|
Сабақ тақырыбы Сабақ |
Түзусызықты теңайнымалы қозғалыс кезіндегі жылдамдық және орын ауыстыру |
||||||||||||
|
Мерзімі |
|
||||||||||||
|
Сынып 9 |
Қатысқандар саны |
қатыспағандар саны |
|||||||||||
|
Сабақ негізделген оқу мақсаты |
9.2.1.5 түзу сызықты теңайнымалы қозғалыс кезіндегі жылдамдық және үдеу формулаларын есептер шығаруда қолдану; 9.2.1.6 түзу сызықты теңайнымалы қозғалыс кезіндегі координата мен орын ауыстыру теңдеулерін есептер шығаруда қолдану; |
||||||||||||
|
Сабақ мақсаттары |
Барлық оқушылар түзу сызықты теңайнымалы қозғалыс кезіндегі жылдамдық, орын ауыстыру туралы түсінік алады . Оқушылардың басым бөлігі: Түзу сызықты теңайнымалы қозғалыс кезіндегі жылдамдық және орын ауыстыру жайлы мағлұмат алады Кейбір оқушылар: Дененің ішкі энергиясын өзгерту тәсілдері жайлы күнделікті өмірде қолдана білуге үйренеді |
||||||||||||
|
Бағалау критерийі |
Түзу сызықты теңайнымалы қозғалыс кезіндегі жылдамдық және орын ауыстыру формулаларын есеп шығаруда қолдана білуге үйренеді
|
||||||||||||
|
Тілдік мақсаттар: |
Оқушылар: Теңайнымалы қозғалыс деп дененің жылдамдығы кез келген бірдей уақыт аралығында бірдей шамаға өзгеріп отыратын қозғалысты айтады. Үдеу дегеніміз – жылдамдықтың өзгеру шапшаңдығын сипаттайтын шама; ал жылдамдық өзгерісінің осы өзгеріс болған уақыт аралығына қатынасына тең. Пән лексикасы және терминология: Түзу сызық, үздеу, шама, . Диалог және жазылым үшін қажетті сөз тіркестер: Келесі көріністе сіздер ………………………….. тамашалайсыздар. Назарларыңызға ұсынылған қойылымда ………………… куәгері боласыздар. |
||||||||||||
|
Ресурстар |
Оқулық, суреттер, топқа , бөлуге арналған кеспе қағаздар және әртүрлі заттар, топтық тапсырмалар, кері байланыс, стикер. |
||||||||||||
|
Әдіс-тәсілдер |
Сұрақ-жауап, әңгімелеу, түсіндіру, ойын, көрнекілік. Рефлексия. |
||||||||||||
|
Пәнаралық байланыс |
География |
||||||||||||
|
Алдыңғы оқу |
Түзу сызық |
||||||||||||
|
Жоспар |
|||||||||||||
|
Жоспарланған уақыт |
Жоспарланған жаттығулар |
45 |
|||||||||||
|
Басталуы
|
Атмасфералық жағдайды қалыптастыру. «Миға шабуыл» Әдісі бойынша сұрақ- жауап сәті Оқушылардың үй тапсырмасын қалай меңгергендерін тексеру:
|
5 минут |
|||||||||||
|
Ортасы м |
Жаңа сабақ.
Мұндай қозғалыстың графигі
Енді Мұндай қозғалыстың графигі
Мұндай қозғалыстың графигі
Түзу сызықты қозғалыстағы орын ауыстыру векторының модулі жүрілген жолмен сәйкес келеді. Қозғалыстың басталу мына шартқа сәйкес
келеді:
шектелген фигураның, яғни
Жасырын санды тап! «Физикалық эстафета ойыны» Топтық жұмыс м
№1
Шы
Б
Т
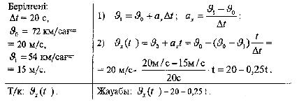
Жа 20 40 60 80 100 №2 Поездың жылдамдығы 20 с ішінде 72-ден 54 км/сағ –қа дейін кеміді. Жылдамдықтың уақытқа тәуелділігінің формуласын жазыңдар және осы тәуелділіктің графигін салыңдар.
v
t
№3.
