі
Жеке тапсырма: 1-тапсырма: Көбейткіштерге жіктеңдер: а) a3+x3= (a+x)(a2-ax+x2) a) y3-b3=(y-b)(y2-yb+b2) b) z3-8=(z-2)(z2+2z+4) b) m3+64=(m+4)(m2+4m+16) 2-тапсырма:Формуланы жалғастыр... Екі өрнектің квадраттарының айырымы... Екі өрнектің қосындысының квадраты... Екі өрнектің айырымының квадраты... Екі өрнектің қосындысының кубы... Екі өрнектің айырымының кубы... Екі өрнектің кубының қосындысы... Екі өрнектің кубының айырымы...... Деңгейлік тапсырма: «А» деңгей: Бос орындарды толтырыңыз.
«В» деңгей:
«С»деңгей: Теңдеуді шеш: (x+4)(16-4x+x2)-x(x2+8)=-192 - Кубтардың қосындысының және айырмасының формуласын біледі;(1) - Есеп шығаруда дұрыс қолданады.(1) Оқулықпен жұмыс. №5.75. |
Оқушылар дескрипторға сәйкес тапсырмаларды орындайды. Жазылуы бойынша формулаларды жалғастырады (1) ҚКФ ажырата алады (1) Формуланы ауызша тұжырымдай алады Оқулықтан есептерді шығарады.
|
Дескриптор: - Кубтардың қосындысы ның формуласын біледі;(1) - Кубтардың айырмасының формуласын біледі;(1) - Есеп шығаруда дұрыс қолданады.(1) ҚБ:«Бас бармақ» әдісі
Дескриптор: -Кубтардың қосындысының формуласын біледі; -Кубтардың айырмасының формуласын біледі; - Есеп шығаруда дұрыс қолданады. |
Презентация Слайд Интернет ресурстары Жалпы білім беретін мектептің 7–сыныбына арналған оқулық. |
|||||||||
|
10 мин |
Оқулықпен жұмыс |
|
Тапсырманы орындайды
|
Оқушының тақтадағы белсенділігіне байланысты ауызша бағалау |
|
|||||||||
|
5 минут |
|
Бүгінгі сабақта: -екі өрнектің кубтарының қосындысы мен айырмасының формулалары. -екі өрнектің кубтарының қосындысы мен айырмасының формулаларын қолдану. Сабақ соңында оқушылар рефлексия жүргізеді: Рефлексия:
Үйге тапсырма.№ |
Тақырыпты меңгергенін анықтау |
Кері байланыс |
|
|||||||||
Сабақ жоспары
Бекітемін:
|
Педагогің Аты, Тегі; Әкесінің аты (бар болған жағдайда): |
|
|||||||||||||||||||||||||||||||||||||||||
|
Пән/Сынып: |
7 сынып. Қатысқандар саны: Қатыспағандар саны: |
|||||||||||||||||||||||||||||||||||||||||
|
Күні: |
|
|||||||||||||||||||||||||||||||||||||||||
|
Бөлім: |
Қысқаша көбейту формулалары |
|||||||||||||||||||||||||||||||||||||||||
|
Сабақтың тақырыбы: |
Екі өрнектің қосындысының кубы және айырмасының кубы. |
|||||||||||||||||||||||||||||||||||||||||
|
Оқу бағдарламасына сәйкес оқыту мақсаты: |
7.2.1.11
қысқаша көбейту формулаларын білу және қолдану; |
|||||||||||||||||||||||||||||||||||||||||
|
Сабақтың мақсаттары: |
- қысқаша көбейту формулаларын алгебралық өрнектерді ықшамдау кезінде қолдана алады -Қысқаша көбейту формулаларын өрнектерді көбейткіштерге жіктеу кезінде қолдана алады; |
|||||||||||||||||||||||||||||||||||||||||
|
Сабақ барысы: |
||||||||||||||||||||||||||||||||||||||||||
|
Уақыты |
Кезең дері |
Педагогтің әрекеті |
Оқушының әрекеті |
Бағалау |
Ресурстар |
|||||||||||||||||||||||||||||||||||||
|
5 минут |
Ұйым дастыру |
Сәлеметсіздерме! Бүгін, Екі өрнектің қосындысының кубы және айырмасының кубы тақырыбын қарастырамыз. Бүгінгі сабақта меңгеретініңіз: - екі өрнектің қосындысының кубы және айырмасының кубы формулалары. -екі өрнектің қосындысының кубы және айырмасының кубы формулаларын қолдану. Үй тапсырмасын тексеру. №5.73. «Сәйкестендір» стратегиясы. Сол жақтағы өрнектерге оң жақтағы бағандағы сәйкес өрнекті сәйкестендіру:
|
Амандасады, сабаққа дайындалады. Сұрақтарға жауап береді Сәйкестендіру тест орындайды. |
«Бағдаршам» арқылы қалыптастыру шы бағалау
|
Оқулық; оқу құралдары; тақта; слайд; |
|||||||||||||||||||||||||||||||||||||
|
10 мин |
Жаңа сабақ |
(a + b)3 = a3 + 3a2b + 3ab2 + b3 формуласы екі өрнектің қосындысының кубы формуласы деп аталады және екі өрнектің қосындысының кубы бірінші өрнектің кубы, плюс үш еселенген бірінші өрнектің квадраты мен екінші өрнектің көбейтіндісі, плюс үш еселенген бірінші өрнек пен екінші өрнектің квадратының көбейтіндісі, плюс екінші өрнектің кубына тең деп оқылады. (a – b)3 = a3 – 3a2b + 3ab2 – b3 формуласы екі өрнектің айырмасының кубы формуласы деп аталады және екі өрнектің айырмасының кубы бірінші өрнектің кубы, минус үш еселенген бірінші өрнектің квадраты мен екінші өрнектің көбейтіндісі, плюс үш еселенген бірінші өрнек пен екінші өрнектің квадратының көбейтіндісі, минус екінші өрнектің кубына тең деп оқылады. 1-мысал. Көпмүше түрінде жаз: (2m + 3n)3. Шешуі. Қосынды кубының формуласын қолданып, берілген өрнекті түрлендір: (2m + 3n)3 = (2m)3 + 3 ∙ (2m)2 ∙ 3n + 3 ∙ 2m ∙ (3n)2 + (3n)3 = 8m3 + 36m2n + 54mn2 + 27n3. 2-мысал. Көпмүше түрінде жаз: (–x – 4y)3.
|
Тақырып бойынша ресурстарды қарап, танысады ⠀⠀ ⠀⠀ 2). Шешуі. Айырма кубының формуласын қолданып өрнекті түрлендір: (–x – 4y)3 = (–x)3 – 3 ∙ (–x)2 ∙ 4y + 3 ∙ (–x) ∙ (4y)2 – (4y)3 = –x3 – 12x2y – 48xy2 – 64y3.
|
«Бағдаршам» арқылы қалыптастыру шы бағалау
|
оқулық; оқу құралдары; тақта; слайд;
Оқулық; оқу құралдары; тақта; слайд; |
|||||||||||||||||||||||||||||||||||||
|
15 минут |
Бекіту тапсырмасы |
№1. Өрнекті көпмүше түрінде көрсетіңдер:
a)
б)
в)
г) №2. Көпмүше түрінде көрсетіңдер: а) (2а2+3в2)3 в) (10х4–6у2)3
№3. Көпмүшені екі өрнектің кубы түрінде көрсетіңдер: а) (8р3–27q3+54pq2–36p2q) в) (х3у3+6х2у2+12ху+8)
Оқулықпен жұмыс. №5.100. Оқулықпен жұмыс. №1. Көпмүше түрінде көрсетіңдер: a) (8x3–4y2)3 в) (0,2x5+0,5y2)3 №2. Көпмүшені екі өрнектің кубы түрінде көрсетіңдер: а) x3+6x2y+12xy2+8y3 в) 0,125z9+0,15z6k4+0,06z3k8+0,008k12 |
Оқушылар дескрипторға сәйкес тапсырмаларды орындайды.
Жазылуы бойынша формулаларды жалғастырады (1) ҚКФ ажырата алады (1) Формуланы ауызша тұжырымдай алады
Оқулықтан есептерді шығарады.
|
Дескриптор: - Қосынды ның, айырманың кубы формуласын біледі. - Есеп шығаруда дұрыс қолданады.(1)
ҚБ:«Бас бармақ» әдісі
|
Презентация Слайд Интернет ресурстары Оқулық; оқу құралдары; тақта; слайд; Карточкалар;7 сыныпқа арналған оқулық Презентация |
|||||||||||||||||||||||||||||||||||||
|
10 мин |
Оқулықпен жұмыс |
Оқулықтан есептер шығару:
|
Тапсырманы орындайды
|
Оқушының тақтадағы белсенділігіне байланысты ауызша бағалау |
оқулық; оқу құралдары; тақта; слайд; |
|||||||||||||||||||||||||||||||||||||
|
5 минут |
|
Бүгінгі сабақта: -екі өрнектің қосындысының кубы және айырмасының кубы формулалары. -екі өрнектің қосындысының кубы және айырмасының кубы формулаларын қолдану. Сабақ соңында оқушылар рефлексия жүргізеді: Рефлексия:
Үйге тапсырма.№ |
Тақырыпты меңгергенін анықтау |
Кері байланыс |
Оқулық; оқу құралдары; тақта; слайд; |
|||||||||||||||||||||||||||||||||||||
Сабақ жоспары
Бекітемін:
|
Педагогің Аты, Тегі; Әкесінің аты (бар болған жағдайда): |
|
|||||||||||||||||
|
Пән/Сынып: |
7 сынып. Қатысқандар саны: Қатыспағандар саны: |
|||||||||||||||||
|
Күні: |
|
|||||||||||||||||
|
Бөлім: |
Қысқаша көбейту формулалары |
|||||||||||||||||
|
Сабақтың тақырыбы: |
Екі өрнектің қосындысының кубы және айырмасының кубы. |
|||||||||||||||||
|
Оқу бағдарламасына сәйкес оқыту мақсаты: |
7.2.1.11
қысқаша көбейту формулаларын білу және қолдану; |
|||||||||||||||||
|
Сабақтың мақсаттары: |
- қысқаша көбейту формулаларын алгебралық өрнектерді ықшамдау кезінде қолдана алады -Қысқаша көбейту формулаларын өрнектерді көбейткіштерге жіктеу кезінде қолдана алады; |
|||||||||||||||||
|
Сабақ барысы: |
||||||||||||||||||
|
Уақыты |
Кезең дері |
Педагогтің әрекеті |
Оқушының әрекеті |
Бағалау |
Ресурстар |
|||||||||||||
|
5 минут |
Ұйым дастыру |
Сәлеметсіздерме! Бүгін, Екі өрнектің қосындысының кубы және айырмасының кубы тақырыбын қарастырамыз. Бүгінгі сабақта меңгеретініңіз: - екі өрнектің қосындысының кубы және айырмасының кубы формулалары. -екі өрнектің қосындысының кубы және айырмасының кубы формулаларын қолдану. Үй тапсырмасын тексеру. №5.102.
|
Амандасады, сабаққа дайындалады. Сұрақтарға жауап береді Сәйкестендіру тест орындайды. |
«Бағдаршам» арқылы қалыптастыру шы бағалау
|
Оқулық; оқу құралдары; тақта; слайд; |
|||||||||||||
|
10 мин |
Жаңа сабақ |
(a + b)3 = a3 + 3a2b + 3ab2 + b3 формуласы екі өрнектің қосындысының кубы формуласы деп аталады және екі өрнектің қосындысының кубы бірінші өрнектің кубы, плюс үш еселенген бірінші өрнектің квадраты мен екінші өрнектің көбейтіндісі, плюс үш еселенген бірінші өрнек пен екінші өрнектің квадратының көбейтіндісі, плюс екінші өрнектің кубына тең деп оқылады. (a – b)3 = a3 – 3a2b + 3ab2 – b3 формуласы екі өрнектің айырмасының кубы формуласы деп аталады және екі өрнектің айырмасының кубы бірінші өрнектің кубы, минус үш еселенген бірінші өрнектің квадраты мен екінші өрнектің көбейтіндісі, плюс үш еселенген бірінші өрнек пен екінші өрнектің квадратының көбейтіндісі, минус екінші өрнектің кубына тең деп оқылады. 1-мысал. Көпмүше түрінде жаз: (2m + 3n)3. Шешуі. Қосынды кубының формуласын қолданып, берілген өрнекті түрлендір: (2m + 3n)3 = (2m)3 + 3 ∙ (2m)2 ∙ 3n + 3 ∙ 2m ∙ (3n)2 + (3n)3 = 8m3 + 36m2n + 54mn2 + 27n3. 2-мысал. Көпмүше түрінде жаз: (–x – 4y)3.
|
Тақырып бойынша ресурстарды қарап, танысады ⠀⠀ ⠀⠀ 2). Шешуі. Айырма кубының формуласын қолданып өрнекті түрлендір: (–x – 4y)3 = (–x)3 – 3 ∙ (–x)2 ∙ 4y + 3 ∙ (–x) ∙ (4y)2 – (4y)3 = –x3 – 12x2y – 48xy2 – 64y3.
|
«Бағдаршам» арқылы қалыптастыру шы бағалау
|
Оқулық; оқу құралдары; тақта; слайд; Карточкалар;7 сыныпқа арналған оқулық Презентация |
|||||||||||||
|
15 минут |
Бекіту тапсырмасы |
Тапсырма. 1. Жалғастыр...
4. (3n + 2p)2 = 5. (5a + 2b)3 = 6. (2m – 3n)3 = 7. 8y3 + 27 = 8. 64 – 8a3 = 9. (x + 4)(x2 – 4x + 16) = 10. (2 – 3k)(4 + 6k + 9k2) =
2. Теңдеуді шешіңдер: e) (2x+1)3 =4x2(2x+3) f) 27x2(1–x)=(1–3x)3 3. Есептеңдер: a) 113 b) 213 c) 193 d) 293
Оқулықпен жұмыс. Теңдік орындалатындай * орындарына бірмүшелері орналастырыңдар:
Оқулықпен жұмыс. №
|
Оқушылар дескрипторға сәйкес тапсырмаларды орындайды.
