Қысқа мерзімді сабақ жоспары №20 5 сынып
Бекітемін:
|
Бөлім: |
Жай бөлшектерге амалдар қолдану |
||||||
|
Педагогтің аты-жөні: |
Жангурова Л.К. , Бектурсинова Г.М. |
||||||
|
Күні: |
28.11.2025 |
||||||
|
Сынып: 5 «а» |
Қатысқандар саны: 25 Қатыспағандар саны: |
||||||
|
Сабақтың тақырыбы: |
Аралас сандарды қосу. Аралас сандарды азайту |
||||||
|
Оқу бағдарламасына сәйкес оқыту мақсаттары: |
5.1.2.20 аралас сандарды қосу және азайтуды орындау; |
||||||
|
Сабақтың мақсаты: |
аралас сандарды қосуға, азайтуға қатысты ережелерін пайдалана отырып, есептер шығаруда алған білімдерін көрсетеді. |
||||||
|
Құндылыққа баулу |
Құндылықтар:Әділдік: тапсырмаларды орындау барысында есептің шешімін дұрыс жолмен табуға, топтық жұмыс кезінде әркімнің пікірін әділ бағалауға, өз еңбегі мен сыныптасының еңбегін әділ мойындауға үйренеді. Жауапкершілік: есеп шығарудағы қателерін талдап, өз жұмысының нәтижесіне жауап беруге, тапсырмаларды уақытылы әрі мұқият орындауға дағдыланады. |
||||||
|
Сабақ барысы: |
|||||||
|
Уақыты/ кезеңдері |
Педагогтің әрекеті |
Оқушының әрекеті |
Бағалау |
Ресурстар |
|
||
|
Ұйымдас- тыру кезеңі 5мин |
Жұмыс
түрі: топтық -сабақтың мақсатымен таныстыру |
Жасанды интеллект көмекшісін тыңдап, құндылықтарға қатысты сөйлемдерді жалғастырады. –
Әділ болу
дегеніміз – … Сабаққа белсенді қатысуға дайындалады.
|
Жасанды көмекші арқылы оқушылар өздерін «Шапалақ» әдісі арқылы бағалауы |
Google AI studio Veo 3 жасанды интеллектісі арқылы жасалынған бейне
|
|
||
|
Сабақтың басы 5 минут |
Үй тапсырмасын тексеру
Тақырыпты қайталау Бөлімдері бірдей аралас сандарды қосу үшін: 1) олардың бүтін бөліктерінің қосындысын, бөлшек бөліктерінің қосындысын табу керек; 2) бүтін бөліктерінің қосындысы мен бөлшек бөліктерінің қосындысын аралас сан түрінде жазу керек. Бөлімдері бірдей аралас сандарды азайту. №2. Мысал.
Бөлімдері бірдей аралас сандарды азайту үшін: 1) олардың бүтін бөліктерінің айырмасын, бөлшек бөліктерінің айырмасын табу керек; 2) бүтін бөліктерінің айырмасы мен бөлшек бөліктерінің айырмасының қосындысын аралас сан түрінде жазу керек. Ескерту! Егер, азайғыш аралас санның бөлшек бөлігі, азайтқыш аралас санның бөлшек бөлігінен кіші болса, онда:
МЫСАЛЫ: азайғыш
|
Дескриптор 1 балл Бос ұяшыққа сандарды табады Сабаққа белсенділік танытып отырған оқушыларды Ауызша бағалау Мактау |
Слайд ; Интерактивті тақта; Оқу құрал -жабдықтары |
|
|||
|
Сабақтың ортасы 30 минут |
Қайталау тапсырмалары 1-тапсырма Аралас сандарды қосу және азайтуға Wordwall сайты бойынша тапсырма https://wordwall.net/resource/64559740
2- тапсырма Оқулықпен жұмыс Жұптық тапсырма 548-1 есебі
3-тапсырма Топтық жұмыс Аралас сандарды қосу және азайту
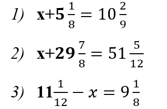
4-тапсырма Өзіндік жұмыс Теңдеуді шеш
|
Дескриптор: -аралас сандарды қосуды және азайтуды дұрыс табады Дескриптор: -Математикадан үй тапсырмасын орындау уақытын табады -Ана тілінен өлең жаттауға кеткен уақытын табады Дескриптор: -Аралас сандарды қосуды,азайтуды орындайды - мәндерін тауып сәйкестендіреді Дескриптор: -Аралас сандарды қосуды,азайтуды орындайды -белгісіз айнымалыны тауып , орнына қойып тексереді |
Әр оқушы есепті дұрыс шығарса 1 балл Бір жұп тақтаға шығып есепті шығарады Қалған жұп бір бірін бағалайды 3 балл 3 балл 2 балл |
Тақта; Оқу құралдары; оқулық; https://wordwall.net/resource/64559740 Тақта; Оқу құралдары; оқулық; Оқулық авторы: Алдамұратова Т. Үлестірмелі қағаздар Слайд, тақта |
|
||
|
Сабақтың соңы 5 минут |
Кері байланыс алады. Үй тапсырмасын береді Бүгінгі сабақта алған бағаларын айтады |
Жасанды көмекші арқылы оқушылар кері байланыс береді. -Түсіндім -Сұрақтарым бар -Түсінбедім Үй тапсырмаларын азып алады |
Бағалау парақтары бойынша жинаған ұпайларына қарай мұғалім 1-10 баллмен бағалайды |
ЖИ арқылы жасалған презентация |
|
||
жүктеу мүмкіндігіне ие боласыз
Бұл материал сайт қолданушысы жариялаған. Материалдың ішінде жазылған барлық ақпаратқа жауапкершілікті жариялаған қолданушы жауап береді. Ұстаз тілегі тек ақпаратты таратуға қолдау көрсетеді. Егер материал сіздің авторлық құқығыңызды бұзған болса немесе басқа да себептермен сайттан өшіру керек деп ойласаңыз осында жазыңыз