Суреттегі жылдамдық графигін пайдаланып
бастапқы жылдамдықты, төртінші секундтың бас кезіндегі және алтыншы
секундтың аяқ кезіндегі жылдамдықты табыңдар. Үдеуді есептеп
шығарыңдар және Шығарылуы:
Сергіту сәті IV. Талдау (анализ) – технологиялық деңгей (Бұрынғы білім негізін пайдалана отырып, жаңа проблеманы шешу). (10 мин.) Тез ойлай білеміз бе? «Кім жылдам?» «Физикалық дуэль» - тең айнымалы қозғалыс деп қандай қозғалысты айтады? - тең айнымалы қозғалыс кезінде жылдамдық қалай өзгереді? - үдеу дегеніміз қандай физикалық шама? - үдеу қандай формуламен өрнектеледі және оның өлшем бірлігі қандай? - үдемелі қозғалыстың баяулайтын қозғалыстан айырмашылығы неде? -Үдеумен қозғалатын дененің жылдамдығы нөлге тең бола ала ма? - Үдеу нөлге тең болғанда (а=0), қозғалыс қандай сипат алады? V. Жинақтау (синтез) – зерттеушілік деңгей (жалқыдан жалпыға, жеке бөлшектерден жаңа дүние жасау). «Өтілген тақырыпты бекіту» (5 мин.) Тест.
20.
1
2
3
A 21. Велосипедшінің жылдамдығының уақытқа тәуелді графигі бойынша бастапқы 4с-тағы үдеуі
A) 12 м/с2. B) 22. График бойынша дененің үдеуі мен 10 с-тағы орын ауыстыруы A) -0,4 м/с2; 20 м. B) -0,3 м/с2; 35 м. C) -0,1 м/с2; 25 м. D) -0,2 м/с2; 30 E) -2 м/с2; 40 м. {Дұрыс жауап}= D Өзара бағалау ( дескриптор бойынша) Бағалау СГ 3. Есептердің шығару нәтижелерін көрсету Оқытудың мақсаты бойынша.
|
35 минут |
|||||||||||
|
Аяқталуы
(Жинақтау+ бағалау)
|
Қорытынды Автор орындығы» әдісі Жазба жұмыстарын ұсынады. Оқушылар автор орындығында отырған оқушыға сұрақ қояды Рефлексия «Таңдау» әдісі. 1.Мен сабақ қызықты, қызықсыз болды деп ойлаймын. 2. Мен сабақта ... үйрендім. 3. Мен басқаларды ... тыңдадым. 4. Мен сабақта ... орындай алдым. 5. Мен сабақтағы өз жетістіктеріме ризамын, риза емеспін. |
5 минут |
|||||||||||
|
Қосымша ақпарат |
|||||||||||||
|
Саралау - Сіз қосымша көмек көрсетуді қалай жоспарлайсыз? |
Бағалау - оқушылардың үйренгенін тексеруді қалай жоспарлайыз? Фармативтік бағалау түрлерін қолдану арқылы :сабақты тусынгенін тексеру бас бармақ әдісін қалданамын. |
Пәнаралық байланыс Қауіпсіздік және еңбекті қорғау ережелері АКТ-мен байланыс құндылығы байланыс |
|||||||||||
|
Сұрақтар беру арқылы |
|
|||||||||||
|
Рефлексия Сабақтың оқу мақсаты шынайы ма? Бүгін оқушылар не білді? Сыныптағы ахуал қандай болды? Мен орындаған саралау шаралары тиімді болды ма? Мен бүкіл уақыт ішінде үлгердім бе? Мен өз жоспарыма қандай түзетулер енгіздім және неліктен? |
Төмендегі ұяшыққа сабақ туралы өз пікірлеріңізді жазыңыз. Сл ұяшықтағы Сіздің сабақтың тақырыбына сәйкес келетін сұрақтарға жауап беріңіз. |
|
|||||||||||
|
Қорытынды бағамдау |
|||||||||||||
|
Қандай екі нәрсе табысты болды? (оқытуды да, оқуды да ескеріңіз) 1. 2. Қандай екі нәрсе сабақты жақсарта алды? (оқытуды да, оқуды да ескеріңіз) 1. 2. Сабақ барысында мен сынып немесе жекелеген оқушылар туралы менің келесі сабағымды жетілдіруге көмектесетін не білдім? 1. 2. |
|||||||||||||
жүктеу мүмкіндігіне ие боласыз
