Сыныбы…….. Оқушының аты жөні……………. Күні …………….
Кинематика негіздері бойынша сұрақтар
І-нұсқа
-
Формулаларды сәйкестендіріңіз: ( 5 ұпай)
|
Лездік жылдамдық |
1___ |
|
А |
|
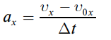
Үдеу |
2___ |
|
В |
|
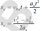
Тең айнымалы қозғалыс кезіндегі орын ауыстыруларды есептеу формуласы |
3___ |
|
С |
|
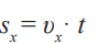
Бірқалыпты қозғалыстағы дене координатасын есептеу формуласы |
4___ |
|
Д |
|
Бірқалыпты қозғалыстың орын ауыстыруы |
5___ |
|
Е |
-
Дененің қозғалыс теңдеуі берілген: x = 5 + 3,5t + 5 t2 ( 4 ұпай)
Бастапқы координата _____________________________________________
Дененің үдеуі неге тең? ____________________________________________
υ(t) қатысты теңдеуді жазыңыз _____________________________________
4 секунд өткеннен кейінгі орын ауыстыруды анықтаңыз _____________________________
-
Денені қай жағдайда материалдық нүкте деп қарастыруға болады? (2 ұпай)
А) спортсмен 200 м жүгіргенде
Б) гимнаст жаттығу жасағанда
В) машина 50000 м жүргенде
Г) сынып бөлмесінде жүрген оқушы
Д) Жер бетінен ғарышқа ұшқан ракета
4. Дене радиусы 80 м шеңбер доғасының бойымен қозғалды. Дененің 3 секундтағы бұрылу бұрышы 1,60 радианға тең. Дене қозғалысының сызықтық жылдамдығын тап. (3 ұпай)
5. Денені вертикаль жоғары 72 км/сағ жылдамдықпен лақтырды. Дененің максимал көтерілу биіктігін табыңдар. ( 3 ұпай)
6. Дене радиусы 4 м шеңбер доғасының бойымен 50 см/с жылдамдықпен қозғалады. Центрге тартқыш үдеуді анықтаңыз (3 ұпай)
Сыныбы…….. Оқушының аты жөні……………. Күні …………….
Кинематика негіздері бойынша бөлімді жиынтық бағалау сұрақтары
І-нұсқа
-
Кестедегі шамаларды формуласымен, өлшем бірлігімен сәйкестендіріңіз. (4 ұпай)
-
ОХ осімен қозғалып бара жатқан екі материалдық нүктенің қозғалыс заңдары: х1=8+2t және x2=4+6t. Олардың кездесетін уақыты: (3 ұпай)
|
|
Физикалық шама |
Өлшем бірлігі |
Формуласы |
|
1 |
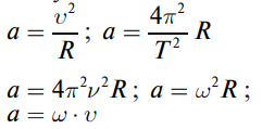
Центрге тартқыш үдеу |
м/с |
ω / 2π |
|
2 |
Жиілік |
рад/с |
2π /T |
|
3 |
Сызықтық жылдамдық |
м/с2 |
ω R |
|
4 |
Бұрыштық жылдамдық |
Гц |
υ 2 / R |
А) 1с В) 2с С) 3с Д) 4с Е) 5с
-
Салмағы 1,2 Н болатын шар ауада соңғы жылдамдықпен құлап келеді. Оған сол жағынан горизанталь бағытта кенеттен пайда болған жел 0,5 Н күшпен әсер етеді. Қорытқы күш қалай бағытталады? (2 ұпай)
-
Автокөліктің жылдамдығы 16 м/с –тан 10 м/с –қа 5 секунд ішінде азайды. Көліктің үдеуін табыңыз. ( 3 ұпай)
-
Дене радиусы 20 м шеңбер доғасының бойымен қозғалды. Оның 2 секундтағы бұрылу бұрышы 2,10 радианға тең. Дене қозғалысының сызықтық жылдамдығын тап. (3 ұпай)
-
Дененің жылдамдығының уақытқа тәуелділік графигі бойынша t=2 с уақыт кезеңіндегі түзу сызықты қозғалысының үдеуін анықтаңыз.

