Жамбыл облысы әкімдігінің білім басқармасы «Тараз қаласының білім бөлімінің №66 орта мептебі коммуналдық мемлекеттік мекемесі
Авторлық бағдарлама
Сызықтық теңдеулер мен теңсіздіктер
Турабаева Майра Орынбековна
Дуанакулова Айгерім Жарасовна
Тараз қаласы 2025 ж.
Мазмұны
Түсінік хат.........................................................2
Тұрақталу-мазмұндық бөлімі..........................7
Ақпараттық бөлім............................................11
Нормативтік бөлім...........................................12
Оқу-әдістемелік бөлім.....................................15
Қорытынды......................................................104
Пайдаланған әдебиеттер/Қосымша...............106
Түсінік хат
Қазіргі таңда білім беру жүйесінде математиканың орны айрықша. Математика тек қана есеп шығару құралы емес, ол – ойлау мәдениетін дамытудың, қисынды пайымдаудың, дәлелдеудің және талдаудың ең негізгі тетігі. Оқушыларды ғылыми тұрғыдан ойлауға баулып, өмірлік дағдыларды қалыптастыруда математикалық білімнің маңызы зор. Әсіресе сызықтық теңдеулер мен теңсіздіктер тақырыбы – мектеп математикасының іргетасы болып табылады. Бұл тақырыпты меңгермейінше, алгебраның әрі қарайғы бөлімдерін, функцияларды, туындыларды, интегралдарды, аналитикалық геометрия элементтерін толық түсіну мүмкін емес.
Сызықтық теңдеулер мен теңсіздіктерді шешу – оқушының ойлау қабілетін дамытумен қатар, нақты өмірлік жағдайларды модельдеуге мүмкіндік береді. Мысалы, экономикадағы шығын мен пайда есептері, физикадағы қозғалыс заңдылықтары, химиядағы реакциялар тепе-теңдігі – барлығы теңдеулер мен теңсіздіктер түрінде жазылып, шешімін табуды қажет етеді. Сондықтан бұл тақырып тек математикалық теория тұрғысынан ғана емес, практикалық өмірде де ерекше маңызға ие.
Осы бағдарламаны құрудағы негізгі мақсат – оқушыларға сызықтық теңдеулер мен теңсіздіктерді жан-жақты түсіндіру, олардың шығару жолдарын меңгерту, сондай-ақ әртүрлі әдістерді салыстыра отырып, тиімді тәсілді таңдауға үйрету. Сонымен қатар бағдарлама оқушының пәнге деген қызығушылығын арттырып, алған білімін өмірде қолдануға бейімдеуді көздейді.
Бұл тақырып бойынша білім беру барысында тек қана дайын ережелерді жаттап алу жеткіліксіз. Керісінше, әрбір ереженің қайдан шыққанын, неге дәл осылай болатынын түсіндіру – оқушының логикалық ойлауын дамытады. Сондықтан да ұсынылып отырған бағдарлама дәстүрлі оқыту әдістерімен қатар инновациялық тәсілдерді де қамтиды. Мысалы, интерактивті тапсырмалар, топтық жұмыстар, зерттеу элементтері, ақпараттық-коммуникациялық технологияларды пайдалану – барлығы оқушының белсенділігін арттыруға бағытталған.
Қорыта айтқанда, сызықтық теңдеулер мен теңсіздіктерді оқыту – оқушылардың математикалық мәдениетін қалыптастыратын, болашақ кәсіби білімінің негізін қалайтын маңызды кезең. Осы бағдарлама соған бағытталған.
2. Мақсаты мен міндеттері
Мақсаты:
Оқушыларға сызықтық теңдеулер мен теңсіздіктердің теориялық
негіздерін меңгерту, оларды шешу жолдарын практикалық тұрғыда
қолдануға үйрету, логикалық ойлау қабілетін
дамыту.
Міндеттері:
-
Оқушылардың математикалық сауаттылығын арттыру;
-
Сызықтық теңдеулер мен теңсіздіктерді шешудің түрлі әдістерімен таныстыру;
-
Өмірлік жағдайларды математикалық модельдеу дағдысын қалыптастыру;
-
Оқушыларды ғылыми зерттеуге баулу;
-
Ақпараттық технологияларды пайдалана отырып, білімді тереңдету.
3. Бағдарламаның өзектілігі
Бұл бағдарлама қазіргі білім беру жүйесінің талаптарына сәйкес келеді. Себебі халықаралық зерттеулер (PISA, TIMSS) математикалық сауаттылықты тек қана формулаларды білу деп емес, нақты өмірлік жағдайларды шешуде қолдану қабілеті ретінде бағалайды. Сызықтық теңдеулер мен теңсіздіктерді меңгеру арқылы оқушы күнделікті өмірдегі түрлі есептерді шешуге мүмкіндік алады. Осы тұрғыдан алғанда бағдарламаның маңыздылығы жоғары.
4. Жұмыстың ғылыми-әдістемелік деңгейі
Ұсынылған бағдарлама дәстүрлі оқыту жүйесін толықтырып қана қоймайды, сонымен қатар жаңашылдыққа да негізделген. Мұнда есеп шығару тәсілдері түрлі әдістемелер арқылы көрсетіледі, яғни бір есепті бірнеше жолмен шешу арқылы оқушы өзіне ыңғайлы әдісті таңдай алады. Бұл – оқытудың жеке тұлғаға бағытталғандығының дәлелі.
5. Бағдарламаның ғылымилығы
Бағдарлама жаңа білім беру парадигмасына сай құрастырылған. Ол оқушының тек білімін толықтыруға емес, ғылыми тұрғыда ойлануына, дәлелдеуге, зерттеуге үйретуге бағытталған. Психологиялық және педагогикалық ғылымдағы соңғы жетістіктерді ескере отырып, оқушылардың жас ерекшеліктеріне, ойлау деңгейіне сәйкес әдістемелер таңдалған.
6. Бағыттылығы
Бағдарлама тек білім беру міндетін ғана емес, тәрбиелік және дамытушылық қызметті де атқарады.
-
Оқушының жеке тұлғасын дамыту;
-
Психофизиологиялық және әлеуметтік денсаулығын сақтау;
-
Экономикалық, экологиялық, этнопедагогикалық құндылықтарды есептер арқылы таныстыру;
-
Білім мазмұнының гуманистік, интеграциялық, инновациялық сипатын қамтамасыз ету.
7. Әдіснамалық негізі
Бағдарлама жүйелілік принципіне сүйенеді. Оқу материалы жеңілден күрделіге, қарапайымнан тереңге қарай өрістетіледі. Әрбір жаңа тақырып бұрынғы біліммен байланыста түсіндіріледі. Зерттеу нәтижелері әдіснамалық негіздермен салыстырылып, дәйектілік сақталады.
8. Нәтиженің дұрыстығы мен сенімділігі
Бағдарлама ғылыми ұстанымдарға негізделгендіктен, алынған нәтижелер сенімді және дәлелді. Әрбір тұжырым педагогикалық тәжірибемен расталады.
9. Күтілетін нәтиже
Бағдарламаны іске асырудың нәтижесінде оқушылардың білім деңгейі мен тұлғалық дамуы біршама жоғарылап, олар математика пәніне терең қызығушылықпен қарайды. Әрбір оқушы тек сызықтық теңдеулер мен теңсіздіктерді шешіп қана қоймай, бұл білімді өмірде қолдануға бейімделеді. Төменде күтілетін нәтижелер бірнеше қырынан қарастырылады.
1) Теориялық білімді меңгеру
Оқушылар ең алдымен сызықтық теңдеулердің анықтамасын, олардың құрылымын, коэффициенттердің рөлін, түбір ұғымын, шешу жолдарын толық меңгереді. Мысалы:
-
Бір айнымалысы бар сызықтық теңдеулерді шешу;
-
Екі айнымалысы бар сызықтық теңдеулер жүйесін шешу;
-
Сызықтық теңсіздіктерді шешу және олардың сан осінде кескінделуі;
-
Екі айнымалысы бар сызықтық теңсіздіктер жүйесін график арқылы шешу.
Бұл білімдер алдағы алгебра, геометрия, анализ бастамалары, тіпті қолданбалы математика бөлімдерін оқуда мықты негіз болады.
2) Практикалық дағдылардың қалыптасуы
Оқушылар алған білімін түрлі практикалық есептерде қолдануды үйренеді. Мысалы, дүкендегі тауардың бағасын есептеу, жолға кеткен уақытты анықтау, өндірістік шығын мен пайданы салыстыру сияқты қарапайым мысалдар сызықтық теңдеулер арқылы шешілетінін түсінеді. Теңсіздіктер көмегімен күнделікті өмірдегі «артық-кем», «жеткілікті-жеткіліксіз», «үлкен-кіші» сияқты ұғымдар сандық тұрғыда сипатталады.
Мұндай тапсырмалар оқушының өмірлік тәжірибесін байытып, математикалық білімнің нақты пайдасын көрсетеді.
3) Логикалық ойлаудың дамуы
Сызықтық теңдеулерді шешу барысында оқушы әрқашан талдау, салыстыру, қорыту әрекеттерін орындайды. Бұл – логикалық ойлауды жетілдіреді. Теңдеуді шешкенде «неге дәл осылай істеу керек?» деген сұрақтарға жауап іздеу арқылы олар себеп-салдарлық байланысты түсінеді. Ал теңсіздіктерді шешу барысында ықтимал нұсқаларды қарастырып, ішінен дұрысын таңдау – оқушыны ойлануға, шешім қабылдауға жетелейді.
4) Зерттеушілік қабілеттің артуы
Бағдарламада оқушыға дайын ережелерді беріп қана қоймай, олардың шығу жолын өз бетінше табуға бағытталған тапсырмалар ұсынылады. Мысалы, бірнеше нақты мысалды шығара отырып, жалпы заңдылықты табу, теңдеудің шешімін график арқылы тексеру, теңсіздіктердің шексіз шешімін талдау сияқты әрекеттер оқушыларды зерттеуге баулиды.
Бұл – ғылыми көзқарастың қалыптасуына әкелетін маңызды қадам.
5) Ақпараттық технологияларды пайдалану дағдысы
Бағдарламаны оқыту барысында калькулятор, интерактивті тақта, компьютерлік бағдарламалар (GeoGebra, Desmos, Excel) қолдану көзделеді. Мұндай құралдар теңдеулер мен теңсіздіктердің шешімін тексеруге, графиктерін тұрғызуға, нәтижелерді салыстыруға мүмкіндік береді. Оқушылар математикалық білімді цифрлық ортада қолдануды үйреніп, заманауи технологияларды тиімді пайдалануға дағдыланады.
6) Пәнаралық байланыстарды түсіну
Сызықтық теңдеулер тек математикада ғана емес, басқа пәндерде де қолданылады. Мысалы:
-
Физикада қозғалыс жылдамдығы, уақыт және қашықтық арасындағы байланыстарды есептеу;
-
Химияда реакция теңдеулерін теңестіру;
-
Экономикада шығын мен табысты салыстыру;
-
Информатикада алгоритм құру кезінде шарттарды жазу.
Мұндай байланыстар оқушының дүниетанымын кеңейтеді, білімді біртұтас жүйе ретінде қабылдауға көмектеседі.
7) Шығармашылық қабілеттің дамуы
Оқушылар теңдеулер мен теңсіздіктерді шешудің дәстүрлі әдістерін меңгергеннен кейін, оларды қысқаша, тиімді жолдармен шығаруға дағдыланады. Бір есепті бірнеше тәсілмен шығарып көру, өз бетінше жаңа әдіс ойлап табу – шығармашылық ойлауды дамытады. Бұл дағды болашақта кез келген салада жаңашыл көзқараспен жұмыс істеуге көмектеседі.
8) Тұлғалық қасиеттердің қалыптасуы
Бағдарламаның басты нәтижелерінің бірі – оқушының жеке тұлғалық дамуы. Оқушы:
-
Жауапкершілікті сезінеді (есептің дұрыстығына мән беру арқылы);
-
Сабырлылыққа үйренеді (қиын есепті шешу үшін табандылық қажет);
-
Өз ой-пікірін дәлелдеп айтуға машықтанады (шешім жолын түсіндіру барысында);
-
Басқаның пікірін тыңдап, оны бағалауға үйренеді (топтық жұмыс кезінде).
Бұл қасиеттер оқушыны тек жақсы математик қылып қана қоймай, өмірде де табысты тұлға болуына ықпал етеді.
9) Құндылықтық бағдардың қалыптасуы
Бағдарламада есептерді таңдауда ұлттық құндылықтар да ескеріледі. Мысалы, қазақтың тұрмыс-тіршілігіне қатысты есептер, экологиялық мәселелер, экономикалық жағдайлар сызықтық теңдеулер мен теңсіздіктер арқылы сипатталуы мүмкін. Бұл оқушының туған жеріне, халқына деген сүйіспеншілігін арттырады. Сонымен қатар экологиялық сана, үнемшілдік, әділдік сияқты құндылықтар да тәрбиеленеді.
10) Болашаққа бағытталу
Бағдарлама нәтижесінде оқушылар алдағы білім сатыларында және кәсіби өмірінде сызықтық теңдеулер мен теңсіздіктерді еркін қолдана алады. Математикалық ойлау қабілеті – кез келген мамандықта қажет дағды. Экономист, инженер, программист, физик, химик, биолог – барлығы да теңдеулерді пайдаланатыны белгілі. Сондықтан бұл білімнің болашақтағы пайдасы орасан зор.
Жалпы алғанда, ұсынылып отырған бағдарламаны жүзеге асырудың күтілетін нәтижелері мыналар:
-
Сызықтық теңдеулер мен теңсіздіктерді толық меңгерген, оларды өмірде қолдана білетін оқушы;
-
Ғылыми тұрғыда ойлайтын, дәлелдей алатын, зерттеуге бейім тұлға;
-
Ақпараттық технологияларды еркін қолдана алатын заманауи жас ұрпақ;
-
Ұлттық құндылықтарды құрметтейтін, экологиялық мәдениеті қалыптасқан азамат;
-
Бәсекеге қабілетті, ойы жүйрік, логикасы мықты, шығармашыл жеке тұлға.
Осы нәтижелер – бағдарламаның басты жетістігі әрі мақсаты.
Тұрақталу-мазмұндық бөлімі
|
№ |
Сабақ тақырыбы |
Сағат саны |
Негізгі ұғымдар |
|
I бөлім. Бір айнымалысы бар сызықтық теңдеулер |
|||
|
1 |
Теңдеу ұғымы. Теңдеудің шешімі |
1 |
теңдеу, шешім |
|
2 |
Теңдеуді шешудің негізгі қасиеттері |
1 |
қасиет, түрлендіру |
|
3 |
Бір қадамды теңдеулер |
1 |
қосу, азайту |
|
4 |
Күрделі теңдеулер: көбейту, бөлу |
1 |
көбейту, бөлу |
|
5 |
Теңдеуді тексеру |
1 |
тексеру, дұрыстық |
|
6 |
Құрама теңдеулер |
1 |
скоба, амалдар |
|
7 |
Ұқсас мүшелері бар теңдеулер |
1 |
ықшамдау, ұқсас |
|
8 |
Бір айнымалысы бар мәтіндік есептер |
1 |
мәтін, модельдеу |
|
9 |
Практикалық есептер |
1 |
өмірлік, қолдану |
|
10 |
Қорытындылау |
1 |
жүйелеу, қайталау |
|
11 |
Бақылау жұмысы №1 |
1 |
бақылау, білім |
|
12 |
Қателермен жұмыс |
1 |
қате, түзету |
|
II бөлім. Бір айнымалысы бар сызықтық теңсіздіктер |
|||
|
13 |
Теңсіздік ұғымы |
1 |
теңсіздік, белгі |
|
14 |
Бір қадамды теңсіздіктер |
1 |
қосу, азайту |
|
15 |
Күрделі теңсіздіктер |
1 |
көбейту, бөлу |
|
16 |
Теңсіздіктің шешім жиыны |
1 |
жиын, сан осі |
|
17 |
Бір айнымалысы бар мәтіндік теңсіздіктер |
1 |
мәтін, теңсіздік |
|
18 |
Қорытындылау |
1 |
жинақтау, бекіту |
|
19 |
Бақылау жұмысы №2 |
1 |
бақылау, нәтиже |
|
20 |
Қателерді талдау |
1 |
қателер, түзету |
|
III бөлім. Екі айнымалысы бар сызықтық теңдеулер және жүйелер |
|||
|
21 |
Екі айнымалысы бар сызықтық теңдеу |
1 |
айнымалы, теңдеу |
|
22 |
Екі айнымалысы бар сызықтық теңдеудің графигі |
1 |
график, түзү |
|
23 |
Сызықтық теңдеулер жүйесі |
1 |
жүйе, шешім |
|
24 |
Жүйені графиктік тәсілмен шешу |
1 |
график, қиылысу |
|
25 |
Жүйені алмастыру тәсілімен шешу |
1 |
алмастыру, әдіс |
|
26 |
Жүйені қосу-азайту тәсілімен шешу |
1 |
қосу, азайту |
|
27 |
Сызықтық теңдеулер жүйесін практикалық есептерде қолдану |
1 |
мәтін, қолдану |
|
28 |
Қорытындылау |
1 |
жүйелеу, қайталау |
|
29 |
Бақылау жұмысы №3 |
1 |
бақылау, нәтиже |
|
30 |
Қателермен жұмыс |
1 |
талдау, түзету |
|
IV бөлім. Екі айнымалысы бар сызықтық теңсіздіктер |
|||
|
31 |
Екі айнымалысы бар сызықтық теңсіздіктер |
1 |
теңсіздік, аймақ |
|
32 |
Екі айнымалысы бар теңсіздіктер жүйесі |
1 |
жүйе, шешім облысы |
|
33 |
Қорытынды қайталау |
1 |
жинақтау, қайталау |
|
34 |
Қорытынды бақылау жұмысы |
1 |
білім, бағалау |
Теңдеу ұғымы және
шешімі
Оқушыларға теңдеу ұғымы түсіндіріледі, шешім табу жолдары
көрсетіледі. Қарапайым мысалдар арқылы «теңдеу» сөзіне нақты
түсінік қалыптастырылады.
Теңдеуді шешудің негізгі
қасиеттері
Теңдеудің екі жағына бірдей амал қолдануға болатыны түсіндіріледі.
Бұл қасиеттерді пайдаланып есеп шығаруға
үйретіледі.
Бір қадамды
теңдеулер
Қосу немесе азайту арқылы шешілетін теңдеулер талданады. Оқушылар
қарапайым жаттығулар арқылы алғашқы дағдыларын
дамытады.
Күрделі теңдеулер: көбейту,
бөлу
Көбейту немесе бөлу арқылы шешілетін теңдеулермен жұмыс
жүргізіледі. Оқушы біртіндеп теңдеулерді шешудің күрделірек
түрлерін меңгереді.
Теңдеуді
тексеру
Шешімді теңдеуге қайта қою арқылы тексеру тәсілі үйретіледі. Бұл
оқушылардың есепті дұрыс шығаруға дағдылануына мүмкіндік
береді.
Құрама
теңдеулер
Скобасы бар, бірнеше амалдан тұратын теңдеулерді шешу жолдары
қарастырылады. Ұқсас мүшелерді ықшамдау тәсілдері
көрсетіледі.
Ұқсас мүшелері бар
теңдеулер
Ұқсас мүшелерді біріктіру арқылы теңдеуді ықшамдау тәсілдері
түсіндіріледі. Бұл сабақ оқушылардың талдау және түрлендіру
қабілетін дамытады.
Мәтіндік есептерді
теңдеумен шығару
Өмірден алынған мәтіндік есептер теңдеуге айналдырылады. Оқушылар
қарапайым жағдайларды теңдеумен модельдеуге
үйренеді.
Практикалық
есептер
Өмірлік жағдайларға негізделген есептер шығарылады. Оқушылар
теңдеулерді қолданудың маңызын
түсінеді.
Қорытындылау
сабағы
Бір айнымалысы бар сызықтық теңдеулер бойынша білім жүйеленіп,
қайталанады. Оқушылар меңгерген білімін
жинақтайды.
Бақылау
жұмысы
Теңдеулер бойынша білім мен біліктер тексеріледі. Оқушы алған
білімін іс жүзінде
көрсетеді.
Қателермен
жұмыс
Бақылау жұмысының нәтижелері талданады. Қателердің себебі
анықталып, түзету жолдары
қарастырылады.
Теңсіздік
ұғымы
Теңсіздік белгілері түсіндіріліп, қарапайым мысалдар келтіріледі.
«Үлкен», «кіші» ұғымдарына нақты түсінік
беріледі.
Бір қадамды
теңсіздіктер
Қосу және азайту амалдары арқылы шешілетін теңсіздіктерді шығару
үйретіледі.
Күрделі
теңсіздіктер
Көбейту, бөлу тәсілдері арқылы теңсіздіктерді шешу
қарастырылады.
Теңсіздіктің шешім
жиыны
Теңсіздіктің шешім жиыны түсіндіріледі және ол сан осінде
кескінделеді.
Мәтіндік
теңсіздіктер
Өмірлік жағдайларды теңсіздік түрінде жазып, шешімін табу жолдары
үйретіледі.
Қорытындылау
Бір айнымалысы бар теңсіздіктер бойынша білім жинақталады,
бекітіледі.
Бақылау
жұмысы
Оқушылардың теңсіздіктерді шешу дағдылары
тексеріледі.
Қателерді
талдау
Бақылау жұмысының нәтижелері қаралып, қателер
түзетіледі.
Екі айнымалысы бар сызықтық
теңдеу
Екі айнымалысы бар теңдеудің анықтамасы беріледі. Оқушылар мысалдар
арқылы түсінік
қалыптастырады.
Екі айнымалысы бар сызықтық
теңдеудің графигі
Координаталық жазықтықта түзудің графигін салу
үйретіледі.
Сызықтық теңдеулер
жүйесі
Теңдеулер жүйесінің ұғымы енгізіліп, шешім табу жолдары
көрсетіледі.
Жүйені графиктік тәсілмен
шешу
Түзулердің қиылысу нүктесі арқылы жүйені шешу әдісі
меңгертіледі.
Жүйені алмастыру тәсілімен
шешу
Алмастыру әдісін қолдану арқылы жүйені шешу жолдары
көрсетіледі.
Жүйені қосу-азайту
тәсілімен шешу
Қосу және азайту әдісін пайдалану арқылы жүйелерді шешу
үйретіледі.
Жүйені практикалық
есептерде қолдану
Мәтіндік есептер теңдеулер жүйесі арқылы шығарылып, нақты өмірлік
мысалдар қарастырылады.
Қорытындылау
сабағы
Екі айнымалысы бар теңдеулер мен жүйелер бойынша білім
жинақталады.
Бақылау
жұмысы
Тақырып бойынша білім
тексеріледі.
Қателермен
жұмыс
Жіберілген қателер талданып,
түзетіледі.
Екі айнымалысы бар сызықтық
теңсіздіктер
Сызықтық теңсіздіктердің графигін салу және шешім облысын белгілеу
үйретіледі.
Екі айнымалысы бар
теңсіздіктер жүйесі
Жүйені графиктік әдіспен шығару, шешім аймағын табу
қарастырылады.
Қорытынды
қайталау
Барлық тақырыптар бойынша білім жинақталып,
пысықталады.
Қорытынды бақылау
жұмысы
Жалпы тарау бойынша оқушылардың білім деңгейі
бағаланады.
Ақпараттық бөлім
Бағалау критерийлері
|
Бағалау |
Балл |
Дескриптор |
|
Теориялық білімді меңгеру |
0–10 |
- Сызықтық теңдеулер
мен теңсіздіктердің анықтамасын дұрыс айтады; |
|
Есеп шығару дағдысы |
0–10 |
- Бір айнымалысы бар
теңдеулерді дұрыс шешеді; |
|
Мәтіндік есептерді модельдеу |
0–10 |
- Өмірлік жағдайды
теңдеу немесе теңсіздік түрінде құрастырады; |
|
Логикалық ойлау және дәлелдеу |
0–10 |
- Шешімін түсіндіре
отырып орындайды; |
|
Графиктік бейнелеу дағдысы |
0–10 |
- Координаталық
жазықтықта түзудің графигін дұрыс тұрғызады; |
|
Шығармашылық және ізденіс |
0–10 |
- Есеп шығарудың
тиімді жолын ұсынады; |
|
Жауаптың толықтығы мен дәлдігі |
0–10 |
- Есепті соңына
дейін шығарады; |
|
Сабақтағы белсенділік |
0-10 |
- Сұрақтарға
белсенді жауап береді; |
Нормативтік бөлім
Күнтізбелік-тақырыптық жоспар
Аптасына-1 сағат. Жылына 34 сағат
|
№ |
Сабақ тақырыбы |
Оқу мақсаты |
Сағат саны |
Күтілетін нәтиже |
|
1 |
Теңдеу ұғымы. Теңдеудің шешімі |
Теңдеу ұғымын түсіну, шешімін табуды үйрену |
1 |
Теңдеуді анықтап, шешімін таба алады |
|
2 |
Теңдеуді шешудің негізгі қасиеттері |
Қасиеттерді түсіну және қолдану |
1 |
Негізгі қасиеттерді қолданып теңдеуді шешеді |
|
3 |
Бір қадамды теңдеулер |
Қосу, азайту арқылы шешу |
1 |
Қарапайым теңдеулерді шығарады |
|
4 |
Күрделі теңдеулер: көбейту, бөлу |
Көбейту, бөлу тәсілімен шешу |
1 |
Күрделі теңдеулерді шығарады |
|
5 |
Теңдеуді тексеру |
Шешімді орнына қою арқылы тексеру |
1 |
Нәтижесін тексереді |
|
6 |
Құрама теңдеулер |
Скобасы бар, бірнеше амалдан тұратын теңдеулер |
1 |
Құрама теңдеулерді шығарады |
|
7 |
Ұқсас мүшелері бар теңдеулер |
Теңдеуді ықшамдау |
1 |
Ұқсас мүшелерді біріктіріп шешеді |
|
8 |
Бір айнымалысы бар мәтіндік есептер |
Теңдеумен шығару |
1 |
Мәтінді теңдеуге айналдырады |
|
9 |
Практикалық есептер |
Өмірлік жағдайларды модельдеу |
1 |
Практикада теңдеуді қолданады |
|
10 |
Қорытындылау |
Бір айнымалысы бар теңдеулер |
1 |
Білімін жүйелейді |
|
11 |
Бақылау жұмысы №1 |
Бір айнымалы теңдеулер |
1 |
Білімін бағалатады |
|
12 |
Қателермен жұмыс |
Бақылау жұмысын талдау |
1 |
Қателерін түзетеді |
|
13 |
Теңсіздік ұғымы |
«>, <, ≥, ≤» белгілерін түсіну |
1 |
Теңсіздікті ажыратады |
|
14 |
Бір қадамды теңсіздіктер |
Қосу, азайту тәсілдері |
1 |
Қарапайым теңсіздіктерді шығарады |
|
15 |
Күрделі теңсіздіктер |
Көбейту, бөлу тәсілдері |
1 |
Күрделі теңсіздіктерді шешеді |
|
16 |
Теңсіздіктің шешім жиыны |
Шешім жиынын сан осінде кескіндеу |
1 |
Сан осінде белгілейді |
|
17 |
Бір айнымалысы бар мәтіндік теңсіздіктер |
Өмірлік есептерді теңсіздікпен шығару |
1 |
Мәтіндік есепті теңсіздікпен модельдейді |
|
18 |
Қорытындылау |
Бір айнымалысы бар теңсіздіктер |
1 |
Білімін жинақтайды |
|
19 |
Бақылау жұмысы №2 |
Бір айнымалысы бар теңсіздіктер |
1 |
Тақырып бойынша білімін бағалатады |
|
20 |
Қателерді талдау |
Бақылау жұмысымен жұмыс |
1 |
Қателерді түзетеді |
|
21 |
Екі айнымалысы бар сызықтық теңдеу |
Анықтамасы, мысалдар |
1 |
Екі айнымалысы бар теңдеуді түсінеді |
|
22 |
Екі айнымалысы бар сызықтық теңдеудің графигі |
Координаталық жазықтықта кескіндеу |
1 |
График тұрғызады |
|
23 |
Сызықтық теңдеулер жүйесі |
Жүйенің анықтамасы |
1 |
Жүйені құрады |
|
24 |
Жүйені графиктік тәсілмен шешу |
Түзулерді кескіндеу арқылы шешу |
1 |
Графикпен шешімін табады |
|
25 |
Жүйені алмастыру тәсілімен шешу |
Әдісті қолдану |
1 |
Алмастыру тәсілін меңгереді |
|
26 |
Жүйені қосу-азайту тәсілімен шешу |
Қосу, азайту әдісін қолдану |
1 |
Жүйені шығарады |
|
27 |
Сызықтық теңдеулер жүйесін практикалық есептерде қолдану |
Экономикалық, физикалық есептер |
1 |
Жүйемен мәтіндік есеп шығарады |
|
28 |
Қорытындылау |
Екі айнымалысы бар теңдеулер және жүйелер |
1 |
Білімін жүйелейді |
|
29 |
Бақылау жұмысы №3 |
Екі айнымалысы бар теңдеулер және жүйелер |
1 |
Білімін тексереді |
|
30 |
Қателермен жұмыс |
Бақылауды талдау |
1 |
Қателерді түзетеді |
|
31 |
Екі айнымалысы бар сызықтық теңсіздіктер |
Түсінік беру |
1 |
Теңсіздікті графикте кескіндейді |
|
32 |
Екі айнымалысы бар теңсіздіктер жүйесі |
Шешу жолдары |
1 |
Жүйенің шешім облысын табады |
|
33 |
Қорытынды қайталау |
Барлық тақырыпты пысықтау |
1 |
Білімін толық бекітеді |
|
34 |
Қорытынды бақылау жұмысы |
Жалпы тарау |
1 |
Қорытынды нәтижесін бағалатады |
Оқу-әдістемелік бөлім
Қысқа мерзімді сабақ жоспары №1
|
Білім беру ұйымының атауы |
|
|||||
|
Пәні: |
|
|||||
|
Бөлім: |
|
|||||
|
Педагогтің аты-жөні: |
|
|||||
|
Күні: |
|
|||||
|
Сыныбы: |
Қатысушылар саны |
Қатыспағандар саны |
||||
|
Тақырыбы |
Теңдеу ұғымы. Теңдеудің шешімі |
|||||
|
Сабақтың мақсаты |
–
Теңдеу ұғымын түсіндіру және
оны өмірлік мысалдарда қолдана алу; |
|||||
|
Құндылықтарды дарыту |
Бұл сабақ оқушыларды логикалық ойлауға, талдау жасауға, өмірлік жағдайды математикалық жолмен шешуге үйретеді. Теңдеулерді шешу арқылы оқушыларда табандылық, дәлдік, жауапкершілік сияқты қасиеттер қалыптасады. |
|||||
|
Сабақтың барысы |
||||||
|
Сабақтың жоспарланған кезеңдері |
Педагогтің әрекеті |
Оқушының әрекеті |
Бағалау |
Ресурс тар |
||
|
Ұйымдастыру кезеңі |
"Көңіл-күйіңді көрсет"
Мақсаты: Оқушылардың көңіл-күйін
анықтау, сабаққа дайындық деңгейін
бақылау.
|
Нұсқаулықтарды орындайды |
Ауызша , мадақтау |
|
||
|
Жаңа сабақ |
Түсіндіру
бөлімі
Есептер
Есеп
1.
Есеп
2.
Есеп
3. Тапсырмалар
Мәтіндік
тапсырма
Шешуі: х – қалам саны. Дескриптор: мәтінді теңдеуге айналдырады, дұрыс шешім табады, жауабын өмірлік жағдаймен байланыстырады. Жаттығулар
Дескриптор: әрбір жаттығуда амал ретін сақтайды, шешімін табады, жауабын жазады. Тест тапсырмасы (қиындау)
Сұрақ:
Егер
4х–7=13 болса, онда х мәні нешеге тең?
Шешуі: 4х=20 → х=5. Дескриптор: теңдеуді түрлендіреді, дұрыс жауабын таңдайды |
Тапсырмаларды орындайды Тапсырмаларды орындайды Тапсырмаларды орындайды |
Дескриптор ,
бағдаршам ,
ауызша мадақтау
|
|
||
|
Сабақты бекіту |
«Табыс сатысы»
|
Нұсқаулықты орындайды |
Кері байланыс жасайды |
|
||
Қысқа мерзімді сабақ жоспары №2
|
Білім беру ұйымының атауы |
|
|||||||||||||||||
|
Пәні: |
|
|||||||||||||||||
|
Бөлім: |
|
|||||||||||||||||
|
Педагогтің аты-жөні: |
|
|||||||||||||||||
|
Күні: |
|
|||||||||||||||||
|
Сыныбы: |
Қатысушылар саны |
Қатыспағандар саны |
||||||||||||||||
|
Тақырыбы |
Теңдеуді шешудің негізгі қасиеттері |
|||||||||||||||||
|
Сабақтың мақсаты |
–
Теңдеуді шешудің негізгі қасиеттерін
түсіндіру; |
|||||||||||||||||
|
Құндылықтарды дарыту |
Бұл сабақта оқушылар шындыққа ұмтылу, дәлдік, ой еңбегіне жауапкершілікпен қарау құндылықтарын меңгереді. Теңдеуді шешудің қасиеттерін қолдана отырып, олар дәл есептеуді, жүйелі ойлауды және қателікті тексеруді үйренеді. |
|||||||||||||||||
|
Сабақтың барысы |
||||||||||||||||||
|
Сабақтың жоспарланған кезеңдері |
Педагогтің әрекеті |
Оқушының әрекеті |
Бағалау |
Ресурс тар |
||||||||||||||
|
Ұйымдастыру кезеңі |
"Құпия сыйлық" әдісі
Мақсаты: Оқушыларды ынталандыру,
олардың сабаққа деген қызығушылығын
ояту.
|
Нұсқаулықтарды орындайды |
Ауызша , мадақтау |
|
||||||||||||||
|
Жаңа сабақ |
Теңдеуді шешудің негізгі қасиеті – теңдеудің екі жағына да бірдей амал қолданғанда теңдік өзгермейді.
Мысал: Есептер
Есеп
1.
Есеп
2.
Есеп
3. Тапсырма Кестелік тапсырма: Төмендегі теңдеулерді шешіп, х мәнін кестеге толтыр.
