Сабақ жоспары
Бекітемін:
|
Мұғалімнің аты-жөні: |
|
|||||||
|
Пән/Сынып: |
9 сынып |
|||||||
|
Күні: |
|
|||||||
|
Тарау немесе бөлім атауы: |
9.3А Тригонометрия |
|||||||
|
Сабақтың тақырыбы: |
Бұрыш пен доғаның градустық және радиандық өлшемдері |
|||||||
|
Оқу мақсаты: |
9.1.1.1бұрыштың радиандық өлшемі ұғымын меңгеру; 9.1.2.1градусты радианға және радианды градусқа айналдыру; |
|||||||
|
Бағалау критериі: |
- бұрыштың радиандық өлшемі ұғымын біледі -Бұрышты радиандық өлшемнен градустық өлшемге көшіреді; -Бұрышты градустық өлшемнен радиандық өлшемге айналдырады; -бірлік шеңберде радиандық және градустық өлшеммен берілген бұрыштарға сәйкес нүктелерді белгілейді; -Бірлік шеңбердегі нүктелердің координаталарын табады |
|||||||
|
Саралап оқыту тапсырмалары |
||||||||
|
Ұжымдық жұмыс Жаңа тақырыптың түсіндірілуі Сабақ мақсаты мен бағалау критерийлерін таныстыру; Бейнероликті қолдана отырып, бекіту тапсырмаларын орындату |
Бірлескен жұмыс (1,2 тапсырма) Тапсырманы ұсыну және дұрыс жауапты ұсыну арқылы үйрету Бекітуге арналғантапсырмаларды орындату; Тапсырмалардың жауаптарын жазу. |
Жеке жұмыс Тапсырманы ұсыну, оқушылар өз бетімен орындауы |
||||||
|
Уақыты |
Кезең дері |
Педагогтің әрекеті |
Оқушының әрекеті |
Бағалау |
Ресурстар |
|||
|
3 минут
|
Ұйымдастыру |
Сәлеметсіздерме! Атмосфералық жағдайды қалыптастыру. Бүгін, Бұрыш пен доғаның градустық және радиандық өлшемдері тақырыбын қарастырамыз Бүгінгі сабақта меңгеретініңіз: -бірлік шеңберде радиандық және градустық өлшеммен берілген бұрыштарға сәйкес нүктелерді белгілейді;
-бірлік шеңбердегі нүктенің
координаталары (cosα;
Қайталау.
|
Сұрақтарға жауап береді.
Формулаларды еске түсіріп,жазады. |
Дескриптор: -сан тізбегінің заңдылығын анықтайды -келесі үш мүшесін жазады -ерекшеліктерін анықтайды -есептің жауабын жазады
|
Whatsapp қолдану.
Интернет ресурстары
|
|||
|
5 мин |
Жаңа сабақ |
Бұрыштың радиандық өлшемі деп бұрышты құрайтын шеңбер доғасының ұзындығының оның радиусына қатынасын айтады.
L-шеңбер доғасының ұзындығы; R-шеңбер радиусы;
Анықтама. Ұзындығы шеңбер радиусының ұзындығына тең, доғаға сәйкес келетін центрлік бұрыш 1 радиандық бұрыш деп аталады.
Сонда
толық шеңбердің ұзындығына
сәйкес келетін, толық
бұрыш
Жарты шеңбердің градустық өлшемі 1800, ал оның радиандық өлшемі π екенін біле отырып, 10 –ты радиандық өлшем арқылы анықтайық: 10= α-қандай да бір бұрыштың градустық өлшемі, а-сол бұрыштың радиандық өлшемі болсын, онда келесі пропорция ақиқат:
α:180=а:π, а=
мысалы, α=300 а= |
Тақырып бойынша ресурстарды қарап, танысады
|
Қосымша ақпарат көздерін пайдалана отырып түсінеді.
«Екі жұлдыз бір ұсыныс» |
https://onlinemektep.net/schedule/1610323200/lesson/3bef7bf3-2e54-468e-90f6-f95a25b43f4e
Слайд |
|||
|
20 мин |
Бекіту тапсырмалары |
Дамыту кезеңі.Есептер шығару 1) Келесі
бұрыштардың санын a=
a=
a=
a=
a=
2)Радианды бұрышқа айналдыр:
3).Үшбұрыштың ішкі бұрыштарының
қосындысы 4). R=1,2 1мин-та 300 айн жасайды ω-?
ω Оқулықпен жұмыс. №19.1. Жеке жұмыс. №19.2 |
Оқулықтан есептер шығарады.
|
Дескриптор: - Градустық өлшемде берілген бұрышты радианға айналдырады және керісінше. -бірлік шеңберде радиандық және градустық өлшеммен берілген бұрыштарға сәйкес нүктелерді белгілейді; -Бірлік шеңбердегі нүктелердің координаталарын табады ҚБ: «Плюс, минус, қызықты» әдісі арқылы оқушылар бірін бірі бағалайды Дескриптор: - Мәтінді есептің қысқаша шартын жазады - Есептеуді дұрыс жүргізеді -Есептің шартына сай жауапты таңдайды. «Бас бармақ» әдісі арқылы өздерін бағалайды |
Слайд
Интернет ресурстары
Жалпы білім беретін мектептің 9–сыныбына арналған оқулық. Оқулық авторлары: А.Е.Әбілқасымова, Т.П.Кучер, В.Е.Корчевский, З.Ә.Жұмағұлова Алматы «Мектеп» баспасы 2019 жыл
|
|||
|
10мин |
Жеке жұмыс |
Online-mektep |
Тапсырманы орындайды |
Мониторинг |
https://onlinemektep.net/schedule/1610323200/lesson/3bef7bf3-2e54-468e-90f6-f95a25b43f4e
|
|||
|
2 минут
|
|
Бүгінгі сабақта: -Бұрыштың радиандық өлшемі ұғымын меңгеру,есептер шығару; -Градусты радианға және радианды градусқа айнаалдыру тәсілдерін білу. Рефлексия:
Үйге тапсырма. №19.5. |
Тақырыпты меңгергенін анықтау
. |
Кері байланыс |
Whatsapp қолдану
|
|||
Сабақ жоспары
Бекітемін:
|
Мұғалімнің аты-жөні: |
|
|||||||||||||||||||||||
|
Пән/Сынып: |
9 сынып |
|||||||||||||||||||||||
|
Күні: |
|
|||||||||||||||||||||||
|
Тарау немесе бөлім атауы: |
9.3А Тригонометрия |
|||||||||||||||||||||||
|
Сабақтың тақырыбы: |
Бұрыш пен доғаның градустық және радиандық өлшемдері |
|||||||||||||||||||||||
|
Оқу мақсаты: |
9.1.1.2 бірлік шеңбердің
бойында |
|||||||||||||||||||||||
|
Бағалау критериі: |
- бұрыштың радиандық өлшемі ұғымын біледі -Бұрышты радиандық өлшемнен градустық өлшемге көшіреді; -Бұрышты градустық өлшемнен радиандық өлшемге айналдырады; -бірлік шеңберде радиандық және градустық өлшеммен берілген бұрыштарға сәйкес нүктелерді белгілейді; -Бірлік шеңбердегі нүктелердің координаталарын табады |
|||||||||||||||||||||||
|
Саралап оқыту тапсырмалары |
||||||||||||||||||||||||
|
Ұжымдық жұмыс Жаңа тақырыптың түсіндірілуі Сабақ мақсаты мен бағалау критерийлерін таныстыру; Бейнероликті қолдана отырып, бекіту тапсырмаларын орындату |
Бірлескен жұмыс (1,2 тапсырма) Тапсырманы ұсыну және дұрыс жауапты ұсыну арқылы үйрету Бекітуге арналғантапсырмаларды орындату; Тапсырмалардың жауаптарын жазу. |
Жеке жұмыс Тапсырманы ұсыну, оқушылар өз бетімен орындауы |
||||||||||||||||||||||
|
Уақыты |
Кезең дері |
Педагогтің әрекеті |
Оқушының әрекеті |
Бағалау |
Ресурстар |
|||||||||||||||||||
|
3 минут
|
Ұйымдастыру |
Сәлеметсіздерме! Атмосфералық жағдайды қалыптастыру. Бүгін, Бұрыш пен доғаның градустық және радиандық өлшемдері тақырыбын қарастырамыз Бүгінгі сабақта меңгеретініңіз: -бірлік шеңберде радиандық және градустық өлшеммен берілген бұрыштарға сәйкес нүктелерді белгілейді;
-бірлік шеңбердегі нүктенің
координаталары (cosα;
Ширату тапсырмасы.Сіздерді тапсырманы бірлесіп орындауға шақырамын. -Қазір сіздерге әр түрлі шамаларды айтамын . Оларды қалай және қандай белгілері бойынша топтастыруға болатыны туралы ойланып көріңіздер. Сонымен бұл тапсырмадан қандай ой түйдіңіздер? - Ауа температурасы күндіз +80С, ал түнде -20С; -Дүкен бірінші айда 10% пайда көріп, екінші айда 8% зиян шекті; -Сүңгуір спортшы 1,2 м биіктікке секіріп, одан 3 м-ге суға сүңгіді; - Айдос бір орында тұрып 1800-қа кері бұрылды; - Айгүл сағаттың 15 минутқа қалып қойды; -400-қа қарама-қарсы бұрыш қандай болады? |
Сұрақтарға жауап береді.
шамаларды мағынасына, сан мәндеріне қарай топтастыруға болатыны туралы қорытынды жасайды. Оң шамаларды: «10% пайда», «+80С», «1,2 м биіктік» және «-20С», «8% зиян шегу», «3 м тереңдік», «15 минут қалып қою» теріс шамалар ретінде қабылданатынын түсіндіреді. Ал «1800-қа кері бұрылу» қарама-қарсы бағыт деген мағынаны білдіретінін ажыратып бұрыштарда да өлшем бірліктері болатынын және оң, теріс шамаларының болатынын анықтайды
|
|
Whatsapp қолдану.
Интернет ресурстары
|
|||||||||||||||||||
|
8 мин |
Жаңа сабақ |
Әр партада шеңбер сызылған сызбалар бар Тапсырма1: Берілген шеңберді екі перпендикуляр түзу жүргізу арқылы 4 бірдей бөлікке бөлейік. Алынған төрт бұрышты тағы да екі перпендикуляр жүргізу арқылы 4 бөлікке бөліп бір бөлігін β деп белгілейік. Енді осы β бұрышын 45 тең бірдей бөлікке бөлсек
10 бұрыш деп- шеңбердің 1/360 бөлігіне тең центрлік бұрышты айтады.
|
Тақырып бойынша ресурстарды қарап, танысады
Білім алушылар жұптасады Сызба көмегімен мұғалімнің бағыттауындағы алгоритмдерді орындап: -10 бұрышты анықтайды; -бірлік шеңберде 3600; 1800; 900; 00 бұрыштарды анықтайды - бұрыштың оң және теріс бағыттардағы өлшемдерін анықтайды;
|
Қосымша ақпарат көздерін пайдалана отырып түсінеді.
«Екі жұлдыз бір ұсыныс» |
https://onlinemektep.net/schedule/13.01.2021/lesson/c5fa25f2-0962-4684-a19e-0cfca0da10f4
Слайд |
|||||||||||||||||||
|
17 мин |
Бекіту тапсырмалары |
№1. Келесі
бұрыштардың а) б) №2. Радиандық өлшемі белгілі доғаның бұрыштық өлшемін градустық өлшеммен жаз: а)
№3.Кестені толтыр:
Оқулықпен жұмыс. №19.6, №19.9. «Сағат қанша болды?» (Топтық жұмыс): Тапсырма: Шебер шәкіртіне белгілі бір тапсырманы бергенде сағат 1100 болатын. Ол тапсырманы 1 сағат 20 минуттан кейін тексеретінін айтты. Осы уақыт ішінде сағат тілінің неше градусқа және радианға айналым жасайтынын анықтаңыздар |
бұрыштың градустық өлшемін радиандық өлшемге айналдырады Кестеге мұқият қарайды. 1-ші жол бойынша радиандық өлшем мен орналасу ширегін табады. 2-ші жолда ширекке қатысты оң немесе теріс өлшемдегі бұрышты жазып алып, сол арқылы екінші белгісізді анықтайды 3-ші жол бойынша градустық өлшем мен ширегін табады Оқулықтан есептер шығарады. Білім алушылар тапсырма шартына сәйкес сағат тілінің қанша градусты көрсетіп тұрғанын анықтап, оны радианға айналдырады
|
Дескриптор: Білім алушы 1.-градустық өлшемі бойынша радиандық өлшемді табады -қай ширекте орналасатынын анықтайды 2.-ІІ ширекте жататындай оң немесе теріс өлшемдегі бұрышты ойлап табады -алынған бұрыштың градустық немесе радиандық өлшемін табады 3.-радиандық өлшемі бойынша град. өлшемді табады -қай ширекте орналасатынын анықтайды ҚБ: «Плюс, минус, қызықты» әдісі арқылы оқушылар бірін бірі бағалайды |
Слайд Интернет ресурстары Жалпы білім беретін мектептің 9–сыныбына арналған оқулық. Оқулық авторлары: А.Е.Әбілқасымова, Т.П.Кучер, В.Е.Корчевский, З.Ә.Жұмағұлова Алматы «Мектеп» баспасы 2019 жыл
|
|||||||||||||||||||
|
10мин |
Жеке жұмыс |
Online-mektep |
Тапсырманы орындайды |
Мониторинг |
https://onlinemektep.net/schedule/13.01.2021/lesson/c5fa25f2-0962-4684-a19e-0cfca0da10f4 |
|||||||||||||||||||
|
2 минут |
|
Бүгінгі сабақта: -Бұрыштың радиандық өлшемі ұғымын меңгеру,есептер шығару; -Градусты радианға және радианды градусқа айнаалдыру тәсілдерін білу. Рефлексия:
Үйге тапсырма. №19.11. |
Тақырыпты меңгергенін анықтау . |
Кері байланыс |
Whatsapp қолдану |
|||||||||||||||||||
Сабақ жоспары
Бекітемін:
|
Мұғалімнің аты-жөні: |
|
|||||||||||||
|
Пән/Сынып: |
9 сынып |
|||||||||||||
|
Күні: |
. |
|||||||||||||
|
Тарау немесе бөлім атауы: |
9.3А Тригонометрия |
|||||||||||||
|
Сабақтың тақырыбы: |
Кез келген бұрыштың синусы, косинусы, тангенсі және котангенсі. Бұрыш синусының, косинусының, тангенсінің және котангенсінің мәндері |
|||||||||||||
|
Оқу мақсаты: |
9.2.4.1 тригонометриялық функциялардың анықтамаларын білу; |
|||||||||||||
|
Бағалау критериі: |
-Бұрышты градустық өлшемнен радиандық өлшемге айналдырады; -бірлік шеңберде радиандық және градустық өлшеммен берілген бұрыштарға сәйкес нүктелерді белгілейді; -Бірлік шеңбердегі нүктелердің координаталарын табады |
|||||||||||||
|
Саралап оқыту тапсырмалары |
||||||||||||||
|
Ұжымдық жұмыс Жаңа тақырыптың түсіндірілуі Сабақ мақсаты мен бағалау критерийлерін таныстыру; Бейнероликті қолдана отырып, бекіту тапсырмаларын орындату |
Бірлескен жұмыс (1,2 тапсырма) Тапсырманы ұсыну және дұрыс жауапты ұсыну арқылы үйрету Бекітуге арналғантапсырмаларды орындату; Тапсырмалардың жауаптарын жазу. |
Жеке жұмыс Тапсырманы ұсыну, оқушылар өз бетімен орындауы |
||||||||||||
|
Уақыты |
Кезең дері |
Педагогтің әрекеті |
Оқушының әрекеті |
Бағалау |
Ресурстар |
|||||||||
|
3 минут
|
Ұйымдастыру |
Сәлеметсіздерме! Атмосфералық жағдайды қалыптастыру. Бүгін, Кез келген бұрыштың синусы, косинусы, тангенсі және котангенсі. Бұрыш синусының, косинусының, тангенсінің және котангенсінің мәндері тақырыбын қарастырамыз Бүгінгі сабақта меңгеретініңіз: - кез келген бұрыштың тригонометриялық функцияларының анықтамалары. -бірлік шеңберде кез келген бұрыштың синусын, косинусын, тангенсін және котангенсін анықтау. |
Сұрақтарға жауап береді.
|
|
Whatsapp қолдану.
Интернет ресурстары
|
|||||||||
|
8 мин |
Жаңа сабақ |
|
Тақырып бойынша ресурстарды қарап, танысады
«Миға шабуыл» Бір оқушы тақырып бойынша бір тұжырым айтады. Оқушылар сұраққа жауап береді, жұмысты берілген түріне қарай орындайды |
Қосымша ақпарат көздерін пайдалана отырып түсінеді.
«Екі жұлдыз бір ұсыныс» |
https://onlinemektep.net/schedule/1610668800/lesson/b6402a4d-a569-4116-9a2a-1bf898f2f8ec
Слайд |
|||||||||
|
17 мин |
Бекіту тапсырмалары |
Оқулықпен жұмыс. №20.1, №20.3 |
бұрыштың градустық өлшемін радиандық өлшемге айналдырады
Оқулықтан есептер шығарады.
|
Дескриптор: Білім алушы Тригонометрия лық функциялардың анықтамаларын білді;
бірлік шеңбердегі
нүктелердің координаталары ( ҚБ: «Плюс, минус, қызықты» әдісі арқылы оқушылар бірін бірі бағалайды |
Слайд
Интернет ресурстары
Жалпы білім беретін мектептің 9–сыныбына арналған оқулық. Оқулық авторлары: А.Е.Әбілқасымова, Т.П.Кучер, В.Е.Корчевский, З.Ә.Жұмағұлова Алматы «Мектеп» баспасы 2019 жыл
|
|||||||||
|
10мин |
Жеке жұмыс |
Online-mektep |
Тапсырманы орындайды |
Мониторинг |
https://onlinemektep.net/schedule/1610668800/lesson/b6402a4d-a569-4116-9a2a-1bf898f2f8ec
|
|||||||||
|
2 минут
|
|
Бүгінгі сабақта: -Бұрыштың радиандық өлшемі ұғымын меңгеру,есептер шығару; -Градусты радианға және радианды градусқа айнаалдыру тәсілдерін білу. Рефлексия:
Үйге тапсырма. №20.5. |
Тақырыпты меңгергенін анықтау . |
Кері байланыс |
Whatsapp қолдану |
|||||||||
Сабақ жоспары
Бекітемін:
|
Мұғалімнің аты-жөні: |
|
|||||||
|
Пән/Сынып: |
9 сынып |
|||||||
|
Күні: |
|
|||||||
|
Тарау немесе бөлім атауы: |
9.3А Тригонометрия |
|||||||
|
Сабақтың тақырыбы: |
Кез келген бұрыштың синусы, косинусы, тангенсі және котангенсі. Бұрыш синусының, косинусының, тангенсінің және котангенсінің мәндері |
|||||||
|
Оқу мақсаты: |
9.2.4.2 бірлік шеңбердегі
нүктелердің координаталары ( |
|||||||
|
Бағалау критериі: |
-Бұрышты градустық өлшемнен радиандық өлшемге айналдырады; -бірлік шеңберде радиандық және градустық өлшеммен берілген бұрыштарға сәйкес нүктелерді белгілейді; -Бірлік шеңбердегі нүктелердің координаталарын табады |
|||||||
|
Саралап оқыту тапсырмалары |
||||||||
|
Ұжымдық жұмыс Жаңа тақырыптың түсіндірілуі Сабақ мақсаты мен бағалау критерийлерін таныстыру; Бейнероликті қолдана отырып, бекіту тапсырмаларын орындату |
Бірлескен жұмыс (1,2 тапсырма) Тапсырманы ұсыну және дұрыс жауапты ұсыну арқылы үйрету Бекітуге арналғантапсырмаларды орындату; Тапсырмалардың жауаптарын жазу. |
Жеке жұмыс Тапсырманы ұсыну, оқушылар өз бетімен орындауы |
||||||
|
Уақыты |
Кезең дері |
Педагогтің әрекеті |
Оқушының әрекеті |
Бағалау |
Ресурстар |
|||
|
3 минут
|
Ұйымдастыру |
Сәлеметсіздерме! Атмосфералық жағдайды қалыптастыру. Бүгін, Кез келген бұрыштың синусы, косинусы, тангенсі және котангенсі. Бұрыш синусының, косинусының, тангенсінің және котангенсінің мәндері тақырыбын қарастырамыз Бүгінгі сабақта меңгеретініңіз: - кез келген бұрыштың тригонометриялық функцияларының анықтамалары. -бірлік шеңберде кез келген бұрыштың синусын, косинусын, тангенсін және котангенсін анықтау. |
Сұрақтарға жауап береді.
|
|
Whatsapp қолдану.
Интернет ресурстары
|
|||
|
8 мин |
Жаңа сабақ |
|
Тақырып бойынша ресурстарды қарап, танысады
«Миға шабуыл» Бір оқушы тақырып бойынша бір тұжырым айтады. Оқушылар сұраққа жауап береді, жұмысты берілген түріне қарай орындайды |
Қосымша ақпарат көздерін пайдалана отырып түсінеді.
«Екі жұлдыз бір ұсыныс» |
https://onlinemektep.net/schedule/1610668800/lesson/b6402a4d-a569-4116-9a2a-1bf898f2f8ec
Слайд |
|||
|
17 мин |
Бекіту тапсырмалары |
Оқулықпен жұмыс. №20.6, №20.8 |
бұрыштың градустық өлшемін радиандық өлшемге айналдырады
Оқулықтан есептер шығарады.
|
Дескриптор: Білім алушы Тригонометрия лық функциялардың анықтамаларын білді;
бірлік шеңбердегі
нүктелердің координаталары ( ҚБ: «Плюс, минус, қызықты» әдісі арқылы оқушылар бірін бірі бағалайды |
Слайд
Интернет ресурстары
Жалпы білім беретін мектептің 9–сыныбына арналған оқулық. Оқулық авторлары: А.Е.Әбілқасымова, Т.П.Кучер, В.Е.Корчевский, З.Ә.Жұмағұлова Алматы «Мектеп» баспасы 2019 жыл
|
|||
|
10мин |
Жеке жұмыс |
Online-mektep |
Тапсырманы орындайды |
Мониторинг |
https://onlinemektep.net/schedule/1610668800/lesson/b6402a4d-a569-4116-9a2a-1bf898f2f8ec
|
|||
|
2 минут
|
|
Бүгінгі сабақта: -Бұрыштың радиандық өлшемі ұғымын меңгеру,есептер шығару; -Градусты радианға және радианды градусқа айнаалдыру тәсілдерін білу. Рефлексия:
Үйге тапсырма. №20.17, №20.19. |
Тақырыпты меңгергенін анықтау
. |
Кері байланыс |
Whatsapp қолдану
|
|||
Сабақ жоспары
Бекітемін:
|
Мұғалімнің аты-жөні: |
|
|||||||
|
Пән/Сынып: |
9 сынып |
|||||||
|
Күні: |
|
|||||||
|
Тарау немесе бөлім атауы: |
9.3А Тригонометрия |
|||||||
|
Сабақтың тақырыбы: |
Тригонометриялық функциялар және олардың қасиеттері |
|||||||
|
Оқу мақсаты: |
9.2.4.5 бірлік шеңбердің көмегімен тригонометриялық функциялардың анықталу облысы мен мәндер жиынын табу; |
|||||||
|
Бағалау критериі: |
-Бұрышты градустық өлшемнен радиандық өлшемге айналдырады; -бірлік шеңберде радиандық және градустық өлшеммен берілген бұрыштарға сәйкес нүктелерді белгілейді; -Бірлік шеңбердегі нүктелердің координаталарын табады |
|||||||
|
Саралап оқыту тапсырмалары |
||||||||
|
Ұжымдық жұмыс Жаңа тақырыптың түсіндірілуі Сабақ мақсаты мен бағалау критерийлерін таныстыру; Бейнероликті қолдана отырып, бекіту тапсырмаларын орындату |
Бірлескен жұмыс (1,2 тапсырма) Тапсырманы ұсыну және дұрыс жауапты ұсыну арқылы үйрету Бекітуге арналғантапсырмаларды орындату; Тапсырмалардың жауаптарын жазу. |
Жеке жұмыс Тапсырманы ұсыну, оқушылар өз бетімен орындауы |
||||||
|
Уақыты |
Кезең дері |
Педагогтің әрекеті |
Оқушының әрекеті |
Бағалау |
Ресурстар |
|||
|
3 минут
|
Ұйымдастыру |
Сәлеметсіздерме! Атмосфералық жағдайды қалыптастыру. Бүгін, Тригонометриялық функциялар және олардың қасиеттері тақырыбын қарастырамыз Бүгінгі сабақта меңгеретініңіз: - тригонометриялық функциялардың анықталу облысы мен мәндерінің жиыны. -бірлік шеңбердің көмегімен тригонометриялық функциялардың анықталу облысы мен мәндерінің жиынын анықтау. |
Сұрақтарға жауап береді.
|
|
Whatsapp қолдану.
Интернет ресурстары
|
|||
|
8 мин |
Жаңа сабақ |
|
Тақырып бойынша ресурстарды қарап, танысады
|
Қосымша ақпарат көздерін пайдалана отырып түсінеді.
«Екі жұлдыз бір ұсыныс» |
https://onlinemektep.net/schedule/1610668800/lesson/b6402a4d-a569-4116-9a2a-1bf898f2f8ec
Слайд |
|||
|
17 мин |
Бекіту тапсырмалары |
Тапсырмалар
Оқулықтан №21.1. |
тригонометриялық функциялардың қасиеттеріне есептер шығарады
Оқулықтан есептер шығарады.
|
Дескриптор: Білім алушы Тригонометрия лық функциялардың қасиеттерін білді;
бірлік шеңбердегі
нүктелердің координаталары ( ҚБ: «Плюс, минус, қызықты» әдісі арқылы оқушылар бірін бірі бағалайды |
Слайд
Интернет ресурстары
Жалпы білім беретін мектептің 9–сыныбына арналған оқулық. Оқулық авторлары: А.Е.Әбілқасымова, Т.П.Кучер, В.Е.Корчевский, З.Ә.Жұмағұлова Алматы «Мектеп» баспасы 2019 жыл
|
|||
|
10мин |
Жеке жұмыс |
Online-mektep |
Тапсырманы орындайды |
Мониторинг |
https://onlinemektep.net/schedule/1610668800/lesson/b6402a4d-a569-4116-9a2a-1bf898f2f8ec
|
|||
|
2 минут
|
|
Бүгінгі сабақта: - тригонометриялық функциялардың анықталу облысы мен мәндерінің жиыны. -бірлік шеңбердің көмегімен тригонометриялық функциялардың анықталу облысы мен мәндерінің жиынын анықтау.
Р
Үйге тапсырма. №21.2 |
Тақырыпты меңгергенін анықтау
. |
Кері байланыс |
Whatsapp қолдану
|
|||
Сабақ жоспары
Бекітемін:
|
Мұғалімнің аты-жөні: |
|
|||||||||||||
|
Пән/Сынып: |
9 сынып |
|||||||||||||
|
Күні: |
. |
|||||||||||||
|
Тарау немесе бөлім атауы: |
9.3А Тригонометрия |
|||||||||||||
|
Сабақтың тақырыбы: |
Тригонометриялық функциялар және олардың қасиеттері |
|||||||||||||
|
Оқу мақсаты: |
9.2.4.5 бірлік шеңбердің көмегімен тригонометриялық функциялардың анықталу облысы мен мәндер жиынын табу; |
|||||||||||||
|
Бағалау критериі: |
-Бұрышты градустық өлшемнен радиандық өлшемге айналдырады; -бірлік шеңберде радиандық және градустық өлшеммен берілген бұрыштарға сәйкес нүктелерді белгілейді; -Бірлік шеңбердегі нүктелердің координаталарын табады |
|||||||||||||
|
Саралап оқыту тапсырмалары |
||||||||||||||
|
Ұжымдық жұмыс Жаңа тақырыптың түсіндірілуі Сабақ мақсаты мен бағалау критерийлерін таныстыру; Бейнероликті қолдана отырып, бекіту тапсырмаларын орындату |
Бірлескен жұмыс (1,2 тапсырма) Тапсырманы ұсыну және дұрыс жауапты ұсыну арқылы үйрету Бекітуге арналғантапсырмаларды орындату; Тапсырмалардың жауаптарын жазу. |
Жеке жұмыс Тапсырманы ұсыну, оқушылар өз бетімен орындауы |
||||||||||||
|
Уақыты |
Кезең дері |
Педагогтің әрекеті |
Оқушының әрекеті |
Бағалау |
Ресурстар |
|||||||||
|
3 минут
|
Ұйымдастыру |
Сәлеметсіздерме! Атмосфералық жағдайды қалыптастыру. Бүгін, Тригонометриялық функциялар және олардың қасиеттері тақырыбын қарастырамыз Бүгінгі сабақта меңгеретініңіз: - тригонометриялық функциялардың анықталу облысы мен мәндерінің жиыны. -бірлік шеңбердің көмегімен тригонометриялық функциялардың анықталу облысы мен мәндерінің жиынын анықтау. |
Сұрақтарға жауап береді.
|
|
Whatsapp қолдану.
Интернет ресурстары
|
|||||||||
|
8 мин |
Жаңа сабақ |
|
Тақырып бойынша ресурстарды қарап, танысады
|
Қосымша ақпарат көздерін пайдалана отырып түсінеді.
«Екі жұлдыз бір ұсыныс» |
https://onlinemektep.net/schedule/1610668800/lesson/b6402a4d-a569-4116-9a2a-1bf898f2f8ec
Слайд |
|||||||||
|
17 мин |
Бекіту тапсырмалары |
Тапсырмалар
Оқулықтан №21.4, №21.5. |
тригонометриялық функциялардың қасиеттеріне есептер шығарады
Оқулықтан есептер шығарады.
|
Дескриптор: Дескриптор: Білім алушы -бірлік шеңбердің көмегімен тригонометрия лық функциялардың анықталу облысы таба білді; бірлік шеңбердің көмегімен тригонометрия лық функциялардың мәндер жиынын таба білді. ҚБ: «Плюс, минус, қызықты» әдісі арқылы оқушылар бірін бірі бағалайды |
Слайд
Интернет ресурстары
Жалпы білім беретін мектептің 9–сыныбына арналған оқулық. Оқулық авторлары: А.Е.Әбілқасымова, Т.П.Кучер, В.Е.Корчевский, З.Ә.Жұмағұлова Алматы «Мектеп» баспасы 2019 жыл
|
|||||||||
|
10мин |
Жеке жұмыс |
Online-mektep |
Тапсырманы орындайды |
Мониторинг |
https://onlinemektep.net/schedule/1610668800/lesson/b6402a4d-a569-4116-9a2a-1bf898f2f8ec
|
|||||||||
|
2 минут
|
|
Бүгінгі сабақта: - тригонометриялық функциялардың анықталу облысы мен мәндерінің жиыны. -бірлік шеңбердің көмегімен тригонометриялық функциялардың анықталу облысы мен мәндерінің жиынын анықтау. Рефлексия:
Үйге тапсырма. №21.9 |
Тақырыпты меңгергенін анықтау . |
Кері байланыс |
Whatsapp қолдану |
|||||||||
Сабақ жоспары
Бекітемін:
|
Мұғалімнің аты-жөні: |
|
|||||||||||||||||||||||||||||||||||||||||||||||||||||||||||||||||||||||
|
Пән/Сынып: |
9 сынып |
|||||||||||||||||||||||||||||||||||||||||||||||||||||||||||||||||||||||
|
Күні: |
|
|||||||||||||||||||||||||||||||||||||||||||||||||||||||||||||||||||||||
|
Тарау немесе бөлім атауы: |
9.3А Тригонометрия |
|||||||||||||||||||||||||||||||||||||||||||||||||||||||||||||||||||||||
|
Сабақтың тақырыбы: |
Тригонометриялық функциялар және олардың қасиеттері |
|||||||||||||||||||||||||||||||||||||||||||||||||||||||||||||||||||||||
|
Оқу мақсаты: |
9.2.4.5 бірлік шеңбердің көмегімен тригонометриялық функциялардың анықталу облысы мен мәндер жиынын табу; |
|||||||||||||||||||||||||||||||||||||||||||||||||||||||||||||||||||||||
|
Бағалау критериі: |
-Бұрышты градустық өлшемнен радиандық өлшемге айналдырады; -бірлік шеңберде радиандық және градустық өлшеммен берілген бұрыштарға сәйкес нүктелерді белгілейді; -Бірлік шеңбердегі нүктелердің координаталарын табады |
|||||||||||||||||||||||||||||||||||||||||||||||||||||||||||||||||||||||
|
Саралап оқыту тапсырмалары |
||||||||||||||||||||||||||||||||||||||||||||||||||||||||||||||||||||||||
|
Ұжымдық жұмыс Жаңа тақырыптың түсіндірілуі Сабақ мақсаты мен бағалау критерийлерін таныстыру; Бейнероликті қолдана отырып, бекіту тапсырмаларын орындату |
Бірлескен жұмыс (1,2 тапсырма) Тапсырманы ұсыну және дұрыс жауапты ұсыну арқылы үйрету Бекітуге арналғантапсырмаларды орындату; Тапсырмалардың жауаптарын жазу. |
Жеке жұмыс Тапсырманы ұсыну, оқушылар өз бетімен орындауы |
||||||||||||||||||||||||||||||||||||||||||||||||||||||||||||||||||||||
|
Уақыты |
Кезең дері |
Педагогтің әрекеті |
Оқушының әрекеті |
Бағалау |
Ресурстар |
|||||||||||||||||||||||||||||||||||||||||||||||||||||||||||||||||||
|
3 минут
|
Ұйымдастыру |
Сәлеметсіздерме! Атмосфералық жағдайды қалыптастыру. Бүгін, Тригонометриялық функциялар және олардың қасиеттері тақырыбын қарастырамыз Бүгінгі сабақта меңгеретініңіз: - тригонометриялық функциялардың анықталу облысы мен мәндерінің жиыны. -бірлік шеңбердің көмегімен тригонометриялық функциялардың анықталу облысы мен мәндерінің жиынын анықтау. |
Сұрақтарға жауап береді.
|
|
Whatsapp қолдану.
