|
Білім беру ұйымының атауы |
|
|||||
|
Пәні: |
|
|||||
|
Бөлім: |
|
|||||
|
Педагогтің аты-жөні: |
|
|||||
|
Күні: |
|
|||||
|
Сынып: |
Қатысушылар саны: |
Қатыспағандар саны: |
||||
|
Сабақтың тақырыбы: |
Арифметикалық және геометриялық прогрессия |
|||||
|
Оқу бағдарламасына сәйкес оқыту мақсаты: |
9.2.3.7 арифметикалық және геометриялық прогрессияларға байланысты есептер шығару |
|||||
|
Сабақтың мақсаты |
Арифметикалық, геометриялық прогрессияның n-ші мүшесінің, алғашқы n мүшелерінің қосындысын есептеу формуласын қолдануға берілген есептер шығарады. |
|||||
|
Құндылықтар: |
Бірлік және ынтымақ - Командада жұмыс істей білу ; -Өзгелерге мейірімділік, жанашырлық таныта білу ; - Айналасындағыларға көмек көрсету; Әділдік және жауапкершілік - Басқалар үшін маңызды тапсырмаларды орындаудың қажеттілігі мен маңыздылығын түсіну. - Бастаған ісін соңына дейін жеткізе білу |
|||||
|
Аптаның дәйек сөзі |
Бірлігі күшті ел озады |
|||||
|
Сабақтың барысы |
||||||
|
Сабақтың кезеңі/уақыты |
Педагогтің әрекеті |
Оқушының әрекеті |
Бағалау |
Ресурстар |
||
|
Сабақтың басы 5 мин
2 мин
3мин
|
Ұйымдастыру кезеңі: Сәлемдесу, түгелдеу, сабаққа дайындықтарын тексеру, сабақты жағымды ахуалдан бастау.
Сабақтың тақырыбы және сабақ мақсатымен танысу
Топқа бөлу
1-тапсырма: Оқушыларға «Смайлик» әдісі арқылы өткен тақырыпты қайталау мақсатында тапсырма орындайды |
Мұғаліммен амандасады Өз ойларымен бөліседі Сабақтың мақсатын мұғаліммен бірге ашу
Бағалау парағы арқылы бағалап отырады, сабақ соңында, неше балл жинағаны анық болады.
Смайликтерді таңдап екі топқа бөлінеді |
Дескриптор: Оқушылар өткен сабақ бойынша сұрақтарға жауап береді. Алдыңғы сабақты пысықтайды. Жалпы балл -1балл ҚБ: «Ауызша бағалау» Жарайсың! Керемет! |
Интерактивті тақта, кеспе қағаздар
Интерактивті Тақта; |
||
|
Сабақтың ортасы 10 мин
5мин
2мин
5мин
Сабақтың соңы 3 мин
|
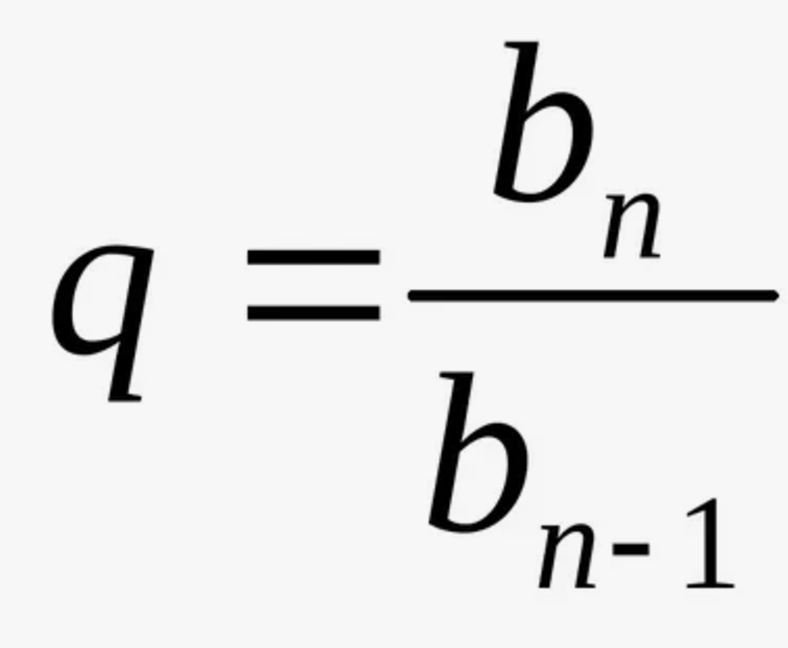
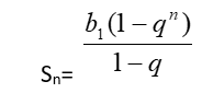
Бірлігі күшті ел озады Халықтың бірлігі бірлескен күш-жігерді арттырады. Әр адам өз үлесін қосса, ұжымдық жұмыс көп нәтижеге алып келеді. Бұл тек физикалық емес, ақыл-ой және рухани күш-жігерді біріктіруді білдіреді. Бірігу арқылы, ел өзінің ішкі және сыртқы мәселелерін жеңіп, үлкен жетістіктерге жетеді. 2 тапсырма.Жұптық жұмыс. Оқушылар «Құпия формула » әдісі арқылы формулаларды құрайды. Ендігі кезекте сіздер топтық жұмыс орындайсыздар. Әр топ өзара ынтымақтастықта жұмыс істеп, формулаларды бірге құрастыруға мүмкіндік алады Енді жұмысқа кірісуге дайын болыңыздар! Барлық топқа сәттілік тілеймін, бірге жақсы нәтижеге жетіңіздер!
