|
Ұзақ мерзімді жоспардың тарауы: Алгебралық бөлшектер |
||
|
Күні: |
Мектеп: Мұғалімнің аты-жөні: |
|
|
Сынып: 8 |
Қатысқандар: Қатыспағандар: |
|
|
Сабақтың тақырыбы 80 |
Алгебралық бөлшек және оның негізгі қасиеті |
|
|
Осы сабақта қол жеткізілетін оқу мақсаттары (оқу бағдарламасына сілтеме) |
7.2.1.16алгебралық бөлшектерді танып білу; 7.2.1.17алгебралық бөлшектегі айнымалылардың мүмкін мәндер жиынын табу; 7.2.1.18алгебралық бөлшектің негізгі
қасиетін қолдану: |
|
|
Сабақтың мақсаты |
алгебралық бөлшектерді танып білу; алгебралық бөлшектегі айнымалылардың мүмкін мәндер жиынын табу; алгебралық бөлшектің негізгі
қасиетін қолдану: |
|
|
Сабақтың кезеңі |
Педагогтың әрекеті |
Оқушының әрекеті |
Бағалау |
Ресурстар |
||||||||||||
|
Сабақтың басы |
Жағымды ахуал тудыру мақсатында Ширату жаттығу. Белсенді оқу әдістері аясында «Өзіңді тексеріңіз» әдісімен оқушылардың зейінін сабаққа шоғырландыру, қызықтыру мақсатында уәждей отырып, оқуға деген қызығушылығын арттырамын. Ж Берілген сұрақтарға «иә», «жоқ» жауапты белгілейді, жауабын түсіндіреді.
|
Дескриптор: - нүктенің координаталарын табады; - орналасуын анықтайды ҚБ: «Бағдаршам» әдісі |
Оқушылардың белсенділіген байланысты бағаланады. |
Оқулық Алгебра 7 Алматы «Атамұра» 2017 авторы Ә.Н. Шыныбеков 6.1.1 я |
||||||||||||
|
С Алгебралық өрнектер (жазылуында бір немесе бірнеше әріптер, сандар, амал таңбалары және жақшалар).
|
Бүтін өрнектер
Бөлімінде айнымалы жоқ, айнымалы бөлшектің алымында ғана
Бөлшек өрнектер
Бөлімінде айнымалы бар
Алгебралық өрнектің құрамындағы әріпті санмен алмастыруға болады. Берілген өрнектің мағынасы болатын әріптің мәндерін мүмкін мәндер деп атайды
Мысал 1. Алгебралық
бөлшектің
Жауабы:
Мысал 2. Алгебралық
бөлшектің
Жауабы: Анықтама: Айнымалының мүмкін мәндері жиыны- өрнектің мағынасы бар болатындай оның құрамындағы айнымалының барлық мәндері.
|
Мысал 1
ММЖ:
Ж
Мысал 2
ММЖ:
Жауабы:
Тапсырма №1 Айнымалының қандай мәндерінде бөлшектің мағынасы болмайды?
4)
|
Оқушылардың белсенділіген байланысты бағаланады.
|
|
||||||||||||
|
Сабақтың аяғы |
Рефлексия.
|
Бүгінгі меңгерілген материал бойынша 5 сұраққа жылдам жауап береді. |
Оқушылардың белсенділіген байланысты бағаланады. |
|
|
Ұзақ мерзімді жоспардың тарауы: Алгебралық бөлшектер |
||
|
Күні: |
Мектеп: Мұғалімнің аты-жөні: |
|
|
Сынып: 8 |
Қатысқандар: Қатыспағандар: |
|
|
Сабақтың тақырыбы 81 |
Алгебралық бөлшек және оның негізгі қасиеті |
|
|
Осы сабақта қол жеткізілетін оқу мақсаттары (оқу бағдарламасына сілтеме) |
7.2.1.16алгебралық бөлшектерді танып білу; 7.2.1.17алгебралық бөлшектегі айнымалылардың мүмкін мәндер жиынын табу; 7.2.1.18алгебралық бөлшектің негізгі
қасиетін қолдану: |
|
|
Сабақтың мақсаты |
алгебралық бөлшектерді танып білу; алгебралық бөлшектегі айнымалылардың мүмкін мәндер жиынын табу; алгебралық бөлшектің негізгі
қасиетін қолдану: |
|
Сабақтың барысы
|
Сабақтың кезеңі |
Педагогтың әрекеті |
Оқушының әрекеті |
Бағалау |
Ресурстар |
|
Сабақтың басы |
Жағымды ахуал тудыру мақсатында Ширату жаттығу. Белсенді оқу әдістері аясында «Өзіңді тексеріңіз» әдісімен оқушылардың зейінін сабаққа шоғырландыру, қызықтыру мақсатында уәждей отырып, оқуға деген қызығушылығын арттырамын. Ж Берілген сұрақтарға «иә», «жоқ» жауапты белгілейді, жауабын түсіндіреді. |
Дескриптор: - нүктенің координаталарын табады; - орналасуын анықтайды ҚБ: «Бағдаршам» әдісі |
Оқушылардың белсенділіген байланысты бағаланады. |
Оқулық Алгебра 7 Алматы «Атамұра» 2017 авторы Ә.Н. Шыныбеков 6.1.1 я |
|
Сабақтың ортвсы |
Анықтама: Айнымалының мүмкін мәндері жиыны- өрнектің мағынасы бар болатындай оның құрамындағы айнымалының барлық мәндері. Мысал: Айнымалының қандай мәнінде алгебралық бөлшектің мағынасы болмайтынын көрсетіңіз:
ММЖ:
Ж
қысқаша көбейту формуласын қолданып түрлендіремиз
Ж
с)
Ж |
Тапсырма №1 Бөлшекке кіретін айнымалылардың мүмкін мәндерін табыңыздар. |
Оқушылардың белсенділіген байланысты бағаланады. |
|
|
Сабақтың аяғы |
Рефлексия.
|
Бүгінгі меңгерілген материал бойынша 5 сұраққа жылдам жауап береді. |
Оқушылардың белсенділіген байланысты бағаланады. |
|
|
Ұзақ мерзімді жоспардың тарауы: Алгебралық бөлшектер |
||
|
Күні: |
Мектеп: Мұғалімнің аты-жөні: |
|
|
Сынып: 8 |
Қатысқандар: Қатыспағандар: |
|
|
Сабақтың тақырыбы 82 |
Алгебралық бөлшек және оның негізгі қасиеті |
|
|
Осы сабақта қол жеткізілетін оқу мақсаттары (оқу бағдарламасына сілтеме) |
7.2.1.16алгебралық бөлшектерді танып білу; 7.2.1.17алгебралық бөлшектегі айнымалылардың мүмкін мәндер жиынын табу; 7.2.1.18алгебралық бөлшектің негізгі
қасиетін қолдану: |
|
|
Сабақтың мақсаты |
алгебралық бөлшектерді танып білу; алгебралық бөлшектегі айнымалылардың мүмкін мәндер жиынын табу; алгебралық бөлшектің негізгі
қасиетін қолдану: |
|
Сабақтың барысы
|
Сабақтың кезеңі |
Педагогтың әрекеті |
Оқушының әрекеті |
Бағалау |
Ресурстар |
||||
|
Сабақтың басы |
Жағымды ахуал тудыру мақсатында Ширату жаттығу. Белсенді оқу әдістері аясында «Өзіңді тексеріңіз» әдісімен оқушылардың зейінін сабаққа шоғырландыру, қызықтыру мақсатында уәждей отырып, оқуға деген қызығушылығын арттырамын. Ж Берілген сұрақтарға «иә», «жоқ» жауапты белгілейді, жауабын түсіндіреді. |
Дескриптор: - нүктенің координаталарын табады; - орналасуын анықтайды ҚБ: «Бағдаршам» әдісі |
Оқушылардың белсенділіген байланысты бағаланады. |
Оқулық Алгебра 7 Алматы «Атамұра» 2017 авторы Ә.Н. Шыныбеков 6.1.1 я |
||||
|
Сабақтың ортвсы |
Бөлшектің негізгі қасиеті: Егер бөлшектің алымын да, бөлімін де нөлге тең емес өрнекке көбейтсе,онда берілген бөлшекке тең бөлшек
шығады.
Б Анықтама: Құрамындағы барлық айнымалылардың мүмкін мәндері жиынында ақиқат болатын теңдікті теңбе-теңдік деп атайды. Өрнекті оған теңбе-тең өрнекпен алмастыруды теңбе-тең түрлендіру деп атайды
|
М
Блок-схема
|
Оқушылардың белсенділіген байланысты бағаланады. |
|
||||
|
Сабақтың аяғы |
Рефлексия. Денгейлі тапсырмалар
|
Бүгінгі меңгерілген материал бойынша 5 сұраққа жылдам жауап береді.«Таңда да таста» әдісі бойынша оқушылар бүгінгі сабақта мен не үйрендім, мен үшін не қызық болды, маған не түсініксіз болды деген 3 сұраққа жауап беріп, өзара дебрифиг жүргізеді |
Оқушылардың белсенділіген байланысты бағаланады. |
|
|
Ұзақ мерзімді жоспардың тарауы: Алгебралық бөлшектер |
||
|
Күні: |
Мектеп: Мұғалімнің аты-жөні: |
|
|
Сынып: 8 |
Қатысқандар: Қатыспағандар: |
|
|
Сабақтың тақырыбы 83 |
Алгебралық бөлшек және оның негізгі қасиеті |
|
|
Осы сабақта қол жеткізілетін оқу мақсаттары (оқу бағдарламасына сілтеме) |
7.2.1.16алгебралық бөлшектерді танып білу; 7.2.1.17алгебралық бөлшектегі айнымалылардың мүмкін мәндер жиынын табу; 7.2.1.18алгебралық бөлшектің негізгі
қасиетін қолдану: |
|
|
Сабақтың мақсаты |
алгебралық бөлшектерді танып білу; алгебралық бөлшектегі айнымалылардың мүмкін мәндер жиынын табу; алгебралық бөлшектің негізгі
қасиетін қолдану: |
|
Сабақтың барысы
|
Сабақтың кезеңі |
Педагогтың әрекеті |
Оқушының әрекеті |
Бағалау |
Ресурстар |
|||||||||||||||||||||
|
Сабақтың басы |
Жағымды ахуал тудыру мақсатында Ширату жаттығу. Белсенді оқу әдістері аясында «Өзіңді тексеріңіз» әдісімен оқушылардың зейінін сабаққа шоғырландыру, қызықтыру мақсатында уәждей отырып, оқуға деген қызығушылығын арттырамын. Ж Берілген сұрақтарға «иә», «жоқ» жауапты белгілейді, жауабын түсіндіреді. |
Дескриптор: - нүктенің координаталарын табады; - орналасуын анықтайды ҚБ: «Бағдаршам» әдісі |
Оқушылардың белсенділіген байланысты бағаланады. |
Оқулық Алгебра 7 Алматы «Атамұра» 2017 авторы Ә.Н. Шыныбеков 6.1.1 я |
|||||||||||||||||||||
|
Сабақтың ортвсы |
Бөлшектің негізгі қасиеті: Егер бөлшектің алымын да, бөлімін де нөлге тең емес өрнекке көбейтсе,онда берілген бөлшекке тең бөлшек
шығады.
Бөлшектің негізгі қасиетін қолдану арқылы шығарылатын есептердің түрі – бөлшектерді қысқарту. Анықтама: Құрамындағы барлық
айнымалылардың мүмкін мәндері жиынында ақиқат болатын
теңдікті теңбе-теңдік деп атайды. Өрнекті оған
теңбе-тең өрнекпен алмастыруды теңбе-тең
түрлендіру деп
атайды. Бейнеүзінді: https://www.youtube.com/watch?v=x4sXpSP5hfg Мысал:
Бөлшектің алымы мен бөлімі жіктелгең, (a - b) көбейткішке қысқартылған
Бөлшектің алымы мен бөлімі жіктелген –ортақ қөбейтқішті жақшаның сыртына шығарған, (x - y) көбейткішке қысқартылған.
Бөлшектің алымы мен бөлімін жіктейміз–қысқаша көбейту формуласы арқылы, сосын (m + n)- ға қысқартамыз Тапсырма: №1. Бөлшекті қысқартыңдар, нәтижесін кестеге жазыңдар:
|
өрнектердің белгіленген әріптерін теріп жазыңыздар. Таңдап алынған әріптерден саз өнерінде, бейнелеу өнерінде және шахматта қолданылатын сөзді құрастырыңыз. №2.
Бөлшекті
қысқартыңыздар:
|
Оқушылардың белсенділіген байланысты бағаланады.
|
|
|||||||||||||||||||||
|
Сабақтың аяғы |
Рефлексия.
|
Бүгінгі меңгерілген материал бойынша 5 сұраққа жылдам жауап береді. |
Оқушылардың белсенділіген байланысты бағаланады. |
|
|
Ұзақ мерзімді жоспардың тарауы: Алгебралық бөлшектер |
||
|
Күні: |
Мектеп: Мұғалімнің аты-жөні: |
|
|
Сынып: 8 |
Қатысқандар: Қатыспағандар: |
|
|
Сабақтың тақырыбы 84 |
Алгебралық бөлшек және оның негізгі қасиеті |
|
|
Осы сабақта қол жеткізілетін оқу мақсаттары (оқу бағдарламасына сілтеме) |
7.2.1.16алгебралық бөлшектерді танып білу; 7.2.1.17алгебралық бөлшектегі айнымалылардың мүмкін мәндер жиынын табу; 7.2.1.18алгебралық бөлшектің негізгі
қасиетін қолдану: |
|
|
Сабақтың мақсаты |
алгебралық бөлшектерді танып білу; алгебралық бөлшектегі айнымалылардың мүмкін мәндер жиынын табу; алгебралық бөлшектің негізгі
қасиетін қолдану: |
|
Сабақтың барысы
|
Сабақтың кезеңі |
Педагогтың әрекеті |
Оқушының әрекеті |
Бағалау |
Ресурстар |
|
Сабақтың басы |
Жағымды ахуал тудыру мақсатында Ширату жаттығу. Белсенді оқу әдістері аясында «Өзіңді тексеріңіз» әдісімен оқушылардың зейінін сабаққа шоғырландыру, қызықтыру мақсатында уәждей отырып, оқуға деген қызығушылығын арттырамын. Ж Берілген сұрақтарға «иә», «жоқ» жауапты белгілейді, жауабын түсіндіреді. |
Дескриптор: - нүктенің координаталарын табады; - орналасуын анықтайды ҚБ: «Бағдаршам» әдісі |
Оқушылардың белсенділіген байланысты бағаланады. |
Оқулық Алгебра 7 Алматы «Атамұра» 2017 авторы Ә.Н. Шыныбеков 6.1.1 я |
|
Сабақтың ортвсы |
Бөлшектің негізгі қасиеті: Егер бөлшектің алымын да, бөлімін де нөлге тең емес өрнекке көбейтсе,онда берілген бөлшекке тең бөлшек
шығады.
Бөлшектің негізгі қасиетін қолдану арқылы шығарылатын есептердің түрі – бөлшектерді қысқарту. Анықтама: Құрамындағы барлық айнымалылардың мүмкін мәндері жиынында ақиқат болатын теңдікті теңбе-теңдік деп атайды. Өрнекті оған теңбе-тең өрнекпен алмастыруды теңбе-тең түрлендіру деп атайды.
Бейнеүзінді: https://www.youtube.com/watch?v=T2PwA29Dduw&list=PLCx14LDfH033T934o9ISO7J-p13jupoL6&index=33&t=0s |
Тапсырма: №1 Бөлшекті қысқартыңдар:
|
Оқушылардың белсенділіген байланысты бағаланады. |
|
|
Сабақтың аяғы |
Рефлексия.
|
Бүгінгі меңгерілген материал бойынша 5 сұраққа жылдам жауап береді. |
Оқушылардың белсенділіген байланысты бағаланады. |
|
|
Ұзақ мерзімді жоспардың тарауы: Алгебралық бөлшектер |
||
|
Күні: |
Мектеп: Мұғалімнің аты-жөні: |
|
|
Сынып: 8 |
Қатысқандар: Қатыспағандар: |
|
|
Сабақтың тақырыбы 85 |
Алгебралық бөлшек және оның негізгі қасиеті |
|
|
Осы сабақта қол жеткізілетін оқу мақсаттары (оқу бағдарламасына сілтеме) |
7.2.1.16алгебралық бөлшектерді танып білу; 7.2.1.17алгебралық бөлшектегі айнымалылардың мүмкін мәндер жиынын табу; 7.2.1.18алгебралық бөлшектің негізгі
қасиетін қолдану: |
|
|
Сабақтың мақсаты |
алгебралық бөлшектерді танып білу; алгебралық бөлшектегі айнымалылардың мүмкін мәндер жиынын табу; алгебралық бөлшектің негізгі
қасиетін қолдану: |
|
Сабақтың барысы
|
Сабақтың кезеңі |
Педагогтың әрекеті |
Оқушының әрекеті |
Бағалау |
Ресурстар |
|
Сабақтың басы |
Жағымды ахуал тудыру мақсатында Ширату жаттығу. Белсенді оқу әдістері аясында «Өзіңді тексеріңіз» әдісімен оқушылардың зейінін сабаққа шоғырландыру, қызықтыру мақсатында уәждей отырып, оқуға деген қызығушылығын арттырамын. Ж Берілген сұрақтарға «иә», «жоқ» жауапты белгілейді, жауабын түсіндіреді. |
Дескриптор: - нүктенің координаталарын табады; - орналасуын анықтайды ҚБ: «Бағдаршам» әдісі |
Оқушылардың белсенділіген байланысты бағаланады. |
Оқулық Алгебра 7 Алматы «Атамұра» 2017 авторы Ә.Н. Шыныбеков 6.1.1 я |
|
Сабақтың ортвсы |
Егер бөлшектің алымын да, бөлімін де нөлге тең емес өрнекке көбейтсе,онда берілген бөлшекке тең бөлшек
шығады.