А) 18 м/с2 В) 9 м/с2 С) 2 м/с2 Д) 4,5 м/с2 Е) 12 м/с2
Сыныбы…….. Оқушының аты жөні……………. Күні …………….
Кинематика негіздері бойынша бөлімді жиынтық бағалау сұрақтары
ІІІ-нұсқа
-
Шеңбер бойымен бірқалыпты қозғалыс формулаларын сәйкестендіріңіз: (5 ұпай)
|
Жылдамдық |
1___ |
|
А |
|
Үдеу |
2___ |
|
В |
|
Бұрыштық жылдамдықты есептеу формуласы |
3___ |
|
С |
|
Жиілікті есептеу формуласы |
4___ |
|
Д |
|
Периодты есептеу формуласы |
5___ |
|
Е |
2. Келтірілген мысалдардың қайсысында дененің қозғалысы материалдық нүктенің қозғалысы деп қарастыруға болмайды? (1 ұпай)
А) Күнді айнала қозғалатын Жердің қозғалысы
В) Жерді айнала қозғалатын спутниктің қозғалысы
С) Алматыдан Мәскеуге қарай ұшқан ұшақтың қозғалысы
Д) Станокта бөлшектің өңделу барысындағы қозғалысы
Е) Жермен салыстырғандағы жұлдыздардың қозғалысы
3.График бойынша t=5 с уақыттағы велосипедшінің қозғалыс жылдамдығын анықтаңыз. ( 3 ұпай)

4.Суретте дененің қозғалыс графигі көрсетілген. Қай жерде жол жылдамдығы көбірек болған? (3ұ)
s
t, c
I
II
III
IV
V
30
20
10
2 4 6
А) IВ) II
С) III
Д) IV
Е) V
5.
Қозғалыстағы дене жылдамдығы
проекциясының уақытқа тәуелділігі
теңдеуімен берілген. Дененің
орын ауыстыруы проекциясына сәйкес теңдеу: ( 4
ұпай)
А)
В)
С)
Д)
Е)

6.Серуендеп жүрген адам алдымен cолтүстікке қарай 3 км.
Содан соң шығысқа қарай тағы 4 км жүрді,оның жасаған орын ауыстыруының модулі? (4 ұпай)
А) 7 км В) 3 км С) 5 км Д) 1 км Е) 4 км
жүктеу мүмкіндігіне ие боласыз
Бұл материал сайт қолданушысы жариялаған. Материалдың ішінде жазылған барлық ақпаратқа жауапкершілікті жариялаған қолданушы жауап береді. Ұстаз тілегі тек ақпаратты таратуға қолдау көрсетеді. Егер материал сіздің авторлық құқығыңызды бұзған болса немесе басқа да себептермен сайттан өшіру керек деп ойласаңыз осында жазыңыз
Кинематика негіздері бойынша өзіндік жұмыстар
Кинематика негіздері бойынша өзіндік жұмыстар
Сыныбы…….. Оқушының аты жөні……………. Күні …………….
Кинематика негіздері бойынша сұрақтар
І-нұсқа
-
Формулаларды сәйкестендіріңіз: ( 5 ұпай)
|
Лездік жылдамдық |
1___ |
|
А |
|
Үдеу |
2___ |
|
В |
|
Тең айнымалы қозғалыс кезіндегі орын ауыстыруларды есептеу формуласы |
3___ |
|
С |
|
Бірқалыпты қозғалыстағы дене координатасын есептеу формуласы |
4___ |
|
Д |
|
Бірқалыпты қозғалыстың орын ауыстыруы |
5___ |
|
Е |
-
Дененің қозғалыс теңдеуі берілген: x = 5 + 3,5t + 5 t2 ( 4 ұпай)
Бастапқы координата _____________________________________________
Дененің үдеуі неге тең? ____________________________________________
υ(t) қатысты теңдеуді жазыңыз _____________________________________
4 секунд өткеннен кейінгі орын ауыстыруды анықтаңыз _____________________________
-
Денені қай жағдайда материалдық нүкте деп қарастыруға болады? (2 ұпай)
А) спортсмен 200 м жүгіргенде
Б) гимнаст жаттығу жасағанда
В) машина 50000 м жүргенде
Г) сынып бөлмесінде жүрген оқушы
Д) Жер бетінен ғарышқа ұшқан ракета
4. Дене радиусы 80 м шеңбер доғасының бойымен қозғалды. Дененің 3 секундтағы бұрылу бұрышы 1,60 радианға тең. Дене қозғалысының сызықтық жылдамдығын тап. (3 ұпай)
5. Денені вертикаль жоғары 72 км/сағ жылдамдықпен лақтырды. Дененің максимал көтерілу биіктігін табыңдар. ( 3 ұпай)
6. Дене радиусы 4 м шеңбер доғасының бойымен 50 см/с жылдамдықпен қозғалады. Центрге тартқыш үдеуді анықтаңыз (3 ұпай)
Сыныбы…….. Оқушының аты жөні……………. Күні …………….
Кинематика негіздері бойынша бөлімді жиынтық бағалау сұрақтары
І-нұсқа
-
Кестедегі шамаларды формуласымен, өлшем бірлігімен сәйкестендіріңіз. (4 ұпай)
-
ОХ осімен қозғалып бара жатқан екі материалдық нүктенің қозғалыс заңдары: х1=8+2t және x2=4+6t. Олардың кездесетін уақыты: (3 ұпай)
|
|
Физикалық шама |
Өлшем бірлігі |
Формуласы |
|
1 |
Центрге тартқыш үдеу |
м/с |
ω / 2π |
|
2 |
Жиілік |
рад/с |
2π /T |
|
3 |
Сызықтық жылдамдық |
м/с2 |
ω R |
|
4 |
Бұрыштық жылдамдық |
Гц |
υ 2 / R |
А) 1с В) 2с С) 3с Д) 4с Е) 5с
-
Салмағы 1,2 Н болатын шар ауада соңғы жылдамдықпен құлап келеді. Оған сол жағынан горизанталь бағытта кенеттен пайда болған жел 0,5 Н күшпен әсер етеді. Қорытқы күш қалай бағытталады? (2 ұпай)
-
Автокөліктің жылдамдығы 16 м/с –тан 10 м/с –қа 5 секунд ішінде азайды. Көліктің үдеуін табыңыз. ( 3 ұпай)
-
Дене радиусы 20 м шеңбер доғасының бойымен қозғалды. Оның 2 секундтағы бұрылу бұрышы 2,10 радианға тең. Дене қозғалысының сызықтық жылдамдығын тап. (3 ұпай)
-
Дененің жылдамдығының уақытқа тәуелділік графигі бойынша t=2 с уақыт кезеңіндегі түзу сызықты қозғалысының үдеуін анықтаңыз.