Дескриптор: кестені толтырады, әр теңдеуді дұрыс шешеді. Жаттығулар
Дескриптор: әрбір жаттығуда теңдеудің екі жағына бірдей амал қолданады, дұрыс шешімін табады. Мәтіндік тапсырма Әкесі ұлының жасынан 4 есе үлкен. Егер олардың жас айырмашылығы 27 болса, ұлы неше жаста? Шешуі: ұлы – х жас. Әкесі – 4х
жас. Дескриптор: мәтіннен теңдеу құрады, шешімін табады, жауабын нақты тұжырымдайды. Тест тапсырмасы Егер 5х–8=17 болса, онда х
мәні нешеге тең? Шешуі: 5х=25 → х=5. Дескриптор: теңдеуді шешу үшін қосу және бөлу амалдарын қолданады, дұрыс жауапты табады. |
Тапсырмаларды орындайды Тапсырмаларды орындайды Тапсырмаларды орындайды |
Дескриптор ,
бағдаршам ,
ауызша мадақтау
|
|
||||||||||||||
|
Сабақты бекіту |
«Екі жұлдыз, бір тілек»
|
Нұсқаулықты орындайды |
Кері байланыс жасайды |
|
||||||||||||||
Қысқа мерзімді сабақ жоспары №3
|
Білім беру ұйымының атауы |
|
|||||
|
Пәні: |
|
|||||
|
Бөлім: |
|
|||||
|
Педагогтің аты-жөні: |
|
|||||
|
Күні: |
|
|||||
|
Сыныбы: |
Қатысушылар саны |
Қатыспағандар саны |
||||
|
Тақырыбы |
Бір қадамды теңдеулер |
|||||
|
Сабақтың мақсаты |
–
Бір қадамды теңдеулерді қосу немесе азайту
тәсілдерімен шешу; |
|||||
|
Құндылықтарды дарыту |
Бұл сабақ оқушыларды шындыққа ұмтылуға, дәлдік пен ұқыптылыққа, жауапкершілікке тәрбиелейді. Шешім жиынын сан осінде кескіндеу арқылы оқушы математикалық ойды көрнекі түрде жеткізуді үйренеді. |
|||||
|
Сабақтың барысы |
||||||
|
Сабақтың жоспарланған кезеңдері |
Педагогтің әрекеті |
Оқушының әрекеті |
Бағалау |
Ресурс тар |
||
|
Ұйымдастыру кезеңі |
"Сиқырлы сөз" әдісі
Мақсаты: Сабақтың тақырыбына
қызығушылық тудыру, топтық жұмысқа
ынталандыру.
|
Нұсқаулықтарды орындайды |
Ауызша , мадақтау |
|
||
|
Жаңа сабақ |
Бір қадамды теңдеулер – тек бір амал қолдану арқылы шешілетін теңдеулер.
Мысал: Есептер
Есеп
1.
Есеп
2.
Есеп
3. Тапсырма (шағын өмірлік мысал) Оқушы 25 бет кітап оқыды, бұл – жалпы бет санынан 15 бетке кем. Кітап неше беттен тұрады?
Шешуі: х – кітаптың жалпы бет
саны. Дескриптор: мәтіннен теңдеу құрады, бір қадаммен шешеді, жауабын дұрыс жазады. Жаттығулар
Дескриптор: әр теңдеуді бір амал арқылы шешеді, дұрыс нәтижеге келеді. Тест тапсырмасы
Егер х+14=29 болса, онда х
мәні нешеге тең?
Шешуі: х=29–14=15. Дескриптор: теңдеуді бір амалмен шығарады, дұрыс жауапты табады. |
Тапсырмаларды орындайды Тапсырмаларды орындайды Тапсырмаларды орындайды |
Дескриптор ,
бағдаршам ,
ауызша мадақтау
|
|
||
|
Сабақты бекіту |
«Бағдаршам» әдісі
|
Нұсқаулықты орындайды |
Кері байланыс жасайды |
|
||
Қысқа мерзімді сабақ жоспары №4
|
Білім беру ұйымының атауы |
|
|||||
|
Пәні: |
|
|||||
|
Бөлім: |
|
|||||
|
Педагогтің аты-жөні: |
|
|||||
|
Күні: |
|
|||||
|
Сыныбы: |
Қатысушылар саны |
Қатыспағандар саны |
||||
|
Тақырыбы |
Күрделі теңдеулер: көбейту, бөлу |
|||||
|
Сабақтың мақсаты |
–
Көбейту және бөлу амалдарын
қолданып теңдеулерді шешу; |
|||||
|
Құндылықтарды дарыту |
–
Дәлдік пен ұқыптылыққа тәрбиелеу; |
|||||
|
Сабақтың барысы |
||||||
|
Сабақтың жоспарланған кезеңдері |
Педагогтің әрекеті |
Оқушының әрекеті |
Бағалау |
Ресурс тар |
||
|
Ұйымдастыру кезеңі |
"Бір сөзбен" әдісі
Мақсаты: Оқушылардың сабаққа деген
эмоционалдық дайындығын
анықтау.
|
Нұсқаулықтарды орындайды |
Ауызша , мадақтау |
|
||
|
Жаңа сабақ |
Бір қадамды теңдеулерді көбейту немесе бөлу тәсілдері арқылы шешеміз.
Мысал: Есептер
Есеп
1.
Есеп
2.
Есеп
3.
Есеп
4. Тапсырма (мәтіндік есеп) Бағасы 250 теңге дәптерден 5 дана сатып алды. Барлығы қанша теңге төленді?
Шешуі: х – жалпы баға. Дескриптор: мәтіннен теңдеу құрады, көбейту амалын қолданады, нәтижені дұрыс табады. Жаттығулар
Дескриптор: теңдеуді көбейту немесе бөлу арқылы шешеді, дұрыс нәтижеге келеді. Тест тапсырмасы
Егер 6х=54 болса, онда х мәні
нешеге тең?
Шешуі: х=54:6=9 Дескриптор: теңдеуді бөлу тәсілімен шығарады, дұрыс нұсқаны табады. |
Тапсырмаларды орындайды Тапсырмаларды орындайды Тапсырмаларды орындайды |
Дескриптор ,
бағдаршам ,
ауызша мадақтау
|
|
||
|
Сабақты бекіту |
«Бағдаршам» әдісі
|
Нұсқаулықты орындайды |
Кері байланыс жасайды |
|
||
Қысқа мерзімді сабақ жоспары №5
|
Білім беру ұйымының атауы |
|
|||||
|
Пәні: |
|
|||||
|
Бөлім: |
|
|||||
|
Педагогтің аты-жөні: |
|
|||||
|
Күні: |
|
|||||
|
Сыныбы: |
Қатысушылар саны |
Қатыспағандар саны |
||||
|
Тақырыбы |
Теңдеуді тексеру |
|||||
|
Сабақтың мақсаты |
–
Теңдеудің шешімін орнына қою арқылы тексеруді
меңгеру; |
|||||
|
Құндылықтарды дарыту |
–
Дәлдікке, ұқыптылыққа
тәрбиелеу; |
|||||
|
Сабақтың барысы |
||||||
|
Сабақтың жоспарланған кезеңдері |
Педагогтің әрекеті |
Оқушының әрекеті |
Бағалау |
Ресурс тар |
||
|
Ұйымдастыру кезеңі |
"Сиқырлы қорап" әдісі
Мақсаты: Оқушылардың қызығушылығын
арттыру, олардың сабаққа деген ынтасын
ояту.
|
Нұсқаулықтарды орындайды |
Ауызша , мадақтау |
|
||
|
Жаңа сабақ |
Теңдеуді тексеру үшін табылған айнымалы мәнін теңдеуге орнына қоямыз. Егер теңдік дұрыс орындалса – шешім дұрыс, егер орындалмаса – қате.
Мысал: Есептер
Есеп
1.
Есеп
2.
Есеп
3. Дескриптор: шешімді теңдеуге орнына қояды, теңдіктің дұрыстығын тексереді, қорытынды жасайды. Тапсырма (берілген шешімді тексеру)
Теңдеу: 5х–7=18 Дескриптор: дайын шешімді тексереді, қате екенін дәлелдейді. Жаттығулар (дайын шешімдерді тексеру)
Дескриптор: әр шешімді орнына қойып тексереді, дұрыстығын анықтайды. Тест тапсырмасы
Теңдеудің шешімін тексер:
4х–6=10, берілген шешім х=4.
Шешуі: 4·4–6=16–6=10 → 10=10
(дұрыс). Дескриптор: шешімді тексереді, дұрыс нұсқаны таңдайды. |
Тапсырмаларды орындайды Тапсырмаларды орындайды Тапсырмаларды орындайды |
Дескриптор ,
бағдаршам ,
ауызша мадақтау
|
|
||
|
Сабақты бекіту |
«Табыс сатысы»
|
Нұсқаулықты орындайды |
Кері байланыс жасайды |
|
||
Қысқа мерзімді сабақ жоспары №6
|
Білім беру ұйымының атауы |
|
|||||
|
Пәні: |
|
|||||
|
Бөлім: |
|
|||||
|
Педагогтің аты-жөні: |
|
|||||
|
Күні: |
|
|||||
|
Сыныбы: |
Қатысушылар саны |
Қатыспағандар саны |
||||
|
Тақырыбы |
Құрама теңдеулер |
|||||
|
Сабақтың мақсаты |
–
Құрама теңдеулерді (скобасы
бар, бірнеше амалдан тұратын) шешу тәсілдерін меңгерту; |
|||||
|
Құндылықтарды дарыту |
–
Дәлдік пен ұқыптылыққа
тәрбиелеу; |
|||||
|
Сабақтың барысы |
||||||
|
Сабақтың жоспарланған кезеңдері |
Педагогтің әрекеті |
Оқушының әрекеті |
Бағалау |
Ресурс тар |
||
|
Ұйымдастыру кезеңі |
"Жылы сөздер шеңбері"
Мақсаты: Оқушылардың көңіл-күйін
көтеру, достық қарым-қатынасты
қалыптастыру.
|
Нұсқаулықтарды орындайды |
Ауызша , мадақтау |
|
||
|
Жаңа сабақ |
Құрама теңдеулерде бірнеше
амал қатар кездеседі: қосу, азайту, көбейту, бөлу.
Мысалдар:
Есептер
Есеп
1.
Есеп
2.
Есеп
3.
Есеп
4. Тапсырма (жақшаны ашу)
(3х+2)–(х–5)=20 теңдеуін
шеш. Дескриптор: жақшаны ашады, ұқсас мүшелерді біріктіреді, шешімін табады. Жаттығулар (құрама амалдар)
Дескриптор: амалдардың ретін сақтайды, теңдеуді ықшамдап шешеді. Тест тапсырмасы
Құрама теңдеуді шеш:
(х+4)/2=10
Шешуі: х+4=20 → х=16 Дескриптор: бөлшек теңдеуді көбейту арқылы шығарады, дұрыс жауапты табады. |
Тапсырмаларды орындайды Тапсырмаларды орындайды Тапсырмаларды орындайды |
Дескриптор ,
бағдаршам ,
ауызша мадақтау
|
|
||
|
Сабақты бекіту |
«Екі жұлдыз, бір тілек»
|
Нұсқаулықты орындайды |
Кері байланыс жасайды |
|
||
Қысқа мерзімді сабақ жоспары №7
|
Білім беру ұйымының атауы |
|
|||||
|
Пәні: |
|
|||||
|
Бөлім: |
|
|||||
|
Педагогтің аты-жөні: |
|
|||||
|
Күні: |
|
|||||
|
Сыныбы: |
Қатысушылар саны |
Қатыспағандар саны |
||||
|
Тақырыбы |
Ұқсас мүшелері бар теңдеулер |
|||||
|
Сабақтың мақсаты |
–
Ұқсас мүшелерді анықтап, оларды біріктіру арқылы
теңдеулерді ықшамдау; |
|||||
|
Құндылықтарды дарыту |
–
Дәлдікке, жүйелілікке тәрбиелеу; |
|||||
|
Сабақтың барысы |
||||||
|
Сабақтың жоспарланған кезеңдері |
Педагогтің әрекеті |
Оқушының әрекеті |
Бағалау |
Ресурс тар |
||
|
Ұйымдастыру кезеңі |
"Комплимент көпірі" әдісі
Мақсаты: Оқушылар арасында достық
қарым-қатынас орнату, сенімділік
қалыптастыру.
|
Нұсқаулықтарды орындайды |
Ауызша , мадақтау |
|
||
|
Жаңа сабақ |
Ұқсас мүшелер – айнымалысы
бірдей, дәрежесі бірдей және тек коэффициенттері әртүрлі болатын
мүшелер. Ұқсас мүшелерді қосу немесе азайту арқылы теңдеуді ықшамдаймыз. Мысалдар:
Есептер
Есеп
1.
Есеп
2.
Есеп
3.
Есеп
4. Тапсырма (өмірлік мысал) Әсет пен Марат жиналған теңгелерін санады. Әсетте х теңге бар, Маратта 2х теңге бар. Екеуінде барлығы 1200 теңге. Әрқайсысында қанша теңге болғанын тап.
Шешуі: х+2х=1200 → 3х=1200 →
х=400 Дескриптор: мәтіннен теңдеу құрады, ұқсас мүшелерді біріктіреді, шешімін табады. Жаттығулар (ықшамдау)
Дескриптор: ұқсас мүшелерді қосады/азайтады, ықшамдалған теңдеуді шешеді. Тест тапсырмасы
Егер 9х–4х=25 болса, онда х
мәні нешеге тең?
Шешуі: 5х=25 → х=5 Дескриптор: ұқсас мүшелерді ықшамдап, теңдеуді дұрыс шешеді. |
Тапсырмаларды орындайды Тапсырмаларды орындайды Тапсырмаларды орындайды |
Дескриптор ,
бағдаршам ,
ауызша мадақтау
|
|
||
|
Сабақты бекіту |
«Не ұнады? Не қиын болды? Не үйрендім?» ? Нұсқаулық:
|
Нұсқаулықты орындайды |
Кері байланыс жасайды |
|
||
Қысқа мерзімді сабақ жоспары №8
|
Білім беру ұйымының атауы |
|
|||||
|
Пәні: |
|
|||||
|
Бөлім: |
|
|||||
|
Педагогтің аты-жөні: |
|
|||||
|
Күні: |
|
|||||
|
Сыныбы: |
Қатысушылар саны |
Қатыспағандар саны |
||||
|
Тақырыбы |
Мәтіндік есептерді теңдеумен шығару |
|||||
|
Сабақтың мақсаты |
–
Мәтіндік есепті талдау, айнымалы енгізу және
теңдеу құру; |
|||||
|
Құндылықтарды дарыту |
–
Логикалық ойлау және талдау
қабілетін дамыту; |
|||||
|
Сабақтың барысы |
||||||
|
Сабақтың жоспарланған кезеңдері |
Педагогтің әрекеті |
Оқушының әрекеті |
Бағалау |
Ресурс тар |
||
|
Ұйымдастыру кезеңі |
"Музыкалық серпін" әдісі
Мақсаты: Оқушылардың сергектігін
арттыру, сабаққа дайындығын
тексеру.
|
Нұсқаулықтарды орындайды |
Ауызша , мадақтау |
|
||
|
Жаңа сабақ |
Мәтіндік есепті теңдеумен шығару үшін келесі қадамдар орындалады:
Мысал: Есептер
Есеп 1 (жасқа
байланысты):
Есеп 2 (бағаға
байланысты):
Есеп 3 (жолға
байланысты): Тапсырма (өмірлік мысал) Әкесі 40 жаста, баласы 10 жаста. Неше жылдан соң әкесі баласынан 2 есе үлкен болады?
Шешуі: х – жыл саны. Дескриптор: айнымалыны дұрыс енгізеді, теңдеу құрады, шешімін табады, қорытынды жасайды. Жаттығулар (қысқа мәтіндік есептер)
Дескриптор: мәтінді теңдеуге айналдырады, шешімін табады, нәтижені тұжырымдайды. Тест тапсырмасы
Екі санның қосындысы 45. Оның
біреуі 18 болса, екіншісі нешеге тең?
Шешуі: х+18=45 → х=27. Дескриптор: теңдеу құрады, есепті дұрыс шығарады, нұсқаны табады. |
Тапсырмаларды орындайды Тапсырмаларды орындайды Тапсырмаларды орындайды |
Дескриптор ,
бағдаршам ,
ауызша мадақтау
|
|
||
|
Сабақты бекіту |
«Жетістік баспалдағы» ? Нұсқаулық:
|
Нұсқаулықты орындайды |
Кері байланыс жасайды |
Стикер |
||
Қысқа мерзімді сабақ жоспары №9
|
Білім беру ұйымының атауы |
|
|||||
|
Пәні: |
|
|||||
|
Бөлім: |
|
|||||
|
Педагогтің аты-жөні: |
|
|||||
|
Күні: |
|
|||||
|
Сыныбы: |
Қатысушылар саны |
Қатыспағандар саны |
||||
|
Тақырыбы |
Практикалық есептер |
|||||
|
Сабақтың мақсаты |
–
Өмірлік жағдайларды теңдеулер
арқылы модельдеу; |
|||||
|
Құндылықтарды дарыту |
–
Математиканы өмірмен байланыстыруға үйрету; |
|||||
|
Сабақтың барысы |
||||||
|
Сабақтың жоспарланған кезеңдері |
Педагогтің әрекеті |
Оқушының әрекеті |
Бағалау |
Ресурс тар |
||
|
Ұйымдастыру кезеңі |
"Бүгінгі мақсатымды білдіремін" әдісі
Мақсаты: Оқушылардың өз оқу мақсаттарын
түсінуіне көмектесу.
|
Нұсқаулықтарды орындайды |
Ауызша , мадақтау |
|
||
|
Жаңа сабақ |
Практикалық есеп – өмірден
алынған жағдайды математика тіліне айналдырып, теңдеумен шығаратын
есеп.
Есептер
Есеп 1
(сауда):
Шешуі: х=жалпы баға.
Есеп 2
(уақыт):
Есеп 3
(қашықтық): Тапсырма (экономикалық жағдайға есеп) Мектеп асханасы күніне 350 бәліш сатады. Бір бәліштің бағасы х теңге. Күнделікті табыс 52 500 теңге. Бір бәліштің бағасын тап.
Шешуі: 350·х=52 500 → х=52
500/350=150. Жаттығулар (шығармашылық)
Дескриптор: өз бетінше мәтіндік есеп құрайды, теңдеу арқылы шығарады, шешімін табады. Тест тапсырмасы
Мектепке арналған үстел мен
орындықтың жалпы бағасы 42 000 теңге. Үстелдің бағасы 30 000 теңге.
Орындықтың бағасы қанша?
Шешуі: 30 000+х=42 000 → х=12
000. Дескриптор: мәтіндік есепті теңдеуге айналдырады, дұрыс нұсқаны таңдайды. |
Тапсырмаларды орындайды Тапсырмаларды орындайды Тапсырмаларды орындайды |
Дескриптор ,
бағдаршам ,
ауызша мадақтау
|
|
||
|
Сабақты бекіту |
«Кері байланыс парағы»
|
Нұсқаулықты орындайды |
Кері байланыс жасайды |
Парақтар |
||
Қысқа мерзімді сабақ жоспары №10
|
Білім беру ұйымының атауы |
|
|||||
|
Пәні: |
|
|||||
|
Бөлім: |
|
|||||
|
Педагогтің аты-жөні: |
|
|||||
|
Күні: |
|
|||||
|
Сыныбы: |
Қатысушылар саны |
Қатыспағандар саны |
||||
|
Тақырыбы |
Қорытындылау |
|||||
|
Сабақтың мақсаты |
–
Қосу, азайту, көбейту, бөлу тәсілдері арқылы
теңдеулерді шешуді қайталау; |
|||||
|
Құндылықтарды дарыту |
–
Алған білімін жүйелеу және қолдану арқылы
жауапкершілікке тәрбиелеу; |
|||||
|
Сабақтың барысы |
||||||
|
Сабақтың жоспарланған кезеңдері |
Педагогтің әрекеті |
Оқушының әрекеті |
Бағалау |
Ресурс тар |
||
|
Ұйымдастыру кезеңі |
"Сен білесің бе?" әдісі
Мақсаты: Сабақ тақырыбына қызығушылық
тудыру, оқушыларды диалогқа
тарту.
|
Нұсқаулықтарды орындайды |
Ауызша , мадақтау |
|
||
|
Жаңа сабақ |
Бұған дейінгі
сабақтарда қарастырылған негізгі тақырыптар: Осы сабақта әр амал бойынша есептерді шешіп, білімімізді жүйелейміз. Есептер
Есеп
1.
Есеп
2.
Есеп
3.
Есеп
4. Дескриптор: әр теңдеуді шешуде дұрыс амалдар қолданады, шешімді анықтайды. Тапсырма (топтық жұмыс)
Мәтіндік
есеп:
Шешуі: Жауабы: 6 орындық сатып алынған. Дескриптор: топпен бірлесіп мәтінді талдайды, теңдеу құрады, шешімін табады. Жаттығулар (деңгейлік тапсырмалар) І деңгей (жеңіл):
ІІ деңгей (орташа):
ІІІ деңгей (күрделі):
Дескриптор: Тест тапсырмасы
Қай теңдеудің шешімі
9-ға тең?
Шешуі: Жауабы: C) 2х–3=15 Дескриптор: теңдеуді талдайды, шешімін табады, дұрыс жауапты белгілейді. |
Тапсырмаларды орындайды Тапсырмаларды орындайды Тапсырмаларды орындайды |
Дескриптор ,
бағдаршам ,
ауызша мадақтау
|
|
||
|
Сабақты бекіту |
«Жетістік баспалдағы» ? Нұсқаулық:
|
Нұсқаулықты орындайды |
Кері байланыс жасайды |
Стикер |
||
Қысқа мерзімді сабақ жоспары №11
|
Білім беру ұйымының атауы |
|
|||||
|
Пәні: |
|
|||||
|
Бөлім: |
|
|||||
|
Педагогтің аты-жөні: |
|
|||||
|
Күні: |
|
|||||
|
Сыныбы: |
Қатысушылар саны |
Қатыспағандар саны |
||||
|
Тақырыбы |
Бақылау жұмысы №1 |
|||||
|
Сабақтың мақсаты |
–
Бір айнымалысы бар теңдеулер мен теңсіздіктерді
шешу; |
|||||
|
Құндылықтарды дарыту |
–
Алған білімін жинақтап қолдану; |
|||||
|
Сабақтың барысы |
||||||
|
Сабақтың жоспарланған кезеңдері |
Педагогтің әрекеті |
Оқушының әрекеті |
Бағалау |
Ресурс тар |
||
|
Ұйымдастыру кезеңі |
"Көңіл-күйіңді көрсет" (эмодзи әдісі)
Мақсаты: Оқушылардың көңіл-күйін
анықтау, сабаққа дайындық деңгейін
бақылау.
|
Нұсқаулықтарды орындайды |
Ауызша , мадақтау |
|
||
|
Жаңа сабақ |
Есептер
Есеп
1.
Шешуі:
Есеп
2.
Шешуі:
Есеп
3.
Шешуі:
Есеп 4
(теңсіздік):
Шешуі:
Есеп 5 (мәтіндік
есеп):
Шешуі: Жауабы: 14 жылдан соң. Бағалау критерийлері: –
Теңдеулерді дұрыс құру және
шығару; |
Тапсырмаларды орындайды Тапсырмаларды орындайды Тапсырмаларды орындайды |
Дескриптор ,
бағдаршам ,
ауызша мадақтау
|
|
||
|
Сабақты бекіту |
«Екі жұлдыз, бір тілек»
|
Нұсқаулықты орындайды |
Кері байланыс жасайды |
|
||
Қысқа мерзімді сабақ жоспары №12
|
Білім беру ұйымының атауы |
|
|||||
|
Пәні: |
|
|||||
|
Бөлім: |
|
|||||
|
Педагогтің аты-жөні: |
|
|||||
|
Күні: |
|
|||||
|
Сыныбы: |
Қатысушылар саны |
Қатыспағандар саны |
||||
|
Тақырыбы |
Қателермен жұмыс |
|||||
|
Сабақтың мақсаты |
–
Бақылау жұмысында жіберілген
қателерді талдау; |
|||||
|
Құндылықтарды дарыту |
–
Өз қатесін түсініп, оны түзетуге
дағдыландыру; |
|||||
|
Сабақтың барысы |
||||||
|
Сабақтың жоспарланған кезеңдері |
Педагогтің әрекеті |
Оқушының әрекеті |
Бағалау |
Ресурс тар |
||
|
Ұйымдастыру кезеңі |
"Құпия сыйлық" әдісі
Мақсаты: Оқушыларды ынталандыру,
олардың сабаққа деген қызығушылығын
ояту.
|
Нұсқаулықтарды орындайды |
Ауызша , мадақтау |
|
||
|
Жаңа сабақ |
Бақылау жұмысы кезінде қателіктер көбіне мына себептерден болады:
Қате – білімді толық меңгеру үшін табылған мүмкіндік. Тапсырмалар
Тапсырма
1.
Қате қай
жерде?
Тапсырма
2.
Тапсырма
3.
Тапсырма 4 (мәтіндік
есеп): Жаттығулар (қателерді түзету)
Дескриптор: Топтық жұмыс
Әр топқа қате шығарылған есеп
беріледі. Топ мүшелері қате қадамды талдап, дұрысын бірге
жазады. |
Тапсырмаларды орындайды Тапсырмаларды орындайды Тапсырмаларды орындайды |
Дескриптор ,
бағдаршам ,
ауызша мадақтау
|
|
||
|
Сабақты бекіту |
«Білемін – Білгім келеді – Үйрендім» (КБҮ) әдісі
|
Нұсқаулықты орындайды |
Кері байланыс жасайды |
Стикер |
||
Қысқа мерзімді сабақ жоспары №13
|
Білім беру ұйымының атауы |
|
|||||
|
Пәні: |
|
|||||
|
Бөлім: |
|
|||||
|
Педагогтің аты-жөні: |
|
|||||
|
Күні: |
|
|||||
|
Сыныбы: |
Қатысушылар саны |
Қатыспағандар саны |
||||
|
Тақырыбы |
Теңсіздік ұғымы |
|||||
|
Сабақтың мақсаты |
–
Теңсіздік ұғымымен және оның белгілерімен
таныстыру; |
|||||
|
Құндылықтарды дарыту |
–
Дәлдікке, ұқыптылыққа
тәрбиелеу; |
|||||
|
Сабақтың барысы |
||||||
|
Сабақтың жоспарланған кезеңдері |
Педагогтің әрекеті |
Оқушының әрекеті |
Бағалау |
Ресурс тар |
||
|
Ұйымдастыру кезеңі |
"Сиқырлы сөз" әдісі
Мақсаты: Сабақтың тақырыбына
қызығушылық тудыру, топтық жұмысқа
ынталандыру.
|
Нұсқаулықтарды орындайды |
Ауызша , мадақтау |
|
||
|
Жаңа сабақ |
Теңсіздік – екі санды немесе
өрнекті салыстыру үшін қолданылады.
Мысалдар: Есептер
Есеп
1.
Есеп
2.
Есеп
3. Дескриптор: теңсіздіктің мағынасын түсінеді, мысал келтіреді, шешімдерін табады. Тапсырма (өмірлік мысал)
Дескриптор: өмірлік жағдайды теңсіздікке айналдырады. Жаттығулар (ауызша салыстыру)
Дескриптор: сандарды салыстырады, дұрыс таңбаны қояды. Тест тапсырмасы
Қай теңсіздік дұрыс?
Шешуі:
–2>–5
дұрыс, себебі –2 үлкен. |
Тапсырмаларды орындайды Тапсырмаларды орындайды Тапсырмаларды орындайды |
Дескриптор ,
бағдаршам ,
ауызша мадақтау
|
|
||
|
Сабақты бекіту |
«Көңіл-күй смайликтері»
|
Нұсқаулықты орындайды |
Кері байланыс жасайды |
|
||
Қысқа мерзімді сабақ жоспары №14
|
Білім беру ұйымының атауы |
|
|||||
|
Пәні: |
|
|||||
|
Бөлім: |
|
|||||
|
Педагогтің аты-жөні: |
|
|||||
|
Күні: |
|
|||||
|
Сыныбы: |
Қатысушылар саны |
Қатыспағандар саны |
||||
|
Тақырыбы |
Бір қадамды теңсіздіктер |
|||||
|
Сабақтың мақсаты |
–
Бір айнымалысы бар теңсіздіктерді қосу және
азайту амалдары арқылы шешу; |
|||||
|
Құндылықтарды дарыту |
–
Дәлдік пен ұқыптылыққа тәрбиелеу; |
|||||
|
Сабақтың барысы |
||||||
|
Сабақтың жоспарланған кезеңдері |
Педагогтің әрекеті |
Оқушының әрекеті |
Бағалау |
Ресурс тар |
||
|
Ұйымдастыру кезеңі |
"Бір сөзбен" әдісі
Мақсаты: Оқушылардың сабаққа деген
эмоционалдық дайындығын
анықтау.
|
Нұсқаулықтарды орындайды |
Ауызша , мадақтау |
|
||
|
Жаңа сабақ |
Бір қадамды теңсіздіктерде белгісізді табу үшін бір ғана амал қолданылады: қосу немесе азайту.
Ереже:
Мысалдар: Есептер
Есеп
1.
Есеп
2.
Есеп
3. Дескриптор: теңсіздікті бір қадаммен шешеді, дұрыс белгіні сақтайды. Тапсырма (қысқа мәтіндік есеп) Дүкенде бір дәптердің бағасы 120 тг. Барлығы 600 тг ақшаға қанша дәптер алуға болады?
Шешуі: 120х≤600 → х≤5 Дескриптор: есепті теңсіздікке айналдырады, шешімін табады, өмірмен байланыстырады. Жаттығулар
Дескриптор: әр теңсіздікті қосу/азайту арқылы шешеді, шешім жиынын анықтайды. Тест тапсырмасы
Егер х–5≤9 болса, онда х
қандай мән қабылдайды?
Шешуі:
х≤14 Дескриптор: теңсіздікті қосу/азайту ережесімен шешіп, дұрыс жауапты таңдайды. |
Тапсырмаларды орындайды Тапсырмаларды орындайды Тапсырмаларды орындайды |
Дескриптор ,
бағдаршам ,
ауызша мадақтау
|
|
||
|
Сабақты бекіту |
«Бес саусақ» әдісі ? Нұсқаулық:
|
Нұсқаулықты орындайды |
Кері байланыс жасайды |
|
||
Қысқа мерзімді сабақ жоспары №15
|
Білім беру ұйымының атауы |
|
|||||
|
Пәні: |
|
|||||
|
Бөлім: |
|
|||||
|
Педагогтің аты-жөні: |
|
|||||
|
Күні: |
|
|||||
|
Сыныбы: |
Қатысушылар саны |
Қатыспағандар саны |
||||
|
Тақырыбы |
Күрделі теңсіздіктер |
|||||
|
Сабақтың мақсаты |
–
Бір айнымалысы бар теңсіздіктерді көбейту және
бөлу тәсілдерімен шешу; |
|||||
|
Құндылықтарды дарыту |
–
Математикалық заңдылықтарды дұрыс қолдануға
үйрету; |
|||||
|
Сабақтың барысы |
||||||
|
Сабақтың жоспарланған кезеңдері |
Педагогтің әрекеті |
Оқушының әрекеті |
Бағалау |
Ресурс тар |
||
|
Ұйымдастыру кезеңі |
"Сиқырлы қорап" әдісі
Мақсаты: Оқушылардың қызығушылығын
арттыру, олардың сабаққа деген ынтасын
ояту.
|
Нұсқаулықтарды орындайды |
Ауызша , мадақтау |
|
||
|
Жаңа сабақ |
Мысалдар: Есептер
Есеп
1.
Есеп
2.
Есеп
3. Дескриптор: көбейту/бөлу ережесін дұрыс қолданады, теңсіздікті шешеді. Тапсырма (мәтіндік есеп) Оқушы әрқайсысы 200 теңгеден қалам сатып алды. Барлығының бағасы 1200 теңгеден аспады. Оқушы қанша қалам ала алады?
Шешуі: 200х≤1200 → х≤6 Дескриптор: мәтіндік есепті теңсіздікке айналдырады, шешімін табады. Жаттығулар (амалдарды қолдану)
Дескриптор: әр теңсіздікті көбейту/бөлу арқылы түрлендіреді, шешім жиынын дұрыс табады. Тест тапсырмасы
Егер –2х≤8 болса, онда х
қандай мән қабылдайды?
Шешуі:
–2х≤8 →
х≥–4 Дескриптор: теңсіздікті теріс санға бөлгенде бағытын өзгертеді, дұрыс шешімін табады. |
Тапсырмаларды орындайды Тапсырмаларды орындайды Тапсырмаларды орындайды |
Дескриптор ,
бағдаршам ,
ауызша мадақтау
|
|
||
|
Сабақты бекіту |
«Екі жұлдыз, бір тілек»
|
Нұсқаулықты орындайды |
Кері байланыс жасайды |
|
||
|
Білім беру ұйымының атауы |
|
|||||
|
Пәні: |
|
|||||
|
Бөлім: |
|
|||||
|
Педагогтің аты-жөні: |
|
|||||
|
Күні: |
|
|||||
|
Сыныбы: |
Қатысушылар саны |
Қатыспағандар саны |
||||
|
Тақырыбы |
Теңсіздіктің шешім жиыны |
|||||
|
Сабақтың мақсаты |
–
Бір айнымалысы бар теңсіздіктің шешім жиынын
анықтау; |
|||||
|
Құндылықтарды дарыту |
–
Дәлдік пен ұқыптылыққа тәрбиелеу; |
|||||
|
Сабақтың барысы |
||||||
|
Сабақтың жоспарланған кезеңдері |
Педагогтің әрекеті |
Оқушының әрекеті |
Бағалау |
Ресурс тар |
||
|
Ұйымдастыру кезеңі |
"Жылы сөздер шеңбері" Мақсаты: Оқушылардың көңіл-күйін көтеру, достық қарым-қатынасты қалыптастыру.
|
Нұсқаулықтарды орындайды |
Ауызша , мадақтау |
|
||
|
Жаңа сабақ |
Теңсіздіктің шешім жиыны –
теңсіздікті дұрыс ететін барлық мәндер жиыны.
Мысалдар: Есептер
Есеп
1.
Есеп
2.
Есеп
3. Дескриптор: теңсіздікті шешеді, шешім жиынын сан осінде дұрыс кескіндейді. Тапсырма (координаталық осьте белгілеу) Мектептен кітапханаға дейінгі жол ұзындығы 500 м-ден кем, бірақ 300 м-ден артық. Бұл жағдайды теңсіздік түрінде жазып, сан осінде көрсетіңдер.
Шешуі: 300<х<500 Дескриптор: мәтінді теңсіздікке айналдырады, шешім жиынын сан осінде көрсетеді. Жаттығулар (бірнеше теңсіздікпен жұмыс)
Дескриптор: әр теңсіздікті сан осінде кескіндейді, шешім жиынын сипаттайды. Тест тапсырмасы
Егер –1<х≤2 болса, шешім
жиынына қай сандар кіреді?
Шешуі:
–1-ден
үлкен, 2-ге тең немесе кіші → 0, 1, 2. Дескриптор: теңсіздікті талдайды, шешім жиынын табады, дұрыс жауапты таңдайды. |
Тапсырмаларды орындайды Тапсырмаларды орындайды Тапсырмаларды орындайды |
Дескриптор ,
бағдаршам ,
ауызша мадақтау
|
|
||
|
Сабақты бекіту |
«Бес саусақ» әдісі ? Нұсқаулық:
|
Нұсқаулықты орындайды |
Кері байланыс жасайды |
|
||
Қысқа мерзімді сабақ жоспары №17
|
Білім беру ұйымының атауы |
|
|||||
|
Пәні: |
|
|||||
|
Бөлім: |
|
|||||
|
Педагогтің аты-жөні: |
|
|||||
|
Күні: |
|
|||||
|
Сыныбы: |
Қатысушылар саны |
Қатыспағандар саны |
||||
|
Тақырыбы |
Мәтіндік теңсіздіктер |
|||||
|
Сабақтың мақсаты |
–
Мәтіндік есептерден теңсіздік құра білу; |
|||||
|
Құндылықтарды дарыту |
–
Математиканы өмірмен
байланыстыруға үйрету; |
|||||
|
Сабақтың барысы |
||||||
|
Сабақтың жоспарланған кезеңдері |
Педагогтің әрекеті |
Оқушының әрекеті |
Бағалау |
Ресурс тар |
||
|
Ұйымдастыру кезеңі |
"Комплимент көпірі" әдісі
Мақсаты: Оқушылар арасында достық
қарым-қатынас орнату, сенімділік
қалыптастыру.
|
Нұсқаулықтарды орындайды |
Ауызша , мадақтау |
|
||
|
Жаңа сабақ |
Мәтіндік теңсіздік – өмірлік
жағдайды теңсіздік түрінде жазу.
