Маңғыстау облысы, Бейнеу ауданы бойынша білім бөлімінің
«Атамекен жалпы білім беретін мектеп»КММ
математика пәні мұғалімі Раметова Акбала Емжаровна
Қысқа мерзімді (сабақ) жоспары
Арифметикалық прогрессияның алғашқы n мүшесінің қосындысының мәнін есептеу формуласы (сабақтың тақырыбы)
|
Бөлім: |
ІІІ тарау. Тізбектер |
|
|
Педагогтің аты-жөні |
Раметова Акбала Емжаровна |
|
|
Күні: |
|
|
|
Сынып: 9 |
Қатысушылар саны: |
Қатыспағандар саны: |
|
Сабақтың тақырыбы |
Арифметикалық прогрессияның алғашқы n мүшесінің қосындысының мәнін есептеу формуласы |
|
|
Оқу бағдарламасына сәйкес оқыту мақсаттары |
9.2.3.5арифметикалық прогрессиялардың n-ші мүшесін, алғашқы n мүшелерінің қосындысын есептеу формулаларын, сипаттамалық қасиетін білу және қолдану; |
|
|
Сабақтың мақсаты |
|
|
Сабақтың барысы
|
Сабақтың кезеңі/ уақыт |
Педагогтің әрекеті |
Оқушының әрекеті |
Бағалау |
Ресурстар |
|||
|
Сабақтың басы 5 минут |
Сәлеметсіздерме! Бүгінгі сабақта меңгеретініңіз: - арифметикалық прогрессияның алғашқы n мүшесінің қосындысын табуды үйренеміз Топқа
бөлу: Үй жұмысын тексеру. Өткен тақырып бойынша wordwall платформасында викторина. |
Амандасу.Сыныпты түгендеу. Топқа бөлінеді. Интерактивті тақтада викторина сұрақтарына жауап береді. |
«Екі жұлдыз, бір тілек» |
Алгебра 9с оқулығы. әбі flippity.net Интерактивті тақта |
|||
|
Жаңа тақырыпты меңгеру 10 минут |
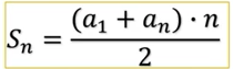
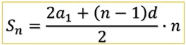
Арифметикалық прогрессияның алғашқы n мүшесінің қосындысын
Sn арқылы белгілейміз:
Арифметикалық прогрессияның алғашқы n мүшесінің қосындысын табу формуласы:
|
Aнықтама, ережелермен танысады Қажетті формулаларды жазып алады Мысалдарды талдайды |
|
Формула плакаттар |
|||
|
Бекіту тапрсырмалары 15 минут |
Жеке жұмыс № 14.3 Арифметикалық прогрессияның
1-ші және n-ші мүшесі, айырмасы берілген. n-ді
және |
Тапсырманы орындайды Шешуі:
27 = 3+(n-1)*3 (n-1)*3=24 n-1 = 8 n = 9
2)
S9=
Ж: n = 9, S9= 135 |
Әр есепке 4 балл Дескриптор: - an формуласын қолданады; -n-нің мәнін табады; -n мүшесінің қосындысын табады; -жауабын жазады; |
Оқулық, жұмыс дәптері |
|||
|
Жұптық жұмыс №14.6 Арифметикалық прогрессияның 20-мүшесін және алғашқы 20 мүшесінің қосындысын табыңдар:
|
Тапсырманы орындайды; №14.6 1)a20 = a1 + 19d = = 1,3+19*0,8 = 16,5
S20= S20= =17,8*10 = 178 Ж: a20 =16,5 S20= 178 |
Дескриптор: - Әр есепке 3 балл |
Оқулық, жұмыс дәптері |
||||
|
|
|||||||
|
Топтық жұмыс. 7 минут |
Функционалдық тапсырма: Оқушы күн сайын 5 беттен кітап
оқуды бастады. Әр күні ол алдыңғы күнге қарағанда 2 бетке артық
оқиды. Ол кітаптың n-ші күні 45 бет оқып, кітапты оқып
бітірді. |
Шешуі: a₁ = 5 d =
2,
45=5+(n−1)2, ?=21
25*21= 525. Жауабы: 1)21күн. 2) 525бет. |
- an формуласын қолданады; - n-нің мәнін табады; - nмүшесінің қосындысын табады; -жауабын негіздейді; |
|
|||
|
Сабақтың соңы 3 минут |
Қорытынды :
Үйге тапсырма беру. №14.7 есеп |
«Смайликтер» әдісі арқылы тақырыпты қаншалықты меңгергенін анықтау |
Бағалау: Ми заряды. 10 балдық жүйемен бағаланады
|
||||
жүктеу мүмкіндігіне ие боласыз
Бұл материал сайт қолданушысы жариялаған. Материалдың ішінде жазылған барлық ақпаратқа жауапкершілікті жариялаған қолданушы жауап береді. Ұстаз тілегі тек ақпаратты таратуға қолдау көрсетеді. Егер материал сіздің авторлық құқығыңызды бұзған болса немесе басқа да себептермен сайттан өшіру керек деп ойласаңыз осында жазыңыз
