|
|
|||||||||
|
Бөлім: |
10.1А Молекулалық биология және биохимия |
||||||||
|
Педагогтің аты-жөні: |
|
||||||||
|
Күні: |
|
||||||||
|
Сынып: 10 |
Қатысушылар саны: |
Қатыспағандар саны: |
|||||||
|
Сабақтың тақырыбы: |
Липидтердің құрылымдық компоненттері. Майлардың химиялық құрылысы мен қызметтері. |
||||||||
|
Оқу мақсаты: |
10.4.1.3 - майлардың химиялық құрылысы мен қызметтерін сипаттау |
||||||||
|
Сабақтың мақсаты: |
Майлардың химиялық құрылымын, қасиеттерін, қызметтерін сипаттау. |
||||||||
|
Сабақтың кезеңі уақыты |
Педагогтің әрекеті |
Оқушының әрекеті |
Бағалау |
Ресурстар |
|||||
|
Сабақтың басы 2 мин 5мин |
Ұйымдастыру кезеңі
Сабақ барысында оқушы өзін бағалап отыруы үшін, оқушыларға бағалау парақтары беріледі. Үй тапсырмасын еске түсіру мақсатында «Умаигра» онлайн платформада сұрақтар қойылады. Сұрақтары сілтемеде. |
Оқушылар сабаққа дайындалады. Ұстаздармен амандасады. Оқушылар бағалау парақтарын алады Оқушылар интерактивті тақта арқылы сұрақтарға жауап беріп футбол ойынын ойнайды. |
«Жарайсың» сөзі арқылы мұғалім оқушыларды бағалайды. |
Күнделік парақшалары Ойынға сілтеме https://www.umapalata.com/zexpo/game.html?LANG=RU&idGames=116779 |
|||||
|
Сабақтың ортасы 30мин (15 мин) (15 мин) |
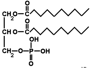
1 топ. липидтердің құрылымдық компоненттері 2 топ. Майлардың қасиеттері мен қызметтері 3 топ. Майлардың түрлерінің маңыздылығы Жеке жұмыс. ҚБ тапсырмалары Тапсырма 1. Суретте берілген молекуланы ата
Тест. 1. Майлар – бұл: а) глицириннің күрделі эфирлері және карбон қышқылы б) глицириннің күрделі эфирлері және жоғары карбон қышқылы в) бір атомды спирттің күрделі эфирлері және жоғары карбон қышқылы 2. Өсімдік және жануар майлары бір-бірінен ажыратылады:
а) суда
еритіндігімен 3. Майлар жақсы ериді:
а) органикалық
еріткіштерде 4. Қышқылдық ортада май гидролизінен пайда болады: а) глицерин және жоғары карбон қышқылы тұздары б) глицерин және жоғары қарбон қышқылдары в) маргарин және глицерин. 5. Сабын – бұл: а) жоғары карбон қышқылындағы калий немесе натрий тұзы б) сірке қышқылындағы калий немесе натрий тұзы в) қышқылдық ортадағы майлар гидролизінің өнімдері 6. Балық майындағы дәрумен:
а) С 7. Майлардың құрылымдық қызметі болады:
а) суды түзуі 8. Майлардың соңғы ыдырауы жүреді:
а) ас ішекте Жауаптары: 1 – б; 2 – в; 3 – а; 4 – б; 5 – а; 6 – в; 7 – в; 8 – а. 3 тапсырма. Функц.сауатт.негізделген сұрақ. 1.Еліміздің қай қалаларында май өндіру зауыттары бар? ...................................... 2.Май өндіру техникасының тиімділігі қандай? ......................................... 3. Майды ұзақ сақтаудың тиімді жолдары................................................................... |
Бейнематериалдан көрген көріністерінен жаңа сабақтың мазмұнын ашады. Берілген тақырыптар бойынша топпен орындайды. Дескриптор:
Дескриптор:
Дескриптор:
Оқушылар жеке жұмысты дәптерлеріне орындайды.