Мысал: Есептер
Есеп 1 (жасқа
байланысты):
Есеп 2 (ақшаға
байланысты):
Есеп 3 (уақытқа
байланысты): Дескриптор: мәтіннен айнымалыны табады, теңсіздікті дұрыс құрады. Тапсырма
Мәтін:
«Кітаптың
бағасы 500 тг-ден кем емес. Қанша теңге болуы мүмкін?» Дескриптор: мәтіннен теңсіздік құрады, өмірлік мағынасын түсіндіреді. Жаттығулар (шағын мәтіндер)
Дескриптор: әр мәтінді талдайды, теңсіздікке айналдырады. Тест тапсырмасы
Мәтінді теңсіздікке
айналдыр:
Шешуі:
х>1500. Дескриптор: мәтіндегі «артық» сөзін дұрыс теңсіздік белгісімен жазады. |
Тапсырмаларды орындайды Тапсырмаларды орындайды Тапсырмаларды орындайды |
Дескриптор ,
бағдаршам ,
ауызша мадақтау
|
|
||
|
Сабақты бекіту |
«Не ұнады? Не қиын болды? Не үйрендім?» ? Нұсқаулық:
|
Нұсқаулықты орындайды |
Кері байланыс жасайды |
|
||
Қысқа мерзімді сабақ жоспары №18
|
Білім беру ұйымының атауы |
|
|||||
|
Пәні: |
|
|||||
|
Бөлім: |
|
|||||
|
Педагогтің аты-жөні: |
|
|||||
|
Күні: |
|
|||||
|
Сыныбы: |
Қатысушылар саны |
Қатыспағандар саны |
||||
|
Тақырыбы |
Қорытындылау |
|||||
|
Сабақтың мақсаты |
–
Әртүрлі теңсіздіктерді шешу; |
|||||
|
Құндылықтарды дарыту |
–
Алған білімді жүйелеу арқылы жауапкершілікке
тәрбиелеу; |
|||||
|
Сабақтың барысы |
||||||
|
Сабақтың жоспарланған кезеңдері |
Педагогтің әрекеті |
Оқушының әрекеті |
Бағалау |
Ресурс тар |
||
|
Ұйымдастыру кезеңі |
"Музыкалық серпін" әдісі
Мақсаты: Оқушылардың сергектігін
арттыру, сабаққа дайындығын тексеру.
|
Нұсқаулықтарды орындайды |
Ауызша , мадақтау |
|
||
|
Жаңа сабақ |
Бұған дейін теңсіздіктерді
шешудің негізгі әдістерін үйрендік: Есептер
Есеп
1.
Есеп
2.
Есеп
3.
Есеп 4 (құрама
теңсіздік): Жаттығулар (шешім жиыны)
Дескриптор: Тест тапсырмасы
Теңсіздікті шеш: 4х–5>7
Шешуі:
4х–5>7
→ 4х>12 → х>3 Дескриптор: теңсіздікті дұрыс шығарады, шешім жиынын табады, дұрыс нұсқаны таңдайды. |
Тапсырмаларды орындайды Тапсырмаларды орындайды Тапсырмаларды орындайды |
Дескриптор ,
бағдаршам ,
ауызша мадақтау
|
|
||
|
Сабақты бекіту |
«Табыс сатысы»
|
Нұсқаулықты орындайды |
Кері байланыс жасайды |
|
||
Қысқа мерзімді сабақ жоспары №19
|
Білім беру ұйымының атауы |
|
|||||
|
Пәні: |
|
|||||
|
Бөлім: |
|
|||||
|
Педагогтің аты-жөні: |
|
|||||
|
Күні: |
|
|||||
|
Сыныбы: |
Қатысушылар саны |
Қатыспағандар саны |
||||
|
Тақырыбы |
Бақылау жұмысы №2 |
|||||
|
Сабақтың мақсаты |
–
Бір айнымалысы бар
теңсіздіктерді шешу; |
|||||
|
Құндылықтарды дарыту |
–
Жауапкершілікке, адалдыққа
тәрбиелеу; |
|||||
|
Сабақтың барысы |
||||||
|
Сабақтың жоспарланған кезеңдері |
Педагогтің әрекеті |
Оқушының әрекеті |
Бағалау |
Ресурс тар |
||
|
Ұйымдастыру кезеңі |
"Бүгінгі мақсатымды білдіремін" әдісі
Мақсаты: Оқушылардың өз оқу мақсаттарын
түсінуіне көмектесу.
|
Нұсқаулықтарды орындайды |
Ауызша , мадақтау |
|
||
|
Жаңа сабақ |
Есептер
Есеп
1.
Шешуі: Жауабы: х≤9
Есеп
2.
Шешуі: Жауабы: х>4
Есеп
3.
Шешуі: Жауабы: х≤4
Есеп 4 (құрама
теңсіздік):
Шешуі: Жауабы: –3<х ≤11
Есеп 5 (мәтіндік
есеп):
Шешуі: Жауабы: Әлия ең көбі 10 км жүре алады. Бағалау критерийлері:
Жалпы: 10 балл. |
Тапсырмаларды орындайды Тапсырмаларды орындайды Тапсырмаларды орындайды |
Дескриптор ,
бағдаршам ,
ауызша мадақтау
|
|
||
|
Сабақты бекіту |
«Кері байланыс парағы»
|
Нұсқаулықты орындайды |
Кері байланыс жасайды |
Парақтар |
||
Қысқа мерзімді сабақ жоспары №20
|
Білім беру ұйымының атауы |
|
|||||
|
Пәні: |
|
|||||
|
Бөлім: |
|
|||||
|
Педагогтің аты-жөні: |
|
|||||
|
Күні: |
|
|||||
|
Сыныбы: |
Қатысушылар саны |
Қатыспағандар саны |
||||
|
Тақырыбы |
Қателерді талдау |
|||||
|
Сабақтың мақсаты |
–
Теңсіздіктерді шешу барысында
кездескен қателерді анықтау; |
|||||
|
Құндылықтарды дарыту |
–
Өз қатесін түсініп, оны түзетуге
дағдыландыру; |
|||||
|
Сабақтың барысы |
||||||
|
Сабақтың жоспарланған кезеңдері |
Педагогтің әрекеті |
Оқушының әрекеті |
Бағалау |
Ресурс тар |
||
|
Ұйымдастыру кезеңі |
"Сен білесің бе?" әдісі
Мақсаты: Сабақ тақырыбына қызығушылық
тудыру, оқушыларды диалогқа
тарту.
|
Нұсқаулықтарды орындайды |
Ауызша , мадақтау |
|
||
|
Жаңа сабақ |
Оқушылар көбіне мынадай қателер жібереді:
Жаттығулар (қателерді түзету)
1-жаттығу.
Қате:
теңсіздіктің бағыты өзгермейді.
2-жаттығу.
Қате:
теріс
санға бөлгенде теңсіздіктің бағыты өзгеруі керек.
3-жаттығу.
Қате:
бөліп
тұрған 2-ні ескермеген.
4-жаттығу (мәтіндік
теңсіздік).
Қате:
«артық
емес» деген – «≤» белгісі. Топтық тапсырма
Әр топқа қате шығарылған
теңсіздік беріледі. Дескриптор: –
Қате шешімдегі қадамды
табады; |
Тапсырмаларды орындайды Тапсырмаларды орындайды Тапсырмаларды орындайды |
Дескриптор ,
бағдаршам ,
ауызша мадақтау
|
|
||
|
Сабақты бекіту |
«Бағдаршам» әдісі
|
Нұсқаулықты орындайды |
Кері байланыс жасайды |
|
||
Қысқа мерзімді сабақ жоспары №21
|
Білім беру ұйымының атауы |
|
|||||||||||||||
|
Пәні: |
|
|||||||||||||||
|
Бөлім: |
|
|||||||||||||||
|
Педагогтің аты-жөні: |
|
|||||||||||||||
|
Күні: |
|
|||||||||||||||
|
Сыныбы: |
Қатысушылар саны |
Қатыспағандар саны |
||||||||||||||
|
Тақырыбы |
Екі айнымалысы бар сызықтық теңдеу |
|||||||||||||||
|
Сабақтың мақсаты |
–
Екі айнымалысы бар сызықтық теңдеудің анықтамасын
түсіну; |
|||||||||||||||
|
Құндылықтарды дарыту |
–
Математикалық ойлау мен талдау қабілетін
дамыту; |
|||||||||||||||
|
Сабақтың барысы |
||||||||||||||||
|
Сабақтың жоспарланған кезеңдері |
Педагогтің әрекеті |
Оқушының әрекеті |
Бағалау |
Ресурс тар |
||||||||||||
|
Ұйымдастыру кезеңі |
"Көңіл-күйіңді көрсет" (эмодзи әдісі)
Мақсаты: Оқушылардың көңіл-күйін
анықтау, сабаққа дайындық деңгейін
бақылау.
|
Нұсқаулықтарды орындайды |
Ауызша , мадақтау |
|
||||||||||||
|
Жаңа сабақ |
Екі айнымалысы бар сызықтық
теңдеу – құрамында екі айнымалы
болатын және айнымалылардың дәрежесі 1-ден аспайтын теңдеу.
Мысал:
Есептер
Есеп
1.
Жауабы: (0;2), (3;0), (–3;4) – теңдеудің шешімдері. Тапсырма (кесте толтыру) 2х+3у=6 теңдеуін кесте арқылы шешімдерін табу:
Дескриптор: х-қа мән береді, теңдеу арқылы у-ды табады, кестені дұрыс толтырады. Жаттығулар
Шешімдері: (0;5), (2;3), (4;1).
Шешімдері: (0;–9), (3;0), (6;9). Тест тапсырмасы Екі айнымалысы бар сызықтық
теңдеу берілген: 2х+у=4. A) 2 Шешуі:
2·1+у=4 →
у=2. |
Тапсырмаларды орындайды Тапсырмаларды орындайды Тапсырмаларды орындайды |
Дескриптор ,
бағдаршам ,
ауызша мадақтау
|
|
||||||||||||
|
Сабақты бекіту |
«Екі жұлдыз, бір тілек»
|
Нұсқаулықты орындайды |
Кері байланыс жасайды |
|
||||||||||||
Қысқа мерзімді сабақ жоспары №22
|
Білім беру ұйымының атауы |
|
|||||||||||||||||||||||||||||||||||||||||||||
|
Пәні: |
|
|||||||||||||||||||||||||||||||||||||||||||||
|
Бөлім: |
|
|||||||||||||||||||||||||||||||||||||||||||||
|
Педагогтің аты-жөні: |
|
|||||||||||||||||||||||||||||||||||||||||||||
|
Күні: |
|
|||||||||||||||||||||||||||||||||||||||||||||
|
Сыныбы: |
Қатысушылар саны |
Қатыспағандар саны |
||||||||||||||||||||||||||||||||||||||||||||
|
Тақырыбы |
Екі айнымалысы бар сызықтық теңдеудің графигі |
|||||||||||||||||||||||||||||||||||||||||||||
|
Сабақтың мақсаты |
–
Екі айнымалысы бар сызықтық теңдеудің графигін
салуды үйрену; |
|||||||||||||||||||||||||||||||||||||||||||||
|
Құндылықтарды дарыту |
–
Дәлдікке, ұқыптылыққа тәрбиелеу; |
|||||||||||||||||||||||||||||||||||||||||||||
|
Сабақтың барысы |
||||||||||||||||||||||||||||||||||||||||||||||
|
Сабақтың жоспарланған кезеңдері |
Педагогтің әрекеті |
Оқушының әрекеті |
Бағалау |
Ресурс тар |
||||||||||||||||||||||||||||||||||||||||||
|
Ұйымдастыру кезеңі |
"Құпия сыйлық" әдісі
Мақсаты: Оқушыларды ынталандыру,
олардың сабаққа деген қызығушылығын
ояту.
|
Нұсқаулықтарды орындайды |
Ауызша , мадақтау |
|
||||||||||||||||||||||||||||||||||||||||||
|
Жаңа сабақ |
Екі айнымалысы бар сызықтық
теңдеудің графигі – түзу сызық.
Есептер
Есеп
1. Кесте құраймыз:
Нүктелер: (0;5), (5;0),
(2;3). Есеп
2. Кесте құраймыз:
Нүктелер: (0;1), (1;3),
(–1;–1). Жаттығулар
Нүктелер: (0;–2), (1;1), (2;4).
Кесте:
Нүктелер: (0;–4), (2;0), (3;2). Дескриптор: Тапсырма (қысқа мәтіндік) Оқушы дәптердің бағасы х теңге, қаламның бағасы у теңге деп белгіледі. «Дәптер мен қаламға 500 теңге жұмсалды» деген шартты теңдеумен өрнектеңдер және оның графигін салыңдар. Шешуі: х+у=500.
Нүктелер арқылы түзу жүргізіледі. Тест тапсырмасы Қай теңдеудің графигі түзу
сызық болып табылады? Жауабы: A) у=2х+3 |
Тапсырмаларды орындайды Тапсырмаларды орындайды Тапсырмаларды орындайды |
Дескриптор ,
бағдаршам ,
ауызша мадақтау
|
|
||||||||||||||||||||||||||||||||||||||||||
|
Сабақты бекіту |
«Білемін – Білгім келеді – Үйрендім» (КБҮ) әдісі
|
Нұсқаулықты орындайды |
Кері байланыс жасайды |
Стикер |
||||||||||||||||||||||||||||||||||||||||||
Қысқа мерзімді сабақ жоспары №23
|
Білім беру ұйымының атауы |
|
|||||
|
Пәні: |
|
|||||
|
Бөлім: |
|
|||||
|
Педагогтің аты-жөні: |
|
|||||
|
Күні: |
|
|||||
|
Сыныбы: |
Қатысушылар саны |
Қатыспағандар саны |
||||
|
Тақырыбы |
Сызықтық теңдеулер жүйесі |
|||||
|
Сабақтың мақсаты |
–
Сызықтық теңдеулер жүйесі
ұғымын түсіну; |
|||||
|
Құндылықтарды дарыту |
–
Логикалық ойлауды дамыту, дәлдікке тәрбиелеу; |
|||||
|
Сабақтың барысы |
||||||
|
Сабақтың жоспарланған кезеңдері |
Педагогтің әрекеті |
Оқушының әрекеті |
Бағалау |
Ресурс тар |
||
|
Ұйымдастыру кезеңі |
"Сиқырлы сөз" әдісі
Мақсаты: Сабақтың тақырыбына
қызығушылық тудыру, топтық жұмысқа
ынталандыру.
|
Нұсқаулықтарды орындайды |
Ауызша , мадақтау |
|
||
|
Жаңа сабақ |
Сызықтық теңдеулер
жүйесі – екі немесе одан да көп
сызықтық теңдеулердің жиынтығы. Жүйенің шешімі – екі теңдеуді де қанағаттандыратын (х;у) реттелген сан жұбы. Жүйені шешудің негізгі тәсілдері:
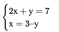
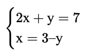
Есептер
Есеп
1.
Алмастыру әдісімен
шешу: Жауабы: (2;1).
Есеп
2.
Қосу әдісімен: Жауабы: (5;2). Жаттығулар (жүйе құру)
Дескриптор: мәтінді талдайды, айнымалы енгізеді, жүйені дұрыс құрады. Тапсырма (топтық жұмыс)
Жүйені шешіңдер:
Шешуі: Жауабы: (3,2;1,2). Тест тапсырмасы
Жүйенің шешімін табыңдар:
A) (3;2)
Шешуі:
екінші
теңдеуден: х=5–у. Жауабы: A) (3;2). |
Тапсырмаларды орындайды Тапсырмаларды орындайды Тапсырмаларды орындайды |
Дескриптор ,
бағдаршам ,
ауызша мадақтау
|
|
||
|
Сабақты бекіту |
«Екі жұлдыз, бір тілек»
|
Нұсқаулықты орындайды |
Кері байланыс жасайды |
|
||
Қысқа мерзімді сабақ жоспары №24
|
Білім беру ұйымының атауы |
|
||||||||||||||||||||||
|
Пәні: |
|
||||||||||||||||||||||
|
Бөлім: |
|
||||||||||||||||||||||
|
Педагогтің аты-жөні: |
|
||||||||||||||||||||||
|
Күні: |
|
||||||||||||||||||||||
|
Сыныбы: |
Қатысушылар саны |
Қатыспағандар саны |
|||||||||||||||||||||
|
Тақырыбы |
Жүйені графиктік тәсілмен шешу |
||||||||||||||||||||||
|
Сабақтың мақсаты |
–
Сызықтық теңдеулер
жүйесін графиктік тәсілмен шешу; |
||||||||||||||||||||||
|
Құндылықтарды дарыту |
–
Логикалық ойлау және
көрнекілік арқылы талдау қабілетін дамыту; |
||||||||||||||||||||||
|
Сабақтың барысы |
|||||||||||||||||||||||
|
Сабақтың жоспарланған кезеңдері |
Педагогтің әрекеті |
Оқушының әрекеті |
Бағалау |
Ресурс тар |
|
||||||||||||||||||
|
Ұйымдастыру кезеңі |
"Бір сөзбен" әдісі
Мақсаты: Оқушылардың сабаққа деген
эмоционалдық дайындығын
анықтау.
|
Нұсқаулықтарды орындайды |
Ауызша , мадақтау |
|
|
||||||||||||||||||
|
Жаңа сабақ |
Сызықтық теңдеулер жүйесін графиктік тәсілмен шешу үшін:
Есеп
Жүйені шешіңдер:
1-қадам:
Әр
теңдеуді у түрінде жазамыз: 2-қадам: Кесте құрамыз. у=4–х теңдеуі үшін:
у=х–2 теңдеуі үшін:
3-қадам: График сызамыз: екі түзу координаталық жазықтықта қиылысады. 4-қадам:
Қиылысу
нүктесін табамыз. Жауабы: (3;1). Жаттығулар
Бірінші теңдеу: у=6–2х. Графиктердің қиылысу нүктесі:
х=2, у=2.
Бірінші теңдеу: у=
(8–х)/2. Қиылысу нүктесін табайық:
(8–х)/2 = 2х–1 → 8–х=4х–2 → 5х=10 → х=2 → у=3. Тапсырма (қысқа мәтіндік) «Екі билет бағасы қосындысы
1500 теңге, біріншісінің бағасы екіншісінен 300 теңгеге
қымбат». Графиктік тәсілмен қиылысу
нүктесін табыңдар. Тест тапсырмасы Жүйенің шешімін табыңдар: A) (2;3) Шешуі:
2х–1=–х+5
→ 3х=6 → х=2 → у=3. |
Тапсырмаларды орындайды Тапсырмаларды орындайды Тапсырмаларды орындайды |
Дескриптор ,
бағдаршам ,
ауызша мадақтау
|
|
|
||||||||||||||||||
|
Сабақты бекіту |
«Жетістік баспалдағы» ? Нұсқаулық:
|
Нұсқаулықты орындайды |
Кері байланыс жасайды |
Стикер |
|
||||||||||||||||||
Қысқа мерзімді сабақ жоспары №25
|
Білім беру ұйымының атауы |
|
|||||
|
Пәні: |
|
|||||
|
Бөлім: |
|
|||||
|
Педагогтің аты-жөні: |
|
|||||
|
Күні: |
|
|||||
|
Сыныбы: |
Қатысушылар саны |
Қатыспағандар саны |
||||
|
Тақырыбы |
Жүйені алмастыру тәсілімен шешу |
|||||
|
Сабақтың мақсаты |
–
Екі айнымалысы бар сызықтық теңдеулер жүйесін
алмастыру тәсілімен шешу; |
|||||
|
Құндылықтарды дарыту |
–
Математикалық ойлау қабілетін дамыту, талдау
дағдысын қалыптастыру; |
|||||
|
Сабақтың барысы |
||||||
|
Сабақтың жоспарланған кезеңдері |
Педагогтің әрекеті |
Оқушының әрекеті |
Бағалау |
Ресурс тар |
||
|
Ұйымдастыру кезеңі |
"Сиқырлы қорап" әдісі
Мақсаты: Оқушылардың қызығушылығын
арттыру, олардың сабаққа деген ынтасын
ояту.
|
Нұсқаулықтарды орындайды |
Ауызша , мадақтау |
|
||
|
Жаңа сабақ |
Алмастыру тәсілі:
Есеп Жүйені шешіңдер: 1-қадам: Екінші теңдеуде х дайын тұр: х=3–у. 2-қадам:
Оны бірінші теңдеуге қоямыз: 3-қадам: х=3–(–1)=3+1=4. Жауабы: (4;–1). Жаттығулар (алмастыру әдісі) 1-жаттығу. Шешуі: х=2у → орнына қойсақ:
2у+у=5 → 3у=5 → у=5/3. 2-жаттығу. Шешуі: 3х–(х+1)=7 → 3х–х–1=7 →
2х=8 → х=4. 3-жаттығу
(мәтіндік). Шешуі: (у+4)+у=12 → 2у+4=12 →
2у=8 → у=4. Тест тапсырмасы Жүйені шешіңдер: A) (4;6) Шешуі:
2х+(х+2)=10 → 3х+2=10 → 3х=8 → х=8/3. |
Тапсырмаларды орындайды Тапсырмаларды орындайды Тапсырмаларды орындайды |
Дескриптор ,
бағдаршам ,
ауызша мадақтау
|
|
||
|
Сабақты бекіту |
«Табыс сатысы»
|
Нұсқаулықты орындайды |
Кері байланыс жасайды |
|
||
Қысқа мерзімді сабақ жоспары №26
|
Білім беру ұйымының атауы |
|
|||||
|
Пәні: |
|
|||||
|
Бөлім: |
|
|||||
|
Педагогтің аты-жөні: |
|
|||||
|
Күні: |
|
|||||
|
Сыныбы: |
Қатысушылар саны |
Қатыспағандар саны |
||||
|
Тақырыбы |
Жүйені қосу-азайту тәсілімен шешу |
|||||
|
Сабақтың мақсаты |
–
Сызықтық теңдеулер жүйесін қосу-азайту тәсілімен
шешу; |
|||||
|
Құндылықтарды дарыту |
–
Дәлдік пен ұқыптылыққа тәрбиелеу; |
|||||
|
Сабақтың барысы |
||||||
|
Сабақтың жоспарланған кезеңдері |
Педагогтің әрекеті |
Оқушының әрекеті |
Бағалау |
Ресурс тар |
||
|
Ұйымдастыру кезеңі |
"Жылы сөздер шеңбері"
Мақсаты: Оқушылардың көңіл-күйін
көтеру, достық қарым-қатынасты
қалыптастыру.
|
Нұсқаулықтарды орындайды |
Ауызша , мадақтау |
|
||
|
Жаңа сабақ |
Қосу-азайту (жою) тәсілі:
Есеп
Жүйені шешіңдер:
1-қадам:
Теңдеулерді қосайық:
2-қадам:
х=3,6
мәнін бірінші теңдеуге қоямыз: Жауабы: (3,6; 1,6). Жаттығулар (қосу-азайту әдісі)
1-жаттығу.
Қосайық: (х+у)+(х–у)=10+2 →
2х=12 → х=6.
2-жаттығу.
Азайтамыз:
(4х+2у)–(4х–3у)=14–(–1)
3-жаттығу
(мәтіндік).
Қосамыз: 2х=60 → х=30. Тест тапсырмасы
Жүйені шешіңдер:
A) (3;5)
Шешуі:
теңдеулерді қосамыз: (2х+у)+(3х–у)=11+7 → 5х=18 →
х=18/5=3,6. Бұл мәндер нұсқалардың ешқайсысына тура келмейді → дұрыс жауап (3,6; 3,8). Дескриптор: –
Қосу/азайту әдісін
қолданады; |
Тапсырмаларды орындайды Тапсырмаларды орындайды Тапсырмаларды орындайды |
Дескриптор ,
бағдаршам ,
ауызша мадақтау
|
|
||
|
Сабақты бекіту |
«Бес саусақ» әдісі ? Нұсқаулық:
|
Нұсқаулықты орындайды |
Кері байланыс жасайды |
|
||
Қысқа мерзімді сабақ жоспары №27
|
Білім беру ұйымының атауы |
|
|||||
|
Пәні: |
|
|||||
|
Бөлім: |
|
|||||
|
Педагогтің аты-жөні: |
|
|||||
|
Күні: |
|
|||||
|
Сыныбы: |
Қатысушылар саны |
Қатыспағандар саны |
||||
|
Тақырыбы |
Практикалық есептер |
|||||
|
Сабақтың мақсаты |
–
Мәтіндік есептерді сызықтық
теңдеулер жүйесі арқылы шығару; |
|||||
|
Құндылықтарды дарыту |
–
Математиканы өмірлік жағдайларда қолдануға
үйрету; |
|||||
|
Сабақтың барысы |
||||||
|
Сабақтың жоспарланған кезеңдері |
Педагогтің әрекеті |
Оқушының әрекеті |
Бағалау |
Ресурс тар |
||
|
Ұйымдастыру кезеңі |
"Комплимент көпірі" әдісі
Мақсаты: Оқушылар арасында достық
қарым-қатынас орнату, сенімділік
қалыптастыру.
|
Нұсқаулықтарды орындайды |
Ауызша , мадақтау |
|
||
|
Жаңа сабақ |
Мәтіндік есепті жүйемен шығару қадамдары:
Мәтіндік есептер
Есеп 1
(сауда).
Жүйе:
Қосу-азайту әдісімен
шешу:
Азайтамыз: 5у=800 →
у=160. Жауабы: дәптер – 210 тг, қалам – 160 тг.
Есеп 2
(жол).
Жүйе:
Шешуі: х+(х+30)=150
→ 2х+30=150 → 2х=120 → х=60. Жауабы: автобус – 60 км/сағ, пойыз – 90 км/сағ.
Есеп 3
(жас).
Жүйе:
Шешуі: (у+28)+у=50 →
2у+28=50 → 2у=22 → у=11. Жауабы: әкесі – 39 жаста, баласы – 11 жаста. Жаттығулар
Дескриптор: Тест тапсырмасы «Екі санның қосындысы 70, біріншісі екіншісінен 10-ға артық. Қандай жүйе құрылады?»
A) { х+у=70; х–у=10
}
Шешімі: «біріншісі екіншісінен 10-ға
артық» → х=у+10. |
Тапсырмаларды орындайды Тапсырмаларды орындайды Тапсырмаларды орындайды |
Дескриптор ,
бағдаршам ,
ауызша мадақтау
|
|
||
|
Сабақты бекіту |
«Екі жұлдыз, бір тілек»
|
Нұсқаулықты орындайды |
Кері байланыс жасайды |
|
||
Қысқа мерзімді сабақ жоспары №28
|
Білім беру ұйымының атауы |
|
|||||
|
Пәні: |
|
|||||
|
Бөлім: |
|
|||||
|
Педагогтің аты-жөні: |
|
|||||
|
Күні: |
|
|||||
|
Сыныбы: |
Қатысушылар саны |
Қатыспағандар саны |
||||
|
Тақырыбы |
Қорытындылау |
|||||
|
Сабақтың мақсаты |
–
Сызықтық теңдеулер жүйесін шешудің барлық
тәсілдерін (алмастыру, қосу-азайту, графиктік) қайталау; |
|||||
|
Құндылықтарды дарыту |
–
Оқушы бойында алған білімін саралап, жүйелеу
дағдысын қалыптастыру; |
|||||
|
Сабақтың барысы |
||||||
|
Сабақтың жоспарланған кезеңдері |
Педагогтің әрекеті |
Оқушының әрекеті |
Бағалау |
Ресурс тар |
||
|
Ұйымдастыру кезеңі |
"Музыкалық серпін" әдісі
Мақсаты: Оқушылардың сергектігін
арттыру, сабаққа дайындығын
тексеру.
|
Нұсқаулықтарды орындайды |
Ауызша , мадақтау |
|
||
|
Жаңа сабақ |
Сызықтық теңдеулер жүйесін шешудің негізгі 3 тәсілі бар:
Барлық тәсілдерде шешім – жүйенің екі теңдеуін де қанағаттандыратын (х;у) сан жұбы. Есептер
Есеп 1 (алмастыру
әдісі).
Шешуі: 2у+у=8 → 3у=8 →
у=8/3.
Есеп 2 (қосу-азайту
әдісі).
Теңдеулерді қосайық: 5х=18 →
х=18/5=3,6.
Есеп 3 (графиктік
әдіс).
Бірінші теңдеу: у=5–х. Жаттығулар
Дескриптор: Тапсырма (мәтіндік есеп) «Екі оқушы бірге 54 есеп шығарды. Біріншісі екіншісінен 6 есеп артық орындаған».
Жүйе:
Шешуі: (у+6)+у=54 → 2у+6=54 →
2у=48 → у=24. Жауабы: бірінші оқушы – 30 есеп, екінші оқушы – 24 есеп шығарған. Тест тапсырмасы
Жүйені шешіңдер:
A) (2;3)
Шешуі:
екінші
теңдеуден: х=у+1. |
Тапсырмаларды орындайды Тапсырмаларды орындайды Тапсырмаларды орындайды |
Дескриптор ,
бағдаршам ,
ауызша мадақтау
|
|
||
|
Сабақты бекіту |
«Бес саусақ» әдісі ? Нұсқаулық:
|
Нұсқаулықты орындайды |
Кері байланыс жасайды |
|
||
|
Білім беру ұйымының атауы |
|
|||||
|
Пәні: |
|
|||||
|
Бөлім: |
|
|||||
|
Педагогтің аты-жөні: |
|
|||||
|
Күні: |
|
|||||
|
Сыныбы: |
Қатысушылар саны |
Қатыспағандар саны |
||||
|
Тақырыбы |
Бақылау жұмысы №3 |
|||||
|
Сабақтың мақсаты |
–
Сызықтық теңдеулер жүйесін шешудің әртүрлі
әдістерін қолдану (графиктік, алмастыру, қосу-азайту); |
|||||
|
Құндылықтарды дарыту |
–
Алған білімін жүйелі қолдану, өзін-өзі бағалау
дағдысын қалыптастыру; |
|||||
|
Сабақтың барысы |
||||||
|
Сабақтың жоспарланған кезеңдері |
Педагогтің әрекеті |
Оқушының әрекеті |
Бағалау |
Ресурс тар |
||
|
Ұйымдастыру кезеңі |
"Бүгінгі мақсатымды білдіремін" әдісі
Мақсаты: Оқушылардың өз оқу мақсаттарын
түсінуіне көмектесу.
|
Нұсқаулықтарды орындайды |
Ауызша , мадақтау |
|
||
|
Жаңа сабақ |
Есептер
Есеп 1 (графиктік
әдіс).
Шешуі: Есеп 2 (алмастыру әдісі).
Шешуі: Есеп 3 (қосу-азайту әдісі).
Шешуі:
Есеп 4
(мәтіндік).
Шешуі: қосамыз → 2х=54 →
х=27.
Есеп 5 (таңдау
әдісі).
Шешуі: Бағалау критерийлері
Жалпы: 10 балл. |
Тапсырмаларды орындайды Тапсырмаларды орындайды Тапсырмаларды орындайды |
Дескриптор ,
бағдаршам ,
ауызша мадақтау
|
|
||
|
Сабақты бекіту |
«Кері байланыс парағы»
|
Нұсқаулықты орындайды |
Кері байланыс жасайды |
Парақтар |
||
Қысқа мерзімді сабақ жоспары №30
|
Білім беру ұйымының атауы |
|
|||||
|
Пәні: |
|
|||||
|
Бөлім: |
|
|||||
|
Педагогтің аты-жөні: |
|
|||||
|
Күні: |
|
|||||
|
Сыныбы: |
Қатысушылар саны |
Қатыспағандар саны |
||||
|
Тақырыбы |
Қателермен жұмыс |
|||||
|
Сабақтың мақсаты |
–
Бақылау жұмысында кеткен
қателерді талдау; |
|||||
|
Құндылықтарды дарыту |
–
Өз қатесін түсініп, түзету арқылы білімін
жетілдіруге тәрбиелеу; |
|||||
|
Сабақтың барысы |
||||||
|
Сабақтың жоспарланған кезеңдері |
Педагогтің әрекеті |
Оқушының әрекеті |
Бағалау |
Ресурс тар |
||
|
Ұйымдастыру кезеңі |
"Сен білесің бе?" әдісі
Мақсаты: Сабақ тақырыбына қызығушылық
тудыру, оқушыларды диалогқа
тарту.
|
Нұсқаулықтарды орындайды |
Ауызша , мадақтау |
|
||
|
Жаңа сабақ |
Оқушылар жиі жіберетін қателер:
Мақсат: әр оқушы өзінің қатесін көреді, түсіндіреді, түзетеді. Бақылау талдау үлгісі
Қате есеп
(мысал): Оқушы шешімі: х=3–у → 2х+у=7 → 2(3–у)+у=7 → 6–2у+у=7 → 6–у=7 → у=–7. Қате: 6–у=7 → –у=1 → у=–1 болуы тиіс.
Дұрыс
шешім: у=–1, х=4.
Есеп 2 (қате
талдау): Оқушы қосу әдісін қолданбаған, орнына қате алмастыру жасап, нәтиже шықпаған.
Дұрыс
шешу: Жаттығулар (қателерді түзету)
Топтық жұмыс
Әр топқа бақылау жұмысынан
алынған нақты қате есеп беріледі. Дескриптор: –
Қате болған қадамды
анықтайды; |
Тапсырмаларды орындайды Тапсырмаларды орындайды Тапсырмаларды орындайды |
Дескриптор ,
бағдаршам ,
ауызша мадақтау
|
|
||
|
Сабақты бекіту |
«Бес саусақ» әдісі ? Нұсқаулық:
|
Нұсқаулықты орындайды |
Кері байланыс жасайды |
|
||
Қысқа мерзімді сабақ жоспары №31
|
Білім беру ұйымының атауы |
|
|||||
|
Пәні: |
|
|||||
|
Бөлім: |
|
|||||
|
Педагогтің аты-жөні: |
|
|||||
|
Күні: |
|
|||||
|
Сыныбы: |
Қатысушылар саны |
Қатыспағандар саны |
||||
|
Тақырыбы |
Екі айнымалысы бар сызықтық теңсіздіктер |
|||||
|
Сабақтың мақсаты |
–
Екі айнымалысы бар сызықтық теңсіздіктерді
түсіну; |
|||||
|
Құндылықтарды дарыту |
–
Геометриялық және алгебралық байланыстарды түсіну
арқылы кеңістіктік ойлауды дамыту; |
|||||
|
Сабақтың барысы |
||||||
|
Сабақтың жоспарланған кезеңдері |
Педагогтің әрекеті |
Оқушының әрекеті |
Бағалау |
Ресурс тар |
||
|
Ұйымдастыру кезеңі |
"Көңіл-күйіңді көрсет" (эмодзи әдісі)
Мақсаты: Оқушылардың көңіл-күйін
анықтау, сабаққа дайындық деңгейін
бақылау.
|
Нұсқаулықтарды орындайды |
Ауызша , мадақтау |
|
||
|
Жаңа сабақ |
Екі айнымалысы бар сызықтық
теңсіздік – сызықтық теңдеумен байланысты, бірақ теңдік белгісі
орнына теңсіздік қойылады. Салу алгоритмі:
Есептер
Есеп
1.