Жазылуы бойынша формулаларды жалғастырады (1) ҚКФ ажырата алады (1) Формуланы ауызша тұжырымдай алады
Оқулықтан есептерді шығарады.
|
Дескриптор:
ҚБ:«Бас бармақ» әдісі
|
Презентация Слайд Интернет ресурстары Оқулық; оқу құралдары; тақта; слайд; Карточкалар;7 сыныпқа арналған оқулық Презентация |
|||||||||||||
|
10 мин |
Оқулықпен жұмыс |
Оқулықтан есептер шығару:
|
Тапсырманы орындайды |
Оқушының тақтадағы белсенділігіне байланысты ауызша бағалау |
|
|||||||||||||
|
5 минут |
|
Бүгінгі сабақта: -екі өрнектің қосындысының кубы және айырмасының кубы формулалары. -екі өрнектің қосындысының кубы және айырмасының кубы формулаларын қолдану. Сабақ соңында оқушылар рефлексия жүргізеді: Рефлексия:
Үйге тапсырма.№ |
Тақырыпты меңгергенін анықтау |
Кері байланыс |
Оқулық; оқу құралдары; тақта; слайд; |
|||||||||||||
Сабақ жоспары
Бекітемін:
|
Педагогің Аты, Тегі; Әкесінің аты (бар болған жағдайда): |
|
|||||||||||||||||
|
Пән/Сынып: |
7 сынып. Қатысқандар саны: Қатыспағандар саны: |
|||||||||||||||||
|
Күні: |
|
|||||||||||||||||
|
Бөлім: |
Қысқаша көбейту формулалары |
|||||||||||||||||
|
Сабақтың тақырыбы: |
Екі өрнектің қосындысының кубы және айырмасының кубы. |
|||||||||||||||||
|
Оқу бағдарламасына сәйкес оқыту мақсаты: |
7.2.1.11
қысқаша көбейту формулаларын білу және қолдану; |
|||||||||||||||||
|
Сабақтың мақсаттары: |
- қысқаша көбейту формулаларын алгебралық өрнектерді ықшамдау кезінде қолдана алады -Қысқаша көбейту формулаларын өрнектерді көбейткіштерге жіктеу кезінде қолдана алады; |
|||||||||||||||||
|
Сабақ барысы: |
||||||||||||||||||
|
Уақыты |
Кезең дері |
Педагогтің әрекеті |
Оқушының әрекеті |
Бағалау |
Ресурстар |
|||||||||||||
|
5 минут |
Ұйым дастыру |
Сәлеметсіздерме! Бүгін, Екі өрнектің қосындысының кубы және айырмасының кубы тақырыбын қарастырамыз. Бүгінгі сабақта меңгеретініңіз: - екі өрнектің қосындысының кубы және айырмасының кубы формулалары. -екі өрнектің қосындысының кубы және айырмасының кубы формулаларын қолдану. Үй тапсырмасын тексеру. №5.102.
|
Амандасады, сабаққа дайындалады. Сұрақтарға жауап береді Сәйкестендіру тест орындайды. |
«Бағдаршам» арқылы қалыптастыру шы бағалау
|
Оқулық; оқу құралдары; тақта; слайд; |
|||||||||||||
|
10 мин |
Жаңа сабақ |
(a + b)3 = a3 + 3a2b + 3ab2 + b3 формуласы екі өрнектің қосындысының кубы формуласы деп аталады және екі өрнектің қосындысының кубы бірінші өрнектің кубы, плюс үш еселенген бірінші өрнектің квадраты мен екінші өрнектің көбейтіндісі, плюс үш еселенген бірінші өрнек пен екінші өрнектің квадратының көбейтіндісі, плюс екінші өрнектің кубына тең деп оқылады. (a – b)3 = a3 – 3a2b + 3ab2 – b3 формуласы екі өрнектің айырмасының кубы формуласы деп аталады және екі өрнектің айырмасының кубы бірінші өрнектің кубы, минус үш еселенген бірінші өрнектің квадраты мен екінші өрнектің көбейтіндісі, плюс үш еселенген бірінші өрнек пен екінші өрнектің квадратының көбейтіндісі, минус екінші өрнектің кубына тең деп оқылады. 1-мысал. Көпмүше түрінде жаз: (2m + 3n)3. Шешуі. Қосынды кубының формуласын қолданып, берілген өрнекті түрлендір: (2m + 3n)3 = (2m)3 + 3 ∙ (2m)2 ∙ 3n + 3 ∙ 2m ∙ (3n)2 + (3n)3 = 8m3 + 36m2n + 54mn2 + 27n3. 2-мысал. Көпмүше түрінде жаз: (–x – 4y)3.
|
Тақырып бойынша ресурстарды қарап, танысады ⠀⠀ ⠀⠀ 2). Шешуі. Айырма кубының формуласын қолданып өрнекті түрлендір: (–x – 4y)3 = (–x)3 – 3 ∙ (–x)2 ∙ 4y + 3 ∙ (–x) ∙ (4y)2 – (4y)3 = –x3 – 12x2y – 48xy2 – 64y3.
|
«Бағдаршам» арқылы қалыптастыру шы бағалау
|
Оқулық; оқу құралдары; тақта; слайд; Карточкалар;7 сыныпқа арналған оқулық Презентация |
|||||||||||||
|
15 минут |
Бекіту тапсырмасы |
№197
№198 2) (2у-3)3=8у3-36у2+54у-27 4) (3п-2м)3=27п3-54п2м+36пм2-8м3 № 199 2) (4а+1/3в)3=64а3+16а2в+4/3ав2+1/27в3 4) (2/3х-3у)3=8/27х3-4х2у+18ху2-27у3 6) (1/5+5в)3=1/125+3/5в+15в2+125в3 №200 2( 0,2а+10в)3=0,008а3+1,2а2в+60ав2+1000в3 4) (0,5х-2у)3=0,125х3-1,5х2у+6ху2-8у3 Тест тапсырмасы I-нұсқа.
1.
x2-9 көпмүшесін көбейткіштерге жіктеңдер.
Ә)(x-3)(x+3); В)(9-x)(9+x)
2.
(m-4n)(m-4n) көбейтіндісін көпмүше түрінде жазыңдар.
Ә)m2+8mn+16n2; В) m2-8mn+16n2 3. а3+6а2в+12ав2+8в3 көпмүшесін екімүшен кубы ретінде жазыңдар: А) (а-2в)3 Ә) (а+2в)3 Б) (а3+8в3)3 В) (а3-8в3)3 4. Көпмүше түрінде жазыңдар: (5х-3у)3 А) 125х3+27у3 Ә) 125х3-27у3 Б) 125х3-225х2у+135ху2-27у3 В) 125х3+225х2у+135ху2+27у3
5.Дұрыс теңдікті табыңдар.
Ә)
25-81b2=(5+9b)(5-9b); В) 25-81b2=(9b -5)(5+9b);
Оқулықпен жұмыс. №5.107.
|
Оқушылар дескрипторға сәйкес тапсырмаларды орындайды.
Жазылуы бойынша формулаларды жалғастырады (1) ҚКФ ажырата алады (1) Формуланы ауызша тұжырымдай алады
Тест тапсырмаларын орындайды
Оқулықтан есептерді шығарады.
|
Дескриптор:
ҚБ:«Бас бармақ» әдісі
|
Презентация Слайд Интернет ресурстары Оқулық; оқу құралдары; тақта; слайд; Карточкалар;7 сыныпқа арналған оқулық Презентация |
|||||||||||||
|
10 мин |
Оқулықпен жұмыс |
Оқулықтан есептер шығару:
|
Тапсырманы орындайды |
Оқушының тақтадағы белсенділігіне байланысты ауызша бағалау |
|
|||||||||||||
|
5 минут |
|
Бүгінгі сабақта: -екі өрнектің қосындысының кубы және айырмасының кубы формулалары. -екі өрнектің қосындысының кубы және айырмасының кубы формулаларын қолдану. Сабақ соңында оқушылар рефлексия жүргізеді: Рефлексия:
Үйге тапсырма.№ |
Тақырыпты меңгергенін анықтау |
Кері байланыс |
Оқулық; оқу құралдары; тақта; слайд; |
|||||||||||||
Сабақ жоспары
Бекітемін:
|
Педагогің Аты, Тегі; Әкесінің аты (бар болған жағдайда): |
|
|||||
|
Пән/Сынып: |
7 сынып. Қатысқандар саны: Қатыспағандар саны: |
|||||
|
Күні: |
|
|||||
|
Бөлім: |
Қысқаша көбейту формулалары |
|||||
|
Сабақтың тақырыбы: |
Қысқаша көбейту формулаларының көмегімен өрнектерді түрлендіру |
|||||
|
Оқу бағдарламасына сәйкес оқыту мақсаты: |
7. 1.2.14 тиімді есептеу үшін қысқаша көбейту формулаларын қолдану; |
|||||
|
Сабақтың мақсаттары: |
- қысқаша көбейту формулаларын алгебралық өрнектерді ықшамдау кезінде қолдана алады -Қысқаша көбейту формулаларын өрнектерді көбейткіштерге жіктеу кезінде қолдана алады; |
|||||
|
Сабақ барысы: |
||||||
|
Уақыты |
Кезең дері |
Педагогтің әрекеті |
Оқушының әрекеті |
Бағалау |
Ресурстар |
|
|
5 минут |
Ұйым дастыру |
Сәлеметсіздерме! Бүгін, Қысқаша көбейту формулаларының көмегімен өрнектерді түрлендіру тақырыбын қарастырамыз. Бүгінгі сабақта меңгеретініңіз: - Қысқаша көбейту формулаларын біледі және қолдана алады; - қысқаша көбейту формулаларын алгебралық өрнектерді ықшамдау кезінде қолдана алады -Қысқаша көбейту формулаларын өрнектерді көбейткіштерге жіктеу кезінде қолдана алады; Үй тапсырмасын тексеру. №5.107. |
Амандасады, сабаққа дайындалады. Сұрақтарға жауап береді |
«Бағдаршам» арқылы қалыптастыру шы бағалау |
Оқулық; оқу құралдары; тақта; слайд; |
|
|
10 мин |
Жаңа сабақ |
1) Көпмүшені көбейткіштерге жіктеуді қалай түсінесіз? Көпмүшені көбейткіштерге жіктеу – көпмүшені екі немесе бірнеше көпмүшелердің көбейтіндісі түріне келтіру 2) Көпмүшені көбейткіштерге жіктеудің қандай түрлерін білесіз? (Ортақ көбейткішті жақшаның сыртына шығару, қысқаша көбейту формулаларын пайдалану, топтау тәсілі) 3) Көпмүшені көбейткіштерге жіктеу не үшін қажет? Көпмүшені көбейткіштерге жіктеу дағдысы өрнектерді түрлендіруде, алгебралық бөлшектерді қысқартуда, теңдеу мен теңсіздіктерді шешуде қажет. 4) Көбейткіштерге
жіктеңіз:
5) Көбейткіштерге жіктеуге есеп ойдан құрастырыңыз. 6) Топтау тәсілімен көбейткіштерге жіктеу тәсілін сипаттаңыз. Топтау тәсілімен көбейткіштерге жіктеу алгоритмі: 1. Көпмүшенің ортақ көбейткіштері бар мүшелерін бірыңғай топтарға бөлу; 2. Әр топтағы мүшелердің бірмүше түріндегі ортақ көбейткішін жақша сыртына шығару; 3. Әр топтағы мүшелердің бірмүше түріндегі ортақ көбейткішін жақша сыртына шығару; |
Тақырып бойынша ресурстарды қарап, танысады ⠀⠀ ⠀⠀ 2). Шешуі. Айырма кубының формуласын қолданып өрнекті түрлендір: (–x – 4y)3 = (–x)3 – 3 ∙ (–x)2 ∙ 4y + 3 ∙ (–x) ∙ (4y)2 – (4y)3 = –x3 – 12x2y – 48xy2 – 64y3.
|
«Бағдаршам» арқылы қалыптастыру шы бағалау
|
Оқулық; оқу құралдары; тақта; слайд; Карточкалар;7 сыныпқа арналған оқулық Презентация |
|
|
15 минут |
Бекіту тапсырмасы |
1.Көбейткіштерге жіктеңіз:
2.Өрнектерді көбейтінді түрінде жазыңыз:
3.Көбейткіштерге жіктеңіз:
4. Көбейтінді түрінде жазыңыз:
5. Көбейткіштерге жіктеңіз:
c)
Оқулықпен жұмыс. Көпмүшені көбейткіштерге жіктеңіз:
|
Оқушылар дескрипторға сәйкес тапсырмаларды орындайды. Жазылуы бойынша формулаларды жалғастырады (1) ҚКФ ажырата алады (1) Формуланы ауызша тұжырымдай алады Оқулықтан есептерді шығарады.
