Жұптық тапсырма
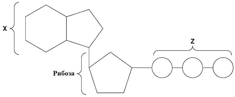
1) Суретте АТФ молекуласының құрылысы бейнеленген.

а) АТФ молекуласы құрылымының Х бөлігін атаңыздар.
б) АТФ молекуласының жасушаларда алатын ролін сипаттап, түсіндіріңіз:
2) Төмендегі сипаттарға тән затты көрсетіңіз
I. Ағзаның тыныс алуында сыртқа шығарылады
II. Өсімдік тіршілігі үшін қажет
III. Фотосинтез барысында ауадан сіңіріледі
А) Н2О B) CO2
Б) N2 D) O2
3) Шаштың ұшын қиғанда біз ауырсынуды сезбейміз, ал түбінен тартқанда ауырсынуды сеземіз? Мұны қалай түсіндіресіз?
4) Сәйкестендіру.
|
Ауру түрлері |
Бездер |
|
А.Алыптық Б.Базед В.Микседема Г.Акромегалия Д.Кретинизм. |
1.Гипофиз 2.Қалқанша без |
5) Суретте адам миының құрылысы берілген. Сандармен берілген ми бөліктерінін анықтап, теріде пигменттің түзілуін реттейтін ми бөлімінің атауын табыңыз.

6) Көмірсудың ыдырауы басталып және аяқталатын орнын анықтаңыз
![]()
Х
Фермент
Глюкоза
Көмірсу
А) Ауыз - тоқішек
Б) Асқазан – ашішек
С) Ашішек – тоқішек
Д) Ауыз – ашішек
7) Днқ молекуласында аденин мен тиминнің әрқайсысының саны 15 –ке, гуанин мен цитозиннің әрқайсысының саны 8-ге тең. Днқ молекуласындағы сутектік байланыстардың саны.
А) 48 Б) 30 С) 108 Д) 30
8) Құрамында оттегі мен жарық жоқ, бірақ қанты бар ортада тіршілік ете алатын ағзаны көрсетіңіз.
А)
Б)

C)
Д)

9) Жауынқұртта алғаш пайда болған асқорту мүшесі
А) Бүйрек Б) Асқазан С) Сілеке бездері
10) Қызанақтың қызыл түсі сары түсінен басым. Гомозиготалы қызыл қызанақ пен гомозиготалы сары қызанақтан пайда болған ұрпақтың фенотипі:
А) 100 % сары
Б) 50 % сары, 50 % қызыл
С) 100 % қызыл
жүктеу мүмкіндігіне ие боласыз
Бұл материал сайт қолданушысы жариялаған. Материалдың ішінде жазылған барлық ақпаратқа жауапкершілікті жариялаған қолданушы жауап береді. Ұстаз тілегі тек ақпаратты таратуға қолдау көрсетеді. Егер материал сіздің авторлық құқығыңызды бұзған болса немесе басқа да себептермен сайттан өшіру керек деп ойласаңыз осында жазыңыз
Функционалалдық тапсырмалар
Функционалалдық тапсырмалар
Жұптық тапсырма
1) Суретте АТФ молекуласының құрылысы бейнеленген.

а) АТФ молекуласы құрылымының Х бөлігін атаңыздар.
б) АТФ молекуласының жасушаларда алатын ролін сипаттап, түсіндіріңіз:
2) Төмендегі сипаттарға тән затты көрсетіңіз
I. Ағзаның тыныс алуында сыртқа шығарылады
II. Өсімдік тіршілігі үшін қажет
III. Фотосинтез барысында ауадан сіңіріледі
А) Н2О B) CO2
Б) N2 D) O2
3) Шаштың ұшын қиғанда біз ауырсынуды сезбейміз, ал түбінен тартқанда ауырсынуды сеземіз? Мұны қалай түсіндіресіз?
4) Сәйкестендіру.
|
Ауру түрлері |
Бездер |
|
А.Алыптық Б.Базед В.Микседема Г.Акромегалия Д.Кретинизм. |
1.Гипофиз 2.Қалқанша без |
5) Суретте адам миының құрылысы берілген. Сандармен берілген ми бөліктерінін анықтап, теріде пигменттің түзілуін реттейтін ми бөлімінің атауын табыңыз.

6) Көмірсудың ыдырауы басталып және аяқталатын орнын анықтаңыз
![]()
Х
Фермент
Глюкоза
Көмірсу
А) Ауыз - тоқішек
Б) Асқазан – ашішек
С) Ашішек – тоқішек
Д) Ауыз – ашішек
7) Днқ молекуласында аденин мен тиминнің әрқайсысының саны 15 –ке, гуанин мен цитозиннің әрқайсысының саны 8-ге тең. Днқ молекуласындағы сутектік байланыстардың саны.
А) 48 Б) 30 С) 108 Д) 30
8) Құрамында оттегі мен жарық жоқ, бірақ қанты бар ортада тіршілік ете алатын ағзаны көрсетіңіз.
А)
Б)

C)
Д)

9) Жауынқұртта алғаш пайда болған асқорту мүшесі
А) Бүйрек Б) Асқазан С) Сілеке бездері
10) Қызанақтың қызыл түсі сары түсінен басым. Гомозиготалы қызыл қызанақ пен гомозиготалы сары қызанақтан пайда болған ұрпақтың фенотипі:
А) 100 % сары
Б) 50 % сары, 50 % қызыл
С) 100 % қызыл
шағым қалдыра аласыз