1-қадам: х+у=3 түзуін саламыз
(нүктелері: (0;3), (3;0)). Жауабы: шешім аймағы – х+у≥3 шартын қанағаттандыратын нүктелер жиыны.
Есеп
2.
1-қадам: у=2х+1 түзуін саламыз
(нүктелері: (0;1), (1;3)). Жаттығулар (шешім аймағын бояу)
Дескриптор: Тест тапсырмасы
Теңсіздіктің шешім аймағын
анықтаңдар:
A) Түзудің үстіңгі бөлігі
(қоса)
Шешуі:
у≥х+2 →
шешім аймағы түзудің үстінде, түзу толық
сызылады. |
Тапсырмаларды орындайды Тапсырмаларды орындайды Тапсырмаларды орындайды |
Дескриптор ,
бағдаршам ,
ауызша мадақтау
|
|
||
|
Сабақты бекіту |
«Екі жұлдыз, бір тілек»
|
Нұсқаулықты орындайды |
Кері байланыс жасайды |
|
||
Қысқа мерзімді сабақ жоспары №32
|
Білім беру ұйымының атауы |
|
|||||
|
Пәні: |
|
|||||
|
Бөлім: |
|
|||||
|
Педагогтің аты-жөні: |
|
|||||
|
Күні: |
|
|||||
|
Сыныбы: |
Қатысушылар саны |
Қатыспағандар саны |
||||
|
Тақырыбы |
Екі айнымалысы бар теңсіздіктер жүйесі |
|||||
|
Сабақтың мақсаты |
–
Екі айнымалысы бар сызықтық теңсіздіктер жүйесін
түсіну; |
|||||
|
Құндылықтарды дарыту |
–
Математикалық ойлау қабілетін дамыту, логикалық
талдауға дағдыландыру; |
|||||
|
Сабақтың барысы |
||||||
|
Сабақтың жоспарланған кезеңдері |
Педагогтің әрекеті |
Оқушының әрекеті |
Бағалау |
Ресурс тар |
||
|
Ұйымдастыру кезеңі |
"Құпия сыйлық" әдісі
Мақсаты: Оқушыларды ынталандыру,
олардың сабаққа деген қызығушылығын
ояту.
|
Нұсқаулықтарды орындайды |
Ауызша , мадақтау |
|
||
|
Жаңа сабақ |
Екі айнымалысы бар
теңсіздіктер жүйесі – бірнеше теңсіздіктен тұрады. Салу алгоритмі:
Есеп Жүйе:
1-қадам: х+у=5 түзесін саламыз. (нүктелері: (0;5), (5;0)). Белгі ≤ болғандықтан, түзудің төменгі жағы боялады. 2-қадам: у=2 түзесін саламыз (горизонталь түзу). Белгі ≥ болғандықтан, түзудің үстіңгі бөлігі боялады. 3-қадам: Ортақ аймақ – у≥2 және х+у≤5 шарттарын қанағаттандыратын облыс. Бұл – шектелген төртбұрыш тәрізді аймақ. Жауабы: шешім облысы – (х;у) нүктелерінің жиыны, мұнда у≥2 және х+у≤5. Жаттығулар 1-жаттығу.
– 2х+у=4 түзуін саламыз
(нүктелері: (0;4), (2;0)), үстіңгі бөлігі боялады. 2-жаттығу.
Бұл – бірінші ширектегі
үшбұрыш тәрізді аймақ. 3-жаттығу (өмірлік
мысал).
Шешім облысы – теңсіздіктердің ортақ аймағы. Тест тапсырмасы Жүйенің шешім облысын көрсет:
A) х+у≥4 шартын
қанағаттандыратын, у≤х болатын аймақ Жауабы: A) – х+у≥4 облысының у≤х бөлігі. Дескриптор: |
Тапсырмаларды орындайды Тапсырмаларды орындайды Тапсырмаларды орындайды |
Дескриптор ,
бағдаршам ,
ауызша мадақтау
|
|
||
|
Сабақты бекіту |
«Табыс сатысы»
|
Нұсқаулықты орындайды |
Кері байланыс жасайды |
|
||
Қысқа мерзімді сабақ жоспары №33
|
Білім беру ұйымының атауы |
|
|||||
|
Пәні: |
|
|||||
|
Бөлім: |
|
|||||
|
Педагогтің аты-жөні: |
|
|||||
|
Күні: |
|
|||||
|
Сыныбы: |
Қатысушылар саны |
Қатыспағандар саны |
||||
|
Тақырыбы |
Қорытынды қайталау |
|||||
|
Сабақтың мақсаты |
–
Бір айнымалысы бар теңдеулер мен теңсіздіктерді
шешу; |
|||||
|
Құндылықтарды дарыту |
–
Алған білімді жинақтап, сараптау дағдысын
қалыптастыру; |
|||||
|
Сабақтың барысы |
||||||
|
Сабақтың жоспарланған кезеңдері |
Педагогтің әрекеті |
Оқушының әрекеті |
Бағалау |
Ресурс тар |
||
|
Ұйымдастыру кезеңі |
"Сиқырлы сөз" әдісі
Мақсаты: Сабақтың тақырыбына
қызығушылық тудыру, топтық жұмысқа
ынталандыру.
|
Нұсқаулықтарды орындайды |
Ауызша , мадақтау |
|
||
|
Жаңа сабақ |
Бұл сабақ – қорытынды
қайталау. Оқушылар осы уақытқа дейінгі алған білімдерін қолдана
отырып, теңдеу, теңсіздік және жүйелер бойынша есептер
шығарады. Қорытынды тапсырмалар
Есеп 1
(теңдеу).
Есеп 2
(теңсіздік).
Есеп 3 (екі айнымалысы бар
теңдеу).
Есеп 4 (екі айнымалысы бар
теңсіздік).
Есеп 5 (жүйе – алмастыру
әдісі).
Шешуі: орнына қойсақ →
2(3–у)+у=7 → 6–2у+у=7 → –у=1 → у=–1.
Есеп 6 (жүйе – қосу-азайту
әдісі).
Қосамыз: 2х=12 → х=6.
Есеп 7 (мәтіндік
теңдеу).
Есеп 8 (мәтіндік
жүйе). Жаттығулар (қайталау)
Тест тапсырмасы
Мына жүйенің шешімі қайсы?
A) (3;4)
Шешуі:
қосамыз →
2х=8 → х=4. Сонда у=3.
Дескриптор: |
Тапсырмаларды орындайды Тапсырмаларды орындайды Тапсырмаларды орындайды |
Дескриптор ,
бағдаршам ,
ауызша мадақтау
|
|
||
|
Сабақты бекіту |
«Бес саусақ» әдісі ? Нұсқаулық:
|
Нұсқаулықты орындайды |
Кері байланыс жасайды |
|
||
Қысқа мерзімді сабақ жоспары №34
|
Білім беру ұйымының атауы |
|
|||||||||||||
|
Пәні: |
|
|||||||||||||
|
Бөлім: |
|
|||||||||||||
|
Педагогтің аты-жөні: |
|
|||||||||||||
|
Күні: |
|
|||||||||||||
|
Сыныбы: |
Қатысушылар саны |
Қатыспағандар саны |
||||||||||||
|
Тақырыбы |
Қорытынды бақылау жұмысы |
|||||||||||||
|
Сабақтың мақсаты |
–
Бір және екі айнымалысы бар сызықтық теңдеулер
мен теңсіздіктерді шешу; |
|||||||||||||
|
Құндылықтарды дарыту |
–
Алған білімді жинақтап, нақты
қолдануға үйрету; |
|||||||||||||
|
Сабақтың барысы |
||||||||||||||
|
Сабақтың жоспарланған кезеңдері |
Педагогтің әрекеті |
Оқушының әрекеті |
Бағалау |
Ресурс тар |
||||||||||
|
Ұйымдастыру кезеңі |
"Бір сөзбен" әдісі
Мақсаты: Оқушылардың сабаққа деген
эмоционалдық дайындығын
анықтау. Мұғалім оқушыларға "Сен бүгін сабақтан не күтесің?" деген сұрақ қояды.
|
Нұсқаулықтарды орындайды |
Ауызша , мадақтау |
|
||||||||||
|
Жаңа сабақ |
Тапсырмалар
Есеп 1.
(теңдеу)
Есеп 2.
(теңсіздік)
Есеп 3. (екі айнымалысы бар
теңдеу)
Жауабы: (0;4), (2;3), (8;0). Есеп 4. (екі айнымалысы бар
теңсіздік) Есеп 5. (жүйе – алмастыру әдісі)
Шешуі:
2(3–у)+у=7 → 6–2у+у=7 → –у=1 → у=–1. Есеп 6. (жүйе – қосу-азайту әдісі)
Қосамыз: 2х=12 → х=6. Есеп 7. (мәтіндік
есеп) Жүйе: Шешуі: (у+28)+у=50 → 2у+28=50
→ 2у=22 → у=11. Бағалау критерийлері (10 баллдық шкала)
Жалпы: 10 балл. |
Тапсырмаларды орындайды Тапсырмаларды орындайды Тапсырмаларды орындайды |
Дескриптор ,
бағдаршам ,
ауызша мадақтау
|
|
||||||||||
|
Сабақты бекіту |
«Екі жұлдыз, бір тілек»
|
Нұсқаулықты орындайды |
Кері байланыс жасайды |
|
||||||||||
Қорытынды
Сызықтық теңдеулер мен теңсіздіктер – математика ғылымының ең негізгі және өмірлік маңызы зор тақырыптарының бірі. Бұл тақырыпты оқыту барысында оқушылар тек алгебралық амалдарды үйреніп қана қоймайды, сонымен қатар логикалық ойлауды, дәлелдеуді, талдауды және қорытынды жасауды меңгереді. Сызықтық теңдеулердің шешімі – белгісіз шаманы табу болса, теңсіздіктердің шешімі – бірден көп мәндерді қамтитын жиын болып табылады. Мұндай айырмашылықтарды түсіну оқушының математикалық мәдениетін қалыптастырып, ойлау қабілетін дамытады.
Бұл курс барысында алдымен бір айнымалысы бар сызықтық теңдеулер қарастырылып, олардың шешу жолдары – қосу, азайту, көбейту, бөлу амалдары арқылы жүзеге асатыны көрсетілді. Бұдан кейін теңдеуді тексеру, құрама теңдеулерді шешу, ұқсас мүшелерді ықшамдау тәсілдері түсіндірілді. Оқушылар қарапайымнан күрделіге қарай өтіп, мәтіндік есептерді теңдеумен шығара білуге дағдыланды. Мұның барлығы олардың күнделікті өмірде кездесетін қарапайым мәселелерді математикалық модельге айналдыруына жағдай жасайды.
Ал теңсіздіктерді оқу барысында бір қадамды және күрделі теңсіздіктер, олардың шешім жиыны, сан осінде кескіндеу дағдылары қалыптасты. Оқушылар теңсіздік белгілерін дұрыс қолдануды, шешім облысын бояуды үйренді. Бұл бөлімде өмірлік мысалдар арқылы теңсіздіктерді құру тапсырмалары ерекше рөл атқарды. Мәселен, «баға кем емес», «шамадан көп емес» сияқты тіркестерді теңсіздікпен өрнектеу балалардың тілдік және логикалық дағдыларын дамытты.
Екі айнымалысы бар теңдеулер мен теңсіздіктер тақырыптары оқушылардың графиктік бейнелеу қабілетін арттырды. Оқушылар кесте толтыру арқылы нүктелерді табуды, түзу сызықтар салуды, теңдеулер жүйесін графиктік, алмастыру және қосу-азайту тәсілдерімен шешуді үйренді. Бұл әдістердің әрқайсысын меңгеру – оқушылардың таңдау еркіндігін арттырып, тиімді әдісті анықтауға үйретті. Екі айнымалысы бар теңсіздіктер жүйесінің шешім облысын табу оқушыға координаталық жазықтықтағы фигураларды түсінуге көмектесіп, геометриялық ойлауын да дамытты.
Практикалық есептерге ерекше көңіл бөлінді. Сауда-саттық, уақыт, жасқа байланысты есептер балалардың өмірлік тәжірибесімен байланыстырылып, математиканы шынайы өмірге қолдануға мүмкіндік берді. Осы арқылы пәнге деген қызығушылық артып, оқушының өзіндік ойлау белсенділігі күшейді.
Жалпы, бұл курс оқушыға:
– теңдеу мен теңсіздіктерді
шешудің әртүрлі әдістерін меңгертуге;
– математикалық модель құруға;
– графиктік кескіндеуді орындауға;
– логикалық, шығармашылық тұрғыда ойлауға;
– өмірлік дағдыларды дамытуға ықпал
етті.
Сондықтан сызықтық теңдеулер мен теңсіздіктер тақырыбы оқушының алдағы алгебралық білімдерінің негізін қалап қана қоймай, жалпы ойлау мәдениетінің, дәлдіктің, ұқыптылықтың қалыптасуына мүмкіндік береді. Бұл бөлімді толық меңгерген оқушы келесі күрделі тақырыптарды түсінуге дайын болады.
Пайдаланылған әдебиеттер (мұғалімге)
-
Алгебра: Жалпы білім беретін мектептің 6-сыныбына арналған оқулық / Алматы: Мектеп баспасы.
-
Қазақстан Республикасы БҒМ. Математика пәнінің оқу бағдарламасы.
-
Мұхамбетқалиұлы Қ., Алгебрадан есептер жинағы. – Алматы.
-
Кемеңгерова Б., Теңдеулер мен теңсіздіктерді шешу әдістемесі. – Астана.
-
Нұрланова С. Математиканы оқыту әдістемесі. – Алматы.
-
Дүйсенова М. Мектеп математикасы: әдістемелік құрал.
-
Кушнер А.Г. Алгебра и начала анализа. – Москва.
-
Никольский С.М., Алгебра: Учебник для 7 класса. – Москва.
-
Әбілқасымова А.Е., Математикадан әдістемелік нұсқаулар.
-
Жұмаділдаева Қ. Математикалық есептерді шығару жолдары.
-
Айтқалиев А. Математиканы оқытудың жаңа технологиялары.
-
Колмогоров А.Н. Математика: задачи и решения. – Москва.
-
Смайылова Г. Практикалық математика. – Алматы.
-
ҚР ҰБА ғылыми еңбектері: Математика бөлімі.
-
Smith, R. Linear Equations and Inequalities. – Cambridge University Press.
Әдебиеттер (оқушыға)
-
Алгебра: 6-сынып оқулығы. – Алматы: Мектеп.
-
Алгебрадан есептер жинағы. – Алматы.
-
Математикадан жұмыс дәптері (6-сынып).
-
Білім-инновация лицейлеріне арналған қосымша есептер жинағы.
-
«Bilimland» онлайн платформасы.
-
«iTest» ҰБТ-ға дайындық базасы.
-
Khan Academy: Algebra (онлайн ресурс).
-
Мұғалім ұсынған дәптерлер мен әдістемелік құралдар.
-
«Математика әлемі» журналы.
-
Daribook.kz электронды кітапханасы.
Қосымша
1. Теңдеу ұғымы. Теңдеудің шешімі
-
х+7=15 (х=8)
-
х–9=20 (х=29)
-
2х=18 (х=9)
-
х/4=5 (х=20)
-
х+11=30 (х=19)
-
х–6=14 (х=20)
-
3х=21 (х=7)
-
х/2=12 (х=24)
-
5+х=17 (х=12)
-
х–25=10 (х=35)
2. Теңдеуді шешудің негізгі қасиеттері
-
2х+5=15 (х=5)
-
3х–7=11 (х=6)
-
5х+4=19 (х=3)
-
7х–2=19 (х=3)
-
4х+9=21 (х=3)
-
6х–8=10 (х=3)
-
10х+5=35 (х=3)
-
12х–6=18 (х=2)
-
8х+2=26 (х=3)
-
9х–3=24 (х=3)
3. Бір қадамды теңдеулер
-
х+8=12 (х=4)
-
х–6=9 (х=15)
-
х/5=7 (х=35)
-
6х=42 (х=7)
-
х+3=11 (х=8)
-
х–4=16 (х=20)
-
х/7=9 (х=63)
-
9х=36 (х=4)
-
х+25=40 (х=15)
-
х–18=6 (х=24)
4. Күрделі теңдеулер: көбейту, бөлу
-
5х=45 (х=9)
-
х/6=8 (х=48)
-
7х=49 (х=7)
-
х/3=15 (х=45)
-
8х=72 (х=9)
-
х/12=5 (х=60)
-
9х=81 (х=9)
-
х/9=11 (х=99)
-
4х=44 (х=11)
-
х/15=4 (х=60)
5. Теңдеуді тексеру
-
х+6=14 (х=8)
-
3х–5=10 (х=5)
-
2х+7=15 (х=4)
-
5х–9=16 (х=5)
-
х+12=20 (х=8)
-
4х–3=9 (х=3)
-
6х+1=19 (х=3)
-
х–8=12 (х=20)
-
7х–4=24 (х=4)
-
10х+5=55 (х=5)
6. Құрама теңдеулер
-
2(х+3)=16 (х=5)
-
(х–4)/2=6 (х=16)
-
3(х–2)=9 (х=5)
-
(х+5)/3=4 (х=7)
-
4(х–1)=12 (х=4)
-
(х–7)/5=2 (х=17)
-
2(х+6)=20 (х=4)
-
(х–10)/2=8 (х=26)
-
3(х+2)=18 (х=4)
-
(х–12)/4=3 (х=24)
7. Ұқсас мүшелері бар теңдеулер
-
2х+3х=25 (х=5)
-
4х–2х=14 (х=7)
-
5х+х=18 (х=3)
-
6х–2х=20 (х=5)
-
3х+7х=40 (х=4)
-
8х–3х=15 (х=3)
-
9х+х=50 (х=5)
-
10х–4х=12 (х=2)
-
7х+2х=27 (х=3)
-
12х–2х=40 (х=4)
8. Мәтіндік есептерді теңдеумен шығару
-
«Хан 20 жаста, інілері 4 есе кіші. Інісі нешеде?» → х/4=20 → х=80
-
«2 кітап 1000 тг, бірдей бағалы. Бір кітап неше тг?» (500)
-
«Бала 15 жаста, әкесі одан 20 жас үлкен. Әкесі нешеде?» (35)
-
«Әлия 12 алма алды, оның 4-еуін жеді. Қанша қалды?» (8)
-
«Екі сан қосындысы 30, біреуі 10. Екіншісі неше?» (20)
-
«1 кг алма 300 тг, 5 кг неше?» (1500)
-
«Бала 24 дәптерді теңдей етіп 3 досына бөлді. Әрқайсысына қанша?» (8)
-
«Жол 120 км, жылдамдығы 60 км/сағ. Уақыты?» (2 сағ)
-
«Фильм 120 минут, әр бөлім 30 мин. Неше бөлім?» (4)
-
«Анасы 45 жаста, қызы 15 жаста. Анасы 2 есе үлкен болған кез қашан?» (15 жылдан кейін)
9. Практикалық есептер
-
2 дәптер – 200 тг, 4 дәптер? (400)
-
Автобус 60 км/сағ, 180 км? (3 сағ)
-
3 алма 300 тг, 7 алма? (700)
-
5 кг қант – 2000 тг, 1 кг? (400)
-
2 қалам – 300 тг, 10 қалам? (1500)
-
1 л сүт – 250 тг, 8 л? (2000)
-
1 күнде 24 сағ, 5 күнде? (120)
-
7×х=49 (х=7)
-
9х=81 (х=9)
-
15х=45 (х=3)
10. Қорытындылау (теңдеулер тарауы)
-
2х+5=15 (х=5)
-
3х–4=11 (х=5)
-
х/2=10 (х=20)
-
4х=36 (х=9)
-
(х–3)/2=7 (х=17)
-
2(х+4)=20 (х=6)
-
5х–3=12 (х=3)
-
6х+2=20 (х=3)
-
7х=49 (х=7)
-
(х–6)/3=2 (х=12)
11. Бақылау жұмысы №1 (мысалға қосымша 10 есеп)
(қысқаша)
-
2х=16 (х=8)
-
3х–7=5 (х=4)
-
х/5=9 (х=45)
-
4(х–2)=12 (х=5)
-
6х+4=16 (х=2)
-
2х+3=9 (х=3)
-
х–8=15 (х=23)
-
(х+6)/2=7 (х=8)
-
5х–10=15 (х=5)
-
9х=27 (х=3)
12. Қателермен жұмыс (теңдеулер)
-
2х+7=15 (х=4)
-
3х–5=16 (х=7)
-
(х–4)/2=6 (х=16)
-
4(х+2)=20 (х=3)
-
5х–9=21 (х=6)
-
х/3=12 (х=36)
-
7х+2=30 (х=4)
-
2(х–6)=10 (х=11)
-
3х+8=20 (х=4)
-
(х+9)/3=7 (х=12)
13. Теңсіздік ұғымы
-
х>5 (шешімдері: 6, 7, …)
-
х<–3 (шешімдері: –4, –5, …)
-
у≥2 (2, 3, 4, …)
-
у≤10 (…, 8, 9, 10)
-
х>0 (оң сандар)
-
х≤7 (…, 5, 6, 7)
-
х≥–2 (–2, –1, 0, …)
-
х<1 (…, –1, 0)
-
у>–5 (–4, –3, …)
-
у≤0 (…, –2, –1, 0)
14. Бір қадамды теңсіздіктер
-
х+7>12 (х>5)
-
х–3<5 (х<8)
-
х+4≤10 (х≤6)
-
х–6≥9 (х≥15)
-
х+2>0 (х>–2)
-
х–8<4 (х<12)
-
х+10≥20 (х≥10)
-
х–15≤5 (х≤20)
-
х+9>7 (х>–2)
-
х–1<0 (х<1)
15. Күрделі теңсіздіктер
-
2х>10 (х>5)
-
х/3≤4 (х≤12)
-
5х≥20 (х≥4)
-
х/2<7 (х<14)
-
9х>18 (х>2)
-
х/4≥6 (х≥24)
-
3х≤21 (х≤7)
-
–2х<8 (х>–4)
-
–х>3 (х<–3)
-
–5х≤10 (х≥–2)
16. Теңсіздіктің шешім жиыны
-
х>4 (5, 6, …)
-
х≤–2 (…, –3, –2)
-
у≥0 (0, 1, 2, …)
-
у<5 (…, 3, 4)
-
х≥10 (10, 11, …)
-
х<7 (…, 5, 6)
-
у≤–1 (…, –2, –1)
-
у>2 (3, 4, …)
-
х≥–5 (–5, –4, …)
-
х≤20 (…, 18, 19, 20)
17. Мәтіндік теңсіздіктер
-
«Бағасы 500 тг-ден кем емес» → х≥500
-
«Жасы 18-ден кіші» → х<18
-
«Жылдамдық 60-тан артық» → v>60
-
«Ұпайы 50-ден кем емес» → у≥50
-
«Қорытындысы 100-ден аспайды» → х≤100
-
«Шамасы 20-дан көп» → х>20
-
«Кітап саны 5-тен кем» → n<5
-
«Әлемшар массасы 0-ден артық» → m>0
-
«Шешім 10-нан аз емес» → х≥10
-
«Саны –2-ден кіші» → х<–2
18. Қорытындылау (теңсіздіктер тарауы)
-
2х–5<15 (х<10)
-
х/3≥4 (х≥12)
-
–2х≤6 (х≥–3)
-
5х+7>12 (х>1)
-
х–9≤0 (х≤9)
-
7х>28 (х>4)
-
(х–3)/2<5 (х<13)
-
–х+4≥0 (х≤4)
-
10–х>0 (х<10)
-
3х–7≤2 (х≤3)
19. Бақылау жұмысы №2 (теңсіздіктер)
-
2х+3≤9 (х≤3)
-
х–7>8 (х>15)
-
х/4<5 (х<20)
-
–3х≥6 (х≤–2)
-
5х–2≤18 (х≤4)
-
х+9>0 (х>–9)
-
(х–4)/2≤3 (х≤10)
-
7–х≥1 (х≤6)
-
–2х+5<7 (х>–1)
-
9х>0 (х>0)
20. Қателерді талдау (теңсіздіктер)
-
х+5>10 (х>5)
-
х–8≤12 (х≤20)
-
–х>3 (х<–3)
-
4х<16 (х<4)
-
х/2≥7 (х≥14)
-
–3х≤12 (х≥–4)
-
5х–9>6 (х>3)
-
(х–1)/4≤2 (х≤9)
-
х+12≥20 (х≥8)
-
–2х+5<1 (х>2)
21. Екі айнымалысы бар сызықтық теңдеу
-
2х+3у=12 (шешім мысалы: (0;4))
-
х+у=5 (шешім: (2;3))
-
3х–у=6 (шешім: (2;0))
-
х–2у=4 (шешім: (6;1))
-
4х+у=8 (шешім: (2;0))
-
х+2у=10 (шешім: (0;5))
-
5х–3у=9 (шешім: (3;2))
-
2х+у=7 (шешім: (2;3))
-
х–у=1 (шешім: (2;1))
-
3х+2у=18 (шешім: (4;3))
22. Екі айнымалысы бар сызықтық теңдеудің графигі
-
у=2х+1 (нүктелері: (0;1), (1;3))
-
х+у=6 (нүктелері: (0;6), (6;0))
-
у=–х+4 (нүктелері: (0;4), (4;0))
-
2х+у=8 (нүктелері: (0;8), (4;0))
-
у=3х–2 (нүктелері: (0;–2), (1;1))
-
х–у=5 (нүктелері: (0;–5), (5;0))
-
4х+2у=12 (нүктелері: (0;6), (3;0))
-
у=½х+2 (нүктелері: (0;2), (2;3))
-
х+2у=10 (нүктелері: (0;5), (10;0))
-
5х–у=0 (нүктелері: (0;0), (1;5))
23. Сызықтық теңдеулер жүйесі
-
{х+у=6; х–у=2} → (4;2)
-
{2х+у=7; х–у=1} → (2;3)
-
{3х–у=5; х+у=7} → (3;4)
-
{х+2у=8; х–у=2} → (4;2)
-
{2х+3у=12; х–у=0} → (2;2)
-
{4х–у=7; 2х+у=9} → (2;5)
-
{3х+2у=18; 2х–у=1} → (3;4,5)
-
{5х–у=9; х+у=7} → (2;5)
-
{х–2у=1; 3х+у=11} → (3;1)
-
{2х+5у=20; х–у=2} → (5;2)
24. Жүйені графиктік тәсілмен шешу
-
{х+у=4; х–у=2} → (3;1)
-
{2х+у=6; х–у=1} → (7/3; 5/3)
-
{х+2у=8; 2х–у=1} → (3; 2,5)
-
{3х–у=6; х+у=4} → (2,5;1,5)
-
{х–2у=0; х+у=6} → (4;2)
-
{2х+3у=12; х–у=3} → (3;2)
-
{х+у=10; 2х–у=1} → (11/3;19/3)
-
{4х–у=7; х+2у=11} → (3;4)
-
{3х+2у=8; х–у=2} → (3,2;1,2)
-
{2х–у=4; х+3у=9} → (3;2)
25. Жүйені алмастыру тәсілімен шешу
-
{х=2у; х+у=9} → (6;3)
-
{2х+у=7; х=3–у} → (4;–1)
-
{х=5–2у; 3х+у=10} → (3;1)
-
{у=2х; х+у=12} → (4;8)
-
{х=у+1; 2х+3у=14} → (5;4)
-
{у=х–3; 3х–2у=4} → (2;–1)
-
{х=4–у; 5х+у=13} → (2;2)
-
{у=7–х; 2х+у=11} → (2;5)
-
{х=3у; 2х–у=5} → (15/7;5/7)
-
{у=2х–1; х+у=8} → (3;5)
26. Жүйені қосу-азайту тәсілімен шешу
-
{2х+3у=12; 3х–3у=6} → (3,6;1,6)
-
{х+у=10; х–у=2} → (6;4)
-
{3х+2у=16; 2х–2у=4} → (3,2;1,2)
-
{5х–2у=9; 3х+2у=15} → (2;3)
-
{4х+у=11; 2х–у=1} → (2;3)
-
{3х–у=7; 2х+у=8} → (3;2)
-
{х–2у=4; 2х+3у=17} → (5;0,5)
-
{7х+2у=23; 5х–2у=7} → (3;1)
-
{2х+5у=20; 4х–5у=0} → (2,5;3)
-
{3х–2у=4; 5х+2у=16} → (2;1)
27. Практикалық есептер (жүйелер)
-
«Қалам 50 тг, дәптер 100 тг. Барлығы 5 дана, бағасы 400 тг. Нешеуін алды?» → 2 қалам, 3 дәптер
-
«Автобус пен пойыз жолы 300 км. Автобус 60 км/сағ, пойыз 90 км/сағ. Бірге 4 сағ жүрді. Қанша жолды жүрді?» → автобус 120 км, пойыз 180 км
-
«Әкесі баласынан 25 жас үлкен. Жастарының қосындысы 55». → (40;15)
-
«Тауар бағасы: алма 200 тг, алмұрт 300 тг. Барлығы 5 дана, бағасы 1200 тг». → 3 алма, 2 алмұрт
-
«Екі санның қосындысы 20, айырмасы 4». → (12;8)
-
«Ұпайлар: математикадан х, физикадан у. Барлығы 90, математика физикадан 10 артық». → (50;40)
-
«2 қорап қалам және 3 дәптер – 600 тг. 3 қорап қалам және 2 дәптер – 700 тг». → қалам=100, дәптер=100
-
«Әкесі 30 жаста, баласы 10 жаста. Неше жылдан соң әкесі 2 есе үлкен?» → 10 жылдан соң
-
«Ұзындығы еніне 3 см артық, периметрі 26 см». → (7;4)
-
«2 жұмысшы бірге 6 күнде, жеке 10 және 15 күнде орындайды. Әрқайсысы істеген жұмыс үлесі?» → 10/25 және 15/25
28. Қорытындылау (жүйелер тарауы)
-
{2х+у=7; х–у=1} → (2;3)
-
{х+у=12; х–у=4} → (8;4)
-
{3х+2у=18; 2х–у=4} → (4;3)
-
{5х–у=9; х+у=7} → (2;5)
-
{4х+3у=17; 2х–у=1} → (2;3)
-
{2х+5у=20; 3х–2у=4} → (2;3)
-
{х–2у=1; 2х+у=7} → (3;2)
-
{3х–y=5; х+у=9} → (3,5;5,5)
-
{7х+2у=30; 5х–у=5} → (2;8)
-
{х+у=5; х–у=3} → (4;1)
29. Бақылау жұмысы №3 (жүйелер)
-
{х+у=8; х–у=2} → (5;3)
-
{2х+у=10; х–у=1} → (3,67;2,67)
-
{3х–2у=4; 5х+2у=16} → (2;1)
-
{4х+у=11; 2х–у=1} → (2;3)
-
{х+2у=12; 2х–у=0} → (4;4)
-
{5х–3у=7; х+у=5} → (2,5;2,5)
-
{2х+3у=9; 4х–у=11} → (2,5;1)
-
{7х+2у=20; х–у=2} → (2;3)
-
{х+у=15; х–у=5} → (10;5)
-
{3х+2у=12; х–у=1} → (2,67;1,67)
30. Екі айнымалысы бар сызықтық теңсіздіктер
-
у>2х–1 (шешім: түзудің үсті, түзу кірмейді)
-
у≤–х+3 (асты, түзу кіреді)
-
у≥0,5х+2 (үсті, түзу кіреді)
-
у<–2х+4 (асты, түзу кірмейді)
-
х+у≥5 (сызықтың үсті/оң жағы, түзу кіреді)
-
2х–у≤6 (сызықтың төменгі жағы, түзу кіреді)
-
х–2у>4 (сызықтың оң/жоғарғы жағы, түзу кірмейді)
-
3х+у<2 (асты/сол жағы, түзу кірмейді)
-
–х+2у≥0 (үсті жағы, түзу кіреді)
-
у≤х–3 (асты, түзу кіреді)
31. Екі айнымалысы бар теңсіздіктер жүйесі
-
{х+у≤5; у≥2} (аймақ: у≥2, х≤5–у)
-
{2х+у≥4; у≤3} (аймақ: 4–2х≤у≤3)
-
{х≥0; у≥0; х+у≤6} (төбелер: (0;0), (6;0), (0;6))
-
{у≥х; х+у≥4} (аймақ: у≥х және у≥4–х)
-
{у≤2х+1; у≥–х+2} (қиылысу: (1/3; 5/3), екі сызық арасындағы аймақ)
-
{х≥1; у≥2; х+у≤8} (төбелер: (1;2), (1;7), (6;2))
-
{х≤4; у≤5; х+у≥6} (төбелер: (1;5), (4;5), (4;2))
-
{2х–у≤4; х≥0; у≥0} (аймақ: у≥max(0, 2х–4), x≥0)
-
{х–у≥1; у≥2} (аймақ: 2≤у≤х–1, x≥3)
-
{х≥–1; у≤х+4} (аймақ: у х+4-тен төмен, х≥–1)
32. Қорытынды қайталау (аралас)
-
2(х–3)+5=13 (х=7)
-
3х–11≤1 (х≤4)
-
–2х>10 (х<–5)
-
у=3х–2 үшін (х;у): х=0,1,2 (0;–2), (1;1), (2;4)
-
х+2у=10, х=4 болса (у=3)
-
{х+у=9; х–у=1} (5;4)
-
{2х+3у=12; х=у} (2,4;2,4)
-
у>х–1, нүкте (0;0) тиістілігі (тиесілі емес)
-
х+у≤6, у≥1, х≥0 аймағының бір төбесі ((0;1))
-
(х–5)/2=4 (х=13)
33. Қорытынды бақылау жұмысы (аралас 10 есеп)
-
4х–7=21 (х=7)
-
(х+8)/3=6 (х=10)
-
5–2х<1 (х>2)
-
–3х+9≥0 (х≤3)
-
у=2х+1, х∈{–1,0,2} ((–1;–1), (0;1), (2;5))
-
х+у=8, у=3 (х=5)
-
{2х+у=11; х–у=1} (4;3)
-
{3х–2у=4; х+у=7} (3;4)
-
х+у≤5, у≥2 нүкте тиесілігін тексер: (1;4) (иә)
-
2(х–1)+3(х+2)=19 (х=3)
34. Қателермен жұмыс (аралас, қосымша есептер)
-
7х–14=28 (х=6)
-
(х–9)/3=4 (х=21)
-
6–х≤2 (х≥4)
-
–5х>10 (х<–2)
-
3х+2у=16, х=2 (у=5)
-
у=–х+4, х=–1 (у=5)
-
{х+у=12; х–у=6} (9;3)
-
{4х–у=7; 2х+у=11} (3;5)
-
у≥х–2, нүкте (–1;–1) (тиесілі)
-
5(х–2)–(х–7)=20 (х=5)
жүктеу мүмкіндігіне ие боласыз
Бұл материал сайт қолданушысы жариялаған. Материалдың ішінде жазылған барлық ақпаратқа жауапкершілікті жариялаған қолданушы жауап береді. Ұстаз тілегі тек ақпаратты таратуға қолдау көрсетеді. Егер материал сіздің авторлық құқығыңызды бұзған болса немесе басқа да себептермен сайттан өшіру керек деп ойласаңыз осында жазыңыз
Авторлық бағдарлама Сызықтық теңдеулер мен теңсіздіктер
Авторлық бағдарлама Сызықтық теңдеулер мен теңсіздіктер
Жамбыл облысы әкімдігінің білім басқармасы «Тараз қаласының білім бөлімінің №66 орта мептебі коммуналдық мемлекеттік мекемесі
Авторлық бағдарлама
Сызықтық теңдеулер мен теңсіздіктер
Турабаева Майра Орынбековна
Дуанакулова Айгерім Жарасовна
Тараз қаласы 2025 ж.