Бірінші тапсырмада суретте берілген молекуланың атауын жазады. Екінші тапсырмада тест сұрақтарына жауап береді. Үшінші тапсырмада майлардың маңыздылығын, қасиеттеріне байланысты сұрақтарға өз ойларын жазады. |
Бағалау критерийлері:
- көмірсулар туралы жалпы мағлұматты толық түсіндіру; - уақытты үнемді пайдалану ; - ұйымшылдықта жұмыс жасау . «Күнделік» әдісі арқылы өз-өздерін бағалап отырады Жалпы балл – 4
|
Бейнематериал презентация |
|||||
|
Сабақтың соңы 6 мин |
Бекіту
|
Оқушылар сұрақтарға жауап береді. Әр сұрақ 1 балл бойынша есептеледі. |
«Күнделік» әдісі арқылы өз-өздерін бағалап отырады
Жалпы балл – әр сұрақ 1 балл |
|
|||||
|
Кері байланыс 2 мин |
РЕФЛЕКСИЯ. «Бургер» әдісі – Оқушылар! Сендерге бүгінгі сабақта белсенділік танытып, тақырыпты жан-жақты ашып, зертегендеріңе рахмет. Сабақты қаншалықты меңгергендеріңді кері байланыс арқылы білдірсеңдер. І топ: Топ жұмысындағы 3 маңызды ақпарат. ІІ топ: Қиындық келтірген 2 нәрсе. ІІІ топ: Ерекше ұнаған 1 нәрсе. Үйге
тапсырма:
|
Оқушылар сабақты қаншалықты түсінгендіктерін бутерброд әдісі арқылы айтады |
«Күнделік» әдісіндегі алған бағаларын қорытындылау |
Күнделік , бургер парақшалары Презентация |
|||||
![]()
жүктеу мүмкіндігіне ие боласыз
Бұл материал сайт қолданушысы жариялаған. Материалдың ішінде жазылған барлық ақпаратқа жауапкершілікті жариялаған қолданушы жауап береді. Ұстаз тілегі тек ақпаратты таратуға қолдау көрсетеді. Егер материал сіздің авторлық құқығыңызды бұзған болса немесе басқа да себептермен сайттан өшіру керек деп ойласаңыз осында жазыңыз
ЖББ_4_Липидтердің құрылымдық компоненттері. Майлардың химиялық құрылысы мен қызметтері.
ЖББ_4_Липидтердің құрылымдық компоненттері. Майлардың химиялық құрылысы мен қызметтері.
|
|
|||||||||
|
Бөлім: |
10.1А Молекулалық биология және биохимия |
||||||||
|
Педагогтің аты-жөні: |
|
||||||||
|
Күні: |
|
||||||||
|
Сынып: 10 |
Қатысушылар саны: |
Қатыспағандар саны: |
|||||||
|
Сабақтың тақырыбы: |
Липидтердің құрылымдық компоненттері. Майлардың химиялық құрылысы мен қызметтері. |
||||||||
|
Оқу мақсаты: |
10.4.1.3 - майлардың химиялық құрылысы мен қызметтерін сипаттау |
||||||||
|
Сабақтың мақсаты: |
Майлардың химиялық құрылымын, қасиеттерін, қызметтерін сипаттау. |
||||||||
|
Сабақтың кезеңі уақыты |
Педагогтің әрекеті |
Оқушының әрекеті |
Бағалау |
Ресурстар |
|||||
|
Сабақтың басы 2 мин 5мин |
Ұйымдастыру кезеңі
Сабақ барысында оқушы өзін бағалап отыруы үшін, оқушыларға бағалау парақтары беріледі. Үй тапсырмасын еске түсіру мақсатында «Умаигра» онлайн платформада сұрақтар қойылады. Сұрақтары сілтемеде. |
Оқушылар сабаққа дайындалады. Ұстаздармен амандасады. Оқушылар бағалау парақтарын алады Оқушылар интерактивті тақта арқылы сұрақтарға жауап беріп футбол ойынын ойнайды. |
«Жарайсың» сөзі арқылы мұғалім оқушыларды бағалайды. |
Күнделік парақшалары Ойынға сілтеме https://www.umapalata.com/zexpo/game.html?LANG=RU&idGames=116779 |