Бөлшектің негізгі қасиетін қолдану арқылы шығарылатын есептердің түрі – бөлшектерді қысқарту. Анықтама: Құрамындағы барлық айнымалылардың мүмкін мәндері жиынында ақиқат болатын теңдікті теңбе-теңдік деп атайды. Өрнекті оған теңбе-тең өрнекпен алмастыруды теңбе-тең түрлендіру деп атайды.
Бейнеүзінді: https://www.youtube.com/watch?v=1SXYt9k3ybc
1)
Шешімі: Алымын
қысқаша көбейту формула қолдану арқылы, ал бөлімін ортақ
көбейткішті жақша сыртына шығару арқылы көбейткіштерге жіктеп алып
бөлшекті қысқартамыз
Шешімі: |
Шешімі:
Тапсырма: №1 Бөлшекті қысқартыңдар:
1).
2). |
Оқушылардың белсенділіген байланысты бағаланады. |
|
|
Сабақтың аяғы |
Рефлексия.
|
Бүгінгі меңгерілген материал бойынша 5 сұраққа жылдам жауап береді. |
Оқушылардың белсенділіген байланысты бағаланады. |
|
|
Ұзақ мерзімді жоспардың тарауы: Алгебралық бөлшектер |
||
|
Күні: |
Мектеп: Мұғалімнің аты-жөні: |
|
|
Сынып: 8 |
Қатысқандар: Қатыспағандар: |
|
|
Сабақтың тақырыбы 86 |
Алгебралық бөлшек және оның негізгі қасиеті |
|
|
Осы сабақта қол жеткізілетін оқу мақсаттары (оқу бағдарламасына сілтеме) |
7.2.1.16алгебралық бөлшектерді танып білу; 7.2.1.17алгебралық бөлшектегі айнымалылардың мүмкін мәндер жиынын табу; 7.2.1.18алгебралық бөлшектің негізгі
қасиетін қолдану: |
|
|
Сабақтың мақсаты |
алгебралық бөлшектерді танып білу; алгебралық бөлшектегі айнымалылардың мүмкін мәндер жиынын табу; алгебралық бөлшектің негізгі
қасиетін қолдану: |
|
Сабақтың барысы
|
Сабақтың кезеңі |
Педагогтың әрекеті |
Оқушының әрекеті |
Бағалау |
Ресурстар |
|
Сабақтың басы |
Жағымды ахуал тудыру мақсатында Ширату жаттығу. Белсенді оқу әдістері аясында «Өзіңді тексеріңіз» әдісімен оқушылардың зейінін сабаққа шоғырландыру, қызықтыру мақсатында уәждей отырып, оқуға деген қызығушылығын арттырамын. Ж Берілген сұрақтарға «иә», «жоқ» жауапты белгілейді, жауабын түсіндіреді. |
Дескриптор: - нүктенің координаталарын табады; - орналасуын анықтайды ҚБ: «Бағдаршам» әдісі |
Оқушылардың белсенділіген байланысты бағаланады. |
Оқулық Алгебра 7 Алматы «Атамұра» 2017 авторы Ә.Н. Шыныбеков 6.1.1 я |
|
Сабақтың ортвсы |
Егер бөлшектің алымын да, бөлімін де нөлге тең емес өрнекке көбейтсе,онда берілген бөлшекке тең бөлшек
шығады.
Бөлшектің негізгі қасиетін қолдану арқылы шығарылатын есептердің түрі – бөлшектерді қысқарту. Бейне үзінді: https://www.youtube.com/watch?v=7zB22u5u8qU Мысал:
№1. Бөлшекті
қысқартыңыз Алымындағы және бөліміндегі өрнектердің екінші мүшесін қосылғыштарға жіктеу керек. Одан кейін топтау арқылы ортақ көбейткішін жақша сыртына шығарып, көбейткіштерге жіктеп қысқартамыз.
Ескерту: Рационал бөлшекті қысқарту үшін, алымын немесе бөлімін немесе екеүінде көбейткіштерге жіктеу қажет болады. |
Тапсырма: Бөлшекті қысқартыңыз:
|
Оқушылардың белсенділіген байланысты бағаланады. |
|
|
Сабақтың аяғы |
Рефлексия.
|
Бүгінгі меңгерілген материал бойынша 5 сұраққа жылдам жауап береді. |
Оқушылардың белсенділіген байланысты бағаланады. |
|
|
Ұзақ мерзімді жоспардың тарауы: Алгебралық бөлшектер |
||
|
Күні: |
Мектеп: Мұғалімнің аты-жөні: |
|
|
Сынып: 8 |
Қатысқандар: Қатыспағандар: |
|
|
Сабақтың тақырыбы 87 |
Алгебралық бөлшек және оның негізгі қасиеті |
|
|
Осы сабақта қол жеткізілетін оқу мақсаттары (оқу бағдарламасына сілтеме) |
7.2.1.16алгебралық бөлшектерді танып білу; 7.2.1.17алгебралық бөлшектегі айнымалылардың мүмкін мәндер жиынын табу; 7.2.1.18алгебралық бөлшектің негізгі
қасиетін қолдану: |
|
|
Сабақтың мақсаты |
алгебралық бөлшектерді танып білу; алгебралық бөлшектегі айнымалылардың мүмкін мәндер жиынын табу; алгебралық бөлшектің негізгі
қасиетін қолдану: |
|
Сабақтың барысы
|
Сабақтың кезеңі |
Педагогтың әрекеті |
Оқушының әрекеті |
Бағалау |
Ресурстар |
|
Сабақтың басы |
Жағымды ахуал тудыру мақсатында Ширату жаттығу. Белсенді оқу әдістері аясында «Өзіңді тексеріңіз» әдісімен оқушылардың зейінін сабаққа шоғырландыру, қызықтыру мақсатында уәждей отырып, оқуға деген қызығушылығын арттырамын. Ж Берілген сұрақтарға «иә», «жоқ» жауапты белгілейді, жауабын түсіндіреді. |
Дескриптор: - нүктенің координаталарын табады; - орналасуын анықтайды ҚБ: «Бағдаршам» әдісі |
Оқушылардың белсенділіген байланысты бағаланады. |
Оқулық Алгебра 7 Алматы «Атамұра» 2017 авторы Ә.Н. Шыныбеков 6.1.1 я |
|
Сабақтың ортвсы |
Егер бөлшектің алымын да, бөлімін де нөлге тең емес өрнекке көбейтсе,онда берілген бөлшекке тең бөлшек
шығады.
Бөлшектің негізгі қасиетін қолдану арқылы шығарылатын есептердің түрі – бөлшектерді қысқарту. Мысал: Топтау тәсілі және ортақ көбейткішті жақша сыртына шығару арқылы көбейткіштерге жіктеп қысқарту
|
Тапсырма: №1 Бөлшектерді қысқартыңыз:
|
Оқушылардың белсенділіген байланысты бағаланады. |
|
|
Сабақтың аяғы |
Рефлексия.
|
Бүгінгі меңгерілген материал бойынша 5 сұраққа жылдам жауап береді. |
Оқушылардың белсенділіген байланысты бағаланады. |
|
|
Ұзақ мерзімді жоспардың тарауы: Алгебралық бөлшектер |
||
|
Күні: |
Мектеп: Мұғалімнің аты-жөні: |
|
|
Сынып: 8 |
Қатысқандар: Қатыспағандар: |
|
|
Сабақтың тақырыбы 88 |
Алгебралық бөлшек және оның негізгі қасиеті |
|
|
Осы сабақта қол жеткізілетін оқу мақсаттары (оқу бағдарламасына сілтеме) |
7.2.1.16алгебралық бөлшектерді танып білу; 7.2.1.17алгебралық бөлшектегі айнымалылардың мүмкін мәндер жиынын табу; 7.2.1.18алгебралық бөлшектің негізгі
қасиетін қолдану: |
|
|
Сабақтың мақсаты |
алгебралық бөлшектерді танып білу; алгебралық бөлшектегі айнымалылардың мүмкін мәндер жиынын табу; алгебралық бөлшектің негізгі
қасиетін қолдану: |
|
Сабақтың барысы
|
Сабақтың кезеңі |
Педагогтың әрекеті |
Оқушының әрекеті |
Бағалау |
Ресурстар |
|
Сабақтың басы |
Жағымды ахуал тудыру мақсатында Ширату жаттығу. Белсенді оқу әдістері аясында «Өзіңді тексеріңіз» әдісімен оқушылардың зейінін сабаққа шоғырландыру, қызықтыру мақсатында уәждей отырып, оқуға деген қызығушылығын арттырамын. Ж Берілген сұрақтарға «иә», «жоқ» жауапты белгілейді, жауабын түсіндіреді. |
Дескриптор: - нүктенің координаталарын табады; - орналасуын анықтайды ҚБ: «Бағдаршам» әдісі |
Оқушылардың белсенділіген байланысты бағаланады. |
Оқулық Алгебра 7 Алматы «Атамұра» 2017 авторы Ә.Н. Шыныбеков 6.1.1 я |
|
Сабақтың ортвсы |
Бөлшектің негізгі қасиеті: Егер бөлшектің алымын да, бөлімін де нөлге тең емес өрнекке көбейтсе,онда берілген бөлшекке тең бөлшек
шығады.
Бөлшектің негізгі қасиетін қолдану арқылы шығарылатын есептердің түрі – бөлшектерді қысқарту. Бейнеүзінді: https://www.youtube.com/watch?v=TOE21M1tkg8&list=PLCx14LDfH033T934o9ISO7J-p13jupoL6&index=33 |
Тапсырма №1. Бөлшектерді қысқартыңыз:
|
Оқушылардың белсенділіген байланысты бағаланады. |
|
|
Сабақтың аяғы |
Рефлексия.
|
Бүгінгі меңгерілген материал бойынша 5 сұраққа жылдам жауап береді. |
Оқушылардың белсенділіген байланысты бағаланады. |
|
|
Ұзақ мерзімді жоспардың тарауы: Алгебралық бөлшектер |
||
|
Күні: |
Мектеп: Мұғалімнің аты-жөні: |
|
|
Сынып: 8 |
Қатысқандар: Қатыспағандар: |
|
|
Сабақтың тақырыбы 89 |
Алгебралық бөлшектерге амалдар қолдану
|
|
|
Осы сабақта қол жеткізілетін оқу мақсаттары (оқу бағдарламасына сілтеме) |
7.2.1.19алгебралық бөлшектердіқосу және азайтуды орындау; 7.2.1.20алгебралық бөлшектерді көбейту және бөлуді, дәрежеге шығаруды орындау; |
|
|
Сабақтың мақсаты |
алгебралық бөлшектердіқосу және азайтуды орындау; алгебралық бөлшектерді көбейту және бөлуді, дәрежеге шығаруды орындау; |
|
Сабақтың барысы
|
Сабақтың кезеңі |
Педагогтың әрекеті |
Оқушының әрекеті |
Бағалау |
Ресурстар |
|
Сабақтың басы |
Жағымды ахуал тудыру мақсатында Ширату жаттығу. Сабақтың мақсаты таныстырылады. «Миға шабуыл» әдісі арқылы сұрақ жауап Үйге берілген тапсырманы сұрақ-жауап арқылы диалогқа түсіру. Топ бойынша өткен тақырыптар бойынша сұрақ- жауаптарға дайындық жасау.
|
«Сиқырлы ұяшықтар» Топтар слайдта берілген ұпай сандарын таңдау арқылы шыққан есеп шешімдерін туралы білетін ақпараттарымен бөліседі. Төмендегі сұрақтарды қоюға болады. Бұл қандай қасиеттер? Есептің шығу жолы қандай Қандай анықтамаларды ерліктерін білесіздер? ақпарат айтқан топқа ұпай қосылады. Көп ұпай жинаған топ оқушылары жұлдызшамен бағаланады (тәтті беруге де болады). |
Оқушылардың белсенділіген байланысты бағаланады. |
Оқулық Алгебра 7 Алматы «Атамұра» 2017 авторы Ә.Н. Шыныбеков 6.1.1 я |
|
Сабақтың ортвсы |
Бөлімдері бірдей алгебралық бөлшектерді қосу және азайту жай бөлшектерді қосу және азайту ережесі бойынша орындалады.
а ,в, m≠0 сандары
үшін Бөлімдері бірдей бөлшектерді қосқанда (азайтқанда) олардың алымдарын қосып (бірінен бірін азайтып), бөлімдерін бұрынғыша қалдырады. Бейнеүзінді: https://bilimland.kz/kk/subject/algebra/7-synyp/algebralyq-bolshekterdi-qosu?mid=fcb596c0-9d59-11e9-be78-49d30a05e051 1-мысал
2-мысал
|
3
мысал Азайту амалын орындағанда, жақша алдында «-» таңбасы болса жақша ашу ережесін қолданамыз. 4 мысал
n-m өрнегін - (m-n) өрнегіне түрлендіреміз.
Тапсырма: Амалдарды орында: |
Оқушылардың белсенділіген байланысты бағаланады. |
|
|
Сабақтың аяғы |
Рефлексия. « Постермен жұмыс
|
Өз ойларын ортаға салады сабақты талдайды |
Оқушылардың белсенділіген байланысты бағаланады. |
|
|
Ұзақ мерзімді жоспардың тарауы: Алгебралық бөлшектер |
||
|
Күні: |
Мектеп: Мұғалімнің аты-жөні: |
|
|
Сынып: 8 |
Қатысқандар: Қатыспағандар: |
|
|
Сабақтың тақырыбы 90 |
Алгебралық бөлшектерге амалдар қолдану
|
|
|
Осы сабақта қол жеткізілетін оқу мақсаттары (оқу бағдарламасына сілтеме) |
7.2.1.19алгебралық бөлшектердіқосу және азайтуды орындау; 7.2.1.20алгебралық бөлшектерді көбейту және бөлуді, дәрежеге шығаруды орындау; |
|
|
Сабақтың мақсаты |
алгебралық бөлшектердіқосу және азайтуды орындау; алгебралық бөлшектерді көбейту және бөлуді, дәрежеге шығаруды орындау; |
|
Сабақтың барысы
|
Сабақтың кезеңі |
Педагогтың әрекеті |
Оқушының әрекеті |
Бағалау |
Ресурстар |
|
Сабақтың басы |
Жағымды ахуал тудыру мақсатында Ширату жаттығу. Сабақтың мақсаты таныстырылады. «Миға шабуыл» әдісі арқылы сұрақ жауап Үйге берілген тапсырманы сұрақ-жауап арқылы диалогқа түсіру. Топ бойынша өткен тақырыптар бойынша сұрақ- жауаптарға дайындық жасау.
|
«Сиқырлы ұяшықтар» Топтар слайдта берілген ұпай сандарын таңдау арқылы шыққан есеп шешімдерін туралы білетін ақпараттарымен бөліседі. Төмендегі сұрақтарды қоюға болады. Бұл қандай қасиеттер? Есептің шығу жолы қандай Қандай анықтамаларды ерліктерін білесіздер? ақпарат айтқан топқа ұпай қосылады. Көп ұпай жинаған топ оқушылары жұлдызшамен бағаланады (тәтті беруге де болады). |
Оқушылардың белсенділіген байланысты бағаланады. |
Оқулық Алгебра 7 Алматы «Атамұра» 2017 авторы Ә.Н. Шыныбеков 6.1.1 я |
|
Сабақтың ортвсы |
Бөлімдері әр түрлі бөлшектерді қосуды/азайтуды/ бөлімдері бірдей бөлшектерді қосуға/азайтуға/ келтіруге болады. Мысалы,
Алдымен бөлшектердің ортақ бөлімін (bd) және толықтауыш көбейткіштерін (d мен b) тауып, оларды бірдей бөлімге келтіреміз де, бөлімдері бірдей бөлшектерді қосамыз:
азайту да осы сияқты орындалады:
Бөлшектің негізгі қасиетін қолдану арқылы шығарылатын есептердің екінші түрін қарастырайық: – бөлшектерді жаңа бөлімге келтіру Проблемалық сұрақ: Бөлшекті жаңа бөліміне қалай келтіреміз?