Жай бөлшектерге амалдар қолдану
Жай бөлшектерге амалдар қолдану
Қысқа мерзімді сабақ жоспары №20 5 сынып
Бекітемін:
|
Бөлім: |
Жай бөлшектерге амалдар қолдану |
||||||
|
Педагогтің аты-жөні: |
Жангурова Л.К. , Бектурсинова Г.М. |
||||||
|
Күні: |
28.11.2025 |
||||||
|
Сынып: 5 «а» |
Қатысқандар саны: 25 Қатыспағандар саны: |
||||||
|
Сабақтың тақырыбы: |
Аралас сандарды қосу. Аралас сандарды азайту |
||||||
|
Оқу бағдарламасына сәйкес оқыту мақсаттары: |
5.1.2.20 аралас сандарды қосу және азайтуды орындау; |
||||||
|
Сабақтың мақсаты: |
аралас сандарды қосуға, азайтуға қатысты ережелерін пайдалана отырып, есептер шығаруда алған білімдерін көрсетеді. |
||||||
|
Құндылыққа баулу |
Құндылықтар:Әділдік: тапсырмаларды орындау барысында есептің шешімін дұрыс жолмен табуға, топтық жұмыс кезінде әркімнің пікірін әділ бағалауға, өз еңбегі мен сыныптасының еңбегін әділ мойындауға үйренеді. Жауапкершілік: есеп шығарудағы қателерін талдап, өз жұмысының нәтижесіне жауап беруге, тапсырмаларды уақытылы әрі мұқият орындауға дағдыланады. |
||||||
|
Сабақ барысы: |
|||||||
|
Уақыты/ кезеңдері |
Педагогтің әрекеті |
Оқушының әрекеті |
Бағалау |
Ресурстар |
|
||
|
Ұйымдас- тыру кезеңі 5мин |
Жұмыс
түрі: топтық -сабақтың мақсатымен таныстыру |
Жасанды интеллект көмекшісін тыңдап, құндылықтарға қатысты сөйлемдерді жалғастырады. –
Әділ болу
дегеніміз – … Сабаққа белсенді қатысуға дайындалады.
|
Жасанды көмекші арқылы оқушылар өздерін «Шапалақ» әдісі арқылы бағалауы |
Google AI studio Veo 3 жасанды интеллектісі арқылы жасалынған бейне
|
|
||
|
Сабақтың басы 5 минут |
Үй тапсырмасын тексеру
Тақырыпты қайталау Бөлімдері бірдей аралас сандарды қосу үшін: 1) олардың бүтін бөліктерінің қосындысын, бөлшек бөліктерінің қосындысын табу керек; 2) бүтін бөліктерінің қосындысы мен бөлшек бөліктерінің қосындысын аралас сан түрінде жазу керек. Бөлімдері бірдей аралас сандарды азайту. №2. Мысал.
Бөлімдері бірдей аралас сандарды азайту үшін: 1) олардың бүтін бөліктерінің айырмасын, бөлшек бөліктерінің айырмасын табу керек; 2) бүтін бөліктерінің айырмасы мен бөлшек бөліктерінің айырмасының қосындысын аралас сан түрінде жазу керек. Ескерту! Егер, азайғыш аралас санның бөлшек бөлігі, азайтқыш аралас санның бөлшек бөлігінен кіші болса, онда:
МЫСАЛЫ: азайғыш
|
Дескриптор 1 балл Бос ұяшыққа сандарды табады Сабаққа белсенділік танытып отырған оқушыларды Ауызша бағалау Мактау |
Слайд ; Интерактивті тақта; Оқу құрал -жабдықтары |
|
|||
|
Сабақтың ортасы 30 минут |
Қайталау тапсырмалары 1-тапсырма Аралас сандарды қосу және азайтуға Wordwall сайты бойынша тапсырма https://wordwall.net/resource/64559740
2- тапсырма Оқулықпен жұмыс Жұптық тапсырма 548-1 есебі
3-тапсырма Топтық жұмыс Аралас сандарды қосу және азайту
4-тапсырма Өзіндік жұмыс Теңдеуді шеш
|
Дескриптор: -аралас сандарды қосуды және азайтуды дұрыс табады Дескриптор: -Математикадан үй тапсырмасын орындау уақытын табады -Ана тілінен өлең жаттауға кеткен уақытын табады Дескриптор: -Аралас сандарды қосуды,азайтуды орындайды - мәндерін тауып сәйкестендіреді Дескриптор: -Аралас сандарды қосуды,азайтуды орындайды -белгісіз айнымалыны тауып , орнына қойып тексереді |
Әр оқушы есепті дұрыс шығарса 1 балл Бір жұп тақтаға шығып есепті шығарады Қалған жұп бір бірін бағалайды 3 балл 3 балл 2 балл |
Тақта; Оқу құралдары; оқулық; https://wordwall.net/resource/64559740 Тақта; Оқу құралдары; оқулық; Оқулық авторы: Алдамұратова Т. Үлестірмелі қағаздар Слайд, тақта |
|
||
|
Сабақтың соңы 5 минут |
Кері байланыс алады. Үй тапсырмасын береді Бүгінгі сабақта алған бағаларын айтады |
Жасанды көмекші арқылы оқушылар кері байланыс береді. -Түсіндім -Сұрақтарым бар -Түсінбедім Үй тапсырмаларын азып алады |
Бағалау парақтары бойынша жинаған ұпайларына қарай мұғалім 1-10 баллмен бағалайды |
ЖИ арқылы жасалған презентация |
|
||
шағым қалдыра аласыз





.

