|||||
|
Сабақтың ортасы 30мин (15 мин) (15 мин) |
1 топ. липидтердің құрылымдық компоненттері 2 топ. Майлардың қасиеттері мен қызметтері 3 топ. Майлардың түрлерінің маңыздылығы Жеке жұмыс. ҚБ тапсырмалары Тапсырма 1. Суретте берілген молекуланы ата
Тест. 1. Майлар – бұл: а) глицириннің күрделі эфирлері және карбон қышқылы б) глицириннің күрделі эфирлері және жоғары карбон қышқылы в) бір атомды спирттің күрделі эфирлері және жоғары карбон қышқылы 2. Өсімдік және жануар майлары бір-бірінен ажыратылады:
а) суда
еритіндігімен 3. Майлар жақсы ериді:
а) органикалық
еріткіштерде 4. Қышқылдық ортада май гидролизінен пайда болады: а) глицерин және жоғары карбон қышқылы тұздары б) глицерин және жоғары қарбон қышқылдары в) маргарин және глицерин. 5. Сабын – бұл: а) жоғары карбон қышқылындағы калий немесе натрий тұзы б) сірке қышқылындағы калий немесе натрий тұзы в) қышқылдық ортадағы майлар гидролизінің өнімдері 6. Балық майындағы дәрумен:
а) С 7. Майлардың құрылымдық қызметі болады:
а) суды түзуі 8. Майлардың соңғы ыдырауы жүреді:
а) ас ішекте Жауаптары: 1 – б; 2 – в; 3 – а; 4 – б; 5 – а; 6 – в; 7 – в; 8 – а. 3 тапсырма. Функц.сауатт.негізделген сұрақ. 1.Еліміздің қай қалаларында май өндіру зауыттары бар? ...................................... 2.Май өндіру техникасының тиімділігі қандай? ......................................... 3. Майды ұзақ сақтаудың тиімді жолдары................................................................... |
Бейнематериалдан көрген көріністерінен жаңа сабақтың мазмұнын ашады. Берілген тақырыптар бойынша топпен орындайды. Дескриптор:
Дескриптор:
Дескриптор:
Оқушылар жеке жұмысты дәптерлеріне орындайды.
Бірінші тапсырмада суретте берілген молекуланың атауын жазады. Екінші тапсырмада тест сұрақтарына жауап береді. Үшінші тапсырмада майлардың маңыздылығын, қасиеттеріне байланысты сұрақтарға өз ойларын жазады. |
Бағалау критерийлері:
- көмірсулар туралы жалпы мағлұматты толық түсіндіру; - уақытты үнемді пайдалану ; - ұйымшылдықта жұмыс жасау . «Күнделік» әдісі арқылы өз-өздерін бағалап отырады Жалпы балл – 4
|
Бейнематериал презентация |
|||||
|
Сабақтың соңы 6 мин |
Бекіту
|
Оқушылар сұрақтарға жауап береді. Әр сұрақ 1 балл бойынша есептеледі. |
«Күнделік» әдісі арқылы өз-өздерін бағалап отырады
Жалпы балл – әр сұрақ 1 балл |
|
|||||
|
Кері байланыс 2 мин |
РЕФЛЕКСИЯ. «Бургер» әдісі – Оқушылар! Сендерге бүгінгі сабақта белсенділік танытып, тақырыпты жан-жақты ашып, зертегендеріңе рахмет. Сабақты қаншалықты меңгергендеріңді кері байланыс арқылы білдірсеңдер. І топ: Топ жұмысындағы 3 маңызды ақпарат. ІІ топ: Қиындық келтірген 2 нәрсе. ІІІ топ: Ерекше ұнаған 1 нәрсе. Үйге
тапсырма:
|
Оқушылар сабақты қаншалықты түсінгендіктерін бутерброд әдісі арқылы айтады |
«Күнделік» әдісіндегі алған бағаларын қорытындылау |
Күнделік , бургер парақшалары Презентация |
|||||
![]()
шағым қалдыра аласыз