Интернет ресурстары
|
|||||||||||||||||||||||||||||||||||||||||||||||||||||||||||||||||||
|
8 мин |
Жаңа сабақ |
Еске түсіру. Тригонометриялық функциялардың таңбалары
Тригонометриялық функциялардың қасиеттері 1) Әрбір ширектегі тригонометриялық функциялардың таңбалары 2) Тригонометриялық функциялардың периодтылығы және тақ-жұптығы: y=sinα; y=cosα ; y=tgα ; y=ctgα – периодты функциялар. cos(-α) = cosα – жұп sin(-α) = - sinα; tg(-α)=-tg α; ctg(-α)=-ctg α - тақ |
Тақырып бойынша ресурстарды қарап, танысады
|
Қосымша ақпарат көздерін пайдалана отырып түсінеді. «Екі жұлдыз бір ұсыныс» |
https://onlinemektep.net/schedule/1610668800/lesson/b6402a4d-a569-4116-9a2a-1bf898f2f8ec Слайд |
|||||||||||||||||||||||||||||||||||||||||||||||||||||||||||||||||||
|
17 мин |
Бекіту тапсырмалары |
Тапсырмалар 1-тапсырма. Оқушы берілген функциялардың таңбаларын дұрыс анықтайды А деңгейдегі тапсырма. Әр оқушыға кесте беріледі. Төмендегі берілген бұрыштар үшін тригонометриялық функциялардың таңбаларын анықтау:
«Екі жалған, бір шындық»әдісі. Өрнектердің ішінен дұрысы мен дұрыс еместерін анықтайды sin45 0 =1 sin30 0 =1 sin90 0 =1 cos 45 0=1 cos 900=1 tg 30 0 =√3/3 tg45 0 =√3/3 60 0 =√3/3 . ctg45 0 =√3 ctg30 0 =√3 ctg90 0 =√3 sin45 0 =0 sin45 0 =1 sin 45 0 =√2/2. cos60 0 =√3/2 cos60 0 =1/2 cos60 =√2/2 Оқулықтан №21.6, №21.11. |
тригонометриялық функциялардың қасиеттеріне есептер шығарады Оқулықтан есептер шығарады. |
Дескриптор: Білім алушы - берілген функциялардың таңбаларын дұрыс анықтайды ҚБ: «Плюс, минус, қызықты» әдісі арқылы оқушылар бірін бірі бағалайды |
Слайд Интернет ресурстары Жалпы білім беретін мектептің 9–сыныбына арналған оқулық. Оқулық авторлары: А.Е.Әбілқасымова, Т.П.Кучер, В.Е.Корчевский, З.Ә.Жұмағұлова Алматы «Мектеп» баспасы 2019 жыл
|
|||||||||||||||||||||||||||||||||||||||||||||||||||||||||||||||||||
|
10мин |
Жеке жұмыс |
Online-mektep |
Тапсырманы орындайды |
Мониторинг |
https://onlinemektep.net/schedule/1610668800/lesson/b6402a4d-a569-4116-9a2a-1bf898f2f8ec |
|||||||||||||||||||||||||||||||||||||||||||||||||||||||||||||||||||
|
2 минут |
|
Бүгінгі сабақта: - тригонометриялық функциялардың анықталу облысы мен мәндерінің жиыны. -бірлік шеңбердің көмегімен тригонометриялық функциялардың анықталу облысы мен мәндерінің жиынын анықтау. Рефлексия:
Үйге тапсырма. №21.12 |
Тақырыпты меңгергенін анықтау . |
Кері байланыс |
Whatsapp қолдану |
|||||||||||||||||||||||||||||||||||||||||||||||||||||||||||||||||||
Сабақ жоспары
Бекітемін:
|
Мұғалімнің аты-жөні: |
|
|||||||||||||||||||||||||||||||||||||
|
Пән/Сынып: |
9 сынып |
|||||||||||||||||||||||||||||||||||||
|
Күні: |
|
|||||||||||||||||||||||||||||||||||||
|
Тарау немесе бөлім атауы: |
9.3А Тригонометрия |
|||||||||||||||||||||||||||||||||||||
|
Сабақтың тақырыбы: |
Тригонометриялық функциялар және олардың қасиеттері |
|||||||||||||||||||||||||||||||||||||
|
Оқу мақсаты: |
9.2.4.5 бірлік шеңбердің көмегімен тригонометриялық функциялардың анықталу облысы мен мәндер жиынын табу; |
|||||||||||||||||||||||||||||||||||||
|
Бағалау критериі: |
-Бұрышты градустық өлшемнен радиандық өлшемге айналдырады; -бірлік шеңберде радиандық және градустық өлшеммен берілген бұрыштарға сәйкес нүктелерді белгілейді; -Бірлік шеңбердегі нүктелердің координаталарын табады |
|||||||||||||||||||||||||||||||||||||
|
Саралап оқыту тапсырмалары |
||||||||||||||||||||||||||||||||||||||
|
Ұжымдық жұмыс Жаңа тақырыптың түсіндірілуі Сабақ мақсаты мен бағалау критерийлерін таныстыру; Бейнероликті қолдана отырып, бекіту тапсырмаларын орындату |
Бірлескен жұмыс (1,2 тапсырма) Тапсырманы ұсыну және дұрыс жауапты ұсыну арқылы үйрету Бекітуге арналғантапсырмаларды орындату; Тапсырмалардың жауаптарын жазу. |
Жеке жұмыс Тапсырманы ұсыну, оқушылар өз бетімен орындауы |
||||||||||||||||||||||||||||||||||||
|
Уақыты |
Кезең дері |
Педагогтің әрекеті |
Оқушының әрекеті |
Бағалау |
Ресурстар |
|||||||||||||||||||||||||||||||||
|
3 минут
|
Ұйымдастыру |
Сәлеметсіздерме! Атмосфералық жағдайды қалыптастыру. Бүгін, Тригонометриялық функциялар және олардың қасиеттері тақырыбын қарастырамыз. Бүгінгі сабақта меңгеретініңіз: - тригонометриялық функциялардың анықталу облысы мен мәндерінің жиыны. -бірлік шеңбердің көмегімен тригонометриялық функциялардың анықталу облысы мен мәндерінің жиынын анықтау. |
Сұрақтарға жауап береді.
|
|
Whatsapp қолдану.
Интернет ресурстары
|
|||||||||||||||||||||||||||||||||
|
8 мин |
Жаңа сабақ |
Еске түсіру. Тригонометриялық функциялардың таңбалары
Тригонометриялық функциялардың қасиеттері 1) Әрбір ширектегі тригонометриялық функциялардың таңбалары 2) Тригонометриялық функциялардың периодтылығы және тақ-жұптығы: y=sinα; y=cosα ; y=tgα ; y=ctgα – периодты функциялар. cos(-α) = cosα – жұп sin(-α) = - sinα; tg(-α)=-tg α; ctg(-α)=-ctg α - тақ |
Тақырып бойынша ресурстарды қарап, танысады
|
Қосымша ақпарат көздерін пайдалана отырып түсінеді. «Екі жұлдыз бір ұсыныс» |
https://onlinemektep.net/schedule/27.01.2021/lesson/11b67eb3-3913-4df0-be02-f7d8e5694983 Слайд |
|||||||||||||||||||||||||||||||||
|
17 мин |
Бекіту тапсырмалары |
Оқулықтан №21.12, №21.14. |
тригонометриялық функциялардың қасиеттеріне есептер шығарады Оқулықтан есептер шығарады. |
Дескриптор: Білім алушы - берілген функциялардың таңбаларын дұрыс анықтайды ҚБ: «Плюс, минус, қызықты» әдісі арқылы оқушылар бірін бірі бағалайды |
Слайд Интернет ресурстары Жалпы білім беретін мектептің 9–сыныбына арналған оқулық. Оқулық авторлары: А.Е.Әбілқасымова, Т.П.Кучер, В.Е.Корчевский, З.Ә.Жұмағұлова Алматы «Мектеп» баспасы 2019 жыл
|
|||||||||||||||||||||||||||||||||
|
10мин |
Жеке жұмыс |
Online-mektep |
Тапсырманы орындайды |
Мониторинг |
https://onlinemektep.net/schedule/27.01.2021/lesson/11b67eb3-3913-4df0-be02-f7d8e5694983 |
|||||||||||||||||||||||||||||||||
|
2 минут |
|
Бүгінгі сабақта: - тригонометриялық функциялардың анықталу облысы мен мәндерінің жиыны. -бірлік шеңбердің көмегімен тригонометриялық функциялардың анықталу облысы мен мәндерінің жиынын анықтау.
Рефлексия:
|
Тақырыпты меңгергенін анықтау . |
Кері байланыс |
Whatsapp қолдану |
|||||||||||||||||||||||||||||||||
Сабақ жоспары
Бекітемін:
|
Мұғалімнің аты-жөні: |
|
|||||||
|
Пән/Сынып: |
9 сынып |
|||||||
|
Күні: |
|
|||||||
|
Тарау немесе бөлім атауы: |
9.3А Тригонометрия |
|||||||
|
Сабақтың тақырыбы: |
Тригонометрия формулалары.Екі бұрыштың қосындысы мен айырмасының тригонометриялық формулалары. |
|||||||
|
Оқу мақсаты: |
9.2.4.3 бұрыштардың қосындысы мен айырымының, жарты және қос бұрыштың тригонометриялық формулаларын қорытып шығару және қолдану; |
|||||||
|
Бағалау критериі: |
Қосу формулалары туралы түсінік беріп, екі бұрыштың қосындысы мен айырымының формулаларын қорытып шығару жолдарын үйрету; |
|||||||
|
Саралап оқыту тапсырмалары |
||||||||
|
Ұжымдық жұмыс Жаңа тақырыптың түсіндірілуі Сабақ мақсаты мен бағалау критерийлерін таныстыру; Бейнероликті қолдана отырып, бекіту тапсырмаларын орындату |
Бірлескен жұмыс (1,2 тапсырма) Тапсырманы ұсыну және дұрыс жауапты ұсыну арқылы үйрету Бекітуге арналғантапсырмаларды орындату; Тапсырмалардың жауаптарын жазу. |
Жеке жұмыс Тапсырманы ұсыну, оқушылар өз бетімен орындауы |
||||||
|
Уақыты |
Кезең дері |
Педагогтің әрекеті |
Оқушының әрекеті |
Бағалау |
Ресурстар |
|||
|
3 минут
|
Ұйымдастыру |
Сәлеметсіздерме! Атмосфералық жағдайды қалыптастыру. Бүгін, Тригонометрия формулалары.Екі бұрыштың қосындысы мен айырмасының тригонометриялық формулалары. тақырыбын қарастырамыз Бүгінгі сабақта меңгеретініңіз: - бұрыштардың қосындысы мен айырымының тригонометриялық формулалары. - бұрыштардың қосындысы мен айырымының тригонометриялық формулаларын қолдану. |
Сұрақтарға жауап береді.
|
|
Whatsapp қолдану.
Интернет ресурстары
|
|||
|
8 мин |
Жаңа сабақ |
cos(α – β)=cosα cosβ + sinα sinβ (1) Екі бұрыштың айырымының косинусы осы бұрыштардың косинустарының көбейтіндісі мен синустарының көбейтіндісінің қосындысына тең. cos(α + β)=cosα cosβ – sinα sinβ (2)
Екі бұрыштың қосындысының косинусы осы бұрыштардың косинустарының көбейтіндісі мен синустарының көбейтіндісінің айырымына тең. Келтіру формулаларын қолдансақ: sin (α + β)= sinα cosβ + cosα sinβ (3) Екі бұрыштың қосындысының синусы бірінші бұрыштың синусы мен екінші бұрыштың косинусының көбейтіндісіне бірінші бұрыштың косинусы мен екінші бұрыштың синусы көбейтіндісін қосқанға тең. sin (α – β)= sinα cosβ – cosα sinβ (4) екі бұрыштың айырымының синусы бірінші бұрыштың синусының екінші бұрыштың косинусына көбейтіндісі мен бірінші бұрыштың косинусының екінші бұрыштың синусына көбейтіндісінің айырымына тең.
tg
(α+β)=
tg
(α
–
β)=
ctg(α
+
β)=
ctg(α
–
β)=
|
Қосымша ақпарат көздерін пайдалана отырып түсінеді
Тақырып бойынша ресурстарды қарап, танысады
|
«Екі жұлдыз бір ұсыныс» |
https://onlinemektep.net/schedule/29.01.2021/lesson/94b1de8b-d60e-4708-aa86-625761eaaa5c
Слайд |
|||
|
17 мин |
Бекіту тапсырмалары |
Есептер шығару. №1 .
№ 2.
1.
sin1500=
sin(
2.cos1500=
cos( № 3. cos1030 cos130 + sin1030 sinβ130 =cos(1030 – 130)=cos 900 =0
cos150
cos300
–
sin300
sinβ150
=cos(150
+
300)=cos
450
= sin510 cos390 + cos510 sin390=sin(510+390)=sin900=1
sin630
cos330
–
cos630
sin330=sin(630+330)=sin300= Оқулықтан №24.1 /1,3,5/ №24.2 /2,4/ |
Берілген тапсырма бойынша өз ойларын ортаға салып, пікірлерін білдіріп, жұптық талдау жасайды. Талқылау нәтижесінде өзара бір келісімге келіп есепті орындайды.
Оқулықтан есептер шығарады.
|
Дескриптор: - Екі бұрыштың қосындысы мен айырмасының тригонометрия лық формулаларын қолданады. ҚБ: «Плюс, минус, қызықты» әдісі арқылы оқушылар бірін бірі бағалайды |
Слайд
Интернет ресурстары
Жалпы білім беретін мектептің 9–сыныбына арналған оқулық. Оқулық авторлары: А.Е.Әбілқасымова, Т.П.Кучер, В.Е.Корчевский, З.Ә.Жұмағұлова Алматы «Мектеп» баспасы 2019 жыл
|
|||
|
10мин |
Жеке жұмыс |
Online-mektep |
Тапсырманы орындайды |
Мониторинг |
https://onlinemektep.net/schedule/29.01.2021/lesson/94b1de8b-d60e-4708-aa86-625761eaaa5c
|
|||
|
2 минут
|
|
Бүгінгі сабақта: - бұрыштардың қосындысы мен айырымының тригонометриялық формулалары. - бұрыштардың қосындысы мен айырымының тригонометриялық формулаларын қолдану. Рефлексия: Сөйлемді толықтыр. бүгінгі сабақта мен....түсіндім, ...білдім, ....көзімді жеткіздім. мен өзімді.....үшін мақтар едім. сабақтан соң маған........келді. бүгін маған..........сәті түсті. ......қиындық тудырды. менің түсінгенім..... енді мен......аламын. Үйге тапсырма. № 24.1/2,4,6/, №24.2 /1,3/. |
Тақырыпты меңгергенін анықтау
. |
Кері байланыс |
Whatsapp қолдану
|
|||
Сабақ жоспары
Бекітемін:
|
Мұғалімнің аты-жөні: |
|
|||||||
|
Пән/Сынып: |
9 сынып |
|||||||
|
Күні: |
|
|||||||
|
Тарау немесе бөлім атауы: |
9.3А Тригонометрия |
|||||||
|
Сабақтың тақырыбы: |
Екі бұрыштың қосындысы мен айырмасының тригонометриялық формулалары. |
|||||||
|
Оқу мақсаты: |
9.2.4.3 бұрыштардың қосындысы мен айырымының, жарты және қос бұрыштың тригонометриялық формулаларын қорытып шығару және қолдану; |
|||||||
|
Бағалау критериі: |
Қосу формулалары туралы түсінік беріп, екі бұрыштың қосындысы мен айырымының формулаларын қорытып шығару жолдарын үйрету; |
|||||||
|
Саралап оқыту тапсырмалары |
||||||||
|
Ұжымдық жұмыс Жаңа тақырыптың түсіндірілуі Сабақ мақсаты мен бағалау критерийлерін таныстыру; Бейнероликті қолдана отырып, бекіту тапсырмаларын орындату |
Бірлескен жұмыс (1,2 тапсырма) Тапсырманы ұсыну және дұрыс жауапты ұсыну арқылы үйрету Бекітуге арналғантапсырмаларды орындату; Тапсырмалардың жауаптарын жазу. |
Жеке жұмыс Тапсырманы ұсыну, оқушылар өз бетімен орындауы |
||||||
|
Уақыты |
Кезең дері |
Педагогтің әрекеті |
Оқушының әрекеті |
Бағалау |
Ресурстар |
|||
|
3 минут
|
Ұйымдастыру |
Сәлеметсіздерме! Атмосфералық жағдайды қалыптастыру. Бүгін, Тригонометрия формулалары.Екі бұрыштың қосындысы мен айырмасының тригонометриялық формулалары. тақырыбын қарастырамыз Бүгінгі сабақта меңгеретініңіз: - бұрыштардың қосындысы мен айырымының тригонометриялық формулалары. - бұрыштардың қосындысы мен айырымының тригонометриялық формулаларын қолдану. |
Сұрақтарға жауап береді.
|
|
Whatsapp қолдану.
Интернет ресурстары
|
|||
|
8 мин |
Жаңа сабақ |
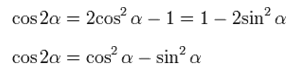
cos(α – β)=cosα cosβ + sinα sinβ (1) Екі бұрыштың айырымының косинусы осы бұрыштардың косинустарының көбейтіндісі мен синустарының көбейтіндісінің қосындысына тең. cos(α + β)=cosα cosβ – sinα sinβ (2)
Екі бұрыштың қосындысының косинусы осы бұрыштардың косинустарының көбейтіндісі мен синустарының көбейтіндісінің айырымына тең. Келтіру формулаларын қолдансақ: sin (α + β)= sinα cosβ + cosα sinβ (3) Екі бұрыштың қосындысының синусы бірінші бұрыштың синусы мен екінші бұрыштың косинусының көбейтіндісіне бірінші бұрыштың косинусы мен екінші бұрыштың синусы көбейтіндісін қосқанға тең. sin (α – β)= sinα cosβ – cosα sinβ (4) екі бұрыштың айырымының синусы бірінші бұрыштың синусының екінші бұрыштың косинусына көбейтіндісі мен бірінші бұрыштың косинусының екінші бұрыштың синусына көбейтіндісінің айырымына тең.
tg
(α+β)=
tg
(α
–
β)=
ctg(α
+
β)=
ctg(α
–
β)=
|
Қосымша ақпарат көздерін пайдалана отырып түсінеді
Тақырып бойынша ресурстарды қарап, танысады
|
«Екі жұлдыз бір ұсыныс» |
https://onlinemektep.net/schedule/01.02.2021/lesson/9978fca1-e407-433a-aedf-49e0c9fa3313
Слайд |
|||
|
17 мин |
Бекіту тапсырмалары |
Есептер шығару.
Оқулықтан №24.3, №24.6
|
Берілген тапсырма бойынша өз ойларын ортаға салып, пікірлерін білдіріп, жұптық талдау жасайды. Талқылау нәтижесінде өзара бір келісімге келіп есепті орындайды.
Оқулықтан есептер шығарады.
|
Дескриптор: -негізгі тригонометрія лық тепе-теңдік формуласын қолданады Дескриптор: - Екі бұрыштың қосындысы мен айырмасының тригонометрия лық формулаларын қолданады. ҚБ: «Плюс, минус, қызықты» әдісі арқылы оқушылар бірін бірі бағалайды |
Слайд
Интернет ресурстары
Жалпы білім беретін мектептің 9–сыныбына арналған оқулық. Оқулық авторлары: А.Е.Әбілқасымова, Т.П.Кучер, В.Е.Корчевский, З.Ә.Жұмағұлова Алматы «Мектеп» баспасы 2019 жыл
|
|||
|
10мин |
Жеке жұмыс |
Online-mektep |
Тапсырманы орындайды |
Мониторинг |
https://onlinemektep.net/schedule/01.02.2021/lesson/9978fca1-e407-433a-aedf-49e0c9fa331
|
|||
|
2 минут
|
|
Бүгінгі сабақта: - бұрыштардың қосындысы мен айырымының тригонометриялық формулалары. - бұрыштардың қосындысы мен айырымының тригонометриялық формулаларын қолдану. Рефлексия:
«Математикалық
тілде» Үйге тапсырма. № 24.5 |
Тақырыпты меңгергенін анықтау
. |
Кері байланыс |
Whatsapp қолдану
|
|||
Сабақ жоспары
Бекітемін:
|
Мұғалімнің аты-жөні: |
|
|||||||
|
Пән/Сынып: |
9 сынып |
|||||||
|
Күні: |
|
|||||||
|
Тарау немесе бөлім атауы: |
9.3А Тригонометрия |
|||||||
|
Сабақтың тақырыбы: |
Қосбұрыштың тригонометриялық формулалары. |
|||||||
|
Оқу мақсаты: |
9.2.4.3 бұрыштардың қосындысы мен айырымының, жарты және қос бұрыштың тригонометриялық формулаларын қорытып шығару және қолдану; |
|||||||
|
Бағалау критериі: |
1.Екі еселі бұрыш формулаларын қортып шығарады; 2.Екі еселі бұрыш формулаларын пайдаланып, есептер шығарады; |
|||||||
|
Саралап оқыту тапсырмалары |
||||||||
|
Ұжымдық жұмыс Жаңа тақырыптың түсіндірілуі Сабақ мақсаты мен бағалау критерийлерін таныстыру; Бейнероликті қолдана отырып, бекіту тапсырмаларын орындату |
Бірлескен жұмыс (1,2 тапсырма) Тапсырманы ұсыну және дұрыс жауапты ұсыну арқылы үйрету Бекітуге арналғантапсырмаларды орындату; Тапсырмалардың жауаптарын жазу. |
Жеке жұмыс Тапсырманы ұсыну, оқушылар өз бетімен орындауы |
||||||
|
Уақыты |
Кезең дері |
Педагогтің әрекеті |
Оқушының әрекеті |
Бағалау |
Ресурстар |
|||
|
3 минут
|
Ұйымдастыру |
Сәлеметсіздерме! Атмосфералық жағдайды қалыптастыру. Бүгін, Қосбұрыштың тригонометриялық формулалары тақырыбын қарастырамыз Бүгінгі сабақта меңгеретініңіз: -қос бұрыштың тригонометриялық формулалары. -қос бұрыштың тригонометриялық формулаларын қолдану. |
Сұрақтарға жауап береді.
|
|
Whatsapp қолдану.
Интернет ресурстары
|
|||
|
8 мин |
Жаңа сабақ |
Жаңа тақырып 1.Егер қосу
формулаларында
Сынама сұрақ: 2.
Неге 2 3. Бүгінгі сабағымыздың тақырыбы неге байланысты? (Осы сұрақтардан кейін сабақтың тақырыбы ашылуы тиіс) Мадақтау арқылы бағаланады Қос бұрыштың формулаларын қортып шығару оқушыларға тапсырылады.
Мысалы, қос бұрыштың формуласын қолдануға:
2. Есептеңіз:
|
Қосымша ақпарат көздерін пайдалана отырып түсінеді
Тақырып бойынша ресурстарды қарап, танысады
|
«Екі жұлдыз бір ұсыныс» |
https://onlinemektep.net/schedule/01.02.2021/lesson/9978fca1-e407-433a-aedf-49e0c9fa3313
Слайд |
|||
|
17 мин |
Бекіту тапсырма лары |
Есептер шығару. №1. Өрнекті ықшамдаңдар:
1)
2)
3)
4)
5)
6) 7)
№2. Бөлшекті қысқартыңдар:
1)
2) №3.Дәлелдеңіз:
|
Берілген тапсырма бойынша өз ойларын ортаға салып, пікірлерін білдіріп, жұптық талдау жасайды. Талқылау нәтижесінде өзара бір келісімге келіп есепті орындайды.
Жауаптары: №1
1)
№2. 1)
2
|
Дескриптор: - Қосбұрыштың тригонометрия лық формуласын қолданады Дескриптор: - Қосбұрыштың тригонометрия лық формулаларын қолданады. ҚБ: «Плюс, минус, қызықты» әдісі арқылы оқушылар бірін бірі бағалайды |
Слайд
Интернет ресурстары
|
|||
|
10мин |
Жеке жұмыс |
Оқулықтан №26.1, №26.6 |
Оқулықтан есептер шығарады.
Тапсырманы орындайды |
|
Жалпы білім беретін мектептің 9–сыныбына арналған оқулық. Оқулық авторлары: А.Е.Әбілқасымова, Т.П.Кучер, В.Е.Корчевский, З.Ә.Жұмағұлова Алматы «Мектеп» баспасы 2019 жыл
|
|||
|
2 минут
|
|
Бүгінгі сабақта: - қос бұрыштың тригонометриялық формулалары. -қос бұрыштың тригонометриялық формулаларын қолдана білді. Рефлексия: 1. - нені білдім, нені үйрендім - нені толық түсінбедім - немен жұмысты жалғастыру қажет Үйге тапсырма. № 26.3 |
Тақырыпты меңгергенін анықтау
. |
Кері байланыс |
Whatsapp қолдану
|
|||
Сабақ жоспары
Бекітемін:
|
Мұғалімнің аты-жөні: |
|
|||||||
|
Пән/Сынып: |
9 сынып |
|||||||
|
Күні: |
|
|||||||
|
Тарау немесе бөлім атауы: |
9.3А Тригонометрия |
|||||||
|
Сабақтың тақырыбы: |
Қосбұрыштың тригонометриялық формулалары. |
|||||||
|
Оқу мақсаты: |
9.2.4.3 бұрыштардың қосындысы мен айырымының, жарты және қос бұрыштың тригонометриялық формулаларын қорытып шығару және қолдану; |
|||||||
|
Бағалау критериі: |
1.Екі еселі бұрыш формулаларын қортып шығарады; 2.Екі еселі бұрыш формулаларын пайдаланып, есептер шығарады; |
|||||||
|
Саралап оқыту тапсырмалары |
||||||||
|
Ұжымдық жұмыс Жаңа тақырыптың түсіндірілуі Сабақ мақсаты мен бағалау критерийлерін таныстыру; Бейнероликті қолдана отырып, бекіту тапсырмаларын орындату |
Бірлескен жұмыс (1,2 тапсырма) Тапсырманы ұсыну және дұрыс жауапты ұсыну арқылы үйрету Бекітуге арналғантапсырмаларды орындату; Тапсырмалардың жауаптарын жазу. |
Жеке жұмыс Тапсырманы ұсыну, оқушылар өз бетімен орындауы |
||||||
|
Уақыты |
Кезең дері |
Педагогтің әрекеті |
Оқушының әрекеті |
Бағалау |
Ресурстар |
|||
|
3 минут
|
Ұйымдас тыру |
Сәлеметсіздерме! Атмосфералық жағдайды қалыптастыру. Бүгін, Қосбұрыштың тригонометриялық формулалары тақырыбын қарастырамыз Бүгінгі сабақта меңгеретініңіз: -қос бұрыштың тригонометриялық формулалары. -қос бұрыштың тригонометриялық формулаларын қолдану. |
Сұрақтарға жауап береді.
|
|
Whatsapp қолдану.
Интернет ресурстары
|
|||
|
8 мин |
Жаңа сабақ |
1. Жаңа сабақтың тақырыбын
өздері ашады. Қосу формуласындағы
ß-ны
формуласын өзім дәлелдеп көрсетемін. Қалған формулаларды Жиксо(көлемді мәліметтерді оқушылардың өздеріне игеруге және бірін-бірі оқытуға, үйретуге бағытталған тиімді тәсіл) әдісін пайдаланып
|
Қосымша ақпарат көздерін пайдалана отырып түсінеді
Тақырып бойынша ресурстарды қарап, танысады
|
«Екі жұлдыз бір ұсыныс» |
https://onlinemektep.net/schedule/01.02.2021/lesson/9978fca1-e407-433a-aedf-49e0c9fa3313
Слайд |
|||
|
17 мин |
Бекіту тапсырма лары |
Есептер шығару. №1. Өрнекті ықшамдаңдар:
1)
2)
3)
4)
5)
6) 7)
№2. Бөлшекті қысқартыңдар:
1)
2) №3.Дәлелдеңіз:
|
Берілген тапсырма бойынша өз ойларын ортаға салып, пікірлерін білдіріп, жұптық талдау жасайды. Талқылау нәтижесінде өзара бір келісімге келіп есепті орындайды.
Жауаптары: №1
1)
№2. 1)
2
|
Дескриптор: - Қосбұрыштың тригонометрия лық формуласын қолданады Дескриптор: - Қосбұрыштың тригонометрия лық формулаларын қолданады. ҚБ: «Плюс, минус, қызықты» әдісі арқылы оқушылар бірін бірі бағалайды |
Слайд
Интернет ресурстары
|
|||
|
10мин |
Жеке жұмыс |
Оқулықтан №26.6, №26.9 |
Оқулықтан есептер шығарады.
Тапсырманы орындайды |
|
Жалпы білім беретін мектептің 9–сыныбына арналған оқулық. Оқулық авторлары: А.Е.Әбілқасымова, Т.П.Кучер, В.Е.Корчевский, З.Ә.Жұмағұлова Алматы «Мектеп» баспасы 2019 жыл
|
|||
|
2 минут
|
|
Бүгінгі сабақта: - қос бұрыштың тригонометриялық формулалары. -қос бұрыштың тригонометриялық формулаларын қолдана білді. Рефлексия: 1. - нені білдім, нені үйрендім - нені толық түсінбедім - немен жұмысты жалғастыру қажет Үйге тапсырма. № 26.7 |
Тақырыпты меңгергенін анықтау
. |
Кері байланыс |
Whatsapp қолдану
|
|||
Сабақ жоспары
Бекітемін:
|
Мұғалімнің аты-жөні: |
|
|||||||||||||
|
Пән/Сынып: |
9 сынып |
|||||||||||||
|
Күні: |
|
|||||||||||||
|
Тарау немесе бөлім атауы: |
9.3А Тригонометрия |
|||||||||||||
|
Сабақтың тақырыбы: |
Жарты бұрыштың тригонометриялық формулалары. |
|||||||||||||
|
Оқу мақсаты: |
9.2.4.3 бұрыштардың қосындысы мен айырымының, жарты және қос бұрыштың тригонометриялық формулаларын қорытып шығару және қолдану; |
|||||||||||||
|
Бағалау критериі: |
-жарты бұрыштың тригонометриялық формулалары. -жарты және қос бұрыштың тригонометриялық формулаларын қолдану.
|
|||||||||||||
|
Саралап оқыту тапсырмалары |
||||||||||||||
|
Ұжымдық жұмыс Жаңа тақырыптың түсіндірілуі Сабақ мақсаты мен бағалау критерийлерін таныстыру; Бейнероликті қолдана отырып, бекіту тапсырмаларын орындату |
Бірлескен жұмыс (1,2 тапсырма) Тапсырманы ұсыну және дұрыс жауапты ұсыну арқылы үйрету Бекітуге арналғантапсырмаларды орындату; Тапсырмалардың жауаптарын жазу. |
Жеке жұмыс Тапсырманы ұсыну, оқушылар өз бетімен орындауы |
||||||||||||
|
Уақыты |
Кезең дері |
Педагогтің әрекеті |
Оқушының әрекеті |
Бағалау |
Ресурстар |
|||||||||
|
3 минут
|
Ұйымдас тыру |
Сәлеметсіздерме! Атмосфералық жағдайды қалыптастыру. Бүгін, Жарты бұрыштың тригонометриялық формулалары тақырыбын қарастырамыз Бүгінгі сабақта меңгеретініңіз: -жарты бұрыштың тригонометриялық формулалары. -жарты және қос бұрыштың тригонометриялық формулаларын қолдану. Үй тапсырмасын тексеру. №26.7. |
Сұрақтарға жауап береді.
|
|
Whatsapp қолдану.
Интернет ресурстары
|
|||||||||
|
8 мин |
Жаңа сабақ |
|
Қосымша ақпарат көздерін пайдалана отырып түсінеді
Тақырып бойынша ресурстарды қарап, танысады
|
«Екі жұлдыз бір ұсыныс» |
https://onlinemektep.net/schedule/01.02.2021/lesson/9978fca1-e407-433a-aedf-49e0c9fa3313
Слайд |
|||||||||
|
17 мин |
Бекіту тапсырма лары |
Есептер шығару.
А)
Б)
2.
А) Б)
3.
А) 4.
А) 5.c
А) |
Берілген тапсырма бойынша өз ойларын ортаға салып, пікірлерін білдіріп, жұптық талдау жасайды. Талқылау нәтижесінде өзара бір келісімге келіп есепті орындайды.
|
Дескриптор: - Қосбұрыштың, жарты бұрыштың тригонометрия лық формуласын қолданады ҚБ: «Плюс, минус, қызықты» әдісі арқылы оқушылар бірін бірі бағалайды |
Слайд
Интернет ресурстары
|
|||||||||
|
10мин |
Жеке жұмыс |
Оқулықтан №26.2, №26.4, №26.11. |
Оқулықтан есептер шығарады.