|
Дескриптор: Екі өрнектің квадраттарының айырмасының формуласын дұрыс қолдана алады; Екі өрнектің кубтарының қосындысының формуласын дұрыс қолдана алады; Екі өрнектің кубтарының айырмасының формуласын дұрыс қолдана алады; Топтау тәсілін дұрыс қолдана алды; Ортақ көбейткішті жақша сыртына шығарады; ҚБ:«Бас бармақ» әдіс |
Презентация Слайд Интернет ресурстары Оқулық; оқу құралдары; тақта; слайд; Карточкалар;7 сыныпқа арналған оқулық Презентация |
|
|
10 мин |
Оқулықпен жұмыс |
Оқулықтан есептер шығару:
|
Тапсырманы орындайды
|
Оқушының тақтадағы белсенділігіне байланысты ауызша бағалау |
|
|
|
5 минут |
|
Бүгінгі сабақта:
- қысқаша көбейту формулаларын алгебралық өрнектерді ықшамдау кезінде қолдана алады -Қысқаша көбейту формулаларын өрнектерді көбейткіштерге жіктеу кезінде қолдана алады; Сабақ соңында оқушылар рефлексия жүргізеді: Рефлексия:
Үйге тапсырма.№. |
Тақырыпты меңгергенін анықтау |
Кері байланыс |
Оқулық; оқу құралдары; тақта; слайд; |
|
Сабақ жоспары
Бекітемін:
|
Педагогің Аты, Тегі; Әкесінің аты (бар болған жағдайда): |
|
||||||||||||||||||||
|
Пән/Сынып: |
7 сынып. Қатысқандар саны: Қатыспағандар саны: |
||||||||||||||||||||
|
Күні: |
|
||||||||||||||||||||
|
Бөлім: |
Қысқаша көбейту формулалары |
||||||||||||||||||||
|
Сабақтың тақырыбы: |
Қысқаша көбейту формулаларының көмегімен өрнектерді түрлендіру |
||||||||||||||||||||
|
Оқу бағдарламасына сәйкес оқыту мақсаты: |
7. 1.2.14 тиімді есептеу үшін қысқаша көбейту формулаларын қолдану; |
||||||||||||||||||||
|
Сабақтың мақсаттары: |
- қысқаша көбейту формулаларын алгебралық өрнектерді ықшамдау кезінде қолдана алады -Қысқаша көбейту формулаларын өрнектерді көбейткіштерге жіктеу кезінде қолдана алады; |
||||||||||||||||||||
|
Сабақ барысы: |
|||||||||||||||||||||
|
Уақыты |
Кезең дері |
Педагогтің әрекеті |
Оқушының әрекеті |
Бағалау |
Ресурстар |
||||||||||||||||
|
5 минут |
Ұйым дастыру |
Сәлеметсіздерме! Бүгін, Қысқаша көбейту формулаларының көмегімен өрнектерді түрлендіру тақырыбын қарастырамыз. Бүгінгі сабақта меңгеретініңіз: - Қысқаша көбейту формулаларын біледі және қолдана алады; - қысқаша көбейту формулаларын алгебралық өрнектерді ықшамдау кезінде қолдана алады -Қысқаша көбейту формулаларын өрнектерді көбейткіштерге жіктеу кезінде қолдана алады; Үй тапсырмасын тексеру. № |
Амандасады, сабаққа дайындалады. Сұрақтарға жауап береді |
«Бағдаршам» арқылы қалыптастыру шы бағалау |
Оқулық; оқу құралдары; тақта; слайд; |
||||||||||||||||
|
10 мин |
Жаңа сабақ |
1) Көпмүшені көбейткіштерге жіктеуді қалай түсінесіз? Көпмүшені көбейткіштерге жіктеу – көпмүшені екі немесе бірнеше көпмүшелердің көбейтіндісі түріне келтіру 2) Көпмүшені көбейткіштерге жіктеудің қандай түрлерін білесіз? (Ортақ көбейткішті жақшаның сыртына шығару, қысқаша көбейту формулаларын пайдалану, топтау тәсілі) 3) Көпмүшені көбейткіштерге жіктеу не үшін қажет? Көпмүшені көбейткіштерге жіктеу дағдысы өрнектерді түрлендіруде, алгебралық бөлшектерді қысқартуда, теңдеу мен теңсіздіктерді шешуде қажет. 4) Көбейткіштерге
жіктеңіз:
5) Көбейткіштерге жіктеуге есеп ойдан құрастырыңыз. 6) Топтау тәсілімен көбейткіштерге жіктеу тәсілін сипаттаңыз. Топтау тәсілімен көбейткіштерге жіктеу алгоритмі: 1. Көпмүшенің ортақ көбейткіштері бар мүшелерін бірыңғай топтарға бөлу; 2. Әр топтағы мүшелердің бірмүше түріндегі ортақ көбейткішін жақша сыртына шығару; 3. Әр топтағы мүшелердің бірмүше түріндегі ортақ көбейткішін жақша сыртына шығару; |
Тақырып бойынша ресурстарды қарап, танысады ⠀⠀ ⠀⠀ 2). Шешуі. Айырма кубының формуласын қолданып өрнекті түрлендір: (–x – 4y)3 = (–x)3 – 3 ∙ (–x)2 ∙ 4y + 3 ∙ (–x) ∙ (4y)2 – (4y)3 = –x3 – 12x2y – 48xy2 – 64y3.
|
«Бағдаршам» арқылы қалыптастыру шы бағалау
|
Оқулық; оқу құралдары; тақта; слайд; Карточкалар;7 сыныпқа арналған оқулық Презентация |
||||||||||||||||
|
15 минут |
Бекіту тапсырмасы |
a) b)
Тапсырма. Төменгі әр теңдеу географиялық атаулармен аталған. Теңдеулердің жауабына әр географиялық атау туралы қосымша ақпарат сәйкес келеді. Берілген теңдеулерді шешіп, мәтіндегі түбірлердің орнына сәйкес географиялық атауды енгізе отырып, әрқайсысы туралы туралы ақпарат алыңыз.
Әлемдегі ең үлкен
жанартау
Әлемдегі ең биік тау
–
Әлемдегі ең биік сарқырама
–
Әлемдегі ең ұзын тау
–
Әлемдегі жауын-шашын ең көп
түсетін жер –
Әлемдегі ең үлкен тау асты
мұздығы -
Әр оқушы өзін дайын жауап бойынша тексереді. Әлемдегі ең биік тау – Гималай (Джомолунга, 8848 м) Әлемдегі ең ұзын тау – Анд (9000 км) Әлемдегі жауын-шашын ең көп түсетін жер – Черапунджи (жылына 12000 мм) Әлемдегі ең үлкен тау асты мұздығы - Хабборт (145 км) Әлемдегі ең биік сарқырама – Анхель (1054 м) Әлемдегі ең үлкен жанартау Гавайядағы Мауна-Лао (ені 10 км, тереңдігі 180 км)
Оқулықпен жұмыс. №5.128, №5.129. |
Оқушылар дескрипторға сәйкес тапсырмаларды орындайды.
Жазылуы бойынша формулаларды жалғастырады (1) ҚКФ ажырата алады (1) Формуланы ауызша тұжырымдай алады
Оқулықтан есептерді шығарады.
|
Дескриптор: Топтау тәсілін дұрыс қолдана алды; Ортақ көбейткішті жақша сыртына шығарады;
ҚБ:«Бас бармақ» әдісі
|
Презентация Слайд Интернет ресурстары Оқулық; оқу құралдары; тақта; слайд; Карточкалар;7 сыныпқа арналған оқулық Презентация |
||||||||||||||||
|
10 мин |
Оқулықпен жұмыс |
Оқулықтан есептер шығару:
|
Тапсырманы орындайды
|
Оқушының тақтадағы белсенділігіне байланысты ауызша бағалау |
Жалпы білім беретін мектептің 7–сыныбына арналған оқулық. Тақта Бор Кітап Дәптер Интерактивті тақта Бағалау парақтары |
||||||||||||||||
|
5 минут |
|
Бүгінгі сабақта:
- қысқаша көбейту формулаларын алгебралық өрнектерді ықшамдау кезінде қолдана алады -Қысқаша көбейту формулаларын өрнектерді көбейткіштерге жіктеу кезінде қолдана алады; Сабақ соңында оқушылар рефлексия жүргізеді: Рефлексия:
Үйге тапсырма.№ |
Тақырыпты меңгергенін анықтау |
Кері байланыс |
Оқулық; оқу құралдары; тақта; слайд; |
||||||||||||||||
Сабақ жоспары
Бекітемін:
|
Педагогің Аты, Тегі; Әкесінің аты (бар болған жағдайда): |
|
|||||||||||
|
Пән/Сынып: |
7 сынып. Қатысқандар саны: Қатыспағандар саны: |
|||||||||||
|
Күні: |
|
|||||||||||
|
Бөлім: |
Қысқаша көбейту формулалары |
|||||||||||
|
Сабақтың тақырыбы: |
Алгебралық өрнектерді қысқаша көбейту формулалары арқылы көбейткіштерге жіктеу. |
|||||||||||
|
Оқу бағдарламасына сәйкес оқыту мақсаты: |
7. 1.2.14 тиімді есептеу үшін қысқаша көбейту формулаларын қолдану; |
|||||||||||
|
Сабақтың мақсаттары: |
|
|||||||||||
|
Сабақ барысы: |
||||||||||||
|
Уақыты |
Кезең дері |
Педагогтің әрекеті |
Оқушының әрекеті |
Бағалау |
Ресурстар |
|||||||
|
5 минут |
Ұйым дастыру |
Сәлеметсіздерме! Бүгін, Алгебралық өрнектерді қысқаша көбейту формулалары арқылы көбейткіштерге жіктеу тақырыбын қарастырамыз. Бүгінгі сабақта меңгеретініңіз:
топтау, қысқаша көбейту формулаларын қолдану сияқты түрлі әдістің комбинацияларын қолдану жолы Үй тапсырмасын тексеру. № |
Амандасады, сабаққа дайындалады. Сұрақтарға жауап береді |
«Бағдаршам» арқылы қалыптастыру шы бағалау |
Оқулық; оқу құралдары; тақта; слайд; |
|||||||
|
10 мин |
Жаңа сабақ |
Көпмүшені көбейткіштерге жіктеу үшін түрлі әдіс қолданады: ортақ көбейткішті жақша сыртына шығару, топтау, қысқаша көбейту формулаларын қолдану. Кейде көпмүшені көбейткіштерге жіктеу үшін бірнеше әдістерді бірінен кейін бірін қолдану керек. Түрлендіруді мүмкін және тиімді болған жағдайда ортақ көбейткішті жақша сыртына шығарудан бастаған жөн. ⠀⠀ 1-мысал. Көпмүшесні көбейткіштерге жікте: 16x2 – 100y2. Шешуі. 16x2 = (4x)2, 100y2 = (10y)2 түрінде жаз. Бұл өрнекті көбейткіштерге жіктеу үшін квадраттардың айырмасы формуласын қолдан: 16x2 – 100y2 = (4x – 10y)(4x + 10y). ⠀⠀ 2-мысал. Көпмүшені көбейткіштерге жікте: 20x3 – 5x. Шешуі. Бұл көпмүшенің мүшелерінде 5x ортақ көбейткіші бар. Осы көбейткішті жақша сыртына шығар: 20x3 – 5x = 5x (4x2 – 1). 4x2 – 1 өрнегіне квадраттардың айырмасы формуласын қолдану арқылы көбейткіштерге жіктеуді жалғастыруға болады. Нәтижесінде көбейткіштер ретінде неғұрлым төмен дәрежелі көпмүшелер шығады: 20x3 – 5x = 5x (4x2 – 1) = 5x (2x – 1)(2x + 1). ⠀⠀ 3-мысал. Үшмүшені көбейткіштерге жікте: 9a2 – 12ab + 4b2. Шешуі. 9a2 – 12ab + 4b2 үшмүшесін екі өрнектің айырмасының квадраты түрінде жазуға болады. Демек: 9a2 – 12ab + 4b2 = (3a – 2b)2. ⠀⠀ |
Тақырып бойынша ресурстарды қарап, танысады ⠀⠀ ⠀⠀ |
«Бағдаршам» арқылы қалыптастыру шы бағалау
|
Оқулық; оқу құралдары; тақта; слайд; Карточкалар;7 сыныпқа арналған оқулық Презентация |
|||||||
|
15 минут |
Бекіту тапсырмасы |
№1.Қабырғасының ұзындығы
Кілт арқылы бір-бірін тексеру
Сұрақтарға жауап беру:
№2.Бос орындарды толтырыңыз (5а+*) 2 =*+*+81b2 (*-2у) 2 =9х4-*+* (*-10а)(*+*)=9с2-* 27a3-*=(*-4b)(*+12ab+16b2) (*+*)3=8+*+6х2+* (*-*)3=*-225х2у+*-27у3 Жауабы. (5а+9b) 2 =25a2+90ab+81b2 (3x 2 -2у) 2 =9х4-12x 2 y+4y 2 (3c-10а)(3c+10a)=9с2-100a 2 27a3-4b=(3a-4b)(9a 2 +12ab+16b2) (2+x)3=8+12x+6х2+x 3 (5x-3y)3=135x 3 -225х2у+135xy 2 -27у3
Оқулықпен жұмыс. № |
Оқушылар дескрипторға сәйкес тапсырмаларды орындайды. Жазылуы бойынша формулаларды жалғастырады (1) ҚКФ ажырата алады (1) Формуланы ауызша тұжырымдай алады Оқулықтан есептерді шығарады.