Мазмұны
Түсінік хат.........................................................2
Тұрақталу-мазмұндық бөлімі..........................7
Ақпараттық бөлім............................................11
Нормативтік бөлім...........................................12
Оқу-әдістемелік бөлім.....................................15
Қорытынды......................................................104
Пайдаланған әдебиеттер/Қосымша...............106
Түсінік хат
Қазіргі таңда білім беру жүйесінде математиканың орны айрықша. Математика тек қана есеп шығару құралы емес, ол – ойлау мәдениетін дамытудың, қисынды пайымдаудың, дәлелдеудің және талдаудың ең негізгі тетігі. Оқушыларды ғылыми тұрғыдан ойлауға баулып, өмірлік дағдыларды қалыптастыруда математикалық білімнің маңызы зор. Әсіресе сызықтық теңдеулер мен теңсіздіктер тақырыбы – мектеп математикасының іргетасы болып табылады. Бұл тақырыпты меңгермейінше, алгебраның әрі қарайғы бөлімдерін, функцияларды, туындыларды, интегралдарды, аналитикалық геометрия элементтерін толық түсіну мүмкін емес.
Сызықтық теңдеулер мен теңсіздіктерді шешу – оқушының ойлау қабілетін дамытумен қатар, нақты өмірлік жағдайларды модельдеуге мүмкіндік береді. Мысалы, экономикадағы шығын мен пайда есептері, физикадағы қозғалыс заңдылықтары, химиядағы реакциялар тепе-теңдігі – барлығы теңдеулер мен теңсіздіктер түрінде жазылып, шешімін табуды қажет етеді. Сондықтан бұл тақырып тек математикалық теория тұрғысынан ғана емес, практикалық өмірде де ерекше маңызға ие.
Осы бағдарламаны құрудағы негізгі мақсат – оқушыларға сызықтық теңдеулер мен теңсіздіктерді жан-жақты түсіндіру, олардың шығару жолдарын меңгерту, сондай-ақ әртүрлі әдістерді салыстыра отырып, тиімді тәсілді таңдауға үйрету. Сонымен қатар бағдарлама оқушының пәнге деген қызығушылығын арттырып, алған білімін өмірде қолдануға бейімдеуді көздейді.
Бұл тақырып бойынша білім беру барысында тек қана дайын ережелерді жаттап алу жеткіліксіз. Керісінше, әрбір ереженің қайдан шыққанын, неге дәл осылай болатынын түсіндіру – оқушының логикалық ойлауын дамытады. Сондықтан да ұсынылып отырған бағдарлама дәстүрлі оқыту әдістерімен қатар инновациялық тәсілдерді де қамтиды. Мысалы, интерактивті тапсырмалар, топтық жұмыстар, зерттеу элементтері, ақпараттық-коммуникациялық технологияларды пайдалану – барлығы оқушының белсенділігін арттыруға бағытталған.
Қорыта айтқанда, сызықтық теңдеулер мен теңсіздіктерді оқыту – оқушылардың математикалық мәдениетін қалыптастыратын, болашақ кәсіби білімінің негізін қалайтын маңызды кезең. Осы бағдарлама соған бағытталған.
2. Мақсаты мен міндеттері
Мақсаты:
Оқушыларға сызықтық теңдеулер мен теңсіздіктердің теориялық
негіздерін меңгерту, оларды шешу жолдарын практикалық тұрғыда
қолдануға үйрету, логикалық ойлау қабілетін
дамыту.
Міндеттері:
-
Оқушылардың математикалық сауаттылығын арттыру;
-
Сызықтық теңдеулер мен теңсіздіктерді шешудің түрлі әдістерімен таныстыру;
-
Өмірлік жағдайларды математикалық модельдеу дағдысын қалыптастыру;
-
Оқушыларды ғылыми зерттеуге баулу;
-
Ақпараттық технологияларды пайдалана отырып, білімді тереңдету.
3. Бағдарламаның өзектілігі
Бұл бағдарлама қазіргі білім беру жүйесінің талаптарына сәйкес келеді. Себебі халықаралық зерттеулер (PISA, TIMSS) математикалық сауаттылықты тек қана формулаларды білу деп емес, нақты өмірлік жағдайларды шешуде қолдану қабілеті ретінде бағалайды. Сызықтық теңдеулер мен теңсіздіктерді меңгеру арқылы оқушы күнделікті өмірдегі түрлі есептерді шешуге мүмкіндік алады. Осы тұрғыдан алғанда бағдарламаның маңыздылығы жоғары.
4. Жұмыстың ғылыми-әдістемелік деңгейі
Ұсынылған бағдарлама дәстүрлі оқыту жүйесін толықтырып қана қоймайды, сонымен қатар жаңашылдыққа да негізделген. Мұнда есеп шығару тәсілдері түрлі әдістемелер арқылы көрсетіледі, яғни бір есепті бірнеше жолмен шешу арқылы оқушы өзіне ыңғайлы әдісті таңдай алады. Бұл – оқытудың жеке тұлғаға бағытталғандығының дәлелі.
5. Бағдарламаның ғылымилығы
Бағдарлама жаңа білім беру парадигмасына сай құрастырылған. Ол оқушының тек білімін толықтыруға емес, ғылыми тұрғыда ойлануына, дәлелдеуге, зерттеуге үйретуге бағытталған. Психологиялық және педагогикалық ғылымдағы соңғы жетістіктерді ескере отырып, оқушылардың жас ерекшеліктеріне, ойлау деңгейіне сәйкес әдістемелер таңдалған.
6. Бағыттылығы
Бағдарлама тек білім беру міндетін ғана емес, тәрбиелік және дамытушылық қызметті де атқарады.
-
Оқушының жеке тұлғасын дамыту;
-
Психофизиологиялық және әлеуметтік денсаулығын сақтау;
-
Экономикалық, экологиялық, этнопедагогикалық құндылықтарды есептер арқылы таныстыру;
-
Білім мазмұнының гуманистік, интеграциялық, инновациялық сипатын қамтамасыз ету.
7. Әдіснамалық негізі
Бағдарлама жүйелілік принципіне сүйенеді. Оқу материалы жеңілден күрделіге, қарапайымнан тереңге қарай өрістетіледі. Әрбір жаңа тақырып бұрынғы біліммен байланыста түсіндіріледі. Зерттеу нәтижелері әдіснамалық негіздермен салыстырылып, дәйектілік сақталады.
8. Нәтиженің дұрыстығы мен сенімділігі
Бағдарлама ғылыми ұстанымдарға негізделгендіктен, алынған нәтижелер сенімді және дәлелді. Әрбір тұжырым педагогикалық тәжірибемен расталады.
9. Күтілетін нәтиже
Бағдарламаны іске асырудың нәтижесінде оқушылардың білім деңгейі мен тұлғалық дамуы біршама жоғарылап, олар математика пәніне терең қызығушылықпен қарайды. Әрбір оқушы тек сызықтық теңдеулер мен теңсіздіктерді шешіп қана қоймай, бұл білімді өмірде қолдануға бейімделеді. Төменде күтілетін нәтижелер бірнеше қырынан қарастырылады.
1) Теориялық білімді меңгеру
Оқушылар ең алдымен сызықтық теңдеулердің анықтамасын, олардың құрылымын, коэффициенттердің рөлін, түбір ұғымын, шешу жолдарын толық меңгереді. Мысалы:
-
Бір айнымалысы бар сызықтық теңдеулерді шешу;
-
Екі айнымалысы бар сызықтық теңдеулер жүйесін шешу;
-
Сызықтық теңсіздіктерді шешу және олардың сан осінде кескінделуі;
-
Екі айнымалысы бар сызықтық теңсіздіктер жүйесін график арқылы шешу.
Бұл білімдер алдағы алгебра, геометрия, анализ бастамалары, тіпті қолданбалы математика бөлімдерін оқуда мықты негіз болады.
2) Практикалық дағдылардың қалыптасуы
Оқушылар алған білімін түрлі практикалық есептерде қолдануды үйренеді. Мысалы, дүкендегі тауардың бағасын есептеу, жолға кеткен уақытты анықтау, өндірістік шығын мен пайданы салыстыру сияқты қарапайым мысалдар сызықтық теңдеулер арқылы шешілетінін түсінеді. Теңсіздіктер көмегімен күнделікті өмірдегі «артық-кем», «жеткілікті-жеткіліксіз», «үлкен-кіші» сияқты ұғымдар сандық тұрғыда сипатталады.
Мұндай тапсырмалар оқушының өмірлік тәжірибесін байытып, математикалық білімнің нақты пайдасын көрсетеді.
3) Логикалық ойлаудың дамуы
Сызықтық теңдеулерді шешу барысында оқушы әрқашан талдау, салыстыру, қорыту әрекеттерін орындайды. Бұл – логикалық ойлауды жетілдіреді. Теңдеуді шешкенде «неге дәл осылай істеу керек?» деген сұрақтарға жауап іздеу арқылы олар себеп-салдарлық байланысты түсінеді. Ал теңсіздіктерді шешу барысында ықтимал нұсқаларды қарастырып, ішінен дұрысын таңдау – оқушыны ойлануға, шешім қабылдауға жетелейді.
4) Зерттеушілік қабілеттің артуы
Бағдарламада оқушыға дайын ережелерді беріп қана қоймай, олардың шығу жолын өз бетінше табуға бағытталған тапсырмалар ұсынылады. Мысалы, бірнеше нақты мысалды шығара отырып, жалпы заңдылықты табу, теңдеудің шешімін график арқылы тексеру, теңсіздіктердің шексіз шешімін талдау сияқты әрекеттер оқушыларды зерттеуге баулиды.
Бұл – ғылыми көзқарастың қалыптасуына әкелетін маңызды қадам.
5) Ақпараттық технологияларды пайдалану дағдысы
Бағдарламаны оқыту барысында калькулятор, интерактивті тақта, компьютерлік бағдарламалар (GeoGebra, Desmos, Excel) қолдану көзделеді. Мұндай құралдар теңдеулер мен теңсіздіктердің шешімін тексеруге, графиктерін тұрғызуға, нәтижелерді салыстыруға мүмкіндік береді. Оқушылар математикалық білімді цифрлық ортада қолдануды үйреніп, заманауи технологияларды тиімді пайдалануға дағдыланады.
6) Пәнаралық байланыстарды түсіну
Сызықтық теңдеулер тек математикада ғана емес, басқа пәндерде де қолданылады. Мысалы:
-
Физикада қозғалыс жылдамдығы, уақыт және қашықтық арасындағы байланыстарды есептеу;
-
Химияда реакция теңдеулерін теңестіру;
-
Экономикада шығын мен табысты салыстыру;
-
Информатикада алгоритм құру кезінде шарттарды жазу.
Мұндай байланыстар оқушының дүниетанымын кеңейтеді, білімді біртұтас жүйе ретінде қабылдауға көмектеседі.
7) Шығармашылық қабілеттің дамуы
Оқушылар теңдеулер мен теңсіздіктерді шешудің дәстүрлі әдістерін меңгергеннен кейін, оларды қысқаша, тиімді жолдармен шығаруға дағдыланады. Бір есепті бірнеше тәсілмен шығарып көру, өз бетінше жаңа әдіс ойлап табу – шығармашылық ойлауды дамытады. Бұл дағды болашақта кез келген салада жаңашыл көзқараспен жұмыс істеуге көмектеседі.
8) Тұлғалық қасиеттердің қалыптасуы
Бағдарламаның басты нәтижелерінің бірі – оқушының жеке тұлғалық дамуы. Оқушы:
-
Жауапкершілікті сезінеді (есептің дұрыстығына мән беру арқылы);
-
Сабырлылыққа үйренеді (қиын есепті шешу үшін табандылық қажет);
-
Өз ой-пікірін дәлелдеп айтуға машықтанады (шешім жолын түсіндіру барысында);
-
Басқаның пікірін тыңдап, оны бағалауға үйренеді (топтық жұмыс кезінде).
Бұл қасиеттер оқушыны тек жақсы математик қылып қана қоймай, өмірде де табысты тұлға болуына ықпал етеді.
9) Құндылықтық бағдардың қалыптасуы
Бағдарламада есептерді таңдауда ұлттық құндылықтар да ескеріледі. Мысалы, қазақтың тұрмыс-тіршілігіне қатысты есептер, экологиялық мәселелер, экономикалық жағдайлар сызықтық теңдеулер мен теңсіздіктер арқылы сипатталуы мүмкін. Бұл оқушының туған жеріне, халқына деген сүйіспеншілігін арттырады. Сонымен қатар экологиялық сана, үнемшілдік, әділдік сияқты құндылықтар да тәрбиеленеді.
10) Болашаққа бағытталу
Бағдарлама нәтижесінде оқушылар алдағы білім сатыларында және кәсіби өмірінде сызықтық теңдеулер мен теңсіздіктерді еркін қолдана алады. Математикалық ойлау қабілеті – кез келген мамандықта қажет дағды. Экономист, инженер, программист, физик, химик, биолог – барлығы да теңдеулерді пайдаланатыны белгілі. Сондықтан бұл білімнің болашақтағы пайдасы орасан зор.
Жалпы алғанда, ұсынылып отырған бағдарламаны жүзеге асырудың күтілетін нәтижелері мыналар:
-
Сызықтық теңдеулер мен теңсіздіктерді толық меңгерген, оларды өмірде қолдана білетін оқушы;
-
Ғылыми тұрғыда ойлайтын, дәлелдей алатын, зерттеуге бейім тұлға;
-
Ақпараттық технологияларды еркін қолдана алатын заманауи жас ұрпақ;
-
Ұлттық құндылықтарды құрметтейтін, экологиялық мәдениеті қалыптасқан азамат;
-
Бәсекеге қабілетті, ойы жүйрік, логикасы мықты, шығармашыл жеке тұлға.
Осы нәтижелер – бағдарламаның басты жетістігі әрі мақсаты.
Тұрақталу-мазмұндық бөлімі
|
№ |
Сабақ тақырыбы |
Сағат саны |
Негізгі ұғымдар |
|
I бөлім. Бір айнымалысы бар сызықтық теңдеулер |
|||
|
1 |
Теңдеу ұғымы. Теңдеудің шешімі |
1 |
теңдеу, шешім |
|
2 |
Теңдеуді шешудің негізгі қасиеттері |
1 |
қасиет, түрлендіру |
|
3 |
Бір қадамды теңдеулер |
1 |
қосу, азайту |
|
4 |
Күрделі теңдеулер: көбейту, бөлу |
1 |
көбейту, бөлу |
|
5 |
Теңдеуді тексеру |
1 |
тексеру, дұрыстық |
|
6 |
Құрама теңдеулер |
1 |
скоба, амалдар |
|
7 |
Ұқсас мүшелері бар теңдеулер |
1 |
ықшамдау, ұқсас |
|
8 |
Бір айнымалысы бар мәтіндік есептер |
1 |
мәтін, модельдеу |
|
9 |
Практикалық есептер |
1 |
өмірлік, қолдану |
|
10 |
Қорытындылау |
1 |
жүйелеу, қайталау |
|
11 |
Бақылау жұмысы №1 |
1 |
бақылау, білім |
|
12 |
Қателермен жұмыс |
1 |
қате, түзету |
|
II бөлім. Бір айнымалысы бар сызықтық теңсіздіктер |
|||
|
13 |
Теңсіздік ұғымы |
1 |
теңсіздік, белгі |
|
14 |
Бір қадамды теңсіздіктер |
1 |
қосу, азайту |
|
15 |
Күрделі теңсіздіктер |
1 |
көбейту, бөлу |
|
16 |
Теңсіздіктің шешім жиыны |
1 |
жиын, сан осі |
|
17 |
Бір айнымалысы бар мәтіндік теңсіздіктер |
1 |
мәтін, теңсіздік |
|
18 |
Қорытындылау |
1 |
жинақтау, бекіту |
|
19 |
Бақылау жұмысы №2 |
1 |
бақылау, нәтиже |
|
20 |
Қателерді талдау |
1 |
қателер, түзету |
|
III бөлім. Екі айнымалысы бар сызықтық теңдеулер және жүйелер |
|||
|
21 |
Екі айнымалысы бар сызықтық теңдеу |
1 |
айнымалы, теңдеу |
|
22 |
Екі айнымалысы бар сызықтық теңдеудің графигі |
1 |
график, түзү |
|
23 |
Сызықтық теңдеулер жүйесі |
1 |
жүйе, шешім |
|
24 |
Жүйені графиктік тәсілмен шешу |
1 |
график, қиылысу |
|
25 |
Жүйені алмастыру тәсілімен шешу |
1 |
алмастыру, әдіс |
|
26 |
Жүйені қосу-азайту тәсілімен шешу |
1 |
қосу, азайту |
|
27 |
Сызықтық теңдеулер жүйесін практикалық есептерде қолдану |
1 |
мәтін, қолдану |
|
28 |
Қорытындылау |
1 |
жүйелеу, қайталау |
|
29 |
Бақылау жұмысы №3 |
1 |
бақылау, нәтиже |
|
30 |
Қателермен жұмыс |
1 |
талдау, түзету |
|
IV бөлім. Екі айнымалысы бар сызықтық теңсіздіктер |
|||
|
31 |
Екі айнымалысы бар сызықтық теңсіздіктер |
1 |
теңсіздік, аймақ |
|
32 |
Екі айнымалысы бар теңсіздіктер жүйесі |
1 |
жүйе, шешім облысы |
|
33 |
Қорытынды қайталау |
1 |
жинақтау, қайталау |
|
34 |
Қорытынды бақылау жұмысы |
1 |
білім, бағалау |
Теңдеу ұғымы және
шешімі
Оқушыларға теңдеу ұғымы түсіндіріледі, шешім табу жолдары
көрсетіледі. Қарапайым мысалдар арқылы «теңдеу» сөзіне нақты
түсінік қалыптастырылады.
Теңдеуді шешудің негізгі
қасиеттері
Теңдеудің екі жағына бірдей амал қолдануға болатыны түсіндіріледі.
Бұл қасиеттерді пайдаланып есеп шығаруға
үйретіледі.
Бір қадамды
теңдеулер
Қосу немесе азайту арқылы шешілетін теңдеулер талданады. Оқушылар
қарапайым жаттығулар арқылы алғашқы дағдыларын
дамытады.
Күрделі теңдеулер: көбейту,
бөлу
Көбейту немесе бөлу арқылы шешілетін теңдеулермен жұмыс
жүргізіледі. Оқушы біртіндеп теңдеулерді шешудің күрделірек
түрлерін меңгереді.
Теңдеуді
тексеру
Шешімді теңдеуге қайта қою арқылы тексеру тәсілі үйретіледі. Бұл
оқушылардың есепті дұрыс шығаруға дағдылануына мүмкіндік
береді.
Құрама
теңдеулер
Скобасы бар, бірнеше амалдан тұратын теңдеулерді шешу жолдары
қарастырылады. Ұқсас мүшелерді ықшамдау тәсілдері
көрсетіледі.
Ұқсас мүшелері бар
теңдеулер
Ұқсас мүшелерді біріктіру арқылы теңдеуді ықшамдау тәсілдері
түсіндіріледі. Бұл сабақ оқушылардың талдау және түрлендіру
қабілетін дамытады.
Мәтіндік есептерді
теңдеумен шығару
Өмірден алынған мәтіндік есептер теңдеуге айналдырылады. Оқушылар
қарапайым жағдайларды теңдеумен модельдеуге
үйренеді.
Практикалық
есептер
Өмірлік жағдайларға негізделген есептер шығарылады. Оқушылар
теңдеулерді қолданудың маңызын
түсінеді.
Қорытындылау
сабағы
Бір айнымалысы бар сызықтық теңдеулер бойынша білім жүйеленіп,
қайталанады. Оқушылар меңгерген білімін
жинақтайды.
Бақылау
жұмысы
Теңдеулер бойынша білім мен біліктер тексеріледі. Оқушы алған
білімін іс жүзінде
көрсетеді.
Қателермен
жұмыс
Бақылау жұмысының нәтижелері талданады. Қателердің себебі
анықталып, түзету жолдары
қарастырылады.
Теңсіздік
ұғымы
Теңсіздік белгілері түсіндіріліп, қарапайым мысалдар келтіріледі.
«Үлкен», «кіші» ұғымдарына нақты түсінік
беріледі.
Бір қадамды
теңсіздіктер
Қосу және азайту амалдары арқылы шешілетін теңсіздіктерді шығару
үйретіледі.
Күрделі
теңсіздіктер
Көбейту, бөлу тәсілдері арқылы теңсіздіктерді шешу
қарастырылады.
Теңсіздіктің шешім
жиыны
Теңсіздіктің шешім жиыны түсіндіріледі және ол сан осінде
кескінделеді.
Мәтіндік
теңсіздіктер
Өмірлік жағдайларды теңсіздік түрінде жазып, шешімін табу жолдары
үйретіледі.
Қорытындылау
Бір айнымалысы бар теңсіздіктер бойынша білім жинақталады,
бекітіледі.
Бақылау
жұмысы
Оқушылардың теңсіздіктерді шешу дағдылары
тексеріледі.
Қателерді
талдау
Бақылау жұмысының нәтижелері қаралып, қателер
түзетіледі.
Екі айнымалысы бар сызықтық
теңдеу
Екі айнымалысы бар теңдеудің анықтамасы беріледі. Оқушылар мысалдар
арқылы түсінік
қалыптастырады.
Екі айнымалысы бар сызықтық
теңдеудің графигі
Координаталық жазықтықта түзудің графигін салу
үйретіледі.
Сызықтық теңдеулер
жүйесі
Теңдеулер жүйесінің ұғымы енгізіліп, шешім табу жолдары
көрсетіледі.
Жүйені графиктік тәсілмен
шешу
Түзулердің қиылысу нүктесі арқылы жүйені шешу әдісі
меңгертіледі.
Жүйені алмастыру тәсілімен
шешу
Алмастыру әдісін қолдану арқылы жүйені шешу жолдары
көрсетіледі.
Жүйені қосу-азайту
тәсілімен шешу
Қосу және азайту әдісін пайдалану арқылы жүйелерді шешу
үйретіледі.
Жүйені практикалық
есептерде қолдану
Мәтіндік есептер теңдеулер жүйесі арқылы шығарылып, нақты өмірлік
мысалдар қарастырылады.
Қорытындылау
сабағы
Екі айнымалысы бар теңдеулер мен жүйелер бойынша білім
жинақталады.
Бақылау
жұмысы
Тақырып бойынша білім
тексеріледі.
Қателермен
жұмыс
Жіберілген қателер талданып,
түзетіледі.
Екі айнымалысы бар сызықтық
теңсіздіктер
Сызықтық теңсіздіктердің графигін салу және шешім облысын белгілеу
үйретіледі.
Екі айнымалысы бар
теңсіздіктер жүйесі
Жүйені графиктік әдіспен шығару, шешім аймағын табу
қарастырылады.
Қорытынды
қайталау
Барлық тақырыптар бойынша білім жинақталып,
пысықталады.
Қорытынды бақылау
жұмысы
Жалпы тарау бойынша оқушылардың білім деңгейі
бағаланады.
Ақпараттық бөлім
Бағалау критерийлері
|
Бағалау |
Балл |
Дескриптор |
|
Теориялық білімді меңгеру |
0–10 |
- Сызықтық теңдеулер
мен теңсіздіктердің анықтамасын дұрыс айтады; |
|
Есеп шығару дағдысы |
0–10 |
- Бір айнымалысы бар
теңдеулерді дұрыс шешеді; |
|
Мәтіндік есептерді модельдеу |
0–10 |
- Өмірлік жағдайды
теңдеу немесе теңсіздік түрінде құрастырады; |
|
Логикалық ойлау және дәлелдеу |
0–10 |
- Шешімін түсіндіре
отырып орындайды; |
|
Графиктік бейнелеу дағдысы |
0–10 |
- Координаталық
жазықтықта түзудің графигін дұрыс тұрғызады; |
|
Шығармашылық және ізденіс |
0–10 |
- Есеп шығарудың
тиімді жолын ұсынады; |
|
Жауаптың толықтығы мен дәлдігі |
0–10 |
- Есепті соңына
дейін шығарады; |
|
Сабақтағы белсенділік |
0-10 |
- Сұрақтарға
белсенді жауап береді; |
Нормативтік бөлім
Күнтізбелік-тақырыптық жоспар
Аптасына-1 сағат. Жылына 34 сағат
|
№ |
Сабақ тақырыбы |
Оқу мақсаты |
Сағат саны |
Күтілетін нәтиже |
|
1 |
Теңдеу ұғымы. Теңдеудің шешімі |
Теңдеу ұғымын түсіну, шешімін табуды үйрену |
1 |
Теңдеуді анықтап, шешімін таба алады |
|
2 |
Теңдеуді шешудің негізгі қасиеттері |
Қасиеттерді түсіну және қолдану |
1 |
Негізгі қасиеттерді қолданып теңдеуді шешеді |
|
3 |
Бір қадамды теңдеулер |
Қосу, азайту арқылы шешу |
1 |
Қарапайым теңдеулерді шығарады |
|
4 |
Күрделі теңдеулер: көбейту, бөлу |
Көбейту, бөлу тәсілімен шешу |
1 |
Күрделі теңдеулерді шығарады |
|
5 |
Теңдеуді тексеру |
Шешімді орнына қою арқылы тексеру |
1 |
Нәтижесін тексереді |
|
6 |
Құрама теңдеулер |
Скобасы бар, бірнеше амалдан тұратын теңдеулер |
1 |
Құрама теңдеулерді шығарады |
|
7 |
Ұқсас мүшелері бар теңдеулер |
Теңдеуді ықшамдау |
1 |
Ұқсас мүшелерді біріктіріп шешеді |
|
8 |
Бір айнымалысы бар мәтіндік есептер |
Теңдеумен шығару |
1 |
Мәтінді теңдеуге айналдырады |
|
9 |
Практикалық есептер |
Өмірлік жағдайларды модельдеу |
1 |
Практикада теңдеуді қолданады |
|
10 |
Қорытындылау |
Бір айнымалысы бар теңдеулер |
1 |
Білімін жүйелейді |
|
11 |
Бақылау жұмысы №1 |
Бір айнымалы теңдеулер |
1 |
Білімін бағалатады |
|
12 |
Қателермен жұмыс |
Бақылау жұмысын талдау |
1 |
Қателерін түзетеді |
|
13 |
Теңсіздік ұғымы |
«>, <, ≥, ≤» белгілерін түсіну |
1 |
Теңсіздікті ажыратады |
|
14 |
Бір қадамды теңсіздіктер |
Қосу, азайту тәсілдері |
1 |
Қарапайым теңсіздіктерді шығарады |
|
15 |
Күрделі теңсіздіктер |
Көбейту, бөлу тәсілдері |
1 |
Күрделі теңсіздіктерді шешеді |
|
16 |
Теңсіздіктің шешім жиыны |
Шешім жиынын сан осінде кескіндеу |
1 |
Сан осінде белгілейді |
|
17 |
Бір айнымалысы бар мәтіндік теңсіздіктер |
Өмірлік есептерді теңсіздікпен шығару |
1 |
Мәтіндік есепті теңсіздікпен модельдейді |
|
18 |
Қорытындылау |
Бір айнымалысы бар теңсіздіктер |
1 |
Білімін жинақтайды |
|
19 |
Бақылау жұмысы №2 |
Бір айнымалысы бар теңсіздіктер |
1 |
Тақырып бойынша білімін бағалатады |
|
20 |
Қателерді талдау |
Бақылау жұмысымен жұмыс |
1 |
Қателерді түзетеді |
|
21 |
Екі айнымалысы бар сызықтық теңдеу |
Анықтамасы, мысалдар |
1 |
Екі айнымалысы бар теңдеуді түсінеді |
|
22 |
Екі айнымалысы бар сызықтық теңдеудің графигі |
Координаталық жазықтықта кескіндеу |
1 |
График тұрғызады |
|
23 |
Сызықтық теңдеулер жүйесі |
Жүйенің анықтамасы |
1 |
Жүйені құрады |
|
24 |
Жүйені графиктік тәсілмен шешу |
Түзулерді кескіндеу арқылы шешу |
1 |
Графикпен шешімін табады |
|
25 |
Жүйені алмастыру тәсілімен шешу |
Әдісті қолдану |
1 |
Алмастыру тәсілін меңгереді |
|
26 |
Жүйені қосу-азайту тәсілімен шешу |
Қосу, азайту әдісін қолдану |
1 |
Жүйені шығарады |
|
27 |
Сызықтық теңдеулер жүйесін практикалық есептерде қолдану |
Экономикалық, физикалық есептер |
1 |
Жүйемен мәтіндік есеп шығарады |
|
28 |
Қорытындылау |
Екі айнымалысы бар теңдеулер және жүйелер |
1 |
Білімін жүйелейді |
|
29 |
Бақылау жұмысы №3 |
Екі айнымалысы бар теңдеулер және жүйелер |
1 |
Білімін тексереді |
|
30 |
Қателермен жұмыс |
Бақылауды талдау |
1 |
Қателерді түзетеді |
|
31 |
Екі айнымалысы бар сызықтық теңсіздіктер |
Түсінік беру |
1 |
Теңсіздікті графикте кескіндейді |
|
32 |
Екі айнымалысы бар теңсіздіктер жүйесі |
Шешу жолдары |
1 |
Жүйенің шешім облысын табады |
|
33 |
Қорытынды қайталау |
Барлық тақырыпты пысықтау |
1 |
Білімін толық бекітеді |
|
34 |
Қорытынды бақылау жұмысы |
Жалпы тарау |
1 |
Қорытынды нәтижесін бағалатады |
Оқу-әдістемелік бөлім
Қысқа мерзімді сабақ жоспары №1
|
Білім беру ұйымының атауы |
|
|||||
|
Пәні: |
|
|||||
|
Бөлім: |
|
|||||
|
Педагогтің аты-жөні: |
|
|||||
|
Күні: |
|
|||||
|
Сыныбы: |
Қатысушылар саны |
Қатыспағандар саны |
||||
|
Тақырыбы |
Теңдеу ұғымы. Теңдеудің шешімі |
|||||
|
Сабақтың мақсаты |
–
Теңдеу ұғымын түсіндіру және
оны өмірлік мысалдарда қолдана алу; |
|||||
|
Құндылықтарды дарыту |
Бұл сабақ оқушыларды логикалық ойлауға, талдау жасауға, өмірлік жағдайды математикалық жолмен шешуге үйретеді. Теңдеулерді шешу арқылы оқушыларда табандылық, дәлдік, жауапкершілік сияқты қасиеттер қалыптасады. |
|||||
|
Сабақтың барысы |
||||||
|
Сабақтың жоспарланған кезеңдері |
Педагогтің әрекеті |
Оқушының әрекеті |
Бағалау |
Ресурс тар |
||
|
Ұйымдастыру кезеңі |
"Көңіл-күйіңді көрсет"
Мақсаты: Оқушылардың көңіл-күйін
анықтау, сабаққа дайындық деңгейін
бақылау.
|
Нұсқаулықтарды орындайды |
Ауызша , мадақтау |
|
||
|
Жаңа сабақ |
Түсіндіру
бөлімі
Есептер
Есеп
1.
Есеп
2.
Есеп
3. Тапсырмалар
Мәтіндік
тапсырма
Шешуі: х – қалам саны. Дескриптор: мәтінді теңдеуге айналдырады, дұрыс шешім табады, жауабын өмірлік жағдаймен байланыстырады. Жаттығулар
Дескриптор: әрбір жаттығуда амал ретін сақтайды, шешімін табады, жауабын жазады. Тест тапсырмасы (қиындау)
Сұрақ:
Егер
4х–7=13 болса, онда х мәні нешеге тең?
Шешуі: 4х=20 → х=5. Дескриптор: теңдеуді түрлендіреді, дұрыс жауабын таңдайды |
Тапсырмаларды орындайды Тапсырмаларды орындайды Тапсырмаларды орындайды |
Дескриптор ,
бағдаршам ,
ауызша мадақтау
|
|
||
|
Сабақты бекіту |
«Табыс сатысы»
|
Нұсқаулықты орындайды |
Кері байланыс жасайды |
|
||
Қысқа мерзімді сабақ жоспары №2
|
Білім беру ұйымының атауы |
|
|||||||||||||||||
|
Пәні: |
|
|||||||||||||||||
|
Бөлім: |
|
|||||||||||||||||
|
Педагогтің аты-жөні: |
|
|||||||||||||||||
|
Күні: |
|
|||||||||||||||||
|
Сыныбы: |
Қатысушылар саны |
Қатыспағандар саны |
||||||||||||||||
|
Тақырыбы |
Теңдеуді шешудің негізгі қасиеттері |
|||||||||||||||||
|
Сабақтың мақсаты |
–
Теңдеуді шешудің негізгі қасиеттерін
түсіндіру; |
|||||||||||||||||
|
Құндылықтарды дарыту |
Бұл сабақта оқушылар шындыққа ұмтылу, дәлдік, ой еңбегіне жауапкершілікпен қарау құндылықтарын меңгереді. Теңдеуді шешудің қасиеттерін қолдана отырып, олар дәл есептеуді, жүйелі ойлауды және қателікті тексеруді үйренеді. |
|||||||||||||||||
|
Сабақтың барысы |
||||||||||||||||||
|
Сабақтың жоспарланған кезеңдері |
Педагогтің әрекеті |
Оқушының әрекеті |
Бағалау |
Ресурс тар |
||||||||||||||
|
Ұйымдастыру кезеңі |
"Құпия сыйлық" әдісі
Мақсаты: Оқушыларды ынталандыру,
олардың сабаққа деген қызығушылығын
ояту.
|
Нұсқаулықтарды орындайды |
Ауызша , мадақтау |
|
||||||||||||||
|
Жаңа сабақ |
Теңдеуді шешудің негізгі қасиеті – теңдеудің екі жағына да бірдей амал қолданғанда теңдік өзгермейді.
Мысал: Есептер
Есеп
1.
Есеп
2.
Есеп
3. Тапсырма Кестелік тапсырма: Төмендегі теңдеулерді шешіп, х мәнін кестеге толтыр.
