БЕКІТЕМІН
Мектеп директоры
____________ Ш.А.Абиткожаева
Қысқа мерзімді (сабақ) жоспары
|
Бөлім: |
Көпмүшелер |
|
Педагогтің аты-жөні: |
Абдужалил Сания |
|
Күні: |
15.10.2025ж |
|
Сыныбы: 7 «А» |
Қатысушылар саны: 10 Қатыспағандар саны: |
|
Сабақтың тақырыбы: |
Көпмүшені көбейткіштерге жіктеу |
|
Оқу бағдарламасына сәйкес оқу мақсаты |
7.2.1.12 алгебралық өрнектерді ортақ көбейткішті жақша сыртына шығару және топтау тәсілдері арқылы көбейткіштерге жіктеу; |
|
Сабақтың мақсаты: |
Көпмүшеге амалдар қолдану ережелерімен танысып, есептер шешу дағдысын қалыптастырады Топта жұмыс істеу арқылы ізденеді, біледі, түсінеді және мәтінмен жұмыс істеу арқылы пәнге қызығушылығы артады Көпмүшеге амалдар қолданып есептер шығара алады. |
|
Құндылықтарға баулу |
Ынтымақтастық: оқушылар жұппен және топпен жұмыс істей отырып, бір-бірін тыңдауды, ортақ шешім қабылдауды үйренеді. Еңбекқорлық және жауапкершілік: есептерді орындау барысында ұқыпты болуға, өз шешіміне жауап беруге дағдыланады. Академиялық адалдық: тапсырмаларды өз бетінше орындау арқылы әділдікті сақтайды. |
Сабақтың барысы:
|
Сабақ кезеңі/Уақыты |
Педагогтің іс-әрекеті |
Оқушының іс-әрекеті |
Бағалау |
Ресурстар |
|
Сабақтың басы 6 минут |
І Ұйымдастыру: Оқушыларды түгендеу, қызығушылықты ояту, сыныпта жақсы көңіл-күй атмосферасын қалыптастыру. Психологиялық ахуал тудыру. Оқушылар жылы лебіздерін білдіріп, «Иә/жоқ» психологиялық ахуал қалыптастырады. - Сіздің бүгінгі көңіл-күйіңіз керемет пе? - Бүгінгі ашық сабақта белсенділік танытасың ба? - Саған алгебра ұнайды ма? -Өзіңізді батыл адам сезінесіз бе? - Бүгін ашық сабақта өзімді жоғарғы деңгейде көрсетемін! Үйге берілген тапсырма:
I Топ-Тақ сандар I I Топ- Жұп сандар |
Оқушылар амандасады. Топқа бөлініп отырады. Топ көшбасшысы анықталады. Ол топ жұмысын бақылап, әр тапсырма орындалып болғаннан кейін бағалау парағына белгілеп, қадағалап отырады. Үй тапсырмасын слайд арқылы тексереді. Әр оқушы өзін-өзі бағалау парағына белгілеп отырады. |
Ауызша мадақтау «Жарайсың» «Дұрыс» «Өте жақсы» Дескриптор: -Дәрежелердің қасиеттерін қолданады (дәрежелерді азайтады); -Бірмүшелерді бөлу амалын орындайды; Айнымалы мәнін өрнекке қояды; Өрнектің сан мәнін дұрыс есептейді. |
Оқулық Жұмыс дәптері Эмблема Слайд Таратпа қағаздар Слайд Оқулық ДК экран
|
|
2 минут |
Оқушылардың зейінін шоғырландыру мақсатында «Мюнстерберг» әдісі арқылы оқушылардың көңіл күйін көтере отырып, көз жаттығуын орындап, көптеген әріптердің арасында тұтас сөздер бар, оқушылардың міндеті: сол сөздерді тез оқып, достарымен бөліседі. |
Оқушылардың мұндағы берілген тапсырмаларды қатесіз топпен орындау, білімдерін тексеру. «Мюнстерберг» әдісі арқылы көптеген әріптердің арасында тұтас сөздерді тез оқып, достарымен бөліседі. |
Ынталандыру арқылы бағалау -Жарайсың! -Мен сабақтағы сіздің жұмысыңызға ризамын! - Сіз жақсырақ жұмыс істей алар едіңіз! |
ДК экран |
|
Сабақтың ортасы 6 минут |
Көпмүшені көбейткіштерге жіктеудің 2 тәсілі бар. Олар топтау тәсілі, ортақ көбейткішті жақша сыртына шығару. Мысалдар: 1. 2. 3.