"Арифметикалық прогрессияның алғашқы n мүшесінің қосындысын есептеу формуласы" тақырыбына ҚМЖ
"Арифметикалық прогрессияның алғашқы n мүшесінің қосындысын есептеу формуласы" тақырыбына ҚМЖ
Маңғыстау облысы, Бейнеу ауданы бойынша білім бөлімінің
«Атамекен жалпы білім беретін мектеп»КММ
математика пәні мұғалімі Раметова Акбала Емжаровна
Қысқа мерзімді (сабақ) жоспары
Арифметикалық прогрессияның алғашқы n мүшесінің қосындысының мәнін есептеу формуласы (сабақтың тақырыбы)
|
Бөлім: |
ІІІ тарау. Тізбектер |
|
|
Педагогтің аты-жөні |
Раметова Акбала Емжаровна |
|
|
Күні: |
|
|
|
Сынып: 9 |
Қатысушылар саны: |
Қатыспағандар саны: |
|
Сабақтың тақырыбы |
Арифметикалық прогрессияның алғашқы n мүшесінің қосындысының мәнін есептеу формуласы |
|
|
Оқу бағдарламасына сәйкес оқыту мақсаттары |
9.2.3.5арифметикалық прогрессиялардың n-ші мүшесін, алғашқы n мүшелерінің қосындысын есептеу формулаларын, сипаттамалық қасиетін білу және қолдану; |
|
|
Сабақтың мақсаты |
|
|
Сабақтың барысы
|
Сабақтың кезеңі/ уақыт |
Педагогтің әрекеті |
Оқушының әрекеті |
Бағалау |
Ресурстар |
|||
|
Сабақтың басы 5 минут |
Сәлеметсіздерме! Бүгінгі сабақта меңгеретініңіз: - арифметикалық прогрессияның алғашқы n мүшесінің қосындысын табуды үйренеміз Топқа
бөлу: Үй жұмысын тексеру. Өткен тақырып бойынша wordwall платформасында викторина. |
Амандасу.Сыныпты түгендеу. Топқа бөлінеді. Интерактивті тақтада викторина сұрақтарына жауап береді. |
«Екі жұлдыз, бір тілек» |
Алгебра 9с оқулығы. әбі flippity.net Интерактивті тақта |
|||
|
Жаңа тақырыпты меңгеру 10 минут |
Арифметикалық прогрессияның алғашқы n мүшесінің қосындысын
Sn арқылы белгілейміз:
Арифметикалық прогрессияның алғашқы n мүшесінің қосындысын табу формуласы:
|
Aнықтама, ережелермен танысады Қажетті формулаларды жазып алады Мысалдарды талдайды |
|
Формула плакаттар |
|||
|
Бекіту тапрсырмалары 15 минут |
Жеке жұмыс № 14.3 Арифметикалық прогрессияның
1-ші және n-ші мүшесі, айырмасы берілген. n-ді
және |
Тапсырманы орындайды Шешуі:
27 = 3+(n-1)*3 (n-1)*3=24 n-1 = 8 n = 9
2)
S9=
Ж: n = 9, S9= 135 |
Әр есепке 4 балл Дескриптор: - an формуласын қолданады; -n-нің мәнін табады; -n мүшесінің қосындысын табады; -жауабын жазады; |
Оқулық, жұмыс дәптері |
|||
|
Жұптық жұмыс №14.6 Арифметикалық прогрессияның 20-мүшесін және алғашқы 20 мүшесінің қосындысын табыңдар:
|
Тапсырманы орындайды; №14.6 1)a20 = a1 + 19d = = 1,3+19*0,8 = 16,5
S20= S20= =17,8*10 = 178 Ж: a20 =16,5 S20= 178 |
Дескриптор: - Әр есепке 3 балл |
Оқулық, жұмыс дәптері |
||||
|
|
|||||||
|
Топтық жұмыс. 7 минут |
Функционалдық тапсырма: Оқушы күн сайын 5 беттен кітап
оқуды бастады. Әр күні ол алдыңғы күнге қарағанда 2 бетке артық
оқиды. Ол кітаптың n-ші күні 45 бет оқып, кітапты оқып
бітірді. |
Шешуі: a₁ = 5 d =
2,
45=5+(n−1)2, ?=21
25*21= 525. Жауабы: 1)21күн. 2) 525бет. |
- an формуласын қолданады; - n-нің мәнін табады; - nмүшесінің қосындысын табады; -жауабын негіздейді; |
|
|||
|
Сабақтың соңы 3 минут |
Қорытынды :
Үйге тапсырма беру. №14.7 есеп |
«Смайликтер» әдісі арқылы тақырыпты қаншалықты меңгергенін анықтау |
Бағалау: Ми заряды. 10 балдық жүйемен бағаланады
|
||||
шағым қалдыра аласыз





