Тапсырманы орындайды |
|
Жалпы білім беретін мектептің 9–сыныбына арналған оқулық. Оқулық авторлары: А.Е.Әбілқасымова, Т.П.Кучер, В.Е.Корчевский, З.Ә.Жұмағұлова Алматы «Мектеп» баспасы 2019 жыл
|
|||||||||
|
2 минут
|
|
Бүгінгі сабақта: -жарты бұрыштың тригонометриялық формулалары. -жарты және қос бұрыштың тригонометриялық формулаларын қолдану. Рефлексия:
1. Үйге тапсырма. № 26.12 |
Тақырыпты меңгергенін анықтау . |
Кері байланыс |
Whatsapp қолдану |
|||||||||
Сабақ жоспары
Бекітемін:
|
Мұғалімнің аты-жөні: |
|
||||||||||||||||||||||
|
Пән/Сынып: |
9 сынып |
||||||||||||||||||||||
|
Күні: |
|
||||||||||||||||||||||
|
Тарау немесе бөлім атауы: |
9.3А Тригонометрия |
||||||||||||||||||||||
|
Сабақтың тақырыбы: |
Жарты бұрыштың тригонометриялық формулалары. |
||||||||||||||||||||||
|
Оқу мақсаты: |
9.2.4.3 бұрыштардың қосындысы мен айырымының, жарты және қос бұрыштың тригонометриялық формулаларын қорытып шығару және қолдану; |
||||||||||||||||||||||
|
Бағалау критериі: |
-жарты бұрыштың тригонометриялық формулалары. -жарты және қос бұрыштың тригонометриялық формулаларын қолдану.
|
||||||||||||||||||||||
|
Саралап оқыту тапсырмалары |
|||||||||||||||||||||||
|
Ұжымдық жұмыс Жаңа тақырыптың түсіндірілуі Сабақ мақсаты мен бағалау критерийлерін таныстыру; Бейнероликті қолдана отырып, бекіту тапсырмаларын орындату |
Бірлескен жұмыс (1,2 тапсырма) Тапсырманы ұсыну және дұрыс жауапты ұсыну арқылы үйрету Бекітуге арналғантапсырмаларды орындату; Тапсырмалардың жауаптарын жазу. |
Жеке жұмыс Тапсырманы ұсыну, оқушылар өз бетімен орындауы |
|||||||||||||||||||||
|
Уақыты |
Кезең дері |
Педагогтің әрекеті |
Оқушының әрекеті |
Бағалау |
Ресурстар |
||||||||||||||||||
|
3 минут
|
Ұйымдас тыру |
Сәлеметсіздерме! Атмосфералық жағдайды қалыптастыру. Бүгін, Жарты бұрыштың тригонометриялық формулалары тақырыбын қарастырамыз Бүгінгі сабақта меңгеретініңіз: -жарты бұрыштың тригонометриялық формулалары. -жарты және қос бұрыштың тригонометриялық формулаларын қолдану. Үй тапсырмасын тексеру. №26.7. |
Сұрақтарға жауап береді.
|
|
Whatsapp қолдану.
Интернет ресурстары
|
||||||||||||||||||
|
8 мин |
Жаңа сабақ |
|
Қосымша ақпарат көздерін пайдалана отырып түсінеді
Тақырып бойынша ресурстарды қарап, танысады
|
«Екі жұлдыз бір ұсыныс» |
https://onlinemektep.net/schedule/01.02.2021/lesson/9978fca1-e407-433a-aedf-49e0c9fa3313
Слайд |
||||||||||||||||||
|
17 мин |
Бекіту тапсырма лары |
Есептер шығару. №1. Өрнекті ықшамдаңдар: 1)
2) 3)
4)
№2. 1)
Оқулықтан №26.15, №26.17. |
Берілген тапсырма бойынша өз ойларын ортаға салып, пікірлерін білдіріп, жұптық талдау жасайды. Талқылау нәтижесінде өзара бір келісімге келіп есепті орындайды.
|
Дескриптор: - Қосбұрыштың, жарты бұрыштың тригонометрия лық формуласын қолданады ҚБ: «Плюс, минус, қызықты» әдісі арқылы оқушылар бірін бірі бағалайды |
Слайд
Интернет ресурстары
|
||||||||||||||||||
|
10мин |
Жеке жұмыс |
|
Оқулықтан есептер шығарады. Тапсырманы орындайды |
|
Жалпы білім беретін мектептің 9–сыныбына арналған оқулық. Оқулық авторлары: А.Е.Әбілқасымова, Т.П.Кучер, В.Е.Корчевский, З.Ә.Жұмағұлова Алматы «Мектеп» баспасы 2019 жыл |
||||||||||||||||||
|
2 минут |
|
Бүгінгі сабақта: -жарты бұрыштың тригонометриялық формулалары. -жарты және қос бұрыштың тригонометриялық формулаларын қолдану. Рефлексия:
Үйге тапсырма. № 26.16 |
Тақырыпты меңгергенін анықтау . |
Кері байланыс |
Whatsapp қолдану |
||||||||||||||||||
Сабақ жоспары
Бекітемін:
|
Мұғалімнің аты-жөні: |
|
||||||||||||||||||||||
|
Пән/Сынып: |
9 сынып |
||||||||||||||||||||||
|
Күні: |
|
||||||||||||||||||||||
|
Тарау немесе бөлім атауы: |
9.3А Тригонометрия |
||||||||||||||||||||||
|
Сабақтың тақырыбы: |
Тригонометрия формулалары.Бұрыштардың қосындысы мен айырмасының, жарты және қосбұрыштың тригонометриялық формулалары. |
||||||||||||||||||||||
|
Оқу мақсаты: |
9.2.4.3 бұрыштардың қосындысы мен айырымының, жарты және қос бұрыштың тригонометриялық формулаларын қорытып шығару және қолдану; |
||||||||||||||||||||||
|
Бағалау критериі: |
-қос, жарты бұрыштың тригонометриялық формулалары. -қос, жарты және қос бұрыштың тригонометриялық формулаларын қолдану. |
||||||||||||||||||||||
|
Саралап оқыту тапсырмалары |
|||||||||||||||||||||||
|
Ұжымдық жұмыс Жаңа тақырыптың түсіндірілуі Сабақ мақсаты мен бағалау критерийлерін таныстыру; Бейнероликті қолдана отырып, бекіту тапсырмаларын орындату |
Бірлескен жұмыс (1,2 тапсырма) Тапсырманы ұсыну және дұрыс жауапты ұсыну арқылы үйрету Бекітуге арналғантапсырмаларды орындату; Тапсырмалардың жауаптарын жазу. |
Жеке жұмыс Тапсырманы ұсыну, оқушылар өз бетімен орындауы |
|||||||||||||||||||||
|
Уақыты |
Кезең дері |
Педагогтің әрекеті |
Оқушының әрекеті |
Бағалау |
Ресурстар |
||||||||||||||||||
|
3 минут
|
Ұйымдас тыру |
Сәлеметсіздерме! Бүгін, Тригонометрия формулалары.Бұрыштардың қосындысы мен айырмасының, жарты және қосбұрыштың тригонометриялық формулалары тақырыбын қарастырамыз Бүгінгі сабақта меңгеретініңіз: -жарты бұрыштың тригонометриялық формулалары. -жарты және қос бұрыштың тригонометриялық формулаларын қолдану. Үй тапсырмасын тексеру. №26.16. |
Сұрақтарға жауап береді.
|
|
Whatsapp қолдану.
Интернет ресурстары
|
||||||||||||||||||
|
8 мин |
Жаңа сабақты бекіту. |
Сәйкестендіру тест.
|
Қосымша ақпарат көздерін пайдалана отырып түсінеді Тақырып бойынша ресурстарды қарап, танысады
|
«Екі жұлдыз бір ұсыныс» |
https://onlinemektep.net/schedule/01.02.2021/lesson/9978fca1-e407-433a-aedf-49e0c9fa3313 Слайд |
||||||||||||||||||
|
17 мин |
Бекіту тапсырма лары |
Есептер шығару. №1.
№2.
№3.
|
Берілген тапсырма бойынша өз ойларын ортаға салып, пікірлерін білдіріп, жұптық талдау жасайды. Талқылау нәтижесінде өзара бір келісімге келіп есепті орындайды.
|
Дескриптор: - Қосбұрыштың, жарты бұрыштың тригонометрия лық формуласын қолданады ҚБ: «Плюс, минус, қызықты» әдісі арқылы оқушылар бірін бірі бағалайды |
Слайд Интернет ресурстары |
||||||||||||||||||
|
10мин |
Жеке жұмыс |
Оқулықтан №26.22.
|
Оқулықтан есептер шығарады. Тапсырманы орындайды |
|
Жалпы білім беретін мектептің 9–сыныбына арналған оқулық. Оқулық авторлары: А.Е.Әбілқасымова, Т.П.Кучер, В.Е.Корчевский, З.Ә.Жұмағұлова Алматы «Мектеп» баспасы 2019 жыл |
||||||||||||||||||
|
2 минут |
|
Бүгінгі сабақта: -жарты бұрыштың тригонометриялық формулалары. -жарты және қос бұрыштың тригонометриялық формулаларын қолдану. Рефлексия:
Үйге тапсырма. № 26.23 |
Тақырыпты меңгергенін анықтау . |
Кері байланыс |
Whatsapp қолдану |
||||||||||||||||||
Сабақ жоспары
Бекітемін:
|
Мұғалімнің аты-жөні: |
|
|||||||||||||||||||||||||||||||||||
|
Пән/Сынып: |
9 сынып |
|||||||||||||||||||||||||||||||||||
|
Күні: |
|
|||||||||||||||||||||||||||||||||||
|
Тарау немесе бөлім атауы: |
9.3А Тригонометрия |
|||||||||||||||||||||||||||||||||||
|
Сабақтың тақырыбы: |
Тригонометрия формулалары.Бұрыштардың қосындысы мен айырмасының, жарты және қосбұрыштың тригонометриялық формулалары. |
|||||||||||||||||||||||||||||||||||
|
Оқу мақсаты: |
9.2.4.3 бұрыштардың қосындысы мен айырымының, жарты және қос бұрыштың тригонометриялық формулаларын қорытып шығару және қолдану; |
|||||||||||||||||||||||||||||||||||
|
Бағалау критериі: |
-қос, жарты бұрыштың тригонометриялық формулалары. -қос, жарты және қос бұрыштың тригонометриялық формулаларын қолдану. |
|||||||||||||||||||||||||||||||||||
|
Саралап оқыту тапсырмалары |
||||||||||||||||||||||||||||||||||||
|
Ұжымдық жұмыс Жаңа тақырыптың түсіндірілуі Сабақ мақсаты мен бағалау критерийлерін таныстыру; Бейнероликті қолдана отырып, бекіту тапсырмаларын орындату |
Бірлескен жұмыс (1,2 тапсырма) Тапсырманы ұсыну және дұрыс жауапты ұсыну арқылы үйрету Бекітуге арналғантапсырмаларды орындату; Тапсырмалардың жауаптарын жазу. |
Жеке жұмыс Тапсырманы ұсыну, оқушылар өз бетімен орындауы |
||||||||||||||||||||||||||||||||||
|
Уақыты |
Кезең дері |
Педагогтің әрекеті |
Оқушының әрекеті |
Бағалау |
Ресурстар |
|||||||||||||||||||||||||||||||
|
3 минут
|
Ұйымдас тыру |
Сәлеметсіздерме! Бүгін, Тригонометрия формулалары.Бұрыштардың қосындысы мен айырмасының, жарты және қосбұрыштың тригонометриялық формулалары тақырыбын қарастырамыз Бүгінгі сабақта меңгеретініңіз: -жарты бұрыштың тригонометриялық формулалары. -жарты және қос бұрыштың тригонометриялық формулаларын қолдану. Үй тапсырмасын тексеру. №26.16. |
Сұрақтарға жауап береді.
|
|
Whatsapp қолдану.
Интернет ресурстары
|
|||||||||||||||||||||||||||||||
|
8 мин |
Жаңа сабақты бекіту. |
№1. Өрнекті ықшамдаңдар:
1)
2)
3)
4)
|
Қосымша ақпарат көздерін пайдалана отырып түсінеді
Тақырып бойынша ресурстарды қарап, танысады
|
«Екі жұлдыз бір ұсыныс» |
https://onlinemektep.net/schedule/01.02.2021/lesson/9978fca1-e407-433a-aedf-49e0c9fa3313
Слайд |
|||||||||||||||||||||||||||||||
|
17 мин |
Бекіту тапсырма лары |
Есептер шығару. №1. Ықшамда :
а)
2. Егер
3.Ықшамда: 4. Ықшамда:
|
Берілген тапсырма бойынша өз ойларын ортаға салып, пікірлерін білдіріп, жұптық талдау жасайды. Талқылау нәтижесінде өзара бір келісімге келіп есепті орындайды. Жауаптары:
1.а)
2. tg2α=
|
Дескриптор: - Қосбұрыштың, жарты бұрыштың тригонометрия лық формуласын қолданады ҚБ: «Плюс, минус, қызықты» әдісі арқылы оқушылар бірін бірі бағалайды |
Слайд Интернет ресурстары |
|||||||||||||||||||||||||||||||
|
10мин |
Жеке жұмыс |
Есептер жинағынан №289.
|
Оқулықтан есептер шығарады. Тапсырманы орындайды |
|
Жалпы білім беретін мектептің 9–сыныбына арналған оқулық. Оқулық авторлары: А.Е.Әбілқасымова, Т.П.Кучер, В.Е.Корчевский, З.Ә.Жұмағұлова Алматы «Мектеп» баспасы 2019 жыл |
|||||||||||||||||||||||||||||||
|
2 минут |
|
Бүгінгі сабақта: -жарты бұрыштың тригонометриялық формулалары. -жарты және қос бұрыштың тригонометриялық формулаларын қолдану. Рефлексия:
Үйге тапсырма. № 26.25. |
Тақырыпты меңгергенін анықтау . |
Кері байланыс |
Whatsapp қолдану |
|||||||||||||||||||||||||||||||
Сабақ жоспары
Бекітемін:
|
Мұғалімнің аты-жөні: |
|
|||||||||||||
|
Пән/Сынып: |
9 сынып |
|||||||||||||
|
Күні: |
|
|||||||||||||
|
Тарау немесе бөлім атауы: |
9.3А Тригонометрия |
|||||||||||||
|
Сабақтың тақырыбы: |
Тригонометрия формулалары.Бұрыштардың қосындысы мен айырмасының, жарты және қосбұрыштың тригонометриялық формулалары. |
|||||||||||||
|
Оқу мақсаты: |
9.2.4.3 бұрыштардың қосындысы мен айырымының, жарты және қос бұрыштың тригонометриялық формулаларын қорытып шығару және қолдану; |
|||||||||||||
|
Бағалау критериі: |
-қос, жарты бұрыштың тригонометриялық формулалары. -қос, жарты және қос бұрыштың тригонометриялық формулаларын қолдану. |
|||||||||||||
|
Саралап оқыту тапсырмалары |
||||||||||||||
|
Ұжымдық жұмыс Жаңа тақырыптың түсіндірілуі Сабақ мақсаты мен бағалау критерийлерін таныстыру; Бейнероликті қолдана отырып, бекіту тапсырмаларын орындату |
Бірлескен жұмыс (1,2 тапсырма) Тапсырманы ұсыну және дұрыс жауапты ұсыну арқылы үйрету Бекітуге арналғантапсырмаларды орындату; Тапсырмалардың жауаптарын жазу. |
Жеке жұмыс Тапсырманы ұсыну, оқушылар өз бетімен орындауы |
||||||||||||
|
Уақыты |
Кезең дері |
Педагогтің әрекеті |
Оқушының әрекеті |
Бағалау |
Ресурстар |
|||||||||
|
3 минут
|
Ұйымдас тыру |
Сәлеметсіздерме! Бүгін, Тригонометрия формулалары.Бұрыштардың қосындысы мен айырмасының, жарты және қосбұрыштың тригонометриялық формулалары тақырыбын қарастырамыз Бүгінгі сабақта меңгеретініңіз: -жарты бұрыштың тригонометриялық формулалары. -жарты және қос бұрыштың тригонометриялық формулаларын қолдану. Үй тапсырмасын тексеру. №26.25. |
Сұрақтарға жауап береді.
|
|
Whatsapp қолдану.
Интернет ресурстары
|
|||||||||
|
8 мин |
Жаңа сабақты бекіту. |
Тез есептейік! 1) ctga-cosa-1/sina 2) 1/sina-1-1/sina+1 3) 1-ctga/tga-1 4) sin2a-1/cos2a-1+tgactga |
Қосымша ақпарат көздерін пайдалана отырып түсінеді
Тақырып бойынша ресурстарды қарап, танысады
|
«Екі жұлдыз бір ұсыныс» |
https://onlinemektep.net/schedule/01.02.2021/lesson/9978fca1-e407-433a-aedf-49e0c9fa3313
Слайд |
|||||||||
|
17 мин |
Бекіту тапсырма лары |
Есептер шығару. №1.Бөлшекті
қысқартыңдар. A)sin50 B)cos50 C)2sin50 D)2cos50 E)tg100 №2.Есептеңдер. 2sin22,5cos22,5 A)1
B) №3.Егер мәнін табыңдар.
№4.
cosα
= А) №5. 200°-ты радианмен өрнектеңдер А)
№6. Өрнекті ықшамдаңдар
B)0
C) №7. 1)ctga+sina/1+cosa=1/sina 2)1-2sinacosa/sina-cosa=sina-cosa 3)1-sin2x/1-cos2x=1/tg2x 4)ctgx/ctgx+tgx=cos2x
|
Берілген тапсырма бойынша өз ойларын ортаға салып, пікірлерін білдіріп, жұптық талдау жасайды. Талқылау нәтижесінде өзара бір келісімге келіп есепті орындайды.
Жауаптары:
|
Дескриптор: - Қосбұрыштың, жарты бұрыштың тригонометрия лық формуласын қолданады ҚБ: «Плюс, минус, қызықты» әдісі арқылы оқушылар бірін бірі бағалайды |
Слайд
Интернет ресурстары
|
|||||||||
|
10мин |
Жеке жұмыс |
Есептер жинағынан №292.
|
Оқулықтан есептер шығарады.
Тапсырманы орындайды |
|
Жалпы білім беретін мектептің 9–сыныбына арналған оқулық. Оқулық авторлары: А.Е.Әбілқасымова, Т.П.Кучер, В.Е.Корчевский, З.Ә.Жұмағұлова Алматы «Мектеп» баспасы 2019 жыл
|
|||||||||
|
2 минут
|
|
Бүгінгі сабақта: -жарты бұрыштың тригонометриялық формулалары. -жарты және қос бұрыштың тригонометриялық формулаларын қолдану.
Рефлексия:
Үйге тапсырма. № 300 /есептер жинағынан/ |
Тақырыпты меңгергенін анықтау . |
Кері байланыс |
Whatsapp қолдану |
|||||||||
Сабақ жоспары
Бекітемін:
|
Мұғалімнің аты-жөні: |
. |
|||||||||||||
|
Пән/Сынып: |
9 сынып |
|||||||||||||
|
Күні: |
|
|||||||||||||
|
Тарау немесе бөлім атауы: |
9.3А Тригонометрия |
|||||||||||||
|
Сабақтың тақырыбы: |
Тригонометрия формулалары.Бұрыштардың қосындысы мен айырмасының, жарты және қосбұрыштың тригонометриялық формулалары. |
|||||||||||||
|
Оқу мақсаты: |
9.2.4.3 бұрыштардың қосындысы мен айырымының, жарты және қос бұрыштың тригонометриялық формулаларын қорытып шығару және қолдану; |
|||||||||||||
|
Бағалау критериі: |
-қос, жарты бұрыштың тригонометриялық формулалары. -қос, жарты және қос бұрыштың тригонометриялық формулаларын қолдану. |
|||||||||||||
|
Саралап оқыту тапсырмалары |
||||||||||||||
|
Ұжымдық жұмыс Жаңа тақырыптың түсіндірілуі Сабақ мақсаты мен бағалау критерийлерін таныстыру; Бейнероликті қолдана отырып, бекіту тапсырмаларын орындату |
Бірлескен жұмыс (1,2 тапсырма) Тапсырманы ұсыну және дұрыс жауапты ұсыну арқылы үйрету Бекітуге арналғантапсырмаларды орындату; Тапсырмалардың жауаптарын жазу. |
Жеке жұмыс Тапсырманы ұсыну, оқушылар өз бетімен орындауы |
||||||||||||
|
Уақыты |
Кезең дері |
Педагогтің әрекеті |
Оқушының әрекеті |
Бағалау |
Ресурстар |
|||||||||
|
3 минут
|
Ұйымдас тыру |
Сәлеметсіздерме! Бүгін, Тригонометрия формулалары.Бұрыштардың қосындысы мен айырмасының, жарты және қосбұрыштың тригонометриялық формулалары тақырыбын қарастырамыз Бүгінгі сабақта меңгеретініңіз: -жарты бұрыштың тригонометриялық формулалары. -жарты және қос бұрыштың тригонометриялық формулаларын қолдану. Үй тапсырмасын тексеру. №26.25. |
Сұрақтарға жауап береді.
|
|
Whatsapp қолдану.
Интернет ресурстары
|
|||||||||
|
8 мин |
Жаңа сабақты бекіту. |
Тез есептейік! 1) ctga-cosa-1/sina 2) 1/sina-1-1/sina+1 3) 1-ctga/tga-1 4) sin2a-1/cos2a-1+tgactga |
Қосымша ақпарат көздерін пайдалана отырып түсінеді
Тақырып бойынша ресурстарды қарап, танысады
|
«Екі жұлдыз бір ұсыныс» |
https://onlinemektep.net/schedule/01.02.2021/lesson/9978fca1-e407-433a-aedf-49e0c9fa3313
Слайд |
|||||||||
|
17 мин |
Бекіту тапсырма лары |
Есептер шығару. №1. 1.
2.
№2. 1.
2.
3.
4.
№3.Өрнекті ықшамдаңдар. 1) 2) 3) 4) №5.
№6. 1)ctga+sina/1+cosa=1/sina 2)1-2sinacosa/sina-cosa=sina-cosa 3)1-sin2x/1-cos2x=1/tg2x 4)ctgx/ctgx+tgx=cos2x
|
Берілген тапсырма бойынша өз ойларын ортаға салып, пікірлерін білдіріп, жұптық талдау жасайды. Талқылау нәтижесінде өзара бір келісімге келіп есепті орындайды.
|
Дескриптор: - Қосбұрыштың, жарты бұрыштың тригонометрия лық формуласын қолданады ҚБ: «Плюс, минус, қызықты» әдісі арқылы оқушылар бірін бірі бағалайды |
Слайд
Интернет ресурстары
|
|||||||||
|
10мин |
Жеке жұмыс |
Есептер жинағынан №292.
|
Оқулықтан есептер шығарады.
Тапсырманы орындайды |
|
Жалпы білім беретін мектептің 9–сыныбына арналған оқулық. Оқулық авторлары: А.Е.Әбілқасымова, Т.П.Кучер, В.Е.Корчевский, З.Ә.Жұмағұлова Алматы «Мектеп» баспасы 2019 жыл
|
|||||||||
|
2 минут
|
|
Бүгінгі сабақта: -жарты бұрыштың тригонометриялық формулалары. -жарты және қос бұрыштың тригонометриялық формулаларын қолдану.
Рефлексия:
Үйге тапсырма. № 302 /есептер жинағынан/ |
Тақырыпты меңгергенін анықтау . |
Кері байланыс |
Whatsapp қолдану |
|||||||||
Сабақ жоспары
Бекітемін:
|
Мұғалімнің аты-жөні: |
|
|||||||||||||
|
Пән/Сынып: |
9 сынып |
|||||||||||||
|
Күні: |
|
|||||||||||||
|
Тарау немесе бөлім атауы: |
9.3А Тригонометрия |
|||||||||||||
|
Сабақтың тақырыбы: |
Тригонометрия формулалары. Келтіру формулалары |
|||||||||||||
|
Оқу мақсаты: |
9.2.4.4 келтіру формулаларын қорытып шығару және қолдану; |
|||||||||||||
|
Бағалау критериі: |
Келтіру формулаларын біледі; Келтіру формулаларын есептер шығаруда қолданады |
|||||||||||||
|
Саралап оқыту тапсырмалары |
||||||||||||||
|
Ұжымдық жұмыс Жаңа тақырыптың түсіндірілуі Сабақ мақсаты мен бағалау критерийлерін таныстыру; Бейнероликті қолдана отырып, бекіту тапсырмаларын орындату |
Бірлескен жұмыс (1,2 тапсырма) Тапсырманы ұсыну және дұрыс жауапты ұсыну арқылы үйрету Бекітуге арналғантапсырмаларды орындату; Тапсырмалардың жауаптарын жазу. |
Жеке жұмыс Тапсырманы ұсыну, оқушылар өз бетімен орындауы |
||||||||||||
|
Уақыты |
Кезең дері |
Педагогтің әрекеті |
Оқушының әрекеті |
Бағалау |
Ресурстар |
|||||||||
|
3 минут
|
Ұйымдас тыру |
Сәлеметсіздерме! Бүгін, Тригонометрия формулалары. Келтіру формулалары тақырыбын қарастырамыз Бүгінгі сабақта меңгеретініңіз: - Келтіру формулаларын біледі; -Келтіру формулаларын есептер шығаруда қолданады Үй тапсырмасын тексеру. №302. |
Сұрақтарға жауап береді.
|
|
Whatsapp қолдану.
Интернет ресурстары
|
|||||||||
|
8 мин |
Жаңа сабақты бекіту. |
Бүгінгі сабақта Бірлік шеңбер арқылы осы формулаларды оқушылардың қорытып шығаруына мүмкіндік беру
Жеке жағдайда, оқушылардан бірлік
шеңберде
формуласын оңай алуға болады.
үшін талқылауды жүргізу.
Содан соң оқушылардан sin (+α) = - sin α және cos (3/2+α) = sin α формулаларын бірлік шеңберде өздігінен дәлелдеуді сұрау: сондай-ақ мәндерін табуды sin (-α) = … және cos (3/2-α) = ….. қорытындысын талқылау. sin (+α) = - sinα
cos (3/2+α) = sinα
«Тақырыптың түйіні» :
|
Қосымша ақпарат көздерін пайдалана отырып түсінеді
Тақырып бойынша ресурстарды қарап, танысады
|
«Екі жұлдыз бір ұсыныс» |
https://onlinemektep.net/schedule/22.02.2021/lesson/37991aff-1d2b-4fd0-a781-659ff93aecb0
Слайд |
|||||||||
|
17 мин |
Бекіту тапсырма лары |
Есептер шығару. Тапсырма 1. Егер:
а) 1). 2). 3). 4). Шешуі: а)
теңдіктерін аламыз. |
Берілген тапсырма бойынша өз ойларын ортаға салып, пікірлерін білдіріп, жұптық талдау жасайды. Талқылау нәтижесінде өзара бір келісімге келіп есепті орындайды.
Оқулықтан № |
Дескриптор: - Келтіру формуласын қолданады; -сәйкес ширектегі тригонометрия лық функциялардың таңбасын анықтайды. ҚБ: «Плюс, минус, қызықты» әдісі арқылы оқушылар бірін бірі бағалайды |
Слайд
Интернет ресурстары
|
|||||||||
|
10мин |
Жеке жұмыс |
Есептер жинағынан . Өрнектің мәнін тап: sin1500=sin(900+600)= - cos….= - sin(2700+600)= cos….= sin2400=sin(1800+600)= - sin….= - sin(3600+600)= sin….=
|
Оқулықтан есептер шығарады.
Тапсырманы орындайды |
|
Жалпы білім беретін мектептің 9–сыныбына арналған оқулық. Оқулық авторлары: А.Е.Әбілқасымова, Т.П.Кучер, В.Е.Корчевский, З.Ә.Жұмағұлова Алматы «Мектеп» баспасы 2019 жыл
|
|||||||||
|
2 минут
|
|
Бүгінгі сабақта: - Келтіру формулаларын біледі; -Келтіру формулаларын есептер шығаруда қолданады Рефлексия:
Үйге тапсырма. №287 /есептер жинағынан/ |
Тақырыпты меңгергенін анықтау . |
Кері байланыс |
Whatsapp қолдану |
|||||||||
Сабақ жоспары
Бекітемін:
|
Мұғалімнің аты-жөні: |
|
|||||||||||||
|
Пән/Сынып: |
9 сынып |
|||||||||||||
|
Күні: |
|
|||||||||||||
|
Тарау немесе бөлім атауы: |
9.3А Тригонометрия |
|||||||||||||
|
Сабақтың тақырыбы: |
Тригонометрия формулалары. Келтіру формулалары |
|||||||||||||
|
Оқу мақсаты: |
9.2.4.4 келтіру формулаларын қорытып шығару және қолдану; |
|||||||||||||
|
Бағалау критериі: |
Келтіру формулаларын біледі; Келтіру формулаларын есептер шығаруда қолданады |
|||||||||||||
|
Саралап оқыту тапсырмалары |
||||||||||||||
|
Ұжымдық жұмыс Жаңа тақырыптың түсіндірілуі Сабақ мақсаты мен бағалау критерийлерін таныстыру; Бейнероликті қолдана отырып, бекіту тапсырмаларын орындату |
Бірлескен жұмыс (1,2 тапсырма) Тапсырманы ұсыну және дұрыс жауапты ұсыну арқылы үйрету Бекітуге арналғантапсырмаларды орындату; Тапсырмалардың жауаптарын жазу. |
Жеке жұмыс Тапсырманы ұсыну, оқушылар өз бетімен орындауы |
||||||||||||
|
Уақыты |
Кезең дері |
Педагогтің әрекеті |
Оқушының әрекеті |
Бағалау |
Ресурстар |
|||||||||
|
3 минут
|
Ұйымдас тыру |
Сәлеметсіздерме! Бүгін, Тригонометрия формулалары. Келтіру формулалары тақырыбын қарастырамыз Бүгінгі сабақта меңгеретініңіз: - Келтіру формулаларын біледі; -Келтіру формулаларын есептер шығаруда қолданады Үй тапсырмасын тексеру. №302. |
Сұрақтарға жауап береді.
|
|
Whatsapp қолдану.
Интернет ресурстары
|
|||||||||
|
8 мин |
Жаңа сабақты бекіту. |
Бүгінгі сабақта Бірлік шеңбер арқылы осы формулаларды оқушылардың қорытып шығаруына мүмкіндік беру
Жеке жағдайда, оқушылардан бірлік
шеңберде
формуласын оңай алуға болады.
үшін талқылауды жүргізу.
Содан соң оқушылардан sin (+α) = - sin α және cos (3/2+α) = sin α формулаларын бірлік шеңберде өздігінен дәлелдеуді сұрау: сондай-ақ мәндерін табуды sin (-α) = … және cos (3/2-α) = ….. қорытындысын талқылау. sin (+α) = - sinα
cos (3/2+α) = sinα
«Тақырыптың түйіні» :
|
Қосымша ақпарат көздерін пайдалана отырып түсінеді
Тақырып бойынша ресурстарды қарап, танысады
|
«Екі жұлдыз бір ұсыныс» |
https://onlinemektep.net/schedule/22.02.2021/lesson/37991aff-1d2b-4fd0-a781-659ff93aecb0
Слайд |
|||||||||
|
17 мин |
Бекіту тапсырма лары |
Есептер шығару. Тапсырма 1. Егер:
а) 1). 2). 3). 4). Шешуі: а)
теңдіктерін аламыз. |
Берілген тапсырма бойынша өз ойларын ортаға салып, пікірлерін білдіріп, жұптық талдау жасайды. Талқылау нәтижесінде өзара бір келісімге келіп есепті орындайды.
Оқулықтан № |
Дескриптор: - Келтіру формуласын қолданады; -сәйкес ширектегі тригонометрия лық функциялардың таңбасын анықтайды. ҚБ: «Плюс, минус, қызықты» әдісі арқылы оқушылар бірін бірі бағалайды |
Слайд
Интернет ресурстары
|
|||||||||
|
10мин |
Жеке жұмыс |
Есептер жинағынан . Өрнектің мәнін тап: sin1500=sin(900+600)= - cos….= - sin(2700+600)= cos….= sin2400=sin(1800+600)= - sin….= - sin(3600+600)= sin….=
|
Оқулықтан есептер шығарады.
Тапсырманы орындайды |
|
Жалпы білім беретін мектептің 9–сыныбына арналған оқулық. Оқулық авторлары: А.Е.Әбілқасымова, Т.П.Кучер, В.Е.Корчевский, З.Ә.Жұмағұлова Алматы «Мектеп» баспасы 2019 жыл
|
|||||||||
|
2 минут
|
|
Бүгінгі сабақта: - Келтіру формулаларын біледі; -Келтіру формулаларын есептер шығаруда қолданады Рефлексия:
Үйге тапсырма. № 23.2 |
Тақырыпты меңгергенін анықтау . |
Кері байланыс |
Whatsapp қолдану |
|||||||||
Сабақ жоспары
Бекітемін:
|
Мұғалімнің аты-жөні: |
|
|||||||||||||||||||
|
Пән/Сынып: |
9 сынып |
|||||||||||||||||||
|
Күні: |
|
|||||||||||||||||||
|
Тарау немесе бөлім атауы: |
9.3А Тригонометрия |
|||||||||||||||||||
|
Сабақтың тақырыбы: |
Келтіру формулалары |
|||||||||||||||||||
|
Оқу мақсаты: |
9.2.4.4 келтіру формулаларын білу және қолдану; |
|||||||||||||||||||
|
Бағалау критериі: |
(π – α) бұрыштары үшін келтіру формулаларын қорытып шығару және қолданылу жолы |
|||||||||||||||||||
|
Саралап оқыту тапсырмалары |
||||||||||||||||||||
|
Ұжымдық жұмыс Жаңа тақырыптың түсіндірілуі Сабақ мақсаты мен бағалау критерийлерін таныстыру; Бейнероликті қолдана отырып, бекіту тапсырмаларын орындату |
Бірлескен жұмыс (1,2 тапсырма) Тапсырманы ұсыну және дұрыс жауапты ұсыну арқылы үйрету Бекітуге арналғантапсырмаларды орындату; Тапсырмалардың жауаптарын жазу. |
Жеке жұмыс Тапсырманы ұсыну, оқушылар өз бетімен орындауы |
||||||||||||||||||
|
Уақыты |
Кезең дері |
Педагогтің әрекеті |
Оқушының әрекеті |
Бағалау |
Ресурстар |
|||||||||||||||
|
3 минут
|
Ұйымдас тыру |
Сәлеметсіздерме! Бүгін, Келтіру формулалары тақырыбын қарастырамыз Бүгінгі сабақта меңгеретініңіз: (π – α) бұрыштары үшін келтіру формулаларын қорытып шығару және қолданылу жолы Үй тапсырмасын тексеру. №23.2. Оқушыларға сәйкестендіру тесті беріледі (жұптық тапсырма).
|
Сұрақтарға жауап береді. Сәйкестендіру тест |
«Екі жұлдыз бір ұсыныс» |
Whatsapp қолдану. Интернет ресурстары |
|||||||||||||||
|
8 мин |
Жаңа сабақты бекіту. |
Келтіру формуласын пайдаланып есептер шығару
Егер бұрышының функциялары берілсе, онда оларды α бұрышына байланысты тригонометриялық функцияларға келтіру ыңғайлы. Ол үшін арнайы берілген келтіру формулаларын қолданамыз. Есте сақта!!!
|
Қосымша ақпарат көздерін пайдалана отырып түсінеді Тақырып бойынша ресурстарды қарап, танысады |
|
https://onlinemektep.net/schedule/01.02.2021/lesson/9978fca1-e407-433a-aedf-49e0c9fa3313 Слайд |
|||||||||||||||
|
17 мин |
Бекіту тапсырма лары |
Есептер шығару. 1-тапсырма. (00; 900) аралығындағы бұрыштың тригонометриялық функциясына келтіріңдер: а) tg1370 = tg (900 + 470) = — ctg 470 = — tg 430. б) sin (-1780) = — sin (1800 – 20) = — sin20 = — cos 780. в) sin 6800 = sin (7200 – 400) = — sin 400. г) cos (-10000) = cos (10800 – 800) = cos 800.
