|
Екі айнымалысы бар теңсіздік. |
Мектеп: №29 Сейфуллин ЖОМ |
|||||||||
|
Күні:27.10.2017 ж |
Мұғалімнің аты-жөні:Абиев А Пәні:Алгебра |
|||||||||
|
Сынып:9 |
Қатысқан оқушы саны: |
Қатыспаған оқушы саны: |
||||||||
|
Осы сабақта қол жеткізілетін оқу мақсаттары |
Оқушылар: осы тақырып бойынша білу, түсіну, талдау, қолдану, анализ, синтез ойлау дағдыларын қалыптастырады. |
|||||||||
|
Сабақтың мақсаты |
Тақырып аясында берілген есептерді шығара алады, яғни теориялық алған білімін практикада қолдана алады. |
|||||||||
|
Жетістік критерийлері |
Оқушылар осы тақырып бойынша білу, түсіну, талдау, қолдану, анализ, синтез ойлау дағдыларын қалыптастыруы тиіс. |
|||||||||
|
Тілдік мақсат |
Осы тақырыпқа қатысты терминдерді үш тілде меңгереді, қазақ, орыс, ағылшын тіліндегі әдебиеттердегі материалдарды меңгере алады. Ол үшін мынадай сөздіктер қолданамын. |
|||||||||
|
|
Қазақша |
Русский |
English |
|
||||||
|
Процент және пайдаға есептер |
Задачи на процент и дохода |
Percentage and interest problems |
|
|||||||
|
Жылдық пайда |
Годовой долход |
Annual interest |
|
|||||||
|
Күндік пайда |
Дневной доход |
Daily interest |
|
|||||||
|
Ай сайынғы пайда |
Месячный доход |
Monthly interest |
|
|||||||
|
Барлығының өлшемі |
Общее количество |
Total amount |
|
|||||||
|
Қоспаға есептер |
Задачи на смесь |
Mixture problems |
|
|||||||
|
Шешімдерінің саны |
Количество решении |
Amount of solution |
|
|||||||
|
Бастапқы |
первоначально |
initially |
|
|||||||
|
Құндылықтарды дамыту |
Болашаққа бағдар: Рухани жаңғырудың 6 негізгі бағыты - бәсекеге қабілеттілік, прагматизм, білімнің салтанат құруы, сананың ашықтығы, Туған жер бағдарламасы, латын әліпбиіне көшу, «100 жаңа оқулық» аясында патриоттыққа тәрбиелеу |
|||||||||
|
Пәнаралық байланыс |
Геометрия, тұрмыста қолдана алу |
|||||||||
|
АКТ қолдану дағдылары |
Интерактивті тақста, интернет ресурстары (сайттар, видеолар, есептер), таратпа материалдар, көрнекі-демонстрациялық құралдар, фигуралар |
|||||||||
|
Бастапқы білім |
|
|||||||||
|
Сабақ барысы |
||||||||||
|
Сабақтың кезеңдері |
Сабақта орындалатын іс-әрекеттер |
Оқыту ресурстары |
||||||||
|
Басы 5 минут |
Ұйымдастыру сәті Үй жұмысын тексеру Математикалық логикалық есептер беру арқылы «Миға шабуыл» |
|
||||||||
|
|
|
|
Фигурада неше үшбұрыш бар? |
|||||||
|
|
|
|||||||||
|
Негізгі бөлім Тақырыпты ашу 35 минут |
|
|
||||||||

|
|
D) 18
A) B) C) D)
5.
|
|

|
|
6. Суретте заттың Т температурасының t уақытқа тәуелділігі көрсетілген. Уақыттың қай бөлігінде температура тұрақты?. |
|
|
Соңы 5 минут |
Сабақты бекіту Рефлексия «Аяқталмаған сөйлемдер» стратегиясы бойынша оқушылар оқу мақсаттарының жетістік критерийлеріне сәйкес өздерінің бүгінгі сабақта нені ұғынып, нені игергендерін, нені әлі де болса жетілдіру қажет екендері жайлы ойларын стикерлерге жазады. Үйге тапсырма: №108,№110, 31 бет. |
|