Дескриптор: кестені толтырады, әр теңдеуді дұрыс шешеді. Жаттығулар
Дескриптор: әрбір жаттығуда теңдеудің екі жағына бірдей амал қолданады, дұрыс шешімін табады. Мәтіндік тапсырма Әкесі ұлының жасынан 4 есе үлкен. Егер олардың жас айырмашылығы 27 болса, ұлы неше жаста? Шешуі: ұлы – х жас. Әкесі – 4х
жас. Дескриптор: мәтіннен теңдеу құрады, шешімін табады, жауабын нақты тұжырымдайды. Тест тапсырмасы Егер 5х–8=17 болса, онда х
мәні нешеге тең? Шешуі: 5х=25 → х=5. Дескриптор: теңдеуді шешу үшін қосу және бөлу амалдарын қолданады, дұрыс жауапты табады. |
Тапсырмаларды орындайды Тапсырмаларды орындайды Тапсырмаларды орындайды |
Дескриптор ,
бағдаршам ,
ауызша мадақтау
|
|
||||||||||||||
|
Сабақты бекіту |
«Екі жұлдыз, бір тілек»
|
Нұсқаулықты орындайды |
Кері байланыс жасайды |
|
||||||||||||||
Қысқа мерзімді сабақ жоспары №3
|
Білім беру ұйымының атауы |
|
|||||
|
Пәні: |
|
|||||
|
Бөлім: |
|
|||||
|
Педагогтің аты-жөні: |
|
|||||
|
Күні: |
|
|||||
|
Сыныбы: |
Қатысушылар саны |
Қатыспағандар саны |
||||
|
Тақырыбы |
Бір қадамды теңдеулер |
|||||
|
Сабақтың мақсаты |
–
Бір қадамды теңдеулерді қосу немесе азайту
тәсілдерімен шешу; |
|||||
|
Құндылықтарды дарыту |
Бұл сабақ оқушыларды шындыққа ұмтылуға, дәлдік пен ұқыптылыққа, жауапкершілікке тәрбиелейді. Шешім жиынын сан осінде кескіндеу арқылы оқушы математикалық ойды көрнекі түрде жеткізуді үйренеді. |
|||||
|
Сабақтың барысы |
||||||
|
Сабақтың жоспарланған кезеңдері |
Педагогтің әрекеті |
Оқушының әрекеті |
Бағалау |
Ресурс тар |
||
|
Ұйымдастыру кезеңі |
"Сиқырлы сөз" әдісі
Мақсаты: Сабақтың тақырыбына
қызығушылық тудыру, топтық жұмысқа
ынталандыру.
|
Нұсқаулықтарды орындайды |
Ауызша , мадақтау |
|
||
|
Жаңа сабақ |
Бір қадамды теңдеулер – тек бір амал қолдану арқылы шешілетін теңдеулер.
Мысал: Есептер
Есеп
1.
Есеп
2.
Есеп
3. Тапсырма (шағын өмірлік мысал) Оқушы 25 бет кітап оқыды, бұл – жалпы бет санынан 15 бетке кем. Кітап неше беттен тұрады?
Шешуі: х – кітаптың жалпы бет
саны. Дескриптор: мәтіннен теңдеу құрады, бір қадаммен шешеді, жауабын дұрыс жазады. Жаттығулар
Дескриптор: әр теңдеуді бір амал арқылы шешеді, дұрыс нәтижеге келеді. Тест тапсырмасы
Егер х+14=29 болса, онда х
мәні нешеге тең?
Шешуі: х=29–14=15. Дескриптор: теңдеуді бір амалмен шығарады, дұрыс жауапты табады. |
Тапсырмаларды орындайды Тапсырмаларды орындайды Тапсырмаларды орындайды |
Дескриптор ,
бағдаршам ,
ауызша мадақтау
|
|
||
|
Сабақты бекіту |
«Бағдаршам» әдісі
|
Нұсқаулықты орындайды |
Кері байланыс жасайды |
|
||
Қысқа мерзімді сабақ жоспары №4
|
Білім беру ұйымының атауы |
|
|||||
|
Пәні: |
|
|||||
|
Бөлім: |
|
|||||
|
Педагогтің аты-жөні: |
|
|||||
|
Күні: |
|
|||||
|
Сыныбы: |
Қатысушылар саны |
Қатыспағандар саны |
||||
|
Тақырыбы |
Күрделі теңдеулер: көбейту, бөлу |
|||||
|
Сабақтың мақсаты |
–
Көбейту және бөлу амалдарын
қолданып теңдеулерді шешу; |
|||||
|
Құндылықтарды дарыту |
–
Дәлдік пен ұқыптылыққа тәрбиелеу; |
|||||
|
Сабақтың барысы |
||||||
|
Сабақтың жоспарланған кезеңдері |
Педагогтің әрекеті |
Оқушының әрекеті |
Бағалау |
Ресурс тар |
||
|
Ұйымдастыру кезеңі |
"Бір сөзбен" әдісі
Мақсаты: Оқушылардың сабаққа деген
эмоционалдық дайындығын
анықтау.
|
Нұсқаулықтарды орындайды |
Ауызша , мадақтау |
|
||
|
Жаңа сабақ |
Бір қадамды теңдеулерді көбейту немесе бөлу тәсілдері арқылы шешеміз.
Мысал: Есептер
Есеп
1.
Есеп
2.
Есеп
3.
Есеп
4. Тапсырма (мәтіндік есеп) Бағасы 250 теңге дәптерден 5 дана сатып алды. Барлығы қанша теңге төленді?
Шешуі: х – жалпы баға. Дескриптор: мәтіннен теңдеу құрады, көбейту амалын қолданады, нәтижені дұрыс табады. Жаттығулар
Дескриптор: теңдеуді көбейту немесе бөлу арқылы шешеді, дұрыс нәтижеге келеді. Тест тапсырмасы
Егер 6х=54 болса, онда х мәні
нешеге тең?
Шешуі: х=54:6=9 Дескриптор: теңдеуді бөлу тәсілімен шығарады, дұрыс нұсқаны табады. |
Тапсырмаларды орындайды Тапсырмаларды орындайды Тапсырмаларды орындайды |
Дескриптор ,
бағдаршам ,
ауызша мадақтау
|
|
||
|
Сабақты бекіту |
«Бағдаршам» әдісі
|
Нұсқаулықты орындайды |
Кері байланыс жасайды |
|
||
Қысқа мерзімді сабақ жоспары №5
|
Білім беру ұйымының атауы |
|
|||||
|
Пәні: |
|
|||||
|
Бөлім: |
|
|||||
|
Педагогтің аты-жөні: |
|
|||||
|
Күні: |
|
|||||
|
Сыныбы: |
Қатысушылар саны |
Қатыспағандар саны |
||||
|
Тақырыбы |
Теңдеуді тексеру |
|||||
|
Сабақтың мақсаты |
–
Теңдеудің шешімін орнына қою арқылы тексеруді
меңгеру; |
|||||
|
Құндылықтарды дарыту |
–
Дәлдікке, ұқыптылыққа
тәрбиелеу; |
|||||
|
Сабақтың барысы |
||||||
|
Сабақтың жоспарланған кезеңдері |
Педагогтің әрекеті |
Оқушының әрекеті |
Бағалау |
Ресурс тар |
||
|
Ұйымдастыру кезеңі |
"Сиқырлы қорап" әдісі
Мақсаты: Оқушылардың қызығушылығын
арттыру, олардың сабаққа деген ынтасын
ояту.
|
Нұсқаулықтарды орындайды |
Ауызша , мадақтау |
|
||
|
Жаңа сабақ |
Теңдеуді тексеру үшін табылған айнымалы мәнін теңдеуге орнына қоямыз. Егер теңдік дұрыс орындалса – шешім дұрыс, егер орындалмаса – қате.
Мысал: Есептер
Есеп
1.
Есеп
2.
Есеп
3. Дескриптор: шешімді теңдеуге орнына қояды, теңдіктің дұрыстығын тексереді, қорытынды жасайды. Тапсырма (берілген шешімді тексеру)
Теңдеу: 5х–7=18 Дескриптор: дайын шешімді тексереді, қате екенін дәлелдейді. Жаттығулар (дайын шешімдерді тексеру)
Дескриптор: әр шешімді орнына қойып тексереді, дұрыстығын анықтайды. Тест тапсырмасы
Теңдеудің шешімін тексер:
4х–6=10, берілген шешім х=4.
Шешуі: 4·4–6=16–6=10 → 10=10
(дұрыс). Дескриптор: шешімді тексереді, дұрыс нұсқаны таңдайды. |
Тапсырмаларды орындайды Тапсырмаларды орындайды Тапсырмаларды орындайды |
Дескриптор ,
бағдаршам ,
ауызша мадақтау
|
|
||
|
Сабақты бекіту |
«Табыс сатысы»
|
Нұсқаулықты орындайды |
Кері байланыс жасайды |
|
||
Қысқа мерзімді сабақ жоспары №6
|
Білім беру ұйымының атауы |
|
|||||
|
Пәні: |
|
|||||
|
Бөлім: |
|
|||||
|
Педагогтің аты-жөні: |
|
|||||
|
Күні: |
|
|||||
|
Сыныбы: |
Қатысушылар саны |
Қатыспағандар саны |
||||
|
Тақырыбы |
Құрама теңдеулер |
|||||
|
Сабақтың мақсаты |
–
Құрама теңдеулерді (скобасы
бар, бірнеше амалдан тұратын) шешу тәсілдерін меңгерту; |
|||||
|
Құндылықтарды дарыту |
–
Дәлдік пен ұқыптылыққа
тәрбиелеу; |
|||||
|
Сабақтың барысы |
||||||
|
Сабақтың жоспарланған кезеңдері |
Педагогтің әрекеті |
Оқушының әрекеті |
Бағалау |
Ресурс тар |
||
|
Ұйымдастыру кезеңі |
"Жылы сөздер шеңбері"
Мақсаты: Оқушылардың көңіл-күйін
көтеру, достық қарым-қатынасты
қалыптастыру.
|
Нұсқаулықтарды орындайды |
Ауызша , мадақтау |
|
||
|
Жаңа сабақ |
Құрама теңдеулерде бірнеше
амал қатар кездеседі: қосу, азайту, көбейту, бөлу.
Мысалдар:
Есептер
Есеп
1.
Есеп
2.
Есеп
3.
Есеп
4. Тапсырма (жақшаны ашу)
(3х+2)–(х–5)=20 теңдеуін
шеш. Дескриптор: жақшаны ашады, ұқсас мүшелерді біріктіреді, шешімін табады. Жаттығулар (құрама амалдар)
Дескриптор: амалдардың ретін сақтайды, теңдеуді ықшамдап шешеді. Тест тапсырмасы
Құрама теңдеуді шеш:
(х+4)/2=10
Шешуі: х+4=20 → х=16 Дескриптор: бөлшек теңдеуді көбейту арқылы шығарады, дұрыс жауапты табады. |
Тапсырмаларды орындайды Тапсырмаларды орындайды Тапсырмаларды орындайды |
Дескриптор ,
бағдаршам ,
ауызша мадақтау
|
|
||
|
Сабақты бекіту |
«Екі жұлдыз, бір тілек»
|
Нұсқаулықты орындайды |
Кері байланыс жасайды |
|
||
Қысқа мерзімді сабақ жоспары №7
|
Білім беру ұйымының атауы |
|
|||||
|
Пәні: |
|
|||||
|
Бөлім: |
|
|||||
|
Педагогтің аты-жөні: |
|
|||||
|
Күні: |
|
|||||
|
Сыныбы: |
Қатысушылар саны |
Қатыспағандар саны |
||||
|
Тақырыбы |
Ұқсас мүшелері бар теңдеулер |
|||||
|
Сабақтың мақсаты |
–
Ұқсас мүшелерді анықтап, оларды біріктіру арқылы
теңдеулерді ықшамдау; |
|||||
|
Құндылықтарды дарыту |
–
Дәлдікке, жүйелілікке тәрбиелеу; |
|||||
|
Сабақтың барысы |
||||||
|
Сабақтың жоспарланған кезеңдері |
Педагогтің әрекеті |
Оқушының әрекеті |
Бағалау |
Ресурс тар |
||
|
Ұйымдастыру кезеңі |
"Комплимент көпірі" әдісі
Мақсаты: Оқушылар арасында достық
қарым-қатынас орнату, сенімділік
қалыптастыру.
|
Нұсқаулықтарды орындайды |
Ауызша , мадақтау |
|
||
|
Жаңа сабақ |
Ұқсас мүшелер – айнымалысы
бірдей, дәрежесі бірдей және тек коэффициенттері әртүрлі болатын
мүшелер. Ұқсас мүшелерді қосу немесе азайту арқылы теңдеуді ықшамдаймыз. Мысалдар:
Есептер
Есеп
1.
Есеп
2.
Есеп
3.
Есеп
4. Тапсырма (өмірлік мысал) Әсет пен Марат жиналған теңгелерін санады. Әсетте х теңге бар, Маратта 2х теңге бар. Екеуінде барлығы 1200 теңге. Әрқайсысында қанша теңге болғанын тап.
Шешуі: х+2х=1200 → 3х=1200 →
х=400 Дескриптор: мәтіннен теңдеу құрады, ұқсас мүшелерді біріктіреді, шешімін табады. Жаттығулар (ықшамдау)
Дескриптор: ұқсас мүшелерді қосады/азайтады, ықшамдалған теңдеуді шешеді. Тест тапсырмасы
Егер 9х–4х=25 болса, онда х
мәні нешеге тең?
Шешуі: 5х=25 → х=5 Дескриптор: ұқсас мүшелерді ықшамдап, теңдеуді дұрыс шешеді. |
Тапсырмаларды орындайды Тапсырмаларды орындайды Тапсырмаларды орындайды |
Дескриптор ,
бағдаршам ,
ауызша мадақтау
|
|
||
|
Сабақты бекіту |
«Не ұнады? Не қиын болды? Не үйрендім?» ? Нұсқаулық:
|
Нұсқаулықты орындайды |
Кері байланыс жасайды |
|
||
Қысқа мерзімді сабақ жоспары №8
|
Білім беру ұйымының атауы |
|
|||||
|
Пәні: |
|
|||||
|
Бөлім: |
|
|||||
|
Педагогтің аты-жөні: |
|
|||||
|
Күні: |
|
|||||
|
Сыныбы: |
Қатысушылар саны |
Қатыспағандар саны |
||||
|
Тақырыбы |
Мәтіндік есептерді теңдеумен шығару |
|||||
|
Сабақтың мақсаты |
–
Мәтіндік есепті талдау, айнымалы енгізу және
теңдеу құру; |
|||||
|
Құндылықтарды дарыту |
–
Логикалық ойлау және талдау
қабілетін дамыту; |
|||||
|
Сабақтың барысы |
||||||
|
Сабақтың жоспарланған кезеңдері |
Педагогтің әрекеті |
Оқушының әрекеті |
Бағалау |
Ресурс тар |
||
|
Ұйымдастыру кезеңі |
"Музыкалық серпін" әдісі
Мақсаты: Оқушылардың сергектігін
арттыру, сабаққа дайындығын
тексеру.
|
Нұсқаулықтарды орындайды |
Ауызша , мадақтау |
|
||
|
Жаңа сабақ |
Мәтіндік есепті теңдеумен шығару үшін келесі қадамдар орындалады:
Мысал: Есептер
Есеп 1 (жасқа
байланысты):
Есеп 2 (бағаға
байланысты):
Есеп 3 (жолға
байланысты): Тапсырма (өмірлік мысал) Әкесі 40 жаста, баласы 10 жаста. Неше жылдан соң әкесі баласынан 2 есе үлкен болады?
Шешуі: х – жыл саны. Дескриптор: айнымалыны дұрыс енгізеді, теңдеу құрады, шешімін табады, қорытынды жасайды. Жаттығулар (қысқа мәтіндік есептер)
Дескриптор: мәтінді теңдеуге айналдырады, шешімін табады, нәтижені тұжырымдайды. Тест тапсырмасы
Екі санның қосындысы 45. Оның
біреуі 18 болса, екіншісі нешеге тең?
Шешуі: х+18=45 → х=27. Дескриптор: теңдеу құрады, есепті дұрыс шығарады, нұсқаны табады. |
Тапсырмаларды орындайды Тапсырмаларды орындайды Тапсырмаларды орындайды |
Дескриптор ,
бағдаршам ,
ауызша мадақтау
|
|
||
|
Сабақты бекіту |
«Жетістік баспалдағы» ? Нұсқаулық:
|
Нұсқаулықты орындайды |
Кері байланыс жасайды |
Стикер |
||
Қысқа мерзімді сабақ жоспары №9
|
Білім беру ұйымының атауы |
|
|||||
|
Пәні: |
|
|||||
|
Бөлім: |
|
|||||
|
Педагогтің аты-жөні: |
|
|||||
|
Күні: |
|
|||||
|
Сыныбы: |
Қатысушылар саны |
Қатыспағандар саны |
||||
|
Тақырыбы |
Практикалық есептер |
|||||
|
Сабақтың мақсаты |
–
Өмірлік жағдайларды теңдеулер
арқылы модельдеу; |
|||||
|
Құндылықтарды дарыту |
–
Математиканы өмірмен байланыстыруға үйрету; |
|||||
|
Сабақтың барысы |
||||||
|
Сабақтың жоспарланған кезеңдері |
Педагогтің әрекеті |
Оқушының әрекеті |
Бағалау |
Ресурс тар |
||
|
Ұйымдастыру кезеңі |
"Бүгінгі мақсатымды білдіремін" әдісі
Мақсаты: Оқушылардың өз оқу мақсаттарын
түсінуіне көмектесу.
|
Нұсқаулықтарды орындайды |
Ауызша , мадақтау |
|
||
|
Жаңа сабақ |
Практикалық есеп – өмірден
алынған жағдайды математика тіліне айналдырып, теңдеумен шығаратын
есеп.
Есептер
Есеп 1
(сауда):
Шешуі: х=жалпы баға.
Есеп 2
(уақыт):
Есеп 3
(қашықтық): Тапсырма (экономикалық жағдайға есеп) Мектеп асханасы күніне 350 бәліш сатады. Бір бәліштің бағасы х теңге. Күнделікті табыс 52 500 теңге. Бір бәліштің бағасын тап.
Шешуі: 350·х=52 500 → х=52
500/350=150. Жаттығулар (шығармашылық)
Дескриптор: өз бетінше мәтіндік есеп құрайды, теңдеу арқылы шығарады, шешімін табады. Тест тапсырмасы
Мектепке арналған үстел мен
орындықтың жалпы бағасы 42 000 теңге. Үстелдің бағасы 30 000 теңге.
Орындықтың бағасы қанша?
Шешуі: 30 000+х=42 000 → х=12
000. Дескриптор: мәтіндік есепті теңдеуге айналдырады, дұрыс нұсқаны таңдайды. |
Тапсырмаларды орындайды Тапсырмаларды орындайды Тапсырмаларды орындайды |
Дескриптор ,
бағдаршам ,
ауызша мадақтау
|
|
||
|
Сабақты бекіту |
«Кері байланыс парағы»
|
Нұсқаулықты орындайды |
Кері байланыс жасайды |
Парақтар |
||
Қысқа мерзімді сабақ жоспары №10
|
Білім беру ұйымының атауы |
|
|||||
|
Пәні: |
|
|||||
|
Бөлім: |
|
|||||
|
Педагогтің аты-жөні: |
|
|||||
|
Күні: |
|
|||||
|
Сыныбы: |
Қатысушылар саны |
Қатыспағандар саны |
||||
|
Тақырыбы |
Қорытындылау |
|||||
|
Сабақтың мақсаты |
–
Қосу, азайту, көбейту, бөлу тәсілдері арқылы
теңдеулерді шешуді қайталау; |
|||||
|
Құндылықтарды дарыту |
–
Алған білімін жүйелеу және қолдану арқылы
жауапкершілікке тәрбиелеу; |
|||||
|
Сабақтың барысы |
||||||
|
Сабақтың жоспарланған кезеңдері |
Педагогтің әрекеті |
Оқушының әрекеті |
Бағалау |
Ресурс тар |
||
|
Ұйымдастыру кезеңі |
"Сен білесің бе?" әдісі
Мақсаты: Сабақ тақырыбына қызығушылық
тудыру, оқушыларды диалогқа
тарту.
|
Нұсқаулықтарды орындайды |
Ауызша , мадақтау |
|
||
|
Жаңа сабақ |
Бұған дейінгі
сабақтарда қарастырылған негізгі тақырыптар: Осы сабақта әр амал бойынша есептерді шешіп, білімімізді жүйелейміз. Есептер
Есеп
1.
Есеп
2.
Есеп
3.
Есеп
4. Дескриптор: әр теңдеуді шешуде дұрыс амалдар қолданады, шешімді анықтайды. Тапсырма (топтық жұмыс)
Мәтіндік
есеп:
Шешуі: Жауабы: 6 орындық сатып алынған. Дескриптор: топпен бірлесіп мәтінді талдайды, теңдеу құрады, шешімін табады. Жаттығулар (деңгейлік тапсырмалар) І деңгей (жеңіл):
ІІ деңгей (орташа):
ІІІ деңгей (күрделі):
Дескриптор: Тест тапсырмасы
Қай теңдеудің шешімі
9-ға тең?
Шешуі: Жауабы: C) 2х–3=15 Дескриптор: теңдеуді талдайды, шешімін табады, дұрыс жауапты белгілейді. |
Тапсырмаларды орындайды Тапсырмаларды орындайды Тапсырмаларды орындайды |
Дескриптор ,
бағдаршам ,
ауызша мадақтау
|
|
||
|
Сабақты бекіту |
«Жетістік баспалдағы» ? Нұсқаулық:
|
Нұсқаулықты орындайды |
Кері байланыс жасайды |
Стикер |
||
Қысқа мерзімді сабақ жоспары №11
|
Білім беру ұйымының атауы |
|
|||||
|
Пәні: |
|
|||||
|
Бөлім: |
|
|||||
|
Педагогтің аты-жөні: |
|
|||||
|
Күні: |
|
|||||
|
Сыныбы: |
Қатысушылар саны |
Қатыспағандар саны |
||||
|
Тақырыбы |
Бақылау жұмысы №1 |
|||||
|
Сабақтың мақсаты |
–
Бір айнымалысы бар теңдеулер мен теңсіздіктерді
шешу; |
|||||
|
Құндылықтарды дарыту |
–
Алған білімін жинақтап қолдану; |
|||||
|
Сабақтың барысы |
||||||
|
Сабақтың жоспарланған кезеңдері |
Педагогтің әрекеті |
Оқушының әрекеті |
Бағалау |
Ресурс тар |
||
|
Ұйымдастыру кезеңі |
"Көңіл-күйіңді көрсет" (эмодзи әдісі)
Мақсаты: Оқушылардың көңіл-күйін
анықтау, сабаққа дайындық деңгейін
бақылау.
|
Нұсқаулықтарды орындайды |
Ауызша , мадақтау |
|
||
|
Жаңа сабақ |
Есептер
Есеп
1.
Шешуі:
Есеп
2.
Шешуі:
Есеп
3.
Шешуі:
Есеп 4
(теңсіздік):
Шешуі:
Есеп 5 (мәтіндік
есеп):
Шешуі: Жауабы: 14 жылдан соң. Бағалау критерийлері: –
Теңдеулерді дұрыс құру және
шығару; |
Тапсырмаларды орындайды Тапсырмаларды орындайды Тапсырмаларды орындайды |
Дескриптор ,
бағдаршам ,
ауызша мадақтау
|
|
||
|
Сабақты бекіту |
«Екі жұлдыз, бір тілек»
|
Нұсқаулықты орындайды |
Кері байланыс жасайды |
|
||
Қысқа мерзімді сабақ жоспары №12
|
Білім беру ұйымының атауы |
|
|||||
|
Пәні: |
|
|||||
|
Бөлім: |
|
|||||
|
Педагогтің аты-жөні: |
|
|||||
|
Күні: |
|
|||||
|
Сыныбы: |
Қатысушылар саны |
Қатыспағандар саны |
||||
|
Тақырыбы |
Қателермен жұмыс |
|||||
|
Сабақтың мақсаты |
–
Бақылау жұмысында жіберілген
қателерді талдау; |
|||||
|
Құндылықтарды дарыту |
–
Өз қатесін түсініп, оны түзетуге
дағдыландыру; |
|||||
|
Сабақтың барысы |
||||||
|
Сабақтың жоспарланған кезеңдері |
Педагогтің әрекеті |
Оқушының әрекеті |
Бағалау |
Ресурс тар |
||
|
Ұйымдастыру кезеңі |
"Құпия сыйлық" әдісі
Мақсаты: Оқушыларды ынталандыру,
олардың сабаққа деген қызығушылығын
ояту.
|
Нұсқаулықтарды орындайды |
Ауызша , мадақтау |
|
||
|
Жаңа сабақ |
Бақылау жұмысы кезінде қателіктер көбіне мына себептерден болады:
Қате – білімді толық меңгеру үшін табылған мүмкіндік. Тапсырмалар
Тапсырма
1.
Қате қай
жерде?
Тапсырма
2.
Тапсырма
3.
Тапсырма 4 (мәтіндік
есеп): Жаттығулар (қателерді түзету)
Дескриптор: Топтық жұмыс
Әр топқа қате шығарылған есеп
беріледі. Топ мүшелері қате қадамды талдап, дұрысын бірге
жазады. |
Тапсырмаларды орындайды Тапсырмаларды орындайды Тапсырмаларды орындайды |
Дескриптор ,
бағдаршам ,
ауызша мадақтау
|
|
||
|
Сабақты бекіту |
«Білемін – Білгім келеді – Үйрендім» (КБҮ) әдісі
|
Нұсқаулықты орындайды |
Кері байланыс жасайды |
Стикер |
||
Қысқа мерзімді сабақ жоспары №13
|
Білім беру ұйымының атауы |
|
|||||
|
Пәні: |
|
|||||
|
Бөлім: |
|
|||||
|
Педагогтің аты-жөні: |
|
|||||
|
Күні: |
|
|||||
|
Сыныбы: |
Қатысушылар саны |
Қатыспағандар саны |
||||
|
Тақырыбы |
Теңсіздік ұғымы |
|||||
|
Сабақтың мақсаты |
–
Теңсіздік ұғымымен және оның белгілерімен
таныстыру; |
|||||
|
Құндылықтарды дарыту |
–
Дәлдікке, ұқыптылыққа
тәрбиелеу; |
|||||
|
Сабақтың барысы |
||||||
|
Сабақтың жоспарланған кезеңдері |
Педагогтің әрекеті |
Оқушының әрекеті |
Бағалау |
Ресурс тар |
||
|
Ұйымдастыру кезеңі |
"Сиқырлы сөз" әдісі
Мақсаты: Сабақтың тақырыбына
қызығушылық тудыру, топтық жұмысқа
ынталандыру.
|
Нұсқаулықтарды орындайды |
Ауызша , мадақтау |
|
||
|
Жаңа сабақ |
Теңсіздік – екі санды немесе
өрнекті салыстыру үшін қолданылады.
Мысалдар: Есептер
Есеп
1.
Есеп
2.
Есеп
3. Дескриптор: теңсіздіктің мағынасын түсінеді, мысал келтіреді, шешімдерін табады. Тапсырма (өмірлік мысал)
Дескриптор: өмірлік жағдайды теңсіздікке айналдырады. Жаттығулар (ауызша салыстыру)
Дескриптор: сандарды салыстырады, дұрыс таңбаны қояды. Тест тапсырмасы
Қай теңсіздік дұрыс?
Шешуі:
–2>–5
дұрыс, себебі –2 үлкен. |
Тапсырмаларды орындайды Тапсырмаларды орындайды Тапсырмаларды орындайды |
Дескриптор ,
бағдаршам ,
ауызша мадақтау
|
|
||
|
Сабақты бекіту |
«Көңіл-күй смайликтері»
|
Нұсқаулықты орындайды |
Кері байланыс жасайды |
|
||
Қысқа мерзімді сабақ жоспары №14
|
Білім беру ұйымының атауы |
|
|||||
|
Пәні: |
|
|||||
|
Бөлім: |
|
|||||
|
Педагогтің аты-жөні: |
|
|||||
|
Күні: |
|
|||||
|
Сыныбы: |
Қатысушылар саны |
Қатыспағандар саны |
||||
|
Тақырыбы |
Бір қадамды теңсіздіктер |
|||||
|
Сабақтың мақсаты |
–
Бір айнымалысы бар теңсіздіктерді қосу және
азайту амалдары арқылы шешу; |
|||||
|
Құндылықтарды дарыту |
–
Дәлдік пен ұқыптылыққа тәрбиелеу; |
|||||
|
Сабақтың барысы |
||||||
|
Сабақтың жоспарланған кезеңдері |
Педагогтің әрекеті |
Оқушының әрекеті |
Бағалау |
Ресурс тар |
||
|
Ұйымдастыру кезеңі |
"Бір сөзбен" әдісі
Мақсаты: Оқушылардың сабаққа деген
эмоционалдық дайындығын
анықтау.
|
Нұсқаулықтарды орындайды |
Ауызша , мадақтау |
|
||
|
Жаңа сабақ |
Бір қадамды теңсіздіктерде белгісізді табу үшін бір ғана амал қолданылады: қосу немесе азайту.
Ереже:
Мысалдар: Есептер
Есеп
1.
Есеп
2.
Есеп
3. Дескриптор: теңсіздікті бір қадаммен шешеді, дұрыс белгіні сақтайды. Тапсырма (қысқа мәтіндік есеп) Дүкенде бір дәптердің бағасы 120 тг. Барлығы 600 тг ақшаға қанша дәптер алуға болады?
Шешуі: 120х≤600 → х≤5 Дескриптор: есепті теңсіздікке айналдырады, шешімін табады, өмірмен байланыстырады. Жаттығулар
Дескриптор: әр теңсіздікті қосу/азайту арқылы шешеді, шешім жиынын анықтайды. Тест тапсырмасы
Егер х–5≤9 болса, онда х
қандай мән қабылдайды?
Шешуі:
х≤14 Дескриптор: теңсіздікті қосу/азайту ережесімен шешіп, дұрыс жауапты таңдайды. |
Тапсырмаларды орындайды Тапсырмаларды орындайды Тапсырмаларды орындайды |
Дескриптор ,
бағдаршам ,
ауызша мадақтау
|
|
||
|
Сабақты бекіту |
«Бес саусақ» әдісі ? Нұсқаулық:
|
Нұсқаулықты орындайды |
Кері байланыс жасайды |
|
||
Қысқа мерзімді сабақ жоспары №15
|
Білім беру ұйымының атауы |
|
|||||
|
Пәні: |
|
|||||
|
Бөлім: |
|
|||||
|
Педагогтің аты-жөні: |
|
|||||
|
Күні: |
|
|||||
|
Сыныбы: |
Қатысушылар саны |
Қатыспағандар саны |
||||
|
Тақырыбы |
Күрделі теңсіздіктер |
|||||
|
Сабақтың мақсаты |
–
Бір айнымалысы бар теңсіздіктерді көбейту және
бөлу тәсілдерімен шешу; |
|||||
|
Құндылықтарды дарыту |
–
Математикалық заңдылықтарды дұрыс қолдануға
үйрету; |
|||||
|
Сабақтың барысы |
||||||
|
Сабақтың жоспарланған кезеңдері |
Педагогтің әрекеті |
Оқушының әрекеті |
Бағалау |
Ресурс тар |
||
|
Ұйымдастыру кезеңі |
"Сиқырлы қорап" әдісі
Мақсаты: Оқушылардың қызығушылығын
арттыру, олардың сабаққа деген ынтасын
ояту.
|
Нұсқаулықтарды орындайды |
Ауызша , мадақтау |
|
||
|
Жаңа сабақ |
Мысалдар: Есептер
Есеп
1.
Есеп
2.
Есеп
3. Дескриптор: көбейту/бөлу ережесін дұрыс қолданады, теңсіздікті шешеді. Тапсырма (мәтіндік есеп) Оқушы әрқайсысы 200 теңгеден қалам сатып алды. Барлығының бағасы 1200 теңгеден аспады. Оқушы қанша қалам ала алады?
Шешуі: 200х≤1200 → х≤6 Дескриптор: мәтіндік есепті теңсіздікке айналдырады, шешімін табады. Жаттығулар (амалдарды қолдану)
Дескриптор: әр теңсіздікті көбейту/бөлу арқылы түрлендіреді, шешім жиынын дұрыс табады. Тест тапсырмасы
Егер –2х≤8 болса, онда х
қандай мән қабылдайды?
Шешуі:
–2х≤8 →
х≥–4 Дескриптор: теңсіздікті теріс санға бөлгенде бағытын өзгертеді, дұрыс шешімін табады. |
Тапсырмаларды орындайды Тапсырмаларды орындайды Тапсырмаларды орындайды |
Дескриптор ,
бағдаршам ,
ауызша мадақтау
|
|
||
|
Сабақты бекіту |
«Екі жұлдыз, бір тілек»
|
Нұсқаулықты орындайды |
Кері байланыс жасайды |
|
||
|
Білім беру ұйымының атауы |
|
|||||
|
Пәні: |
|
|||||
|
Бөлім: |
|
|||||
|
Педагогтің аты-жөні: |
|
|||||
|
Күні: |
|
|||||
|
Сыныбы: |
Қатысушылар саны |
Қатыспағандар саны |
||||
|
Тақырыбы |
Теңсіздіктің шешім жиыны |
|||||
|
Сабақтың мақсаты |
–
Бір айнымалысы бар теңсіздіктің шешім жиынын
анықтау; |
|||||
|
Құндылықтарды дарыту |
–
Дәлдік пен ұқыптылыққа тәрбиелеу; |
|||||
|
Сабақтың барысы |
||||||
|
Сабақтың жоспарланған кезеңдері |
Педагогтің әрекеті |
Оқушының әрекеті |
Бағалау |
Ресурс тар |
||
|
Ұйымдастыру кезеңі |
"Жылы сөздер шеңбері" Мақсаты: Оқушылардың көңіл-күйін көтеру, достық қарым-қатынасты қалыптастыру.
|
Нұсқаулықтарды орындайды |
Ауызша , мадақтау |
|
||
|
Жаңа сабақ |
Теңсіздіктің шешім жиыны –
теңсіздікті дұрыс ететін барлық мәндер жиыны.
Мысалдар: Есептер
Есеп
1.
Есеп
2.
Есеп
3. Дескриптор: теңсіздікті шешеді, шешім жиынын сан осінде дұрыс кескіндейді. Тапсырма (координаталық осьте белгілеу) Мектептен кітапханаға дейінгі жол ұзындығы 500 м-ден кем, бірақ 300 м-ден артық. Бұл жағдайды теңсіздік түрінде жазып, сан осінде көрсетіңдер.
Шешуі: 300<х<500 Дескриптор: мәтінді теңсіздікке айналдырады, шешім жиынын сан осінде көрсетеді. Жаттығулар (бірнеше теңсіздікпен жұмыс)
Дескриптор: әр теңсіздікті сан осінде кескіндейді, шешім жиынын сипаттайды. Тест тапсырмасы
Егер –1<х≤2 болса, шешім
жиынына қай сандар кіреді?
Шешуі:
–1-ден
үлкен, 2-ге тең немесе кіші → 0, 1, 2. Дескриптор: теңсіздікті талдайды, шешім жиынын табады, дұрыс жауапты таңдайды. |
Тапсырмаларды орындайды Тапсырмаларды орындайды Тапсырмаларды орындайды |
Дескриптор ,
бағдаршам ,
ауызша мадақтау
|
|
||
|
Сабақты бекіту |
«Бес саусақ» әдісі ? Нұсқаулық:
|
Нұсқаулықты орындайды |
Кері байланыс жасайды |
|
||
Қысқа мерзімді сабақ жоспары №17
|
Білім беру ұйымының атауы |
|
|||||
|
Пәні: |
|
|||||
|
Бөлім: |
|
|||||
|
Педагогтің аты-жөні: |
|
|||||
|
Күні: |
|
|||||
|
Сыныбы: |
Қатысушылар саны |
Қатыспағандар саны |
||||
|
Тақырыбы |
Мәтіндік теңсіздіктер |
|||||
|
Сабақтың мақсаты |
–
Мәтіндік есептерден теңсіздік құра білу; |
|||||
|
Құндылықтарды дарыту |
–
Математиканы өмірмен
байланыстыруға үйрету; |
|||||
|
Сабақтың барысы |
||||||
|
Сабақтың жоспарланған кезеңдері |
Педагогтің әрекеті |
Оқушының әрекеті |
Бағалау |
Ресурс тар |
||
|
Ұйымдастыру кезеңі |
"Комплимент көпірі" әдісі
Мақсаты: Оқушылар арасында достық
қарым-қатынас орнату, сенімділік
қалыптастыру.
|
Нұсқаулықтарды орындайды |
Ауызша , мадақтау |
|
||
|
Жаңа сабақ |
Мәтіндік теңсіздік – өмірлік
жағдайды теңсіздік түрінде жазу.