2-тапсырма. Өрнектің мәнін табыңдар. а) sin 240o = sin (180o+60o)= — sin 600 = — . в) tg 300o = tg (360o — 60o) = — tg 600 = — . с) ctg (- 225o) = — ctg (180o +45o) = — ctg 45o = -1. д) соs(-210) = cos(1800+300) = — cos 300 = — 0.5 Оқулықтан №23.3, №23.4, №23.6 |
Берілген тапсырма бойынша өз ойларын ортаға салып, пікірлерін білдіріп, жұптық талдау жасайды. Талқылау нәтижесінде өзара бір келісімге келіп есепті орындайды.
|
Дескриптор: - Келтіру формуласын қолданады ҚБ: «Плюс, минус, қызықты» әдісі арқылы оқушылар бірін бірі бағалайды |
Слайд Интернет ресурстары |
|||||||||||||||
|
10мин |
Жеке жұмыс |
Есептер жинағынан №292.
|
Оқулықтан есептер шығарады. Тапсырманы орындайды |
|
Жалпы білім беретін мектептің 9–сыныбына арналған оқулық. Оқулық авторлары: А.Е.Әбілқасымова, Т.П.Кучер, В.Е.Корчевский, З.Ә.Жұмағұлова Алматы «Мектеп» баспасы 2019 жыл |
|||||||||||||||
|
2 минут |
|
Бүгінгі сабақта: -(π – α) бұрыштары үшін келтіру формулаларын қорытып шығару және қолданылу жолы Рефлексия:
Үйге тапсырма. № 23.5. |
Тақырыпты меңгергенін анықтау . |
Кері байланыс |
Whatsapp қолдану |
|||||||||||||||
Сабақ жоспары
Бекітемін:
|
Мұғалімнің аты-жөні: |
|
|||||||||||||
|
Пән/Сынып: |
9 сынып |
|||||||||||||
|
Күні: |
|
|||||||||||||
|
Тарау немесе бөлім атауы: |
9.3А Тригонометрия |
|||||||||||||
|
Сабақтың тақырыбы: |
Келтіру формулалары |
|||||||||||||
|
Оқу мақсаты: |
9.2.4.4 келтіру формулаларын қорытып шығару және қолдану; |
|||||||||||||
|
Бағалау критериі: |
|
|||||||||||||
|
Саралап оқыту тапсырмалары |
||||||||||||||
|
Ұжымдық жұмыс Жаңа тақырыптың түсіндірілуі Сабақ мақсаты мен бағалау критерийлерін таныстыру; Бейнероликті қолдана отырып, бекіту тапсырмаларын орындату |
Бірлескен жұмыс (1,2 тапсырма) Тапсырманы ұсыну және дұрыс жауапты ұсыну арқылы үйрету Бекітуге арналғантапсырмаларды орындату; Тапсырмалардың жауаптарын жазу. |
Жеке жұмыс Тапсырманы ұсыну, оқушылар өз бетімен орындауы |
||||||||||||
|
Уақыты |
Кезең дері |
Педагогтің әрекеті |
Оқушының әрекеті |
Бағалау |
Ресурстар |
|||||||||
|
3 минут
|
Ұйымдас тыру |
Сәлеметсіздерме! Бүгін, Келтіру формулалары тақырыбын қарастырамыз Бүгінгі сабақта меңгеретініңіз: (π + α) бұрыштары үшін келтіру формулаларын қорытып шығару және қолданылу жолы Үй тапсырмасын тексеру. №23.6. Сұрақтарға жауап береді. Төмендегі өрнектерді сүйір бұрышына келтіріңіз: |
Сұрақтарға жауап береді.
А)cos100 b) ctg 200 ctg 270 70 tg70 с) sin 300 |
«Екі жұлдыз бір ұсыныс» |
Оқулық
Интернет ресурстары
|
|||||||||
|
8 мин |
Жаңа сабақты бекіту. |
Келтіру формуласын пайдаланып есептер шығару
Егер бұрышының функциялары берілсе, онда оларды α бұрышына байланысты тригонометриялық функцияларға келтіру ыңғайлы. Ол үшін арнайы берілген келтіру формулаларын қолданамыз. Есте сақта!!!
|
Қосымша ақпарат көздерін пайдалана отырып түсінеді
Тақырып бойынша ресурстарды қарап, танысады
|
|
Слайд
Плакат |
|||||||||
|
17 мин |
Бекіту тапсырма лары |
Есептер шығару. 1-тапсырма. Тригонометриялық функциялардың қасиеттерын пайдаланып функциялардың мәндерің есепте: 1-топ.
2-топ
3-
топ
2- тапсырма. Кестені толдырындар:
3-тапсырма. « Қара жәшік ішіндегі жұмыс» әдісі. Жәшік ішінде тест тапсырмасы болады. 1.
a) 2. a) 3. a) 4-тапсырма. Оқулықтан №23.7, №23.9. |
Берілген тапсырма бойынша өз ойларын ортаға салып, пікірлерін білдіріп, жұптық талдау жасайды. Талқылау нәтижесінде өзара бір келісімге келіп есепті орындайды.
Кестені толтырады.
Тест тапсырмасын орындайды
Оқулықтан есептер шығарады.
|
Дескриптор: - Келтіру формуласын қолданады ҚБ: «Плюс, минус, қызықты» әдісі арқылы оқушылар бірін бірі бағалайды |
Слайд
Интернет ресурстары
Жалпы білім беретін мектептің 9–сыныбына арналған оқулық. Оқулық авторлары: А.Е.Әбілқасымова, Т.П.Кучер, В.Е.Корчевский, З.Ә.Жұмағұлова Алматы «Мектеп» баспасы 2019 жыл
|
|||||||||
|
10мин |
Жеке жұмыс |
«Конверттегі сұрақ» тәсілі №1. Егер 30 болса, онда sin 2 cos 2өрнегінің мəнін табыңыз. №2. 3sin 90 2 cos 60 tg 45 өрнегінің мəнін табыңыз.
|
Тапсырманы орындайды |
|
|
|||||||||
|
2 минут
|
|
Бүгінгі сабақта:
Рефлексия:
Үйге тапсырма. № 23.10. |
Тақырыпты меңгергенін анықтау . |
Кері байланыс |
|
|||||||||
Сабақ жоспары
Бекітемін:
|
Мұғалімнің аты-жөні: |
|
|||||||
|
Пән/Сынып: |
9 сынып |
|||||||
|
Күні: |
|
|||||||
|
Тарау немесе бөлім атауы: |
9.3А Тригонометрия |
|||||||
|
Сабақтың тақырыбы: |
Келтіру формулалары |
|||||||
|
Оқу мақсаты: |
9.2.4.4 келтіру формулаларын қорытып шығару және қолдану; |
|||||||
|
Бағалау критериі: |
|
|||||||
|
Саралап оқыту тапсырмалары |
||||||||
|
Ұжымдық жұмыс Жаңа тақырыптың түсіндірілуі Сабақ мақсаты мен бағалау критерийлерін таныстыру; Бейнероликті қолдана отырып, бекіту тапсырмаларын орындату |
Бірлескен жұмыс (1,2 тапсырма) Тапсырманы ұсыну және дұрыс жауапты ұсыну арқылы үйрету Бекітуге арналғантапсырмаларды орындату; Тапсырмалардың жауаптарын жазу. |
Жеке жұмыс Тапсырманы ұсыну, оқушылар өз бетімен орындауы |
||||||
|
Уақыты |
Кезең дері |
Педагогтің әрекеті |
Оқушының әрекеті |
Бағалау |
Ресурстар |
|||
|
3 минут
|
Ұйымдас тыру |
Сәлеметсіздерме! Бүгін, Келтіру формулалары тақырыбын қарастырамыз Бүгінгі сабақта меңгеретініңіз: (π + α) бұрыштары үшін келтіру формулаларын қорытып шығару және қолданылу жолы Үй тапсырмасын тексеру. №23.6. Сұрақтарға жауап береді. Төмендегі өрнектерді сүйір бұрышына келтіріңіз: |
Сұрақтарға жауап береді.
А)cos100 b) ctg 200 ctg 270 70 tg70 с) sin 300 |
«Екі жұлдыз бір ұсыныс» |
Оқулық
Интернет ресурстары
|
|||
|
8 мин |
Жаңа сабақты бекіту. |
Келтіру формуласын пайдаланып есептер шығару
Егер бұрышының функциялары берілсе, онда оларды α бұрышына байланысты тригонометриялық функцияларға келтіру ыңғайлы. Ол үшін арнайы берілген келтіру формулаларын қолданамыз. Есте сақта!!!
|
Қосымша ақпарат көздерін пайдалана отырып түсінеді
Тақырып бойынша ресурстарды қарап, танысады
|
|
Слайд
Плакат |
|||
|
17 мин |
Бекіту тапсырма лары |
Есептер шығару. 1-тапсырма. Тапсырма: sin(30) sin 30 sin(30) sin 30 sin(240) sin 240 cos(210) cos 210 tg(45) tg 45 1 tg(210) tg 210 №2. 1). 2sin 90 4 cos 60 tg 45 өрнегінің мəнін табыңыз. 2). Өрнектің мəнін табыңыз: tg 240 cos150
№3. Төмендегі өрнектерді сүйір бұрышына келтіріңіз:
4-тапсырма. « Қара жәшік ішіндегі жұмыс» әдісі. Жәшік ішінде тест тапсырмасы болады. 1.
a) 2. a) 3. a) 5-тапсырма. Оқулықтан №23.8, №23.11. |
Берілген тапсырма бойынша өз ойларын ортаға салып, пікірлерін білдіріп, жұптық талдау жасайды. Талқылау нәтижесінде өзара бір келісімге келіп есепті орындайды. №2. 2sin 90 4 cos 60 tg 45 = 2*1+4*1/2-1=3 Жауабы: 3
1)cos150 cos90 60 sin 60 √ tg 240 tg 180 60 tg60 √3 №3. а)cos110 cos180 70 cos70
Тест тапсырмасын орындайды
Оқулықтан есептер шығарады.
|
Дескриптор: - Келтіру формуласын қолданады ҚБ: «Плюс, минус, қызықты» әдісі арқылы оқушылар бірін бірі бағалайды |
Слайд
Интернет ресурстары
Жалпы білім беретін мектептің 9–сыныбына арналған оқулық. Оқулық авторлары: А.Е.Әбілқасымова, Т.П.Кучер, В.Е.Корчевский, З.Ә.Жұмағұлова Алматы «Мектеп» баспасы 2019 жыл
|
|||
|
10мин |
Жеке жұмыс |
Оқушыларға карточкалармен өзіндік жұмыстар беріледі.
|
Тапсырманы орындайды |
|
|
|||
|
2 минут
|
|
Бүгінгі сабақта:
Рефлексия:
Үйге тапсырма. № 23.12. |
Тақырыпты меңгергенін анықтау
. |
Кері байланыс |
|
|||
Сабақ жоспары
Бекітемін:
|
Мұғалімнің аты-жөні: |
|
|||||||
|
Пән/Сынып: |
9 сынып |
|||||||
|
Күні: |
|
|||||||
|
Тарау немесе бөлім атауы: |
9.3А Тригонометрия |
|||||||
|
Сабақтың тақырыбы: |
Келтіру формулалары |
|||||||
|
Оқу мақсаты: |
9.2.4.4 келтіру формулаларын қорытып шығару және қолдану; |
|||||||
|
Бағалау критериі: |
|
|||||||
|
Саралап оқыту тапсырмалары |
||||||||
|
Ұжымдық жұмыс Жаңа тақырыптың түсіндірілуі Сабақ мақсаты мен бағалау критерийлерін таныстыру; Бейнероликті қолдана отырып, бекіту тапсырмаларын орындату |
Бірлескен жұмыс (1,2 тапсырма) Тапсырманы ұсыну және дұрыс жауапты ұсыну арқылы үйрету Бекітуге арналғантапсырмаларды орындату; Тапсырмалардың жауаптарын жазу. |
Жеке жұмыс Тапсырманы ұсыну, оқушылар өз бетімен орындауы |
||||||
|
Уақыты |
Кезең дері |
Педагогтің әрекеті |
Оқушының әрекеті |
Бағалау |
Ресурстар |
|||
|
3 минут
|
Ұйымдас тыру |
Сәлеметсіздерме! Бүгін, Келтіру формулалары тақырыбын қарастырамыз Бүгінгі сабақта меңгеретініңіз: (π + α) бұрыштары үшін келтіру формулаларын қорытып шығару және қолданылу жолы Үй тапсырмасын тексеру. №23.6. Сұрақтарға жауап береді. Төмендегі өрнектерді сүйір бұрышына келтіріңіз: |
Сұрақтарға жауап береді.
А)cos100 b) ctg 200 ctg 270 70 tg70 с) sin 300 |
«Екі жұлдыз бір ұсыныс» |
Оқулық
Интернет ресурстары
|
|||
|
8 мин |
Жаңа сабақты бекіту. |
Келтіру формуласын пайдаланып есептер шығару
Егер бұрышының функциялары берілсе, онда оларды α бұрышына байланысты тригонометриялық функцияларға келтіру ыңғайлы. Ол үшін арнайы берілген келтіру формулаларын қолданамыз. Есте сақта!!!
|
Қосымша ақпарат көздерін пайдалана отырып түсінеді
Тақырып бойынша ресурстарды қарап, танысады
|
|
Слайд
Плакат |
|||
|
17 мин |
Бекіту тапсырма лары |
Есептер шығару. 1-тапсырма. Тапсырма: sin(30) sin 30 sin(30) sin 30 sin(240) sin 240 cos(210) cos 210 tg(45) tg 45 1 tg(210) tg 210 №2. 1). 2sin 90 4 cos 60 tg 45 өрнегінің мəнін табыңыз. 2). Өрнектің мəнін табыңыз: tg 240 cos150
№3. Төмендегі өрнектерді сүйір бұрышына келтіріңіз:
4-тапсырма. « Қара жәшік ішіндегі жұмыс» әдісі. Жәшік ішінде тест тапсырмасы болады. 1.
a) 2. a) 3. a) 5-тапсырма. Оқулықтан №23.13, №23.15. |
Берілген тапсырма бойынша өз ойларын ортаға салып, пікірлерін білдіріп, жұптық талдау жасайды. Талқылау нәтижесінде өзара бір келісімге келіп есепті орындайды. №2. 2sin 90 4 cos 60 tg 45 = 2*1+4*1/2-1=3 Жауабы: 3
1)cos150 cos90 60 sin 60 √ tg 240 tg 180 60 tg60 √3 №3. а)cos110 cos180 70 cos70
Тест тапсырмасын орындайды
Оқулықтан есептер шығарады.
|
Дескриптор: - Келтіру формуласын қолданады ҚБ: «Плюс, минус, қызықты» әдісі арқылы оқушылар бірін бірі бағалайды |
Слайд
Интернет ресурстары
Жалпы білім беретін мектептің 9–сыныбына арналған оқулық. Оқулық авторлары: А.Е.Әбілқасымова, Т.П.Кучер, В.Е.Корчевский, З.Ә.Жұмағұлова Алматы «Мектеп» баспасы 2019 жыл
|
|||
|
10мин |
Жеке жұмыс |
Оқушыларға карточкалармен өзіндік жұмыстар беріледі.
|
Тапсырманы орындайды |
|
|
|||
|
2 минут
|
|
Бүгінгі сабақта:
Рефлексия:
Үйге тапсырма. № 23.16. |
Тақырыпты меңгергенін анықтау
. |
Кері байланыс |
|
|||
Сабақ жоспары
Бекітемін:
|
Мұғалімнің аты-жөні: |
|
|||||||
|
Пән/Сынып: |
9 сынып |
|||||||
|
Күні: |
|
|||||||
|
Тарау немесе бөлім атауы: |
9.3А Тригонометрия |
|||||||
|
Сабақтың тақырыбы: |
Келтіру формулалары |
|||||||
|
Оқу мақсаты: |
9.2.4.4 келтіру формулаларын қорытып шығару және қолдану; |
|||||||
|
Бағалау критериі: |
|
|||||||
|
Саралап оқыту тапсырмалары |
||||||||
|
Ұжымдық жұмыс Жаңа тақырыптың түсіндірілуі Сабақ мақсаты мен бағалау критерийлерін таныстыру; Бейнероликті қолдана отырып, бекіту тапсырмаларын орындату |
Бірлескен жұмыс (1,2 тапсырма) Тапсырманы ұсыну және дұрыс жауапты ұсыну арқылы үйрету Бекітуге арналғантапсырмаларды орындату; Тапсырмалардың жауаптарын жазу. |
Жеке жұмыс Тапсырманы ұсыну, оқушылар өз бетімен орындауы |
||||||
|
Уақыты |
Кезең дері |
Педагогтің әрекеті |
Оқушының әрекеті |
Бағалау |
Ресурстар |
|||
|
3 минут
|
Ұйымдас тыру |
Сәлеметсіздерме! Бүгін, Келтіру формулалары тақырыбын қарастырамыз Бүгінгі сабақта меңгеретініңіз: (π + α) бұрыштары үшін келтіру формулаларын қорытып шығару және қолданылу жолы Үй тапсырмасын тексеру. №23.19. Қайталау тапсырмалары. |
Сұрақтарға жауап береді. Төмендегі өрнектерді сүйір бұрышына келтіріңіз: А)cos100 b) ctg 200 ctg 270 70 tg70 с) sin 300 |
«Екі жұлдыз бір ұсыныс» |
Оқулық
Интернет ресурстары
|
|||
|
5 мин |
Жаңа сабақты бекіту. |
Келтіру формуласын пайдаланып есептер шығару
Егер бұрышының функциялары берілсе, онда оларды α бұрышына байланысты тригонометриялық функцияларға келтіру ыңғайлы. Ол үшін арнайы берілген келтіру формулаларын қолданамыз. Есте сақта!!!
|
Қосымша ақпарат көздерін пайдалана отырып түсінеді
Тақырып бойынша ресурстарды қарап, танысады
|
|
Слайд
Плакат |
|||
|
10 мин |
Бекіту тапсырма лары |
Есептер шығару. Тапсырма.1. 1-топ. (0˚; 90˚) аралығындағы бұрыштың тригонометриялық функциясына келтіріңдер: sin 680˚= sin (720˚ – 40˚) = — sin 40˚. 2-топ. (0˚; 90˚) аралығындағы бұрыштың тригонометриялық функциясына келтіріңдер: cos (-1000˚) = cos (1080˚ – 80˚) = cos 80˚. 3-топ. (0˚; 90˚) аралығындағы бұрыштың тригонометриялық функциясына келтіріңдер: sin (-178˚) = — sin (180˚ – 2˚) = — sin2˚= — cos 78˚. Тапсырма.2. Өрнектің мәнін табыңдар. а)sin 240˚ = sin (180˚+60˚)= — sin 60 ˚ = -0,5 . ә) tg 300˚ = tg (360˚ — 60˚) = — tg 60 ˚ = -. б) sin (-178˚) = — sin (180˚ – 2˚) = — sin2˚= — cos 78˚. в) соs(-210˚) = cos(180˚+30˚) = -cos 30˚ = — 0.5 Тапсырма.3. Оқулықтан №23.17, №23.18. |
Берілген тапсырма бойынша өз ойларын ортаға салып, пікірлерін білдіріп, жұптық талдау жасайды. Талқылау нәтижесінде өзара бір келісімге келіп есепті орындайды.
Тест тапсырмасын орындайды
Оқулықтан есептер шығарады.
|
Дескриптор Білім алушы: - функцияның кез келген бұрышын тригонометриялық функциялардың сүйір бұрышына келтіреді - ширектегі таңбаларын көрсетеді - келтіру формуласын қолданады - шешімін табады ҚБ: «Плюс, минус, қызықты» әдісі арқылы оқушылар бірін бірі бағалайды |
Слайд
Интернет ресурстары
Жалпы білім беретін мектептің 9–сыныбына арналған оқулық. Оқулық авторлары: А.Е.Әбілқасымова, Т.П.Кучер, В.Е.Корчевский, З.Ә.Жұмағұлова Алматы «Мектеп» баспасы 2019 жыл
|
|||
|
20 мин |
Жеке жұмыс |
Оқушыларға ББЖБ тапсырмалары беріледі.
|
Тапсырманы орындайды |
|
|
|||
|
2 минут
|
|
Бүгінгі сабақта:
Рефлексия:
Үйге тапсырма. № 23.21. |
Тақырыпты меңгергенін анықтау
. |
Кері байланыс |
|
|||
Сабақ жоспары
Бекітемін:
|
Мұғалімнің аты-жөні: |
|
|||||||
|
Пән/Сынып: |
9 сынып |
|||||||
|
Күні: |
|
|||||||
|
Тарау немесе бөлім атауы: |
9.3А Тригонометрия |
|||||||
|
Сабақтың тақырыбы: |
Келтіру формулалары |
|||||||
|
Оқу мақсаты: |
9.2.4.4 келтіру формулаларын қорытып шығару және қолдану; |
|||||||
|
Бағалау критериі: |
|
|||||||
|
Саралап оқыту тапсырмалары |
||||||||
|
Ұжымдық жұмыс Жаңа тақырыптың түсіндірілуі Сабақ мақсаты мен бағалау критерийлерін таныстыру; Бейнероликті қолдана отырып, бекіту тапсырмаларын орындату |
Бірлескен жұмыс (1,2 тапсырма) Тапсырманы ұсыну және дұрыс жауапты ұсыну арқылы үйрету Бекітуге арналғантапсырмаларды орындату; Тапсырмалардың жауаптарын жазу. |
Жеке жұмыс Тапсырманы ұсыну, оқушылар өз бетімен орындауы |
||||||
|
Уақыты |
Кезең дері |
Педагогтің әрекеті |
Оқушының әрекеті |
Бағалау |
Ресурстар |
|||
|
3 минут
|
Ұйымдас тыру |
Сәлеметсіздерме! Бүгін, Келтіру формулалары тақырыбын қарастырамыз Бүгінгі сабақта меңгеретініңіз: (π + α) бұрыштары үшін келтіру формулаларын қорытып шығару және қолданылу жолы Үй тапсырмасын тексеру. №23.21. Қайталау тапсырмалары. |
Сұрақтарға жауап береді. Төмендегі өрнектерді сүйір бұрышына келтіріңіз: А)cos100 b) ctg 200 ctg 270 70 tg70 с) sin 300 |
«Екі жұлдыз бір ұсыныс» |
Оқулық
Интернет ресурстары
|
|||
|
5 мин |
Жаңа сабақты бекіту. |
Келтіру формуласын пайдаланып есептер шығару
Егер бұрышының функциялары берілсе, онда оларды α бұрышына байланысты тригонометриялық функцияларға келтіру ыңғайлы. Ол үшін арнайы берілген келтіру формулаларын қолданамыз. Есте сақта!!!
|
Қосымша ақпарат көздерін пайдалана отырып түсінеді
Тақырып бойынша ресурстарды қарап, танысады
|
|
Слайд
Плакат |
|||
|
20 мин |
Бекіту тапсырма лары |
Есептер шығару. Тапсырма.1. 1-топ. (0˚; 90˚) аралығындағы бұрыштың тригонометриялық функциясына келтіріңдер: sin 680˚= sin (720˚ – 40˚) = — sin 40˚. 2-топ. (0˚; 90˚) аралығындағы бұрыштың тригонометриялық функциясына келтіріңдер: cos (-1000˚) = cos (1080˚ – 80˚) = cos 80˚. 3-топ. (0˚; 90˚) аралығындағы бұрыштың тригонометриялық функциясына келтіріңдер: sin (-178˚) = — sin (180˚ – 2˚) = — sin2˚= — cos 78˚. Тапсырма.2. Өрнектің мәнін табыңдар. а)sin 240˚ = sin (180˚+60˚)= — sin 60 ˚ = -0,5 . ә) tg 300˚ = tg (360˚ — 60˚) = — tg 60 ˚ = -. б) sin (-178˚) = — sin (180˚ – 2˚) = — sin2˚= — cos 78˚. в) соs(-210˚) = cos(180˚+30˚) = -cos 30˚ = — 0.5 Тапсырма.3. Оқулықтан №23.22, №23.23. |
Берілген тапсырма бойынша өз ойларын ортаға салып, пікірлерін білдіріп, жұптық талдау жасайды. Талқылау нәтижесінде өзара бір келісімге келіп есепті орындайды.
Тест тапсырмасын орындайды
Оқулықтан есептер шығарады.
|
Дескриптор Білім алушы: - функцияның кез келген бұрышын тригонометриялық функциялардың сүйір бұрышына келтіреді - ширектегі таңбаларын көрсетеді - келтіру формуласын қолданады - шешімін табады ҚБ: «Плюс, минус, қызықты» әдісі арқылы оқушылар бірін бірі бағалайды |
Слайд
Интернет ресурстары
Жалпы білім беретін мектептің 9–сыныбына арналған оқулық. Оқулық авторлары: А.Е.Әбілқасымова, Т.П.Кучер, В.Е.Корчевский, З.Ә.Жұмағұлова Алматы «Мектеп» баспасы 2019 жыл
|
|||
|
10 мин |
Жеке жұмыс |
Оқушыларға тест тапсырмалары беріледі.
|
Тапсырманы орындайды |
|
|
|||
|
2 минут
|
|
Бүгінгі сабақта:
Рефлексия:
Үйге тапсырма. № 23.24. |
Тақырыпты меңгергенін анықтау
. |
Кері байланыс |
|
|||
Сабақ жоспары
Бекітемін:
|
Мұғалімнің аты-жөні: |
|
|||||||
|
Пән/Сынып: |
9 сынып |
|||||||
|
Күні: |
|
|||||||
|
Тарау немесе бөлім атауы: |
9.3А Тригонометрия |
|||||||
|
Сабақтың тақырыбы: |
Келтіру формулалары |
|||||||
|
Оқу мақсаты: |
9.2.4.4 келтіру формулаларын қорытып шығару және қолдану; |
|||||||
|
Бағалау критериі: |
|
|||||||
|
Саралап оқыту тапсырмалары |
||||||||
|
Ұжымдық жұмыс Жаңа тақырыптың түсіндірілуі Сабақ мақсаты мен бағалау критерийлерін таныстыру; Бейнероликті қолдана отырып, бекіту тапсырмаларын орындату |
Бірлескен жұмыс (1,2 тапсырма) Тапсырманы ұсыну және дұрыс жауапты ұсыну арқылы үйрету Бекітуге арналғантапсырмаларды орындату; Тапсырмалардың жауаптарын жазу. |
Жеке жұмыс Тапсырманы ұсыну, оқушылар өз бетімен орындауы |
||||||
|
Уақыты |
Кезең дері |
Педагогтің әрекеті |
Оқушының әрекеті |
Бағалау |
Ресурстар |
|||
|
3 минут
|
Ұйымдас тыру |
Сәлеметсіздерме! Бүгін, Келтіру формулалары тақырыбын қарастырамыз Бүгінгі сабақта меңгеретініңіз: (π + α) бұрыштары үшін келтіру формулаларын қорытып шығару және қолданылу жолы Үй тапсырмасын тексеру. №23.21. Қайталау тапсырмалары. |
Сұрақтарға жауап береді. Төмендегі өрнектерді сүйір бұрышына келтіріңіз: А)cos100 b) ctg 200 ctg 270 70 tg70 с) sin 300 |
«Екі жұлдыз бір ұсыныс» |
Оқулық
Интернет ресурстары
|
|||
|
5 мин |
Жаңа сабақты бекіту. |
Келтіру формуласын пайдаланып есептер шығару
Егер бұрышының функциялары берілсе, онда оларды α бұрышына байланысты тригонометриялық функцияларға келтіру ыңғайлы. Ол үшін арнайы берілген келтіру формулаларын қолданамыз. Есте сақта!!!
|
Қосымша ақпарат көздерін пайдалана отырып түсінеді
Тақырып бойынша ресурстарды қарап, танысады
|
|
Слайд
Плакат |
|||
|
20 мин |
Бекіту тапсырма лары |
Есептер шығару. №1. Тригонометриялық функцияның мәнін 45° бұрыштан кем бұрышқа келтір.
1)
5) №2. Өрнекті ықшамдаңдар:
а)
б) №3. Теңбе-теңдікті дәлелдеңдер:
1)
2) Жеке жұмыс №4 (2, 4). Өрнекті ықшамдаңдар:
2)
4) №5 (2, 4). Өрнекті ықшамдаңдар:
2)
4) Оқулықтан №23.25, №23.26. |
Берілген тапсырма бойынша өз ойларын ортаға салып, пікірлерін білдіріп, жұптық талдау жасайды. Талқылау нәтижесінде өзара бір келісімге келіп есепті орындайды.
Тест тапсырмасын орындайды
Оқулықтан есептер шығарады.
|
Дескриптор Білім алушы: - функцияның кез келген бұрышын тригонометриялық функциялардың сүйір бұрышына келтіреді - ширектегі таңбаларын көрсетеді - келтіру формуласын қолданады - шешімін табады ҚБ: «Плюс, минус, қызықты» әдісі арқылы оқушылар бірін бірі бағалайды |
Слайд
Интернет ресурстары
Жалпы білім беретін мектептің 9–сыныбына арналған оқулық. Оқулық авторлары: А.Е.Әбілқасымова, Т.П.Кучер, В.Е.Корчевский, З.Ә.Жұмағұлова Алматы «Мектеп» баспасы 2019 жыл
|
|||
|
10 мин |
Жеке жұмыс |
Оқушыларға тест тапсырмалары беріледі.
|
Тапсырманы орындайды |
|
|
|||
|
2 минут
|
|
Бүгінгі сабақта:
Рефлексия:
Үйге тапсырма. № 23.27. |
Тақырыпты меңгергенін анықтау
. |
Кері байланыс |
|
|||
Сабақ жоспары
Бекітемін:
|
Мұғалімнің аты-жөні: |
|
|||||||||||||
|
Пән/Сынып: |
9 сынып |
|||||||||||||
|
Күні: |
|
|||||||||||||
|
Тарау немесе бөлім атауы: |
9.3А Тригонометрия |
|||||||||||||
|
Сабақтың тақырыбы: |
Келтіру формулалары |
|||||||||||||
|
Оқу мақсаты: |
9.2.4.4 келтіру формулаларын қорытып шығару және қолдану; |
|||||||||||||
|
Бағалау критериі: |
|
|||||||||||||
|
Саралап оқыту тапсырмалары |
||||||||||||||
|
Ұжымдық жұмыс Жаңа тақырыптың түсіндірілуі Сабақ мақсаты мен бағалау критерийлерін таныстыру; Бейнероликті қолдана отырып, бекіту тапсырмаларын орындату |
Бірлескен жұмыс (1,2 тапсырма) Тапсырманы ұсыну және дұрыс жауапты ұсыну арқылы үйрету Бекітуге арналғантапсырмаларды орындату; Тапсырмалардың жауаптарын жазу. |
Жеке жұмыс Тапсырманы ұсыну, оқушылар өз бетімен орындауы |
||||||||||||
|
Уақыты |
Кезең дері |
Педагогтің әрекеті |
Оқушының әрекеті |
Бағалау |
Ресурстар |
|||||||||
|
3 минут
|
Ұйымдас тыру |
Сәлеметсіздерме! Бүгін, Келтіру формулалары тақырыбын қарастырамыз Бүгінгі сабақта меңгеретініңіз: (π + α) бұрыштары үшін келтіру формулаларын қорытып шығару және қолданылу жолы Үй тапсырмасын тексеру. №23.27. Қайталау тапсырмалары. |
Сұрақтарға жауап береді. Төмендегі өрнектерді сүйір бұрышына келтіріңіз: А)cos100 b) ctg 200 ctg 270 70 tg70 с) sin 300 |
«Екі жұлдыз бір ұсыныс» |
Оқулық
Интернет ресурстары
|
|||||||||
|
5 мин |
Жаңа сабақты бекіту. |
Тригонометриялық функциялар деп қандай
функцияларды айтамыз?
|
Тақырып бойынша ресурстарды қарап, танысады
|
|
Слайд
Плакат |
|||||||||
|
20 мин |
Бекіту тапсырма лары |
Есептер шығару. № 1 № 4
Оқулықтан №23.21, №23.28. |
Берілген тапсырма бойынша өз ойларын ортаға салып, пікірлерін білдіріп, жұптық талдау жасайды. Талқылау нәтижесінде өзара бір келісімге келіп есепті орындайды.