|
Бейнеүзінді: https://bilimland.kz/kk/subject/algebra/7-synyp/algebralyq-bolshekterdi-qosu?mid=fcb596c4-9d59-11e9-be78-49d30a05e051
1-мысал
2-мысал
Өрнек пен бөлшектің қосындысы немесе айырмасы болатын рационал өрнекті түрлендіру бөлшектердің қосындысын не айырмасын тұрлендіруге келтіріледі. 3-мысал
Алгебралық бөлшектерді ортақ бөлімге келтірудің алгоритмі:
Бейнеүзінді: https://www.youtube.com/watch?v=NFTRVmEcplQ |
Оқушылардың белсенділіген байланысты бағаланады. |
|
|
Сабақтың аяғы |
Рефлексия. « Постермен жұмыс
Тапсырма: №1: Көрсетілген амалдарды орында
|
Өз ойларын ортаға салады сабақты талдайды |
Оқушылардың белсенділіген байланысты бағаланады. |
|
|
Ұзақ мерзімді жоспардың тарауы: Алгебралық бөлшектер |
||
|
Күні: |
Мектеп: Мұғалімнің аты-жөні: |
|
|
Сынып: 8 |
Қатысқандар: Қатыспағандар: |
|
|
Сабақтың тақырыбы 91 |
Алгебралық бөлшектерге амалдар қолдану
|
|
|
Осы сабақта қол жеткізілетін оқу мақсаттары (оқу бағдарламасына сілтеме) |
7.2.1.19алгебралық бөлшектердіқосу және азайтуды орындау; 7.2.1.20алгебралық бөлшектерді көбейту және бөлуді, дәрежеге шығаруды орындау; |
|
|
Сабақтың мақсаты |
алгебралық бөлшектердіқосу және азайтуды орындау; алгебралық бөлшектерді көбейту және бөлуді, дәрежеге шығаруды орындау; |
|
Сабақтың барысы
|
Сабақтың кезеңі |
Педагогтың әрекеті |
Оқушының әрекеті |
Бағалау |
Ресурстар |
|
Сабақтың басы |
Жағымды ахуал тудыру мақсатында Ширату жаттығу. Сабақтың мақсаты таныстырылады. «Миға шабуыл» әдісі арқылы сұрақ жауап Үйге берілген тапсырманы сұрақ-жауап арқылы диалогқа түсіру. Топ бойынша өткен тақырыптар бойынша сұрақ- жауаптарға дайындық жасау.
|
«Сиқырлы ұяшықтар» Топтар слайдта берілген ұпай сандарын таңдау арқылы шыққан есеп шешімдерін туралы білетін ақпараттарымен бөліседі. Төмендегі сұрақтарды қоюға болады. Бұл қандай қасиеттер? Есептің шығу жолы қандай Қандай анықтамаларды ерліктерін білесіздер? ақпарат айтқан топқа ұпай қосылады. Көп ұпай жинаған топ оқушылары жұлдызшамен бағаланады (тәтті беруге де болады). |
Оқушылардың белсенділіген байланысты бағаланады. |
Оқулық Алгебра 7 Алматы «Атамұра» 2017 авторы Ә.Н. Шыныбеков 6.1.1 я |
|
Сабақтың ортвсы |
Алгебралық бөлшектерді қосу немесе азайту алгоритмі:
Бейнеүзінді: Тапсырма: |
№1 . Амалды орында:
|
Оқушылардың белсенділіген байланысты бағаланады. |
|
|
Сабақтың аяғы |
Рефлексия. « Постермен жұмыс
|
Өз ойларын ортаға салады сабақты талдайды |
Оқушылардың белсенділіген байланысты бағаланады. |
|
|
Ұзақ мерзімді жоспардың тарауы: Алгебралық бөлшектер |
||
|
Күні: |
Мектеп: Мұғалімнің аты-жөні: |
|
|
Сынып: 8 |
Қатысқандар: Қатыспағандар: |
|
|
Сабақтың тақырыбы 92 |
Алгебралық бөлшектерге амалдар қолдану
|
|
|
Осы сабақта қол жеткізілетін оқу мақсаттары (оқу бағдарламасына сілтеме) |
7.2.1.19алгебралық бөлшектердіқосу және азайтуды орындау; 7.2.1.20алгебралық бөлшектерді көбейту және бөлуді, дәрежеге шығаруды орындау; |
|
|
Сабақтың мақсаты |
алгебралық бөлшектердіқосу және азайтуды орындау; алгебралық бөлшектерді көбейту және бөлуді, дәрежеге шығаруды орындау; |
|
Сабақтың барысы
|
Сабақтың кезеңі |
Педагогтың әрекеті |
Оқушының әрекеті |
Бағалау |
Ресурстар |
|
Сабақтың басы |
Жағымды ахуал тудыру мақсатында Ширату жаттығу. Сабақтың мақсаты таныстырылады. «Миға шабуыл» әдісі арқылы сұрақ жауап Үйге берілген тапсырманы сұрақ-жауап арқылы диалогқа түсіру. Топ бойынша өткен тақырыптар бойынша сұрақ- жауаптарға дайындық жасау.
|
«Сиқырлы ұяшықтар» Топтар слайдта берілген ұпай сандарын таңдау арқылы шыққан есеп шешімдерін туралы білетін ақпараттарымен бөліседі. Төмендегі сұрақтарды қоюға болады. Бұл қандай қасиеттер? Есептің шығу жолы қандай Қандай анықтамаларды ерліктерін білесіздер? ақпарат айтқан топқа ұпай қосылады. Көп ұпай жинаған топ оқушылары жұлдызшамен бағаланады (тәтті беруге де болады). |
Оқушылардың белсенділіген байланысты бағаланады. |
Оқулық Алгебра 7 Алматы «Атамұра» 2017 авторы Ә.Н. Шыныбеков 6.1.1 я |
|
Сабақтың ортвсы |
Өзара кері сандар ұғымын қайталайық.
Айнымалысы бар өзара кері өрнектер туралы, тура осылай айтуға болады.
Мысалы,
Жай бөлшектерді бөлу үшін бірінші бөлшекті екінші бөлшектің кері бөлшегіне көбейтетіні белгілі.
Осы ереже рационал бөлшектерді бөлу кезінде де қолданылады. Бір рационал бөлшекті екінші рационал бөлшекке бөлу үшін бірінші бөлшекті екінші бөлшекке кері бөлшекке көбейту керек. Бейнеүзінді: https://bilimland.kz/kk/subject/algebra/7-synyp/algebralyq-bolshekterdi-bolu?mid=e4ba2f90-9ee4-11e9-a361-1f1ed251dcfe |
Өрнектерді көбейткіштерге жіктеу тәсілдерін қолданамыз.
Жауабы:
Тапсырма: Амалды орында:
1) |
Оқушылардың белсенділіген байланысты бағаланады. |
|
|
Сабақтың аяғы |
Рефлексия. « Постермен жұмыс
|
Өз ойларын ортаға салады сабақты талдайды |
Оқушылардың белсенділіген байланысты бағаланады. |
|
|
Ұзақ мерзімді жоспардың тарауы: Алгебралық бөлшектер |
||
|
Күні: |
Мектеп: Мұғалімнің аты-жөні: |
|
|
Сынып: 8 |
Қатысқандар: Қатыспағандар: |
|
|
Сабақтың тақырыбы 93 |
Алгебралық бөлшектерге амалдар қолдану
|
|
|
Осы сабақта қол жеткізілетін оқу мақсаттары (оқу бағдарламасына сілтеме) |
7.2.1.19алгебралық бөлшектердіқосу және азайтуды орындау; 7.2.1.20алгебралық бөлшектерді көбейту және бөлуді, дәрежеге шығаруды орындау; |
|
|
Сабақтың мақсаты |
алгебралық бөлшектердіқосу және азайтуды орындау; алгебралық бөлшектерді көбейту және бөлуді, дәрежеге шығаруды орындау; |
|
Сабақтың барысы
|
Сабақтың кезеңі |
Педагогтың әрекеті |
Оқушының әрекеті |
Бағалау |
Ресурстар |
|
Сабақтың басы |
Жағымды ахуал тудыру мақсатында Ширату жаттығу. Сабақтың мақсаты таныстырылады. «Миға шабуыл» әдісі арқылы сұрақ жауап Үйге берілген тапсырманы сұрақ-жауап арқылы диалогқа түсіру. Топ бойынша өткен тақырыптар бойынша сұрақ- жауаптарға дайындық жасау.
|
«Сиқырлы ұяшықтар» Топтар слайдта берілген ұпай сандарын таңдау арқылы шыққан есеп шешімдерін туралы білетін ақпараттарымен бөліседі. Төмендегі сұрақтарды қоюға болады. Бұл қандай қасиеттер? Есептің шығу жолы қандай Қандай анықтамаларды ерліктерін білесіздер? ақпарат айтқан топқа ұпай қосылады. Көп ұпай жинаған топ оқушылары жұлдызшамен бағаланады (тәтті беруге де болады). |
Оқушылардың белсенділіген байланысты бағаланады. |
Оқулық Алгебра 7 Алматы «Атамұра» 2017 авторы Ә.Н. Шыныбеков 6.1.1 я |
|
Сабақтың ортвсы |
Бір рационал бөлшекті екінші рационал бөлшекке бөлу үшін бірінші бөлшекті екінші бөлшекке кері бөлшекке көбейту керек.
Бейнеүзінді: https://www.youtube.com/watch?v=ke4bjtrOSp0 |
Амалды орында:
|
Оқушылардың белсенділіген байланысты бағаланады. |
|
|
Сабақтың аяғы |
Рефлексия. « Постермен жұмыс
|
Өз ойларын ортаға салады сабақты талдайды |
Оқушылардың белсенділіген байланысты бағаланады. |
|
|
Ұзақ мерзімді жоспардың тарауы: Алгебралық бөлшектер |
||
|
Күні: |
Мектеп: Мұғалімнің аты-жөні: |
|
|
Сынып: 8 |
Қатысқандар: Қатыспағандар: |
|
|
Сабақтың тақырыбы 94 |
Алгебралық бөлшектерге амалдар қолдану
|
|
|
Осы сабақта қол жеткізілетін оқу мақсаттары (оқу бағдарламасына сілтеме) |
7.2.1.19алгебралық бөлшектердіқосу және азайтуды орындау; 7.2.1.20алгебралық бөлшектерді көбейту және бөлуді, дәрежеге шығаруды орындау; |
|
|
Сабақтың мақсаты |
алгебралық бөлшектердіқосу және азайтуды орындау; алгебралық бөлшектерді көбейту және бөлуді, дәрежеге шығаруды орындау; |
|
Сабақтың барысы
|
Сабақтың кезеңі |
Педагогтың әрекеті |
Оқушының әрекеті |
Бағалау |
Ресурстар |
|
Сабақтың басы |
Жағымды ахуал тудыру мақсатында Ширату жаттығу. Сабақтың мақсаты таныстырылады. «Миға шабуыл» әдісі арқылы сұрақ жауап Үйге берілген тапсырманы сұрақ-жауап арқылы диалогқа түсіру. Топ бойынша өткен тақырыптар бойынша сұрақ- жауаптарға дайындық жасау.
|
«Сиқырлы ұяшықтар» Топтар слайдта берілген ұпай сандарын таңдау арқылы шыққан есеп шешімдерін туралы білетін ақпараттарымен бөліседі. Төмендегі сұрақтарды қоюға болады. Бұл қандай қасиеттер? Есептің шығу жолы қандай Қандай анықтамаларды ерліктерін білесіздер? ақпарат айтқан топқа ұпай қосылады. Көп ұпай жинаған топ оқушылары жұлдызшамен бағаланады (тәтті беруге де болады). |
Оқушылардың белсенділіген байланысты бағаланады. |
Оқулық Алгебра 7 Алматы «Атамұра» 2017 авторы Ә.Н. Шыныбеков 6.1.1 я |
|
Сабақтың ортвсы |
Бейнеүзінді: https://www.youtube.com/watch?v=emERwCHIaJc
Өрнектерді көбейткіштерге жіктеудің әртүрлі тәсілдерін қолданамыз. |
Көрсетілген амалдарды орында:
1).
2).
3). |
Оқушылардың белсенділіген байланысты бағаланады. |
|
|
Сабақтың аяғы |
Рефлексия. « Постермен жұмыс
|
Өз ойларын ортаға салады сабақты талдайды |
Оқушылардың белсенділіген байланысты бағаланады. |
|
|
Ұзақ мерзімді жоспардың тарауы: Алгебралық бөлшектер |
||
|
Күні: |
Мектеп: Мұғалімнің аты-жөні: |
|
|
Сынып: 8 |
Қатысқандар: Қатыспағандар: |
|
|
Сабақтың тақырыбы 95 |
Алгебралық бөлшектерге амалдар қолдану
|
|
|
Осы сабақта қол жеткізілетін оқу мақсаттары (оқу бағдарламасына сілтеме) |
7.2.1.19алгебралық бөлшектердіқосу және азайтуды орындау; 7.2.1.20алгебралық бөлшектерді көбейту және бөлуді, дәрежеге шығаруды орындау; |
|
|
Сабақтың мақсаты |
алгебралық бөлшектердіқосу және азайтуды орындау; алгебралық бөлшектерді көбейту және бөлуді, дәрежеге шығаруды орындау; |
|
Сабақтың барысы
|
Сабақтың кезеңі |
Педагогтың әрекеті |
Оқушының әрекеті |
Бағалау |
Ресурстар |
|
Сабақтың басы |
Жағымды ахуал тудыру мақсатында Ширату жаттығу. Сабақтың мақсаты таныстырылады. «Миға шабуыл» әдісі арқылы сұрақ жауап Үйге берілген тапсырманы сұрақ-жауап арқылы диалогқа түсіру. Топ бойынша өткен тақырыптар бойынша сұрақ- жауаптарға дайындық жасау.
|
«Сиқырлы ұяшықтар» Топтар слайдта берілген ұпай сандарын таңдау арқылы шыққан есеп шешімдерін туралы білетін ақпараттарымен бөліседі. Төмендегі сұрақтарды қоюға болады. Бұл қандай қасиеттер? Есептің шығу жолы қандай Қандай анықтамаларды ерліктерін білесіздер? ақпарат айтқан топқа ұпай қосылады. Көп ұпай жинаған топ оқушылары жұлдызшамен бағаланады (тәтті беруге де болады). |
Оқушылардың белсенділіген байланысты бағаланады. |
Оқулық Алгебра 7 Алматы «Атамұра» 2017 авторы Ә.Н. Шыныбеков 6.1.1 я |
|
Сабақтың ортвсы |
Оқулық Алгебра 7 Алматы «Атамұра» 2017 авторы Ә.Н. Шыныбеков 6.3.2 Бейнеүзінді: https://www.youtube.com/watch?v=ke4bjtrOSp0 https://bilimland.kz/kk/subject/algebra/7-synyp/algebralyq-bolshekterdi-darezheleu?mid=1:simple Бөлшекті дәрежеге шығарғанда, оның алымының да, бөлімінің де әрбір көбейткішін осы дәрежеге шығарады. Мысал:
|
Тапсырма:
Дескриптор:
|
Оқушылардың белсенділіген байланысты бағаланады. |
|
|
Сабақтың аяғы |
Рефлексия. « Постермен жұмыс
|
Өз ойларын ортаға салады сабақты талдайды |
Оқушылардың белсенділіген байланысты бағаланады. |
|
|
Ұзақ мерзімді жоспардың тарауы: Алгебралық бөлшектер |
||
|
Күні: |
Мектеп: Мұғалімнің аты-жөні: |
|
|
Сынып: 8 |
Қатысқандар: Қатыспағандар: |
|
|
Сабақтың тақырыбы 96 |
Алгебралық бөлшектерге амалдар қолдану
|
|
|
Осы сабақта қол жеткізілетін оқу мақсаттары (оқу бағдарламасына сілтеме) |
7.2.1.19алгебралық бөлшектердіқосу және азайтуды орындау; 7.2.1.20алгебралық бөлшектерді көбейту және бөлуді, дәрежеге шығаруды орындау; |
|
|
Сабақтың мақсаты |
алгебралық бөлшектердіқосу және азайтуды орындау; алгебралық бөлшектерді көбейту және бөлуді, дәрежеге шығаруды орындау; |
|
Сабақтың барысы
|
Сабақтың кезеңі |
Педагогтың әрекеті |
Оқушының әрекеті |
Бағалау |
Ресурстар |
|
Сабақтың басы |
Жағымды ахуал тудыру мақсатында Ширату жаттығу. Сабақтың мақсаты таныстырылады. «Миға шабуыл» әдісі арқылы сұрақ жауап Үйге берілген тапсырманы сұрақ-жауап арқылы диалогқа түсіру. Топ бойынша өткен тақырыптар бойынша сұрақ- жауаптарға дайындық жасау.
|
«Сиқырлы ұяшықтар» Топтар слайдта берілген ұпай сандарын таңдау арқылы шыққан есеп шешімдерін туралы білетін ақпараттарымен бөліседі. Төмендегі сұрақтарды қоюға болады. Бұл қандай қасиеттер? Есептің шығу жолы қандай Қандай анықтамаларды ерліктерін білесіздер? ақпарат айтқан топқа ұпай қосылады. Көп ұпай жинаған топ оқушылары жұлдызшамен бағаланады (тәтті беруге де болады). |
Оқушылардың белсенділіген байланысты бағаланады. |
Оқулық Алгебра 7 Алматы «Атамұра» 2017 авторы Ә.Н. Шыныбеков 6.1.1 я |
|
Сабақтың ортвсы |
Алгебралық бөлшектерге көбейту, бөлу және дәрежеге шығару амалын орындау; 2. Құрамында алгебралық бөлшектері бар өрнектерді түрлендіруді орындау Конспект Оқулық Алгебра 7 Алматы «Атамұра» 2017 авторы Ә.Н. Шыныбеков 6.3.2
Осы амалдарды қолдану нәтижесінде алымы да, бөлімі да көпмүшелер болатын бөлшек аламыз. Егер бірнеше түрлендірулер енгізу қажет болса, онда алдын ала кандай амалды орындау керектігін анықтап алған жөн. 1 Мысал Амалдарды орында:
|
Бірінші азайту амалы орындалады. Бөлшектердің бөлімдерін көбейткіштерге жіктеп, ортақ бөлімге келтіру керек. Одан кейін азайту амалын орындау.
