Бекітемін:
|
Педагогтің Тегі, Аты,Әкесінің аты |
|
|||||
|
Пән/Сынып: |
9 сынып. Қатысқандар саны: Қатыспағандар саны: |
|||||
|
Күні: |
|
|||||
|
Бөлім: |
9.3А Тригонометрия |
|||||
|
Сабақтың тақырыбы: |
Тригонометрия формулалары. Тригонометриялық тепе-теңдіктер |
|||||
|
Оқу бағдарламасына сәйкес оқыту мақсаты: |
?? |
|||||
|
Сабақтың мақсаты: |
Тригонометриялық тепе-теңдіктердң формулалалрымен танысу; есеп шығару барысында оны қолдана алуды үйрену Негізгі тригонометриялық тепе-теңдіктерді есептер шығару арқылы теориялық білімдерін тұжырымдай алу |
|||||
|
Сабақ барысы: |
||||||
|
Уақыты |
Кезең дері |
Педагогтің әрекеті |
Оқушының әрекеті |
Бағалау |
Ресурстар |
|
|
5 минут |
Ұйымдастыру |
Сәлеметсіздерме! Атмосфералық жағдайды қалыптастыру. Бүгін, Тригонометрия формулалары.Екі бұрыштың қосындысы мен айырмасының тригонометриялық формулалары. тақырыбын қарастырамыз Бүгінгі сабақта меңгеретініңіз: - Тригонометриялық тепе-теңдіктердң формулалалрымен танысу; есеп шығару барысында оны қолдана алуды үйрену Миға шабуыл сұрақтары: 1.Тригонометрия грек тілінен аударғанда қандай мағынаны білдіреді. 2.Сағат тілінің бағытына қарсы бұрғанда пайда болған бұрыш 3. 30 градустың радианы неге тең? 4.Синус сөзін латын тілінен аударғанда қандай мағынаны білдіреді ? 5.косинус сөзін латын тілінен аударғанда қандай мағынаны білдіреді ? 6.Тангенс латын тілінен аударғанда қандай мағынаны білдіреді ? 7.120 градус бұрышы қай ширекке тиісті ? 8. ? бұрышының синусы дегеніміз не? |
Сұрақтарға жауап береді.
|
|
Оқулық; оқу құралдары; тақта; бор; бағалау парағы. Интернет ресурстары |
|
|
|
Сабақтың басы 10мин |
Сабақты слайд арқылы
түсіндіру. |
|
Сабақта сұрақ қойып белсенділік танытып отырган оқушыларды ауызша мақтап бағалау |
Оқулық; оқу құралдары; тақта; бор; бағалау парағы. Интернет ресурстары |
|
|
|
мысал |
|
|
ҚБ: еі жқлдыз бір тілек |
Оқулық; оқу құралдары; тақта; бор; бағалау парағы. Интернет ресурстары |
|
|
|
Сабақтың ортасы 25мин |
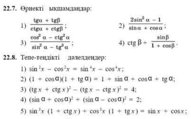
Оқулықтан есептер шығару
|
|
Дескриптор: Негізгі тригонометриялық тепе-теңдіктерді есептер шығару арқылы теориялық білімдерін тұжырымдай алады Әр есеп үшін 1 балл |
Оқулық; оқу құралдары; тақта; бор; бағалау парағы. Интернет ресурстары |
|
|
|
|
|
|
|
Оқулық; оқу құралдары; тақта; бор; бағалау парағы. Интернет ресурстары |
|
|
|
|
|
№ Жауаптар 1 А 2 А 3 В 4 А 5 С |
Жалпы ұпай 5 балл ҚБ: « сен мені, мен сені» + - қойып тексеру |
Оқулық; оқу құралдары; тақта; бор; бағалау парағы. Интернет ресурстары |
|
|
5 минут |
Сабақтың соңы
|
Бүгінгі сабақта: - бұрыштардың қосындысы мен айырымының тригонометриялық формулалары. - бұрыштардың қосындысы мен айырымының тригонометриялық формулаларын қолдану. Рефлексия: Сөйлемді толықтыр. бүгінгі сабақта мен....түсіндім, ...білдім, ....көзімді жеткіздім. мен өзімді.....үшін мақтар едім. сабақтан соң маған........келді. бүгін маған..........сәті түсті. ......қиындық тудырды. менің түсінгенім..... енді мен......аламын. Үйге тапсырма. № |
Тақырыпты меңгергенін анықтау . |
Кері байланыс |
Оқулық; оқу құралдары; тақта; бор; бағалау парағы |
|
жүктеу мүмкіндігіне ие боласыз
Бұл материал сайт қолданушысы жариялаған. Материалдың ішінде жазылған барлық ақпаратқа жауапкершілікті жариялаған қолданушы жауап береді. Ұстаз тілегі тек ақпаратты таратуға қолдау көрсетеді. Егер материал сіздің авторлық құқығыңызды бұзған болса немесе басқа да себептермен сайттан өшіру керек деп ойласаңыз осында жазыңыз