Тест тапсырмасын орындайды
Оқулықтан есептер шығарады.
|
Дескриптор Білім алушы: - функцияның кез келген бұрышын тригонометриялық функциялардың сүйір бұрышына келтіреді - ширектегі таңбаларын көрсетеді - келтіру формуласын қолданады - шешімін табады ҚБ: «Плюс, минус, қызықты» әдісі арқылы оқушылар бірін бірі бағалайды |
Интернет ресурстары
Жалпы білім беретін мектептің 9–сыныбына арналған оқулық. Оқулық авторлары: А.Е.Әбілқасымова, Т.П.Кучер, В.Е.Корчевский, З.Ә.Жұмағұлова Алматы «Мектеп» баспасы 2019 жыл
|
|||||||||
|
10 мин |
Жеке жұмыс |
Оқушыларға тест тапсырмалары беріледі.
|
Тапсырманы орындайды |
|
|
|||||||||
|
2 минут
|
|
Бүгінгі сабақта:
Рефлексия:
Үйге тапсырма. № 23.22. |
Тақырыпты меңгергенін анықтау . |
Кері байланыс |
|
|||||||||
жүктеу мүмкіндігіне ие боласыз
Бұл материал сайт қолданушысы жариялаған. Материалдың ішінде жазылған барлық ақпаратқа жауапкершілікті жариялаған қолданушы жауап береді. Ұстаз тілегі тек ақпаратты таратуға қолдау көрсетеді. Егер материал сіздің авторлық құқығыңызды бұзған болса немесе басқа да себептермен сайттан өшіру керек деп ойласаңыз осында жазыңыз
БжБ алгебра 9 сынып 3 токсан
Сабақ жоспары
Бекітемін:
|
Мұғалімнің аты-жөні: |
|
|||||||
|
Пән/Сынып: |
9 сынып |
|||||||
|
Күні: |
|
|||||||
|
Тарау немесе бөлім атауы: |
9.3А Тригонометрия |
|||||||
|
Сабақтың тақырыбы: |
Бұрыш пен доғаның градустық және радиандық өлшемдері |
|||||||
|
Оқу мақсаты: |
9.1.1.1бұрыштың радиандық өлшемі ұғымын меңгеру; 9.1.2.1градусты радианға және радианды градусқа айналдыру; |
|||||||
|
Бағалау критериі: |
- бұрыштың радиандық өлшемі ұғымын біледі -Бұрышты радиандық өлшемнен градустық өлшемге көшіреді; -Бұрышты градустық өлшемнен радиандық өлшемге айналдырады; -бірлік шеңберде радиандық және градустық өлшеммен берілген бұрыштарға сәйкес нүктелерді белгілейді; -Бірлік шеңбердегі нүктелердің координаталарын табады |
|||||||
|
Саралап оқыту тапсырмалары |
||||||||
|
Ұжымдық жұмыс Жаңа тақырыптың түсіндірілуі Сабақ мақсаты мен бағалау критерийлерін таныстыру; Бейнероликті қолдана отырып, бекіту тапсырмаларын орындату |
Бірлескен жұмыс (1,2 тапсырма) Тапсырманы ұсыну және дұрыс жауапты ұсыну арқылы үйрету Бекітуге арналғантапсырмаларды орындату; Тапсырмалардың жауаптарын жазу. |
Жеке жұмыс Тапсырманы ұсыну, оқушылар өз бетімен орындауы |
||||||
|
Уақыты |
Кезең дері |
Педагогтің әрекеті |
Оқушының әрекеті |
Бағалау |
Ресурстар |
|||
|
3 минут
|
Ұйымдастыру |
Сәлеметсіздерме! Атмосфералық жағдайды қалыптастыру. Бүгін, Бұрыш пен доғаның градустық және радиандық өлшемдері тақырыбын қарастырамыз Бүгінгі сабақта меңгеретініңіз: -бірлік шеңберде радиандық және градустық өлшеммен берілген бұрыштарға сәйкес нүктелерді белгілейді;
-бірлік шеңбердегі нүктенің
координаталары (cosα;
Қайталау.
|
Сұрақтарға жауап береді.
Формулаларды еске түсіріп,жазады. |
Дескриптор: -сан тізбегінің заңдылығын анықтайды -келесі үш мүшесін жазады -ерекшеліктерін анықтайды -есептің жауабын жазады
|
Whatsapp қолдану.
Интернет ресурстары
|
|||
|
5 мин |
Жаңа сабақ |
Бұрыштың радиандық өлшемі деп бұрышты құрайтын шеңбер доғасының ұзындығының оның радиусына қатынасын айтады.
L-шеңбер доғасының ұзындығы; R-шеңбер радиусы;
Анықтама. Ұзындығы шеңбер радиусының ұзындығына тең, доғаға сәйкес келетін центрлік бұрыш 1 радиандық бұрыш деп аталады.
Сонда
толық шеңбердің ұзындығына
сәйкес келетін, толық
бұрыш
Жарты шеңбердің градустық өлшемі 1800, ал оның радиандық өлшемі π екенін біле отырып, 10 –ты радиандық өлшем арқылы анықтайық: 10= α-қандай да бір бұрыштың градустық өлшемі, а-сол бұрыштың радиандық өлшемі болсын, онда келесі пропорция ақиқат:
α:180=а:π, а=
мысалы, α=300 а= |
Тақырып бойынша ресурстарды қарап, танысады
|
Қосымша ақпарат көздерін пайдалана отырып түсінеді.
«Екі жұлдыз бір ұсыныс» |
https://onlinemektep.net/schedule/1610323200/lesson/3bef7bf3-2e54-468e-90f6-f95a25b43f4e
Слайд |
|||
|
20 мин |
Бекіту тапсырмалары |
Дамыту кезеңі.Есептер шығару 1) Келесі
бұрыштардың санын a=
a=
a=
a=
a=
2)Радианды бұрышқа айналдыр:
3).Үшбұрыштың ішкі бұрыштарының
қосындысы 4). R=1,2 1мин-та 300 айн жасайды ω-?
ω Оқулықпен жұмыс. №19.1. Жеке жұмыс. №19.2 |
Оқулықтан есептер шығарады.
|
Дескриптор: - Градустық өлшемде берілген бұрышты радианға айналдырады және керісінше. -бірлік шеңберде радиандық және градустық өлшеммен берілген бұрыштарға сәйкес нүктелерді белгілейді; -Бірлік шеңбердегі нүктелердің координаталарын табады ҚБ: «Плюс, минус, қызықты» әдісі арқылы оқушылар бірін бірі бағалайды Дескриптор: - Мәтінді есептің қысқаша шартын жазады - Есептеуді дұрыс жүргізеді -Есептің шартына сай жауапты таңдайды. «Бас бармақ» әдісі арқылы өздерін бағалайды |
Слайд
Интернет ресурстары
Жалпы білім беретін мектептің 9–сыныбына арналған оқулық. Оқулық авторлары: А.Е.Әбілқасымова, Т.П.Кучер, В.Е.Корчевский, З.Ә.Жұмағұлова Алматы «Мектеп» баспасы 2019 жыл
|
|||
|
10мин |
Жеке жұмыс |
Online-mektep |
Тапсырманы орындайды |
Мониторинг |
https://onlinemektep.net/schedule/1610323200/lesson/3bef7bf3-2e54-468e-90f6-f95a25b43f4e
|
|||
|
2 минут
|
|
Бүгінгі сабақта: -Бұрыштың радиандық өлшемі ұғымын меңгеру,есептер шығару; -Градусты радианға және радианды градусқа айнаалдыру тәсілдерін білу. Рефлексия:
Үйге тапсырма. №19.5. |
Тақырыпты меңгергенін анықтау
. |
Кері байланыс |
Whatsapp қолдану
|
|||
Сабақ жоспары
Бекітемін:
|
Мұғалімнің аты-жөні: |
|
|||||||||||||||||||||||
|
Пән/Сынып: |
9 сынып |
|||||||||||||||||||||||
|
Күні: |
|
|||||||||||||||||||||||
|
Тарау немесе бөлім атауы: |
9.3А Тригонометрия |
|||||||||||||||||||||||
|
Сабақтың тақырыбы: |
Бұрыш пен доғаның градустық және радиандық өлшемдері |
|||||||||||||||||||||||
|
Оқу мақсаты: |
9.1.1.2 бірлік шеңбердің
бойында |
|||||||||||||||||||||||
|
Бағалау критериі: |
- бұрыштың радиандық өлшемі ұғымын біледі -Бұрышты радиандық өлшемнен градустық өлшемге көшіреді; -Бұрышты градустық өлшемнен радиандық өлшемге айналдырады; -бірлік шеңберде радиандық және градустық өлшеммен берілген бұрыштарға сәйкес нүктелерді белгілейді; -Бірлік шеңбердегі нүктелердің координаталарын табады |
|||||||||||||||||||||||
|
Саралап оқыту тапсырмалары |
||||||||||||||||||||||||
|
Ұжымдық жұмыс Жаңа тақырыптың түсіндірілуі Сабақ мақсаты мен бағалау критерийлерін таныстыру; Бейнероликті қолдана отырып, бекіту тапсырмаларын орындату |
Бірлескен жұмыс (1,2 тапсырма) Тапсырманы ұсыну және дұрыс жауапты ұсыну арқылы үйрету Бекітуге арналғантапсырмаларды орындату; Тапсырмалардың жауаптарын жазу. |
Жеке жұмыс Тапсырманы ұсыну, оқушылар өз бетімен орындауы |
||||||||||||||||||||||
|
Уақыты |
Кезең дері |
Педагогтің әрекеті |
Оқушының әрекеті |
Бағалау |
Ресурстар |
|||||||||||||||||||
|
3 минут
|
Ұйымдастыру |
Сәлеметсіздерме! Атмосфералық жағдайды қалыптастыру. Бүгін, Бұрыш пен доғаның градустық және радиандық өлшемдері тақырыбын қарастырамыз Бүгінгі сабақта меңгеретініңіз: -бірлік шеңберде радиандық және градустық өлшеммен берілген бұрыштарға сәйкес нүктелерді белгілейді;
-бірлік шеңбердегі нүктенің
координаталары (cosα;
Ширату тапсырмасы.Сіздерді тапсырманы бірлесіп орындауға шақырамын. -Қазір сіздерге әр түрлі шамаларды айтамын . Оларды қалай және қандай белгілері бойынша топтастыруға болатыны туралы ойланып көріңіздер. Сонымен бұл тапсырмадан қандай ой түйдіңіздер? - Ауа температурасы күндіз +80С, ал түнде -20С; -Дүкен бірінші айда 10% пайда көріп, екінші айда 8% зиян шекті; -Сүңгуір спортшы 1,2 м биіктікке секіріп, одан 3 м-ге суға сүңгіді; - Айдос бір орында тұрып 1800-қа кері бұрылды; - Айгүл сағаттың 15 минутқа қалып қойды; -400-қа қарама-қарсы бұрыш қандай болады? |
Сұрақтарға жауап береді.
шамаларды мағынасына, сан мәндеріне қарай топтастыруға болатыны туралы қорытынды жасайды. Оң шамаларды: «10% пайда», «+80С», «1,2 м биіктік» және «-20С», «8% зиян шегу», «3 м тереңдік», «15 минут қалып қою» теріс шамалар ретінде қабылданатынын түсіндіреді. Ал «1800-қа кері бұрылу» қарама-қарсы бағыт деген мағынаны білдіретінін ажыратып бұрыштарда да өлшем бірліктері болатынын және оң, теріс шамаларының болатынын анықтайды
|
|
Whatsapp қолдану.
Интернет ресурстары
|
|||||||||||||||||||
|
8 мин |
Жаңа сабақ |
Әр партада шеңбер сызылған сызбалар бар Тапсырма1: Берілген шеңберді екі перпендикуляр түзу жүргізу арқылы 4 бірдей бөлікке бөлейік. Алынған төрт бұрышты тағы да екі перпендикуляр жүргізу арқылы 4 бөлікке бөліп бір бөлігін β деп белгілейік. Енді осы β бұрышын 45 тең бірдей бөлікке бөлсек
10 бұрыш деп- шеңбердің 1/360 бөлігіне тең центрлік бұрышты айтады.
|
Тақырып бойынша ресурстарды қарап, танысады
Білім алушылар жұптасады Сызба көмегімен мұғалімнің бағыттауындағы алгоритмдерді орындап: -10 бұрышты анықтайды; -бірлік шеңберде 3600; 1800; 900; 00 бұрыштарды анықтайды - бұрыштың оң және теріс бағыттардағы өлшемдерін анықтайды;
|
Қосымша ақпарат көздерін пайдалана отырып түсінеді.
«Екі жұлдыз бір ұсыныс» |
https://onlinemektep.net/schedule/13.01.2021/lesson/c5fa25f2-0962-4684-a19e-0cfca0da10f4
Слайд |
|||||||||||||||||||
|
17 мин |
Бекіту тапсырмалары |
№1. Келесі
бұрыштардың а) б) №2. Радиандық өлшемі белгілі доғаның бұрыштық өлшемін градустық өлшеммен жаз: а)
№3.Кестені толтыр:
Оқулықпен жұмыс. №19.6, №19.9. «Сағат қанша болды?» (Топтық жұмыс): Тапсырма: Шебер шәкіртіне белгілі бір тапсырманы бергенде сағат 1100 болатын. Ол тапсырманы 1 сағат 20 минуттан кейін тексеретінін айтты. Осы уақыт ішінде сағат тілінің неше градусқа және радианға айналым жасайтынын анықтаңыздар |
бұрыштың градустық өлшемін радиандық өлшемге айналдырады Кестеге мұқият қарайды. 1-ші жол бойынша радиандық өлшем мен орналасу ширегін табады. 2-ші жолда ширекке қатысты оң немесе теріс өлшемдегі бұрышты жазып алып, сол арқылы екінші белгісізді анықтайды 3-ші жол бойынша градустық өлшем мен ширегін табады Оқулықтан есептер шығарады. Білім алушылар тапсырма шартына сәйкес сағат тілінің қанша градусты көрсетіп тұрғанын анықтап, оны радианға айналдырады
|
Дескриптор: Білім алушы 1.-градустық өлшемі бойынша радиандық өлшемді табады -қай ширекте орналасатынын анықтайды 2.-ІІ ширекте жататындай оң немесе теріс өлшемдегі бұрышты ойлап табады -алынған бұрыштың градустық немесе радиандық өлшемін табады 3.-радиандық өлшемі бойынша град. өлшемді табады -қай ширекте орналасатынын анықтайды ҚБ: «Плюс, минус, қызықты» әдісі арқылы оқушылар бірін бірі бағалайды |
Слайд Интернет ресурстары Жалпы білім беретін мектептің 9–сыныбына арналған оқулық. Оқулық авторлары: А.Е.Әбілқасымова, Т.П.Кучер, В.Е.Корчевский, З.Ә.Жұмағұлова Алматы «Мектеп» баспасы 2019 жыл
|
|||||||||||||||||||
|
10мин |
Жеке жұмыс |
Online-mektep |
Тапсырманы орындайды |
Мониторинг |
https://onlinemektep.net/schedule/13.01.2021/lesson/c5fa25f2-0962-4684-a19e-0cfca0da10f4 |
|||||||||||||||||||
|
2 минут |
|
Бүгінгі сабақта: -Бұрыштың радиандық өлшемі ұғымын меңгеру,есептер шығару; -Градусты радианға және радианды градусқа айнаалдыру тәсілдерін білу. Рефлексия:
Үйге тапсырма. №19.11. |
Тақырыпты меңгергенін анықтау . |
Кері байланыс |
Whatsapp қолдану |
|||||||||||||||||||
Сабақ жоспары
Бекітемін:
|
Мұғалімнің аты-жөні: |
|
|||||||||||||
|
Пән/Сынып: |
9 сынып |
|||||||||||||
|
Күні: |
. |
|||||||||||||
|
Тарау немесе бөлім атауы: |
9.3А Тригонометрия |
|||||||||||||
|
Сабақтың тақырыбы: |
Кез келген бұрыштың синусы, косинусы, тангенсі және котангенсі. Бұрыш синусының, косинусының, тангенсінің және котангенсінің мәндері |
|||||||||||||
|
Оқу мақсаты: |
9.2.4.1 тригонометриялық функциялардың анықтамаларын білу; |
|||||||||||||
|
Бағалау критериі: |
-Бұрышты градустық өлшемнен радиандық өлшемге айналдырады; -бірлік шеңберде радиандық және градустық өлшеммен берілген бұрыштарға сәйкес нүктелерді белгілейді; -Бірлік шеңбердегі нүктелердің координаталарын табады |
|||||||||||||
|
Саралап оқыту тапсырмалары |
||||||||||||||
|
Ұжымдық жұмыс Жаңа тақырыптың түсіндірілуі Сабақ мақсаты мен бағалау критерийлерін таныстыру; Бейнероликті қолдана отырып, бекіту тапсырмаларын орындату |
Бірлескен жұмыс (1,2 тапсырма) Тапсырманы ұсыну және дұрыс жауапты ұсыну арқылы үйрету Бекітуге арналғантапсырмаларды орындату; Тапсырмалардың жауаптарын жазу. |
Жеке жұмыс Тапсырманы ұсыну, оқушылар өз бетімен орындауы |
||||||||||||
|
Уақыты |
Кезең дері |
Педагогтің әрекеті |
Оқушының әрекеті |
Бағалау |
Ресурстар |
|||||||||
|
3 минут
|
Ұйымдастыру |
Сәлеметсіздерме! Атмосфералық жағдайды қалыптастыру. Бүгін, Кез келген бұрыштың синусы, косинусы, тангенсі және котангенсі. Бұрыш синусының, косинусының, тангенсінің және котангенсінің мәндері тақырыбын қарастырамыз Бүгінгі сабақта меңгеретініңіз: - кез келген бұрыштың тригонометриялық функцияларының анықтамалары. -бірлік шеңберде кез келген бұрыштың синусын, косинусын, тангенсін және котангенсін анықтау. |
Сұрақтарға жауап береді.
|
|
Whatsapp қолдану.
Интернет ресурстары
|
|||||||||
|
8 мин |
Жаңа сабақ |
|
Тақырып бойынша ресурстарды қарап, танысады
«Миға шабуыл» Бір оқушы тақырып бойынша бір тұжырым айтады. Оқушылар сұраққа жауап береді, жұмысты берілген түріне қарай орындайды |
Қосымша ақпарат көздерін пайдалана отырып түсінеді.
«Екі жұлдыз бір ұсыныс» |
https://onlinemektep.net/schedule/1610668800/lesson/b6402a4d-a569-4116-9a2a-1bf898f2f8ec
Слайд |
|||||||||
|
17 мин |
Бекіту тапсырмалары |
Оқулықпен жұмыс. №20.1, №20.3 |
бұрыштың градустық өлшемін радиандық өлшемге айналдырады
Оқулықтан есептер шығарады.
|
Дескриптор: Білім алушы Тригонометрия лық функциялардың анықтамаларын білді;
бірлік шеңбердегі
нүктелердің координаталары ( ҚБ: «Плюс, минус, қызықты» әдісі арқылы оқушылар бірін бірі бағалайды |
Слайд
Интернет ресурстары
Жалпы білім беретін мектептің 9–сыныбына арналған оқулық. Оқулық авторлары: А.Е.Әбілқасымова, Т.П.Кучер, В.Е.Корчевский, З.Ә.Жұмағұлова Алматы «Мектеп» баспасы 2019 жыл
|
|||||||||
|
10мин |
Жеке жұмыс |
Online-mektep |
Тапсырманы орындайды |
Мониторинг |
https://onlinemektep.net/schedule/1610668800/lesson/b6402a4d-a569-4116-9a2a-1bf898f2f8ec
|
|||||||||
|
2 минут
|
|
Бүгінгі сабақта: -Бұрыштың радиандық өлшемі ұғымын меңгеру,есептер шығару; -Градусты радианға және радианды градусқа айнаалдыру тәсілдерін білу. Рефлексия:
Үйге тапсырма. №20.5. |
Тақырыпты меңгергенін анықтау . |
Кері байланыс |
Whatsapp қолдану |
|||||||||
Сабақ жоспары
Бекітемін:
|
Мұғалімнің аты-жөні: |
|
|||||||
|
Пән/Сынып: |
9 сынып |
|||||||
|
Күні: |
|
|||||||
|
Тарау немесе бөлім атауы: |
9.3А Тригонометрия |
|||||||
|
Сабақтың тақырыбы: |
Кез келген бұрыштың синусы, косинусы, тангенсі және котангенсі. Бұрыш синусының, косинусының, тангенсінің және котангенсінің мәндері |
|||||||
|
Оқу мақсаты: |
9.2.4.2 бірлік шеңбердегі
нүктелердің координаталары ( |
|||||||
|
Бағалау критериі: |
-Бұрышты градустық өлшемнен радиандық өлшемге айналдырады; -бірлік шеңберде радиандық және градустық өлшеммен берілген бұрыштарға сәйкес нүктелерді белгілейді; -Бірлік шеңбердегі нүктелердің координаталарын табады |
|||||||
|
Саралап оқыту тапсырмалары |
||||||||
|
Ұжымдық жұмыс Жаңа тақырыптың түсіндірілуі Сабақ мақсаты мен бағалау критерийлерін таныстыру; Бейнероликті қолдана отырып, бекіту тапсырмаларын орындату |
Бірлескен жұмыс (1,2 тапсырма) Тапсырманы ұсыну және дұрыс жауапты ұсыну арқылы үйрету Бекітуге арналғантапсырмаларды орындату; Тапсырмалардың жауаптарын жазу. |
Жеке жұмыс Тапсырманы ұсыну, оқушылар өз бетімен орындауы |
||||||
|
Уақыты |
Кезең дері |
Педагогтің әрекеті |
Оқушының әрекеті |
Бағалау |
Ресурстар |
|||
|
3 минут
|
Ұйымдастыру |
Сәлеметсіздерме! Атмосфералық жағдайды қалыптастыру. Бүгін, Кез келген бұрыштың синусы, косинусы, тангенсі және котангенсі. Бұрыш синусының, косинусының, тангенсінің және котангенсінің мәндері тақырыбын қарастырамыз Бүгінгі сабақта меңгеретініңіз: - кез келген бұрыштың тригонометриялық функцияларының анықтамалары. -бірлік шеңберде кез келген бұрыштың синусын, косинусын, тангенсін және котангенсін анықтау. |
Сұрақтарға жауап береді.
|
|
Whatsapp қолдану.
Интернет ресурстары
|
|||
|
8 мин |
Жаңа сабақ |
|
Тақырып бойынша ресурстарды қарап, танысады
«Миға шабуыл» Бір оқушы тақырып бойынша бір тұжырым айтады. Оқушылар сұраққа жауап береді, жұмысты берілген түріне қарай орындайды |
Қосымша ақпарат көздерін пайдалана отырып түсінеді.
«Екі жұлдыз бір ұсыныс» |
https://onlinemektep.net/schedule/1610668800/lesson/b6402a4d-a569-4116-9a2a-1bf898f2f8ec
Слайд |
|||
|
17 мин |
Бекіту тапсырмалары |
Оқулықпен жұмыс. №20.6, №20.8 |
бұрыштың градустық өлшемін радиандық өлшемге айналдырады
Оқулықтан есептер шығарады.
|
Дескриптор: Білім алушы Тригонометрия лық функциялардың анықтамаларын білді;
бірлік шеңбердегі
нүктелердің координаталары ( ҚБ: «Плюс, минус, қызықты» әдісі арқылы оқушылар бірін бірі бағалайды |
Слайд
Интернет ресурстары
Жалпы білім беретін мектептің 9–сыныбына арналған оқулық. Оқулық авторлары: А.Е.Әбілқасымова, Т.П.Кучер, В.Е.Корчевский, З.Ә.Жұмағұлова Алматы «Мектеп» баспасы 2019 жыл
|
|||
|
10мин |
Жеке жұмыс |
Online-mektep |
Тапсырманы орындайды |
Мониторинг |
https://onlinemektep.net/schedule/1610668800/lesson/b6402a4d-a569-4116-9a2a-1bf898f2f8ec
|
|||
|
2 минут
|
|
Бүгінгі сабақта: -Бұрыштың радиандық өлшемі ұғымын меңгеру,есептер шығару; -Градусты радианға және радианды градусқа айнаалдыру тәсілдерін білу. Рефлексия:
Үйге тапсырма. №20.17, №20.19. |
Тақырыпты меңгергенін анықтау
. |
Кері байланыс |
Whatsapp қолдану
|
|||
Сабақ жоспары
Бекітемін:
|
Мұғалімнің аты-жөні: |
|
|||||||
|
Пән/Сынып: |
9 сынып |
|||||||
|
Күні: |
|
|||||||
|
Тарау немесе бөлім атауы: |
9.3А Тригонометрия |
|||||||
|
Сабақтың тақырыбы: |
Тригонометриялық функциялар және олардың қасиеттері |
|||||||
|
Оқу мақсаты: |
9.2.4.5 бірлік шеңбердің көмегімен тригонометриялық функциялардың анықталу облысы мен мәндер жиынын табу; |
|||||||
|
Бағалау критериі: |
-Бұрышты градустық өлшемнен радиандық өлшемге айналдырады; -бірлік шеңберде радиандық және градустық өлшеммен берілген бұрыштарға сәйкес нүктелерді белгілейді; -Бірлік шеңбердегі нүктелердің координаталарын табады |
|||||||
|
Саралап оқыту тапсырмалары |
||||||||
|
Ұжымдық жұмыс Жаңа тақырыптың түсіндірілуі Сабақ мақсаты мен бағалау критерийлерін таныстыру; Бейнероликті қолдана отырып, бекіту тапсырмаларын орындату |
Бірлескен жұмыс (1,2 тапсырма) Тапсырманы ұсыну және дұрыс жауапты ұсыну арқылы үйрету Бекітуге арналғантапсырмаларды орындату; Тапсырмалардың жауаптарын жазу. |
Жеке жұмыс Тапсырманы ұсыну, оқушылар өз бетімен орындауы |
||||||
|
Уақыты |
Кезең дері |
Педагогтің әрекеті |
Оқушының әрекеті |
Бағалау |
Ресурстар |
|||
|
3 минут
|
Ұйымдастыру |
Сәлеметсіздерме! Атмосфералық жағдайды қалыптастыру. Бүгін, Тригонометриялық функциялар және олардың қасиеттері тақырыбын қарастырамыз Бүгінгі сабақта меңгеретініңіз: - тригонометриялық функциялардың анықталу облысы мен мәндерінің жиыны. -бірлік шеңбердің көмегімен тригонометриялық функциялардың анықталу облысы мен мәндерінің жиынын анықтау. |
Сұрақтарға жауап береді.
|
|
Whatsapp қолдану.
Интернет ресурстары
|
|||
|
8 мин |
Жаңа сабақ |
|
Тақырып бойынша ресурстарды қарап, танысады
|
Қосымша ақпарат көздерін пайдалана отырып түсінеді.
«Екі жұлдыз бір ұсыныс» |
https://onlinemektep.net/schedule/1610668800/lesson/b6402a4d-a569-4116-9a2a-1bf898f2f8ec
Слайд |
|||
|
17 мин |
Бекіту тапсырмалары |
Тапсырмалар
Оқулықтан №21.1. |
тригонометриялық функциялардың қасиеттеріне есептер шығарады
Оқулықтан есептер шығарады.
|
Дескриптор: Білім алушы Тригонометрия лық функциялардың қасиеттерін білді;
бірлік шеңбердегі
нүктелердің координаталары ( ҚБ: «Плюс, минус, қызықты» әдісі арқылы оқушылар бірін бірі бағалайды |
Слайд
Интернет ресурстары
Жалпы білім беретін мектептің 9–сыныбына арналған оқулық. Оқулық авторлары: А.Е.Әбілқасымова, Т.П.Кучер, В.Е.Корчевский, З.Ә.Жұмағұлова Алматы «Мектеп» баспасы 2019 жыл
|
|||
|
10мин |
Жеке жұмыс |
Online-mektep |
Тапсырманы орындайды |
Мониторинг |
https://onlinemektep.net/schedule/1610668800/lesson/b6402a4d-a569-4116-9a2a-1bf898f2f8ec
|
|||
|
2 минут
|
|
Бүгінгі сабақта: - тригонометриялық функциялардың анықталу облысы мен мәндерінің жиыны. -бірлік шеңбердің көмегімен тригонометриялық функциялардың анықталу облысы мен мәндерінің жиынын анықтау.
Р
Үйге тапсырма. №21.2 |
Тақырыпты меңгергенін анықтау
. |
Кері байланыс |
Whatsapp қолдану
|
|||
Сабақ жоспары
Бекітемін:
|
Мұғалімнің аты-жөні: |
|
|||||||||||||
|
Пән/Сынып: |
9 сынып |
|||||||||||||
|
Күні: |
. |
|||||||||||||
|
Тарау немесе бөлім атауы: |
9.3А Тригонометрия |
|||||||||||||
|
Сабақтың тақырыбы: |
Тригонометриялық функциялар және олардың қасиеттері |
|||||||||||||
|
Оқу мақсаты: |
9.2.4.5 бірлік шеңбердің көмегімен тригонометриялық функциялардың анықталу облысы мен мәндер жиынын табу; |
|||||||||||||
|
Бағалау критериі: |
-Бұрышты градустық өлшемнен радиандық өлшемге айналдырады; -бірлік шеңберде радиандық және градустық өлшеммен берілген бұрыштарға сәйкес нүктелерді белгілейді; -Бірлік шеңбердегі нүктелердің координаталарын табады |
|||||||||||||
|
Саралап оқыту тапсырмалары |
||||||||||||||
|
Ұжымдық жұмыс Жаңа тақырыптың түсіндірілуі Сабақ мақсаты мен бағалау критерийлерін таныстыру; Бейнероликті қолдана отырып, бекіту тапсырмаларын орындату |
Бірлескен жұмыс (1,2 тапсырма) Тапсырманы ұсыну және дұрыс жауапты ұсыну арқылы үйрету Бекітуге арналғантапсырмаларды орындату; Тапсырмалардың жауаптарын жазу. |
Жеке жұмыс Тапсырманы ұсыну, оқушылар өз бетімен орындауы |
||||||||||||
|
Уақыты |
Кезең дері |
Педагогтің әрекеті |
Оқушының әрекеті |
Бағалау |
Ресурстар |
|||||||||
|
3 минут
|
Ұйымдастыру |
Сәлеметсіздерме! Атмосфералық жағдайды қалыптастыру. Бүгін, Тригонометриялық функциялар және олардың қасиеттері тақырыбын қарастырамыз Бүгінгі сабақта меңгеретініңіз: - тригонометриялық функциялардың анықталу облысы мен мәндерінің жиыны. -бірлік шеңбердің көмегімен тригонометриялық функциялардың анықталу облысы мен мәндерінің жиынын анықтау. |
Сұрақтарға жауап береді.
|
|
Whatsapp қолдану.
Интернет ресурстары
|
|||||||||
|
8 мин |
Жаңа сабақ |
|
Тақырып бойынша ресурстарды қарап, танысады
|
Қосымша ақпарат көздерін пайдалана отырып түсінеді.
«Екі жұлдыз бір ұсыныс» |
https://onlinemektep.net/schedule/1610668800/lesson/b6402a4d-a569-4116-9a2a-1bf898f2f8ec
Слайд |
|||||||||
|
17 мин |
Бекіту тапсырмалары |
Тапсырмалар
Оқулықтан №21.4, №21.5. |
тригонометриялық функциялардың қасиеттеріне есептер шығарады
Оқулықтан есептер шығарады.
|
Дескриптор: Дескриптор: Білім алушы -бірлік шеңбердің көмегімен тригонометрия лық функциялардың анықталу облысы таба білді; бірлік шеңбердің көмегімен тригонометрия лық функциялардың мәндер жиынын таба білді. ҚБ: «Плюс, минус, қызықты» әдісі арқылы оқушылар бірін бірі бағалайды |
Слайд
Интернет ресурстары
Жалпы білім беретін мектептің 9–сыныбына арналған оқулық. Оқулық авторлары: А.Е.Әбілқасымова, Т.П.Кучер, В.Е.Корчевский, З.Ә.Жұмағұлова Алматы «Мектеп» баспасы 2019 жыл
|
|||||||||
|
10мин |
Жеке жұмыс |
Online-mektep |
Тапсырманы орындайды |
Мониторинг |
https://onlinemektep.net/schedule/1610668800/lesson/b6402a4d-a569-4116-9a2a-1bf898f2f8ec
|
|||||||||
|
2 минут
|
|
Бүгінгі сабақта: - тригонометриялық функциялардың анықталу облысы мен мәндерінің жиыны. -бірлік шеңбердің көмегімен тригонометриялық функциялардың анықталу облысы мен мәндерінің жиынын анықтау. Рефлексия:
Үйге тапсырма. №21.9 |
Тақырыпты меңгергенін анықтау . |
Кері байланыс |
Whatsapp қолдану |
|||||||||
Сабақ жоспары
Бекітемін:
|
Мұғалімнің аты-жөні: |
|
|||||||||||||||||||||||||||||||||||||||||||||||||||||||||||||||||||||||
|
Пән/Сынып: |
9 сынып |
|||||||||||||||||||||||||||||||||||||||||||||||||||||||||||||||||||||||
|
Күні: |
|
|||||||||||||||||||||||||||||||||||||||||||||||||||||||||||||||||||||||
|
Тарау немесе бөлім атауы: |
9.3А Тригонометрия |
|||||||||||||||||||||||||||||||||||||||||||||||||||||||||||||||||||||||
|
Сабақтың тақырыбы: |
Тригонометриялық функциялар және олардың қасиеттері |
|||||||||||||||||||||||||||||||||||||||||||||||||||||||||||||||||||||||
|
Оқу мақсаты: |
9.2.4.5 бірлік шеңбердің көмегімен тригонометриялық функциялардың анықталу облысы мен мәндер жиынын табу; |
|||||||||||||||||||||||||||||||||||||||||||||||||||||||||||||||||||||||
|
Бағалау критериі: |
-Бұрышты градустық өлшемнен радиандық өлшемге айналдырады; -бірлік шеңберде радиандық және градустық өлшеммен берілген бұрыштарға сәйкес нүктелерді белгілейді; -Бірлік шеңбердегі нүктелердің координаталарын табады |
|||||||||||||||||||||||||||||||||||||||||||||||||||||||||||||||||||||||
|
Саралап оқыту тапсырмалары |
||||||||||||||||||||||||||||||||||||||||||||||||||||||||||||||||||||||||
|
Ұжымдық жұмыс Жаңа тақырыптың түсіндірілуі Сабақ мақсаты мен бағалау критерийлерін таныстыру; Бейнероликті қолдана отырып, бекіту тапсырмаларын орындату |
Бірлескен жұмыс (1,2 тапсырма) Тапсырманы ұсыну және дұрыс жауапты ұсыну арқылы үйрету Бекітуге арналғантапсырмаларды орындату; Тапсырмалардың жауаптарын жазу. |
Жеке жұмыс Тапсырманы ұсыну, оқушылар өз бетімен орындауы |
||||||||||||||||||||||||||||||||||||||||||||||||||||||||||||||||||||||
|
Уақыты |
Кезең дері |
Педагогтің әрекеті |
Оқушының әрекеті |
Бағалау |
Ресурстар |
|||||||||||||||||||||||||||||||||||||||||||||||||||||||||||||||||||
|
3 минут
|
Ұйымдастыру |
Сәлеметсіздерме! Атмосфералық жағдайды қалыптастыру. Бүгін, Тригонометриялық функциялар және олардың қасиеттері тақырыбын қарастырамыз Бүгінгі сабақта меңгеретініңіз: - тригонометриялық функциялардың анықталу облысы мен мәндерінің жиыны. -бірлік шеңбердің көмегімен тригонометриялық функциялардың анықталу облысы мен мәндерінің жиынын анықтау. |
Сұрақтарға жауап береді.
|
|
Whatsapp қолдану.