Бұл материал сайт қолданушысы жариялаған. Материалдың ішінде жазылған барлық ақпаратқа жауапкершілікті жариялаған қолданушы жауап береді. Ұстаз тілегі тек ақпаратты таратуға қолдау көрсетеді. Егер материал сіздің авторлық құқығыңызды бұзған болса немесе басқа да себептермен сайттан өшіру керек деп ойласаңыз осында жазыңыз
Гук заңы
Гук заңы
|
Сабақ тақырыбы Сабақ |
Түзусызықты теңайнымалы қозғалыс кезіндегі жылдамдық және орын ауыстыру |
||||||||||||
|
Мерзімі |
|
||||||||||||
|
Сынып 9 |
Қатысқандар саны |
қатыспағандар саны |
|||||||||||
|
Сабақ негізделген оқу мақсаты |
9.2.1.5 түзу сызықты теңайнымалы қозғалыс кезіндегі жылдамдық және үдеу формулаларын есептер шығаруда қолдану; 9.2.1.6 түзу сызықты теңайнымалы қозғалыс кезіндегі координата мен орын ауыстыру теңдеулерін есептер шығаруда қолдану; |
||||||||||||
|
Сабақ мақсаттары |
Барлық оқушылар түзу сызықты теңайнымалы қозғалыс кезіндегі жылдамдық, орын ауыстыру туралы түсінік алады . Оқушылардың басым бөлігі: Түзу сызықты теңайнымалы қозғалыс кезіндегі жылдамдық және орын ауыстыру жайлы мағлұмат алады Кейбір оқушылар: Дененің ішкі энергиясын өзгерту тәсілдері жайлы күнделікті өмірде қолдана білуге үйренеді |
||||||||||||
|
Бағалау критерийі |
Түзу сызықты теңайнымалы қозғалыс кезіндегі жылдамдық және орын ауыстыру формулаларын есеп шығаруда қолдана білуге үйренеді
|
||||||||||||
|
Тілдік мақсаттар: |
Оқушылар: Теңайнымалы қозғалыс деп дененің жылдамдығы кез келген бірдей уақыт аралығында бірдей шамаға өзгеріп отыратын қозғалысты айтады. Үдеу дегеніміз – жылдамдықтың өзгеру шапшаңдығын сипаттайтын шама; ал жылдамдық өзгерісінің осы өзгеріс болған уақыт аралығына қатынасына тең. Пән лексикасы және терминология: Түзу сызық, үздеу, шама, . Диалог және жазылым үшін қажетті сөз тіркестер: Келесі көріністе сіздер ………………………….. тамашалайсыздар. Назарларыңызға ұсынылған қойылымда ………………… куәгері боласыздар. |
||||||||||||
|
Ресурстар |
Оқулық, суреттер, топқа , бөлуге арналған кеспе қағаздар және әртүрлі заттар, топтық тапсырмалар, кері байланыс, стикер. |
||||||||||||
|
Әдіс-тәсілдер |
Сұрақ-жауап, әңгімелеу, түсіндіру, ойын, көрнекілік. Рефлексия. |
||||||||||||
|
Пәнаралық байланыс |
География |
||||||||||||
|
Алдыңғы оқу |
Түзу сызық |
||||||||||||
|
Жоспар |
|||||||||||||
|
Жоспарланған уақыт |
Жоспарланған жаттығулар |
45 |
|||||||||||
|
Басталуы
|
Атмасфералық жағдайды қалыптастыру. «Миға шабуыл» Әдісі бойынша сұрақ- жауап сәті Оқушылардың үй тапсырмасын қалай меңгергендерін тексеру:
|
5 минут |
|||||||||||
|
Ортасы м |
Жаңа сабақ.
Мұндай қозғалыстың графигі
Енді Мұндай қозғалыстың графигі
Мұндай қозғалыстың графигі
Түзу сызықты қозғалыстағы орын ауыстыру векторының модулі жүрілген жолмен сәйкес келеді. Қозғалыстың басталу мына шартқа сәйкес
келеді:
шектелген фигураның, яғни
Жасырын санды тап! «Физикалық эстафета ойыны» Топтық жұмыс м
№1
Шы
Б
Т
Жа 20 40 60 80 100 №2 Поездың жылдамдығы 20 с ішінде 72-ден 54 км/сағ –қа дейін кеміді. Жылдамдықтың уақытқа тәуелділігінің формуласын жазыңдар және осы тәуелділіктің графигін салыңдар.
v
t
№3.