ашық сабақ 9 сынып алгебра Тригонометрия
ашық сабақ 9 сынып алгебра Тригонометрия
Бекітемін:
|
Педагогтің Тегі, Аты,Әкесінің аты |
|
|||||
|
Пән/Сынып: |
9 сынып. Қатысқандар саны: Қатыспағандар саны: |
|||||
|
Күні: |
|
|||||
|
Бөлім: |
9.3А Тригонометрия |
|||||
|
Сабақтың тақырыбы: |
Тригонометрия формулалары. Тригонометриялық тепе-теңдіктер |
|||||
|
Оқу бағдарламасына сәйкес оқыту мақсаты: |
?? |
|||||
|
Сабақтың мақсаты: |
Тригонометриялық тепе-теңдіктердң формулалалрымен танысу; есеп шығару барысында оны қолдана алуды үйрену Негізгі тригонометриялық тепе-теңдіктерді есептер шығару арқылы теориялық білімдерін тұжырымдай алу |
|||||
|
Сабақ барысы: |
||||||
|
Уақыты |
Кезең дері |
Педагогтің әрекеті |
Оқушының әрекеті |
Бағалау |
Ресурстар |
|
|
5 минут |
Ұйымдастыру |
Сәлеметсіздерме! Атмосфералық жағдайды қалыптастыру. Бүгін, Тригонометрия формулалары.Екі бұрыштың қосындысы мен айырмасының тригонометриялық формулалары. тақырыбын қарастырамыз Бүгінгі сабақта меңгеретініңіз: - Тригонометриялық тепе-теңдіктердң формулалалрымен танысу; есеп шығару барысында оны қолдана алуды үйрену Миға шабуыл сұрақтары: 1.Тригонометрия грек тілінен аударғанда қандай мағынаны білдіреді. 2.Сағат тілінің бағытына қарсы бұрғанда пайда болған бұрыш 3. 30 градустың радианы неге тең? 4.Синус сөзін латын тілінен аударғанда қандай мағынаны білдіреді ? 5.косинус сөзін латын тілінен аударғанда қандай мағынаны білдіреді ? 6.Тангенс латын тілінен аударғанда қандай мағынаны білдіреді ? 7.120 градус бұрышы қай ширекке тиісті ? 8. ? бұрышының синусы дегеніміз не? |
Сұрақтарға жауап береді.
|
|
Оқулық; оқу құралдары; тақта; бор; бағалау парағы. Интернет ресурстары |
|
|
|
Сабақтың басы 10мин |
Сабақты слайд арқылы
түсіндіру. |
|
Сабақта сұрақ қойып белсенділік танытып отырган оқушыларды ауызша мақтап бағалау |
Оқулық; оқу құралдары; тақта; бор; бағалау парағы. Интернет ресурстары |
|
|
|
мысал |
|
|
ҚБ: еі жқлдыз бір тілек |
Оқулық; оқу құралдары; тақта; бор; бағалау парағы. Интернет ресурстары |
|
|
|
Сабақтың ортасы 25мин |
Оқулықтан есептер шығару
|
|
Дескриптор: Негізгі тригонометриялық тепе-теңдіктерді есептер шығару арқылы теориялық білімдерін тұжырымдай алады Әр есеп үшін 1 балл |
Оқулық; оқу құралдары; тақта; бор; бағалау парағы. Интернет ресурстары |
|
|
|
|
|
|
|
Оқулық; оқу құралдары; тақта; бор; бағалау парағы. Интернет ресурстары |
|
|
|
|
|
№ Жауаптар 1 А 2 А 3 В 4 А 5 С |
Жалпы ұпай 5 балл ҚБ: « сен мені, мен сені» + - қойып тексеру |
Оқулық; оқу құралдары; тақта; бор; бағалау парағы. Интернет ресурстары |
|
|
5 минут |
Сабақтың соңы
|
Бүгінгі сабақта: - бұрыштардың қосындысы мен айырымының тригонометриялық формулалары. - бұрыштардың қосындысы мен айырымының тригонометриялық формулаларын қолдану. Рефлексия: Сөйлемді толықтыр. бүгінгі сабақта мен....түсіндім, ...білдім, ....көзімді жеткіздім. мен өзімді.....үшін мақтар едім. сабақтан соң маған........келді. бүгін маған..........сәті түсті. ......қиындық тудырды. менің түсінгенім..... енді мен......аламын. Үйге тапсырма. № |
Тақырыпты меңгергенін анықтау . |
Кері байланыс |
Оқулық; оқу құралдары; тақта; бор; бағалау парағы |
|
шағым қалдыра аласыз

