Интернет ресурстары
|
|||||||||||||||||||||||||||||||||||||||||||||||||||||||||||||||||||
|
8 мин |
Жаңа сабақ |
Еске түсіру. Тригонометриялық функциялардың таңбалары
Тригонометриялық функциялардың қасиеттері 1) Әрбір ширектегі тригонометриялық функциялардың таңбалары 2) Тригонометриялық функциялардың периодтылығы және тақ-жұптығы: y=sinα; y=cosα ; y=tgα ; y=ctgα – периодты функциялар. cos(-α) = cosα – жұп sin(-α) = - sinα; tg(-α)=-tg α; ctg(-α)=-ctg α - тақ |
Тақырып бойынша ресурстарды қарап, танысады
|
Қосымша ақпарат көздерін пайдалана отырып түсінеді. «Екі жұлдыз бір ұсыныс» |
https://onlinemektep.net/schedule/1610668800/lesson/b6402a4d-a569-4116-9a2a-1bf898f2f8ec Слайд |
|||||||||||||||||||||||||||||||||||||||||||||||||||||||||||||||||||
|
17 мин |
Бекіту тапсырмалары |
Тапсырмалар 1-тапсырма. Оқушы берілген функциялардың таңбаларын дұрыс анықтайды А деңгейдегі тапсырма. Әр оқушыға кесте беріледі. Төмендегі берілген бұрыштар үшін тригонометриялық функциялардың таңбаларын анықтау:
«Екі жалған, бір шындық»әдісі. Өрнектердің ішінен дұрысы мен дұрыс еместерін анықтайды sin45 0 =1 sin30 0 =1 sin90 0 =1 cos 45 0=1 cos 900=1 tg 30 0 =√3/3 tg45 0 =√3/3 60 0 =√3/3 . ctg45 0 =√3 ctg30 0 =√3 ctg90 0 =√3 sin45 0 =0 sin45 0 =1 sin 45 0 =√2/2. cos60 0 =√3/2 cos60 0 =1/2 cos60 =√2/2 Оқулықтан №21.6, №21.11. |
тригонометриялық функциялардың қасиеттеріне есептер шығарады Оқулықтан есептер шығарады. |
Дескриптор: Білім алушы - берілген функциялардың таңбаларын дұрыс анықтайды ҚБ: «Плюс, минус, қызықты» әдісі арқылы оқушылар бірін бірі бағалайды |
Слайд Интернет ресурстары Жалпы білім беретін мектептің 9–сыныбына арналған оқулық. Оқулық авторлары: А.Е.Әбілқасымова, Т.П.Кучер, В.Е.Корчевский, З.Ә.Жұмағұлова Алматы «Мектеп» баспасы 2019 жыл
|
|||||||||||||||||||||||||||||||||||||||||||||||||||||||||||||||||||
|
10мин |
Жеке жұмыс |
Online-mektep |
Тапсырманы орындайды |
Мониторинг |
https://onlinemektep.net/schedule/1610668800/lesson/b6402a4d-a569-4116-9a2a-1bf898f2f8ec |
|||||||||||||||||||||||||||||||||||||||||||||||||||||||||||||||||||
|
2 минут |
|
Бүгінгі сабақта: - тригонометриялық функциялардың анықталу облысы мен мәндерінің жиыны. -бірлік шеңбердің көмегімен тригонометриялық функциялардың анықталу облысы мен мәндерінің жиынын анықтау. Рефлексия:
Үйге тапсырма. №21.12 |
Тақырыпты меңгергенін анықтау . |
Кері байланыс |
Whatsapp қолдану |
|||||||||||||||||||||||||||||||||||||||||||||||||||||||||||||||||||
Сабақ жоспары
Бекітемін:
|
Мұғалімнің аты-жөні: |
|
|||||||||||||||||||||||||||||||||||||
|
Пән/Сынып: |
9 сынып |
|||||||||||||||||||||||||||||||||||||
|
Күні: |
|
|||||||||||||||||||||||||||||||||||||
|
Тарау немесе бөлім атауы: |
9.3А Тригонометрия |
|||||||||||||||||||||||||||||||||||||
|
Сабақтың тақырыбы: |
Тригонометриялық функциялар және олардың қасиеттері |
|||||||||||||||||||||||||||||||||||||
|
Оқу мақсаты: |
9.2.4.5 бірлік шеңбердің көмегімен тригонометриялық функциялардың анықталу облысы мен мәндер жиынын табу; |
|||||||||||||||||||||||||||||||||||||
|
Бағалау критериі: |
-Бұрышты градустық өлшемнен радиандық өлшемге айналдырады; -бірлік шеңберде радиандық және градустық өлшеммен берілген бұрыштарға сәйкес нүктелерді белгілейді; -Бірлік шеңбердегі нүктелердің координаталарын табады |
|||||||||||||||||||||||||||||||||||||
|
Саралап оқыту тапсырмалары |
||||||||||||||||||||||||||||||||||||||
|
Ұжымдық жұмыс Жаңа тақырыптың түсіндірілуі Сабақ мақсаты мен бағалау критерийлерін таныстыру; Бейнероликті қолдана отырып, бекіту тапсырмаларын орындату |
Бірлескен жұмыс (1,2 тапсырма) Тапсырманы ұсыну және дұрыс жауапты ұсыну арқылы үйрету Бекітуге арналғантапсырмаларды орындату; Тапсырмалардың жауаптарын жазу. |
Жеке жұмыс Тапсырманы ұсыну, оқушылар өз бетімен орындауы |
||||||||||||||||||||||||||||||||||||
|
Уақыты |
Кезең дері |
Педагогтің әрекеті |
Оқушының әрекеті |
Бағалау |
Ресурстар |
|||||||||||||||||||||||||||||||||
|
3 минут
|
Ұйымдастыру |
Сәлеметсіздерме! Атмосфералық жағдайды қалыптастыру. Бүгін, Тригонометриялық функциялар және олардың қасиеттері тақырыбын қарастырамыз. Бүгінгі сабақта меңгеретініңіз: - тригонометриялық функциялардың анықталу облысы мен мәндерінің жиыны. -бірлік шеңбердің көмегімен тригонометриялық функциялардың анықталу облысы мен мәндерінің жиынын анықтау. |
Сұрақтарға жауап береді.
|
|
Whatsapp қолдану.
Интернет ресурстары
|
|||||||||||||||||||||||||||||||||
|
8 мин |
Жаңа сабақ |
Еске түсіру. Тригонометриялық функциялардың таңбалары
Тригонометриялық функциялардың қасиеттері 1) Әрбір ширектегі тригонометриялық функциялардың таңбалары 2) Тригонометриялық функциялардың периодтылығы және тақ-жұптығы: y=sinα; y=cosα ; y=tgα ; y=ctgα – периодты функциялар. cos(-α) = cosα – жұп sin(-α) = - sinα; tg(-α)=-tg α; ctg(-α)=-ctg α - тақ |
Тақырып бойынша ресурстарды қарап, танысады
|
Қосымша ақпарат көздерін пайдалана отырып түсінеді. «Екі жұлдыз бір ұсыныс» |
https://onlinemektep.net/schedule/27.01.2021/lesson/11b67eb3-3913-4df0-be02-f7d8e5694983 Слайд |
|||||||||||||||||||||||||||||||||
|
17 мин |
Бекіту тапсырмалары |
Оқулықтан №21.12, №21.14. |
тригонометриялық функциялардың қасиеттеріне есептер шығарады Оқулықтан есептер шығарады. |
Дескриптор: Білім алушы - берілген функциялардың таңбаларын дұрыс анықтайды ҚБ: «Плюс, минус, қызықты» әдісі арқылы оқушылар бірін бірі бағалайды |
Слайд Интернет ресурстары Жалпы білім беретін мектептің 9–сыныбына арналған оқулық. Оқулық авторлары: А.Е.Әбілқасымова, Т.П.Кучер, В.Е.Корчевский, З.Ә.Жұмағұлова Алматы «Мектеп» баспасы 2019 жыл
|
|||||||||||||||||||||||||||||||||
|
10мин |
Жеке жұмыс |
Online-mektep |
Тапсырманы орындайды |
Мониторинг |
https://onlinemektep.net/schedule/27.01.2021/lesson/11b67eb3-3913-4df0-be02-f7d8e5694983 |
|||||||||||||||||||||||||||||||||
|
2 минут |
|
Бүгінгі сабақта: - тригонометриялық функциялардың анықталу облысы мен мәндерінің жиыны. -бірлік шеңбердің көмегімен тригонометриялық функциялардың анықталу облысы мен мәндерінің жиынын анықтау.
Рефлексия:
|
Тақырыпты меңгергенін анықтау . |
Кері байланыс |
Whatsapp қолдану |
|||||||||||||||||||||||||||||||||
Сабақ жоспары
Бекітемін:
|
Мұғалімнің аты-жөні: |
|
|||||||
|
Пән/Сынып: |
9 сынып |
|||||||
|
Күні: |
|
|||||||
|
Тарау немесе бөлім атауы: |
9.3А Тригонометрия |
|||||||
|
Сабақтың тақырыбы: |
Тригонометрия формулалары.Екі бұрыштың қосындысы мен айырмасының тригонометриялық формулалары. |
|||||||
|
Оқу мақсаты: |
9.2.4.3 бұрыштардың қосындысы мен айырымының, жарты және қос бұрыштың тригонометриялық формулаларын қорытып шығару және қолдану; |
|||||||
|
Бағалау критериі: |
Қосу формулалары туралы түсінік беріп, екі бұрыштың қосындысы мен айырымының формулаларын қорытып шығару жолдарын үйрету; |
|||||||
|
Саралап оқыту тапсырмалары |
||||||||
|
Ұжымдық жұмыс Жаңа тақырыптың түсіндірілуі Сабақ мақсаты мен бағалау критерийлерін таныстыру; Бейнероликті қолдана отырып, бекіту тапсырмаларын орындату |
Бірлескен жұмыс (1,2 тапсырма) Тапсырманы ұсыну және дұрыс жауапты ұсыну арқылы үйрету Бекітуге арналғантапсырмаларды орындату; Тапсырмалардың жауаптарын жазу. |
Жеке жұмыс Тапсырманы ұсыну, оқушылар өз бетімен орындауы |
||||||
|
Уақыты |
Кезең дері |
Педагогтің әрекеті |
Оқушының әрекеті |
Бағалау |
Ресурстар |
|||
|
3 минут
|
Ұйымдастыру |
Сәлеметсіздерме! Атмосфералық жағдайды қалыптастыру. Бүгін, Тригонометрия формулалары.Екі бұрыштың қосындысы мен айырмасының тригонометриялық формулалары. тақырыбын қарастырамыз Бүгінгі сабақта меңгеретініңіз: - бұрыштардың қосындысы мен айырымының тригонометриялық формулалары. - бұрыштардың қосындысы мен айырымының тригонометриялық формулаларын қолдану. |
Сұрақтарға жауап береді.
|
|
Whatsapp қолдану.
Интернет ресурстары
|
|||
|
8 мин |
Жаңа сабақ |
cos(α – β)=cosα cosβ + sinα sinβ (1) Екі бұрыштың айырымының косинусы осы бұрыштардың косинустарының көбейтіндісі мен синустарының көбейтіндісінің қосындысына тең. cos(α + β)=cosα cosβ – sinα sinβ (2)
Екі бұрыштың қосындысының косинусы осы бұрыштардың косинустарының көбейтіндісі мен синустарының көбейтіндісінің айырымына тең. Келтіру формулаларын қолдансақ: sin (α + β)= sinα cosβ + cosα sinβ (3) Екі бұрыштың қосындысының синусы бірінші бұрыштың синусы мен екінші бұрыштың косинусының көбейтіндісіне бірінші бұрыштың косинусы мен екінші бұрыштың синусы көбейтіндісін қосқанға тең. sin (α – β)= sinα cosβ – cosα sinβ (4) екі бұрыштың айырымының синусы бірінші бұрыштың синусының екінші бұрыштың косинусына көбейтіндісі мен бірінші бұрыштың косинусының екінші бұрыштың синусына көбейтіндісінің айырымына тең.
tg
(α+β)=
tg
(α
–
β)=
ctg(α
+
β)=
ctg(α
–
β)=
|
Қосымша ақпарат көздерін пайдалана отырып түсінеді
Тақырып бойынша ресурстарды қарап, танысады
|
«Екі жұлдыз бір ұсыныс» |
https://onlinemektep.net/schedule/29.01.2021/lesson/94b1de8b-d60e-4708-aa86-625761eaaa5c
Слайд |
|||
|
17 мин |
Бекіту тапсырмалары |
Есептер шығару. №1 .
№ 2.
1.
sin1500=
sin(
2.cos1500=
cos( № 3. cos1030 cos130 + sin1030 sinβ130 =cos(1030 – 130)=cos 900 =0
cos150
cos300
–
sin300
sinβ150
=cos(150
+
300)=cos
450
= sin510 cos390 + cos510 sin390=sin(510+390)=sin900=1
sin630
cos330
–
cos630
sin330=sin(630+330)=sin300= Оқулықтан №24.1 /1,3,5/ №24.2 /2,4/ |
Берілген тапсырма бойынша өз ойларын ортаға салып, пікірлерін білдіріп, жұптық талдау жасайды. Талқылау нәтижесінде өзара бір келісімге келіп есепті орындайды.
Оқулықтан есептер шығарады.
|
Дескриптор: - Екі бұрыштың қосындысы мен айырмасының тригонометрия лық формулаларын қолданады. ҚБ: «Плюс, минус, қызықты» әдісі арқылы оқушылар бірін бірі бағалайды |
Слайд
Интернет ресурстары
Жалпы білім беретін мектептің 9–сыныбына арналған оқулық. Оқулық авторлары: А.Е.Әбілқасымова, Т.П.Кучер, В.Е.Корчевский, З.Ә.Жұмағұлова Алматы «Мектеп» баспасы 2019 жыл
|
|||
|
10мин |
Жеке жұмыс |
Online-mektep |
Тапсырманы орындайды |
Мониторинг |
https://onlinemektep.net/schedule/29.01.2021/lesson/94b1de8b-d60e-4708-aa86-625761eaaa5c
|
|||
|
2 минут
|
|
Бүгінгі сабақта: - бұрыштардың қосындысы мен айырымының тригонометриялық формулалары. - бұрыштардың қосындысы мен айырымының тригонометриялық формулаларын қолдану. Рефлексия: Сөйлемді толықтыр. бүгінгі сабақта мен....түсіндім, ...білдім, ....көзімді жеткіздім. мен өзімді.....үшін мақтар едім. сабақтан соң маған........келді. бүгін маған..........сәті түсті. ......қиындық тудырды. менің түсінгенім..... енді мен......аламын. Үйге тапсырма. № 24.1/2,4,6/, №24.2 /1,3/. |
Тақырыпты меңгергенін анықтау
. |
Кері байланыс |
Whatsapp қолдану
|
|||
Сабақ жоспары
Бекітемін:
|
Мұғалімнің аты-жөні: |
|
|||||||
|
Пән/Сынып: |
9 сынып |
|||||||
|
Күні: |
|
|||||||
|
Тарау немесе бөлім атауы: |
9.3А Тригонометрия |
|||||||
|
Сабақтың тақырыбы: |
Екі бұрыштың қосындысы мен айырмасының тригонометриялық формулалары. |
|||||||
|
Оқу мақсаты: |
9.2.4.3 бұрыштардың қосындысы мен айырымының, жарты және қос бұрыштың тригонометриялық формулаларын қорытып шығару және қолдану; |
|||||||
|
Бағалау критериі: |
Қосу формулалары туралы түсінік беріп, екі бұрыштың қосындысы мен айырымының формулаларын қорытып шығару жолдарын үйрету; |
|||||||
|
Саралап оқыту тапсырмалары |
||||||||
|
Ұжымдық жұмыс Жаңа тақырыптың түсіндірілуі Сабақ мақсаты мен бағалау критерийлерін таныстыру; Бейнероликті қолдана отырып, бекіту тапсырмаларын орындату |
Бірлескен жұмыс (1,2 тапсырма) Тапсырманы ұсыну және дұрыс жауапты ұсыну арқылы үйрету Бекітуге арналғантапсырмаларды орындату; Тапсырмалардың жауаптарын жазу. |
Жеке жұмыс Тапсырманы ұсыну, оқушылар өз бетімен орындауы |
||||||
|
Уақыты |
Кезең дері |
Педагогтің әрекеті |
Оқушының әрекеті |
Бағалау |
Ресурстар |
|||
|
3 минут
|
Ұйымдастыру |
Сәлеметсіздерме! Атмосфералық жағдайды қалыптастыру. Бүгін, Тригонометрия формулалары.Екі бұрыштың қосындысы мен айырмасының тригонометриялық формулалары. тақырыбын қарастырамыз Бүгінгі сабақта меңгеретініңіз: - бұрыштардың қосындысы мен айырымының тригонометриялық формулалары. - бұрыштардың қосындысы мен айырымының тригонометриялық формулаларын қолдану. |
Сұрақтарға жауап береді.
|
|
Whatsapp қолдану.
Интернет ресурстары
|
|||
|
8 мин |
Жаңа сабақ |
cos(α – β)=cosα cosβ + sinα sinβ (1) Екі бұрыштың айырымының косинусы осы бұрыштардың косинустарының көбейтіндісі мен синустарының көбейтіндісінің қосындысына тең. cos(α + β)=cosα cosβ – sinα sinβ (2)
Екі бұрыштың қосындысының косинусы осы бұрыштардың косинустарының көбейтіндісі мен синустарының көбейтіндісінің айырымына тең. Келтіру формулаларын қолдансақ: sin (α + β)= sinα cosβ + cosα sinβ (3) Екі бұрыштың қосындысының синусы бірінші бұрыштың синусы мен екінші бұрыштың косинусының көбейтіндісіне бірінші бұрыштың косинусы мен екінші бұрыштың синусы көбейтіндісін қосқанға тең. sin (α – β)= sinα cosβ – cosα sinβ (4) екі бұрыштың айырымының синусы бірінші бұрыштың синусының екінші бұрыштың косинусына көбейтіндісі мен бірінші бұрыштың косинусының екінші бұрыштың синусына көбейтіндісінің айырымына тең.
tg
(α+β)=
tg
(α
–
β)=
ctg(α
+
β)=
ctg(α
–
β)=
|
Қосымша ақпарат көздерін пайдалана отырып түсінеді
Тақырып бойынша ресурстарды қарап, танысады
|
«Екі жұлдыз бір ұсыныс» |
https://onlinemektep.net/schedule/01.02.2021/lesson/9978fca1-e407-433a-aedf-49e0c9fa3313
Слайд |
|||
|
17 мин |
Бекіту тапсырмалары |
Есептер шығару.
Оқулықтан №24.3, №24.6
|
Берілген тапсырма бойынша өз ойларын ортаға салып, пікірлерін білдіріп, жұптық талдау жасайды. Талқылау нәтижесінде өзара бір келісімге келіп есепті орындайды.
Оқулықтан есептер шығарады.
|
Дескриптор: -негізгі тригонометрія лық тепе-теңдік формуласын қолданады Дескриптор: - Екі бұрыштың қосындысы мен айырмасының тригонометрия лық формулаларын қолданады. ҚБ: «Плюс, минус, қызықты» әдісі арқылы оқушылар бірін бірі бағалайды |
Слайд
Интернет ресурстары
Жалпы білім беретін мектептің 9–сыныбына арналған оқулық. Оқулық авторлары: А.Е.Әбілқасымова, Т.П.Кучер, В.Е.Корчевский, З.Ә.Жұмағұлова Алматы «Мектеп» баспасы 2019 жыл
|
|||
|
10мин |
Жеке жұмыс |
Online-mektep |
Тапсырманы орындайды |
Мониторинг |
https://onlinemektep.net/schedule/01.02.2021/lesson/9978fca1-e407-433a-aedf-49e0c9fa331
|
|||
|
2 минут
|
|
Бүгінгі сабақта: - бұрыштардың қосындысы мен айырымының тригонометриялық формулалары. - бұрыштардың қосындысы мен айырымының тригонометриялық формулаларын қолдану. Рефлексия:
«Математикалық
тілде» Үйге тапсырма. № 24.5 |
Тақырыпты меңгергенін анықтау
. |
Кері байланыс |
Whatsapp қолдану
|
|||
Сабақ жоспары
Бекітемін:
|
Мұғалімнің аты-жөні: |
|
|||||||
|
Пән/Сынып: |
9 сынып |
|||||||
|
Күні: |
|
|||||||
|
Тарау немесе бөлім атауы: |
9.3А Тригонометрия |
|||||||
|
Сабақтың тақырыбы: |
Қосбұрыштың тригонометриялық формулалары. |
|||||||
|
Оқу мақсаты: |
9.2.4.3 бұрыштардың қосындысы мен айырымының, жарты және қос бұрыштың тригонометриялық формулаларын қорытып шығару және қолдану; |
|||||||
|
Бағалау критериі: |
1.Екі еселі бұрыш формулаларын қортып шығарады; 2.Екі еселі бұрыш формулаларын пайдаланып, есептер шығарады; |
|||||||
|
Саралап оқыту тапсырмалары |
||||||||
|
Ұжымдық жұмыс Жаңа тақырыптың түсіндірілуі Сабақ мақсаты мен бағалау критерийлерін таныстыру; Бейнероликті қолдана отырып, бекіту тапсырмаларын орындату |
Бірлескен жұмыс (1,2 тапсырма) Тапсырманы ұсыну және дұрыс жауапты ұсыну арқылы үйрету Бекітуге арналғантапсырмаларды орындату; Тапсырмалардың жауаптарын жазу. |
Жеке жұмыс Тапсырманы ұсыну, оқушылар өз бетімен орындауы |
||||||
|
Уақыты |
Кезең дері |
Педагогтің әрекеті |
Оқушының әрекеті |
Бағалау |
Ресурстар |
|||
|
3 минут
|
Ұйымдастыру |
Сәлеметсіздерме! Атмосфералық жағдайды қалыптастыру. Бүгін, Қосбұрыштың тригонометриялық формулалары тақырыбын қарастырамыз Бүгінгі сабақта меңгеретініңіз: -қос бұрыштың тригонометриялық формулалары. -қос бұрыштың тригонометриялық формулаларын қолдану. |
Сұрақтарға жауап береді.
|
|
Whatsapp қолдану.
Интернет ресурстары
|
|||
|
8 мин |
Жаңа сабақ |
Жаңа тақырып 1.Егер қосу
формулаларында
Сынама сұрақ: 2.
Неге 2 3. Бүгінгі сабағымыздың тақырыбы неге байланысты? (Осы сұрақтардан кейін сабақтың тақырыбы ашылуы тиіс) Мадақтау арқылы бағаланады Қос бұрыштың формулаларын қортып шығару оқушыларға тапсырылады.
Мысалы, қос бұрыштың формуласын қолдануға:
2. Есептеңіз:
|
Қосымша ақпарат көздерін пайдалана отырып түсінеді
Тақырып бойынша ресурстарды қарап, танысады
|
«Екі жұлдыз бір ұсыныс» |
https://onlinemektep.net/schedule/01.02.2021/lesson/9978fca1-e407-433a-aedf-49e0c9fa3313
Слайд |
|||
|
17 мин |
Бекіту тапсырма лары |
Есептер шығару. №1. Өрнекті ықшамдаңдар:
1)
2)
3)
4)
5)
6) 7)
№2. Бөлшекті қысқартыңдар:
1)
2) №3.Дәлелдеңіз:
|
Берілген тапсырма бойынша өз ойларын ортаға салып, пікірлерін білдіріп, жұптық талдау жасайды. Талқылау нәтижесінде өзара бір келісімге келіп есепті орындайды.
Жауаптары: №1
1)
№2. 1)
2
|
Дескриптор: - Қосбұрыштың тригонометрия лық формуласын қолданады Дескриптор: - Қосбұрыштың тригонометрия лық формулаларын қолданады. ҚБ: «Плюс, минус, қызықты» әдісі арқылы оқушылар бірін бірі бағалайды |
Слайд
Интернет ресурстары
|
|||
|
10мин |
Жеке жұмыс |
Оқулықтан №26.1, №26.6 |
Оқулықтан есептер шығарады.
Тапсырманы орындайды |
|
Жалпы білім беретін мектептің 9–сыныбына арналған оқулық. Оқулық авторлары: А.Е.Әбілқасымова, Т.П.Кучер, В.Е.Корчевский, З.Ә.Жұмағұлова Алматы «Мектеп» баспасы 2019 жыл
|
|||
|
2 минут
|
|
Бүгінгі сабақта: - қос бұрыштың тригонометриялық формулалары. -қос бұрыштың тригонометриялық формулаларын қолдана білді. Рефлексия: 1. - нені білдім, нені үйрендім - нені толық түсінбедім - немен жұмысты жалғастыру қажет Үйге тапсырма. № 26.3 |
Тақырыпты меңгергенін анықтау
. |
Кері байланыс |
Whatsapp қолдану
|
|||
Сабақ жоспары
Бекітемін:
|
Мұғалімнің аты-жөні: |
|
|||||||
|
Пән/Сынып: |
9 сынып |
|||||||
|
Күні: |
|
|||||||
|
Тарау немесе бөлім атауы: |
9.3А Тригонометрия |
|||||||
|
Сабақтың тақырыбы: |
Қосбұрыштың тригонометриялық формулалары. |
|||||||
|
Оқу мақсаты: |
9.2.4.3 бұрыштардың қосындысы мен айырымының, жарты және қос бұрыштың тригонометриялық формулаларын қорытып шығару және қолдану; |
|||||||
|
Бағалау критериі: |
1.Екі еселі бұрыш формулаларын қортып шығарады; 2.Екі еселі бұрыш формулаларын пайдаланып, есептер шығарады; |
|||||||
|
Саралап оқыту тапсырмалары |
||||||||
|
Ұжымдық жұмыс Жаңа тақырыптың түсіндірілуі Сабақ мақсаты мен бағалау критерийлерін таныстыру; Бейнероликті қолдана отырып, бекіту тапсырмаларын орындату |
Бірлескен жұмыс (1,2 тапсырма) Тапсырманы ұсыну және дұрыс жауапты ұсыну арқылы үйрету Бекітуге арналғантапсырмаларды орындату; Тапсырмалардың жауаптарын жазу. |
Жеке жұмыс Тапсырманы ұсыну, оқушылар өз бетімен орындауы |
||||||
|
Уақыты |
Кезең дері |
Педагогтің әрекеті |
Оқушының әрекеті |
Бағалау |
Ресурстар |
|||
|
3 минут
|
Ұйымдас тыру |
Сәлеметсіздерме! Атмосфералық жағдайды қалыптастыру. Бүгін, Қосбұрыштың тригонометриялық формулалары тақырыбын қарастырамыз Бүгінгі сабақта меңгеретініңіз: -қос бұрыштың тригонометриялық формулалары. -қос бұрыштың тригонометриялық формулаларын қолдану. |
Сұрақтарға жауап береді.
|
|
Whatsapp қолдану.
Интернет ресурстары
|
|||
|
8 мин |
Жаңа сабақ |
1. Жаңа сабақтың тақырыбын
өздері ашады. Қосу формуласындағы
ß-ны
формуласын өзім дәлелдеп көрсетемін. Қалған формулаларды Жиксо(көлемді мәліметтерді оқушылардың өздеріне игеруге және бірін-бірі оқытуға, үйретуге бағытталған тиімді тәсіл) әдісін пайдаланып
|
Қосымша ақпарат көздерін пайдалана отырып түсінеді
Тақырып бойынша ресурстарды қарап, танысады
|
«Екі жұлдыз бір ұсыныс» |
https://onlinemektep.net/schedule/01.02.2021/lesson/9978fca1-e407-433a-aedf-49e0c9fa3313
Слайд |
|||
|
17 мин |
Бекіту тапсырма лары |
Есептер шығару. №1. Өрнекті ықшамдаңдар:
1)
2)
3)
4)
5)
6) 7)
№2. Бөлшекті қысқартыңдар:
1)
2) №3.Дәлелдеңіз:
|
Берілген тапсырма бойынша өз ойларын ортаға салып, пікірлерін білдіріп, жұптық талдау жасайды. Талқылау нәтижесінде өзара бір келісімге келіп есепті орындайды.
Жауаптары: №1
1)
№2. 1)
2
|
Дескриптор: - Қосбұрыштың тригонометрия лық формуласын қолданады Дескриптор: - Қосбұрыштың тригонометрия лық формулаларын қолданады. ҚБ: «Плюс, минус, қызықты» әдісі арқылы оқушылар бірін бірі бағалайды |
Слайд
Интернет ресурстары
|
|||
|
10мин |
Жеке жұмыс |
Оқулықтан №26.6, №26.9 |
Оқулықтан есептер шығарады.
Тапсырманы орындайды |
|
Жалпы білім беретін мектептің 9–сыныбына арналған оқулық. Оқулық авторлары: А.Е.Әбілқасымова, Т.П.Кучер, В.Е.Корчевский, З.Ә.Жұмағұлова Алматы «Мектеп» баспасы 2019 жыл
|
|||
|
2 минут
|
|
Бүгінгі сабақта: - қос бұрыштың тригонометриялық формулалары. -қос бұрыштың тригонометриялық формулаларын қолдана білді. Рефлексия: 1. - нені білдім, нені үйрендім - нені толық түсінбедім - немен жұмысты жалғастыру қажет Үйге тапсырма. № 26.7 |
Тақырыпты меңгергенін анықтау
. |
Кері байланыс |
Whatsapp қолдану
|
|||
Сабақ жоспары
Бекітемін:
|
Мұғалімнің аты-жөні: |
|
|||||||||||||
|
Пән/Сынып: |
9 сынып |
|||||||||||||
|
Күні: |
|
|||||||||||||
|
Тарау немесе бөлім атауы: |
9.3А Тригонометрия |
|||||||||||||
|
Сабақтың тақырыбы: |
Жарты бұрыштың тригонометриялық формулалары. |
|||||||||||||
|
Оқу мақсаты: |
9.2.4.3 бұрыштардың қосындысы мен айырымының, жарты және қос бұрыштың тригонометриялық формулаларын қорытып шығару және қолдану; |
|||||||||||||
|
Бағалау критериі: |
-жарты бұрыштың тригонометриялық формулалары. -жарты және қос бұрыштың тригонометриялық формулаларын қолдану.
|
|||||||||||||
|
Саралап оқыту тапсырмалары |
||||||||||||||
|
Ұжымдық жұмыс Жаңа тақырыптың түсіндірілуі Сабақ мақсаты мен бағалау критерийлерін таныстыру; Бейнероликті қолдана отырып, бекіту тапсырмаларын орындату |
Бірлескен жұмыс (1,2 тапсырма) Тапсырманы ұсыну және дұрыс жауапты ұсыну арқылы үйрету Бекітуге арналғантапсырмаларды орындату; Тапсырмалардың жауаптарын жазу. |
Жеке жұмыс Тапсырманы ұсыну, оқушылар өз бетімен орындауы |
||||||||||||
|
Уақыты |
Кезең дері |
Педагогтің әрекеті |
Оқушының әрекеті |
Бағалау |
Ресурстар |
|||||||||
|
3 минут
|
Ұйымдас тыру |
Сәлеметсіздерме! Атмосфералық жағдайды қалыптастыру. Бүгін, Жарты бұрыштың тригонометриялық формулалары тақырыбын қарастырамыз Бүгінгі сабақта меңгеретініңіз: -жарты бұрыштың тригонометриялық формулалары. -жарты және қос бұрыштың тригонометриялық формулаларын қолдану. Үй тапсырмасын тексеру. №26.7. |
Сұрақтарға жауап береді.
|
|
Whatsapp қолдану.
Интернет ресурстары
|
|||||||||
|
8 мин |
Жаңа сабақ |
|
Қосымша ақпарат көздерін пайдалана отырып түсінеді
Тақырып бойынша ресурстарды қарап, танысады
|
«Екі жұлдыз бір ұсыныс» |
https://onlinemektep.net/schedule/01.02.2021/lesson/9978fca1-e407-433a-aedf-49e0c9fa3313
Слайд |
|||||||||
|
17 мин |
Бекіту тапсырма лары |
Есептер шығару.
А)
Б)
2.
А) Б)
3.
А) 4.
А) 5.c
А) |
Берілген тапсырма бойынша өз ойларын ортаға салып, пікірлерін білдіріп, жұптық талдау жасайды. Талқылау нәтижесінде өзара бір келісімге келіп есепті орындайды.
|
Дескриптор: - Қосбұрыштың, жарты бұрыштың тригонометрия лық формуласын қолданады ҚБ: «Плюс, минус, қызықты» әдісі арқылы оқушылар бірін бірі бағалайды |
Слайд
Интернет ресурстары
|
|||||||||
|
10мин |
Жеке жұмыс |
Оқулықтан №26.2, №26.4, №26.11. |
Оқулықтан есептер шығарады.
Тапсырманы орындайды |
|
Жалпы білім беретін мектептің 9–сыныбына арналған оқулық. Оқулық авторлары: А.Е.Әбілқасымова, Т.П.Кучер, В.Е.Корчевский, З.Ә.Жұмағұлова Алматы «Мектеп» баспасы 2019 жыл
|
|||||||||
|
2 минут
|
|
Бүгінгі сабақта: -жарты бұрыштың тригонометриялық формулалары. -жарты және қос бұрыштың тригонометриялық формулаларын қолдану. Рефлексия:
1. Үйге тапсырма. № 26.12 |
Тақырыпты меңгергенін анықтау . |
Кері байланыс |
Whatsapp қолдану |
|||||||||
Сабақ жоспары
Бекітемін:
|
Мұғалімнің аты-жөні: |
|
||||||||||||||||||||||
|
Пән/Сынып: |
9 сынып |
||||||||||||||||||||||
|
Күні: |
|
||||||||||||||||||||||
|
Тарау немесе бөлім атауы: |
9.3А Тригонометрия |
||||||||||||||||||||||
|
Сабақтың тақырыбы: |
Жарты бұрыштың тригонометриялық формулалары. |
||||||||||||||||||||||
|
Оқу мақсаты: |
9.2.4.3 бұрыштардың қосындысы мен айырымының, жарты және қос бұрыштың тригонометриялық формулаларын қорытып шығару және қолдану; |
||||||||||||||||||||||
|
Бағалау критериі: |
-жарты бұрыштың тригонометриялық формулалары. -жарты және қос бұрыштың тригонометриялық формулаларын қолдану.
|
||||||||||||||||||||||
|
Саралап оқыту тапсырмалары |
|||||||||||||||||||||||
|
Ұжымдық жұмыс Жаңа тақырыптың түсіндірілуі Сабақ мақсаты мен бағалау критерийлерін таныстыру; Бейнероликті қолдана отырып, бекіту тапсырмаларын орындату |
Бірлескен жұмыс (1,2 тапсырма) Тапсырманы ұсыну және дұрыс жауапты ұсыну арқылы үйрету Бекітуге арналғантапсырмаларды орындату; Тапсырмалардың жауаптарын жазу. |
Жеке жұмыс Тапсырманы ұсыну, оқушылар өз бетімен орындауы |
|||||||||||||||||||||
|
Уақыты |
Кезең дері |
Педагогтің әрекеті |
Оқушының әрекеті |
Бағалау |
Ресурстар |
||||||||||||||||||
|
3 минут
|
Ұйымдас тыру |
Сәлеметсіздерме! Атмосфералық жағдайды қалыптастыру. Бүгін, Жарты бұрыштың тригонометриялық формулалары тақырыбын қарастырамыз Бүгінгі сабақта меңгеретініңіз: -жарты бұрыштың тригонометриялық формулалары. -жарты және қос бұрыштың тригонометриялық формулаларын қолдану. Үй тапсырмасын тексеру. №26.7. |
Сұрақтарға жауап береді.
|
|
Whatsapp қолдану.