4. |
Оқушылар жаңа сабақты түсінеді. Тақырып бойынша ресурстарды қарап, танысады |
Жарайсың! |
ДК экран |
|
8 минут |
Тапсырма №1 Топтық жұмыс. «Комикс» әдісі Әр топқа Комикс парақтар таратылады. Оқушылар топтау тәсілін пайдаланып, көпмүшені көбейткішкерге жіктейді де комикс түрінде берілген есепті шығарады.
|
"Комикс" әдісі арқылы оқушылар топтық білімді жинақтау, ынтымақтаса жұмыс жасай отырып өз ойларын еркін, дәлелді түрде жеткізе білуге ықпал ету мақсатында топта тапсырманы орындайды
ЕББҚ: топпен білге жұмыс жасайды, есепті дәптерге жазып отырады. Шешуі: (x+a)(1+y) (t-2)(k+1) (a+4)(m+n) (2+m)(2+n) (a+7)(b+c) (x+y)(z-3) |
Дескриптор: - Ортақ көбейткішті жақша сыртына шығарады. - Көпмүшені топтап, әр топтан ортақ көбейткішті шығарады. - Көпмүшені көбейтінді түрінде жазады.
а |
Слайд Таратпа қағаздар |
|
2 минут |
Сергіту сәті. «Менің қалпағым» әдісі. Менің қалпағым үшбұрыш, Үшбұрыш менің қалпағым, Егер менің қалпағым үшбұрыш болмаса, Менің қалпағым емес . |
Оқушылар мұғалімнің іс әрекетін қайталайды. |
«Жарайсыңдар!» |
Қағаз Слайд
|
|
6 минут |
Тапсырма №2 Жұптық жұмыс. «Көгершіннің хаты" әдісі Тақтаға хаты бар көгершіндер ілінеді.Оқушылар хатты ашып ішіндегі тапсырмаларды жұптаса орындайды.
Тапсырма: 1) 2) 3) 4) 5)10ay-5by+2ax-bx |
Оқушылар көгершіндегі тапсырмаларды жұптаса орындап тақтаға жабыстырады.
ЕББҚ: қасында отырған парталасмен жұптасады, бірлесіп жұмыс жасайды, есепті жазып шығарып отырады. Шешуі:
|
Дескриптор: - Ортақ көбейткішті жақша сыртына шығарады. - Көпмүшені топтап, әр топтан ортақ көбейткішті шығарады. - Көпмүшені көбейтінді түрінде жазады. Жалпы балл –3 балл «Көршіңнің қалы қалай ?» әдісі. |
Қима қағаздар Слайд Тақта
|
|
5 минут |
Тапсырма №3 Жеке жұмыс. «Тиын жинау» әдісі. Оқушылар тин жинау арқылы жарысу мақсатында жеке тапсырмалар орындайды.
|
Әрбір есепке бір оқушыдан тақтаға шығады. Есептерді дұрыс шығару арқылы тиын жинаиды. ЕББҚ: жеке жұмыс жасайды, есепті жазып шығарып отырады. |
Дескриптор: - Көпмүшеден ортақ көбейткішті табады. - Ортақ көбейткішті жақша сыртына шығарады. Жалпы балл – 2 балл
|
Слайд Жұмыс дәптері Таратпа қағаздар |
|
5 минут |
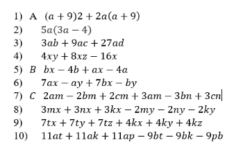
Тапсырма №4 Жеке жұмыс. «Кім жылдам?» әдісі Жеке жұмыс
|
Ш |
Дескриптор: - Ортақ көбейткішті жақша сыртына шығарады. - Көпмүшені топтап, әр топтан ортақ көбейткішті шығарады. - Көпмүшені көбейтінді түрінде жазады. Жалпы балл –3 балл |
|
|
Сабақтың аяғы 5 минут |
Сабақты қорытындылау. Рефлексия. «Сабақтан алған әсерім» әдісі. ЖИ арқылы жасалған кері байланыс
Үйге тапсырма: Оқулықтан 104бет №16.4 есеп |
Оқушылар сабақ туралы өз пікірлерімен бөліседі. Бағалау парағын оқушылар мұғалімге береді. |
Жалпы балл: 10 балл
|
Рефлексия парағы Бағалау парағы |
жүктеу мүмкіндігіне ие боласыз
Бұл материал сайт қолданушысы жариялаған. Материалдың ішінде жазылған барлық ақпаратқа жауапкершілікті жариялаған қолданушы жауап береді. Ұстаз тілегі тек ақпаратты таратуға қолдау көрсетеді. Егер материал сіздің авторлық құқығыңызды бұзған болса немесе басқа да себептермен сайттан өшіру керек деп ойласаңыз осында жазыңыз
