Тексерілді: ___________________________
|
Білім беру ұйымының атауы |
Еркін ауылдық № 26 орта мектебі |
|
|
Пәні: |
Физика |
|
|
Бөлім: |
8.2 А Термодинамика негіздері |
|
|
Педагогтің аты-жөні: |
Барганаева Ж.А |
|
|
Күні: |
25.11.2021 ж |
|
|
Сынып: 8 «Ә» |
Қатысушылар саны: |
Қатыспағандар саны: |
|
Сабақтың тақырыбы: |
Жылу қозғалтқыштарының пайдалы әрекет коэффициенті |
|
|
Оқу бағдарламасына сәйкес оқыту мақсаты: |
8.3.2.19 – жылу қозғалтқышының пайдалы әрекет коэффициентін анықтау; 8.3.2.21 – жылу қозғалтқыштарын жетілдіру жолдарын ұсыну |
|
|
Сабақтың мақсаты |
Барлық оқушылар: Жылу қозғалтқышының пайдалы әрекет коэффициентін анықтайды Оқушылардың басым бөлігі: жылу қозғалтқышының пайдалы әрекет коэффициентін есептейді Кейбір оқушылар: Жылу қозғалтқышының пайдалы және зиянды жолдарын ұсынады. |
|
|
Сабақтың барысы |
|||||||||||||||||||||||||||||||||||||||||||||||||||||||||||||||||||
|
Сабақтың кезеңі//уақыты |
Педагогтің әрекеті |
Оқушының әрекеті |
Бағалау |
Ресурстар |
|||||||||||||||||||||||||||||||||||||||||||||||||||||||||||||||
|
Сабақтың басы |
1.Оқушылармен амандасып 2.Психологиялық ахуал қалыптастыру «Миға шабуыл» әдісі арқылы үй тапсырмасы сұралады. Ой қозғау ретінде «Суреттер сөйлейді» тақтаға қозғалтқыштардың суреті шығады
|
Оқушылар ауызша жауап береді |
|
Дәптер 4 Сурет оқулық |
|||||||||||||||||||||||||||||||||||||||||||||||||||||||||||||||
|
Сабақтың ортасы |
1. Түсіндіру. Карно циклі : Оқушыладың ойын тыңдаған соң мұғалім кері байланыс жасай отырып, Карно циклін түсіндіреді.
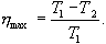
Карно циклi. Жұмыс атқарушы дене қыздырғыштан Q1 жылу мөлшерiн алады да, тоңазытқышқа Q2 жылу мөлшерiн бередi, ал (Q1 – Q2) айырымын Aп жұмысқа айналдырады. Жұмыс атқарушы дене ұлғайған кезде өзiнiң барлық iшкi энергиясын жұмыс жасауға берiп жiбере алмайды. Жылудың едәуiр бөлiгi мiндеттi түрде жұмысын атқарған газбен бiрге тоңазытқышқа берiледi. Iшкi энергияның бұл бөлiгi қайтарылмай, бiржола жоғалады. Идеал жылу машинасы, оның ПӘК-і
Карно машинасындағы жұмыс атқарушы дене, өз күйiнiң өзгеру циклiн периодты түрде қайталап тұратын, идеалды газ болып табылады. Бұл цикл Карно циклi деген атақ алды, осыған ұқсас процесстер айналмалы немесе циклдік процесстер деп аталады. Карно машинасында үйкелiске және қоршаған ортамен жылу алмасуға кеткен энергиялардың шығындары ескерiлмейдi, сондықтан бұл машинаны Карноның идеалды жылу машинасы деп атайды. 10 мин 2.Тапсырма Сабақты бекіту үшін оқушыларға 9 жаттығу беріледі. Жұптық жұмыс Оқушылар, өзара бағалау жүргізеді. Оқушылар бір- бірімен тапсырманы қалай орындағаны туралы пікір алмасады.Ең қиын деген тапсырманы мұғалім көмегімен талдайды.
«Топтық жұмыс» «Кезбе тілші » әдісі Жеребе тастап рөлдерін анықтайды
1.Топ : Бір оқушы телефон арқылы хабарлайды 2. Топ: диктор 3. Топ: оқиға орнынан хабарлайды 4. Топ : Интервью алады 15 мин
|
Оқушылар 9 жаттығу есептерін шығарады .