А) 18 м/с2 В) 9 м/с2 С) 2 м/с2 Д) 4,5 м/с2 Е) 12 м/с2
Сыныбы…….. Оқушының аты жөні……………. Күні …………….
Кинематика негіздері бойынша бөлімді жиынтық бағалау сұрақтары
ІІІ-нұсқа
-
Шеңбер бойымен бірқалыпты қозғалыс формулаларын сәйкестендіріңіз: (5 ұпай)
|
Жылдамдық |
1___ |
|
А |
|
Үдеу |
2___ |
|
В |
|
Бұрыштық жылдамдықты есептеу формуласы |
3___ |
|
С |
|
Жиілікті есептеу формуласы |
4___ |
|
Д |
|
Периодты есептеу формуласы |
5___ |
|
Е |
2. Келтірілген мысалдардың қайсысында дененің қозғалысы материалдық нүктенің қозғалысы деп қарастыруға болмайды? (1 ұпай)
А) Күнді айнала қозғалатын Жердің қозғалысы
В) Жерді айнала қозғалатын спутниктің қозғалысы
С) Алматыдан Мәскеуге қарай ұшқан ұшақтың қозғалысы
Д) Станокта бөлшектің өңделу барысындағы қозғалысы
Е) Жермен салыстырғандағы жұлдыздардың қозғалысы
3.График бойынша t=5 с уақыттағы велосипедшінің қозғалыс жылдамдығын анықтаңыз. ( 3 ұпай)

4.Суретте дененің қозғалыс графигі көрсетілген. Қай жерде жол жылдамдығы көбірек болған? (3ұ)
s
t, c
I
II
III
IV
V
30
20
10
2 4 6
А) IВ) II
С) III
Д) IV
Е) V
5.
Қозғалыстағы дене жылдамдығы
проекциясының уақытқа тәуелділігі
теңдеуімен берілген. Дененің
орын ауыстыруы проекциясына сәйкес теңдеу: ( 4
ұпай)
А)
В)
С)
Д)
Е)

6.Серуендеп жүрген адам алдымен cолтүстікке қарай 3 км.
Содан соң шығысқа қарай тағы 4 км жүрді,оның жасаған орын ауыстыруының модулі? (4 ұпай)
А) 7 км В) 3 км С) 5 км Д) 1 км Е) 4 км
шағым қалдыра аласыз

