Мысал: Есептер
Есеп 1 (жасқа
байланысты):
Есеп 2 (ақшаға
байланысты):
Есеп 3 (уақытқа
байланысты): Дескриптор: мәтіннен айнымалыны табады, теңсіздікті дұрыс құрады. Тапсырма
Мәтін:
«Кітаптың
бағасы 500 тг-ден кем емес. Қанша теңге болуы мүмкін?» Дескриптор: мәтіннен теңсіздік құрады, өмірлік мағынасын түсіндіреді. Жаттығулар (шағын мәтіндер)
Дескриптор: әр мәтінді талдайды, теңсіздікке айналдырады. Тест тапсырмасы
Мәтінді теңсіздікке
айналдыр:
Шешуі:
х>1500. Дескриптор: мәтіндегі «артық» сөзін дұрыс теңсіздік белгісімен жазады. |
Тапсырмаларды орындайды Тапсырмаларды орындайды Тапсырмаларды орындайды |
Дескриптор ,
бағдаршам ,
ауызша мадақтау
|
|
||
|
Сабақты бекіту |
«Не ұнады? Не қиын болды? Не үйрендім?» ? Нұсқаулық:
|
Нұсқаулықты орындайды |
Кері байланыс жасайды |
|
||
Қысқа мерзімді сабақ жоспары №18
|
Білім беру ұйымының атауы |
|
|||||
|
Пәні: |
|
|||||
|
Бөлім: |
|
|||||
|
Педагогтің аты-жөні: |
|
|||||
|
Күні: |
|
|||||
|
Сыныбы: |
Қатысушылар саны |
Қатыспағандар саны |
||||
|
Тақырыбы |
Қорытындылау |
|||||
|
Сабақтың мақсаты |
–
Әртүрлі теңсіздіктерді шешу; |
|||||
|
Құндылықтарды дарыту |
–
Алған білімді жүйелеу арқылы жауапкершілікке
тәрбиелеу; |
|||||
|
Сабақтың барысы |
||||||
|
Сабақтың жоспарланған кезеңдері |
Педагогтің әрекеті |
Оқушының әрекеті |
Бағалау |
Ресурс тар |
||
|
Ұйымдастыру кезеңі |
"Музыкалық серпін" әдісі
Мақсаты: Оқушылардың сергектігін
арттыру, сабаққа дайындығын тексеру.
|
Нұсқаулықтарды орындайды |
Ауызша , мадақтау |
|
||
|
Жаңа сабақ |
Бұған дейін теңсіздіктерді
шешудің негізгі әдістерін үйрендік: Есептер
Есеп
1.
Есеп
2.
Есеп
3.
Есеп 4 (құрама
теңсіздік): Жаттығулар (шешім жиыны)
Дескриптор: Тест тапсырмасы
Теңсіздікті шеш: 4х–5>7
Шешуі:
4х–5>7
→ 4х>12 → х>3 Дескриптор: теңсіздікті дұрыс шығарады, шешім жиынын табады, дұрыс нұсқаны таңдайды. |
Тапсырмаларды орындайды Тапсырмаларды орындайды Тапсырмаларды орындайды |
Дескриптор ,
бағдаршам ,
ауызша мадақтау
|
|
||
|
Сабақты бекіту |
«Табыс сатысы»
|
Нұсқаулықты орындайды |
Кері байланыс жасайды |
|
||
Қысқа мерзімді сабақ жоспары №19
|
Білім беру ұйымының атауы |
|
|||||
|
Пәні: |
|
|||||
|
Бөлім: |
|
|||||
|
Педагогтің аты-жөні: |
|
|||||
|
Күні: |
|
|||||
|
Сыныбы: |
Қатысушылар саны |
Қатыспағандар саны |
||||
|
Тақырыбы |
Бақылау жұмысы №2 |
|||||
|
Сабақтың мақсаты |
–
Бір айнымалысы бар
теңсіздіктерді шешу; |
|||||
|
Құндылықтарды дарыту |
–
Жауапкершілікке, адалдыққа
тәрбиелеу; |
|||||
|
Сабақтың барысы |
||||||
|
Сабақтың жоспарланған кезеңдері |
Педагогтің әрекеті |
Оқушының әрекеті |
Бағалау |
Ресурс тар |
||
|
Ұйымдастыру кезеңі |
"Бүгінгі мақсатымды білдіремін" әдісі
Мақсаты: Оқушылардың өз оқу мақсаттарын
түсінуіне көмектесу.
|
Нұсқаулықтарды орындайды |
Ауызша , мадақтау |
|
||
|
Жаңа сабақ |
Есептер
Есеп
1.
Шешуі: Жауабы: х≤9
Есеп
2.
Шешуі: Жауабы: х>4
Есеп
3.
Шешуі: Жауабы: х≤4
Есеп 4 (құрама
теңсіздік):
Шешуі: Жауабы: –3<х ≤11
Есеп 5 (мәтіндік
есеп):
Шешуі: Жауабы: Әлия ең көбі 10 км жүре алады. Бағалау критерийлері:
Жалпы: 10 балл. |
Тапсырмаларды орындайды Тапсырмаларды орындайды Тапсырмаларды орындайды |
Дескриптор ,
бағдаршам ,
ауызша мадақтау
|
|
||
|
Сабақты бекіту |
«Кері байланыс парағы»
|
Нұсқаулықты орындайды |
Кері байланыс жасайды |
Парақтар |
||
Қысқа мерзімді сабақ жоспары №20
|
Білім беру ұйымының атауы |
|
|||||
|
Пәні: |
|
|||||
|
Бөлім: |
|
|||||
|
Педагогтің аты-жөні: |
|
|||||
|
Күні: |
|
|||||
|
Сыныбы: |
Қатысушылар саны |
Қатыспағандар саны |
||||
|
Тақырыбы |
Қателерді талдау |
|||||
|
Сабақтың мақсаты |
–
Теңсіздіктерді шешу барысында
кездескен қателерді анықтау; |
|||||
|
Құндылықтарды дарыту |
–
Өз қатесін түсініп, оны түзетуге
дағдыландыру; |
|||||
|
Сабақтың барысы |
||||||
|
Сабақтың жоспарланған кезеңдері |
Педагогтің әрекеті |
Оқушының әрекеті |
Бағалау |
Ресурс тар |
||
|
Ұйымдастыру кезеңі |
"Сен білесің бе?" әдісі
Мақсаты: Сабақ тақырыбына қызығушылық
тудыру, оқушыларды диалогқа
тарту.
|
Нұсқаулықтарды орындайды |
Ауызша , мадақтау |
|
||
|
Жаңа сабақ |
Оқушылар көбіне мынадай қателер жібереді:
Жаттығулар (қателерді түзету)
1-жаттығу.
Қате:
теңсіздіктің бағыты өзгермейді.
2-жаттығу.
Қате:
теріс
санға бөлгенде теңсіздіктің бағыты өзгеруі керек.
3-жаттығу.
Қате:
бөліп
тұрған 2-ні ескермеген.
4-жаттығу (мәтіндік
теңсіздік).
Қате:
«артық
емес» деген – «≤» белгісі. Топтық тапсырма
Әр топқа қате шығарылған
теңсіздік беріледі. Дескриптор: –
Қате шешімдегі қадамды
табады; |
Тапсырмаларды орындайды Тапсырмаларды орындайды Тапсырмаларды орындайды |
Дескриптор ,
бағдаршам ,
ауызша мадақтау
|
|
||
|
Сабақты бекіту |
«Бағдаршам» әдісі
|
Нұсқаулықты орындайды |
Кері байланыс жасайды |
|
||
Қысқа мерзімді сабақ жоспары №21
|
Білім беру ұйымының атауы |
|
|||||||||||||||
|
Пәні: |
|
|||||||||||||||
|
Бөлім: |
|
|||||||||||||||
|
Педагогтің аты-жөні: |
|
|||||||||||||||
|
Күні: |
|
|||||||||||||||
|
Сыныбы: |
Қатысушылар саны |
Қатыспағандар саны |
||||||||||||||
|
Тақырыбы |
Екі айнымалысы бар сызықтық теңдеу |
|||||||||||||||
|
Сабақтың мақсаты |
–
Екі айнымалысы бар сызықтық теңдеудің анықтамасын
түсіну; |
|||||||||||||||
|
Құндылықтарды дарыту |
–
Математикалық ойлау мен талдау қабілетін
дамыту; |
|||||||||||||||
|
Сабақтың барысы |
||||||||||||||||
|
Сабақтың жоспарланған кезеңдері |
Педагогтің әрекеті |
Оқушының әрекеті |
Бағалау |
Ресурс тар |
||||||||||||
|
Ұйымдастыру кезеңі |
"Көңіл-күйіңді көрсет" (эмодзи әдісі)
Мақсаты: Оқушылардың көңіл-күйін
анықтау, сабаққа дайындық деңгейін
бақылау.
|
Нұсқаулықтарды орындайды |
Ауызша , мадақтау |
|
||||||||||||
|
Жаңа сабақ |
Екі айнымалысы бар сызықтық
теңдеу – құрамында екі айнымалы
болатын және айнымалылардың дәрежесі 1-ден аспайтын теңдеу.
Мысал:
Есептер
Есеп
1.
Жауабы: (0;2), (3;0), (–3;4) – теңдеудің шешімдері. Тапсырма (кесте толтыру) 2х+3у=6 теңдеуін кесте арқылы шешімдерін табу:
Дескриптор: х-қа мән береді, теңдеу арқылы у-ды табады, кестені дұрыс толтырады. Жаттығулар
Шешімдері: (0;5), (2;3), (4;1).
Шешімдері: (0;–9), (3;0), (6;9). Тест тапсырмасы Екі айнымалысы бар сызықтық
теңдеу берілген: 2х+у=4. A) 2 Шешуі:
2·1+у=4 →
у=2. |
Тапсырмаларды орындайды Тапсырмаларды орындайды Тапсырмаларды орындайды |
Дескриптор ,
бағдаршам ,
ауызша мадақтау
|
|
||||||||||||
|
Сабақты бекіту |
«Екі жұлдыз, бір тілек»
|
Нұсқаулықты орындайды |
Кері байланыс жасайды |
|
||||||||||||
Қысқа мерзімді сабақ жоспары №22
|
Білім беру ұйымының атауы |
|
|||||||||||||||||||||||||||||||||||||||||||||
|
Пәні: |
|
|||||||||||||||||||||||||||||||||||||||||||||
|
Бөлім: |
|
|||||||||||||||||||||||||||||||||||||||||||||
|
Педагогтің аты-жөні: |
|
|||||||||||||||||||||||||||||||||||||||||||||
|
Күні: |
|
|||||||||||||||||||||||||||||||||||||||||||||
|
Сыныбы: |
Қатысушылар саны |
Қатыспағандар саны |
||||||||||||||||||||||||||||||||||||||||||||
|
Тақырыбы |
Екі айнымалысы бар сызықтық теңдеудің графигі |
|||||||||||||||||||||||||||||||||||||||||||||
|
Сабақтың мақсаты |
–
Екі айнымалысы бар сызықтық теңдеудің графигін
салуды үйрену; |
|||||||||||||||||||||||||||||||||||||||||||||
|
Құндылықтарды дарыту |
–
Дәлдікке, ұқыптылыққа тәрбиелеу; |
|||||||||||||||||||||||||||||||||||||||||||||
|
Сабақтың барысы |
||||||||||||||||||||||||||||||||||||||||||||||
|
Сабақтың жоспарланған кезеңдері |
Педагогтің әрекеті |
Оқушының әрекеті |
Бағалау |
Ресурс тар |
||||||||||||||||||||||||||||||||||||||||||
|
Ұйымдастыру кезеңі |
"Құпия сыйлық" әдісі
Мақсаты: Оқушыларды ынталандыру,
олардың сабаққа деген қызығушылығын
ояту.
|
Нұсқаулықтарды орындайды |
Ауызша , мадақтау |
|
||||||||||||||||||||||||||||||||||||||||||
|
Жаңа сабақ |
Екі айнымалысы бар сызықтық
теңдеудің графигі – түзу сызық.
Есептер
Есеп
1. Кесте құраймыз:
Нүктелер: (0;5), (5;0),
(2;3). Есеп
2. Кесте құраймыз:
Нүктелер: (0;1), (1;3),
(–1;–1). Жаттығулар
Нүктелер: (0;–2), (1;1), (2;4).
Кесте:
Нүктелер: (0;–4), (2;0), (3;2). Дескриптор: Тапсырма (қысқа мәтіндік) Оқушы дәптердің бағасы х теңге, қаламның бағасы у теңге деп белгіледі. «Дәптер мен қаламға 500 теңге жұмсалды» деген шартты теңдеумен өрнектеңдер және оның графигін салыңдар. Шешуі: х+у=500.
Нүктелер арқылы түзу жүргізіледі. Тест тапсырмасы Қай теңдеудің графигі түзу
сызық болып табылады? Жауабы: A) у=2х+3 |
Тапсырмаларды орындайды Тапсырмаларды орындайды Тапсырмаларды орындайды |
Дескриптор ,
бағдаршам ,
ауызша мадақтау
|
|
||||||||||||||||||||||||||||||||||||||||||
|
Сабақты бекіту |
«Білемін – Білгім келеді – Үйрендім» (КБҮ) әдісі
|
Нұсқаулықты орындайды |
Кері байланыс жасайды |
Стикер |
||||||||||||||||||||||||||||||||||||||||||
Қысқа мерзімді сабақ жоспары №23
|
Білім беру ұйымының атауы |
|
|||||
|
Пәні: |
|
|||||
|
Бөлім: |
|
|||||
|
Педагогтің аты-жөні: |
|
|||||
|
Күні: |
|
|||||
|
Сыныбы: |
Қатысушылар саны |
Қатыспағандар саны |
||||
|
Тақырыбы |
Сызықтық теңдеулер жүйесі |
|||||
|
Сабақтың мақсаты |
–
Сызықтық теңдеулер жүйесі
ұғымын түсіну; |
|||||
|
Құндылықтарды дарыту |
–
Логикалық ойлауды дамыту, дәлдікке тәрбиелеу; |
|||||
|
Сабақтың барысы |
||||||
|
Сабақтың жоспарланған кезеңдері |
Педагогтің әрекеті |
Оқушының әрекеті |
Бағалау |
Ресурс тар |
||
|
Ұйымдастыру кезеңі |
"Сиқырлы сөз" әдісі
Мақсаты: Сабақтың тақырыбына
қызығушылық тудыру, топтық жұмысқа
ынталандыру.
|
Нұсқаулықтарды орындайды |
Ауызша , мадақтау |
|
||
|
Жаңа сабақ |
Сызықтық теңдеулер
жүйесі – екі немесе одан да көп
сызықтық теңдеулердің жиынтығы. Жүйенің шешімі – екі теңдеуді де қанағаттандыратын (х;у) реттелген сан жұбы. Жүйені шешудің негізгі тәсілдері:
Есептер
Есеп
1.
Алмастыру әдісімен
шешу: Жауабы: (2;1).
Есеп
2.
Қосу әдісімен: Жауабы: (5;2). Жаттығулар (жүйе құру)
Дескриптор: мәтінді талдайды, айнымалы енгізеді, жүйені дұрыс құрады. Тапсырма (топтық жұмыс)
Жүйені шешіңдер:
Шешуі: Жауабы: (3,2;1,2). Тест тапсырмасы
Жүйенің шешімін табыңдар:
A) (3;2)
Шешуі:
екінші
теңдеуден: х=5–у. Жауабы: A) (3;2). |
Тапсырмаларды орындайды Тапсырмаларды орындайды Тапсырмаларды орындайды |
Дескриптор ,
бағдаршам ,
ауызша мадақтау
|
|
||
|
Сабақты бекіту |
«Екі жұлдыз, бір тілек»
|
Нұсқаулықты орындайды |
Кері байланыс жасайды |
|
||
Қысқа мерзімді сабақ жоспары №24
|
Білім беру ұйымының атауы |
|
||||||||||||||||||||||
|
Пәні: |
|
||||||||||||||||||||||
|
Бөлім: |
|
||||||||||||||||||||||
|
Педагогтің аты-жөні: |
|
||||||||||||||||||||||
|
Күні: |
|
||||||||||||||||||||||
|
Сыныбы: |
Қатысушылар саны |
Қатыспағандар саны |
|||||||||||||||||||||
|
Тақырыбы |
Жүйені графиктік тәсілмен шешу |
||||||||||||||||||||||
|
Сабақтың мақсаты |
–
Сызықтық теңдеулер
жүйесін графиктік тәсілмен шешу; |
||||||||||||||||||||||
|
Құндылықтарды дарыту |
–
Логикалық ойлау және
көрнекілік арқылы талдау қабілетін дамыту; |
||||||||||||||||||||||
|
Сабақтың барысы |
|||||||||||||||||||||||
|
Сабақтың жоспарланған кезеңдері |
Педагогтің әрекеті |
Оқушының әрекеті |
Бағалау |
Ресурс тар |
|
||||||||||||||||||
|
Ұйымдастыру кезеңі |
"Бір сөзбен" әдісі
Мақсаты: Оқушылардың сабаққа деген
эмоционалдық дайындығын
анықтау.
|
Нұсқаулықтарды орындайды |
Ауызша , мадақтау |
|
|
||||||||||||||||||
|
Жаңа сабақ |
Сызықтық теңдеулер жүйесін графиктік тәсілмен шешу үшін:
Есеп
Жүйені шешіңдер:
1-қадам:
Әр
теңдеуді у түрінде жазамыз: 2-қадам: Кесте құрамыз. у=4–х теңдеуі үшін:
у=х–2 теңдеуі үшін:
3-қадам: График сызамыз: екі түзу координаталық жазықтықта қиылысады. 4-қадам:
Қиылысу
нүктесін табамыз. Жауабы: (3;1). Жаттығулар
Бірінші теңдеу: у=6–2х. Графиктердің қиылысу нүктесі:
х=2, у=2.
Бірінші теңдеу: у=
(8–х)/2. Қиылысу нүктесін табайық:
(8–х)/2 = 2х–1 → 8–х=4х–2 → 5х=10 → х=2 → у=3. Тапсырма (қысқа мәтіндік) «Екі билет бағасы қосындысы
1500 теңге, біріншісінің бағасы екіншісінен 300 теңгеге
қымбат». Графиктік тәсілмен қиылысу
нүктесін табыңдар. Тест тапсырмасы Жүйенің шешімін табыңдар: A) (2;3) Шешуі:
2х–1=–х+5
→ 3х=6 → х=2 → у=3. |
Тапсырмаларды орындайды Тапсырмаларды орындайды Тапсырмаларды орындайды |
Дескриптор ,
бағдаршам ,
ауызша мадақтау
|
|
|
||||||||||||||||||
|
Сабақты бекіту |
«Жетістік баспалдағы» ? Нұсқаулық:
|
Нұсқаулықты орындайды |
Кері байланыс жасайды |
Стикер |
|
||||||||||||||||||
Қысқа мерзімді сабақ жоспары №25
|
Білім беру ұйымының атауы |
|
|||||
|
Пәні: |
|
|||||
|
Бөлім: |
|
|||||
|
Педагогтің аты-жөні: |
|
|||||
|
Күні: |
|
|||||
|
Сыныбы: |
Қатысушылар саны |
Қатыспағандар саны |
||||
|
Тақырыбы |
Жүйені алмастыру тәсілімен шешу |
|||||
|
Сабақтың мақсаты |
–
Екі айнымалысы бар сызықтық теңдеулер жүйесін
алмастыру тәсілімен шешу; |
|||||
|
Құндылықтарды дарыту |
–
Математикалық ойлау қабілетін дамыту, талдау
дағдысын қалыптастыру; |
|||||
|
Сабақтың барысы |
||||||
|
Сабақтың жоспарланған кезеңдері |
Педагогтің әрекеті |
Оқушының әрекеті |
Бағалау |
Ресурс тар |
||
|
Ұйымдастыру кезеңі |
"Сиқырлы қорап" әдісі
Мақсаты: Оқушылардың қызығушылығын
арттыру, олардың сабаққа деген ынтасын
ояту.
|
Нұсқаулықтарды орындайды |
Ауызша , мадақтау |
|
||
|
Жаңа сабақ |
Алмастыру тәсілі:
Есеп Жүйені шешіңдер: 1-қадам: Екінші теңдеуде х дайын тұр: х=3–у. 2-қадам:
Оны бірінші теңдеуге қоямыз: 3-қадам: х=3–(–1)=3+1=4. Жауабы: (4;–1). Жаттығулар (алмастыру әдісі) 1-жаттығу. Шешуі: х=2у → орнына қойсақ:
2у+у=5 → 3у=5 → у=5/3. 2-жаттығу. Шешуі: 3х–(х+1)=7 → 3х–х–1=7 →
2х=8 → х=4. 3-жаттығу
(мәтіндік). Шешуі: (у+4)+у=12 → 2у+4=12 →
2у=8 → у=4. Тест тапсырмасы Жүйені шешіңдер: A) (4;6) Шешуі:
2х+(х+2)=10 → 3х+2=10 → 3х=8 → х=8/3. |
Тапсырмаларды орындайды Тапсырмаларды орындайды Тапсырмаларды орындайды |
Дескриптор ,
бағдаршам ,
ауызша мадақтау
|
|
||
|
Сабақты бекіту |
«Табыс сатысы»
|
Нұсқаулықты орындайды |
Кері байланыс жасайды |
|
||
Қысқа мерзімді сабақ жоспары №26
|
Білім беру ұйымының атауы |
|
|||||
|
Пәні: |
|
|||||
|
Бөлім: |
|
|||||
|
Педагогтің аты-жөні: |
|
|||||
|
Күні: |
|
|||||
|
Сыныбы: |
Қатысушылар саны |
Қатыспағандар саны |
||||
|
Тақырыбы |
Жүйені қосу-азайту тәсілімен шешу |
|||||
|
Сабақтың мақсаты |
–
Сызықтық теңдеулер жүйесін қосу-азайту тәсілімен
шешу; |
|||||
|
Құндылықтарды дарыту |
–
Дәлдік пен ұқыптылыққа тәрбиелеу; |
|||||
|
Сабақтың барысы |
||||||
|
Сабақтың жоспарланған кезеңдері |
Педагогтің әрекеті |
Оқушының әрекеті |
Бағалау |
Ресурс тар |
||
|
Ұйымдастыру кезеңі |
"Жылы сөздер шеңбері"
Мақсаты: Оқушылардың көңіл-күйін
көтеру, достық қарым-қатынасты
қалыптастыру.
|
Нұсқаулықтарды орындайды |
Ауызша , мадақтау |
|
||
|
Жаңа сабақ |
Қосу-азайту (жою) тәсілі:
Есеп
Жүйені шешіңдер:
1-қадам:
Теңдеулерді қосайық:
2-қадам:
х=3,6
мәнін бірінші теңдеуге қоямыз: Жауабы: (3,6; 1,6). Жаттығулар (қосу-азайту әдісі)
1-жаттығу.
Қосайық: (х+у)+(х–у)=10+2 →
2х=12 → х=6.
2-жаттығу.
Азайтамыз:
(4х+2у)–(4х–3у)=14–(–1)
3-жаттығу
(мәтіндік).
Қосамыз: 2х=60 → х=30. Тест тапсырмасы
Жүйені шешіңдер:
A) (3;5)
Шешуі:
теңдеулерді қосамыз: (2х+у)+(3х–у)=11+7 → 5х=18 →
х=18/5=3,6. Бұл мәндер нұсқалардың ешқайсысына тура келмейді → дұрыс жауап (3,6; 3,8). Дескриптор: –
Қосу/азайту әдісін
қолданады; |
Тапсырмаларды орындайды Тапсырмаларды орындайды Тапсырмаларды орындайды |
Дескриптор ,
бағдаршам ,
ауызша мадақтау
|
|
||
|
Сабақты бекіту |
«Бес саусақ» әдісі ? Нұсқаулық:
|
Нұсқаулықты орындайды |
Кері байланыс жасайды |
|
||
Қысқа мерзімді сабақ жоспары №27
|
Білім беру ұйымының атауы |
|
|||||
|
Пәні: |
|
|||||
|
Бөлім: |
|
|||||
|
Педагогтің аты-жөні: |
|
|||||
|
Күні: |
|
|||||
|
Сыныбы: |
Қатысушылар саны |
Қатыспағандар саны |
||||
|
Тақырыбы |
Практикалық есептер |
|||||
|
Сабақтың мақсаты |
–
Мәтіндік есептерді сызықтық
теңдеулер жүйесі арқылы шығару; |
|||||
|
Құндылықтарды дарыту |
–
Математиканы өмірлік жағдайларда қолдануға
үйрету; |
|||||
|
Сабақтың барысы |
||||||
|
Сабақтың жоспарланған кезеңдері |
Педагогтің әрекеті |
Оқушының әрекеті |
Бағалау |
Ресурс тар |
||
|
Ұйымдастыру кезеңі |
"Комплимент көпірі" әдісі
Мақсаты: Оқушылар арасында достық
қарым-қатынас орнату, сенімділік
қалыптастыру.
|
Нұсқаулықтарды орындайды |
Ауызша , мадақтау |
|
||
|
Жаңа сабақ |
Мәтіндік есепті жүйемен шығару қадамдары:
Мәтіндік есептер
Есеп 1
(сауда).
Жүйе:
Қосу-азайту әдісімен
шешу:
Азайтамыз: 5у=800 →
у=160. Жауабы: дәптер – 210 тг, қалам – 160 тг.
Есеп 2
(жол).
Жүйе:
Шешуі: х+(х+30)=150
→ 2х+30=150 → 2х=120 → х=60. Жауабы: автобус – 60 км/сағ, пойыз – 90 км/сағ.
Есеп 3
(жас).
Жүйе:
Шешуі: (у+28)+у=50 →
2у+28=50 → 2у=22 → у=11. Жауабы: әкесі – 39 жаста, баласы – 11 жаста. Жаттығулар
Дескриптор: Тест тапсырмасы «Екі санның қосындысы 70, біріншісі екіншісінен 10-ға артық. Қандай жүйе құрылады?»
A) { х+у=70; х–у=10
}
Шешімі: «біріншісі екіншісінен 10-ға
артық» → х=у+10. |
Тапсырмаларды орындайды Тапсырмаларды орындайды Тапсырмаларды орындайды |
Дескриптор ,
бағдаршам ,
ауызша мадақтау
|
|
||
|
Сабақты бекіту |
«Екі жұлдыз, бір тілек»
|
Нұсқаулықты орындайды |
Кері байланыс жасайды |
|
||
Қысқа мерзімді сабақ жоспары №28
|
Білім беру ұйымының атауы |
|
|||||
|
Пәні: |
|
|||||
|
Бөлім: |
|
|||||
|
Педагогтің аты-жөні: |
|
|||||
|
Күні: |
|
|||||
|
Сыныбы: |
Қатысушылар саны |
Қатыспағандар саны |
||||
|
Тақырыбы |
Қорытындылау |
|||||
|
Сабақтың мақсаты |
–
Сызықтық теңдеулер жүйесін шешудің барлық
тәсілдерін (алмастыру, қосу-азайту, графиктік) қайталау; |
|||||
|
Құндылықтарды дарыту |
–
Оқушы бойында алған білімін саралап, жүйелеу
дағдысын қалыптастыру; |
|||||
|
Сабақтың барысы |
||||||
|
Сабақтың жоспарланған кезеңдері |
Педагогтің әрекеті |
Оқушының әрекеті |
Бағалау |
Ресурс тар |
||
|
Ұйымдастыру кезеңі |
"Музыкалық серпін" әдісі
Мақсаты: Оқушылардың сергектігін
арттыру, сабаққа дайындығын
тексеру.
|
Нұсқаулықтарды орындайды |
Ауызша , мадақтау |
|
||
|
Жаңа сабақ |
Сызықтық теңдеулер жүйесін шешудің негізгі 3 тәсілі бар:
Барлық тәсілдерде шешім – жүйенің екі теңдеуін де қанағаттандыратын (х;у) сан жұбы. Есептер
Есеп 1 (алмастыру
әдісі).
Шешуі: 2у+у=8 → 3у=8 →
у=8/3.
Есеп 2 (қосу-азайту
әдісі).
Теңдеулерді қосайық: 5х=18 →
х=18/5=3,6.
Есеп 3 (графиктік
әдіс).
Бірінші теңдеу: у=5–х. Жаттығулар
Дескриптор: Тапсырма (мәтіндік есеп) «Екі оқушы бірге 54 есеп шығарды. Біріншісі екіншісінен 6 есеп артық орындаған».
Жүйе:
Шешуі: (у+6)+у=54 → 2у+6=54 →
2у=48 → у=24. Жауабы: бірінші оқушы – 30 есеп, екінші оқушы – 24 есеп шығарған. Тест тапсырмасы
Жүйені шешіңдер:
A) (2;3)
Шешуі:
екінші
теңдеуден: х=у+1. |
Тапсырмаларды орындайды Тапсырмаларды орындайды Тапсырмаларды орындайды |
Дескриптор ,
бағдаршам ,
ауызша мадақтау
|
|
||
|
Сабақты бекіту |
«Бес саусақ» әдісі ? Нұсқаулық:
|
Нұсқаулықты орындайды |
Кері байланыс жасайды |
|
||
|
Білім беру ұйымының атауы |
|
|||||
|
Пәні: |
|
|||||
|
Бөлім: |
|
|||||
|
Педагогтің аты-жөні: |
|
|||||
|
Күні: |
|
|||||
|
Сыныбы: |
Қатысушылар саны |
Қатыспағандар саны |
||||
|
Тақырыбы |
Бақылау жұмысы №3 |
|||||
|
Сабақтың мақсаты |
–
Сызықтық теңдеулер жүйесін шешудің әртүрлі
әдістерін қолдану (графиктік, алмастыру, қосу-азайту); |
|||||
|
Құндылықтарды дарыту |
–
Алған білімін жүйелі қолдану, өзін-өзі бағалау
дағдысын қалыптастыру; |
|||||
|
Сабақтың барысы |
||||||
|
Сабақтың жоспарланған кезеңдері |
Педагогтің әрекеті |
Оқушының әрекеті |
Бағалау |
Ресурс тар |
||
|
Ұйымдастыру кезеңі |
"Бүгінгі мақсатымды білдіремін" әдісі
Мақсаты: Оқушылардың өз оқу мақсаттарын
түсінуіне көмектесу.
|
Нұсқаулықтарды орындайды |
Ауызша , мадақтау |
|
||
|
Жаңа сабақ |
Есептер
Есеп 1 (графиктік
әдіс).
Шешуі: Есеп 2 (алмастыру әдісі).
Шешуі: Есеп 3 (қосу-азайту әдісі).
Шешуі:
Есеп 4
(мәтіндік).
Шешуі: қосамыз → 2х=54 →
х=27.
Есеп 5 (таңдау
әдісі).
Шешуі: Бағалау критерийлері
Жалпы: 10 балл. |
Тапсырмаларды орындайды Тапсырмаларды орындайды Тапсырмаларды орындайды |
Дескриптор ,
бағдаршам ,
ауызша мадақтау
|
|
||
|
Сабақты бекіту |
«Кері байланыс парағы»
|
Нұсқаулықты орындайды |
Кері байланыс жасайды |
Парақтар |
||
Қысқа мерзімді сабақ жоспары №30
|
Білім беру ұйымының атауы |
|
|||||
|
Пәні: |
|
|||||
|
Бөлім: |
|
|||||
|
Педагогтің аты-жөні: |
|
|||||
|
Күні: |
|
|||||
|
Сыныбы: |
Қатысушылар саны |
Қатыспағандар саны |
||||
|
Тақырыбы |
Қателермен жұмыс |
|||||
|
Сабақтың мақсаты |
–
Бақылау жұмысында кеткен
қателерді талдау; |
|||||
|
Құндылықтарды дарыту |
–
Өз қатесін түсініп, түзету арқылы білімін
жетілдіруге тәрбиелеу; |
|||||
|
Сабақтың барысы |
||||||
|
Сабақтың жоспарланған кезеңдері |
Педагогтің әрекеті |
Оқушының әрекеті |
Бағалау |
Ресурс тар |
||
|
Ұйымдастыру кезеңі |
"Сен білесің бе?" әдісі
Мақсаты: Сабақ тақырыбына қызығушылық
тудыру, оқушыларды диалогқа
тарту.
|
Нұсқаулықтарды орындайды |
Ауызша , мадақтау |
|
||
|
Жаңа сабақ |
Оқушылар жиі жіберетін қателер:
Мақсат: әр оқушы өзінің қатесін көреді, түсіндіреді, түзетеді. Бақылау талдау үлгісі
Қате есеп
(мысал): Оқушы шешімі: х=3–у → 2х+у=7 → 2(3–у)+у=7 → 6–2у+у=7 → 6–у=7 → у=–7. Қате: 6–у=7 → –у=1 → у=–1 болуы тиіс.
Дұрыс
шешім: у=–1, х=4.
Есеп 2 (қате
талдау): Оқушы қосу әдісін қолданбаған, орнына қате алмастыру жасап, нәтиже шықпаған.
Дұрыс
шешу: Жаттығулар (қателерді түзету)
Топтық жұмыс
Әр топқа бақылау жұмысынан
алынған нақты қате есеп беріледі. Дескриптор: –
Қате болған қадамды
анықтайды; |
Тапсырмаларды орындайды Тапсырмаларды орындайды Тапсырмаларды орындайды |
Дескриптор ,
бағдаршам ,
ауызша мадақтау
|
|
||
|
Сабақты бекіту |
«Бес саусақ» әдісі ? Нұсқаулық:
|
Нұсқаулықты орындайды |
Кері байланыс жасайды |
|
||
Қысқа мерзімді сабақ жоспары №31
|
Білім беру ұйымының атауы |
|
|||||
|
Пәні: |
|
|||||
|
Бөлім: |
|
|||||
|
Педагогтің аты-жөні: |
|
|||||
|
Күні: |
|
|||||
|
Сыныбы: |
Қатысушылар саны |
Қатыспағандар саны |
||||
|
Тақырыбы |
Екі айнымалысы бар сызықтық теңсіздіктер |
|||||
|
Сабақтың мақсаты |
–
Екі айнымалысы бар сызықтық теңсіздіктерді
түсіну; |
|||||
|
Құндылықтарды дарыту |
–
Геометриялық және алгебралық байланыстарды түсіну
арқылы кеңістіктік ойлауды дамыту; |
|||||
|
Сабақтың барысы |
||||||
|
Сабақтың жоспарланған кезеңдері |
Педагогтің әрекеті |
Оқушының әрекеті |
Бағалау |
Ресурс тар |
||
|
Ұйымдастыру кезеңі |
"Көңіл-күйіңді көрсет" (эмодзи әдісі)
Мақсаты: Оқушылардың көңіл-күйін
анықтау, сабаққа дайындық деңгейін
бақылау.
|
Нұсқаулықтарды орындайды |
Ауызша , мадақтау |
|
||
|
Жаңа сабақ |
Екі айнымалысы бар сызықтық
теңсіздік – сызықтық теңдеумен байланысты, бірақ теңдік белгісі
орнына теңсіздік қойылады. Салу алгоритмі:
Есептер
Есеп
1.