Интернет ресурстары
|
||||||||||||||||||
|
8 мин |
Жаңа сабақ |
|
Қосымша ақпарат көздерін пайдалана отырып түсінеді
Тақырып бойынша ресурстарды қарап, танысады
|
«Екі жұлдыз бір ұсыныс» |
https://onlinemektep.net/schedule/01.02.2021/lesson/9978fca1-e407-433a-aedf-49e0c9fa3313
Слайд |
||||||||||||||||||
|
17 мин |
Бекіту тапсырма лары |
Есептер шығару. №1. Өрнекті ықшамдаңдар: 1)
2) 3)
4)
№2. 1)
Оқулықтан №26.15, №26.17. |
Берілген тапсырма бойынша өз ойларын ортаға салып, пікірлерін білдіріп, жұптық талдау жасайды. Талқылау нәтижесінде өзара бір келісімге келіп есепті орындайды.
|
Дескриптор: - Қосбұрыштың, жарты бұрыштың тригонометрия лық формуласын қолданады ҚБ: «Плюс, минус, қызықты» әдісі арқылы оқушылар бірін бірі бағалайды |
Слайд
Интернет ресурстары
|
||||||||||||||||||
|
10мин |
Жеке жұмыс |
|
Оқулықтан есептер шығарады. Тапсырманы орындайды |
|
Жалпы білім беретін мектептің 9–сыныбына арналған оқулық. Оқулық авторлары: А.Е.Әбілқасымова, Т.П.Кучер, В.Е.Корчевский, З.Ә.Жұмағұлова Алматы «Мектеп» баспасы 2019 жыл |
||||||||||||||||||
|
2 минут |
|
Бүгінгі сабақта: -жарты бұрыштың тригонометриялық формулалары. -жарты және қос бұрыштың тригонометриялық формулаларын қолдану. Рефлексия:
Үйге тапсырма. № 26.16 |
Тақырыпты меңгергенін анықтау . |
Кері байланыс |
Whatsapp қолдану |
||||||||||||||||||
Сабақ жоспары
Бекітемін:
|
Мұғалімнің аты-жөні: |
|
||||||||||||||||||||||
|
Пән/Сынып: |
9 сынып |
||||||||||||||||||||||
|
Күні: |
|
||||||||||||||||||||||
|
Тарау немесе бөлім атауы: |
9.3А Тригонометрия |
||||||||||||||||||||||
|
Сабақтың тақырыбы: |
Тригонометрия формулалары.Бұрыштардың қосындысы мен айырмасының, жарты және қосбұрыштың тригонометриялық формулалары. |
||||||||||||||||||||||
|
Оқу мақсаты: |
9.2.4.3 бұрыштардың қосындысы мен айырымының, жарты және қос бұрыштың тригонометриялық формулаларын қорытып шығару және қолдану; |
||||||||||||||||||||||
|
Бағалау критериі: |
-қос, жарты бұрыштың тригонометриялық формулалары. -қос, жарты және қос бұрыштың тригонометриялық формулаларын қолдану. |
||||||||||||||||||||||
|
Саралап оқыту тапсырмалары |
|||||||||||||||||||||||
|
Ұжымдық жұмыс Жаңа тақырыптың түсіндірілуі Сабақ мақсаты мен бағалау критерийлерін таныстыру; Бейнероликті қолдана отырып, бекіту тапсырмаларын орындату |
Бірлескен жұмыс (1,2 тапсырма) Тапсырманы ұсыну және дұрыс жауапты ұсыну арқылы үйрету Бекітуге арналғантапсырмаларды орындату; Тапсырмалардың жауаптарын жазу. |
Жеке жұмыс Тапсырманы ұсыну, оқушылар өз бетімен орындауы |
|||||||||||||||||||||
|
Уақыты |
Кезең дері |
Педагогтің әрекеті |
Оқушының әрекеті |
Бағалау |
Ресурстар |
||||||||||||||||||
|
3 минут
|
Ұйымдас тыру |
Сәлеметсіздерме! Бүгін, Тригонометрия формулалары.Бұрыштардың қосындысы мен айырмасының, жарты және қосбұрыштың тригонометриялық формулалары тақырыбын қарастырамыз Бүгінгі сабақта меңгеретініңіз: -жарты бұрыштың тригонометриялық формулалары. -жарты және қос бұрыштың тригонометриялық формулаларын қолдану. Үй тапсырмасын тексеру. №26.16. |
Сұрақтарға жауап береді.
|
|
Whatsapp қолдану.
Интернет ресурстары
|
||||||||||||||||||
|
8 мин |
Жаңа сабақты бекіту. |
Сәйкестендіру тест.
|
Қосымша ақпарат көздерін пайдалана отырып түсінеді Тақырып бойынша ресурстарды қарап, танысады
|
«Екі жұлдыз бір ұсыныс» |
https://onlinemektep.net/schedule/01.02.2021/lesson/9978fca1-e407-433a-aedf-49e0c9fa3313 Слайд |
||||||||||||||||||
|
17 мин |
Бекіту тапсырма лары |
Есептер шығару. №1.
№2.
№3.
|
Берілген тапсырма бойынша өз ойларын ортаға салып, пікірлерін білдіріп, жұптық талдау жасайды. Талқылау нәтижесінде өзара бір келісімге келіп есепті орындайды.
|
Дескриптор: - Қосбұрыштың, жарты бұрыштың тригонометрия лық формуласын қолданады ҚБ: «Плюс, минус, қызықты» әдісі арқылы оқушылар бірін бірі бағалайды |
Слайд Интернет ресурстары |
||||||||||||||||||
|
10мин |
Жеке жұмыс |
Оқулықтан №26.22.
|
Оқулықтан есептер шығарады. Тапсырманы орындайды |
|
Жалпы білім беретін мектептің 9–сыныбына арналған оқулық. Оқулық авторлары: А.Е.Әбілқасымова, Т.П.Кучер, В.Е.Корчевский, З.Ә.Жұмағұлова Алматы «Мектеп» баспасы 2019 жыл |
||||||||||||||||||
|
2 минут |
|
Бүгінгі сабақта: -жарты бұрыштың тригонометриялық формулалары. -жарты және қос бұрыштың тригонометриялық формулаларын қолдану. Рефлексия:
Үйге тапсырма. № 26.23 |
Тақырыпты меңгергенін анықтау . |
Кері байланыс |
Whatsapp қолдану |
||||||||||||||||||
Сабақ жоспары
Бекітемін:
|
Мұғалімнің аты-жөні: |
|
|||||||||||||||||||||||||||||||||||
|
Пән/Сынып: |
9 сынып |
|||||||||||||||||||||||||||||||||||
|
Күні: |
|
|||||||||||||||||||||||||||||||||||
|
Тарау немесе бөлім атауы: |
9.3А Тригонометрия |
|||||||||||||||||||||||||||||||||||
|
Сабақтың тақырыбы: |
Тригонометрия формулалары.Бұрыштардың қосындысы мен айырмасының, жарты және қосбұрыштың тригонометриялық формулалары. |
|||||||||||||||||||||||||||||||||||
|
Оқу мақсаты: |
9.2.4.3 бұрыштардың қосындысы мен айырымының, жарты және қос бұрыштың тригонометриялық формулаларын қорытып шығару және қолдану; |
|||||||||||||||||||||||||||||||||||
|
Бағалау критериі: |
-қос, жарты бұрыштың тригонометриялық формулалары. -қос, жарты және қос бұрыштың тригонометриялық формулаларын қолдану. |
|||||||||||||||||||||||||||||||||||
|
Саралап оқыту тапсырмалары |
||||||||||||||||||||||||||||||||||||
|
Ұжымдық жұмыс Жаңа тақырыптың түсіндірілуі Сабақ мақсаты мен бағалау критерийлерін таныстыру; Бейнероликті қолдана отырып, бекіту тапсырмаларын орындату |
Бірлескен жұмыс (1,2 тапсырма) Тапсырманы ұсыну және дұрыс жауапты ұсыну арқылы үйрету Бекітуге арналғантапсырмаларды орындату; Тапсырмалардың жауаптарын жазу. |
Жеке жұмыс Тапсырманы ұсыну, оқушылар өз бетімен орындауы |
||||||||||||||||||||||||||||||||||
|
Уақыты |
Кезең дері |
Педагогтің әрекеті |
Оқушының әрекеті |
Бағалау |
Ресурстар |
|||||||||||||||||||||||||||||||
|
3 минут
|
Ұйымдас тыру |
Сәлеметсіздерме! Бүгін, Тригонометрия формулалары.Бұрыштардың қосындысы мен айырмасының, жарты және қосбұрыштың тригонометриялық формулалары тақырыбын қарастырамыз Бүгінгі сабақта меңгеретініңіз: -жарты бұрыштың тригонометриялық формулалары. -жарты және қос бұрыштың тригонометриялық формулаларын қолдану. Үй тапсырмасын тексеру. №26.16. |
Сұрақтарға жауап береді.
|
|
Whatsapp қолдану.
Интернет ресурстары
|
|||||||||||||||||||||||||||||||
|
8 мин |
Жаңа сабақты бекіту. |
№1. Өрнекті ықшамдаңдар:
1)
2)
3)
4)
|
Қосымша ақпарат көздерін пайдалана отырып түсінеді
Тақырып бойынша ресурстарды қарап, танысады
|
«Екі жұлдыз бір ұсыныс» |
https://onlinemektep.net/schedule/01.02.2021/lesson/9978fca1-e407-433a-aedf-49e0c9fa3313
Слайд |
|||||||||||||||||||||||||||||||
|
17 мин |
Бекіту тапсырма лары |
Есептер шығару. №1. Ықшамда :
а)
2. Егер
3.Ықшамда: 4. Ықшамда:
|
Берілген тапсырма бойынша өз ойларын ортаға салып, пікірлерін білдіріп, жұптық талдау жасайды. Талқылау нәтижесінде өзара бір келісімге келіп есепті орындайды. Жауаптары:
1.а)
2. tg2α=
|
Дескриптор: - Қосбұрыштың, жарты бұрыштың тригонометрия лық формуласын қолданады ҚБ: «Плюс, минус, қызықты» әдісі арқылы оқушылар бірін бірі бағалайды |
Слайд Интернет ресурстары |
|||||||||||||||||||||||||||||||
|
10мин |
Жеке жұмыс |
Есептер жинағынан №289.
|
Оқулықтан есептер шығарады. Тапсырманы орындайды |
|
Жалпы білім беретін мектептің 9–сыныбына арналған оқулық. Оқулық авторлары: А.Е.Әбілқасымова, Т.П.Кучер, В.Е.Корчевский, З.Ә.Жұмағұлова Алматы «Мектеп» баспасы 2019 жыл |
|||||||||||||||||||||||||||||||
|
2 минут |
|
Бүгінгі сабақта: -жарты бұрыштың тригонометриялық формулалары. -жарты және қос бұрыштың тригонометриялық формулаларын қолдану. Рефлексия:
Үйге тапсырма. № 26.25. |
Тақырыпты меңгергенін анықтау . |
Кері байланыс |
Whatsapp қолдану |
|||||||||||||||||||||||||||||||
Сабақ жоспары
Бекітемін:
|
Мұғалімнің аты-жөні: |
|
|||||||||||||
|
Пән/Сынып: |
9 сынып |
|||||||||||||
|
Күні: |
|
|||||||||||||
|
Тарау немесе бөлім атауы: |
9.3А Тригонометрия |
|||||||||||||
|
Сабақтың тақырыбы: |
Тригонометрия формулалары.Бұрыштардың қосындысы мен айырмасының, жарты және қосбұрыштың тригонометриялық формулалары. |
|||||||||||||
|
Оқу мақсаты: |
9.2.4.3 бұрыштардың қосындысы мен айырымының, жарты және қос бұрыштың тригонометриялық формулаларын қорытып шығару және қолдану; |
|||||||||||||
|
Бағалау критериі: |
-қос, жарты бұрыштың тригонометриялық формулалары. -қос, жарты және қос бұрыштың тригонометриялық формулаларын қолдану. |
|||||||||||||
|
Саралап оқыту тапсырмалары |
||||||||||||||
|
Ұжымдық жұмыс Жаңа тақырыптың түсіндірілуі Сабақ мақсаты мен бағалау критерийлерін таныстыру; Бейнероликті қолдана отырып, бекіту тапсырмаларын орындату |
Бірлескен жұмыс (1,2 тапсырма) Тапсырманы ұсыну және дұрыс жауапты ұсыну арқылы үйрету Бекітуге арналғантапсырмаларды орындату; Тапсырмалардың жауаптарын жазу. |
Жеке жұмыс Тапсырманы ұсыну, оқушылар өз бетімен орындауы |
||||||||||||
|
Уақыты |
Кезең дері |
Педагогтің әрекеті |
Оқушының әрекеті |
Бағалау |
Ресурстар |
|||||||||
|
3 минут
|
Ұйымдас тыру |
Сәлеметсіздерме! Бүгін, Тригонометрия формулалары.Бұрыштардың қосындысы мен айырмасының, жарты және қосбұрыштың тригонометриялық формулалары тақырыбын қарастырамыз Бүгінгі сабақта меңгеретініңіз: -жарты бұрыштың тригонометриялық формулалары. -жарты және қос бұрыштың тригонометриялық формулаларын қолдану. Үй тапсырмасын тексеру. №26.25. |
Сұрақтарға жауап береді.
|
|
Whatsapp қолдану.
Интернет ресурстары
|
|||||||||
|
8 мин |
Жаңа сабақты бекіту. |
Тез есептейік! 1) ctga-cosa-1/sina 2) 1/sina-1-1/sina+1 3) 1-ctga/tga-1 4) sin2a-1/cos2a-1+tgactga |
Қосымша ақпарат көздерін пайдалана отырып түсінеді
Тақырып бойынша ресурстарды қарап, танысады
|
«Екі жұлдыз бір ұсыныс» |
https://onlinemektep.net/schedule/01.02.2021/lesson/9978fca1-e407-433a-aedf-49e0c9fa3313
Слайд |
|||||||||
|
17 мин |
Бекіту тапсырма лары |
Есептер шығару. №1.Бөлшекті
қысқартыңдар. A)sin50 B)cos50 C)2sin50 D)2cos50 E)tg100 №2.Есептеңдер. 2sin22,5cos22,5 A)1
B) №3.Егер мәнін табыңдар.
№4.
cosα
= А) №5. 200°-ты радианмен өрнектеңдер А)
№6. Өрнекті ықшамдаңдар
B)0
C) №7. 1)ctga+sina/1+cosa=1/sina 2)1-2sinacosa/sina-cosa=sina-cosa 3)1-sin2x/1-cos2x=1/tg2x 4)ctgx/ctgx+tgx=cos2x
|
Берілген тапсырма бойынша өз ойларын ортаға салып, пікірлерін білдіріп, жұптық талдау жасайды. Талқылау нәтижесінде өзара бір келісімге келіп есепті орындайды.
Жауаптары:
|
Дескриптор: - Қосбұрыштың, жарты бұрыштың тригонометрия лық формуласын қолданады ҚБ: «Плюс, минус, қызықты» әдісі арқылы оқушылар бірін бірі бағалайды |
Слайд
Интернет ресурстары
|
|||||||||
|
10мин |
Жеке жұмыс |
Есептер жинағынан №292.
|
Оқулықтан есептер шығарады.
Тапсырманы орындайды |
|
Жалпы білім беретін мектептің 9–сыныбына арналған оқулық. Оқулық авторлары: А.Е.Әбілқасымова, Т.П.Кучер, В.Е.Корчевский, З.Ә.Жұмағұлова Алматы «Мектеп» баспасы 2019 жыл
|
|||||||||
|
2 минут
|
|
Бүгінгі сабақта: -жарты бұрыштың тригонометриялық формулалары. -жарты және қос бұрыштың тригонометриялық формулаларын қолдану.
Рефлексия:
Үйге тапсырма. № 300 /есептер жинағынан/ |
Тақырыпты меңгергенін анықтау . |
Кері байланыс |
Whatsapp қолдану |
|||||||||
Сабақ жоспары
Бекітемін:
|
Мұғалімнің аты-жөні: |
. |
|||||||||||||
|
Пән/Сынып: |
9 сынып |
|||||||||||||
|
Күні: |
|
|||||||||||||
|
Тарау немесе бөлім атауы: |
9.3А Тригонометрия |
|||||||||||||
|
Сабақтың тақырыбы: |
Тригонометрия формулалары.Бұрыштардың қосындысы мен айырмасының, жарты және қосбұрыштың тригонометриялық формулалары. |
|||||||||||||
|
Оқу мақсаты: |
9.2.4.3 бұрыштардың қосындысы мен айырымының, жарты және қос бұрыштың тригонометриялық формулаларын қорытып шығару және қолдану; |
|||||||||||||
|
Бағалау критериі: |
-қос, жарты бұрыштың тригонометриялық формулалары. -қос, жарты және қос бұрыштың тригонометриялық формулаларын қолдану. |
|||||||||||||
|
Саралап оқыту тапсырмалары |
||||||||||||||
|
Ұжымдық жұмыс Жаңа тақырыптың түсіндірілуі Сабақ мақсаты мен бағалау критерийлерін таныстыру; Бейнероликті қолдана отырып, бекіту тапсырмаларын орындату |
Бірлескен жұмыс (1,2 тапсырма) Тапсырманы ұсыну және дұрыс жауапты ұсыну арқылы үйрету Бекітуге арналғантапсырмаларды орындату; Тапсырмалардың жауаптарын жазу. |
Жеке жұмыс Тапсырманы ұсыну, оқушылар өз бетімен орындауы |
||||||||||||
|
Уақыты |
Кезең дері |
Педагогтің әрекеті |
Оқушының әрекеті |
Бағалау |
Ресурстар |
|||||||||
|
3 минут
|
Ұйымдас тыру |
Сәлеметсіздерме! Бүгін, Тригонометрия формулалары.Бұрыштардың қосындысы мен айырмасының, жарты және қосбұрыштың тригонометриялық формулалары тақырыбын қарастырамыз Бүгінгі сабақта меңгеретініңіз: -жарты бұрыштың тригонометриялық формулалары. -жарты және қос бұрыштың тригонометриялық формулаларын қолдану. Үй тапсырмасын тексеру. №26.25. |
Сұрақтарға жауап береді.
|
|
Whatsapp қолдану.
Интернет ресурстары
|
|||||||||
|
8 мин |
Жаңа сабақты бекіту. |
Тез есептейік! 1) ctga-cosa-1/sina 2) 1/sina-1-1/sina+1 3) 1-ctga/tga-1 4) sin2a-1/cos2a-1+tgactga |
Қосымша ақпарат көздерін пайдалана отырып түсінеді
Тақырып бойынша ресурстарды қарап, танысады
|
«Екі жұлдыз бір ұсыныс» |
https://onlinemektep.net/schedule/01.02.2021/lesson/9978fca1-e407-433a-aedf-49e0c9fa3313
Слайд |
|||||||||
|
17 мин |
Бекіту тапсырма лары |
Есептер шығару. №1. 1.
2.
№2. 1.
2.
3.
4.
№3.Өрнекті ықшамдаңдар. 1) 2) 3) 4) №5.
№6. 1)ctga+sina/1+cosa=1/sina 2)1-2sinacosa/sina-cosa=sina-cosa 3)1-sin2x/1-cos2x=1/tg2x 4)ctgx/ctgx+tgx=cos2x
|
Берілген тапсырма бойынша өз ойларын ортаға салып, пікірлерін білдіріп, жұптық талдау жасайды. Талқылау нәтижесінде өзара бір келісімге келіп есепті орындайды.
|
Дескриптор: - Қосбұрыштың, жарты бұрыштың тригонометрия лық формуласын қолданады ҚБ: «Плюс, минус, қызықты» әдісі арқылы оқушылар бірін бірі бағалайды |
Слайд
Интернет ресурстары
|
|||||||||
|
10мин |
Жеке жұмыс |
Есептер жинағынан №292.
|
Оқулықтан есептер шығарады.
Тапсырманы орындайды |
|
Жалпы білім беретін мектептің 9–сыныбына арналған оқулық. Оқулық авторлары: А.Е.Әбілқасымова, Т.П.Кучер, В.Е.Корчевский, З.Ә.Жұмағұлова Алматы «Мектеп» баспасы 2019 жыл
|
|||||||||
|
2 минут
|
|
Бүгінгі сабақта: -жарты бұрыштың тригонометриялық формулалары. -жарты және қос бұрыштың тригонометриялық формулаларын қолдану.
Рефлексия:
Үйге тапсырма. № 302 /есептер жинағынан/ |
Тақырыпты меңгергенін анықтау . |
Кері байланыс |
Whatsapp қолдану |
|||||||||
Сабақ жоспары
Бекітемін:
|
Мұғалімнің аты-жөні: |
|
|||||||||||||
|
Пән/Сынып: |
9 сынып |
|||||||||||||
|
Күні: |
|
|||||||||||||
|
Тарау немесе бөлім атауы: |
9.3А Тригонометрия |
|||||||||||||
|
Сабақтың тақырыбы: |
Тригонометрия формулалары. Келтіру формулалары |
|||||||||||||
|
Оқу мақсаты: |
9.2.4.4 келтіру формулаларын қорытып шығару және қолдану; |
|||||||||||||
|
Бағалау критериі: |
Келтіру формулаларын біледі; Келтіру формулаларын есептер шығаруда қолданады |
|||||||||||||
|
Саралап оқыту тапсырмалары |
||||||||||||||
|
Ұжымдық жұмыс Жаңа тақырыптың түсіндірілуі Сабақ мақсаты мен бағалау критерийлерін таныстыру; Бейнероликті қолдана отырып, бекіту тапсырмаларын орындату |
Бірлескен жұмыс (1,2 тапсырма) Тапсырманы ұсыну және дұрыс жауапты ұсыну арқылы үйрету Бекітуге арналғантапсырмаларды орындату; Тапсырмалардың жауаптарын жазу. |
Жеке жұмыс Тапсырманы ұсыну, оқушылар өз бетімен орындауы |
||||||||||||
|
Уақыты |
Кезең дері |
Педагогтің әрекеті |
Оқушының әрекеті |
Бағалау |
Ресурстар |
|||||||||
|
3 минут
|
Ұйымдас тыру |
Сәлеметсіздерме! Бүгін, Тригонометрия формулалары. Келтіру формулалары тақырыбын қарастырамыз Бүгінгі сабақта меңгеретініңіз: - Келтіру формулаларын біледі; -Келтіру формулаларын есептер шығаруда қолданады Үй тапсырмасын тексеру. №302. |
Сұрақтарға жауап береді.
|
|
Whatsapp қолдану.
Интернет ресурстары
|
|||||||||
|
8 мин |
Жаңа сабақты бекіту. |
Бүгінгі сабақта Бірлік шеңбер арқылы осы формулаларды оқушылардың қорытып шығаруына мүмкіндік беру
Жеке жағдайда, оқушылардан бірлік
шеңберде
формуласын оңай алуға болады.
үшін талқылауды жүргізу.
Содан соң оқушылардан sin (+α) = - sin α және cos (3/2+α) = sin α формулаларын бірлік шеңберде өздігінен дәлелдеуді сұрау: сондай-ақ мәндерін табуды sin (-α) = … және cos (3/2-α) = ….. қорытындысын талқылау. sin (+α) = - sinα
cos (3/2+α) = sinα
«Тақырыптың түйіні» :
|
Қосымша ақпарат көздерін пайдалана отырып түсінеді
Тақырып бойынша ресурстарды қарап, танысады
|
«Екі жұлдыз бір ұсыныс» |
https://onlinemektep.net/schedule/22.02.2021/lesson/37991aff-1d2b-4fd0-a781-659ff93aecb0
Слайд |
|||||||||
|
17 мин |
Бекіту тапсырма лары |
Есептер шығару. Тапсырма 1. Егер:
а) 1). 2). 3). 4). Шешуі: а)
теңдіктерін аламыз. |
Берілген тапсырма бойынша өз ойларын ортаға салып, пікірлерін білдіріп, жұптық талдау жасайды. Талқылау нәтижесінде өзара бір келісімге келіп есепті орындайды.
Оқулықтан № |
Дескриптор: - Келтіру формуласын қолданады; -сәйкес ширектегі тригонометрия лық функциялардың таңбасын анықтайды. ҚБ: «Плюс, минус, қызықты» әдісі арқылы оқушылар бірін бірі бағалайды |
Слайд
Интернет ресурстары
|
|||||||||
|
10мин |
Жеке жұмыс |
Есептер жинағынан . Өрнектің мәнін тап: sin1500=sin(900+600)= - cos….= - sin(2700+600)= cos….= sin2400=sin(1800+600)= - sin….= - sin(3600+600)= sin….=
|
Оқулықтан есептер шығарады.
Тапсырманы орындайды |
|
Жалпы білім беретін мектептің 9–сыныбына арналған оқулық. Оқулық авторлары: А.Е.Әбілқасымова, Т.П.Кучер, В.Е.Корчевский, З.Ә.Жұмағұлова Алматы «Мектеп» баспасы 2019 жыл
|
|||||||||
|
2 минут
|
|
Бүгінгі сабақта: - Келтіру формулаларын біледі; -Келтіру формулаларын есептер шығаруда қолданады Рефлексия:
Үйге тапсырма. №287 /есептер жинағынан/ |
Тақырыпты меңгергенін анықтау . |
Кері байланыс |
Whatsapp қолдану |
|||||||||
Сабақ жоспары
Бекітемін:
|
Мұғалімнің аты-жөні: |
|
|||||||||||||
|
Пән/Сынып: |
9 сынып |
|||||||||||||
|
Күні: |
|
|||||||||||||
|
Тарау немесе бөлім атауы: |
9.3А Тригонометрия |
|||||||||||||
|
Сабақтың тақырыбы: |
Тригонометрия формулалары. Келтіру формулалары |
|||||||||||||
|
Оқу мақсаты: |
9.2.4.4 келтіру формулаларын қорытып шығару және қолдану; |
|||||||||||||
|
Бағалау критериі: |
Келтіру формулаларын біледі; Келтіру формулаларын есептер шығаруда қолданады |
|||||||||||||
|
Саралап оқыту тапсырмалары |
||||||||||||||
|
Ұжымдық жұмыс Жаңа тақырыптың түсіндірілуі Сабақ мақсаты мен бағалау критерийлерін таныстыру; Бейнероликті қолдана отырып, бекіту тапсырмаларын орындату |
Бірлескен жұмыс (1,2 тапсырма) Тапсырманы ұсыну және дұрыс жауапты ұсыну арқылы үйрету Бекітуге арналғантапсырмаларды орындату; Тапсырмалардың жауаптарын жазу. |
Жеке жұмыс Тапсырманы ұсыну, оқушылар өз бетімен орындауы |
||||||||||||
|
Уақыты |
Кезең дері |
Педагогтің әрекеті |
Оқушының әрекеті |
Бағалау |
Ресурстар |
|||||||||
|
3 минут
|
Ұйымдас тыру |
Сәлеметсіздерме! Бүгін, Тригонометрия формулалары. Келтіру формулалары тақырыбын қарастырамыз Бүгінгі сабақта меңгеретініңіз: - Келтіру формулаларын біледі; -Келтіру формулаларын есептер шығаруда қолданады Үй тапсырмасын тексеру. №302. |
Сұрақтарға жауап береді.
|
|
Whatsapp қолдану.
Интернет ресурстары
|
|||||||||
|
8 мин |
Жаңа сабақты бекіту. |
Бүгінгі сабақта Бірлік шеңбер арқылы осы формулаларды оқушылардың қорытып шығаруына мүмкіндік беру
Жеке жағдайда, оқушылардан бірлік
шеңберде
формуласын оңай алуға болады.
үшін талқылауды жүргізу.
Содан соң оқушылардан sin (+α) = - sin α және cos (3/2+α) = sin α формулаларын бірлік шеңберде өздігінен дәлелдеуді сұрау: сондай-ақ мәндерін табуды sin (-α) = … және cos (3/2-α) = ….. қорытындысын талқылау. sin (+α) = - sinα
cos (3/2+α) = sinα
«Тақырыптың түйіні» :
|
Қосымша ақпарат көздерін пайдалана отырып түсінеді
Тақырып бойынша ресурстарды қарап, танысады
|
«Екі жұлдыз бір ұсыныс» |
https://onlinemektep.net/schedule/22.02.2021/lesson/37991aff-1d2b-4fd0-a781-659ff93aecb0
Слайд |
|||||||||
|
17 мин |
Бекіту тапсырма лары |
Есептер шығару. Тапсырма 1. Егер:
а) 1). 2). 3). 4). Шешуі: а)
теңдіктерін аламыз. |
Берілген тапсырма бойынша өз ойларын ортаға салып, пікірлерін білдіріп, жұптық талдау жасайды. Талқылау нәтижесінде өзара бір келісімге келіп есепті орындайды.
Оқулықтан № |
Дескриптор: - Келтіру формуласын қолданады; -сәйкес ширектегі тригонометрия лық функциялардың таңбасын анықтайды. ҚБ: «Плюс, минус, қызықты» әдісі арқылы оқушылар бірін бірі бағалайды |
Слайд
Интернет ресурстары
|
|||||||||
|
10мин |
Жеке жұмыс |
Есептер жинағынан . Өрнектің мәнін тап: sin1500=sin(900+600)= - cos….= - sin(2700+600)= cos….= sin2400=sin(1800+600)= - sin….= - sin(3600+600)= sin….=
|
Оқулықтан есептер шығарады.
Тапсырманы орындайды |
|
Жалпы білім беретін мектептің 9–сыныбына арналған оқулық. Оқулық авторлары: А.Е.Әбілқасымова, Т.П.Кучер, В.Е.Корчевский, З.Ә.Жұмағұлова Алматы «Мектеп» баспасы 2019 жыл
|
|||||||||
|
2 минут
|
|
Бүгінгі сабақта: - Келтіру формулаларын біледі; -Келтіру формулаларын есептер шығаруда қолданады Рефлексия:
Үйге тапсырма. № 23.2 |
Тақырыпты меңгергенін анықтау . |
Кері байланыс |
Whatsapp қолдану |
|||||||||
Сабақ жоспары
Бекітемін:
|
Мұғалімнің аты-жөні: |
|
|||||||||||||||||||
|
Пән/Сынып: |
9 сынып |
|||||||||||||||||||
|
Күні: |
|
|||||||||||||||||||
|
Тарау немесе бөлім атауы: |
9.3А Тригонометрия |
|||||||||||||||||||
|
Сабақтың тақырыбы: |
Келтіру формулалары |
|||||||||||||||||||
|
Оқу мақсаты: |
9.2.4.4 келтіру формулаларын білу және қолдану; |
|||||||||||||||||||
|
Бағалау критериі: |
(π – α) бұрыштары үшін келтіру формулаларын қорытып шығару және қолданылу жолы |
|||||||||||||||||||
|
Саралап оқыту тапсырмалары |
||||||||||||||||||||
|
Ұжымдық жұмыс Жаңа тақырыптың түсіндірілуі Сабақ мақсаты мен бағалау критерийлерін таныстыру; Бейнероликті қолдана отырып, бекіту тапсырмаларын орындату |
Бірлескен жұмыс (1,2 тапсырма) Тапсырманы ұсыну және дұрыс жауапты ұсыну арқылы үйрету Бекітуге арналғантапсырмаларды орындату; Тапсырмалардың жауаптарын жазу. |
Жеке жұмыс Тапсырманы ұсыну, оқушылар өз бетімен орындауы |
||||||||||||||||||
|
Уақыты |
Кезең дері |
Педагогтің әрекеті |
Оқушының әрекеті |
Бағалау |
Ресурстар |
|||||||||||||||
|
3 минут
|
Ұйымдас тыру |
Сәлеметсіздерме! Бүгін, Келтіру формулалары тақырыбын қарастырамыз Бүгінгі сабақта меңгеретініңіз: (π – α) бұрыштары үшін келтіру формулаларын қорытып шығару және қолданылу жолы Үй тапсырмасын тексеру. №23.2. Оқушыларға сәйкестендіру тесті беріледі (жұптық тапсырма).
|
Сұрақтарға жауап береді. Сәйкестендіру тест |
«Екі жұлдыз бір ұсыныс» |
Whatsapp қолдану. Интернет ресурстары |
|||||||||||||||
|
8 мин |
Жаңа сабақты бекіту. |
Келтіру формуласын пайдаланып есептер шығару
Егер бұрышының функциялары берілсе, онда оларды α бұрышына байланысты тригонометриялық функцияларға келтіру ыңғайлы. Ол үшін арнайы берілген келтіру формулаларын қолданамыз. Есте сақта!!!
|
Қосымша ақпарат көздерін пайдалана отырып түсінеді Тақырып бойынша ресурстарды қарап, танысады |
|
https://onlinemektep.net/schedule/01.02.2021/lesson/9978fca1-e407-433a-aedf-49e0c9fa3313 Слайд |
|||||||||||||||
|
17 мин |
Бекіту тапсырма лары |
Есептер шығару. 1-тапсырма. (00; 900) аралығындағы бұрыштың тригонометриялық функциясына келтіріңдер: а) tg1370 = tg (900 + 470) = — ctg 470 = — tg 430. б) sin (-1780) = — sin (1800 – 20) = — sin20 = — cos 780. в) sin 6800 = sin (7200 – 400) = — sin 400. г) cos (-10000) = cos (10800 – 800) = cos 800.