|
Дескриптор: Топтау тәсілін дұрыс қолдана алды; Ортақ көбейткішті жақша сыртына шығарады; ҚБ:«Бас бармақ» әдісі
Дескриптор:
|
Презентация Слайд Интернет ресурстары Оқулық; оқу құралдары; тақта; слайд; Карточкалар;7 сыныпқа арналған оқулық Презентация |
|||||||
|
10 мин |
Оқулықпен жұмыс |
Оқулықтан есептер шығару:
|
Тапсырманы орындайды |
Оқушының тақтадағы белсенділігіне байланысты ауызша бағалау |
Жалпы білім беретін мектептің 7–сыныбына арналған оқулық. Тақта Бор Кітап Дәптер Интерактивті тақта Бағалау парақтары |
|||||||
|
5 минут |
|
Бүгінгі сабақта:
Үйге тапсырма.№ |
Тақырыпты меңгергенін анықтау |
Кері байланыс |
Оқулық; оқу құралдары; тақта; слайд; |
|||||||
Сабақ жоспары
Бекітемін:
|
Педагогің Аты, Тегі; Әкесінің аты (бар болған жағдайда): |
|
|||||||||||
|
Пән/Сынып: |
7 сынып. Қатысқандар саны: Қатыспағандар саны: |
|||||||||||
|
Күні: |
|
|||||||||||
|
Бөлім: |
Қысқаша көбейту формулалары |
|||||||||||
|
Сабақтың тақырыбы: |
Алгебралық өрнектерді қысқаша көбейту формулалары арқылы көбейткіштерге жіктеу. |
|||||||||||
|
Оқу бағдарламасына сәйкес оқыту мақсаты: |
7. 1.2.14 тиімді есептеу үшін қысқаша көбейту формулаларын қолдану; |
|||||||||||
|
Сабақтың мақсаттары: |
|
|||||||||||
|
Сабақ барысы: |
||||||||||||
|
Уақыты |
Кезең дері |
Педагогтің әрекеті |
Оқушының әрекеті |
Бағалау |
Ресурстар |
|||||||
|
5 минут |
Ұйым дастыру |
Сәлеметсіздерме! Бүгін, Алгебралық өрнектерді қысқаша көбейту формулалары арқылы көбейткіштерге жіктеу тақырыбын қарастырамыз. Бүгінгі сабақта меңгеретініңіз:
топтау, қысқаша көбейту формулаларын қолдану сияқты түрлі әдістің комбинацияларын қолдану жолы Үй тапсырмасын тексеру. №5.134. |
Амандасады, сабаққа дайындалады. Сұрақтарға жауап береді |
«Бағдаршам» арқылы қалыптастыру шы бағалау |
Оқулық; оқу құралдары; тақта; слайд; |
|||||||
|
10 мин |
Жаңа сабақ |
Көпмүшені көбейткіштерге жіктеу үшін түрлі әдіс қолданады: ортақ көбейткішті жақша сыртына шығару, топтау, қысқаша көбейту формулаларын қолдану. Кейде көпмүшені көбейткіштерге жіктеу үшін бірнеше әдістерді бірінен кейін бірін қолдану керек. Түрлендіруді мүмкін және тиімді болған жағдайда ортақ көбейткішті жақша сыртына шығарудан бастаған жөн. ⠀⠀ 1-мысал. Көпмүшесні көбейткіштерге жікте: 16x2 – 100y2. Шешуі. 16x2 = (4x)2, 100y2 = (10y)2 түрінде жаз. Бұл өрнекті көбейткіштерге жіктеу үшін квадраттардың айырмасы формуласын қолдан: 16x2 – 100y2 = (4x – 10y)(4x + 10y). ⠀⠀ 2-мысал. Көпмүшені көбейткіштерге жікте: 20x3 – 5x. Шешуі. Бұл көпмүшенің мүшелерінде 5x ортақ көбейткіші бар. Осы көбейткішті жақша сыртына шығар: 20x3 – 5x = 5x (4x2 – 1). 4x2 – 1 өрнегіне квадраттардың айырмасы формуласын қолдану арқылы көбейткіштерге жіктеуді жалғастыруға болады. Нәтижесінде көбейткіштер ретінде неғұрлым төмен дәрежелі көпмүшелер шығады: 20x3 – 5x = 5x (4x2 – 1) = 5x (2x – 1)(2x + 1). ⠀⠀ 3-мысал. Үшмүшені көбейткіштерге жікте: 9a2 – 12ab + 4b2. Шешуі. 9a2 – 12ab + 4b2 үшмүшесін екі өрнектің айырмасының квадраты түрінде жазуға болады. Демек: 9a2 – 12ab + 4b2 = (3a – 2b)2. ⠀⠀ |
Тақырып бойынша ресурстарды қарап, танысады ⠀⠀ ⠀⠀ |
«Бағдаршам» арқылы қалыптастыру шы бағалау
|
Оқулық; оқу құралдары; тақта; слайд; Карточкалар;7 сыныпқа арналған оқулық Презентация |
|||||||
|
15 минут |
Бекіту тапсырмасы |
|
Оқушылар дескрипторға сәйкес тапсырмаларды орындайды. Жазылуы бойынша формулаларды жалғастырады (1) ҚКФ ажырата алады (1) Формуланы ауызша тұжырымдай алады Оқулықтан есептерді шығарады.
|
Дескриптор: Топтау тәсілін дұрыс қолдана алды; Ортақ көбейткішті жақша сыртына шығарады; ҚБ:«Бас бармақ» әдісі
Дескриптор:
|
Презентация Слайд Интернет ресурстары Оқулық; оқу құралдары; тақта; слайд; Карточкалар;7 сыныпқа арналған оқулық Презентация |
|||||||
|
10 мин |
Оқулықпен жұмыс |
Оқулықтан есептер шығару:
|
Тапсырманы орындайды |
Оқушының тақтадағы белсенділігіне байланысты ауызша бағалау |
Жалпы білім беретін мектептің 7–сыныбына арналған оқулық. Тақта Бор Кітап Дәптер Интерактивті тақта Бағалау парақтары |
|||||||
|
5 минут |
|
Бүгінгі сабақта:
Үйге тапсырма.№ |
Тақырыпты меңгергенін анықтау |
Кері байланыс |
Оқулық; оқу құралдары; тақта; слайд; |
|||||||
Сабақ жоспары
Бекітемін:
|
Педагогің Аты, Тегі; Әкесінің аты (бар болған жағдайда): |
|
||||||||||||||||
|
Пән/Сынып: |
7 сынып. Қатысқандар саны: Қатыспағандар саны: |
||||||||||||||||
|
Күні: |
|
||||||||||||||||
|
Бөлім: |
Қысқаша көбейту формулалары |
||||||||||||||||
|
Сабақтың тақырыбы: |
Алгебралық өрнектерді қысқаша көбейту формулалары арқылы көбейткіштерге жіктеу. |
||||||||||||||||
|
Оқу бағдарламасына сәйкес оқыту мақсаты: |
7. 1.2.14 тиімді есептеу үшін қысқаша көбейту формулаларын қолдану; |
||||||||||||||||
|
Сабақтың мақсаттары: |
|
||||||||||||||||
|
Сабақ барысы: |
|||||||||||||||||
|
Уақыты |
Кезең дері |
Педагогтің әрекеті |
Оқушының әрекеті |
Бағалау |
Ресурстар |
||||||||||||
|
5 минут |
Ұйым дастыру |
Сәлеметсіздерме! Бүгін, Алгебралық өрнектерді қысқаша көбейту формулалары арқылы көбейткіштерге жіктеу тақырыбын қарастырамыз. Бүгінгі сабақта меңгеретініңіз:
топтау, қысқаша көбейту формулаларын қолдану сияқты түрлі әдістің комбинацияларын қолдану жолы Үй тапсырмасын тексеру. №5.137. |
Амандасады, сабаққа дайындалады. Сұрақтарға жауап береді |
«Бағдаршам» арқылы қалыптастыру шы бағалау |
Оқулық; оқу құралдары; тақта; слайд; |
||||||||||||
|
10 мин |
Жаңа сабақ |
Көпмүшені көбейткіштерге жіктеу үшін түрлі әдіс қолданады: ортақ көбейткішті жақша сыртына шығару, топтау, қысқаша көбейту формулаларын қолдану. Кейде көпмүшені көбейткіштерге жіктеу үшін бірнеше әдістерді бірінен кейін бірін қолдану керек. Түрлендіруді мүмкін және тиімді болған жағдайда ортақ көбейткішті жақша сыртына шығарудан бастаған жөн. ⠀⠀ 1-мысал. Көпмүшесні көбейткіштерге жікте: 16x2 – 100y2. Шешуі. 16x2 = (4x)2, 100y2 = (10y)2 түрінде жаз. Бұл өрнекті көбейткіштерге жіктеу үшін квадраттардың айырмасы формуласын қолдан: 16x2 – 100y2 = (4x – 10y)(4x + 10y). ⠀⠀ 2-мысал. Көпмүшені көбейткіштерге жікте: 20x3 – 5x. Шешуі. Бұл көпмүшенің мүшелерінде 5x ортақ көбейткіші бар. Осы көбейткішті жақша сыртына шығар: 20x3 – 5x = 5x (4x2 – 1). 4x2 – 1 өрнегіне квадраттардың айырмасы формуласын қолдану арқылы көбейткіштерге жіктеуді жалғастыруға болады. Нәтижесінде көбейткіштер ретінде неғұрлым төмен дәрежелі көпмүшелер шығады: 20x3 – 5x = 5x (4x2 – 1) = 5x (2x – 1)(2x + 1). ⠀⠀ 3-мысал. Үшмүшені көбейткіштерге жікте: 9a2 – 12ab + 4b2. Шешуі. 9a2 – 12ab + 4b2 үшмүшесін екі өрнектің айырмасының квадраты түрінде жазуға болады. Демек: 9a2 – 12ab + 4b2 = (3a – 2b)2. ⠀⠀ |
Тақырып бойынша ресурстарды қарап, танысады ⠀⠀ ⠀⠀ |
«Бағдаршам» арқылы қалыптастыру шы бағалау
|
Оқулық; оқу құралдары; тақта; слайд; Карточкалар;7 сыныпқа арналған оқулық Презентация |
||||||||||||
|
15 минут |
Бекіту тапсырмасы |
3. Ықшамдаңдар:
Карточка 1 Жақша сыртына ортақ көбейткішті шығарыңыз:
Карточка 2 Көпмүшені көбейткіштерге жіктеңіз:
|
Оқушылар дескрипторға сәйкес тапсырмаларды орындайды.
Жазылуы бойынша формулаларды жалғастырады (1) ҚКФ ажырата алады (1) Формуланы ауызша тұжырымдай алады
Оқулықтан есептерді шығарады.
|
Дескриптор: -Ұқсас қосылғыштарды дұрыс табады. -Ортақ көбейткішті жақша сыртына дұрыс шығарады.
ҚБ:«Бас бармақ» әдісі
Дескриптор:
|
Презентация Слайд Интернет ресурстары Оқулық; оқу құралдары; тақта; слайд; Карточкалар;7 сыныпқа арналған оқулық Презентация |
||||||||||||
|
10 мин |
Оқулықпен жұмыс |
Оқулықтан есептер шығару:
|
Тапсырманы орындайды |
Оқушының тақтадағы белсенділігіне байланысты ауызша бағалау |
Жалпы білім беретін мектептің 7–сыныбына арналған оқулық. Тақта Бор Кітап Дәптер Интерактивті тақта Бағалау парақтары |
||||||||||||
|
5 минут |
|
Бүгінгі сабақта:
Үйге тапсырма.№ |
Тақырыпты меңгергенін анықтау |
Кері байланыс |
Оқулық; оқу құралдары; тақта; слайд; |
||||||||||||
Сабақ жоспары
Бекітемін:
|
Педагогің Аты, Тегі; Әкесінің аты (бар болған жағдайда): |
|
|||||||||||
|
Пән/Сынып: |
7 сынып. Қатысқандар саны: Қатыспағандар саны: |
|||||||||||
|
Күні: |
|
|||||||||||
|
Бөлім: |
Қысқаша көбейту формулалары |
|||||||||||
|
Сабақтың тақырыбы: |
Алгебралық өрнектерді қысқаша көбейту формулалары арқылы көбейткіштерге жіктеу. |
|||||||||||
|
Оқу бағдарламасына сәйкес оқыту мақсаты: |
7. 1.2.14 тиімді есептеу үшін қысқаша көбейту формулаларын қолдану; |
|||||||||||
|
Сабақтың мақсаттары: |
|
|||||||||||
|
Сабақ барысы: |
||||||||||||
|
Уақыты |
Кезең дері |
Педагогтің әрекеті |
Оқушының әрекеті |
Бағалау |
Ресурстар |
|||||||
|
5 минут |
Ұйым дастыру |
Сәлеметсіздерме! Бүгін, Алгебралық өрнектерді қысқаша көбейту формулалары арқылы көбейткіштерге жіктеу тақырыбын қарастырамыз. Бүгінгі сабақта меңгеретініңіз:
|
Амандасады, сабаққа дайындалады. Сұрақтарға жауап береді |
«Бағдаршам» арқылы қалыптастыру шы бағалау |
Оқулық; оқу құралдары; тақта; слайд; |
|||||||
|
10 мин |
Жаңа сабақ |
1 мысал. Көпмүшені көбейткіштерге жіктеңіз және қолданылған әдістерді жазыңыз,
•ортақ көбейткішті жақша сыртына шығару; •қысқаша көбейту формулалары. 2 мысал.
•топтау тәсілі; •қысқаша көбейту формулалары. 3 мысал.
Үш әдіс қолданылды: Топтау тәсілі; Қысқаша көбейту формулалары; Ортақ көбейткішті жақша сыртына шығару. |
Тақырып бойынша ресурстарды қарап, танысады ⠀⠀ ⠀⠀ |
«Бағдаршам» арқылы қалыптастыру шы бағалау
|
Оқулық; оқу құралдары; тақта; слайд; Карточкалар;7 сыныпқа арналған оқулық Презентация |
|||||||
|
15 минут |
Бекіту тапсырмасы |
|
Оқушылар дескрипторға сәйкес тапсырмаларды орындайды.
Жазылуы бойынша формулаларды жалғастырады (1) ҚКФ ажырата алады (1) Формуланы ауызша тұжырымдай алады
Оқулықтан есептерді шығарады.
|
Дескриптор: -Ұқсас қосылғыштарды дұрыс табады. -Ортақ көбейткішті жақша сыртына дұрыс шығарады.
ҚБ:«Бас бармақ» әдісі
Дескриптор:
|
Презентация Слайд Интернет ресурстары Оқулық; оқу құралдары; тақта; слайд; Карточкалар;7 сыныпқа арналған оқулық Презентация |
|||||||
|
10 мин |
Оқулықпен жұмыс |
Оқулықтан есептер шығару: |
Тапсырманы орындайды |
Оқушының тақтадағы белсенділігіне байланысты ауызша бағалау |
Жалпы білім беретін мектептің 7–сыныбына арналған оқулық. Тақта Бор Кітап Дәптер Интерактивті тақта Бағалау парақтары |
|||||||
|
5 минут |
|
Бүгінгі сабақта:
Үйге тапсырма.№5.144 |
Тақырыпты меңгергенін анықтау |
Кері байланыс |
Оқулық; оқу құралдары; тақта; слайд; |
|||||||
Сабақ жоспары
Бекітемін:
|
Педагогің Аты, Тегі; Әкесінің аты (бар болған жағдайда): |
|
|||||||||||
|
Пән/Сынып: |
7 сынып. Қатысқандар саны: Қатыспағандар саны: |
|||||||||||
|
Күні: |
|
|||||||||||
|
Бөлім: |
Қысқаша көбейту формулалары |
|||||||||||
|
Сабақтың тақырыбы: |
Алгебралық өрнектерді қысқаша көбейту формулалары арқылы көбейткіштерге жіктеу. |
|||||||||||
|
Оқу бағдарламасына сәйкес оқыту мақсаты: |
7. 1.2.14 тиімді есептеу үшін қысқаша көбейту формулаларын қолдану; |
|||||||||||
|
Сабақтың мақсаттары: |
|
|||||||||||
|
Сабақ барысы: |
||||||||||||
|
Уақыты |
Кезең дері |
Педагогтің әрекеті |
Оқушының әрекеті |
Бағалау |
Ресурстар |
|||||||
|
5 минут |
Ұйым дастыру |
Сәлеметсіздерме! Бүгін, Алгебралық өрнектерді қысқаша көбейту формулалары арқылы көбейткіштерге жіктеу тақырыбын қарастырамыз. Бүгінгі сабақта меңгеретініңіз:
|
Амандасады, сабаққа дайындалады. Сұрақтарға жауап береді |
«Бағдаршам» арқылы қалыптастыру шы бағалау |
Оқулық; оқу құралдары; тақта; слайд; |
|||||||
|
10 мин |
Жаңа сабақ |
1 мысал. Көпмүшені көбейткіштерге жіктеңіз және қолданылған әдістерді жазыңыз,
•ортақ көбейткішті жақша сыртына шығару; •қысқаша көбейту формулалары. 2 мысал.
