3-ТОҚСАН БОЙЫНША ЖИЫНТЫҚ БАҒАЛАУҒА АРНАЛҒАН ТАПСЫРМАЛАР
«Python тілінде программалау» бөлімі бойынша
|
Оқу мақсаттары |
6.1.2.2 IDE (ай ди и) интерфейсінің мүмкіндіктерін қолдану; 6.3.2.1 Python (пайтон) тіліндегі сызықтық алгоритмдерді жазу; 6.3.3.1 деректер түрлерін жіктеу; |
||||||||||||
|
Бағалау критерийі |
Білім алушы
|
||||||||||||
|
Ойлау дағдыларының деңгейі |
Қолдану |
||||||||||||
|
Орындау уақыты |
25 минут |
||||||||||||
|
Оқушының аты-жөні: __________________________________________ Сыныбы:_____ Тапсырма
1. Пуск – Все программы – Python – IDLE(Python) 2. Пуск – Все программы – Python 3. Python – Все программы – Python – Пуск 4. Python – IDLE(Python) – Пуск
|
|||||||||||||
-
Өрнектің бүтін бөлігін, қалдығын есепте. (2)

-
Тиісті қызметті орнына жаз: (3)
«Санның модулін береді»
«Бөлшек санды бүтін санға айналдырады»
«Санның бүтін бөлігіне дейін жуықтайды»

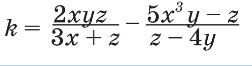
Есеп математикалық өрнекте жазылған. Өрнектің Python-да жазылуын тап (1)
А) k =(2*x * y * z)/(3 * x + z)–(5 * x **2 y – z)/ (z – 4*y)
В) k =(2*x * y * z)/(3 * x + z)–(5 * x *3* y – z)/ (z – 4y)
С) k =(2*x * y * z)/(3 * x + z)–(5 * x **3* y – z)/ (z – 4*y)
-
у мәнін табуға болатын программа құрастыр.
,
мұндағы a=5,
b=3, c=7 (2)
__________________________________________________________________________
__________________________________________________________________________
__________________________________________________________________________
__________________________________________________________________________
жүктеу мүмкіндігіне ие боласыз
Бұл материал сайт қолданушысы жариялаған. Материалдың ішінде жазылған барлық ақпаратқа жауапкершілікті жариялаған қолданушы жауап береді. Ұстаз тілегі тек ақпаратты таратуға қолдау көрсетеді. Егер материал сіздің авторлық құқығыңызды бұзған болса немесе басқа да себептермен сайттан өшіру керек деп ойласаңыз осында жазыңыз
7 сынып БЖБ 3-токсан информатика
7 сынып БЖБ 3-токсан информатика
3-ТОҚСАН БОЙЫНША ЖИЫНТЫҚ БАҒАЛАУҒА АРНАЛҒАН ТАПСЫРМАЛАР
«Python тілінде программалау» бөлімі бойынша
|
Оқу мақсаттары |
6.1.2.2 IDE (ай ди и) интерфейсінің мүмкіндіктерін қолдану; 6.3.2.1 Python (пайтон) тіліндегі сызықтық алгоритмдерді жазу; 6.3.3.1 деректер түрлерін жіктеу; |
||||||||||||
|
Бағалау критерийі |
Білім алушы
|
||||||||||||
|
Ойлау дағдыларының деңгейі |
Қолдану |
||||||||||||
|
Орындау уақыты |
25 минут |
||||||||||||
|
Оқушының аты-жөні: __________________________________________ Сыныбы:_____ Тапсырма
1. Пуск – Все программы – Python – IDLE(Python) 2. Пуск – Все программы – Python 3. Python – Все программы – Python – Пуск 4. Python – IDLE(Python) – Пуск
|
|||||||||||||
-
Өрнектің бүтін бөлігін, қалдығын есепте. (2)

-
Тиісті қызметті орнына жаз: (3)
«Санның модулін береді»
«Бөлшек санды бүтін санға айналдырады»
«Санның бүтін бөлігіне дейін жуықтайды»

Есеп математикалық өрнекте жазылған. Өрнектің Python-да жазылуын тап (1)
А) k =(2*x * y * z)/(3 * x + z)–(5 * x **2 y – z)/ (z – 4*y)
В) k =(2*x * y * z)/(3 * x + z)–(5 * x *3* y – z)/ (z – 4y)
С) k =(2*x * y * z)/(3 * x + z)–(5 * x **3* y – z)/ (z – 4*y)
-
у мәнін табуға болатын программа құрастыр.
,
мұндағы a=5,
b=3, c=7 (2)
__________________________________________________________________________
__________________________________________________________________________
__________________________________________________________________________
__________________________________________________________________________
шағым қалдыра аласыз