1.
|
Оқушылардың белсенділіген байланысты бағаланады. |
|
|
Сабақтың аяғы |
Рефлексия. « Постермен жұмыс
|
Өз ойларын ортаға салады сабақты талдайды |
Оқушылардың белсенділіген байланысты бағаланады. |
|
|
Ұзақ мерзімді жоспардың тарауы: Алгебралық бөлшектер |
||
|
Күні: |
Мектеп: Мұғалімнің аты-жөні: |
|
|
Сынып: 8 |
Қатысқандар: Қатыспағандар: |
|
|
Сабақтың тақырыбы 97 |
Алгебралық бөлшектерге амалдар қолдану
|
|
|
Осы сабақта қол жеткізілетін оқу мақсаттары (оқу бағдарламасына сілтеме) |
7.2.1.19алгебралық бөлшектердіқосу және азайтуды орындау; 7.2.1.20алгебралық бөлшектерді көбейту және бөлуді, дәрежеге шығаруды орындау; |
|
|
Сабақтың мақсаты |
алгебралық бөлшектердіқосу және азайтуды орындау; алгебралық бөлшектерді көбейту және бөлуді, дәрежеге шығаруды орындау; |
|
Сабақтың барысы
|
Сабақтың кезеңі |
Педагогтың әрекеті |
Оқушының әрекеті |
Бағалау |
Ресурстар |
|
Сабақтың басы |
Жағымды ахуал тудыру мақсатында Ширату жаттығу. Сабақтың мақсаты таныстырылады. «Миға шабуыл» әдісі арқылы сұрақ жауап Үйге берілген тапсырманы сұрақ-жауап арқылы диалогқа түсіру. Топ бойынша өткен тақырыптар бойынша сұрақ- жауаптарға дайындық жасау.
|
«Сиқырлы ұяшықтар» Топтар слайдта берілген ұпай сандарын таңдау арқылы шыққан есеп шешімдерін туралы білетін ақпараттарымен бөліседі. Төмендегі сұрақтарды қоюға болады. Бұл қандай қасиеттер? Есептің шығу жолы қандай Қандай анықтамаларды ерліктерін білесіздер? ақпарат айтқан топқа ұпай қосылады. Көп ұпай жинаған топ оқушылары жұлдызшамен бағаланады (тәтті беруге де болады). |
Оқушылардың белсенділіген байланысты бағаланады. |
Оқулық Алгебра 7 Алматы «Атамұра» 2017 авторы Ә.Н. Шыныбеков 6.1.1 я |
|
Сабақтың ортвсы |
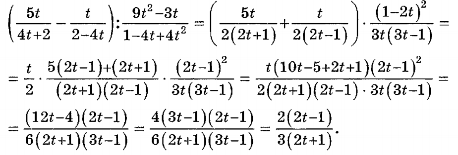
Екінші амал көбейту амалы орындалады. Бірінші бөлшектің алымын көбейткіштерге жіктеп алып, көбейту амалын орындау.
4.Үшінші амал қосу амалы орындалады.
|
Тапсырма: |
Оқушылардың белсенділіген байланысты бағаланады. |
|
|
Сабақтың аяғы |
Рефлексия. « Постермен жұмыс
|
Өз ойларын ортаға салады сабақты талдайды |
Оқушылардың белсенділіген байланысты бағаланады. |
|
|
Ұзақ мерзімді жоспардың тарауы: Алгебралық бөлшектер |
||
|
Күні: |
Мектеп: Мұғалімнің аты-жөні: |
|
|
Сынып: 8 |
Қатысқандар: Қатыспағандар: |
|
|
Сабақтың тақырыбы 98 |
Алгебралық өрнектерді тепе-тең түрлендіру
|
|
|
Осы сабақта қол жеткізілетін оқу мақсаттары (оқу бағдарламасына сілтеме) |
7.2.1.21 құрамында алгебралық бөлшектері бар өрнектерді түрлендіруді орындау; |
|
|
Сабақтың мақсаты |
құрамында алгебралық бөлшектері бар өрнектерді түрлендіруді орындау; |
|
Сабақтың барысы
|
Сабақтың кезеңі |
Педагогтың әрекеті |
Оқушының әрекеті |
Бағалау |
Ресурстар |
|
Сабақтың басы |
Сынып топтарға бөлінеді. Топтарға Алгебралық бөлшектерге амалдар қолдану үлгісі туралы мәтін ұсынылады. 1-тапсырма: Мәтін бойынша ментальді карта жасаңыз. Мәтіндегі негізгі мағлұматтарды қамтуға тырысыңыз және жұмыстың қорытындысымен сыныпты таныстырыңыздар. |
Кім шапшаң?» ойынын ойнату арқылы оқушылардың білімдерін жан-жақты тексеру. сұрақ-жауаб арқылы өтілген сабақты қайталау (диалог әдісі): |
Оқушылардың белсенділіген байланысты бағаланады. |
Оқулық Алгебра 7 Алматы «Атамұра» 2017 авторы Ә.Н. Шыныбеков 6.1.1 я |
|
Сабақтың ортвсы |
Бейнеүзінді: https://www.youtube.com/watch?v=tFBs800tBU4 Тапсырма: Өрнекті ықшамда: Амалдарды орындау реттілігін сақтау қажет. 1 Мысал:
2 Мысал:
Дескриптор: Оқушы - ортақ бөлімге келтіреді, азайту амалын орындайды; - бөлшектің алымы мен бөлімін көбейткіштерге жіктейді ; - ортақ көбейткішті жақша сыртына шығарады; - қысқаша көбейту формуларын қолданады; - бөлшектерді қысқартады; .өрнекті ықшамдайды |
Өрнекті ықшамда:
Оқушы - ортақ бөлімге келтіреді, азайту амалын орындайды; - бөлшектің алымы мен бөлімін көбейткіштерге жіктейді ; - ортақ көбейткішті жақша сыртына шығарады; - қысқаша көбейту формуларын қолданады; - бөлшектерді қысқартады; .өрнекті ықшамдайды |
Оқушылардың белсенділіген байланысты бағаланады. |
|
|
Сабақтың аяғы |
Рефлексия. ҚБ: «Жетістік баспалдағы» әдісімен оқушылар берілген тапсырма бойынша қандай білім баспалдағында тұрғанын анықтайды. «Бір минут» әдісі бойынша оқушылар сабақты қорытындылайды. |
Рефлексия -Сабақта қандай тапсырмалар немесе іс-әрекеттер қызықты болды? - Қандай тапсырма қиындық туғызды? Неге? |
Оқушылардың белсенділіген байланысты бағаланады. |
|
|
Ұзақ мерзімді жоспардың тарауы: Алгебралық бөлшектер |
||
|
Күні: |
Мектеп: Мұғалімнің аты-жөні: |
|
|
Сынып: 8 |
Қатысқандар: Қатыспағандар: |
|
|
Сабақтың тақырыбы 99 |
Алгебралық өрнектерді тепе-тең түрлендіру
|
|
|
Осы сабақта қол жеткізілетін оқу мақсаттары (оқу бағдарламасына сілтеме) |
7.2.1.21 құрамында алгебралық бөлшектері бар өрнектерді түрлендіруді орындау; |
|
|
Сабақтың мақсаты |
құрамында алгебралық бөлшектері бар өрнектерді түрлендіруді орындау; |
|
Сабақтың барысы
|
Сабақтың кезеңі |
Педагогтың әрекеті |
Оқушының әрекеті |
Бағалау |
Ресурстар |
|
Сабақтың басы |
Сынып топтарға бөлінеді. Топтарға Алгебралық бөлшектерге амалдар қолдану үлгісі туралы мәтін ұсынылады. 1-тапсырма: Мәтін бойынша ментальді карта жасаңыз. Мәтіндегі негізгі мағлұматтарды қамтуға тырысыңыз және жұмыстың қорытындысымен сыныпты таныстырыңыздар. |
Кім шапшаң?» ойынын ойнату арқылы оқушылардың білімдерін жан-жақты тексеру. сұрақ-жауаб арқылы өтілген сабақты қайталау (диалог әдісі): |
Оқушылардың белсенділіген байланысты бағаланады. |
Оқулық Алгебра 7 Алматы «Атамұра» 2017 авторы Ә.Н. Шыныбеков 6.1.1 я |
|
Сабақтың ортвсы |
Оқулық Алгебра 7 Алматы «Атамұра» 2017 авторы Ә.Н. Шыныбеков 6.3.1 Алгебралық бөлшектерді көбейту үшін олардың алымдарының көбейтіндісін алымына, ал бөлімдерінің көбейтіндісін бөліміне жазу керек.
Бөлшектерді
көбейту
Ал енді осы жай
бөлшектерді көбейтуді алгебралық бөлшектерді көбейту түрінде
жазайық
1
мысал:
Шешуі
: 2 мысал:
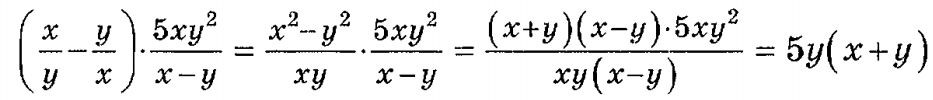
Мұнда алдымен екінші бөлшектің алымындағы қысқаша көбейту формуласын ашамыз, содан кейін алымдарын бір-біріне, бөлімдерін бір-біріне көбейтіп, алымдарының көбейтіндісін алымына, бөлімдерінің көбейтіндісін бөліміне жазып, шыққан бөлшекті қысқартамыз.
Жауабы: |
3
мысал: Бірінші бөлшектің алымын ортақ көбейткішті жақша сыртына шығарып көбейткіштерге жіктейміз, содан кейін алымдарын бір-біріне, бөлімдерін бір-біріне көбейтіп, алымдарының көбейтіндісін алымына, бөлімдерінің көбейтіндісін бөліміне жазып, шыққан бөлшекті қысқартамыз. Тапсырма: Амалды орында:
|
Оқушылардың белсенділіген байланысты бағаланады. |
|
|
Сабақтың аяғы |
Рефлексия. ҚБ: «Жетістік баспалдағы» әдісімен оқушылар берілген тапсырма бойынша қандай білім баспалдағында тұрғанын анықтайды. «Бір минут» әдісі бойынша оқушылар сабақты қорытындылайды. |
Рефлексия -Сабақта қандай тапсырмалар немесе іс-әрекеттер қызықты болды? - Қандай тапсырма қиындық туғызды? Неге? |
Оқушылардың белсенділіген байланысты бағаланады. |
|
|
Ұзақ мерзімді жоспардың тарауы: Алгебралық бөлшектер |
||
|
Күні: |
Мектеп: Мұғалімнің аты-жөні: |
|
|
Сынып: 8 |
Қатысқандар: Қатыспағандар: |
|
|
Сабақтың тақырыбы 100 |
7-сыныптағы алгебра курсын қайталау |
|
|
Осы сабақта қол жеткізілетін оқу мақсаттары (оқу бағдарламасына сілтеме) |
7-сыныптағы алгебра курсын қайталау |
|
|
Сабақтың мақсаты |
7-сыныптағы алгебра курсын қайталау |
|
Сабақтың барысы
|
Сабақтың кезеңі |
Педагогтың әрекеті |
Оқушының әрекеті |
Бағалау |
Ресурстар |
|
Сабақтың басы |
Сынып топтарға бөлінеді. Топтарға Алгебралық бөлшектерге амалдар қолдану үлгісі туралы мәтін ұсынылады. 1-тапсырма: Мәтін бойынша ментальді карта жасаңыз. Мәтіндегі негізгі мағлұматтарды қамтуға тырысыңыз және жұмыстың қорытындысымен сыныпты таныстырыңыздар. |
Кім шапшаң?» ойынын ойнату арқылы оқушылардың білімдерін жан-жақты тексеру. сұрақ-жауаб арқылы өтілген сабақты қайталау (диалог әдісі): |
Оқушылардың белсенділіген байланысты бағаланады. |
Оқулық Алгебра 7 Алматы «Атамұра» 2017 авторы Ә.Н. Шыныбеков 6.1.1 я |
|
Сабақтың ортвсы |
1
мысал:
Есептеңіздер: Шешуі:
Қысқаша көбейту формулалары есептеулерді жеңілдетеді. 2 мысал: Натурал санды 5-ке бөлгенде 1 қалдық, ал басқа санды 5-ке бөлгенде 2 қалдық береді. Осы сандардың квадраттарының қосындысы 5-ке бөлінетінін дәлелдеңіздер.
Бұл тапсырманы санды
5-ке бөлгенде 1 қалдық қалады деген өрнек
|
Тапсырма:
|
Оқушылардың белсенділіген байланысты бағаланады. |
|
|
Сабақтың аяғы |
Рефлексия. ҚБ: «Жетістік баспалдағы» әдісімен оқушылар берілген тапсырма бойынша қандай білім баспалдағында тұрғанын анықтайды. «Бір минут» әдісі бойынша оқушылар сабақты қорытындылайды. |
Рефлексия -Сабақта қандай тапсырмалар немесе іс-әрекеттер қызықты болды? - Қандай тапсырма қиындық туғызды? Неге? |
Оқушылардың белсенділіген байланысты бағаланады. |
|
|
Ұзақ мерзімді жоспардың тарауы: Алгебралық бөлшектер |
||
|
Күні: |
Мектеп: Мұғалімнің аты-жөні: |
|
|
Сынып: 8 |
Қатысқандар: Қатыспағандар: |
|
|
Сабақтың тақырыбы 101 |
7-сыныптағы алгебра курсын қайталау |
|
|
Осы сабақта қол жеткізілетін оқу мақсаттары (оқу бағдарламасына сілтеме) |
7-сыныптағы алгебра курсын қайталау |
|
|
Сабақтың мақсаты |
7-сыныптағы алгебра курсын қайталау |
|
Сабақтың барысы
|
Сабақтың кезеңі |
Педагогтың әрекеті |
Оқушының әрекеті |
Бағалау |
Ресурстар |
|
Сабақтың басы |
Сынып топтарға бөлінеді. Топтарға Алгебралық бөлшектерге амалдар қолдану үлгісі туралы мәтін ұсынылады. 1-тапсырма: Мәтін бойынша ментальді карта жасаңыз. Мәтіндегі негізгі мағлұматтарды қамтуға тырысыңыз және жұмыстың қорытындысымен сыныпты таныстырыңыздар. |
Кім шапшаң?» ойынын ойнату арқылы оқушылардың білімдерін жан-жақты тексеру. сұрақ-жауаб арқылы өтілген сабақты қайталау (диалог әдісі): |
Оқушылардың белсенділіген байланысты бағаланады. |
Оқулық Алгебра 7 Алматы «Атамұра» 2017 авторы Ә.Н. Шыныбеков 6.1.1 я |
|
Сабақтың ортвсы |
Дәреже қасиеттерін еске түсір.
Анықтама. Айнымалының кез келген мәнінде мағынасы болатын бір өрнекті оған тепе-тең өрнекпен алмастыруды тепе-тең түрлендіру деп атайды.