•топтау тәсілі; •қысқаша көбейту формулалары. 3 мысал.
Үш әдіс қолданылды: Топтау тәсілі; Қысқаша көбейту формулалары; Ортақ көбейткішті жақша сыртына шығару. |
Тақырып бойынша ресурстарды қарап, танысады ⠀⠀ ⠀⠀ |
«Бағдаршам» арқылы қалыптастыру шы бағалау
|
Оқулық; оқу құралдары; тақта; слайд; Карточкалар;7 сыныпқа арналған оқулық Презентация |
|||||||
|
15 минут |
Бекіту тапсырмасы |
|
Оқушылар дескрипторға сәйкес тапсырмаларды орындайды.
Жазылуы бойынша формулаларды жалғастырады (1) ҚКФ ажырата алады (1) Формуланы ауызша тұжырымдай алады
Жауаптар:
4. 899,96
Оқулықтан есептерді шығарады.
|
Дескриптор: -Ұқсас қосылғыштарды дұрыс табады. -Ортақ көбейткішті жақша сыртына дұрыс шығарады.
ҚБ:«Бас бармақ» әдісі
Дескриптор:
|
Презентация Слайд Интернет ресурстары Оқулық; оқу құралдары; тақта; слайд; Карточкалар;7 сыныпқа арналған оқулық Презентация |
|||||||
|
10 мин |
Оқулықпен жұмыс |
Оқулықтан есептер шығару: |
Тапсырманы орындайды |
Оқушының тақтадағы белсенділігіне байланысты ауызша бағалау |
Жалпы білім беретін мектептің 7–сыныбына арналған оқулық. Тақта Бор Кітап Дәптер Интерактивті тақта Бағалау парақтары |
|||||||
|
5 минут |
|
Бүгінгі сабақта:
Үйге тапсырма.№5.148. |
Тақырыпты меңгергенін анықтау |
Кері байланыс |
Оқулық; оқу құралдары; тақта; слайд; |
|||||||
Сабақ жоспары
Бекітемін:
|
Педагогің Аты, Тегі; Әкесінің аты (бар болған жағдайда): |
|
|||||||||||||||||||||||||||||||||||
|
Пән/Сынып: |
7 сынып. Қатысқандар саны: Қатыспағандар саны: |
|||||||||||||||||||||||||||||||||||
|
Күні: |
|
|||||||||||||||||||||||||||||||||||
|
Бөлім: |
Қысқаша көбейту формулалары |
|||||||||||||||||||||||||||||||||||
|
Сабақтың тақырыбы: |
Алгебралық өрнектерді қысқаша көбейту формулалары арқылы көбейткіштерге жіктеу. |
|||||||||||||||||||||||||||||||||||
|
Оқу бағдарламасына сәйкес оқыту мақсаты: |
7. 1.2.14 тиімді есептеу үшін қысқаша көбейту формулаларын қолдану; |
|||||||||||||||||||||||||||||||||||
|
Сабақтың мақсаттары: |
|
|||||||||||||||||||||||||||||||||||
|
Сабақ барысы: |
||||||||||||||||||||||||||||||||||||
|
Уақыты |
Кезең дері |
Педагогтің әрекеті |
Оқушының әрекеті |
Бағалау |
Ресурстар |
|||||||||||||||||||||||||||||||
|
5 минут |
Ұйым дастыру |
Сәлеметсіздерме! Бүгін, Алгебралық өрнектерді қысқаша көбейту формулалары арқылы көбейткіштерге жіктеу тақырыбын қарастырамыз. Бүгінгі сабақта меңгеретініңіз:
|
Амандасады, сабаққа дайындалады. Сұрақтарға жауап береді |
«Бағдаршам» арқылы қалыптастыру шы бағалау |
Оқулық; оқу құралдары; тақта; слайд; |
|||||||||||||||||||||||||||||||
|
10 мин |
Жаңа сабақ |
1 мысал. Көпмүшені көбейткіштерге жіктеңіз және қолданылған әдістерді жазыңыз,
•ортақ көбейткішті жақша сыртына шығару; •қысқаша көбейту формулалары. 2 мысал.
•топтау тәсілі; •қысқаша көбейту формулалары. 3 мысал.
Үш әдіс қолданылды: Топтау тәсілі; Қысқаша көбейту формулалары; Ортақ көбейткішті жақша сыртына шығару. |
Тақырып бойынша ресурстарды қарап, танысады ⠀⠀ ⠀⠀ |
«Бағдаршам» арқылы қалыптастыру шы бағалау
|
Оқулық; оқу құралдары; тақта; слайд; Карточкалар;7 сыныпқа арналған оқулық Презентация |
|||||||||||||||||||||||||||||||
|
15 минут |
Бекіту тапсырмасы |
|
Оқушылар дескрипторға сәйкес тапсырмаларды орындайды. Жауаптар: 1-D 2-G 3-E 4-B 5-A 6-F 7-C
Жазылуы бойынша формулаларды жалғастырады (1) ҚКФ ажырата алады (1) Формуланы ауызша тұжырымдай алады
Оқулықтан есептерді шығарады.
|
Дескриптор: -Ұқсас қосылғыштарды дұрыс табады. -Ортақ көбейткішті жақша сыртына дұрыс шығарады.
ҚБ:«Бас бармақ» әдісі
Дескриптор:
|
Презентация Слайд Интернет ресурстары Оқулық; оқу құралдары; тақта; слайд; Карточкалар;7 сыныпқа арналған оқулық Презентация |
|||||||||||||||||||||||||||||||
|
10 мин |
Оқулықпен жұмыс |
Оқулықтан есептер шығару: |
Тапсырманы орындайды |
Оқушының тақтадағы белсенділігіне байланысты ауызша бағалау |
Жалпы білім беретін мектептің 7–сыныбына арналған оқулық. Тақта Бор Кітап Дәптер Интерактивті тақта Бағалау парақтары |
|||||||||||||||||||||||||||||||
|
5 минут |
|
Бүгінгі сабақта:
Үйге тапсырма.№5.150. |
Тақырыпты меңгергенін анықтау |
Кері байланыс |
Оқулық; оқу құралдары; тақта; слайд; |
|||||||||||||||||||||||||||||||
Сабақ жоспары
Бекітемін:
|
Педагогің Аты, Тегі; Әкесінің аты (бар болған жағдайда): |
|
|||||||||||||||||||||||||||||||||||||||||||||||
|
Пән/Сынып: |
7 сынып. Қатысқандар саны: Қатыспағандар саны: |
|||||||||||||||||||||||||||||||||||||||||||||||
|
Күні: |
|
|||||||||||||||||||||||||||||||||||||||||||||||
|
Бөлім: |
Қысқаша көбейту формулалары |
|||||||||||||||||||||||||||||||||||||||||||||||
|
Сабақтың тақырыбы: |
Алгебралық өрнектерді қысқаша көбейту формулалары арқылы көбейткіштерге жіктеу. |
|||||||||||||||||||||||||||||||||||||||||||||||
|
Оқу бағдарламасына сәйкес оқыту мақсаты: |
7. 1.2.14 тиімді есептеу үшін қысқаша көбейту формулаларын қолдану; |
|||||||||||||||||||||||||||||||||||||||||||||||
|
Сабақтың мақсаттары: |
|
|||||||||||||||||||||||||||||||||||||||||||||||
|
Сабақ барысы: |
||||||||||||||||||||||||||||||||||||||||||||||||
|
Уақыты |
Кезең дері |
Педагогтің әрекеті |
Оқушының әрекеті |
Бағалау |
Ресурстар |
|||||||||||||||||||||||||||||||||||||||||||
|
5 минут |
Ұйым дастыру |
Сәлеметсіздерме! Бүгін, Алгебралық өрнектерді қысқаша көбейту формулалары арқылы көбейткіштерге жіктеу тақырыбын қарастырамыз. Бүгінгі сабақта меңгеретініңіз:
|
Амандасады, сабаққа дайындалады. Сұрақтарға жауап береді |
«Бағдаршам» арқылы қалыптастыру шы бағалау |
Оқулық; оқу құралдары; тақта; слайд; |
|||||||||||||||||||||||||||||||||||||||||||
|
10 мин |
Жаңа сабақты бекіту. |
(а+в)(а-в)=? (а-в)2=? (а-в)3=? (а+в)(а2-ав+в2)=? (а-в)(а2+ав+в2)=? (а+в)3=?
|
Тақырып бойынша ресурстарды қарап, танысады ⠀⠀ ⠀⠀ |
«Бағдаршам» арқылы қалыптастыру шы бағалау
|
Оқулық; оқу құралдары; тақта; слайд; Карточкалар;7 сыныпқа арналған оқулық Презентация |
|||||||||||||||||||||||||||||||||||||||||||
|
15 минут |
Бекіту тапсырмасы |
Мына тапсырмаларды дәптерге жазып, теңбе-теңдік орындалатындай етіп, А мен Б бірмүшелерін табу: (А+3у)(4х2-6ху+9у2)=8х3+Б (х+3у)2=А+6ху+Б 49а2-А=(Б-2в)(Б+2в) (4с-5в)3= А-240с2 в+Б-125в3 (10х-7у)2=А-140ху+Б (х2-2у2)(х2+А+4у4)=х6-Б Кілті: 1)А=2х, Б=27у3; 2)А=х2, Б=9у2; 3)А=4в2, Б=7а; 4)А=64с3, Б=300св2; 5)А=100х2, Б=49у2; 6)А=2х2у2, Б=8у6
Деңгейлік тапсырмалар. 1 тапсырма. Тепе-теңдікті дәлелде: (а+в)2-4ав=(а-в)2 (а-в)2+4ав=(а+в)2
2 тапсырма. Теңдіктің дұрыстығын көрсет: (а-в)(а+в)(а2+в2)=а4-в4 (а4+в4)(а2+в2)(а+в)(а-в)=а8-в8
3 тапсырма. Тепе-теңдікті дәлелде: (а+в)2(а-в)-2ав(в-а)-6ав(а-в)=(а-в)3 |
Оқушылар дескрипторға сәйкес тапсырмаларды орындайды. Жазылуы бойынша формулаларды жалғастырады (1) ҚКФ ажырата алады (1) Формуланы ауызша тұжырымдай алады
Оқулықтан есептерді шығарады.
№5.145, №5.148. |
|
Презентация Слайд Интернет ресурстары Оқулық; оқу құралдары; тақта; слайд; Карточкалар;7 сыныпқа арналған оқулық Презентация |
|||||||||||||||||||||||||||||||||||||||||||
|
10 мин |
Оқулықпен жұмыс |
Оқулықтан есептер шығару: |
Тапсырманы орындайды |
Оқушының тақтадағы белсенділігіне байланысты ауызша бағалау |
Жалпы білім беретін мектептің 7–сыныбына арналған оқулық. Тақта Бор Кітап Дәптер Интерактивті тақта Бағалау парақтары |
|||||||||||||||||||||||||||||||||||||||||||
|
5 минут |
|
Бүгінгі сабақта:
Үйге тапсырма.№3, №4 /есептер жинағынан/. |
Тақырыпты меңгергенін анықтау |
Кері байланыс |
Оқулық; оқу құралдары; тақта; слайд; |
|||||||||||||||||||||||||||||||||||||||||||
Сабақ жоспары
Бекітемін:
|
Педагогің Аты, Тегі; Әкесінің аты (бар болған жағдайда): |
|
|||||||||||
|
Пән/Сынып: |
7 сынып. Қатысқандар саны: Қатыспағандар саны: |
|||||||||||
|
Күні: |
|
|||||||||||
|
Бөлім: |
Қысқаша көбейту формулалары |
|||||||||||
|
Сабақтың тақырыбы: |
Қысқаша көбейту формулаларын қолданып өрнектерді түрлендіру |
|||||||||||
|
Оқу бағдарламасына сәйкес оқыту мақсаты: |
7.2.1.15 қысқаша көбейту формулалары арқылы алгебралық өрнектерді тепе-тең түрлендірулерді орындау ;
|
|||||||||||
|
Сабақтың мақсаттары: |
|
|||||||||||
|
Сабақ барысы: |
||||||||||||
|
Уақыты |
Кезең дері |
Педагогтің әрекеті |
Оқушының әрекеті |
Бағалау |
Ресурстар |
|||||||
|
5 минут |
Ұйым дастыру |
Сәлеметсіздерме! Бүгін, Қысқаша көбейту формулаларын қолданып өрнектерді түрлендіру тақырыбын қарастырамыз. Бүгінгі сабақта меңгеретініңіз:
|
Амандасады, сабаққа дайындалады. Сұрақтарға жауап береді |
«Бағдаршам» арқылы қалыптастыру шы бағалау |
Оқулық; оқу құралдары; тақта; слайд; |
|||||||
|
10 мин |
Жаңа сабақты бекіту. |
(4p-3)2-9p2
(3х – 2)(3х + 2) – (1 + х)(х – 1)
Өзін-өзі тексеру |
Тақырып бойынша ресурстарды қарап, танысады ⠀⠀ ⠀ Жауаптары: 1)А; 2)В; 3)С; 4)А; 5)В
|
«Бағдаршам» арқылы қалыптастыру шы бағалау
|
Интернет ресурстары Оқулық; оқу құралдары; тақта; слайд; Карточкалар;7 сыныпқа арналған оқулық Презентация |
|||||||
|
15 минут |
Бекіту тапсырмасы |
Тапсырма 1: 1.А. Өрнекті ықшамдаңыздар. а) (x + 7)2 – 10 (x + 4); б) 5b2 – (a – 2b)2; в) (a + 3c)2 – (b + 3c) (b – 3c); г) (x + 3)2 – (x – 3)2.