Ашық сабақ Көпмүшені көбейткіштерге жіктеу 7 сынып
Ашық сабақ Көпмүшені көбейткіштерге жіктеу 7 сынып
БЕКІТЕМІН
Мектеп директоры
____________ Ш.А.Абиткожаева
Қысқа мерзімді (сабақ) жоспары
|
Бөлім: |
Көпмүшелер |
|
Педагогтің аты-жөні: |
Абдужалил Сания |
|
Күні: |
15.10.2025ж |
|
Сыныбы: 7 «А» |
Қатысушылар саны: 10 Қатыспағандар саны: |
|
Сабақтың тақырыбы: |
Көпмүшені көбейткіштерге жіктеу |
|
Оқу бағдарламасына сәйкес оқу мақсаты |
7.2.1.12 алгебралық өрнектерді ортақ көбейткішті жақша сыртына шығару және топтау тәсілдері арқылы көбейткіштерге жіктеу; |
|
Сабақтың мақсаты: |
Көпмүшеге амалдар қолдану ережелерімен танысып, есептер шешу дағдысын қалыптастырады Топта жұмыс істеу арқылы ізденеді, біледі, түсінеді және мәтінмен жұмыс істеу арқылы пәнге қызығушылығы артады Көпмүшеге амалдар қолданып есептер шығара алады. |
|
Құндылықтарға баулу |
Ынтымақтастық: оқушылар жұппен және топпен жұмыс істей отырып, бір-бірін тыңдауды, ортақ шешім қабылдауды үйренеді. Еңбекқорлық және жауапкершілік: есептерді орындау барысында ұқыпты болуға, өз шешіміне жауап беруге дағдыланады. Академиялық адалдық: тапсырмаларды өз бетінше орындау арқылы әділдікті сақтайды. |
Сабақтың барысы:
|
Сабақ кезеңі/Уақыты |
Педагогтің іс-әрекеті |
Оқушының іс-әрекеті |
Бағалау |
Ресурстар |
|
Сабақтың басы 6 минут |
І Ұйымдастыру: Оқушыларды түгендеу, қызығушылықты ояту, сыныпта жақсы көңіл-күй атмосферасын қалыптастыру. Психологиялық ахуал тудыру. Оқушылар жылы лебіздерін білдіріп, «Иә/жоқ» психологиялық ахуал қалыптастырады. - Сіздің бүгінгі көңіл-күйіңіз керемет пе? - Бүгінгі ашық сабақта белсенділік танытасың ба? - Саған алгебра ұнайды ма? -Өзіңізді батыл адам сезінесіз бе? - Бүгін ашық сабақта өзімді жоғарғы деңгейде көрсетемін! Үйге берілген тапсырма:
I Топ-Тақ сандар I I Топ- Жұп сандар |
Оқушылар амандасады. Топқа бөлініп отырады. Топ көшбасшысы анықталады. Ол топ жұмысын бақылап, әр тапсырма орындалып болғаннан кейін бағалау парағына белгілеп, қадағалап отырады. Үй тапсырмасын слайд арқылы тексереді. Әр оқушы өзін-өзі бағалау парағына белгілеп отырады. |
Ауызша мадақтау «Жарайсың» «Дұрыс» «Өте жақсы» Дескриптор: -Дәрежелердің қасиеттерін қолданады (дәрежелерді азайтады); -Бірмүшелерді бөлу амалын орындайды; Айнымалы мәнін өрнекке қояды; Өрнектің сан мәнін дұрыс есептейді. |
Оқулық Жұмыс дәптері Эмблема Слайд Таратпа қағаздар Слайд Оқулық ДК экран
|
|
2 минут |
Оқушылардың зейінін шоғырландыру мақсатында «Мюнстерберг» әдісі арқылы оқушылардың көңіл күйін көтере отырып, көз жаттығуын орындап, көптеген әріптердің арасында тұтас сөздер бар, оқушылардың міндеті: сол сөздерді тез оқып, достарымен бөліседі. |
Оқушылардың мұндағы берілген тапсырмаларды қатесіз топпен орындау, білімдерін тексеру. «Мюнстерберг» әдісі арқылы көптеген әріптердің арасында тұтас сөздерді тез оқып, достарымен бөліседі. |
Ынталандыру арқылы бағалау -Жарайсың! -Мен сабақтағы сіздің жұмысыңызға ризамын! - Сіз жақсырақ жұмыс істей алар едіңіз! |
ДК экран |
|
Сабақтың ортасы 6 минут |
Көпмүшені көбейткіштерге жіктеудің 2 тәсілі бар. Олар топтау тәсілі, ортақ көбейткішті жақша сыртына шығару. Мысалдар: 1. 2. 3.