Суреттегі жылдамдық графигін пайдаланып
бастапқы жылдамдықты, төртінші секундтың бас кезіндегі және алтыншы
секундтың аяқ кезіндегі жылдамдықты табыңдар. Үдеуді есептеп
шығарыңдар және Шығарылуы:
Сергіту сәті IV. Талдау (анализ) – технологиялық деңгей (Бұрынғы білім негізін пайдалана отырып, жаңа проблеманы шешу). (10 мин.) Тез ойлай білеміз бе? «Кім жылдам?» «Физикалық дуэль» - тең айнымалы қозғалыс деп қандай қозғалысты айтады? - тең айнымалы қозғалыс кезінде жылдамдық қалай өзгереді? - үдеу дегеніміз қандай физикалық шама? - үдеу қандай формуламен өрнектеледі және оның өлшем бірлігі қандай? - үдемелі қозғалыстың баяулайтын қозғалыстан айырмашылығы неде? -Үдеумен қозғалатын дененің жылдамдығы нөлге тең бола ала ма? - Үдеу нөлге тең болғанда (а=0), қозғалыс қандай сипат алады? V. Жинақтау (синтез) – зерттеушілік деңгей (жалқыдан жалпыға, жеке бөлшектерден жаңа дүние жасау). «Өтілген тақырыпты бекіту» (5 мин.) Тест.
20.
1
2
3
A 21. Велосипедшінің жылдамдығының уақытқа тәуелді графигі бойынша бастапқы 4с-тағы үдеуі
A) 12 м/с2. B) 22. График бойынша дененің үдеуі мен 10 с-тағы орын ауыстыруы A) -0,4 м/с2; 20 м. B) -0,3 м/с2; 35 м. C) -0,1 м/с2; 25 м. D) -0,2 м/с2; 30 E) -2 м/с2; 40 м. {Дұрыс жауап}= D Өзара бағалау ( дескриптор бойынша) Бағалау СГ 3. Есептердің шығару нәтижелерін көрсету Оқытудың мақсаты бойынша.
|
35 минут |
|||||||||||
|
Аяқталуы
(Жинақтау+ бағалау)
|
Қорытынды Автор орындығы» әдісі Жазба жұмыстарын ұсынады. Оқушылар автор орындығында отырған оқушыға сұрақ қояды Рефлексия «Таңдау» әдісі. 1.Мен сабақ қызықты, қызықсыз болды деп ойлаймын. 2. Мен сабақта ... үйрендім. 3. Мен басқаларды ... тыңдадым. 4. Мен сабақта ... орындай алдым. 5. Мен сабақтағы өз жетістіктеріме ризамын, риза емеспін. |
5 минут |
|||||||||||
|
Қосымша ақпарат |
|||||||||||||
|
Саралау - Сіз қосымша көмек көрсетуді қалай жоспарлайсыз? |
Бағалау - оқушылардың үйренгенін тексеруді қалай жоспарлайыз? Фармативтік бағалау түрлерін қолдану арқылы :сабақты тусынгенін тексеру бас бармақ әдісін қалданамын. |
Пәнаралық байланыс Қауіпсіздік және еңбекті қорғау ережелері АКТ-мен байланыс құндылығы байланыс |
|||||||||||
|
Сұрақтар беру арқылы |
|
|||||||||||
|
Рефлексия Сабақтың оқу мақсаты шынайы ма? Бүгін оқушылар не білді? Сыныптағы ахуал қандай болды? Мен орындаған саралау шаралары тиімді болды ма? Мен бүкіл уақыт ішінде үлгердім бе? Мен өз жоспарыма қандай түзетулер енгіздім және неліктен? |
Төмендегі ұяшыққа сабақ туралы өз пікірлеріңізді жазыңыз. Сл ұяшықтағы Сіздің сабақтың тақырыбына сәйкес келетін сұрақтарға жауап беріңіз. |
|
|||||||||||
|
Қорытынды бағамдау |
|||||||||||||
|
Қандай екі нәрсе табысты болды? (оқытуды да, оқуды да ескеріңіз) 1. 2. Қандай екі нәрсе сабақты жақсарта алды? (оқытуды да, оқуды да ескеріңіз) 1. 2. Сабақ барысында мен сынып немесе жекелеген оқушылар туралы менің келесі сабағымды жетілдіруге көмектесетін не білдім? 1. 2. |
|||||||||||||
шағым қалдыра аласыз
формуласынан жылдамдықты
табайық: 
-бұл
бастапқы жылдамдығы бар, үдеуі оң таңбалы, яғни
жылдамдығы артып отыратын қозғалыс
теңдеуі.




Осы кездегі жылдамдық
графигі:
уақыт ішінде жүрілген жол сан жағынан
графикпен
трапециясының ауданына тең. График бойынша

немесе
-теңүдемілі қозғалыс үшін. Ал
теңбаяулайтын қозғалыс үшін
Ал бастапқы жылдамдығы нөлге тең
болғанда 
ғарылуы: 100
(м/с)