Тапсырма 2: Көбейткіштерге жіктеңіздер: (5b2 – (a – 2b)2; (x + 3)2 – (x – 3)2.
Тапсырма 3: Есептеңіздер:
Тапсырма 4: Өрнектерді ықшамдаңыздар (қосымша тапсырма, мұғалімге тапсырылады)
(у-2)(у+3)-(у-1)2 4(а+5)2-(4а2+40а) |
Оқушылар дескрипторға сәйкес тапсырмаларды орындайды. Жазылуы бойынша формулаларды жалғастырады (1) ҚКФ ажырата алады (1) Формуланы ауызша тұжырымдай алады Оқулықтан есептерді шығарады.
|
|
Презентация Слайд Интернет ресурстары Оқулық; оқу құралдары; тақта; слайд; Карточкалар;7 сыныпқа арналған оқулық Презентация |
|||||||
|
10 мин |
Оқулықпен жұмыс |
Оқулықтан есептер шығару: |
Тапсырманы орындайды |
Оқушының тақтадағы белсенділігіне байланысты ауызша бағалау |
Жалпы білім беретін мектептің 7–сыныбына арналған оқулық. Тақта Бор Кітап Дәптер Интерактивті тақта Бағалау парақтары |
|||||||
|
5 минут |
|
Бүгінгі сабақта:
Үйге тапсырма. №3. №4. |
Тақырыпты меңгергенін анықтау |
Кері байланыс |
Оқулық; оқу құралдары; тақта; слайд; |
|||||||
Сабақ жоспары
Бекітемін:
|
Педагогің Аты, Тегі; Әкесінің аты (бар болған жағдайда): |
|
|||||||||||||||||||||||||
|
Пән/Сынып: |
7 сынып. Қатысқандар саны: Қатыспағандар саны: |
|||||||||||||||||||||||||
|
Күні: |
|
|||||||||||||||||||||||||
|
Бөлім: |
Қысқаша көбейту формулалары |
|||||||||||||||||||||||||
|
Сабақтың тақырыбы: |
Қысқаша көбейту формулаларын қолданып өрнектерді түрлендіру |
|||||||||||||||||||||||||
|
Оқу бағдарламасына сәйкес оқыту мақсаты: |
7.2.1.15 қысқаша көбейту формулалары арқылы алгебралық өрнектерді тепе-тең түрлендірулерді орындау ;
|
|||||||||||||||||||||||||
|
Сабақтың мақсаттары: |
|
|||||||||||||||||||||||||
|
Сабақ барысы: |
||||||||||||||||||||||||||
|
Уақыты |
Кезең дері |
Педагогтің әрекеті |
Оқушының әрекеті |
Бағалау |
Ресурстар |
|||||||||||||||||||||
|
5 минут |
Ұйым дастыру |
Сәлеметсіздерме! Бүгін, Қысқаша көбейту формулаларын қолданып өрнектерді түрлендіру тақырыбын қарастырамыз. Бүгінгі сабақта меңгеретініңіз:
«Қатені тап» тапсырмасында оқушылар екі өрнектің қосындысы мен айырмасының квадраты және екі өрнектің қосындысы мен айырмасының кубы формулаларын қайталап, естеріне түсіреді. 1.
2.
3.
4.
5.
|
Амандасады, сабаққа дайындалады. Сұрақтарға жауап береді Оқушылар бірін бірі тексереді. Барлық қателерді таба алдыңыздар ма? |
«Бағдаршам» арқылы қалыптастыру шы бағалау |
Оқулық; оқу құралдары; тақта; слайд; |
|||||||||||||||||||||
|
10 мин |
Жаңа сабақты бекіту. |
Тапсырма. а) Көбейтінділерді көпмүшелерге түрлендіріңіз және табылған жауапқа сәйкес келетін әріптерді жазыңыз.
|
⠀⠀
|
«Бағдаршам» арқылы қалыптастыру шы бағалау
|
Интернет ресурстары
Оқулық; оқу құралдары; тақта; слайд; Карточкалар;7 сыныпқа арналған оқулық Презентация |
|||||||||||||||||||||
|
15 минут |
Бекіту тапсырмасы |
Тапсырма. 1-тапсырма.Теңдік орындалатындай * орнына бірмүшелер қойыңыз. a)
2-тапсырма.Өрнектің мәнін табыңыз:
3-тапсырма. Бос
орындарды
4-тапсырма. Өрнекті тиімді тәсілмен есептеп, төменгі тұжырымдардың қайсысы ақиқат, қайсысы жалған екендігін анықтаңыз:
|
Оқушылар дескрипторға сәйкес тапсырмаларды орындайды. Жаз
ылуы бойынша формулаларды жалғастырады (1) ҚКФ ажырата алады (1) Формуланы ауызша тұжырымдай алады
Оқулықтан есептерді шығарады.
|
|
Презентация Слайд Интернет ресурстары Оқулық; оқу құралдары; тақта; слайд; Карточкалар;7 сыныпқа арналған оқулық Презентация |
|||||||||||||||||||||
|
10 мин |
Оқулықпен жұмыс |
Оқулықтан есептер шығару: |
Тапсырманы орындайды |
Оқушының тақтадағы белсенділігіне байланысты ауызша бағалау |
Жалпы білім беретін мектептің 7–сыныбына арналған оқулық. Тақта Бор Кітап Дәптер Интерактивті тақта Бағалау парақтары |
|||||||||||||||||||||
|
5 минут |
|
Бүгінгі сабақта:
Кері байланыс. «Бес саусақ» әдісі арқылы 1. Маған ұнағаны 2. Маған қиындық тудырған 3. Мен үшін маңызды ақпарат 4. Білгім келеді 5. Ұсынысым Үй жұмысы. №5 /есептер жинағы/ Өрнектерді ықшамдаңыз
a)
b)
|
Тақырыпты меңгергенін анықтау |
Кері байланыс |
Оқулық; оқу құралдары; тақта; слайд; |
|||||||||||||||||||||
Сабақ жоспары
Бекітемін:
|
Педагогің Аты, Тегі; Әкесінің аты (бар болған жағдайда): |
|
||||||
|
Пән/Сынып: |
7 сынып. Қатысқандар саны: Қатыспағандар саны: |
||||||
|
Күні: |
|
||||||
|
Бөлім: |
Қысқаша көбейту формулалары |
||||||
|
Сабақтың тақырыбы: |
Қысқаша көбейту формулаларын қолданып өрнектерді түрлендіру |
||||||
|
Оқу бағдарламасына сәйкес оқыту мақсаты: |
7.2.1.15 қысқаша көбейту формулалары арқылы алгебралық өрнектерді тепе-тең түрлендірулерді орындау ;
|
||||||
|
Сабақтың мақсаттары: |
|
||||||
|
Сабақ барысы: |
|||||||
|
Уақыты |
Кезең дері |
Педагогтің әрекеті |
Оқушының әрекеті |
Бағалау |
Ресурстар |
||
|
5 минут |
Ұйым дастыру |
Сәлеметсіздерме! Бүгін, Қысқаша көбейту формулаларын қолданып өрнектерді түрлендіру тақырыбын қарастырамыз. Бүгінгі сабақта меңгеретініңіз:
|
Амандасады, сабаққа дайындалады. Сұрақтарға жауап береді Оқушылар бірін бірі тексереді. |
«Бағдаршам» арқылы қалыптастыру шы бағалау |
Оқулық; оқу құралдары; тақта; слайд; |
||
|
10 мин |
Жаңа сабақты бекіту. |
Тапсырма. Көбейткіштерге жіктендер: Берілген өрнектермен қалай көбейткіштерге жіктеу болады? Қандай ыдырау әдістері алгебриялық өрнектерді сіз білесіх және мысалындарды беріңіз. Тақырыпқа шығу «Қысқаша көбейту формулалары арқылы алгебралық өрнектерді тепе-тең түрлендірулерді орындау» |
⠀⠀ |
«Бағдаршам» арқылы қалыптастыру шы бағалау |
Интернет ресурстары Оқулық; оқу құралдары; тақта; слайд; Карточкалар;7 сыныпқа арналған оқулық Презентация |
||
|
15 минут |
Бекіту тапсырмасы |
Тапсырма. Жаттығу 1. Алгебралық өрнектерді көбейтінді түріне келтіріңіз.
Жаттығу 1. Көпмүшелерді көбейткіштерге жіктендер: а)
б)
в)
г)
д)
е)
Жаттығу 3. Көпмүшені көбейткіштерге жіктегенен кейінгі дұрыс өрнекті таңдаңыз.
|
Оқушылар дескрипторға сәйкес тапсырмаларды орындайды. Жаз
ылуы бойынша формулаларды жалғастырады (1) ҚКФ ажырата алады (1) Формуланы ауызша тұжырымдай алады
Оқулықтан есептерді шығарады.
|
Дескриптор: -қысқаша көбейту формуларынды біледі; -қысқаша көбейту формулалары арқылы алгебралық өрнектерді тепе-тең түрлендірулерді біледі.
|
Презентация Слайд Интернет ресурстары Оқулық; оқу құралдары; тақта; слайд; Карточкалар;7 сыныпқа арналған оқулық Презентация |
||
|
10 мин |
Оқулықпен жұмыс |
Оқулықтан есептер шығару: |
Тапсырманы орындайды |
Оқушының тақтадағы белсенділігіне байланысты ауызша бағалау |
Жалпы білім беретін мектептің 7–сыныбына арналған оқулық. Тақта Бор Кітап Дәптер Интерактивті тақта Бағалау парақтары |
||
|
5 минут |
|
Бүгінгі сабақта:
Кері байланыс. «Бес саусақ» әдісі арқылы 1. Маған ұнағаны 2. Маған қиындық тудырған 3. Мен үшін маңызды ақпарат 4. Білгім келеді 5. Ұсынысым Үй жұмысы. №4 /есептер жинағы/ Көпмүшелерді көбейткіштерге жіктендер:
а)
б)
в)
|
Тақырыпты меңгергенін анықтау |
Кері байланыс Дескриптор: -қысқаша көбейту формуларынды біледі; -қысқаша көбейту формулалары арқылы алгебралық өрнектерді тепе-тең түрлендірулерді біледі. |
Оқулық; оқу құралдары; тақта; слайд; |
||
Сабақ жоспары
Бекітемін:
|
Педагогің Аты, Тегі; Әкесінің аты (бар болған жағдайда): |
|
||||||||||||||||||||||||
|
Пән/Сынып: |
7 сынып. Қатысқандар саны: Қатыспағандар саны: |
||||||||||||||||||||||||
|
Күні: |
|
||||||||||||||||||||||||
|
Бөлім: |
Қысқаша көбейту формулалары |
||||||||||||||||||||||||
|
Сабақтың тақырыбы: |
Қысқаша көбейту формулаларын қолданып өрнектерді түрлендіру |
||||||||||||||||||||||||
|
Оқу бағдарламасына сәйкес оқыту мақсаты: |
7.2.1.15 қысқаша көбейту формулалары арқылы алгебралық өрнектерді тепе-тең түрлендірулерді орындау ;
|
||||||||||||||||||||||||
|
Сабақтың мақсаттары: |
|
||||||||||||||||||||||||
|
Сабақ барысы: |
|||||||||||||||||||||||||
|
Уақыты |
Кезең дері |
Педагогтің әрекеті |
Оқушының әрекеті |
Бағалау |
Ресурстар |
||||||||||||||||||||
|
5 минут |
Ұйым дастыру |
Сәлеметсіздерме! Бүгін, Қысқаша көбейту формулаларын қолданып өрнектерді түрлендіру тақырыбын қарастырамыз. Бүгінгі сабақта меңгеретініңіз:
|
Амандасады, сабаққа дайындалады. Сұрақтарға жауап береді Оқушылар бірін бірі тексереді. |
«Бағдаршам» арқылы қалыптастыру шы бағалау |
Оқулық; оқу құралдары; тақта; слайд; |
||||||||||||||||||||
|
10 мин |
Жаңа сабақты бекіту. |
Тапсырма. Тақырыпқа шығу мақсатында оқушылар келесі сұрақтарға жауап береді:
Оқушылар а) пунктегі тапсырмадағы әрбір қосылғыш 3-ке бөлінетінін көреді. Бірақ б) пункті оларға қиындық туғызады. Кейбір оқушылар кубтардың қосындысын көбейткіштерге жіктеу керектігін түсінуі мүмкін. с) пункті үшін квадраттардың айырмасын қолданып, дәлелдеуге болатынын түсінеді. Квадраттардың айырмасы Кейбір есептеулерді тиімді орындау үшін квадраттардың айырмасы формуласын қолдануға болады:
|
⠀⠀ |
«Бағдаршам» арқылы қалыптастыру шы бағалау |
Интернет ресурстары Оқулық; оқу құралдары; тақта; слайд; Карточкалар;7 сыныпқа арналған оқулық Презентация |
||||||||||||||||||||
|
15 минут |
Бекіту тапсырмасы |
Тапсырма.1. Тапсырма 2. Ауызша есептеңіз
2. Есептеңіз:
Қысқаша көбейту формулаларын сонымен қатар, бөлінгішті дәлелдеу үшін қолдануға болады:
Өрнектің мәні 100-ге бөлінеді, демек ол екі нөлмен аяқталады.
Оқушылар жұпта келесі өрнектердің бөлінгіштігін көрсетеді:
Оқушылар жұпта келесі өрнектердің мәнін квадраттардың айырмасы формуласын қолданып, табады:
А деңгейі
В деңгейі
|
Оқушылар дескрипторға сәйкес тапсырмаларды орындайды.