Мысал: Ықшамдаңыз. |
2. Өрнекті ықшамдаңдар:
|
Оқушылардың белсенділіген байланысты бағаланады. |
|
|
Сабақтың аяғы |
Рефлексия. ҚБ: «Жетістік баспалдағы» әдісімен оқушылар берілген тапсырма бойынша қандай білім баспалдағында тұрғанын анықтайды. «Бір минут» әдісі бойынша оқушылар сабақты қорытындылайды. |
Рефлексия -Сабақта қандай тапсырмалар немесе іс-әрекеттер қызықты болды? - Қандай тапсырма қиындық туғызды? Неге? |
Оқушылардың белсенділіген байланысты бағаланады. |
|
жүктеу мүмкіндігіне ие боласыз
Бұл материал сайт қолданушысы жариялаған. Материалдың ішінде жазылған барлық ақпаратқа жауапкершілікті жариялаған қолданушы жауап береді. Ұстаз тілегі тек ақпаратты таратуға қолдау көрсетеді. Егер материал сіздің авторлық құқығыңызды бұзған болса немесе басқа да себептермен сайттан өшіру керек деп ойласаңыз осында жазыңыз
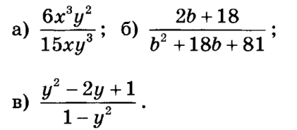
Алгебралық бөлшек және оның негізгі қасиеті
Алгебралық бөлшек және оның негізгі қасиеті
|
Ұзақ мерзімді жоспардың тарауы: Алгебралық бөлшектер |
||
|
Күні: |
Мектеп: Мұғалімнің аты-жөні: |
|
|
Сынып: 8 |
Қатысқандар: Қатыспағандар: |
|
|
Сабақтың тақырыбы 80 |
Алгебралық бөлшек және оның негізгі қасиеті |
|
|
Осы сабақта қол жеткізілетін оқу мақсаттары (оқу бағдарламасына сілтеме) |
7.2.1.16алгебралық бөлшектерді танып білу; 7.2.1.17алгебралық бөлшектегі айнымалылардың мүмкін мәндер жиынын табу; 7.2.1.18алгебралық бөлшектің негізгі
қасиетін қолдану: |
|
|
Сабақтың мақсаты |
алгебралық бөлшектерді танып білу; алгебралық бөлшектегі айнымалылардың мүмкін мәндер жиынын табу; алгебралық бөлшектің негізгі
қасиетін қолдану: |
|
|
Сабақтың кезеңі |
Педагогтың әрекеті |
Оқушының әрекеті |
Бағалау |
Ресурстар |
||||||||||||
|
Сабақтың басы |
Жағымды ахуал тудыру мақсатында Ширату жаттығу. Белсенді оқу әдістері аясында «Өзіңді тексеріңіз» әдісімен оқушылардың зейінін сабаққа шоғырландыру, қызықтыру мақсатында уәждей отырып, оқуға деген қызығушылығын арттырамын. Ж Берілген сұрақтарға «иә», «жоқ» жауапты белгілейді, жауабын түсіндіреді.
|
Дескриптор: - нүктенің координаталарын табады; - орналасуын анықтайды ҚБ: «Бағдаршам» әдісі |
Оқушылардың белсенділіген байланысты бағаланады. |
Оқулық Алгебра 7 Алматы «Атамұра» 2017 авторы Ә.Н. Шыныбеков 6.1.1 я |
||||||||||||
|
С Алгебралық өрнектер (жазылуында бір немесе бірнеше әріптер, сандар, амал таңбалары және жақшалар).
|
Бүтін өрнектер
Бөлімінде айнымалы жоқ, айнымалы бөлшектің алымында ғана
Бөлшек өрнектер
Бөлімінде айнымалы бар
Алгебралық өрнектің құрамындағы әріпті санмен алмастыруға болады. Берілген өрнектің мағынасы болатын әріптің мәндерін мүмкін мәндер деп атайды
Мысал 1. Алгебралық
бөлшектің
Жауабы:
Мысал 2. Алгебралық
бөлшектің
Жауабы: Анықтама: Айнымалының мүмкін мәндері жиыны- өрнектің мағынасы бар болатындай оның құрамындағы айнымалының барлық мәндері.
|
Мысал 1
ММЖ:
Ж
Мысал 2
ММЖ:
Жауабы:
Тапсырма №1 Айнымалының қандай мәндерінде бөлшектің мағынасы болмайды?
4)
|
Оқушылардың белсенділіген байланысты бағаланады.
|
|
||||||||||||
|
Сабақтың аяғы |
Рефлексия.
|
Бүгінгі меңгерілген материал бойынша 5 сұраққа жылдам жауап береді. |
Оқушылардың белсенділіген байланысты бағаланады. |
|
|
Ұзақ мерзімді жоспардың тарауы: Алгебралық бөлшектер |
||
|
Күні: |
Мектеп: Мұғалімнің аты-жөні: |
|
|
Сынып: 8 |
Қатысқандар: Қатыспағандар: |
|
|
Сабақтың тақырыбы 81 |
Алгебралық бөлшек және оның негізгі қасиеті |
|
|
Осы сабақта қол жеткізілетін оқу мақсаттары (оқу бағдарламасына сілтеме) |
7.2.1.16алгебралық бөлшектерді танып білу; 7.2.1.17алгебралық бөлшектегі айнымалылардың мүмкін мәндер жиынын табу; 7.2.1.18алгебралық бөлшектің негізгі
қасиетін қолдану: |
|
|
Сабақтың мақсаты |
алгебралық бөлшектерді танып білу; алгебралық бөлшектегі айнымалылардың мүмкін мәндер жиынын табу; алгебралық бөлшектің негізгі
қасиетін қолдану: |
|
Сабақтың барысы
|
Сабақтың кезеңі |
Педагогтың әрекеті |
Оқушының әрекеті |
Бағалау |
Ресурстар |
|
Сабақтың басы |
Жағымды ахуал тудыру мақсатында Ширату жаттығу. Белсенді оқу әдістері аясында «Өзіңді тексеріңіз» әдісімен оқушылардың зейінін сабаққа шоғырландыру, қызықтыру мақсатында уәждей отырып, оқуға деген қызығушылығын арттырамын. Ж Берілген сұрақтарға «иә», «жоқ» жауапты белгілейді, жауабын түсіндіреді. |
Дескриптор: - нүктенің координаталарын табады; - орналасуын анықтайды ҚБ: «Бағдаршам» әдісі |
Оқушылардың белсенділіген байланысты бағаланады. |
Оқулық Алгебра 7 Алматы «Атамұра» 2017 авторы Ә.Н. Шыныбеков 6.1.1 я |
|
Сабақтың ортвсы |
Анықтама: Айнымалының мүмкін мәндері жиыны- өрнектің мағынасы бар болатындай оның құрамындағы айнымалының барлық мәндері. Мысал: Айнымалының қандай мәнінде алгебралық бөлшектің мағынасы болмайтынын көрсетіңіз:
ММЖ:
Ж
қысқаша көбейту формуласын қолданып түрлендіремиз
Ж
с)
Ж |
Тапсырма №1 Бөлшекке кіретін айнымалылардың мүмкін мәндерін табыңыздар. |
Оқушылардың белсенділіген байланысты бағаланады. |
|
|
Сабақтың аяғы |
Рефлексия.
|
Бүгінгі меңгерілген материал бойынша 5 сұраққа жылдам жауап береді. |
Оқушылардың белсенділіген байланысты бағаланады. |
|
|
Ұзақ мерзімді жоспардың тарауы: Алгебралық бөлшектер |
||
|
Күні: |
Мектеп: Мұғалімнің аты-жөні: |
|
|
Сынып: 8 |
Қатысқандар: Қатыспағандар: |
|
|
Сабақтың тақырыбы 82 |
Алгебралық бөлшек және оның негізгі қасиеті |
|
|
Осы сабақта қол жеткізілетін оқу мақсаттары (оқу бағдарламасына сілтеме) |
7.2.1.16алгебралық бөлшектерді танып білу; 7.2.1.17алгебралық бөлшектегі айнымалылардың мүмкін мәндер жиынын табу; 7.2.1.18алгебралық бөлшектің негізгі
қасиетін қолдану: |
|
|
Сабақтың мақсаты |
алгебралық бөлшектерді танып білу; алгебралық бөлшектегі айнымалылардың мүмкін мәндер жиынын табу; алгебралық бөлшектің негізгі
қасиетін қолдану: |
|
Сабақтың барысы
|
Сабақтың кезеңі |
Педагогтың әрекеті |
Оқушының әрекеті |
Бағалау |
Ресурстар |
||||
|
Сабақтың басы |
Жағымды ахуал тудыру мақсатында Ширату жаттығу. Белсенді оқу әдістері аясында «Өзіңді тексеріңіз» әдісімен оқушылардың зейінін сабаққа шоғырландыру, қызықтыру мақсатында уәждей отырып, оқуға деген қызығушылығын арттырамын. Ж Берілген сұрақтарға «иә», «жоқ» жауапты белгілейді, жауабын түсіндіреді. |
Дескриптор: - нүктенің координаталарын табады; - орналасуын анықтайды ҚБ: «Бағдаршам» әдісі |
Оқушылардың белсенділіген байланысты бағаланады. |
Оқулық Алгебра 7 Алматы «Атамұра» 2017 авторы Ә.Н. Шыныбеков 6.1.1 я |
||||
|
Сабақтың ортвсы |
Бөлшектің негізгі қасиеті: Егер бөлшектің алымын да, бөлімін де нөлге тең емес өрнекке көбейтсе,онда берілген бөлшекке тең бөлшек
шығады.
Б Анықтама: Құрамындағы барлық айнымалылардың мүмкін мәндері жиынында ақиқат болатын теңдікті теңбе-теңдік деп атайды. Өрнекті оған теңбе-тең өрнекпен алмастыруды теңбе-тең түрлендіру деп атайды
|
М
Блок-схема
|
Оқушылардың белсенділіген байланысты бағаланады. |
|
||||
|
Сабақтың аяғы |
Рефлексия. Денгейлі тапсырмалар
|
Бүгінгі меңгерілген материал бойынша 5 сұраққа жылдам жауап береді.«Таңда да таста» әдісі бойынша оқушылар бүгінгі сабақта мен не үйрендім, мен үшін не қызық болды, маған не түсініксіз болды деген 3 сұраққа жауап беріп, өзара дебрифиг жүргізеді |
Оқушылардың белсенділіген байланысты бағаланады. |
|
|
Ұзақ мерзімді жоспардың тарауы: Алгебралық бөлшектер |
||
|
Күні: |
Мектеп: Мұғалімнің аты-жөні: |
|
|
Сынып: 8 |
Қатысқандар: Қатыспағандар: |
|
|
Сабақтың тақырыбы 83 |
Алгебралық бөлшек және оның негізгі қасиеті |
|
|
Осы сабақта қол жеткізілетін оқу мақсаттары (оқу бағдарламасына сілтеме) |
7.2.1.16алгебралық бөлшектерді танып білу; 7.2.1.17алгебралық бөлшектегі айнымалылардың мүмкін мәндер жиынын табу; 7.2.1.18алгебралық бөлшектің негізгі
қасиетін қолдану: |
|
|
Сабақтың мақсаты |
алгебралық бөлшектерді танып білу; алгебралық бөлшектегі айнымалылардың мүмкін мәндер жиынын табу; алгебралық бөлшектің негізгі
қасиетін қолдану: |
|
Сабақтың барысы
|
Сабақтың кезеңі |
Педагогтың әрекеті |
Оқушының әрекеті |
Бағалау |
Ресурстар |
|||||||||||||||||||||
|
Сабақтың басы |
Жағымды ахуал тудыру мақсатында Ширату жаттығу. Белсенді оқу әдістері аясында «Өзіңді тексеріңіз» әдісімен оқушылардың зейінін сабаққа шоғырландыру, қызықтыру мақсатында уәждей отырып, оқуға деген қызығушылығын арттырамын. Ж Берілген сұрақтарға «иә», «жоқ» жауапты белгілейді, жауабын түсіндіреді. |
Дескриптор: - нүктенің координаталарын табады; - орналасуын анықтайды ҚБ: «Бағдаршам» әдісі |
Оқушылардың белсенділіген байланысты бағаланады. |
Оқулық Алгебра 7 Алматы «Атамұра» 2017 авторы Ә.Н. Шыныбеков 6.1.1 я |
|||||||||||||||||||||
|
Сабақтың ортвсы |
Бөлшектің негізгі қасиеті: Егер бөлшектің алымын да, бөлімін де нөлге тең емес өрнекке көбейтсе,онда берілген бөлшекке тең бөлшек
шығады.
Бөлшектің негізгі қасиетін қолдану арқылы шығарылатын есептердің түрі – бөлшектерді қысқарту. Анықтама: Құрамындағы барлық
айнымалылардың мүмкін мәндері жиынында ақиқат болатын
теңдікті теңбе-теңдік деп атайды. Өрнекті оған
теңбе-тең өрнекпен алмастыруды теңбе-тең
түрлендіру деп
атайды. Бейнеүзінді: https://www.youtube.com/watch?v=x4sXpSP5hfg Мысал:
Бөлшектің алымы мен бөлімі жіктелгең, (a - b) көбейткішке қысқартылған
Бөлшектің алымы мен бөлімі жіктелген –ортақ қөбейтқішті жақшаның сыртына шығарған, (x - y) көбейткішке қысқартылған.
Бөлшектің алымы мен бөлімін жіктейміз–қысқаша көбейту формуласы арқылы, сосын (m + n)- ға қысқартамыз Тапсырма: №1. Бөлшекті қысқартыңдар, нәтижесін кестеге жазыңдар:
|
өрнектердің белгіленген әріптерін теріп жазыңыздар. Таңдап алынған әріптерден саз өнерінде, бейнелеу өнерінде және шахматта қолданылатын сөзді құрастырыңыз. №2.
Бөлшекті
қысқартыңыздар:
|
Оқушылардың белсенділіген байланысты бағаланады.
|
|
|||||||||||||||||||||
|
Сабақтың аяғы |
Рефлексия.
|
Бүгінгі меңгерілген материал бойынша 5 сұраққа жылдам жауап береді. |
Оқушылардың белсенділіген байланысты бағаланады. |
|
|
Ұзақ мерзімді жоспардың тарауы: Алгебралық бөлшектер |
||
|
Күні: |
Мектеп: Мұғалімнің аты-жөні: |
|
|
Сынып: 8 |
Қатысқандар: Қатыспағандар: |
|
|
Сабақтың тақырыбы 84 |
Алгебралық бөлшек және оның негізгі қасиеті |
|
|
Осы сабақта қол жеткізілетін оқу мақсаттары (оқу бағдарламасына сілтеме) |
7.2.1.16алгебралық бөлшектерді танып білу; 7.2.1.17алгебралық бөлшектегі айнымалылардың мүмкін мәндер жиынын табу; 7.2.1.18алгебралық бөлшектің негізгі
қасиетін қолдану: |
|
|
Сабақтың мақсаты |
алгебралық бөлшектерді танып білу; алгебралық бөлшектегі айнымалылардың мүмкін мәндер жиынын табу; алгебралық бөлшектің негізгі
қасиетін қолдану: |
|
Сабақтың барысы
|
Сабақтың кезеңі |
Педагогтың әрекеті |
Оқушының әрекеті |
Бағалау |
Ресурстар |
|
Сабақтың басы |
Жағымды ахуал тудыру мақсатында Ширату жаттығу. Белсенді оқу әдістері аясында «Өзіңді тексеріңіз» әдісімен оқушылардың зейінін сабаққа шоғырландыру, қызықтыру мақсатында уәждей отырып, оқуға деген қызығушылығын арттырамын. Ж Берілген сұрақтарға «иә», «жоқ» жауапты белгілейді, жауабын түсіндіреді. |
Дескриптор: - нүктенің координаталарын табады; - орналасуын анықтайды ҚБ: «Бағдаршам» әдісі |
Оқушылардың белсенділіген байланысты бағаланады. |
Оқулық Алгебра 7 Алматы «Атамұра» 2017 авторы Ә.Н. Шыныбеков 6.1.1 я |
|
Сабақтың ортвсы |
Бөлшектің негізгі қасиеті: Егер бөлшектің алымын да, бөлімін де нөлге тең емес өрнекке көбейтсе,онда берілген бөлшекке тең бөлшек
шығады.
Бөлшектің негізгі қасиетін қолдану арқылы шығарылатын есептердің түрі – бөлшектерді қысқарту. Анықтама: Құрамындағы барлық айнымалылардың мүмкін мәндері жиынында ақиқат болатын теңдікті теңбе-теңдік деп атайды. Өрнекті оған теңбе-тең өрнекпен алмастыруды теңбе-тең түрлендіру деп атайды.