1 топ
2 топ
Сергіту
сәті.
Сабақты қорытындылау: Оқушылар «прогрессиялар өмірде» платформасы арқылы . Сұрақтарға жауап береді.
Рефлексия
Бағалау
|
Оқушылар формулаларды құрастырады
Әр оқушы өз деңгейіне сай тапсырманы таңдап,шығарады. Әр деңгейдең бір оқушы тақтада орындайды
Сергіту сәтінде оқушылар математикалық сауаттылық бойынша есептерді шешеді
Әр оқушы өз деңгейіне сай тапсырманы орындайды
Оқушылар арифметикалық және геометриялық прогрессия туралы өмірде кездесетін есептерді шығарады. Жауабын талқылайды
Сабақты қорытындылау: Өтілген мақсат бойынша сұрақтар қою арқылы сабақты қорытындылаймын. 1.Сабақтың мақсаты қандай болды? 2.Сабақтың мақсатына жету үшін нені білу керек? 3.Нені түсінбедіңдер? Сабақ соңында оқушылардан рефлексия алу:
|
1.Жалпы балл: 3 балл ҚБ: «Ауызша бағалау» Жарайсың! Керемет!
ҚБ: «Ауызша бағалау» Жарайсың! Керемет! Жалпы 3 балл
дұрыс жауапқа 1 балл
А деңгейі 1 балл В деңгейі 2 балл С деңгейі 3 балл
Жалпы 2 балл
Сабақтағы белсенділігіне қарай 1-10 баллдық жүйеде бағаланады.
|
Интерактивті тақта,
үлестірмелі қағаздар Оқулық
Тақта; Слайд; Таратпа қағаз
Тақта; Слайд; Таратпа қағаз
Тақта; Слайд; Таратпа қағаз
Тақта; Слайд; Таратпа қағаз
Тақта Слайд
Оқулық
Таратпа қағаз
Бағалау парағы |
||

![]()
![]()

жүктеу мүмкіндігіне ие боласыз
Бұл материал сайт қолданушысы жариялаған. Материалдың ішінде жазылған барлық ақпаратқа жауапкершілікті жариялаған қолданушы жауап береді. Ұстаз тілегі тек ақпаратты таратуға қолдау көрсетеді. Егер материал сіздің авторлық құқығыңызды бұзған болса немесе басқа да себептермен сайттан өшіру керек деп ойласаңыз осында жазыңыз
Ашық сабақ 9-сынып Арифметикалық прогрессияессия
Ашық сабақ 9-сынып Арифметикалық прогрессияессия
|
Білім беру ұйымының атауы |
|
|||||
|
Пәні: |
|
|||||
|
Бөлім: |
|
|||||
|
Педагогтің аты-жөні: |
|
|||||
|
Күні: |
|
|||||
|
Сынып: |
Қатысушылар саны: |
Қатыспағандар саны: |
||||
|
Сабақтың тақырыбы: |
Арифметикалық және геометриялық прогрессия |
|||||
|
Оқу бағдарламасына сәйкес оқыту мақсаты: |
9.2.3.7 арифметикалық және геометриялық прогрессияларға байланысты есептер шығару |
|||||
|
Сабақтың мақсаты |
Арифметикалық, геометриялық прогрессияның n-ші мүшесінің, алғашқы n мүшелерінің қосындысын есептеу формуласын қолдануға берілген есептер шығарады. |
|||||
|
Құндылықтар: |
Бірлік және ынтымақ - Командада жұмыс істей білу ; -Өзгелерге мейірімділік, жанашырлық таныта білу ; - Айналасындағыларға көмек көрсету; Әділдік және жауапкершілік - Басқалар үшін маңызды тапсырмаларды орындаудың қажеттілігі мен маңыздылығын түсіну. - Бастаған ісін соңына дейін жеткізе білу |
|||||
|
Аптаның дәйек сөзі |
Бірлігі күшті ел озады |
|||||
|
Сабақтың барысы |
||||||
|
Сабақтың кезеңі/уақыты |
Педагогтің әрекеті |
Оқушының әрекеті |
Бағалау |
Ресурстар |
||
|
Сабақтың басы 5 мин
2 мин
3мин
|
Ұйымдастыру кезеңі: Сәлемдесу, түгелдеу, сабаққа дайындықтарын тексеру, сабақты жағымды ахуалдан бастау.