Жазылуы бойынша формулаларды жалғастырады (1) ҚКФ ажырата алады (1) Формуланы ауызша тұжырымдай алады
Оқулықтан есептерді шығарады.
|
Дескриптор: -қысқаша көбейту формуларынды біледі; -қысқаша көбейту формулалары арқылы алгебралық өрнектерді тепе-тең түрлендірулерді біледі.
|
Презентация Слайд Интернет ресурстары Оқулық; оқу құралдары; тақта; слайд; Карточкалар;7 сыныпқа арналған оқулық Презентация |
||||||||||||||||||||
|
10 мин |
Оқулықпен жұмыс |
Оқулықтан есептер шығару: |
Тапсырманы орындайды |
Оқушының тақтадағы белсенділігіне байланысты ауызша бағалау |
Жалпы білім беретін мектептің 7–сыныбына арналған оқулық. Тақта Бор Кітап Дәптер Интерактивті тақта Бағалау парақтары |
||||||||||||||||||||
|
5 минут |
|
Бүгінгі сабақта:
Кері байланыс. «Бес саусақ» әдісі арқылы 1. Маған ұнағаны 2. Маған қиындық тудырған 3. Мен үшін маңызды ақпарат 4. Білгім келеді 5. Ұсынысым Үй жұмысы. №8 /есептер жинағы/
|
Тақырыпты меңгергенін анықтау |
Кері байланыс
|
Оқулық; оқу құралдары; тақта; слайд; |
||||||||||||||||||||
Сабақ жоспары
Бекітемін:
|
Педагогің Аты, Тегі; Әкесінің аты (бар болған жағдайда): |
|
|||||||||||||||
|
Пән/Сынып: |
7 сынып. Қатысқандар саны: Қатыспағандар саны: |
|||||||||||||||
|
Күні: |
|
|||||||||||||||
|
Бөлім: |
Қысқаша көбейту формулалары |
|||||||||||||||
|
Сабақтың тақырыбы: |
Қысқаша көбейту формулаларын қолданып өрнектерді түрлендіру |
|||||||||||||||
|
Оқу бағдарламасына сәйкес оқыту мақсаты: |
7.2.1.15 қысқаша көбейту формулалары арқылы алгебралық өрнектерді тепе-тең түрлендірулерді орындау ;
|
|||||||||||||||
|
Сабақтың мақсаттары: |
|
|||||||||||||||
|
Сабақ барысы: |
||||||||||||||||
|
Уақыты |
Кезең дері |
Педагогтің әрекеті |
Оқушының әрекеті |
Бағалау |
Ресурстар |
|||||||||||
|
5 минут |
Ұйым дастыру |
Сәлеметсіздерме! Бүгін, Қысқаша көбейту формулаларын қолданып өрнектерді түрлендіру тақырыбын қарастырамыз. Бүгінгі сабақта меңгеретініңіз:
|
Амандасады, сабаққа дайындалады. Сұрақтарға жауап береді Оқушылар бірін бірі тексереді. |
«Бағдаршам» арқылы қалыптастыру шы бағалау |
Оқулық; оқу құралдары; тақта; слайд; |
|||||||||||
|
10 мин |
Жаңа сабақты бекіту. |
Тапсырма. Тақырыпқа шығу мақсатында оқушылар келесі сұрақтарға жауап береді:
Оқушылар а) пунктегі тапсырмадағы әрбір қосылғыш 3-ке бөлінетінін көреді. Бірақ б) пункті оларға қиындық туғызады. Кейбір оқушылар кубтардың қосындысын көбейткіштерге жіктеу керектігін түсінуі мүмкін. с) пункті үшін квадраттардың айырмасын қолданып, дәлелдеуге болатынын түсінеді. Квадраттардың айырмасы Кейбір есептеулерді тиімді орындау үшін квадраттардың айырмасы формуласын қолдануға болады:
|
⠀⠀ |
«Бағдаршам» арқылы қалыптастыру шы бағалау |
Интернет ресурстары Оқулық; оқу құралдары; тақта; слайд; Карточкалар;7 сыныпқа арналған оқулық Презентация |
|||||||||||
|
15 минут |
Бекіту тапсырмасы |
Тапсырма 1. Ортақ көбейткішті жақшаның сыртына шығарыңыз. а) б) в) г) Тапсырма 2. Көпмүшелерді топтау тәсілмен көбейткіштерге жіктеңіз: а) б) в) г) Тапсырма 3. Тендеуді шешіңіз
«Жасырын дифференциация» техникасын қолдану. Әр оқушы өзіне тапсырма таңдайды. Тапсырмаларды таңдау шарттары: әр оқушы өзіне 3 тапсырма таңдайды, есептер диагональ арқылы немесе вертикаль арқылы немесе горизонталь арқылы болу керек. Диагональ –жоғары деңгей тапсырмалар Горизонталь – орта деңгей тапсырмалар Вертикаль – төмен деңгей тапсырмалар
Көбейткіштерге жіктеңдер
|
Оқушылар дескрипторға сәйкес тапсырмаларды орындайды.
Жазылуы бойынша формулаларды жалғастырады (1) ҚКФ ажырата алады (1) Формуланы ауызша тұжырымдай алады
Оқулықтан есептерді шығарады.
|
Дескриптор: -қысқаша көбейту формуларынды біледі; -қысқаша көбейту формулалары арқылы алгебралық өрнектерді тепе-тең түрлендірулерді біледі.
|
Презентация Слайд Интернет ресурстары Оқулық; оқу құралдары; тақта; слайд; Карточкалар;7 сыныпқа арналған оқулық Презентация |
|||||||||||
|
10 мин |
Оқулықпен жұмыс |
Оқулықтан есептер шығару: |
Тапсырманы орындайды |
Оқушының тақтадағы белсенділігіне байланысты ауызша бағалау |
|
|||||||||||
|
5 минут |
|
Бүгінгі сабақта:
Кері байланыс. «Бес саусақ» әдісі арқылы 1. Маған ұнағаны 2. Маған қиындық тудырған 3. Мен үшін маңызды ақпарат 4. Білгім келеді 5. Ұсынысым Үй жұмысы. №4 /есептер жинағы/
|
Тақырыпты меңгергенін анықтау |
Кері байланыс
|
Оқулық; оқу құралдары; тақта; слайд; |
|||||||||||
Сабақ жоспары
Бекітемін:
|
Педагогің Аты, Тегі; Әкесінің аты (бар болған жағдайда): |
|
|||||||||||||||||||||||||||||||||||||||||
|
Пән/Сынып: |
7 сынып. Қатысқандар саны: Қатыспағандар саны: |
|||||||||||||||||||||||||||||||||||||||||
|
Күні: |
|
|||||||||||||||||||||||||||||||||||||||||
|
Бөлім: |
Қысқаша көбейту формулалары |
|||||||||||||||||||||||||||||||||||||||||
|
Сабақтың тақырыбы: |
Мәтінді есептерді шығару |
|||||||||||||||||||||||||||||||||||||||||
|
Оқу бағдарламасына сәйкес оқыту мақсаты: |
7.4.3.1есеп шарты бойынша математикалық модель құру; 7.4.2.2 мәтінді есептерді теңдеулер және теңсіздіктер құру арқылы шығару; |
|||||||||||||||||||||||||||||||||||||||||
|
Сабақтың мақсаттары: |
|
|||||||||||||||||||||||||||||||||||||||||
|
Сабақ барысы: |
||||||||||||||||||||||||||||||||||||||||||
|
Уақыты |
Кезең дері |
Педагогтің әрекеті |
Оқушының әрекеті |
Бағалау |
Ресурстар |
|||||||||||||||||||||||||||||||||||||
|
5 минут |
Ұйым дастыру |
Сәлеметсіздерме! Бүгін, Мәтінді есептерді шығару тақырыбын қарастырамыз. Бүгінгі сабақта меңгеретініңіз:
|
Амандасады, сабаққа дайындалады. Сұрақтарға жауап береді Оқушылар бірін бірі тексереді. |
«Бағдаршам» арқылы қалыптастыру шы бағалау |
Оқулық; оқу құралдары; тақта; слайд; |
|||||||||||||||||||||||||||||||||||||
|
5 мин |
Жаңа сабақ. |
Физикалық есепті бірлесіп талдау (видео талдау) Тапсырма: Тордың көлемін анықтауға арналған есепті шешіңіздер. (Бір оқушы тақтада, қалғандары орындарында жеке орындайды, кейін салыстырады, жұппен қарастыруға болады).
Есептің берілген (мұғалім тақтаға жазады):
Шешуі:
Егер a=17, b=7, онда
|
⠀⠀ |
«Бағдаршам» арқылы қалыптастыру шы бағалау |
Интернет ресурстары Оқулық; оқу құралдары; тақта; слайд; Карточкалар;7 сыныпқа арналған оқулық Презентация |
|||||||||||||||||||||||||||||||||||||
|
10 минут |
Бекіту тапсырмасы |
1 есеп (теңдеу құруға): Егер қабырғасы х см шаршыға 3см-ге арттырса, онда пайда болған шаршының ауданы шаршының ауданынан 39см2-ге артық болады. Кіші шаршының периметрін анықтаңыздар. Шешуі: Бірінші шаршының қабырғасы х см болсын.
(х+3)2 өрнегі х2-тан 39 см2-ге артық екені белгілі. Теңдеу:
5 см - бірінші шаршының қабырғасы, 5+3 = 8 см – екінші шаршының қабырғасы Р= 4*5=20 см. Жауабы: кіші шаршының периметрі 20 см.
2 есеп: (теңсіздік құруға) Шаршының қабырғасын 4см-ге арттырды. Пайда болған шаршының ауданы бастапқы шаршының ауданынан 32см2-ге артық болатындай бастапқы шаршының қабырғасының ұзындығы қанша болуы керек?
Шешуі: Бірінші шаршының қабырғасы х см болсын.
(х+4)2 өрнегі х2 –тан 32 см2-ге артық екені белгілі. Теңсіздік:
Жауабы: бірінші шаршының қабырғасы 2см-ден артық болуы тиіс. 3.Тізбектес екі натурал сандардың квадраттарының айырмасы 5-ке тең. Осы сандардың квадраттарының қосындысын табыңдар.
Шешуі: Бірінші сан n болсын.
Теңдеу:
Бірінші сан – 2, екінші сан – 3. Квадраттарының қосындысы: 4+9=13 Жауабы: 13
|
Оқушылар дескрипторға сәйкес тапсырмаларды орындайды.
Жазылуы бойынша формулаларды жалғастырады (1) ҚКФ ажырата алады (1) Формуланы ауызша тұжырымдай алады
Оқулықтан есептерді шығарады.
|
Дескриптор: -қысқаша көбейту формуларынды біледі; -қысқаша көбейту формулалары арқылы алгебралық өрнектерді тепе-тең түрлендірулерді біледі.
|
Презентация Слайд Интернет ресурстары Оқулық; оқу құралдары; тақта; слайд; Карточкалар;7 сыныпқа арналған оқулық Презентация |
|||||||||||||||||||||||||||||||||||||
|
20 мин |
Оқулықпен жұмыс |
Оқулықтан есептер шығару:-тен ББЖБ |
Тапсырманы орындайды |
Оқушының тақтадағы белсенділігіне байланысты ауызша бағалау |
|
|||||||||||||||||||||||||||||||||||||
|
5 минут |
|
Бүгінгі сабақта:
Кері байланыс. «Бес саусақ» әдісі арқылы 1. Маған ұнағаны 2. Маған қиындық тудырған 3. Мен үшін маңызды ақпарат 4. Білгім келеді 5. Ұсынысым Үй жұмысы. №4 /есептер жинағы/
|
Тақырыпты меңгергенін анықтау |
Кері байланыс
|
Оқулық; оқу құралдары; тақта; слайд; |
|||||||||||||||||||||||||||||||||||||
Сабақ жоспары
Бекітемін:
|
Педагогің Аты, Тегі; Әкесінің аты (бар болған жағдайда): |
|
|||||
|
Пән/Сынып: |
7 сынып. Қатысқандар саны: Қатыспағандар саны: |
|||||
|
Күні: |
|
|||||
|
Бөлім: |
Қысқаша көбейту формулалары |
|||||
|
Сабақтың тақырыбы: |
Мәтінді есептерді шығару |
|||||
|
Оқу бағдарламасына сәйкес оқыту мақсаты: |
7.4.3.1есеп шарты бойынша математикалық модель құру; 7.4.2.2 мәтінді есептерді теңдеулер және теңсіздіктер құру арқылы шығару; |
|||||
|
Сабақтың мақсаттары: |
|
|||||
|
Сабақ барысы: |
||||||
|
Уақыты |
Кезең дері |
Педагогтің әрекеті |
Оқушының әрекеті |
Бағалау |
Ресурстар |
|
|
5 минут |
Ұйым дастыру |
Сәлеметсіздерме! Бүгін, Мәтінді есептерді шығару тақырыбын қарастырамыз. Бүгінгі сабақта меңгеретініңіз:
|
Амандасады, сабаққа дайындалады. Сұрақтарға жауап береді Оқушылар бірін бірі тексереді. |
«Бағдаршам» арқылы қалыптастыру шы бағалау |
Оқулық; оқу құралдары; тақта; слайд; |
|
|
5 мин |
Жаңа сабақ. |
Физикалық есепті бірлесіп талдау (видео талдау) Тапсырма: Тордың көлемін анықтауға арналған есепті шешіңіздер. (Бір оқушы тақтада, қалғандары орындарында жеке орындайды, кейін салыстырады, жұппен қарастыруға болады).