Рөлдерін анықтайды Топқа берілген тапсырма бойынша әр топ өз міндеттерін атқарады Әр топ өз ойларын айтады |
Қ.Б Дескриптор арқылы бағалау 2 балл
Қ.Б Критерий арқылы «Бірін бірі бағалау» 15мин 3 балл ҚБ: «Мұғалімнің бағалауы» әдісі. 2 балл |
Дәптер Стикер Жеребе Микрофон Камера ТV Телефон |
|||||||||||||||||||||||||||||||||||||||||||||||||||||||||||||||
|
Сабақтың соңы |
5. « Кахут» ойыны Рефлексия 8 мин Мұғалім тапсырманың орындалу деңгейін талқылай отырып, сабақ мақсатына оралады. Келесі сабақты жоспарлау үшін оқушыларға сұрақтар қойылады: - нені білдім, нені үйрендім - нені толық түсінбедім - немен жұмысты жалғастыру қажет. 6. Үйге тапсырма: 1.ПӘК-і 20% болатын идеал жылу машинасы тоңазытқышқа бір циклде 80 Дж жылу береді. Бір цикл ішінде машина қандай пайдалы жұмыс атқарады? 2.Жылу машинасының ПӘК-і 20%. Егер қыздырғыштан алынатын жылу мөлшері 25%-ға артып, ал тоңазытқышқа берілетін жылу мөлшері 25%-ға кемісе, онда машинаның ПӘК-і неге тең болады? (52%) 3.Кестеде идеал жылу машинасының ПӘК-інің қыздырғыштың температурасына тәуелділігі көрсетілген. Тоңазытқыштың температурасы өзгермейді. Осы жылу машинасының тоңазытқышының температурасын кельвинмен өрнектеңіз |
Оқушылар телефон арқылы интернетке Kahoot қа кіреді |
ҚБ: «Мұғалімнің бағалауы» әдісі. 3 балл беріледі. |
Оқулық. Дәптер Тақта |
|||||||||||||||||||||||||||||||||||||||||||||||||||||||||||||||
|
Кері байланыс |
Мақсат бойынша кері байланыс береді: Блоб ағашы |
Оқушылар сабақ мақсаты бойынша кері байланыс береді: Блоб ағашына стикер жабыстырады |
|
|
|||||||||||||||||||||||||||||||||||||||||||||||||||||||||||||||
|
Саралау – Сіз қандай тәсілмен көбірек қолдау көрсетпексіз? Сіз басқаларға қарағанда қабілетті оқушыларға қандай тапсырмалар бересіз? |
Бағалау – Сіз оқушылардың материалды игеру деңгейін қалай тексеруді жоспарлап отырсыз? |
Денсаулық және қауіпсіздік техникасын сақтау |
|||||||||||||||||||||||||||||||||||||||||||||||||||||||||||||||||
|
Мотивациясы жоғары оқушыларға деңгейлік тапсырмалар беріледі. Мотивациясы төмен оқушыларға қолдау көрстіледі. |
«Қорытынды» әдісі
ЖИ арқылы жасау
ЖИ арқылы жасау
Бөлісу 1 - айлық Материал тарифі-96% жеңілдік 00 05 00 ҚМЖ
Ашық сабақ
Тәрбие сағаты
Презентация
БЖБ, ТЖБ тесттер
Көрнекіліктер
Балабақшаға арнарлған құжаттар
Мақала, Эссе
Дидактикалық ойындар
және тағы басқа 400 000 материал
Барлық 400 000 материалдарды шексіз жүктеу мүмкіндігіне ие боласыз 1 990 ₸ 49 000₸ 1 айға қосылу Материалға шағымдану Бұл материал сайт қолданушысы жариялаған. Материалдың ішінде жазылған барлық ақпаратқа жауапкершілікті жариялаған қолданушы жауап береді. Ұстаз тілегі тек ақпаратты таратуға қолдау көрсетеді. Егер материал сіздің авторлық құқығыңызды бұзған болса немесе басқа да себептермен сайттан өшіру керек деп ойласаңыз осында жазыңыз Жариялаған: Барганаева Жансая АмантаевнаШағым жылдам қаралу үшін барынша толық ақпарат жіберіңіз Ашық сабақ "Жылу қозғалтқыштарының пайдалы әрекет коэффициенті"
Тақырып бойынша 28 материал табылды
Ашық сабақ "Жылу қозғалтқыштарының пайдалы әрекет коэффициенті"Материал туралы қысқаша түсінік
Жылу қозғалтқыштарының пайдалы әрекет коэффициенті тақырыбы 8 сыныпқа арналған. Бұл жоспарда келесі мақсаттарды жүзеге асыруға болады.Барлық оқушылар: Жылу қозғалтқышының пайдалы әрекет коэффициентін анықтайды
Оқушылардың басым бөлігі: жылу қозғалтқышының пайдалы әрекет коэффициентін есептейді
Кейбір оқушылар: Жылу қозғалтқышының пайдалы және зиянды жолдарын ұсынады.
сонымен қатар жаңа әдіс-тәсілдермен құрылған. Физика пәні мұғалімдеріне қолдануға болады.
Материалдың қысқаша нұсқасы Тексерілді: ___________________________
| ||||||||||||||||||||||||||||||||||||||||||||||||||||||||||||||||||