Сабақтың тақырыбы және сабақ мақсатымен танысу
Топқа бөлу
1-тапсырма: Оқушыларға «Смайлик» әдісі арқылы өткен тақырыпты қайталау мақсатында тапсырма орындайды |
Мұғаліммен амандасады Өз ойларымен бөліседі Сабақтың мақсатын мұғаліммен бірге ашу
Бағалау парағы арқылы бағалап отырады, сабақ соңында, неше балл жинағаны анық болады.
Смайликтерді таңдап екі топқа бөлінеді |
Дескриптор: Оқушылар өткен сабақ бойынша сұрақтарға жауап береді. Алдыңғы сабақты пысықтайды. Жалпы балл -1балл ҚБ: «Ауызша бағалау» Жарайсың! Керемет! |
Интерактивті тақта, кеспе қағаздар
Интерактивті Тақта; |
||
|
Сабақтың ортасы 10 мин
5мин
2мин
5мин
Сабақтың соңы 3 мин
|
Бірлігі күшті ел озады Халықтың бірлігі бірлескен күш-жігерді арттырады. Әр адам өз үлесін қосса, ұжымдық жұмыс көп нәтижеге алып келеді. Бұл тек физикалық емес, ақыл-ой және рухани күш-жігерді біріктіруді білдіреді. Бірігу арқылы, ел өзінің ішкі және сыртқы мәселелерін жеңіп, үлкен жетістіктерге жетеді. 2 тапсырма.Жұптық жұмыс. Оқушылар «Құпия формула » әдісі арқылы формулаларды құрайды. Ендігі кезекте сіздер топтық жұмыс орындайсыздар. Әр топ өзара ынтымақтастықта жұмыс істеп, формулаларды бірге құрастыруға мүмкіндік алады Енді жұмысқа кірісуге дайын болыңыздар! Барлық топқа сәттілік тілеймін, бірге жақсы нәтижеге жетіңіздер!
1 топ
2 топ
Сергіту
сәті.
Сабақты қорытындылау: Оқушылар «прогрессиялар өмірде» платформасы арқылы . Сұрақтарға жауап береді.
Рефлексия
Бағалау
|
Оқушылар формулаларды құрастырады
Әр оқушы өз деңгейіне сай тапсырманы таңдап,шығарады. Әр деңгейдең бір оқушы тақтада орындайды
Сергіту сәтінде оқушылар математикалық сауаттылық бойынша есептерді шешеді
Әр оқушы өз деңгейіне сай тапсырманы орындайды
Оқушылар арифметикалық және геометриялық прогрессия туралы өмірде кездесетін есептерді шығарады. Жауабын талқылайды
Сабақты қорытындылау: Өтілген мақсат бойынша сұрақтар қою арқылы сабақты қорытындылаймын. 1.Сабақтың мақсаты қандай болды? 2.Сабақтың мақсатына жету үшін нені білу керек? 3.Нені түсінбедіңдер? Сабақ соңында оқушылардан рефлексия алу:
|
1.Жалпы балл: 3 балл ҚБ: «Ауызша бағалау» Жарайсың! Керемет!
ҚБ: «Ауызша бағалау» Жарайсың! Керемет! Жалпы 3 балл
дұрыс жауапқа 1 балл
А деңгейі 1 балл В деңгейі 2 балл С деңгейі 3 балл
Жалпы 2 балл
Сабақтағы белсенділігіне қарай 1-10 баллдық жүйеде бағаланады.
|
Интерактивті тақта,
үлестірмелі қағаздар Оқулық
Тақта; Слайд; Таратпа қағаз
Тақта; Слайд; Таратпа қағаз
Тақта; Слайд; Таратпа қағаз
Тақта; Слайд; Таратпа қағаз
Тақта Слайд
Оқулық
Таратпа қағаз
Бағалау парағы |
||

![]()
![]()

шағым қалдыра аласыз


