Есептің берілген (мұғалім тақтаға жазады):
Шешуі:
Егер a=17, b=7, онда
|
⠀⠀ |
«Бағдаршам» арқылы қалыптастыру шы бағалау |
Интернет ресурстары Оқулық; оқу құралдары; тақта; слайд; Карточкалар;7 сыныпқа арналған оқулық Презентация |
|
|
20 минут |
Бекіту тапсырмасы |
1) Өрнекті
ықшамдаңыз: 2) Көбейткіштерге жіктеңіз: - 144+121х2 Жауабы: (11x-12) (11x+12) 3)
Есептеңіз 4) Берілген функцияның
анықталу облысын табыңыз: 5) 6)
Тиімді тәсілмен есептеңіз:
18,6 7) Теңдеуді
шешіңіз: 4 Жауабы: -1,5 және 1,5 8) 9)Есептеңіз Есеп 3 5-пен аяқталатын кез келген
натурал санды 10а+5 түрінде жазуға болады Мысалы
25=10 Дәлелдеуі (10а+5)2=100а2+100а+25=100а(а+1)+25=а(а+1)100+25 Есеп 4 Тік төртбұрыштың ұзындығы енінен 3есе үлкен. Егер оның енін 4метрге ұзартып, ал ұзындығын 5м қысқартсақ, онда тік төртбұрышың ауданы 15м2-ге артады. Тік төртбұрыштың өлшемдерін табыңыздар. Шешуі: енін х-деп,ал ұзындығын 3х-деп белгілейік, онда келесі теңдеуді құрайық (х+4)(3х-5)-3х2=15 х=5м(ені); 3х=15м(ұзындығы) Есеп-1 Тіктөртбұрыштың периметрі 28 см-ге тең. Егер оның ұзындығын 3 см-ге кішірейтіп, енін 2 см-ге арттырсақ, онда оның ауданы 8 см2 кемиді. Тіктөртбұрыштың ауданы қандай? |
Оқушылар дескрипторға сәйкес тапсырмаларды орындайды. Жазылуы бойынша формулаларды жалғастырады (1) ҚКФ ажырата алады (1) Формуланы ауызша тұжырымдай алады Оқулықтан есептерді шығарады.
|
Дескриптор: -қысқаша көбейту формуларынды біледі; -қысқаша көбейту формулалары арқылы алгебралық өрнектерді тепе-тең түрлендірулерді біледі.
|
Презентация Слайд Интернет ресурстары Оқулық; оқу құралдары; тақта; слайд; Карточкалар;7 сыныпқа арналған оқулық Презентация |
|
|
10 мин |
Оқулықпен жұмыс |
Оқулықтан есептер шығару:
|
Тапсырманы орындайды |
Оқушының тақтадағы белсенділігіне байланысты ауызша бағалау |
Жалпы білім беретін мектептің 7–сыныбына арналған оқулық. Тақта Бор Кітап Дәптер Интерактивті тақта Бағалау парақтары |
|
|
5 минут |
|
Бүгінгі сабақта:
Кері байланыс. «Бес саусақ» әдісі арқылы 1. Маған ұнағаны 2. Маған қиындық тудырған 3. Мен үшін маңызды ақпарат 4. Білгім келеді 5. Ұсынысым Үй жұмысы. №4 /есептер жинағы/ |
Тақырыпты меңгергенін анықтау |
Кері байланыс |
Оқулық; оқу құралдары; тақта; слайд; |
|
Сабақ жоспары
Бекітемін:
|
Педагогің Аты, Тегі; Әкесінің аты (бар болған жағдайда): |
|
|||||||||||||||||
|
Пән/Сынып: |
7 сынып. Қатысқандар саны: Қатыспағандар саны: |
|||||||||||||||||
|
Күні: |
|
|||||||||||||||||
|
Бөлім: |
Қысқаша көбейту формулалары |
|||||||||||||||||
|
Сабақтың тақырыбы: |
Мәтінді есептерді шығару |
|||||||||||||||||
|
Оқу бағдарламасына сәйкес оқыту мақсаты: |
7.4.3.1есеп шарты бойынша математикалық модель құру; 7.4.2.2 мәтінді есептерді теңдеулер және теңсіздіктер құру арқылы шығару; |
|||||||||||||||||
|
Сабақтың мақсаттары: |
|
|||||||||||||||||
|
Сабақ барысы: |
||||||||||||||||||
|
Уақыты |
Кезең дері |
Педагогтің әрекеті |
Оқушының әрекеті |
Бағалау |
Ресурстар |
|||||||||||||
|
5 минут |
Ұйым дастыру |
Сәлеметсіздерме! Бүгін, Мәтінді есептерді шығару тақырыбын қарастырамыз. Бүгінгі сабақта меңгеретініңіз:
|
Амандасады, сабаққа дайындалады. Сұрақтарға жауап береді Оқушылар бірін бірі тексереді. |
«Бағдаршам» арқылы қалыптастыру шы бағалау |
Оқулық; оқу құралдары; тақта; слайд; |
|||||||||||||
|
5 мин |
Жаңа сабақ. |
Физикалық есепті бірлесіп талдау (видео талдау) Тапсырма: Тордың көлемін анықтауға арналған есепті шешіңіздер. (Бір оқушы тақтада, қалғандары орындарында жеке орындайды, кейін салыстырады, жұппен қарастыруға болады).
Есептің берілген (мұғалім тақтаға жазады):
Шешуі:
Егер a=17, b=7, онда
|
⠀⠀ |
«Бағдаршам» арқылы қалыптастыру шы бағалау |
Интернет ресурстары Оқулық; оқу құралдары; тақта; слайд; Карточкалар;7 сыныпқа арналған оқулық Презентация |
|||||||||||||
|
20 минут |
Бекіту тапсырмасы |
Графикалық диктант. Дұрыс жауап ^ белгісімен белгіленеді, қате жауап _-_ белгісімен белгіленеді
Бір-бірін тексеру Тексеру кілті: _- ^- ^--^ ^ Есеп 1 Үш таңбалы сан және осы цифрлардан, бірақ кері ретпен орналасқан цифрлардан құралған сандардың айырмасы 99-ға қалдықсыз бөлінетінін дәлелдеңіз. Шешімі:Үш таңбалы санды 100х+10у+z түрінде жазамыз, онда осы санға кері ретпен орналасқан цифрландан құралған санды 100z+10y+x түрінде жазамыз. Осы екі саның айырмасын келесідей жазамыз 100х+10у+z-(100z+10y+x)=99х-99z=99(x-z) Есеп 2 Боялған фигураның ауданың табыңыз
Есеп.3. Қаладағы кинотеатрда екі кинозал бар. Екеуі де шаршы түрінде, қатардағы орындармен бағандағы орындар сәйкес келеді. Алайда бір залға екінші залға қарағанда 175 адам артық сыяды, себебі қатар саны мен қатардағы орын 5-ке артық. Кинотеатрға бір мезетте екі кинозалға да қанша көрермен қатыса алады? Шешуі: Бірінші залда х қатар болсын.
Теңдеу:
Кіші залда 15 қатарда 15 орыннан, екінші залда 18 қатарда 18 орыннан. Барлық орын 15*15+18*18=549. Жауабы: Кинотеатрға бір мезетте 549 көрермен қатыса алады.
|
Оқушылар дескрипторға сәйкес тапсырмаларды орындайды.
Жазылуы бойынша формулаларды жалғастырады (1) ҚКФ ажырата алады (1) Формуланы ауызша тұжырымдай алады
Оқулықтан есептерді шығарады.
|
Дескриптор: -қысқаша көбейту формуларынды біледі; -дұрыс жауабын табады.
Дескриптор: -қысқаша көбейту формуларынды біледі; -қысқаша көбейту формулалары арқылы алгебралық өрнектерді тепе-тең түрлендірулерді біледі.
|
Презентация Слайд Интернет ресурстары Оқулық; оқу құралдары; тақта; слайд; Карточкалар;7 сыныпқа арналған оқулық Презентация |
|||||||||||||
|
10 мин |
Оқулықпен жұмыс |
Оқулықтан есептер шығару:
|
Тапсырманы орындайды |
Оқушының тақтадағы белсенділігіне байланысты ауызша бағалау |
Жалпы білім беретін мектептің 7–сыныбына арналған оқулық. Тақта Бор Кітап Дәптер Интерактивті тақта Бағалау парақтары |
|||||||||||||
|
5 минут |
|
Бүгінгі сабақта:
«Бес саусақ» әдісі арқылы 1. Маған ұнағаны 2. Маған қиындық тудырған 3. Мен үшін маңызды ақпарат 4. Білгім келеді 5. Ұсынысым Үй жұмысы. №5.163,№5.164.
|
Тақырыпты меңгергенін анықтау |
Кері байланыс
|
Оқулық; оқу құралдары; тақта; слайд; |
|||||||||||||
Сабақ жоспары
Бекітемін:
|
Педагогің Аты, Тегі; Әкесінің аты (бар болған жағдайда): |
|
|||||
|
Пән/Сынып: |
7 сынып. Қатысқандар саны: Қатыспағандар саны: |
|||||
|
Күні: |
|
|||||
|
Бөлім: |
Қысқаша көбейту формулалары |
|||||
|
Сабақтың тақырыбы: |
Мәтінді есептерді шығару |
|||||
|
Оқу бағдарламасына сәйкес оқыту мақсаты: |
7.4.3.1есеп шарты бойынша математикалық модель құру; 7.4.2.2 мәтінді есептерді теңдеулер және теңсіздіктер құру арқылы шығару; |
|||||
|
Сабақтың мақсаттары: |
|
|||||
|
Сабақ барысы: |
||||||
|
Уақыты |
Кезең дері |
Педагогтің әрекеті |
Оқушының әрекеті |
Бағалау |
Ресурстар |
|
|
5 минут |
Ұйым дастыру |
Сәлеметсіздерме! Бүгін, Мәтінді есептерді шығару тақырыбын қарастырамыз. Бүгінгі сабақта меңгеретініңіз:
|
Амандасады, сабаққа дайындалады. Сұрақтарға жауап береді Оқушылар бірін бірі тексереді. |
«Бағдаршам» арқылы қалыптастыру шы бағалау |
Оқулық; оқу құралдары; тақта; слайд; |
|
|
5 мин |
Жаңа сабақ. |
Тапсырма
1:
Есептеңіздер: Түрткі сұрақтар арқылы мұғалім оқушыларды өрнекті екі өрнектің айырмасы формуласын тануға жетелейді
Және қысқаша көбейту формулалары есептеулерді жеңілдететініне көздерін жеткізеді.
Тапсырма 2: Натурал санды 5-ке бөлгенде 1 қалдық, ал басқа санды 5-ке бөлгенде 2 қалдық береді. Осы сандардың квадраттарының қосындысы 5-ке бөлінетінін дәлелдеңіздер.
Бұл тапсырманы санды 5-ке
бөлгенде 1 қалдық қалады деген өрнектің қалай жазылатынынан бастау
қажет
Содан соң мұғалім қысқаша көбейту формулалары қолданылатын жағдайларды жалпылауды ұсынады және сабақ мақсатын тұжырымдауды сұрайды. (мұғалім мақсатты сауатты тұжырымдауға көмектесе алады). Сонымен қатар оқушылар қысқаша көбейту формулаларын білу қажеттілігін түсінуі керек.
|
⠀⠀ |
«Бағдаршам» арқылы қалыптастыру шы бағалау |
Интернет ресурстары Оқулық; оқу құралдары; тақта; слайд; Карточкалар;7 сыныпқа арналған оқулық Презентация |
|
|
20 минут |
Бекіту тапсырмасы |
2.Тізбектелген екі натурал санның көбейтіндісі келесі екі тізбектелген сандардың көбейтіндісінен 38-ге кем. Осы сандарды табыңыздар. 1.
2. Теңдеу құрамыз Геометриялық есеп Тікбұрышты параллелепипедтің ұзындығы енінен 5см-ге артық және биіктігінен 5см-ге кіші. Бүйір бетінің ауданы 244см2. Параллелепипедтің өлшемдерін табыңыздар.
Шешуі: АВ (ұзындығы) x см болсын, онда AA1(биіктігі) - (x+5) cм, AD(ені) - (x-5) см. S = 2SABCD + 2SAA1D1D + 2SAA1B1B, шарты бойынша – 244 см² SABCD = x(x-5); SAA1D1D = (x-5)(x+5); SAA1B1B = x(x+5) Теңдеу: 2x(x-5) + 2(x-5)(x+5) + 2x(x+5) = 244 x(x-5) + (x-5)(x+5) + x(x+5) = 122 x² – 5x + x² – 5² + x² + 5x = 122 3x² = 122+25 3x² = 147 x² = 49, x > 0 (мағынасы бойынша) x = 7 AB = 7 см – ұзындығы AA1 = 7 см + 5 см = 12 см – биіктігі AD = 7 см – 5 см = 2 см – ені Жауабы: 7 см; 12 см; 2 см). |
Оқушылар дескрипторға сәйкес тапсырмаларды орындайды. Жазылуы бойынша формулаларды жалғастырады (1) ҚКФ ажырата алады (1) Формуланы ауызша тұжырымдай алады Оқулықтан есептерді шығарады.
|
Дескриптор: -қысқаша көбейту формуларынды біледі; -дұрыс жауабын табады. Дескриптор: -қысқаша көбейту формуларынды біледі; -қысқаша көбейту формулалары арқылы алгебралық өрнектерді тепе-тең түрлендірулерді біледі.
|
Презентация Слайд Интернет ресурстары Оқулық; оқу құралдары; тақта; слайд; Карточкалар;7 сыныпқа арналған оқулық Презентация |
|
|
10 мин |
Оқулықпен жұмыс |
Оқулықтан есептер шығару:
|
Тапсырманы орындайды |
Оқушының тақтадағы белсенділігіне байланысты ауызша бағалау |
Жалпы білім беретін мектептің 7–сыныбына арналған оқулық. Тақта Бор Кітап Дәптер Интерактивті тақта Бағалау парақтары |
|
|
5 минут |
|
Бүгінгі сабақта:
«Бес саусақ» әдісі арқылы 1. Маған ұнағаны 2. Маған қиындық тудырған 3. Мен үшін маңызды ақпарат 4. Білгім келеді 5. Ұсынысым Үй жұмысы. № |
Тақырыпты меңгергенін анықтау |
Кері байланыс |
Оқулық; оқу құралдары; тақта; слайд; |
|
шағым қалдыра аласыз






































+ * ) = * + * + 25х²;
у
;














;
;
.












































































































































































































м
м















































;
















































































.



, шығарғаннан кейін