Бейнеүзінді: https://www.youtube.com/watch?v=T2PwA29Dduw&list=PLCx14LDfH033T934o9ISO7J-p13jupoL6&index=33&t=0s |
Тапсырма: №1 Бөлшекті қысқартыңдар:
|
Оқушылардың белсенділіген байланысты бағаланады. |
|
|
Сабақтың аяғы |
Рефлексия.
|
Бүгінгі меңгерілген материал бойынша 5 сұраққа жылдам жауап береді. |
Оқушылардың белсенділіген байланысты бағаланады. |
|
|
Ұзақ мерзімді жоспардың тарауы: Алгебралық бөлшектер |
||
|
Күні: |
Мектеп: Мұғалімнің аты-жөні: |
|
|
Сынып: 8 |
Қатысқандар: Қатыспағандар: |
|
|
Сабақтың тақырыбы 85 |
Алгебралық бөлшек және оның негізгі қасиеті |
|
|
Осы сабақта қол жеткізілетін оқу мақсаттары (оқу бағдарламасына сілтеме) |
7.2.1.16алгебралық бөлшектерді танып білу; 7.2.1.17алгебралық бөлшектегі айнымалылардың мүмкін мәндер жиынын табу; 7.2.1.18алгебралық бөлшектің негізгі
қасиетін қолдану: |
|
|
Сабақтың мақсаты |
алгебралық бөлшектерді танып білу; алгебралық бөлшектегі айнымалылардың мүмкін мәндер жиынын табу; алгебралық бөлшектің негізгі
қасиетін қолдану: |
|
Сабақтың барысы
|
Сабақтың кезеңі |
Педагогтың әрекеті |
Оқушының әрекеті |
Бағалау |
Ресурстар |
|
Сабақтың басы |
Жағымды ахуал тудыру мақсатында Ширату жаттығу. Белсенді оқу әдістері аясында «Өзіңді тексеріңіз» әдісімен оқушылардың зейінін сабаққа шоғырландыру, қызықтыру мақсатында уәждей отырып, оқуға деген қызығушылығын арттырамын. Ж Берілген сұрақтарға «иә», «жоқ» жауапты белгілейді, жауабын түсіндіреді. |
Дескриптор: - нүктенің координаталарын табады; - орналасуын анықтайды ҚБ: «Бағдаршам» әдісі |
Оқушылардың белсенділіген байланысты бағаланады. |
Оқулық Алгебра 7 Алматы «Атамұра» 2017 авторы Ә.Н. Шыныбеков 6.1.1 я |
|
Сабақтың ортвсы |
Егер бөлшектің алымын да, бөлімін де нөлге тең емес өрнекке көбейтсе,онда берілген бөлшекке тең бөлшек
шығады.
Бөлшектің негізгі қасиетін қолдану арқылы шығарылатын есептердің түрі – бөлшектерді қысқарту. Анықтама: Құрамындағы барлық айнымалылардың мүмкін мәндері жиынында ақиқат болатын теңдікті теңбе-теңдік деп атайды. Өрнекті оған теңбе-тең өрнекпен алмастыруды теңбе-тең түрлендіру деп атайды.
Бейнеүзінді: https://www.youtube.com/watch?v=1SXYt9k3ybc
1)
Шешімі: Алымын
қысқаша көбейту формула қолдану арқылы, ал бөлімін ортақ
көбейткішті жақша сыртына шығару арқылы көбейткіштерге жіктеп алып
бөлшекті қысқартамыз
Шешімі: |
Шешімі:
Тапсырма: №1 Бөлшекті қысқартыңдар:
1).
2). |
Оқушылардың белсенділіген байланысты бағаланады. |
|
|
Сабақтың аяғы |
Рефлексия.
|
Бүгінгі меңгерілген материал бойынша 5 сұраққа жылдам жауап береді. |
Оқушылардың белсенділіген байланысты бағаланады. |
|
|
Ұзақ мерзімді жоспардың тарауы: Алгебралық бөлшектер |
||
|
Күні: |
Мектеп: Мұғалімнің аты-жөні: |
|
|
Сынып: 8 |
Қатысқандар: Қатыспағандар: |
|
|
Сабақтың тақырыбы 86 |
Алгебралық бөлшек және оның негізгі қасиеті |
|
|
Осы сабақта қол жеткізілетін оқу мақсаттары (оқу бағдарламасына сілтеме) |
7.2.1.16алгебралық бөлшектерді танып білу; 7.2.1.17алгебралық бөлшектегі айнымалылардың мүмкін мәндер жиынын табу; 7.2.1.18алгебралық бөлшектің негізгі
қасиетін қолдану: |
|
|
Сабақтың мақсаты |
алгебралық бөлшектерді танып білу; алгебралық бөлшектегі айнымалылардың мүмкін мәндер жиынын табу; алгебралық бөлшектің негізгі
қасиетін қолдану: |
|
Сабақтың барысы
|
Сабақтың кезеңі |
Педагогтың әрекеті |
Оқушының әрекеті |
Бағалау |
Ресурстар |
|
Сабақтың басы |
Жағымды ахуал тудыру мақсатында Ширату жаттығу. Белсенді оқу әдістері аясында «Өзіңді тексеріңіз» әдісімен оқушылардың зейінін сабаққа шоғырландыру, қызықтыру мақсатында уәждей отырып, оқуға деген қызығушылығын арттырамын. Ж Берілген сұрақтарға «иә», «жоқ» жауапты белгілейді, жауабын түсіндіреді. |
Дескриптор: - нүктенің координаталарын табады; - орналасуын анықтайды ҚБ: «Бағдаршам» әдісі |
Оқушылардың белсенділіген байланысты бағаланады. |
Оқулық Алгебра 7 Алматы «Атамұра» 2017 авторы Ә.Н. Шыныбеков 6.1.1 я |
|
Сабақтың ортвсы |
Егер бөлшектің алымын да, бөлімін де нөлге тең емес өрнекке көбейтсе,онда берілген бөлшекке тең бөлшек
шығады.
Бөлшектің негізгі қасиетін қолдану арқылы шығарылатын есептердің түрі – бөлшектерді қысқарту. Бейне үзінді: https://www.youtube.com/watch?v=7zB22u5u8qU Мысал:
№1. Бөлшекті
қысқартыңыз Алымындағы және бөліміндегі өрнектердің екінші мүшесін қосылғыштарға жіктеу керек. Одан кейін топтау арқылы ортақ көбейткішін жақша сыртына шығарып, көбейткіштерге жіктеп қысқартамыз.
Ескерту: Рационал бөлшекті қысқарту үшін, алымын немесе бөлімін немесе екеүінде көбейткіштерге жіктеу қажет болады. |
Тапсырма: Бөлшекті қысқартыңыз:
|
Оқушылардың белсенділіген байланысты бағаланады. |
|
|
Сабақтың аяғы |
Рефлексия.
|
Бүгінгі меңгерілген материал бойынша 5 сұраққа жылдам жауап береді. |
Оқушылардың белсенділіген байланысты бағаланады. |
|
|
Ұзақ мерзімді жоспардың тарауы: Алгебралық бөлшектер |
||
|
Күні: |
Мектеп: Мұғалімнің аты-жөні: |
|
|
Сынып: 8 |
Қатысқандар: Қатыспағандар: |
|
|
Сабақтың тақырыбы 87 |
Алгебралық бөлшек және оның негізгі қасиеті |
|
|
Осы сабақта қол жеткізілетін оқу мақсаттары (оқу бағдарламасына сілтеме) |
7.2.1.16алгебралық бөлшектерді танып білу; 7.2.1.17алгебралық бөлшектегі айнымалылардың мүмкін мәндер жиынын табу; 7.2.1.18алгебралық бөлшектің негізгі
қасиетін қолдану: |
|
|
Сабақтың мақсаты |
алгебралық бөлшектерді танып білу; алгебралық бөлшектегі айнымалылардың мүмкін мәндер жиынын табу; алгебралық бөлшектің негізгі
қасиетін қолдану: |
|
Сабақтың барысы
|
Сабақтың кезеңі |
Педагогтың әрекеті |
Оқушының әрекеті |
Бағалау |
Ресурстар |
|
Сабақтың басы |
Жағымды ахуал тудыру мақсатында Ширату жаттығу. Белсенді оқу әдістері аясында «Өзіңді тексеріңіз» әдісімен оқушылардың зейінін сабаққа шоғырландыру, қызықтыру мақсатында уәждей отырып, оқуға деген қызығушылығын арттырамын. Ж Берілген сұрақтарға «иә», «жоқ» жауапты белгілейді, жауабын түсіндіреді. |
Дескриптор: - нүктенің координаталарын табады; - орналасуын анықтайды ҚБ: «Бағдаршам» әдісі |
Оқушылардың белсенділіген байланысты бағаланады. |
Оқулық Алгебра 7 Алматы «Атамұра» 2017 авторы Ә.Н. Шыныбеков 6.1.1 я |
|
Сабақтың ортвсы |
Егер бөлшектің алымын да, бөлімін де нөлге тең емес өрнекке көбейтсе,онда берілген бөлшекке тең бөлшек
шығады.
Бөлшектің негізгі қасиетін қолдану арқылы шығарылатын есептердің түрі – бөлшектерді қысқарту. Мысал: Топтау тәсілі және ортақ көбейткішті жақша сыртына шығару арқылы көбейткіштерге жіктеп қысқарту
|
Тапсырма: №1 Бөлшектерді қысқартыңыз:
|
Оқушылардың белсенділіген байланысты бағаланады. |
|
|
Сабақтың аяғы |
Рефлексия.
|
Бүгінгі меңгерілген материал бойынша 5 сұраққа жылдам жауап береді. |
Оқушылардың белсенділіген байланысты бағаланады. |
|
|
Ұзақ мерзімді жоспардың тарауы: Алгебралық бөлшектер |
||
|
Күні: |
Мектеп: Мұғалімнің аты-жөні: |
|
|
Сынып: 8 |
Қатысқандар: Қатыспағандар: |
|
|
Сабақтың тақырыбы 88 |
Алгебралық бөлшек және оның негізгі қасиеті |
|
|
Осы сабақта қол жеткізілетін оқу мақсаттары (оқу бағдарламасына сілтеме) |
7.2.1.16алгебралық бөлшектерді танып білу; 7.2.1.17алгебралық бөлшектегі айнымалылардың мүмкін мәндер жиынын табу; 7.2.1.18алгебралық бөлшектің негізгі
қасиетін қолдану: |
|
|
Сабақтың мақсаты |
алгебралық бөлшектерді танып білу; алгебралық бөлшектегі айнымалылардың мүмкін мәндер жиынын табу; алгебралық бөлшектің негізгі
қасиетін қолдану: |
|
Сабақтың барысы
|
Сабақтың кезеңі |
Педагогтың әрекеті |
Оқушының әрекеті |
Бағалау |
Ресурстар |
|
Сабақтың басы |
Жағымды ахуал тудыру мақсатында Ширату жаттығу. Белсенді оқу әдістері аясында «Өзіңді тексеріңіз» әдісімен оқушылардың зейінін сабаққа шоғырландыру, қызықтыру мақсатында уәждей отырып, оқуға деген қызығушылығын арттырамын. Ж Берілген сұрақтарға «иә», «жоқ» жауапты белгілейді, жауабын түсіндіреді. |
Дескриптор: - нүктенің координаталарын табады; - орналасуын анықтайды ҚБ: «Бағдаршам» әдісі |
Оқушылардың белсенділіген байланысты бағаланады. |
Оқулық Алгебра 7 Алматы «Атамұра» 2017 авторы Ә.Н. Шыныбеков 6.1.1 я |
|
Сабақтың ортвсы |
Бөлшектің негізгі қасиеті: Егер бөлшектің алымын да, бөлімін де нөлге тең емес өрнекке көбейтсе,онда берілген бөлшекке тең бөлшек
шығады.
Бөлшектің негізгі қасиетін қолдану арқылы шығарылатын есептердің түрі – бөлшектерді қысқарту. Бейнеүзінді: https://www.youtube.com/watch?v=TOE21M1tkg8&list=PLCx14LDfH033T934o9ISO7J-p13jupoL6&index=33 |
Тапсырма №1. Бөлшектерді қысқартыңыз:
|
Оқушылардың белсенділіген байланысты бағаланады. |
|
|
Сабақтың аяғы |
Рефлексия.
|
Бүгінгі меңгерілген материал бойынша 5 сұраққа жылдам жауап береді. |
Оқушылардың белсенділіген байланысты бағаланады. |
|
|
Ұзақ мерзімді жоспардың тарауы: Алгебралық бөлшектер |
||
|
Күні: |
Мектеп: Мұғалімнің аты-жөні: |
|
|
Сынып: 8 |
Қатысқандар: Қатыспағандар: |
|
|
Сабақтың тақырыбы 89 |
Алгебралық бөлшектерге амалдар қолдану
|
|
|
Осы сабақта қол жеткізілетін оқу мақсаттары (оқу бағдарламасына сілтеме) |
7.2.1.19алгебралық бөлшектердіқосу және азайтуды орындау; 7.2.1.20алгебралық бөлшектерді көбейту және бөлуді, дәрежеге шығаруды орындау; |
|
|
Сабақтың мақсаты |
алгебралық бөлшектердіқосу және азайтуды орындау; алгебралық бөлшектерді көбейту және бөлуді, дәрежеге шығаруды орындау; |
|
Сабақтың барысы
|
Сабақтың кезеңі |
Педагогтың әрекеті |
Оқушының әрекеті |
Бағалау |
Ресурстар |
|
Сабақтың басы |
Жағымды ахуал тудыру мақсатында Ширату жаттығу. Сабақтың мақсаты таныстырылады. «Миға шабуыл» әдісі арқылы сұрақ жауап Үйге берілген тапсырманы сұрақ-жауап арқылы диалогқа түсіру. Топ бойынша өткен тақырыптар бойынша сұрақ- жауаптарға дайындық жасау.
|
«Сиқырлы ұяшықтар» Топтар слайдта берілген ұпай сандарын таңдау арқылы шыққан есеп шешімдерін туралы білетін ақпараттарымен бөліседі. Төмендегі сұрақтарды қоюға болады. Бұл қандай қасиеттер? Есептің шығу жолы қандай Қандай анықтамаларды ерліктерін білесіздер? ақпарат айтқан топқа ұпай қосылады. Көп ұпай жинаған топ оқушылары жұлдызшамен бағаланады (тәтті беруге де болады). |
Оқушылардың белсенділіген байланысты бағаланады. |
Оқулық Алгебра 7 Алматы «Атамұра» 2017 авторы Ә.Н. Шыныбеков 6.1.1 я |
|
Сабақтың ортвсы |
Бөлімдері бірдей алгебралық бөлшектерді қосу және азайту жай бөлшектерді қосу және азайту ережесі бойынша орындалады.
а ,в, m≠0 сандары
үшін Бөлімдері бірдей бөлшектерді қосқанда (азайтқанда) олардың алымдарын қосып (бірінен бірін азайтып), бөлімдерін бұрынғыша қалдырады. Бейнеүзінді: https://bilimland.kz/kk/subject/algebra/7-synyp/algebralyq-bolshekterdi-qosu?mid=fcb596c0-9d59-11e9-be78-49d30a05e051 1-мысал
2-мысал
|
3
мысал Азайту амалын орындағанда, жақша алдында «-» таңбасы болса жақша ашу ережесін қолданамыз. 4 мысал
n-m өрнегін - (m-n) өрнегіне түрлендіреміз.
Тапсырма: Амалдарды орында: |
Оқушылардың белсенділіген байланысты бағаланады. |
|
|
Сабақтың аяғы |
Рефлексия. « Постермен жұмыс
|
Өз ойларын ортаға салады сабақты талдайды |
Оқушылардың белсенділіген байланысты бағаланады. |
|
|
Ұзақ мерзімді жоспардың тарауы: Алгебралық бөлшектер |
||
|
Күні: |
Мектеп: Мұғалімнің аты-жөні: |
|
|
Сынып: 8 |
Қатысқандар: Қатыспағандар: |
|
|
Сабақтың тақырыбы 90 |
Алгебралық бөлшектерге амалдар қолдану
|
|
|
Осы сабақта қол жеткізілетін оқу мақсаттары (оқу бағдарламасына сілтеме) |
7.2.1.19алгебралық бөлшектердіқосу және азайтуды орындау; 7.2.1.20алгебралық бөлшектерді көбейту және бөлуді, дәрежеге шығаруды орындау; |
|
|
Сабақтың мақсаты |
алгебралық бөлшектердіқосу және азайтуды орындау; алгебралық бөлшектерді көбейту және бөлуді, дәрежеге шығаруды орындау; |
|
Сабақтың барысы
|
Сабақтың кезеңі |
Педагогтың әрекеті |
Оқушының әрекеті |
Бағалау |
Ресурстар |
|
Сабақтың басы |
Жағымды ахуал тудыру мақсатында Ширату жаттығу. Сабақтың мақсаты таныстырылады. «Миға шабуыл» әдісі арқылы сұрақ жауап Үйге берілген тапсырманы сұрақ-жауап арқылы диалогқа түсіру. Топ бойынша өткен тақырыптар бойынша сұрақ- жауаптарға дайындық жасау.
|
«Сиқырлы ұяшықтар» Топтар слайдта берілген ұпай сандарын таңдау арқылы шыққан есеп шешімдерін туралы білетін ақпараттарымен бөліседі. Төмендегі сұрақтарды қоюға болады. Бұл қандай қасиеттер? Есептің шығу жолы қандай Қандай анықтамаларды ерліктерін білесіздер? ақпарат айтқан топқа ұпай қосылады. Көп ұпай жинаған топ оқушылары жұлдызшамен бағаланады (тәтті беруге де болады). |
Оқушылардың белсенділіген байланысты бағаланады. |
Оқулық Алгебра 7 Алматы «Атамұра» 2017 авторы Ә.Н. Шыныбеков 6.1.1 я |
|
Сабақтың ортвсы |
Бөлімдері әр түрлі бөлшектерді қосуды/азайтуды/ бөлімдері бірдей бөлшектерді қосуға/азайтуға/ келтіруге болады. Мысалы,
Алдымен бөлшектердің ортақ бөлімін (bd) және толықтауыш көбейткіштерін (d мен b) тауып, оларды бірдей бөлімге келтіреміз де, бөлімдері бірдей бөлшектерді қосамыз:
азайту да осы сияқты орындалады:
Бөлшектің негізгі қасиетін қолдану арқылы шығарылатын есептердің екінші түрін қарастырайық: – бөлшектерді жаңа бөлімге келтіру Проблемалық сұрақ: Бөлшекті жаңа бөліміне қалай келтіреміз?