2-тапсырма. Өрнектің мәнін табыңдар. а) sin 240o = sin (180o+60o)= — sin 600 = — . в) tg 300o = tg (360o — 60o) = — tg 600 = — . с) ctg (- 225o) = — ctg (180o +45o) = — ctg 45o = -1. д) соs(-210) = cos(1800+300) = — cos 300 = — 0.5 Оқулықтан №23.3, №23.4, №23.6 |
Берілген тапсырма бойынша өз ойларын ортаға салып, пікірлерін білдіріп, жұптық талдау жасайды. Талқылау нәтижесінде өзара бір келісімге келіп есепті орындайды.
|
Дескриптор: - Келтіру формуласын қолданады ҚБ: «Плюс, минус, қызықты» әдісі арқылы оқушылар бірін бірі бағалайды |
Слайд Интернет ресурстары |
|||||||||||||||
|
10мин |
Жеке жұмыс |
Есептер жинағынан №292.
|
Оқулықтан есептер шығарады. Тапсырманы орындайды |
|
Жалпы білім беретін мектептің 9–сыныбына арналған оқулық. Оқулық авторлары: А.Е.Әбілқасымова, Т.П.Кучер, В.Е.Корчевский, З.Ә.Жұмағұлова Алматы «Мектеп» баспасы 2019 жыл |
|||||||||||||||
|
2 минут |
|
Бүгінгі сабақта: -(π – α) бұрыштары үшін келтіру формулаларын қорытып шығару және қолданылу жолы Рефлексия:
Үйге тапсырма. № 23.5. |
Тақырыпты меңгергенін анықтау . |
Кері байланыс |
Whatsapp қолдану |
|||||||||||||||
Сабақ жоспары
Бекітемін:
|
Мұғалімнің аты-жөні: |
|
|||||||||||||
|
Пән/Сынып: |
9 сынып |
|||||||||||||
|
Күні: |
|
|||||||||||||
|
Тарау немесе бөлім атауы: |
9.3А Тригонометрия |
|||||||||||||
|
Сабақтың тақырыбы: |
Келтіру формулалары |
|||||||||||||
|
Оқу мақсаты: |
9.2.4.4 келтіру формулаларын қорытып шығару және қолдану; |
|||||||||||||
|
Бағалау критериі: |
|
|||||||||||||
|
Саралап оқыту тапсырмалары |
||||||||||||||
|
Ұжымдық жұмыс Жаңа тақырыптың түсіндірілуі Сабақ мақсаты мен бағалау критерийлерін таныстыру; Бейнероликті қолдана отырып, бекіту тапсырмаларын орындату |
Бірлескен жұмыс (1,2 тапсырма) Тапсырманы ұсыну және дұрыс жауапты ұсыну арқылы үйрету Бекітуге арналғантапсырмаларды орындату; Тапсырмалардың жауаптарын жазу. |
Жеке жұмыс Тапсырманы ұсыну, оқушылар өз бетімен орындауы |
||||||||||||
|
Уақыты |
Кезең дері |
Педагогтің әрекеті |
Оқушының әрекеті |
Бағалау |
Ресурстар |
|||||||||
|
3 минут
|
Ұйымдас тыру |
Сәлеметсіздерме! Бүгін, Келтіру формулалары тақырыбын қарастырамыз Бүгінгі сабақта меңгеретініңіз: (π + α) бұрыштары үшін келтіру формулаларын қорытып шығару және қолданылу жолы Үй тапсырмасын тексеру. №23.6. Сұрақтарға жауап береді. Төмендегі өрнектерді сүйір бұрышына келтіріңіз: |
Сұрақтарға жауап береді.
А)cos100 b) ctg 200 ctg 270 70 tg70 с) sin 300 |
«Екі жұлдыз бір ұсыныс» |
Оқулық
Интернет ресурстары
|
|||||||||
|
8 мин |
Жаңа сабақты бекіту. |
Келтіру формуласын пайдаланып есептер шығару
Егер бұрышының функциялары берілсе, онда оларды α бұрышына байланысты тригонометриялық функцияларға келтіру ыңғайлы. Ол үшін арнайы берілген келтіру формулаларын қолданамыз. Есте сақта!!!
|
Қосымша ақпарат көздерін пайдалана отырып түсінеді
Тақырып бойынша ресурстарды қарап, танысады
|
|
Слайд
Плакат |
|||||||||
|
17 мин |
Бекіту тапсырма лары |
Есептер шығару. 1-тапсырма. Тригонометриялық функциялардың қасиеттерын пайдаланып функциялардың мәндерің есепте: 1-топ.
2-топ
3-
топ
2- тапсырма. Кестені толдырындар:
3-тапсырма. « Қара жәшік ішіндегі жұмыс» әдісі. Жәшік ішінде тест тапсырмасы болады. 1.
a) 2. a) 3. a) 4-тапсырма. Оқулықтан №23.7, №23.9. |
Берілген тапсырма бойынша өз ойларын ортаға салып, пікірлерін білдіріп, жұптық талдау жасайды. Талқылау нәтижесінде өзара бір келісімге келіп есепті орындайды.
Кестені толтырады.
Тест тапсырмасын орындайды
Оқулықтан есептер шығарады.
|
Дескриптор: - Келтіру формуласын қолданады ҚБ: «Плюс, минус, қызықты» әдісі арқылы оқушылар бірін бірі бағалайды |
Слайд
Интернет ресурстары
Жалпы білім беретін мектептің 9–сыныбына арналған оқулық. Оқулық авторлары: А.Е.Әбілқасымова, Т.П.Кучер, В.Е.Корчевский, З.Ә.Жұмағұлова Алматы «Мектеп» баспасы 2019 жыл
|
|||||||||
|
10мин |
Жеке жұмыс |
«Конверттегі сұрақ» тәсілі №1. Егер 30 болса, онда sin 2 cos 2өрнегінің мəнін табыңыз. №2. 3sin 90 2 cos 60 tg 45 өрнегінің мəнін табыңыз.
|
Тапсырманы орындайды |
|
|
|||||||||
|
2 минут
|
|
Бүгінгі сабақта:
Рефлексия:
Үйге тапсырма. № 23.10. |
Тақырыпты меңгергенін анықтау . |
Кері байланыс |
|
|||||||||
Сабақ жоспары
Бекітемін:
|
Мұғалімнің аты-жөні: |
|
|||||||
|
Пән/Сынып: |
9 сынып |
|||||||
|
Күні: |
|
|||||||
|
Тарау немесе бөлім атауы: |
9.3А Тригонометрия |
|||||||
|
Сабақтың тақырыбы: |
Келтіру формулалары |
|||||||
|
Оқу мақсаты: |
9.2.4.4 келтіру формулаларын қорытып шығару және қолдану; |
|||||||
|
Бағалау критериі: |
|
|||||||
|
Саралап оқыту тапсырмалары |
||||||||
|
Ұжымдық жұмыс Жаңа тақырыптың түсіндірілуі Сабақ мақсаты мен бағалау критерийлерін таныстыру; Бейнероликті қолдана отырып, бекіту тапсырмаларын орындату |
Бірлескен жұмыс (1,2 тапсырма) Тапсырманы ұсыну және дұрыс жауапты ұсыну арқылы үйрету Бекітуге арналғантапсырмаларды орындату; Тапсырмалардың жауаптарын жазу. |
Жеке жұмыс Тапсырманы ұсыну, оқушылар өз бетімен орындауы |
||||||
|
Уақыты |
Кезең дері |
Педагогтің әрекеті |
Оқушының әрекеті |
Бағалау |
Ресурстар |
|||
|
3 минут
|
Ұйымдас тыру |
Сәлеметсіздерме! Бүгін, Келтіру формулалары тақырыбын қарастырамыз Бүгінгі сабақта меңгеретініңіз: (π + α) бұрыштары үшін келтіру формулаларын қорытып шығару және қолданылу жолы Үй тапсырмасын тексеру. №23.6. Сұрақтарға жауап береді. Төмендегі өрнектерді сүйір бұрышына келтіріңіз: |
Сұрақтарға жауап береді.
А)cos100 b) ctg 200 ctg 270 70 tg70 с) sin 300 |
«Екі жұлдыз бір ұсыныс» |
Оқулық
Интернет ресурстары
|
|||
|
8 мин |
Жаңа сабақты бекіту. |
Келтіру формуласын пайдаланып есептер шығару
Егер бұрышының функциялары берілсе, онда оларды α бұрышына байланысты тригонометриялық функцияларға келтіру ыңғайлы. Ол үшін арнайы берілген келтіру формулаларын қолданамыз. Есте сақта!!!
|
Қосымша ақпарат көздерін пайдалана отырып түсінеді
Тақырып бойынша ресурстарды қарап, танысады
|
|
Слайд
Плакат |
|||
|
17 мин |
Бекіту тапсырма лары |
Есептер шығару. 1-тапсырма. Тапсырма: sin(30) sin 30 sin(30) sin 30 sin(240) sin 240 cos(210) cos 210 tg(45) tg 45 1 tg(210) tg 210 №2. 1). 2sin 90 4 cos 60 tg 45 өрнегінің мəнін табыңыз. 2). Өрнектің мəнін табыңыз: tg 240 cos150
№3. Төмендегі өрнектерді сүйір бұрышына келтіріңіз:
4-тапсырма. « Қара жәшік ішіндегі жұмыс» әдісі. Жәшік ішінде тест тапсырмасы болады. 1.
a) 2. a) 3. a) 5-тапсырма. Оқулықтан №23.8, №23.11. |
Берілген тапсырма бойынша өз ойларын ортаға салып, пікірлерін білдіріп, жұптық талдау жасайды. Талқылау нәтижесінде өзара бір келісімге келіп есепті орындайды. №2. 2sin 90 4 cos 60 tg 45 = 2*1+4*1/2-1=3 Жауабы: 3
1)cos150 cos90 60 sin 60 √ tg 240 tg 180 60 tg60 √3 №3. а)cos110 cos180 70 cos70
Тест тапсырмасын орындайды
Оқулықтан есептер шығарады.
|
Дескриптор: - Келтіру формуласын қолданады ҚБ: «Плюс, минус, қызықты» әдісі арқылы оқушылар бірін бірі бағалайды |
Слайд
Интернет ресурстары
Жалпы білім беретін мектептің 9–сыныбына арналған оқулық. Оқулық авторлары: А.Е.Әбілқасымова, Т.П.Кучер, В.Е.Корчевский, З.Ә.Жұмағұлова Алматы «Мектеп» баспасы 2019 жыл
|
|||
|
10мин |
Жеке жұмыс |
Оқушыларға карточкалармен өзіндік жұмыстар беріледі.
|
Тапсырманы орындайды |
|
|
|||
|
2 минут
|
|
Бүгінгі сабақта:
Рефлексия:
Үйге тапсырма. № 23.12. |
Тақырыпты меңгергенін анықтау
. |
Кері байланыс |
|
|||
Сабақ жоспары
Бекітемін:
|
Мұғалімнің аты-жөні: |
|
|||||||
|
Пән/Сынып: |
9 сынып |
|||||||
|
Күні: |
|
|||||||
|
Тарау немесе бөлім атауы: |
9.3А Тригонометрия |
|||||||
|
Сабақтың тақырыбы: |
Келтіру формулалары |
|||||||
|
Оқу мақсаты: |
9.2.4.4 келтіру формулаларын қорытып шығару және қолдану; |
|||||||
|
Бағалау критериі: |
|
|||||||
|
Саралап оқыту тапсырмалары |
||||||||
|
Ұжымдық жұмыс Жаңа тақырыптың түсіндірілуі Сабақ мақсаты мен бағалау критерийлерін таныстыру; Бейнероликті қолдана отырып, бекіту тапсырмаларын орындату |
Бірлескен жұмыс (1,2 тапсырма) Тапсырманы ұсыну және дұрыс жауапты ұсыну арқылы үйрету Бекітуге арналғантапсырмаларды орындату; Тапсырмалардың жауаптарын жазу. |
Жеке жұмыс Тапсырманы ұсыну, оқушылар өз бетімен орындауы |
||||||
|
Уақыты |
Кезең дері |
Педагогтің әрекеті |
Оқушының әрекеті |
Бағалау |
Ресурстар |
|||
|
3 минут
|
Ұйымдас тыру |
Сәлеметсіздерме! Бүгін, Келтіру формулалары тақырыбын қарастырамыз Бүгінгі сабақта меңгеретініңіз: (π + α) бұрыштары үшін келтіру формулаларын қорытып шығару және қолданылу жолы Үй тапсырмасын тексеру. №23.6. Сұрақтарға жауап береді. Төмендегі өрнектерді сүйір бұрышына келтіріңіз: |
Сұрақтарға жауап береді.
А)cos100 b) ctg 200 ctg 270 70 tg70 с) sin 300 |
«Екі жұлдыз бір ұсыныс» |
Оқулық
Интернет ресурстары
|
|||
|
8 мин |
Жаңа сабақты бекіту. |
Келтіру формуласын пайдаланып есептер шығару
Егер бұрышының функциялары берілсе, онда оларды α бұрышына байланысты тригонометриялық функцияларға келтіру ыңғайлы. Ол үшін арнайы берілген келтіру формулаларын қолданамыз. Есте сақта!!!
|
Қосымша ақпарат көздерін пайдалана отырып түсінеді
Тақырып бойынша ресурстарды қарап, танысады
|
|
Слайд
Плакат |
|||
|
17 мин |
Бекіту тапсырма лары |
Есептер шығару. 1-тапсырма. Тапсырма: sin(30) sin 30 sin(30) sin 30 sin(240) sin 240 cos(210) cos 210 tg(45) tg 45 1 tg(210) tg 210 №2. 1). 2sin 90 4 cos 60 tg 45 өрнегінің мəнін табыңыз. 2). Өрнектің мəнін табыңыз: tg 240 cos150
№3. Төмендегі өрнектерді сүйір бұрышына келтіріңіз:
4-тапсырма. « Қара жәшік ішіндегі жұмыс» әдісі. Жәшік ішінде тест тапсырмасы болады. 1.
a) 2. a) 3. a) 5-тапсырма. Оқулықтан №23.13, №23.15. |
Берілген тапсырма бойынша өз ойларын ортаға салып, пікірлерін білдіріп, жұптық талдау жасайды. Талқылау нәтижесінде өзара бір келісімге келіп есепті орындайды. №2. 2sin 90 4 cos 60 tg 45 = 2*1+4*1/2-1=3 Жауабы: 3
1)cos150 cos90 60 sin 60 √ tg 240 tg 180 60 tg60 √3 №3. а)cos110 cos180 70 cos70
Тест тапсырмасын орындайды
Оқулықтан есептер шығарады.
|
Дескриптор: - Келтіру формуласын қолданады ҚБ: «Плюс, минус, қызықты» әдісі арқылы оқушылар бірін бірі бағалайды |
Слайд
Интернет ресурстары
Жалпы білім беретін мектептің 9–сыныбына арналған оқулық. Оқулық авторлары: А.Е.Әбілқасымова, Т.П.Кучер, В.Е.Корчевский, З.Ә.Жұмағұлова Алматы «Мектеп» баспасы 2019 жыл
|
|||
|
10мин |
Жеке жұмыс |
Оқушыларға карточкалармен өзіндік жұмыстар беріледі.
|
Тапсырманы орындайды |
|
|
|||
|
2 минут
|
|
Бүгінгі сабақта:
Рефлексия:
Үйге тапсырма. № 23.16. |
Тақырыпты меңгергенін анықтау
. |
Кері байланыс |
|
|||
Сабақ жоспары
Бекітемін:
|
Мұғалімнің аты-жөні: |
|
|||||||
|
Пән/Сынып: |
9 сынып |
|||||||
|
Күні: |
|
|||||||
|
Тарау немесе бөлім атауы: |
9.3А Тригонометрия |
|||||||
|
Сабақтың тақырыбы: |
Келтіру формулалары |
|||||||
|
Оқу мақсаты: |
9.2.4.4 келтіру формулаларын қорытып шығару және қолдану; |
|||||||
|
Бағалау критериі: |
|
|||||||
|
Саралап оқыту тапсырмалары |
||||||||
|
Ұжымдық жұмыс Жаңа тақырыптың түсіндірілуі Сабақ мақсаты мен бағалау критерийлерін таныстыру; Бейнероликті қолдана отырып, бекіту тапсырмаларын орындату |
Бірлескен жұмыс (1,2 тапсырма) Тапсырманы ұсыну және дұрыс жауапты ұсыну арқылы үйрету Бекітуге арналғантапсырмаларды орындату; Тапсырмалардың жауаптарын жазу. |
Жеке жұмыс Тапсырманы ұсыну, оқушылар өз бетімен орындауы |
||||||
|
Уақыты |
Кезең дері |
Педагогтің әрекеті |
Оқушының әрекеті |
Бағалау |
Ресурстар |
|||
|
3 минут
|
Ұйымдас тыру |
Сәлеметсіздерме! Бүгін, Келтіру формулалары тақырыбын қарастырамыз Бүгінгі сабақта меңгеретініңіз: (π + α) бұрыштары үшін келтіру формулаларын қорытып шығару және қолданылу жолы Үй тапсырмасын тексеру. №23.19. Қайталау тапсырмалары. |
Сұрақтарға жауап береді. Төмендегі өрнектерді сүйір бұрышына келтіріңіз: А)cos100 b) ctg 200 ctg 270 70 tg70 с) sin 300 |
«Екі жұлдыз бір ұсыныс» |
Оқулық
Интернет ресурстары
|
|||
|
5 мин |
Жаңа сабақты бекіту. |
Келтіру формуласын пайдаланып есептер шығару
Егер бұрышының функциялары берілсе, онда оларды α бұрышына байланысты тригонометриялық функцияларға келтіру ыңғайлы. Ол үшін арнайы берілген келтіру формулаларын қолданамыз. Есте сақта!!!
|
Қосымша ақпарат көздерін пайдалана отырып түсінеді
Тақырып бойынша ресурстарды қарап, танысады
|
|
Слайд
Плакат |
|||
|
10 мин |
Бекіту тапсырма лары |
Есептер шығару. Тапсырма.1. 1-топ. (0˚; 90˚) аралығындағы бұрыштың тригонометриялық функциясына келтіріңдер: sin 680˚= sin (720˚ – 40˚) = — sin 40˚. 2-топ. (0˚; 90˚) аралығындағы бұрыштың тригонометриялық функциясына келтіріңдер: cos (-1000˚) = cos (1080˚ – 80˚) = cos 80˚. 3-топ. (0˚; 90˚) аралығындағы бұрыштың тригонометриялық функциясына келтіріңдер: sin (-178˚) = — sin (180˚ – 2˚) = — sin2˚= — cos 78˚. Тапсырма.2. Өрнектің мәнін табыңдар. а)sin 240˚ = sin (180˚+60˚)= — sin 60 ˚ = -0,5 . ә) tg 300˚ = tg (360˚ — 60˚) = — tg 60 ˚ = -. б) sin (-178˚) = — sin (180˚ – 2˚) = — sin2˚= — cos 78˚. в) соs(-210˚) = cos(180˚+30˚) = -cos 30˚ = — 0.5 Тапсырма.3. Оқулықтан №23.17, №23.18. |
Берілген тапсырма бойынша өз ойларын ортаға салып, пікірлерін білдіріп, жұптық талдау жасайды. Талқылау нәтижесінде өзара бір келісімге келіп есепті орындайды.
Тест тапсырмасын орындайды
Оқулықтан есептер шығарады.
|
Дескриптор Білім алушы: - функцияның кез келген бұрышын тригонометриялық функциялардың сүйір бұрышына келтіреді - ширектегі таңбаларын көрсетеді - келтіру формуласын қолданады - шешімін табады ҚБ: «Плюс, минус, қызықты» әдісі арқылы оқушылар бірін бірі бағалайды |
Слайд
Интернет ресурстары
Жалпы білім беретін мектептің 9–сыныбына арналған оқулық. Оқулық авторлары: А.Е.Әбілқасымова, Т.П.Кучер, В.Е.Корчевский, З.Ә.Жұмағұлова Алматы «Мектеп» баспасы 2019 жыл
|
|||
|
20 мин |
Жеке жұмыс |
Оқушыларға ББЖБ тапсырмалары беріледі.
|
Тапсырманы орындайды |
|
|
|||
|
2 минут
|
|
Бүгінгі сабақта:
Рефлексия:
Үйге тапсырма. № 23.21. |
Тақырыпты меңгергенін анықтау
. |
Кері байланыс |
|
|||
Сабақ жоспары
Бекітемін:
|
Мұғалімнің аты-жөні: |
|
|||||||
|
Пән/Сынып: |
9 сынып |
|||||||
|
Күні: |
|
|||||||
|
Тарау немесе бөлім атауы: |
9.3А Тригонометрия |
|||||||
|
Сабақтың тақырыбы: |
Келтіру формулалары |
|||||||
|
Оқу мақсаты: |
9.2.4.4 келтіру формулаларын қорытып шығару және қолдану; |
|||||||
|
Бағалау критериі: |
|
|||||||
|
Саралап оқыту тапсырмалары |
||||||||
|
Ұжымдық жұмыс Жаңа тақырыптың түсіндірілуі Сабақ мақсаты мен бағалау критерийлерін таныстыру; Бейнероликті қолдана отырып, бекіту тапсырмаларын орындату |
Бірлескен жұмыс (1,2 тапсырма) Тапсырманы ұсыну және дұрыс жауапты ұсыну арқылы үйрету Бекітуге арналғантапсырмаларды орындату; Тапсырмалардың жауаптарын жазу. |
Жеке жұмыс Тапсырманы ұсыну, оқушылар өз бетімен орындауы |
||||||
|
Уақыты |
Кезең дері |
Педагогтің әрекеті |
Оқушының әрекеті |
Бағалау |
Ресурстар |
|||
|
3 минут
|
Ұйымдас тыру |
Сәлеметсіздерме! Бүгін, Келтіру формулалары тақырыбын қарастырамыз Бүгінгі сабақта меңгеретініңіз: (π + α) бұрыштары үшін келтіру формулаларын қорытып шығару және қолданылу жолы Үй тапсырмасын тексеру. №23.21. Қайталау тапсырмалары. |
Сұрақтарға жауап береді. Төмендегі өрнектерді сүйір бұрышына келтіріңіз: А)cos100 b) ctg 200 ctg 270 70 tg70 с) sin 300 |
«Екі жұлдыз бір ұсыныс» |
Оқулық
Интернет ресурстары
|
|||
|
5 мин |
Жаңа сабақты бекіту. |
Келтіру формуласын пайдаланып есептер шығару
Егер бұрышының функциялары берілсе, онда оларды α бұрышына байланысты тригонометриялық функцияларға келтіру ыңғайлы. Ол үшін арнайы берілген келтіру формулаларын қолданамыз. Есте сақта!!!
|
Қосымша ақпарат көздерін пайдалана отырып түсінеді
Тақырып бойынша ресурстарды қарап, танысады
|
|
Слайд
Плакат |
|||
|
20 мин |
Бекіту тапсырма лары |
Есептер шығару. Тапсырма.1. 1-топ. (0˚; 90˚) аралығындағы бұрыштың тригонометриялық функциясына келтіріңдер: sin 680˚= sin (720˚ – 40˚) = — sin 40˚. 2-топ. (0˚; 90˚) аралығындағы бұрыштың тригонометриялық функциясына келтіріңдер: cos (-1000˚) = cos (1080˚ – 80˚) = cos 80˚. 3-топ. (0˚; 90˚) аралығындағы бұрыштың тригонометриялық функциясына келтіріңдер: sin (-178˚) = — sin (180˚ – 2˚) = — sin2˚= — cos 78˚. Тапсырма.2. Өрнектің мәнін табыңдар. а)sin 240˚ = sin (180˚+60˚)= — sin 60 ˚ = -0,5 . ә) tg 300˚ = tg (360˚ — 60˚) = — tg 60 ˚ = -. б) sin (-178˚) = — sin (180˚ – 2˚) = — sin2˚= — cos 78˚. в) соs(-210˚) = cos(180˚+30˚) = -cos 30˚ = — 0.5 Тапсырма.3. Оқулықтан №23.22, №23.23. |
Берілген тапсырма бойынша өз ойларын ортаға салып, пікірлерін білдіріп, жұптық талдау жасайды. Талқылау нәтижесінде өзара бір келісімге келіп есепті орындайды.
Тест тапсырмасын орындайды
Оқулықтан есептер шығарады.
|
Дескриптор Білім алушы: - функцияның кез келген бұрышын тригонометриялық функциялардың сүйір бұрышына келтіреді - ширектегі таңбаларын көрсетеді - келтіру формуласын қолданады - шешімін табады ҚБ: «Плюс, минус, қызықты» әдісі арқылы оқушылар бірін бірі бағалайды |
Слайд
Интернет ресурстары
Жалпы білім беретін мектептің 9–сыныбына арналған оқулық. Оқулық авторлары: А.Е.Әбілқасымова, Т.П.Кучер, В.Е.Корчевский, З.Ә.Жұмағұлова Алматы «Мектеп» баспасы 2019 жыл
|
|||
|
10 мин |
Жеке жұмыс |
Оқушыларға тест тапсырмалары беріледі.
|
Тапсырманы орындайды |
|
|
|||
|
2 минут
|
|
Бүгінгі сабақта:
Рефлексия:
Үйге тапсырма. № 23.24. |
Тақырыпты меңгергенін анықтау
. |
Кері байланыс |
|
|||
Сабақ жоспары
Бекітемін:
|
Мұғалімнің аты-жөні: |
|
|||||||
|
Пән/Сынып: |
9 сынып |
|||||||
|
Күні: |
|
|||||||
|
Тарау немесе бөлім атауы: |
9.3А Тригонометрия |
|||||||
|
Сабақтың тақырыбы: |
Келтіру формулалары |
|||||||
|
Оқу мақсаты: |
9.2.4.4 келтіру формулаларын қорытып шығару және қолдану; |
|||||||
|
Бағалау критериі: |
|
|||||||
|
Саралап оқыту тапсырмалары |
||||||||
|
Ұжымдық жұмыс Жаңа тақырыптың түсіндірілуі Сабақ мақсаты мен бағалау критерийлерін таныстыру; Бейнероликті қолдана отырып, бекіту тапсырмаларын орындату |
Бірлескен жұмыс (1,2 тапсырма) Тапсырманы ұсыну және дұрыс жауапты ұсыну арқылы үйрету Бекітуге арналғантапсырмаларды орындату; Тапсырмалардың жауаптарын жазу. |
Жеке жұмыс Тапсырманы ұсыну, оқушылар өз бетімен орындауы |
||||||
|
Уақыты |
Кезең дері |
Педагогтің әрекеті |
Оқушының әрекеті |
Бағалау |
Ресурстар |
|||
|
3 минут
|
Ұйымдас тыру |
Сәлеметсіздерме! Бүгін, Келтіру формулалары тақырыбын қарастырамыз Бүгінгі сабақта меңгеретініңіз: (π + α) бұрыштары үшін келтіру формулаларын қорытып шығару және қолданылу жолы Үй тапсырмасын тексеру. №23.21. Қайталау тапсырмалары. |
Сұрақтарға жауап береді. Төмендегі өрнектерді сүйір бұрышына келтіріңіз: А)cos100 b) ctg 200 ctg 270 70 tg70 с) sin 300 |
«Екі жұлдыз бір ұсыныс» |
Оқулық
Интернет ресурстары
|
|||
|
5 мин |
Жаңа сабақты бекіту. |
Келтіру формуласын пайдаланып есептер шығару
Егер бұрышының функциялары берілсе, онда оларды α бұрышына байланысты тригонометриялық функцияларға келтіру ыңғайлы. Ол үшін арнайы берілген келтіру формулаларын қолданамыз. Есте сақта!!!
|
Қосымша ақпарат көздерін пайдалана отырып түсінеді
Тақырып бойынша ресурстарды қарап, танысады
|
|
Слайд
Плакат |
|||
|
20 мин |
Бекіту тапсырма лары |
Есептер шығару. №1. Тригонометриялық функцияның мәнін 45° бұрыштан кем бұрышқа келтір.
1)
5) №2. Өрнекті ықшамдаңдар:
а)
б) №3. Теңбе-теңдікті дәлелдеңдер:
1)
2) Жеке жұмыс №4 (2, 4). Өрнекті ықшамдаңдар:
2)
4) №5 (2, 4). Өрнекті ықшамдаңдар:
2)
4) Оқулықтан №23.25, №23.26. |
Берілген тапсырма бойынша өз ойларын ортаға салып, пікірлерін білдіріп, жұптық талдау жасайды. Талқылау нәтижесінде өзара бір келісімге келіп есепті орындайды.
Тест тапсырмасын орындайды
Оқулықтан есептер шығарады.
|
Дескриптор Білім алушы: - функцияның кез келген бұрышын тригонометриялық функциялардың сүйір бұрышына келтіреді - ширектегі таңбаларын көрсетеді - келтіру формуласын қолданады - шешімін табады ҚБ: «Плюс, минус, қызықты» әдісі арқылы оқушылар бірін бірі бағалайды |
Слайд
Интернет ресурстары
Жалпы білім беретін мектептің 9–сыныбына арналған оқулық. Оқулық авторлары: А.Е.Әбілқасымова, Т.П.Кучер, В.Е.Корчевский, З.Ә.Жұмағұлова Алматы «Мектеп» баспасы 2019 жыл
|
|||
|
10 мин |
Жеке жұмыс |
Оқушыларға тест тапсырмалары беріледі.
|
Тапсырманы орындайды |
|
|
|||
|
2 минут
|
|
Бүгінгі сабақта:
Рефлексия:
Үйге тапсырма. № 23.27. |
Тақырыпты меңгергенін анықтау
. |
Кері байланыс |
|
|||
Сабақ жоспары
Бекітемін:
|
Мұғалімнің аты-жөні: |
|
|||||||||||||
|
Пән/Сынып: |
9 сынып |
|||||||||||||
|
Күні: |
|
|||||||||||||
|
Тарау немесе бөлім атауы: |
9.3А Тригонометрия |
|||||||||||||
|
Сабақтың тақырыбы: |
Келтіру формулалары |
|||||||||||||
|
Оқу мақсаты: |
9.2.4.4 келтіру формулаларын қорытып шығару және қолдану; |
|||||||||||||
|
Бағалау критериі: |
|
|||||||||||||
|
Саралап оқыту тапсырмалары |
||||||||||||||
|
Ұжымдық жұмыс Жаңа тақырыптың түсіндірілуі Сабақ мақсаты мен бағалау критерийлерін таныстыру; Бейнероликті қолдана отырып, бекіту тапсырмаларын орындату |
Бірлескен жұмыс (1,2 тапсырма) Тапсырманы ұсыну және дұрыс жауапты ұсыну арқылы үйрету Бекітуге арналғантапсырмаларды орындату; Тапсырмалардың жауаптарын жазу. |
Жеке жұмыс Тапсырманы ұсыну, оқушылар өз бетімен орындауы |
||||||||||||
|
Уақыты |
Кезең дері |
Педагогтің әрекеті |
Оқушының әрекеті |
Бағалау |
Ресурстар |
|||||||||
|
3 минут
|
Ұйымдас тыру |
Сәлеметсіздерме! Бүгін, Келтіру формулалары тақырыбын қарастырамыз Бүгінгі сабақта меңгеретініңіз: (π + α) бұрыштары үшін келтіру формулаларын қорытып шығару және қолданылу жолы Үй тапсырмасын тексеру. №23.27. Қайталау тапсырмалары. |
Сұрақтарға жауап береді. Төмендегі өрнектерді сүйір бұрышына келтіріңіз: А)cos100 b) ctg 200 ctg 270 70 tg70 с) sin 300 |
«Екі жұлдыз бір ұсыныс» |
Оқулық
Интернет ресурстары
|
|||||||||
|
5 мин |
Жаңа сабақты бекіту. |
Тригонометриялық функциялар деп қандай
функцияларды айтамыз?
|
Тақырып бойынша ресурстарды қарап, танысады
|
|
Слайд
Плакат |
|||||||||
|
20 мин |
Бекіту тапсырма лары |
Есептер шығару. № 1 № 4
Оқулықтан №23.21, №23.28. |
Берілген тапсырма бойынша өз ойларын ортаға салып, пікірлерін білдіріп, жұптық талдау жасайды. Талқылау нәтижесінде өзара бір келісімге келіп есепті орындайды.
Тест тапсырмасын орындайды
Оқулықтан есептер шығарады.
|
Дескриптор Білім алушы: - функцияның кез келген бұрышын тригонометриялық функциялардың сүйір бұрышына келтіреді - ширектегі таңбаларын көрсетеді - келтіру формуласын қолданады - шешімін табады ҚБ: «Плюс, минус, қызықты» әдісі арқылы оқушылар бірін бірі бағалайды |
Интернет ресурстары
Жалпы білім беретін мектептің 9–сыныбына арналған оқулық. Оқулық авторлары: А.Е.Әбілқасымова, Т.П.Кучер, В.Е.Корчевский, З.Ә.Жұмағұлова Алматы «Мектеп» баспасы 2019 жыл
|
|||||||||
|
10 мин |
Жеке жұмыс |
Оқушыларға тест тапсырмалары беріледі.
|
Тапсырманы орындайды |
|
|
|||||||||
|
2 минут
|
|
Бүгінгі сабақта:
Рефлексия:
Үйге тапсырма. № 23.22. |
Тақырыпты меңгергенін анықтау . |
Кері байланыс |
|
|||||||||
шағым қалдыра аласыз
α







радиан

=
(рад)









2πR*5=10πR=12
(м/с)

















ефлексия:






























































B)
C)0 D)1















=
=
=
=
=
=
=
=
=
=
=