4. |
Оқушылар жаңа сабақты түсінеді. Тақырып бойынша ресурстарды қарап, танысады |
Жарайсың! |
ДК экран |
|
8 минут |
Тапсырма №1 Топтық жұмыс. «Комикс» әдісі Әр топқа Комикс парақтар таратылады. Оқушылар топтау тәсілін пайдаланып, көпмүшені көбейткішкерге жіктейді де комикс түрінде берілген есепті шығарады.
|
"Комикс" әдісі арқылы оқушылар топтық білімді жинақтау, ынтымақтаса жұмыс жасай отырып өз ойларын еркін, дәлелді түрде жеткізе білуге ықпал ету мақсатында топта тапсырманы орындайды
ЕББҚ: топпен білге жұмыс жасайды, есепті дәптерге жазып отырады. Шешуі: (x+a)(1+y) (t-2)(k+1) (a+4)(m+n) (2+m)(2+n) (a+7)(b+c) (x+y)(z-3) |
Дескриптор: - Ортақ көбейткішті жақша сыртына шығарады. - Көпмүшені топтап, әр топтан ортақ көбейткішті шығарады. - Көпмүшені көбейтінді түрінде жазады.
а |
Слайд Таратпа қағаздар |
|
2 минут |
Сергіту сәті. «Менің қалпағым» әдісі. Менің қалпағым үшбұрыш, Үшбұрыш менің қалпағым, Егер менің қалпағым үшбұрыш болмаса, Менің қалпағым емес . |
Оқушылар мұғалімнің іс әрекетін қайталайды. |
«Жарайсыңдар!» |
Қағаз Слайд
|
|
6 минут |
Тапсырма №2 Жұптық жұмыс. «Көгершіннің хаты" әдісі Тақтаға хаты бар көгершіндер ілінеді.Оқушылар хатты ашып ішіндегі тапсырмаларды жұптаса орындайды.
Тапсырма: 1) 2) 3) 4) 5)10ay-5by+2ax-bx |
Оқушылар көгершіндегі тапсырмаларды жұптаса орындап тақтаға жабыстырады.
ЕББҚ: қасында отырған парталасмен жұптасады, бірлесіп жұмыс жасайды, есепті жазып шығарып отырады. Шешуі:
|
Дескриптор: - Ортақ көбейткішті жақша сыртына шығарады. - Көпмүшені топтап, әр топтан ортақ көбейткішті шығарады. - Көпмүшені көбейтінді түрінде жазады. Жалпы балл –3 балл «Көршіңнің қалы қалай ?» әдісі. |
Қима қағаздар Слайд Тақта
|
|
5 минут |
Тапсырма №3 Жеке жұмыс. «Тиын жинау» әдісі. Оқушылар тин жинау арқылы жарысу мақсатында жеке тапсырмалар орындайды.
|
Әрбір есепке бір оқушыдан тақтаға шығады. Есептерді дұрыс шығару арқылы тиын жинаиды. ЕББҚ: жеке жұмыс жасайды, есепті жазып шығарып отырады. |
Дескриптор: - Көпмүшеден ортақ көбейткішті табады. - Ортақ көбейткішті жақша сыртына шығарады. Жалпы балл – 2 балл
|
Слайд Жұмыс дәптері Таратпа қағаздар |
|
5 минут |
Тапсырма №4 Жеке жұмыс. «Кім жылдам?» әдісі Жеке жұмыс
|
Ш |
Дескриптор: - Ортақ көбейткішті жақша сыртына шығарады. - Көпмүшені топтап, әр топтан ортақ көбейткішті шығарады. - Көпмүшені көбейтінді түрінде жазады. Жалпы балл –3 балл |
|
|
Сабақтың аяғы 5 минут |
Сабақты қорытындылау. Рефлексия. «Сабақтан алған әсерім» әдісі. ЖИ арқылы жасалған кері байланыс
Үйге тапсырма: Оқулықтан 104бет №16.4 есеп |
Оқушылар сабақ туралы өз пікірлерімен бөліседі. Бағалау парағын оқушылар мұғалімге береді. |
Жалпы балл: 10 балл
|
Рефлексия парағы Бағалау парағы |
шағым қалдыра аласыз






рқылы 1- топты 2- топ, 2-
топты 1- топ, бағалайды. Қызыл шкала көрсетсе – Өте жақсы. Көк
шкала көрсетсе – Жақсы. Жасыл шкала көрсетсе –
Қанағаттандырарлық







ешуі