|
Бейнеүзінді: https://bilimland.kz/kk/subject/algebra/7-synyp/algebralyq-bolshekterdi-qosu?mid=fcb596c4-9d59-11e9-be78-49d30a05e051
1-мысал
2-мысал
Өрнек пен бөлшектің қосындысы немесе айырмасы болатын рационал өрнекті түрлендіру бөлшектердің қосындысын не айырмасын тұрлендіруге келтіріледі. 3-мысал
Алгебралық бөлшектерді ортақ бөлімге келтірудің алгоритмі:
Бейнеүзінді: https://www.youtube.com/watch?v=NFTRVmEcplQ |
Оқушылардың белсенділіген байланысты бағаланады. |
|
|
Сабақтың аяғы |
Рефлексия. « Постермен жұмыс
Тапсырма: №1: Көрсетілген амалдарды орында
|
Өз ойларын ортаға салады сабақты талдайды |
Оқушылардың белсенділіген байланысты бағаланады. |
|
|
Ұзақ мерзімді жоспардың тарауы: Алгебралық бөлшектер |
||
|
Күні: |
Мектеп: Мұғалімнің аты-жөні: |
|
|
Сынып: 8 |
Қатысқандар: Қатыспағандар: |
|
|
Сабақтың тақырыбы 91 |
Алгебралық бөлшектерге амалдар қолдану
|
|
|
Осы сабақта қол жеткізілетін оқу мақсаттары (оқу бағдарламасына сілтеме) |
7.2.1.19алгебралық бөлшектердіқосу және азайтуды орындау; 7.2.1.20алгебралық бөлшектерді көбейту және бөлуді, дәрежеге шығаруды орындау; |
|
|
Сабақтың мақсаты |
алгебралық бөлшектердіқосу және азайтуды орындау; алгебралық бөлшектерді көбейту және бөлуді, дәрежеге шығаруды орындау; |
|
Сабақтың барысы
|
Сабақтың кезеңі |
Педагогтың әрекеті |
Оқушының әрекеті |
Бағалау |
Ресурстар |
|
Сабақтың басы |
Жағымды ахуал тудыру мақсатында Ширату жаттығу. Сабақтың мақсаты таныстырылады. «Миға шабуыл» әдісі арқылы сұрақ жауап Үйге берілген тапсырманы сұрақ-жауап арқылы диалогқа түсіру. Топ бойынша өткен тақырыптар бойынша сұрақ- жауаптарға дайындық жасау.
|
«Сиқырлы ұяшықтар» Топтар слайдта берілген ұпай сандарын таңдау арқылы шыққан есеп шешімдерін туралы білетін ақпараттарымен бөліседі. Төмендегі сұрақтарды қоюға болады. Бұл қандай қасиеттер? Есептің шығу жолы қандай Қандай анықтамаларды ерліктерін білесіздер? ақпарат айтқан топқа ұпай қосылады. Көп ұпай жинаған топ оқушылары жұлдызшамен бағаланады (тәтті беруге де болады). |
Оқушылардың белсенділіген байланысты бағаланады. |
Оқулық Алгебра 7 Алматы «Атамұра» 2017 авторы Ә.Н. Шыныбеков 6.1.1 я |
|
Сабақтың ортвсы |
Алгебралық бөлшектерді қосу немесе азайту алгоритмі:
Бейнеүзінді: Тапсырма: |
№1 . Амалды орында:
|
Оқушылардың белсенділіген байланысты бағаланады. |
|
|
Сабақтың аяғы |
Рефлексия. « Постермен жұмыс
|
Өз ойларын ортаға салады сабақты талдайды |
Оқушылардың белсенділіген байланысты бағаланады. |
|
|
Ұзақ мерзімді жоспардың тарауы: Алгебралық бөлшектер |
||
|
Күні: |
Мектеп: Мұғалімнің аты-жөні: |
|
|
Сынып: 8 |
Қатысқандар: Қатыспағандар: |
|
|
Сабақтың тақырыбы 92 |
Алгебралық бөлшектерге амалдар қолдану
|
|
|
Осы сабақта қол жеткізілетін оқу мақсаттары (оқу бағдарламасына сілтеме) |
7.2.1.19алгебралық бөлшектердіқосу және азайтуды орындау; 7.2.1.20алгебралық бөлшектерді көбейту және бөлуді, дәрежеге шығаруды орындау; |
|
|
Сабақтың мақсаты |
алгебралық бөлшектердіқосу және азайтуды орындау; алгебралық бөлшектерді көбейту және бөлуді, дәрежеге шығаруды орындау; |
|
Сабақтың барысы
|
Сабақтың кезеңі |
Педагогтың әрекеті |
Оқушының әрекеті |
Бағалау |
Ресурстар |
|
Сабақтың басы |
Жағымды ахуал тудыру мақсатында Ширату жаттығу. Сабақтың мақсаты таныстырылады. «Миға шабуыл» әдісі арқылы сұрақ жауап Үйге берілген тапсырманы сұрақ-жауап арқылы диалогқа түсіру. Топ бойынша өткен тақырыптар бойынша сұрақ- жауаптарға дайындық жасау.
|
«Сиқырлы ұяшықтар» Топтар слайдта берілген ұпай сандарын таңдау арқылы шыққан есеп шешімдерін туралы білетін ақпараттарымен бөліседі. Төмендегі сұрақтарды қоюға болады. Бұл қандай қасиеттер? Есептің шығу жолы қандай Қандай анықтамаларды ерліктерін білесіздер? ақпарат айтқан топқа ұпай қосылады. Көп ұпай жинаған топ оқушылары жұлдызшамен бағаланады (тәтті беруге де болады). |
Оқушылардың белсенділіген байланысты бағаланады. |
Оқулық Алгебра 7 Алматы «Атамұра» 2017 авторы Ә.Н. Шыныбеков 6.1.1 я |
|
Сабақтың ортвсы |
Өзара кері сандар ұғымын қайталайық.
Айнымалысы бар өзара кері өрнектер туралы, тура осылай айтуға болады.
Мысалы,
Жай бөлшектерді бөлу үшін бірінші бөлшекті екінші бөлшектің кері бөлшегіне көбейтетіні белгілі.
Осы ереже рационал бөлшектерді бөлу кезінде де қолданылады. Бір рационал бөлшекті екінші рационал бөлшекке бөлу үшін бірінші бөлшекті екінші бөлшекке кері бөлшекке көбейту керек. Бейнеүзінді: https://bilimland.kz/kk/subject/algebra/7-synyp/algebralyq-bolshekterdi-bolu?mid=e4ba2f90-9ee4-11e9-a361-1f1ed251dcfe |
Өрнектерді көбейткіштерге жіктеу тәсілдерін қолданамыз.
Жауабы:
Тапсырма: Амалды орында:
1) |
Оқушылардың белсенділіген байланысты бағаланады. |
|
|
Сабақтың аяғы |
Рефлексия. « Постермен жұмыс
|
Өз ойларын ортаға салады сабақты талдайды |
Оқушылардың белсенділіген байланысты бағаланады. |
|
|
Ұзақ мерзімді жоспардың тарауы: Алгебралық бөлшектер |
||
|
Күні: |
Мектеп: Мұғалімнің аты-жөні: |
|
|
Сынып: 8 |
Қатысқандар: Қатыспағандар: |
|
|
Сабақтың тақырыбы 93 |
Алгебралық бөлшектерге амалдар қолдану
|
|
|
Осы сабақта қол жеткізілетін оқу мақсаттары (оқу бағдарламасына сілтеме) |
7.2.1.19алгебралық бөлшектердіқосу және азайтуды орындау; 7.2.1.20алгебралық бөлшектерді көбейту және бөлуді, дәрежеге шығаруды орындау; |
|
|
Сабақтың мақсаты |
алгебралық бөлшектердіқосу және азайтуды орындау; алгебралық бөлшектерді көбейту және бөлуді, дәрежеге шығаруды орындау; |
|
Сабақтың барысы
|
Сабақтың кезеңі |
Педагогтың әрекеті |
Оқушының әрекеті |
Бағалау |
Ресурстар |
|
Сабақтың басы |
Жағымды ахуал тудыру мақсатында Ширату жаттығу. Сабақтың мақсаты таныстырылады. «Миға шабуыл» әдісі арқылы сұрақ жауап Үйге берілген тапсырманы сұрақ-жауап арқылы диалогқа түсіру. Топ бойынша өткен тақырыптар бойынша сұрақ- жауаптарға дайындық жасау.
|
«Сиқырлы ұяшықтар» Топтар слайдта берілген ұпай сандарын таңдау арқылы шыққан есеп шешімдерін туралы білетін ақпараттарымен бөліседі. Төмендегі сұрақтарды қоюға болады. Бұл қандай қасиеттер? Есептің шығу жолы қандай Қандай анықтамаларды ерліктерін білесіздер? ақпарат айтқан топқа ұпай қосылады. Көп ұпай жинаған топ оқушылары жұлдызшамен бағаланады (тәтті беруге де болады). |
Оқушылардың белсенділіген байланысты бағаланады. |
Оқулық Алгебра 7 Алматы «Атамұра» 2017 авторы Ә.Н. Шыныбеков 6.1.1 я |
|
Сабақтың ортвсы |
Бір рационал бөлшекті екінші рационал бөлшекке бөлу үшін бірінші бөлшекті екінші бөлшекке кері бөлшекке көбейту керек.
Бейнеүзінді: https://www.youtube.com/watch?v=ke4bjtrOSp0 |
Амалды орында:
|
Оқушылардың белсенділіген байланысты бағаланады. |
|
|
Сабақтың аяғы |
Рефлексия. « Постермен жұмыс
|
Өз ойларын ортаға салады сабақты талдайды |
Оқушылардың белсенділіген байланысты бағаланады. |
|
|
Ұзақ мерзімді жоспардың тарауы: Алгебралық бөлшектер |
||
|
Күні: |
Мектеп: Мұғалімнің аты-жөні: |
|
|
Сынып: 8 |
Қатысқандар: Қатыспағандар: |
|
|
Сабақтың тақырыбы 94 |
Алгебралық бөлшектерге амалдар қолдану
|
|
|
Осы сабақта қол жеткізілетін оқу мақсаттары (оқу бағдарламасына сілтеме) |
7.2.1.19алгебралық бөлшектердіқосу және азайтуды орындау; 7.2.1.20алгебралық бөлшектерді көбейту және бөлуді, дәрежеге шығаруды орындау; |
|
|
Сабақтың мақсаты |
алгебралық бөлшектердіқосу және азайтуды орындау; алгебралық бөлшектерді көбейту және бөлуді, дәрежеге шығаруды орындау; |
|
Сабақтың барысы
|
Сабақтың кезеңі |
Педагогтың әрекеті |
Оқушының әрекеті |
Бағалау |
Ресурстар |
|
Сабақтың басы |
Жағымды ахуал тудыру мақсатында Ширату жаттығу. Сабақтың мақсаты таныстырылады. «Миға шабуыл» әдісі арқылы сұрақ жауап Үйге берілген тапсырманы сұрақ-жауап арқылы диалогқа түсіру. Топ бойынша өткен тақырыптар бойынша сұрақ- жауаптарға дайындық жасау.
|
«Сиқырлы ұяшықтар» Топтар слайдта берілген ұпай сандарын таңдау арқылы шыққан есеп шешімдерін туралы білетін ақпараттарымен бөліседі. Төмендегі сұрақтарды қоюға болады. Бұл қандай қасиеттер? Есептің шығу жолы қандай Қандай анықтамаларды ерліктерін білесіздер? ақпарат айтқан топқа ұпай қосылады. Көп ұпай жинаған топ оқушылары жұлдызшамен бағаланады (тәтті беруге де болады). |
Оқушылардың белсенділіген байланысты бағаланады. |
Оқулық Алгебра 7 Алматы «Атамұра» 2017 авторы Ә.Н. Шыныбеков 6.1.1 я |
|
Сабақтың ортвсы |
Бейнеүзінді: https://www.youtube.com/watch?v=emERwCHIaJc
Өрнектерді көбейткіштерге жіктеудің әртүрлі тәсілдерін қолданамыз. |
Көрсетілген амалдарды орында:
1).
2).
3). |
Оқушылардың белсенділіген байланысты бағаланады. |
|
|
Сабақтың аяғы |
Рефлексия. « Постермен жұмыс
|
Өз ойларын ортаға салады сабақты талдайды |
Оқушылардың белсенділіген байланысты бағаланады. |
|
|
Ұзақ мерзімді жоспардың тарауы: Алгебралық бөлшектер |
||
|
Күні: |
Мектеп: Мұғалімнің аты-жөні: |
|
|
Сынып: 8 |
Қатысқандар: Қатыспағандар: |
|
|
Сабақтың тақырыбы 95 |
Алгебралық бөлшектерге амалдар қолдану
|
|
|
Осы сабақта қол жеткізілетін оқу мақсаттары (оқу бағдарламасына сілтеме) |
7.2.1.19алгебралық бөлшектердіқосу және азайтуды орындау; 7.2.1.20алгебралық бөлшектерді көбейту және бөлуді, дәрежеге шығаруды орындау; |
|
|
Сабақтың мақсаты |
алгебралық бөлшектердіқосу және азайтуды орындау; алгебралық бөлшектерді көбейту және бөлуді, дәрежеге шығаруды орындау; |
|
Сабақтың барысы
|
Сабақтың кезеңі |
Педагогтың әрекеті |
Оқушының әрекеті |
Бағалау |
Ресурстар |
|
Сабақтың басы |
Жағымды ахуал тудыру мақсатында Ширату жаттығу. Сабақтың мақсаты таныстырылады. «Миға шабуыл» әдісі арқылы сұрақ жауап Үйге берілген тапсырманы сұрақ-жауап арқылы диалогқа түсіру. Топ бойынша өткен тақырыптар бойынша сұрақ- жауаптарға дайындық жасау.
|
«Сиқырлы ұяшықтар» Топтар слайдта берілген ұпай сандарын таңдау арқылы шыққан есеп шешімдерін туралы білетін ақпараттарымен бөліседі. Төмендегі сұрақтарды қоюға болады. Бұл қандай қасиеттер? Есептің шығу жолы қандай Қандай анықтамаларды ерліктерін білесіздер? ақпарат айтқан топқа ұпай қосылады. Көп ұпай жинаған топ оқушылары жұлдызшамен бағаланады (тәтті беруге де болады). |
Оқушылардың белсенділіген байланысты бағаланады. |
Оқулық Алгебра 7 Алматы «Атамұра» 2017 авторы Ә.Н. Шыныбеков 6.1.1 я |
|
Сабақтың ортвсы |
Оқулық Алгебра 7 Алматы «Атамұра» 2017 авторы Ә.Н. Шыныбеков 6.3.2 Бейнеүзінді: https://www.youtube.com/watch?v=ke4bjtrOSp0 https://bilimland.kz/kk/subject/algebra/7-synyp/algebralyq-bolshekterdi-darezheleu?mid=1:simple Бөлшекті дәрежеге шығарғанда, оның алымының да, бөлімінің де әрбір көбейткішін осы дәрежеге шығарады. Мысал:
|
Тапсырма:
Дескриптор:
|
Оқушылардың белсенділіген байланысты бағаланады. |
|
|
Сабақтың аяғы |
Рефлексия. « Постермен жұмыс
|
Өз ойларын ортаға салады сабақты талдайды |
Оқушылардың белсенділіген байланысты бағаланады. |
|
|
Ұзақ мерзімді жоспардың тарауы: Алгебралық бөлшектер |
||
|
Күні: |
Мектеп: Мұғалімнің аты-жөні: |
|
|
Сынып: 8 |
Қатысқандар: Қатыспағандар: |
|
|
Сабақтың тақырыбы 96 |
Алгебралық бөлшектерге амалдар қолдану
|
|
|
Осы сабақта қол жеткізілетін оқу мақсаттары (оқу бағдарламасына сілтеме) |
7.2.1.19алгебралық бөлшектердіқосу және азайтуды орындау; 7.2.1.20алгебралық бөлшектерді көбейту және бөлуді, дәрежеге шығаруды орындау; |
|
|
Сабақтың мақсаты |
алгебралық бөлшектердіқосу және азайтуды орындау; алгебралық бөлшектерді көбейту және бөлуді, дәрежеге шығаруды орындау; |
|
Сабақтың барысы
|
Сабақтың кезеңі |
Педагогтың әрекеті |
Оқушының әрекеті |
Бағалау |
Ресурстар |
|
Сабақтың басы |
Жағымды ахуал тудыру мақсатында Ширату жаттығу. Сабақтың мақсаты таныстырылады. «Миға шабуыл» әдісі арқылы сұрақ жауап Үйге берілген тапсырманы сұрақ-жауап арқылы диалогқа түсіру. Топ бойынша өткен тақырыптар бойынша сұрақ- жауаптарға дайындық жасау.
|
«Сиқырлы ұяшықтар» Топтар слайдта берілген ұпай сандарын таңдау арқылы шыққан есеп шешімдерін туралы білетін ақпараттарымен бөліседі. Төмендегі сұрақтарды қоюға болады. Бұл қандай қасиеттер? Есептің шығу жолы қандай Қандай анықтамаларды ерліктерін білесіздер? ақпарат айтқан топқа ұпай қосылады. Көп ұпай жинаған топ оқушылары жұлдызшамен бағаланады (тәтті беруге де болады). |
Оқушылардың белсенділіген байланысты бағаланады. |
Оқулық Алгебра 7 Алматы «Атамұра» 2017 авторы Ә.Н. Шыныбеков 6.1.1 я |
|
Сабақтың ортвсы |
Алгебралық бөлшектерге көбейту, бөлу және дәрежеге шығару амалын орындау; 2. Құрамында алгебралық бөлшектері бар өрнектерді түрлендіруді орындау Конспект Оқулық Алгебра 7 Алматы «Атамұра» 2017 авторы Ә.Н. Шыныбеков 6.3.2
Осы амалдарды қолдану нәтижесінде алымы да, бөлімі да көпмүшелер болатын бөлшек аламыз. Егер бірнеше түрлендірулер енгізу қажет болса, онда алдын ала кандай амалды орындау керектігін анықтап алған жөн. 1 Мысал Амалдарды орында:
|
Бірінші азайту амалы орындалады. Бөлшектердің бөлімдерін көбейткіштерге жіктеп, ортақ бөлімге келтіру керек. Одан кейін азайту амалын орындау.