1-қадам: х+у=3 түзуін саламыз
(нүктелері: (0;3), (3;0)). Жауабы: шешім аймағы – х+у≥3 шартын қанағаттандыратын нүктелер жиыны.
Есеп
2.
1-қадам: у=2х+1 түзуін саламыз
(нүктелері: (0;1), (1;3)). Жаттығулар (шешім аймағын бояу)
Дескриптор: Тест тапсырмасы
Теңсіздіктің шешім аймағын
анықтаңдар:
A) Түзудің үстіңгі бөлігі
(қоса)
Шешуі:
у≥х+2 →
шешім аймағы түзудің үстінде, түзу толық
сызылады. |
Тапсырмаларды орындайды Тапсырмаларды орындайды Тапсырмаларды орындайды |
Дескриптор ,
бағдаршам ,
ауызша мадақтау
|
|
||
|
Сабақты бекіту |
«Екі жұлдыз, бір тілек»
|
Нұсқаулықты орындайды |
Кері байланыс жасайды |
|
||
Қысқа мерзімді сабақ жоспары №32
|
Білім беру ұйымының атауы |
|
|||||
|
Пәні: |
|
|||||
|
Бөлім: |
|
|||||
|
Педагогтің аты-жөні: |
|
|||||
|
Күні: |
|
|||||
|
Сыныбы: |
Қатысушылар саны |
Қатыспағандар саны |
||||
|
Тақырыбы |
Екі айнымалысы бар теңсіздіктер жүйесі |
|||||
|
Сабақтың мақсаты |
–
Екі айнымалысы бар сызықтық теңсіздіктер жүйесін
түсіну; |
|||||
|
Құндылықтарды дарыту |
–
Математикалық ойлау қабілетін дамыту, логикалық
талдауға дағдыландыру; |
|||||
|
Сабақтың барысы |
||||||
|
Сабақтың жоспарланған кезеңдері |
Педагогтің әрекеті |
Оқушының әрекеті |
Бағалау |
Ресурс тар |
||
|
Ұйымдастыру кезеңі |
"Құпия сыйлық" әдісі
Мақсаты: Оқушыларды ынталандыру,
олардың сабаққа деген қызығушылығын
ояту.
|
Нұсқаулықтарды орындайды |
Ауызша , мадақтау |
|
||
|
Жаңа сабақ |
Екі айнымалысы бар
теңсіздіктер жүйесі – бірнеше теңсіздіктен тұрады. Салу алгоритмі:
Есеп Жүйе:
1-қадам: х+у=5 түзесін саламыз. (нүктелері: (0;5), (5;0)). Белгі ≤ болғандықтан, түзудің төменгі жағы боялады. 2-қадам: у=2 түзесін саламыз (горизонталь түзу). Белгі ≥ болғандықтан, түзудің үстіңгі бөлігі боялады. 3-қадам: Ортақ аймақ – у≥2 және х+у≤5 шарттарын қанағаттандыратын облыс. Бұл – шектелген төртбұрыш тәрізді аймақ. Жауабы: шешім облысы – (х;у) нүктелерінің жиыны, мұнда у≥2 және х+у≤5. Жаттығулар 1-жаттығу.
– 2х+у=4 түзуін саламыз
(нүктелері: (0;4), (2;0)), үстіңгі бөлігі боялады. 2-жаттығу.
Бұл – бірінші ширектегі
үшбұрыш тәрізді аймақ. 3-жаттығу (өмірлік
мысал).
Шешім облысы – теңсіздіктердің ортақ аймағы. Тест тапсырмасы Жүйенің шешім облысын көрсет:
A) х+у≥4 шартын
қанағаттандыратын, у≤х болатын аймақ Жауабы: A) – х+у≥4 облысының у≤х бөлігі. Дескриптор: |
Тапсырмаларды орындайды Тапсырмаларды орындайды Тапсырмаларды орындайды |
Дескриптор ,
бағдаршам ,
ауызша мадақтау
|
|
||
|
Сабақты бекіту |
«Табыс сатысы»
|
Нұсқаулықты орындайды |
Кері байланыс жасайды |
|
||
Қысқа мерзімді сабақ жоспары №33
|
Білім беру ұйымының атауы |
|
|||||
|
Пәні: |
|
|||||
|
Бөлім: |
|
|||||
|
Педагогтің аты-жөні: |
|
|||||
|
Күні: |
|
|||||
|
Сыныбы: |
Қатысушылар саны |
Қатыспағандар саны |
||||
|
Тақырыбы |
Қорытынды қайталау |
|||||
|
Сабақтың мақсаты |
–
Бір айнымалысы бар теңдеулер мен теңсіздіктерді
шешу; |
|||||
|
Құндылықтарды дарыту |
–
Алған білімді жинақтап, сараптау дағдысын
қалыптастыру; |
|||||
|
Сабақтың барысы |
||||||
|
Сабақтың жоспарланған кезеңдері |
Педагогтің әрекеті |
Оқушының әрекеті |
Бағалау |
Ресурс тар |
||
|
Ұйымдастыру кезеңі |
"Сиқырлы сөз" әдісі
Мақсаты: Сабақтың тақырыбына
қызығушылық тудыру, топтық жұмысқа
ынталандыру.
|
Нұсқаулықтарды орындайды |
Ауызша , мадақтау |
|
||
|
Жаңа сабақ |
Бұл сабақ – қорытынды
қайталау. Оқушылар осы уақытқа дейінгі алған білімдерін қолдана
отырып, теңдеу, теңсіздік және жүйелер бойынша есептер
шығарады. Қорытынды тапсырмалар
Есеп 1
(теңдеу).
Есеп 2
(теңсіздік).
Есеп 3 (екі айнымалысы бар
теңдеу).
Есеп 4 (екі айнымалысы бар
теңсіздік).
Есеп 5 (жүйе – алмастыру
әдісі).
Шешуі: орнына қойсақ →
2(3–у)+у=7 → 6–2у+у=7 → –у=1 → у=–1.
Есеп 6 (жүйе – қосу-азайту
әдісі).
Қосамыз: 2х=12 → х=6.
Есеп 7 (мәтіндік
теңдеу).
Есеп 8 (мәтіндік
жүйе). Жаттығулар (қайталау)
Тест тапсырмасы
Мына жүйенің шешімі қайсы?
A) (3;4)
Шешуі:
қосамыз →
2х=8 → х=4. Сонда у=3.
Дескриптор: |
Тапсырмаларды орындайды Тапсырмаларды орындайды Тапсырмаларды орындайды |
Дескриптор ,
бағдаршам ,
ауызша мадақтау
|
|
||
|
Сабақты бекіту |
«Бес саусақ» әдісі ? Нұсқаулық:
|
Нұсқаулықты орындайды |
Кері байланыс жасайды |
|
||
Қысқа мерзімді сабақ жоспары №34
|
Білім беру ұйымының атауы |
|
|||||||||||||
|
Пәні: |
|
|||||||||||||
|
Бөлім: |
|
|||||||||||||
|
Педагогтің аты-жөні: |
|
|||||||||||||
|
Күні: |
|
|||||||||||||
|
Сыныбы: |
Қатысушылар саны |
Қатыспағандар саны |
||||||||||||
|
Тақырыбы |
Қорытынды бақылау жұмысы |
|||||||||||||
|
Сабақтың мақсаты |
–
Бір және екі айнымалысы бар сызықтық теңдеулер
мен теңсіздіктерді шешу; |
|||||||||||||
|
Құндылықтарды дарыту |
–
Алған білімді жинақтап, нақты
қолдануға үйрету; |
|||||||||||||
|
Сабақтың барысы |
||||||||||||||
|
Сабақтың жоспарланған кезеңдері |
Педагогтің әрекеті |
Оқушының әрекеті |
Бағалау |
Ресурс тар |
||||||||||
|
Ұйымдастыру кезеңі |
"Бір сөзбен" әдісі
Мақсаты: Оқушылардың сабаққа деген
эмоционалдық дайындығын
анықтау. Мұғалім оқушыларға "Сен бүгін сабақтан не күтесің?" деген сұрақ қояды.
|
Нұсқаулықтарды орындайды |
Ауызша , мадақтау |
|
||||||||||
|
Жаңа сабақ |
Тапсырмалар
Есеп 1.
(теңдеу)
Есеп 2.
(теңсіздік)
Есеп 3. (екі айнымалысы бар
теңдеу)
Жауабы: (0;4), (2;3), (8;0). Есеп 4. (екі айнымалысы бар
теңсіздік) Есеп 5. (жүйе – алмастыру әдісі)
Шешуі:
2(3–у)+у=7 → 6–2у+у=7 → –у=1 → у=–1. Есеп 6. (жүйе – қосу-азайту әдісі)
Қосамыз: 2х=12 → х=6. Есеп 7. (мәтіндік
есеп) Жүйе: Шешуі: (у+28)+у=50 → 2у+28=50
→ 2у=22 → у=11. Бағалау критерийлері (10 баллдық шкала)
Жалпы: 10 балл. |
Тапсырмаларды орындайды Тапсырмаларды орындайды Тапсырмаларды орындайды |
Дескриптор ,
бағдаршам ,
ауызша мадақтау
|
|
||||||||||
|
Сабақты бекіту |
«Екі жұлдыз, бір тілек»
|
Нұсқаулықты орындайды |
Кері байланыс жасайды |
|
||||||||||
Қорытынды
Сызықтық теңдеулер мен теңсіздіктер – математика ғылымының ең негізгі және өмірлік маңызы зор тақырыптарының бірі. Бұл тақырыпты оқыту барысында оқушылар тек алгебралық амалдарды үйреніп қана қоймайды, сонымен қатар логикалық ойлауды, дәлелдеуді, талдауды және қорытынды жасауды меңгереді. Сызықтық теңдеулердің шешімі – белгісіз шаманы табу болса, теңсіздіктердің шешімі – бірден көп мәндерді қамтитын жиын болып табылады. Мұндай айырмашылықтарды түсіну оқушының математикалық мәдениетін қалыптастырып, ойлау қабілетін дамытады.
Бұл курс барысында алдымен бір айнымалысы бар сызықтық теңдеулер қарастырылып, олардың шешу жолдары – қосу, азайту, көбейту, бөлу амалдары арқылы жүзеге асатыны көрсетілді. Бұдан кейін теңдеуді тексеру, құрама теңдеулерді шешу, ұқсас мүшелерді ықшамдау тәсілдері түсіндірілді. Оқушылар қарапайымнан күрделіге қарай өтіп, мәтіндік есептерді теңдеумен шығара білуге дағдыланды. Мұның барлығы олардың күнделікті өмірде кездесетін қарапайым мәселелерді математикалық модельге айналдыруына жағдай жасайды.
Ал теңсіздіктерді оқу барысында бір қадамды және күрделі теңсіздіктер, олардың шешім жиыны, сан осінде кескіндеу дағдылары қалыптасты. Оқушылар теңсіздік белгілерін дұрыс қолдануды, шешім облысын бояуды үйренді. Бұл бөлімде өмірлік мысалдар арқылы теңсіздіктерді құру тапсырмалары ерекше рөл атқарды. Мәселен, «баға кем емес», «шамадан көп емес» сияқты тіркестерді теңсіздікпен өрнектеу балалардың тілдік және логикалық дағдыларын дамытты.
Екі айнымалысы бар теңдеулер мен теңсіздіктер тақырыптары оқушылардың графиктік бейнелеу қабілетін арттырды. Оқушылар кесте толтыру арқылы нүктелерді табуды, түзу сызықтар салуды, теңдеулер жүйесін графиктік, алмастыру және қосу-азайту тәсілдерімен шешуді үйренді. Бұл әдістердің әрқайсысын меңгеру – оқушылардың таңдау еркіндігін арттырып, тиімді әдісті анықтауға үйретті. Екі айнымалысы бар теңсіздіктер жүйесінің шешім облысын табу оқушыға координаталық жазықтықтағы фигураларды түсінуге көмектесіп, геометриялық ойлауын да дамытты.
Практикалық есептерге ерекше көңіл бөлінді. Сауда-саттық, уақыт, жасқа байланысты есептер балалардың өмірлік тәжірибесімен байланыстырылып, математиканы шынайы өмірге қолдануға мүмкіндік берді. Осы арқылы пәнге деген қызығушылық артып, оқушының өзіндік ойлау белсенділігі күшейді.
Жалпы, бұл курс оқушыға:
– теңдеу мен теңсіздіктерді
шешудің әртүрлі әдістерін меңгертуге;
– математикалық модель құруға;
– графиктік кескіндеуді орындауға;
– логикалық, шығармашылық тұрғыда ойлауға;
– өмірлік дағдыларды дамытуға ықпал
етті.
Сондықтан сызықтық теңдеулер мен теңсіздіктер тақырыбы оқушының алдағы алгебралық білімдерінің негізін қалап қана қоймай, жалпы ойлау мәдениетінің, дәлдіктің, ұқыптылықтың қалыптасуына мүмкіндік береді. Бұл бөлімді толық меңгерген оқушы келесі күрделі тақырыптарды түсінуге дайын болады.
Пайдаланылған әдебиеттер (мұғалімге)
-
Алгебра: Жалпы білім беретін мектептің 6-сыныбына арналған оқулық / Алматы: Мектеп баспасы.
-
Қазақстан Республикасы БҒМ. Математика пәнінің оқу бағдарламасы.
-
Мұхамбетқалиұлы Қ., Алгебрадан есептер жинағы. – Алматы.
-
Кемеңгерова Б., Теңдеулер мен теңсіздіктерді шешу әдістемесі. – Астана.
-
Нұрланова С. Математиканы оқыту әдістемесі. – Алматы.
-
Дүйсенова М. Мектеп математикасы: әдістемелік құрал.
-
Кушнер А.Г. Алгебра и начала анализа. – Москва.
-
Никольский С.М., Алгебра: Учебник для 7 класса. – Москва.
-
Әбілқасымова А.Е., Математикадан әдістемелік нұсқаулар.
-
Жұмаділдаева Қ. Математикалық есептерді шығару жолдары.
-
Айтқалиев А. Математиканы оқытудың жаңа технологиялары.
-
Колмогоров А.Н. Математика: задачи и решения. – Москва.
-
Смайылова Г. Практикалық математика. – Алматы.
-
ҚР ҰБА ғылыми еңбектері: Математика бөлімі.
-
Smith, R. Linear Equations and Inequalities. – Cambridge University Press.
Әдебиеттер (оқушыға)
-
Алгебра: 6-сынып оқулығы. – Алматы: Мектеп.
-
Алгебрадан есептер жинағы. – Алматы.
-
Математикадан жұмыс дәптері (6-сынып).
-
Білім-инновация лицейлеріне арналған қосымша есептер жинағы.
-
«Bilimland» онлайн платформасы.
-
«iTest» ҰБТ-ға дайындық базасы.
-
Khan Academy: Algebra (онлайн ресурс).
-
Мұғалім ұсынған дәптерлер мен әдістемелік құралдар.
-
«Математика әлемі» журналы.
-
Daribook.kz электронды кітапханасы.
Қосымша
1. Теңдеу ұғымы. Теңдеудің шешімі
-
х+7=15 (х=8)
-
х–9=20 (х=29)
-
2х=18 (х=9)
-
х/4=5 (х=20)
-
х+11=30 (х=19)
-
х–6=14 (х=20)
-
3х=21 (х=7)
-
х/2=12 (х=24)
-
5+х=17 (х=12)
-
х–25=10 (х=35)
2. Теңдеуді шешудің негізгі қасиеттері
-
2х+5=15 (х=5)
-
3х–7=11 (х=6)
-
5х+4=19 (х=3)
-
7х–2=19 (х=3)
-
4х+9=21 (х=3)
-
6х–8=10 (х=3)
-
10х+5=35 (х=3)
-
12х–6=18 (х=2)
-
8х+2=26 (х=3)
-
9х–3=24 (х=3)
3. Бір қадамды теңдеулер
-
х+8=12 (х=4)
-
х–6=9 (х=15)
-
х/5=7 (х=35)
-
6х=42 (х=7)
-
х+3=11 (х=8)
-
х–4=16 (х=20)
-
х/7=9 (х=63)
-
9х=36 (х=4)
-
х+25=40 (х=15)
-
х–18=6 (х=24)
4. Күрделі теңдеулер: көбейту, бөлу
-
5х=45 (х=9)
-
х/6=8 (х=48)
-
7х=49 (х=7)
-
х/3=15 (х=45)
-
8х=72 (х=9)
-
х/12=5 (х=60)
-
9х=81 (х=9)
-
х/9=11 (х=99)
-
4х=44 (х=11)
-
х/15=4 (х=60)
5. Теңдеуді тексеру
-
х+6=14 (х=8)
-
3х–5=10 (х=5)
-
2х+7=15 (х=4)
-
5х–9=16 (х=5)
-
х+12=20 (х=8)
-
4х–3=9 (х=3)
-
6х+1=19 (х=3)
-
х–8=12 (х=20)
-
7х–4=24 (х=4)
-
10х+5=55 (х=5)
6. Құрама теңдеулер
-
2(х+3)=16 (х=5)
-
(х–4)/2=6 (х=16)
-
3(х–2)=9 (х=5)
-
(х+5)/3=4 (х=7)
-
4(х–1)=12 (х=4)
-
(х–7)/5=2 (х=17)
-
2(х+6)=20 (х=4)
-
(х–10)/2=8 (х=26)
-
3(х+2)=18 (х=4)
-
(х–12)/4=3 (х=24)
7. Ұқсас мүшелері бар теңдеулер
-
2х+3х=25 (х=5)
-
4х–2х=14 (х=7)
-
5х+х=18 (х=3)
-
6х–2х=20 (х=5)
-
3х+7х=40 (х=4)
-
8х–3х=15 (х=3)
-
9х+х=50 (х=5)
-
10х–4х=12 (х=2)
-
7х+2х=27 (х=3)
-
12х–2х=40 (х=4)
8. Мәтіндік есептерді теңдеумен шығару
-
«Хан 20 жаста, інілері 4 есе кіші. Інісі нешеде?» → х/4=20 → х=80
-
«2 кітап 1000 тг, бірдей бағалы. Бір кітап неше тг?» (500)
-
«Бала 15 жаста, әкесі одан 20 жас үлкен. Әкесі нешеде?» (35)
-
«Әлия 12 алма алды, оның 4-еуін жеді. Қанша қалды?» (8)
-
«Екі сан қосындысы 30, біреуі 10. Екіншісі неше?» (20)
-
«1 кг алма 300 тг, 5 кг неше?» (1500)
-
«Бала 24 дәптерді теңдей етіп 3 досына бөлді. Әрқайсысына қанша?» (8)
-
«Жол 120 км, жылдамдығы 60 км/сағ. Уақыты?» (2 сағ)
-
«Фильм 120 минут, әр бөлім 30 мин. Неше бөлім?» (4)
-
«Анасы 45 жаста, қызы 15 жаста. Анасы 2 есе үлкен болған кез қашан?» (15 жылдан кейін)
9. Практикалық есептер
-
2 дәптер – 200 тг, 4 дәптер? (400)
-
Автобус 60 км/сағ, 180 км? (3 сағ)
-
3 алма 300 тг, 7 алма? (700)
-
5 кг қант – 2000 тг, 1 кг? (400)
-
2 қалам – 300 тг, 10 қалам? (1500)
-
1 л сүт – 250 тг, 8 л? (2000)
-
1 күнде 24 сағ, 5 күнде? (120)
-
7×х=49 (х=7)
-
9х=81 (х=9)
-
15х=45 (х=3)
10. Қорытындылау (теңдеулер тарауы)
-
2х+5=15 (х=5)
-
3х–4=11 (х=5)
-
х/2=10 (х=20)
-
4х=36 (х=9)
-
(х–3)/2=7 (х=17)
-
2(х+4)=20 (х=6)
-
5х–3=12 (х=3)
-
6х+2=20 (х=3)
-
7х=49 (х=7)
-
(х–6)/3=2 (х=12)
11. Бақылау жұмысы №1 (мысалға қосымша 10 есеп)
(қысқаша)
-
2х=16 (х=8)
-
3х–7=5 (х=4)
-
х/5=9 (х=45)
-
4(х–2)=12 (х=5)
-
6х+4=16 (х=2)
-
2х+3=9 (х=3)
-
х–8=15 (х=23)
-
(х+6)/2=7 (х=8)
-
5х–10=15 (х=5)
-
9х=27 (х=3)
12. Қателермен жұмыс (теңдеулер)
-
2х+7=15 (х=4)
-
3х–5=16 (х=7)
-
(х–4)/2=6 (х=16)
-
4(х+2)=20 (х=3)
-
5х–9=21 (х=6)
-
х/3=12 (х=36)
-
7х+2=30 (х=4)
-
2(х–6)=10 (х=11)
-
3х+8=20 (х=4)
-
(х+9)/3=7 (х=12)
13. Теңсіздік ұғымы
-
х>5 (шешімдері: 6, 7, …)
-
х<–3 (шешімдері: –4, –5, …)
-
у≥2 (2, 3, 4, …)
-
у≤10 (…, 8, 9, 10)
-
х>0 (оң сандар)
-
х≤7 (…, 5, 6, 7)
-
х≥–2 (–2, –1, 0, …)
-
х<1 (…, –1, 0)
-
у>–5 (–4, –3, …)
-
у≤0 (…, –2, –1, 0)
14. Бір қадамды теңсіздіктер
-
х+7>12 (х>5)
-
х–3<5 (х<8)
-
х+4≤10 (х≤6)
-
х–6≥9 (х≥15)
-
х+2>0 (х>–2)
-
х–8<4 (х<12)
-
х+10≥20 (х≥10)
-
х–15≤5 (х≤20)
-
х+9>7 (х>–2)
-
х–1<0 (х<1)
15. Күрделі теңсіздіктер
-
2х>10 (х>5)
-
х/3≤4 (х≤12)
-
5х≥20 (х≥4)
-
х/2<7 (х<14)
-
9х>18 (х>2)
-
х/4≥6 (х≥24)
-
3х≤21 (х≤7)
-
–2х<8 (х>–4)
-
–х>3 (х<–3)
-
–5х≤10 (х≥–2)
16. Теңсіздіктің шешім жиыны
-
х>4 (5, 6, …)
-
х≤–2 (…, –3, –2)
-
у≥0 (0, 1, 2, …)
-
у<5 (…, 3, 4)
-
х≥10 (10, 11, …)
-
х<7 (…, 5, 6)
-
у≤–1 (…, –2, –1)
-
у>2 (3, 4, …)
-
х≥–5 (–5, –4, …)
-
х≤20 (…, 18, 19, 20)
17. Мәтіндік теңсіздіктер
-
«Бағасы 500 тг-ден кем емес» → х≥500
-
«Жасы 18-ден кіші» → х<18
-
«Жылдамдық 60-тан артық» → v>60
-
«Ұпайы 50-ден кем емес» → у≥50
-
«Қорытындысы 100-ден аспайды» → х≤100
-
«Шамасы 20-дан көп» → х>20
-
«Кітап саны 5-тен кем» → n<5
-
«Әлемшар массасы 0-ден артық» → m>0
-
«Шешім 10-нан аз емес» → х≥10
-
«Саны –2-ден кіші» → х<–2
18. Қорытындылау (теңсіздіктер тарауы)
-
2х–5<15 (х<10)
-
х/3≥4 (х≥12)
-
–2х≤6 (х≥–3)
-
5х+7>12 (х>1)
-
х–9≤0 (х≤9)
-
7х>28 (х>4)
-
(х–3)/2<5 (х<13)
-
–х+4≥0 (х≤4)
-
10–х>0 (х<10)
-
3х–7≤2 (х≤3)
19. Бақылау жұмысы №2 (теңсіздіктер)
-
2х+3≤9 (х≤3)
-
х–7>8 (х>15)
-
х/4<5 (х<20)
-
–3х≥6 (х≤–2)
-
5х–2≤18 (х≤4)
-
х+9>0 (х>–9)
-
(х–4)/2≤3 (х≤10)
-
7–х≥1 (х≤6)
-
–2х+5<7 (х>–1)
-
9х>0 (х>0)
20. Қателерді талдау (теңсіздіктер)
-
х+5>10 (х>5)
-
х–8≤12 (х≤20)
-
–х>3 (х<–3)
-
4х<16 (х<4)
-
х/2≥7 (х≥14)
-
–3х≤12 (х≥–4)
-
5х–9>6 (х>3)
-
(х–1)/4≤2 (х≤9)
-
х+12≥20 (х≥8)
-
–2х+5<1 (х>2)
21. Екі айнымалысы бар сызықтық теңдеу
-
2х+3у=12 (шешім мысалы: (0;4))
-
х+у=5 (шешім: (2;3))
-
3х–у=6 (шешім: (2;0))
-
х–2у=4 (шешім: (6;1))
-
4х+у=8 (шешім: (2;0))
-
х+2у=10 (шешім: (0;5))
-
5х–3у=9 (шешім: (3;2))
-
2х+у=7 (шешім: (2;3))
-
х–у=1 (шешім: (2;1))
-
3х+2у=18 (шешім: (4;3))
22. Екі айнымалысы бар сызықтық теңдеудің графигі
-
у=2х+1 (нүктелері: (0;1), (1;3))
-
х+у=6 (нүктелері: (0;6), (6;0))
-
у=–х+4 (нүктелері: (0;4), (4;0))
-
2х+у=8 (нүктелері: (0;8), (4;0))
-
у=3х–2 (нүктелері: (0;–2), (1;1))
-
х–у=5 (нүктелері: (0;–5), (5;0))
-
4х+2у=12 (нүктелері: (0;6), (3;0))
-
у=½х+2 (нүктелері: (0;2), (2;3))
-
х+2у=10 (нүктелері: (0;5), (10;0))
-
5х–у=0 (нүктелері: (0;0), (1;5))
23. Сызықтық теңдеулер жүйесі
-
{х+у=6; х–у=2} → (4;2)
-
{2х+у=7; х–у=1} → (2;3)
-
{3х–у=5; х+у=7} → (3;4)
-
{х+2у=8; х–у=2} → (4;2)
-
{2х+3у=12; х–у=0} → (2;2)
-
{4х–у=7; 2х+у=9} → (2;5)
-
{3х+2у=18; 2х–у=1} → (3;4,5)
-
{5х–у=9; х+у=7} → (2;5)
-
{х–2у=1; 3х+у=11} → (3;1)
-
{2х+5у=20; х–у=2} → (5;2)
24. Жүйені графиктік тәсілмен шешу
-
{х+у=4; х–у=2} → (3;1)
-
{2х+у=6; х–у=1} → (7/3; 5/3)
-
{х+2у=8; 2х–у=1} → (3; 2,5)
-
{3х–у=6; х+у=4} → (2,5;1,5)
-
{х–2у=0; х+у=6} → (4;2)
-
{2х+3у=12; х–у=3} → (3;2)
-
{х+у=10; 2х–у=1} → (11/3;19/3)
-
{4х–у=7; х+2у=11} → (3;4)
-
{3х+2у=8; х–у=2} → (3,2;1,2)
-
{2х–у=4; х+3у=9} → (3;2)
25. Жүйені алмастыру тәсілімен шешу
-
{х=2у; х+у=9} → (6;3)
-
{2х+у=7; х=3–у} → (4;–1)
-
{х=5–2у; 3х+у=10} → (3;1)
-
{у=2х; х+у=12} → (4;8)
-
{х=у+1; 2х+3у=14} → (5;4)
-
{у=х–3; 3х–2у=4} → (2;–1)
-
{х=4–у; 5х+у=13} → (2;2)
-
{у=7–х; 2х+у=11} → (2;5)
-
{х=3у; 2х–у=5} → (15/7;5/7)
-
{у=2х–1; х+у=8} → (3;5)
26. Жүйені қосу-азайту тәсілімен шешу
-
{2х+3у=12; 3х–3у=6} → (3,6;1,6)
-
{х+у=10; х–у=2} → (6;4)
-
{3х+2у=16; 2х–2у=4} → (3,2;1,2)
-
{5х–2у=9; 3х+2у=15} → (2;3)
-
{4х+у=11; 2х–у=1} → (2;3)
-
{3х–у=7; 2х+у=8} → (3;2)
-
{х–2у=4; 2х+3у=17} → (5;0,5)
-
{7х+2у=23; 5х–2у=7} → (3;1)
-
{2х+5у=20; 4х–5у=0} → (2,5;3)
-
{3х–2у=4; 5х+2у=16} → (2;1)
27. Практикалық есептер (жүйелер)
-
«Қалам 50 тг, дәптер 100 тг. Барлығы 5 дана, бағасы 400 тг. Нешеуін алды?» → 2 қалам, 3 дәптер
-
«Автобус пен пойыз жолы 300 км. Автобус 60 км/сағ, пойыз 90 км/сағ. Бірге 4 сағ жүрді. Қанша жолды жүрді?» → автобус 120 км, пойыз 180 км
-
«Әкесі баласынан 25 жас үлкен. Жастарының қосындысы 55». → (40;15)
-
«Тауар бағасы: алма 200 тг, алмұрт 300 тг. Барлығы 5 дана, бағасы 1200 тг». → 3 алма, 2 алмұрт
-
«Екі санның қосындысы 20, айырмасы 4». → (12;8)
-
«Ұпайлар: математикадан х, физикадан у. Барлығы 90, математика физикадан 10 артық». → (50;40)
-
«2 қорап қалам және 3 дәптер – 600 тг. 3 қорап қалам және 2 дәптер – 700 тг». → қалам=100, дәптер=100
-
«Әкесі 30 жаста, баласы 10 жаста. Неше жылдан соң әкесі 2 есе үлкен?» → 10 жылдан соң
-
«Ұзындығы еніне 3 см артық, периметрі 26 см». → (7;4)
-
«2 жұмысшы бірге 6 күнде, жеке 10 және 15 күнде орындайды. Әрқайсысы істеген жұмыс үлесі?» → 10/25 және 15/25
28. Қорытындылау (жүйелер тарауы)
-
{2х+у=7; х–у=1} → (2;3)
-
{х+у=12; х–у=4} → (8;4)
-
{3х+2у=18; 2х–у=4} → (4;3)
-
{5х–у=9; х+у=7} → (2;5)
-
{4х+3у=17; 2х–у=1} → (2;3)
-
{2х+5у=20; 3х–2у=4} → (2;3)
-
{х–2у=1; 2х+у=7} → (3;2)
-
{3х–y=5; х+у=9} → (3,5;5,5)
-
{7х+2у=30; 5х–у=5} → (2;8)
-
{х+у=5; х–у=3} → (4;1)
29. Бақылау жұмысы №3 (жүйелер)
-
{х+у=8; х–у=2} → (5;3)
-
{2х+у=10; х–у=1} → (3,67;2,67)
-
{3х–2у=4; 5х+2у=16} → (2;1)
-
{4х+у=11; 2х–у=1} → (2;3)
-
{х+2у=12; 2х–у=0} → (4;4)
-
{5х–3у=7; х+у=5} → (2,5;2,5)
-
{2х+3у=9; 4х–у=11} → (2,5;1)
-
{7х+2у=20; х–у=2} → (2;3)
-
{х+у=15; х–у=5} → (10;5)
-
{3х+2у=12; х–у=1} → (2,67;1,67)
30. Екі айнымалысы бар сызықтық теңсіздіктер
-
у>2х–1 (шешім: түзудің үсті, түзу кірмейді)
-
у≤–х+3 (асты, түзу кіреді)
-
у≥0,5х+2 (үсті, түзу кіреді)
-
у<–2х+4 (асты, түзу кірмейді)
-
х+у≥5 (сызықтың үсті/оң жағы, түзу кіреді)
-
2х–у≤6 (сызықтың төменгі жағы, түзу кіреді)
-
х–2у>4 (сызықтың оң/жоғарғы жағы, түзу кірмейді)
-
3х+у<2 (асты/сол жағы, түзу кірмейді)
-
–х+2у≥0 (үсті жағы, түзу кіреді)
-
у≤х–3 (асты, түзу кіреді)
31. Екі айнымалысы бар теңсіздіктер жүйесі
-
{х+у≤5; у≥2} (аймақ: у≥2, х≤5–у)
-
{2х+у≥4; у≤3} (аймақ: 4–2х≤у≤3)
-
{х≥0; у≥0; х+у≤6} (төбелер: (0;0), (6;0), (0;6))
-
{у≥х; х+у≥4} (аймақ: у≥х және у≥4–х)
-
{у≤2х+1; у≥–х+2} (қиылысу: (1/3; 5/3), екі сызық арасындағы аймақ)
-
{х≥1; у≥2; х+у≤8} (төбелер: (1;2), (1;7), (6;2))
-
{х≤4; у≤5; х+у≥6} (төбелер: (1;5), (4;5), (4;2))
-
{2х–у≤4; х≥0; у≥0} (аймақ: у≥max(0, 2х–4), x≥0)
-
{х–у≥1; у≥2} (аймақ: 2≤у≤х–1, x≥3)
-
{х≥–1; у≤х+4} (аймақ: у х+4-тен төмен, х≥–1)
32. Қорытынды қайталау (аралас)
-
2(х–3)+5=13 (х=7)
-
3х–11≤1 (х≤4)
-
–2х>10 (х<–5)
-
у=3х–2 үшін (х;у): х=0,1,2 (0;–2), (1;1), (2;4)
-
х+2у=10, х=4 болса (у=3)
-
{х+у=9; х–у=1} (5;4)
-
{2х+3у=12; х=у} (2,4;2,4)
-
у>х–1, нүкте (0;0) тиістілігі (тиесілі емес)
-
х+у≤6, у≥1, х≥0 аймағының бір төбесі ((0;1))
-
(х–5)/2=4 (х=13)
33. Қорытынды бақылау жұмысы (аралас 10 есеп)
-
4х–7=21 (х=7)
-
(х+8)/3=6 (х=10)
-
5–2х<1 (х>2)
-
–3х+9≥0 (х≤3)
-
у=2х+1, х∈{–1,0,2} ((–1;–1), (0;1), (2;5))
-
х+у=8, у=3 (х=5)
-
{2х+у=11; х–у=1} (4;3)
-
{3х–2у=4; х+у=7} (3;4)
-
х+у≤5, у≥2 нүкте тиесілігін тексер: (1;4) (иә)
-
2(х–1)+3(х+2)=19 (х=3)
34. Қателермен жұмыс (аралас, қосымша есептер)
-
7х–14=28 (х=6)
-
(х–9)/3=4 (х=21)
-
6–х≤2 (х≥4)
-
–5х>10 (х<–2)
-
3х+2у=16, х=2 (у=5)
-
у=–х+4, х=–1 (у=5)
-
{х+у=12; х–у=6} (9;3)
-
{4х–у=7; 2х+у=11} (3;5)
-
у≥х–2, нүкте (–1;–1) (тиесілі)
-
5(х–2)–(х–7)=20 (х=5)
шағым қалдыра аласыз















