Тексерілді: Қ. Абиев
жүктеу мүмкіндігіне ие боласыз
Бұл материал сайт қолданушысы жариялаған. Материалдың ішінде жазылған барлық ақпаратқа жауапкершілікті жариялаған қолданушы жауап береді. Ұстаз тілегі тек ақпаратты таратуға қолдау көрсетеді. Егер материал сіздің авторлық құқығыңызды бұзған болса немесе басқа да себептермен сайттан өшіру керек деп ойласаңыз осында жазыңыз
Екі айнымалысы бар сызықтық теңсіздік
|
Екі айнымалысы бар теңсіздік. |
Мектеп: №29 Сейфуллин ЖОМ |
|||||||||
|
Күні:27.10.2017 ж |
Мұғалімнің аты-жөні:Абиев А Пәні:Алгебра |
|||||||||
|
Сынып:9 |
Қатысқан оқушы саны: |
Қатыспаған оқушы саны: |
||||||||
|
Осы сабақта қол жеткізілетін оқу мақсаттары |
Оқушылар: осы тақырып бойынша білу, түсіну, талдау, қолдану, анализ, синтез ойлау дағдыларын қалыптастырады. |
|||||||||
|
Сабақтың мақсаты |
Тақырып аясында берілген есептерді шығара алады, яғни теориялық алған білімін практикада қолдана алады. |
|||||||||
|
Жетістік критерийлері |
Оқушылар осы тақырып бойынша білу, түсіну, талдау, қолдану, анализ, синтез ойлау дағдыларын қалыптастыруы тиіс. |
|||||||||
|
Тілдік мақсат |
Осы тақырыпқа қатысты терминдерді үш тілде меңгереді, қазақ, орыс, ағылшын тіліндегі әдебиеттердегі материалдарды меңгере алады. Ол үшін мынадай сөздіктер қолданамын. |
|||||||||
|
|
Қазақша |
Русский |
English |
|
||||||
|
Процент және пайдаға есептер |
Задачи на процент и дохода |
Percentage and interest problems |
|
|||||||
|
Жылдық пайда |
Годовой долход |
Annual interest |
|
|||||||
|
Күндік пайда |
Дневной доход |
Daily interest |
|
|||||||
|
Ай сайынғы пайда |
Месячный доход |
Monthly interest |
|
|||||||
|
Барлығының өлшемі |
Общее количество |
Total amount |
|
|||||||
|
Қоспаға есептер |
Задачи на смесь |
Mixture problems |
|
|||||||
|
Шешімдерінің саны |
Количество решении |
Amount of solution |
|
|||||||
|
Бастапқы |
первоначально |
initially |
|
|||||||
|
Құндылықтарды дамыту |
Болашаққа бағдар: Рухани жаңғырудың 6 негізгі бағыты - бәсекеге қабілеттілік, прагматизм, білімнің салтанат құруы, сананың ашықтығы, Туған жер бағдарламасы, латын әліпбиіне көшу, «100 жаңа оқулық» аясында патриоттыққа тәрбиелеу |
|||||||||
|
Пәнаралық байланыс |
Геометрия, тұрмыста қолдана алу |
|||||||||
|
АКТ қолдану дағдылары |
Интерактивті тақста, интернет ресурстары (сайттар, видеолар, есептер), таратпа материалдар, көрнекі-демонстрациялық құралдар, фигуралар |
|||||||||
|
Бастапқы білім |
|
|||||||||
|
Сабақ барысы |
||||||||||
|
Сабақтың кезеңдері |
Сабақта орындалатын іс-әрекеттер |
Оқыту ресурстары |
||||||||
|
Басы 5 минут |
Ұйымдастыру сәті Үй жұмысын тексеру Математикалық логикалық есептер беру арқылы «Миға шабуыл» |
|
||||||||
|
|
|
|
Фигурада неше үшбұрыш бар? |
|||||||
|
|
|
|||||||||
|
Негізгі бөлім Тақырыпты ашу 35 минут |
|
|
||||||||

|
|
D) 18
A) B) C) D)
5.
|
|

|
|
6. Суретте заттың Т температурасының t уақытқа тәуелділігі көрсетілген. Уақыттың қай бөлігінде температура тұрақты?. |
|
|
Соңы 5 минут |
Сабақты бекіту Рефлексия «Аяқталмаған сөйлемдер» стратегиясы бойынша оқушылар оқу мақсаттарының жетістік критерийлеріне сәйкес өздерінің бүгінгі сабақта нені ұғынып, нені игергендерін, нені әлі де болса жетілдіру қажет екендері жайлы ойларын стикерлерге жазады. Үйге тапсырма: №108,№110, 31 бет. |
|

Тексерілді: Қ. Абиев
шағым қалдыра аласыз
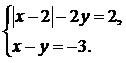
теңдеулер жүйесінің (х; у) шешімін тауып, х + у мәнін есептеңіз
.