1.
|
Оқушылардың белсенділіген байланысты бағаланады. |
|
|
Сабақтың аяғы |
Рефлексия. « Постермен жұмыс
|
Өз ойларын ортаға салады сабақты талдайды |
Оқушылардың белсенділіген байланысты бағаланады. |
|
|
Ұзақ мерзімді жоспардың тарауы: Алгебралық бөлшектер |
||
|
Күні: |
Мектеп: Мұғалімнің аты-жөні: |
|
|
Сынып: 8 |
Қатысқандар: Қатыспағандар: |
|
|
Сабақтың тақырыбы 97 |
Алгебралық бөлшектерге амалдар қолдану
|
|
|
Осы сабақта қол жеткізілетін оқу мақсаттары (оқу бағдарламасына сілтеме) |
7.2.1.19алгебралық бөлшектердіқосу және азайтуды орындау; 7.2.1.20алгебралық бөлшектерді көбейту және бөлуді, дәрежеге шығаруды орындау; |
|
|
Сабақтың мақсаты |
алгебралық бөлшектердіқосу және азайтуды орындау; алгебралық бөлшектерді көбейту және бөлуді, дәрежеге шығаруды орындау; |
|
Сабақтың барысы
|
Сабақтың кезеңі |
Педагогтың әрекеті |
Оқушының әрекеті |
Бағалау |
Ресурстар |
|
Сабақтың басы |
Жағымды ахуал тудыру мақсатында Ширату жаттығу. Сабақтың мақсаты таныстырылады. «Миға шабуыл» әдісі арқылы сұрақ жауап Үйге берілген тапсырманы сұрақ-жауап арқылы диалогқа түсіру. Топ бойынша өткен тақырыптар бойынша сұрақ- жауаптарға дайындық жасау.
|
«Сиқырлы ұяшықтар» Топтар слайдта берілген ұпай сандарын таңдау арқылы шыққан есеп шешімдерін туралы білетін ақпараттарымен бөліседі. Төмендегі сұрақтарды қоюға болады. Бұл қандай қасиеттер? Есептің шығу жолы қандай Қандай анықтамаларды ерліктерін білесіздер? ақпарат айтқан топқа ұпай қосылады. Көп ұпай жинаған топ оқушылары жұлдызшамен бағаланады (тәтті беруге де болады). |
Оқушылардың белсенділіген байланысты бағаланады. |
Оқулық Алгебра 7 Алматы «Атамұра» 2017 авторы Ә.Н. Шыныбеков 6.1.1 я |
|
Сабақтың ортвсы |
Екінші амал көбейту амалы орындалады. Бірінші бөлшектің алымын көбейткіштерге жіктеп алып, көбейту амалын орындау.
4.Үшінші амал қосу амалы орындалады.
|
Тапсырма: |
Оқушылардың белсенділіген байланысты бағаланады. |
|
|
Сабақтың аяғы |
Рефлексия. « Постермен жұмыс
|
Өз ойларын ортаға салады сабақты талдайды |
Оқушылардың белсенділіген байланысты бағаланады. |
|
|
Ұзақ мерзімді жоспардың тарауы: Алгебралық бөлшектер |
||
|
Күні: |
Мектеп: Мұғалімнің аты-жөні: |
|
|
Сынып: 8 |
Қатысқандар: Қатыспағандар: |
|
|
Сабақтың тақырыбы 98 |
Алгебралық өрнектерді тепе-тең түрлендіру
|
|
|
Осы сабақта қол жеткізілетін оқу мақсаттары (оқу бағдарламасына сілтеме) |
7.2.1.21 құрамында алгебралық бөлшектері бар өрнектерді түрлендіруді орындау; |
|
|
Сабақтың мақсаты |
құрамында алгебралық бөлшектері бар өрнектерді түрлендіруді орындау; |
|
Сабақтың барысы
|
Сабақтың кезеңі |
Педагогтың әрекеті |
Оқушының әрекеті |
Бағалау |
Ресурстар |
|
Сабақтың басы |
Сынып топтарға бөлінеді. Топтарға Алгебралық бөлшектерге амалдар қолдану үлгісі туралы мәтін ұсынылады. 1-тапсырма: Мәтін бойынша ментальді карта жасаңыз. Мәтіндегі негізгі мағлұматтарды қамтуға тырысыңыз және жұмыстың қорытындысымен сыныпты таныстырыңыздар. |
Кім шапшаң?» ойынын ойнату арқылы оқушылардың білімдерін жан-жақты тексеру. сұрақ-жауаб арқылы өтілген сабақты қайталау (диалог әдісі): |
Оқушылардың белсенділіген байланысты бағаланады. |
Оқулық Алгебра 7 Алматы «Атамұра» 2017 авторы Ә.Н. Шыныбеков 6.1.1 я |
|
Сабақтың ортвсы |
Бейнеүзінді: https://www.youtube.com/watch?v=tFBs800tBU4 Тапсырма: Өрнекті ықшамда: Амалдарды орындау реттілігін сақтау қажет. 1 Мысал:
2 Мысал:
Дескриптор: Оқушы - ортақ бөлімге келтіреді, азайту амалын орындайды; - бөлшектің алымы мен бөлімін көбейткіштерге жіктейді ; - ортақ көбейткішті жақша сыртына шығарады; - қысқаша көбейту формуларын қолданады; - бөлшектерді қысқартады; .өрнекті ықшамдайды |
Өрнекті ықшамда:
Оқушы - ортақ бөлімге келтіреді, азайту амалын орындайды; - бөлшектің алымы мен бөлімін көбейткіштерге жіктейді ; - ортақ көбейткішті жақша сыртына шығарады; - қысқаша көбейту формуларын қолданады; - бөлшектерді қысқартады; .өрнекті ықшамдайды |
Оқушылардың белсенділіген байланысты бағаланады. |
|
|
Сабақтың аяғы |
Рефлексия. ҚБ: «Жетістік баспалдағы» әдісімен оқушылар берілген тапсырма бойынша қандай білім баспалдағында тұрғанын анықтайды. «Бір минут» әдісі бойынша оқушылар сабақты қорытындылайды. |
Рефлексия -Сабақта қандай тапсырмалар немесе іс-әрекеттер қызықты болды? - Қандай тапсырма қиындық туғызды? Неге? |
Оқушылардың белсенділіген байланысты бағаланады. |
|
|
Ұзақ мерзімді жоспардың тарауы: Алгебралық бөлшектер |
||
|
Күні: |
Мектеп: Мұғалімнің аты-жөні: |
|
|
Сынып: 8 |
Қатысқандар: Қатыспағандар: |
|
|
Сабақтың тақырыбы 99 |
Алгебралық өрнектерді тепе-тең түрлендіру
|
|
|
Осы сабақта қол жеткізілетін оқу мақсаттары (оқу бағдарламасына сілтеме) |
7.2.1.21 құрамында алгебралық бөлшектері бар өрнектерді түрлендіруді орындау; |
|
|
Сабақтың мақсаты |
құрамында алгебралық бөлшектері бар өрнектерді түрлендіруді орындау; |
|
Сабақтың барысы
|
Сабақтың кезеңі |
Педагогтың әрекеті |
Оқушының әрекеті |
Бағалау |
Ресурстар |
|
Сабақтың басы |
Сынып топтарға бөлінеді. Топтарға Алгебралық бөлшектерге амалдар қолдану үлгісі туралы мәтін ұсынылады. 1-тапсырма: Мәтін бойынша ментальді карта жасаңыз. Мәтіндегі негізгі мағлұматтарды қамтуға тырысыңыз және жұмыстың қорытындысымен сыныпты таныстырыңыздар. |
Кім шапшаң?» ойынын ойнату арқылы оқушылардың білімдерін жан-жақты тексеру. сұрақ-жауаб арқылы өтілген сабақты қайталау (диалог әдісі): |
Оқушылардың белсенділіген байланысты бағаланады. |
Оқулық Алгебра 7 Алматы «Атамұра» 2017 авторы Ә.Н. Шыныбеков 6.1.1 я |
|
Сабақтың ортвсы |
Оқулық Алгебра 7 Алматы «Атамұра» 2017 авторы Ә.Н. Шыныбеков 6.3.1 Алгебралық бөлшектерді көбейту үшін олардың алымдарының көбейтіндісін алымына, ал бөлімдерінің көбейтіндісін бөліміне жазу керек.
Бөлшектерді
көбейту
Ал енді осы жай
бөлшектерді көбейтуді алгебралық бөлшектерді көбейту түрінде
жазайық
1
мысал:
Шешуі
: 2 мысал:
Мұнда алдымен екінші бөлшектің алымындағы қысқаша көбейту формуласын ашамыз, содан кейін алымдарын бір-біріне, бөлімдерін бір-біріне көбейтіп, алымдарының көбейтіндісін алымына, бөлімдерінің көбейтіндісін бөліміне жазып, шыққан бөлшекті қысқартамыз.
Жауабы: |
3
мысал: Бірінші бөлшектің алымын ортақ көбейткішті жақша сыртына шығарып көбейткіштерге жіктейміз, содан кейін алымдарын бір-біріне, бөлімдерін бір-біріне көбейтіп, алымдарының көбейтіндісін алымына, бөлімдерінің көбейтіндісін бөліміне жазып, шыққан бөлшекті қысқартамыз. Тапсырма: Амалды орында:
|
Оқушылардың белсенділіген байланысты бағаланады. |
|
|
Сабақтың аяғы |
Рефлексия. ҚБ: «Жетістік баспалдағы» әдісімен оқушылар берілген тапсырма бойынша қандай білім баспалдағында тұрғанын анықтайды. «Бір минут» әдісі бойынша оқушылар сабақты қорытындылайды. |
Рефлексия -Сабақта қандай тапсырмалар немесе іс-әрекеттер қызықты болды? - Қандай тапсырма қиындық туғызды? Неге? |
Оқушылардың белсенділіген байланысты бағаланады. |
|
|
Ұзақ мерзімді жоспардың тарауы: Алгебралық бөлшектер |
||
|
Күні: |
Мектеп: Мұғалімнің аты-жөні: |
|
|
Сынып: 8 |
Қатысқандар: Қатыспағандар: |
|
|
Сабақтың тақырыбы 100 |
7-сыныптағы алгебра курсын қайталау |
|
|
Осы сабақта қол жеткізілетін оқу мақсаттары (оқу бағдарламасына сілтеме) |
7-сыныптағы алгебра курсын қайталау |
|
|
Сабақтың мақсаты |
7-сыныптағы алгебра курсын қайталау |
|
Сабақтың барысы
|
Сабақтың кезеңі |
Педагогтың әрекеті |
Оқушының әрекеті |
Бағалау |
Ресурстар |
|
Сабақтың басы |
Сынып топтарға бөлінеді. Топтарға Алгебралық бөлшектерге амалдар қолдану үлгісі туралы мәтін ұсынылады. 1-тапсырма: Мәтін бойынша ментальді карта жасаңыз. Мәтіндегі негізгі мағлұматтарды қамтуға тырысыңыз және жұмыстың қорытындысымен сыныпты таныстырыңыздар. |
Кім шапшаң?» ойынын ойнату арқылы оқушылардың білімдерін жан-жақты тексеру. сұрақ-жауаб арқылы өтілген сабақты қайталау (диалог әдісі): |
Оқушылардың белсенділіген байланысты бағаланады. |
Оқулық Алгебра 7 Алматы «Атамұра» 2017 авторы Ә.Н. Шыныбеков 6.1.1 я |
|
Сабақтың ортвсы |
1
мысал:
Есептеңіздер: Шешуі:
Қысқаша көбейту формулалары есептеулерді жеңілдетеді. 2 мысал: Натурал санды 5-ке бөлгенде 1 қалдық, ал басқа санды 5-ке бөлгенде 2 қалдық береді. Осы сандардың квадраттарының қосындысы 5-ке бөлінетінін дәлелдеңіздер.
Бұл тапсырманы санды
5-ке бөлгенде 1 қалдық қалады деген өрнек
|
Тапсырма:
|
Оқушылардың белсенділіген байланысты бағаланады. |
|
|
Сабақтың аяғы |
Рефлексия. ҚБ: «Жетістік баспалдағы» әдісімен оқушылар берілген тапсырма бойынша қандай білім баспалдағында тұрғанын анықтайды. «Бір минут» әдісі бойынша оқушылар сабақты қорытындылайды. |
Рефлексия -Сабақта қандай тапсырмалар немесе іс-әрекеттер қызықты болды? - Қандай тапсырма қиындық туғызды? Неге? |
Оқушылардың белсенділіген байланысты бағаланады. |
|
|
Ұзақ мерзімді жоспардың тарауы: Алгебралық бөлшектер |
||
|
Күні: |
Мектеп: Мұғалімнің аты-жөні: |
|
|
Сынып: 8 |
Қатысқандар: Қатыспағандар: |
|
|
Сабақтың тақырыбы 101 |
7-сыныптағы алгебра курсын қайталау |
|
|
Осы сабақта қол жеткізілетін оқу мақсаттары (оқу бағдарламасына сілтеме) |
7-сыныптағы алгебра курсын қайталау |
|
|
Сабақтың мақсаты |
7-сыныптағы алгебра курсын қайталау |
|
Сабақтың барысы
|
Сабақтың кезеңі |
Педагогтың әрекеті |
Оқушының әрекеті |
Бағалау |
Ресурстар |
|
Сабақтың басы |
Сынып топтарға бөлінеді. Топтарға Алгебралық бөлшектерге амалдар қолдану үлгісі туралы мәтін ұсынылады. 1-тапсырма: Мәтін бойынша ментальді карта жасаңыз. Мәтіндегі негізгі мағлұматтарды қамтуға тырысыңыз және жұмыстың қорытындысымен сыныпты таныстырыңыздар. |
Кім шапшаң?» ойынын ойнату арқылы оқушылардың білімдерін жан-жақты тексеру. сұрақ-жауаб арқылы өтілген сабақты қайталау (диалог әдісі): |
Оқушылардың белсенділіген байланысты бағаланады. |
Оқулық Алгебра 7 Алматы «Атамұра» 2017 авторы Ә.Н. Шыныбеков 6.1.1 я |
|
Сабақтың ортвсы |
Дәреже қасиеттерін еске түсір.
Анықтама. Айнымалының кез келген мәнінде мағынасы болатын бір өрнекті оған тепе-тең өрнекпен алмастыруды тепе-тең түрлендіру деп атайды.
Мысал: Ықшамдаңыз. |
2. Өрнекті ықшамдаңдар:
|
Оқушылардың белсенділіген байланысты бағаланады. |
|
|
Сабақтың аяғы |
Рефлексия. ҚБ: «Жетістік баспалдағы» әдісімен оқушылар берілген тапсырма бойынша қандай білім баспалдағында тұрғанын анықтайды. «Бір минут» әдісі бойынша оқушылар сабақты қорытындылайды. |
Рефлексия -Сабақта қандай тапсырмалар немесе іс-әрекеттер қызықты болды? - Қандай тапсырма қиындық туғызды? Неге? |
Оқушылардың белсенділіген байланысты бағаланады. |
|
шағым қалдыра аласыз
,






















өлшектің негізгі қасиетін қолдану арқылы шығарылатын
есептердің түрі
























































































.

























