Пән: геометрия
Қысқа мерзімді жоспар №6-сабак
|
Ұзақ мерзімді жоспар бөлімі: Айналу денелері және олардың элементтері |
Мектеп: №111 ЖОББМ |
|
Педагогтің аты-жөні: |
Халмуратова Махбуба. |
|
Күні: |
28.01.2025. |
|
Сыныбы: 11 |
Қатысушылар саны: Қатыспағандар саны: |
|
Сабақтың тақырыбы: |
Конус және оның элементтері. Конустың жазбасы, бүйір және толық бетінің аудандары |
|
Оқу бағдарламасына сәйкес оқу мақсаты |
11.1.8 - конустың анықтамасын, оның элементтерін білу; конусты жазықтықта кескіндей алу; 11.3.5 – айналу денелерінің (цилиндр, конус, қиық конус, шар) элементтерін табуға есептер шығару; 11.3.6 - конустың бүйір және толық беті аудандары формулаларын қорытып шығару және оларды есептер шығаруда қолдану; 11.1.11 – көпжақтар мен айналу денелерінің жазбаларын жасай алу; |
|
Сабақтың мақсаты: |
- конустың анықтамасын, оның элементтерін біледі; конусты жазықтықта кескіндей алады; – айналу денелерінің (цилиндр, конус, қиық конус, шар) элементтерін табуға есептер шығарады; - конустың бүйір және толық беті аудандары формулаларын қорытып шығару және оларды есептер шығаруда қолданады; – көпжақтар мен айналу денелерінің жазбаларын жасай алады; |
Сабақтың барысы:
|
Сабақ кезеңі/Уақыты |
Мұғалімнің іс-әрекеті |
Оқушының іс-әрекеті |
Бағалау |
Ресурстар |
||
|
Сабақтың басы |
. Ұйымдастыру кезеңі - оқушылардың зейінін шоғырландыруға - оқушылармен бірге сабақ мақсаттарын/ОМ анықтап алуға - оқушылардың «жақын даму аймағын», сабақ соңында күтілетін нәтижелерді анықтауға көңіл бөлу қажет |
. Үй тапсырмасын тексеру. Оқушылар жұппен өзара үй тапсырмаларын тексереді. Қиындық туғызған жағдайда топта талдайды. |
Мұғалім ұйымдастыру кезеңінде белсенділік танытқан оқушыларды «Мадақтау сөз» әдісіарқылы бағалайды: «Жарайсың! Жақсы! Өте жақсы! Талпын!» |
Түрлі түсті қима қағаздар
|
||
|
Сабақтың ортасы |
Ой түрткі
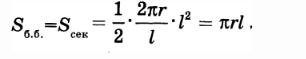
Келесі кестені толтыруды тапсырыңыз. ІІІ. Жаңа тақырып 15 минут Егер конустың бүйір бетін табанындағы шеңбер бойымен және қайсыбір жасаушысы бойымен қиып, алынған бетті жазып, жазықтық бетіәне орналастырсақ, конустың беттік жазбасын аламыз.
Суретте
радиусы Енді конустың бүйір бетінің
ауданын анықтайық. Суреттен конустың бүйір бетінің ауданы
радиусы
Осыдан
Яғни
Ал конустың толық бетінің ауданы
|
Топпен жұмыс20 минут Математикалық дайындық деңгейіне байланысты оқушыларды 3 топқа біріктіріңіз. Әрбір топқа, өз шешімін тақтада алдында таныстырып, тапсырманы шешуді ұсыныңыз. Жұмыс аяқталған соң, бірлесіп әзірленген критерийлерге сәйкес, топтар өзара бағалау жүргізеді. 1-топ. Конустың
биіктігі Жауабы:
2-топ. Конустың осьтік қимасының
ауданы Жауабы:
3-топ.
Жауабы: 531. Бағалау. Топтар бір – бірін тексереді. Кеткен қателіктер бойынша кері байланыс береді. 11.1.11 -көпжақтар мен айналу денелерінің жазбаларын жасай білу; 15 минут Конус жазбасын қарастырмас бұрын оқушыларға проблемалық жағдайды ұсыныңыз. Геометриялық денелерді жазбаларымен сәйкестендіріңіздер https://bilimland.kz/ru/courses/math-ru/geometriya/stereometriya/tela-vrasheniya/lesson/konus
Оқушылар берілген геометриялық денелердің, конустан басқа, жазбаларын біледі. Конус пен оның жазбасы сәйкестендірілмей қалады. Оқушыларға конустың жазбасын дәптерлеріне салуды ұсыныңыз.
Оқушылармен талқылаңыз:
Қорытынды жасап, конустың бүйір және толық беттерінің аудандарының формулаларын енгізіңіз. Оқушыларды қысқаша конспект жазуды сұраңыз. Жеке жұмыс 15 минут
|
Дескриптор: -1-ші сұраққа жауап береді. 1-балл -2-ші сұраққа жауап береді. 1-балл -3-ші сұраққа жауап береді. 1-балл Әрбір дұрыс жауапка 1 балл қойылады
|
ДК экраны Сұрақтар топтамасы. Оқулық 11-сынып.
|
||
|
Сабақтың соңы |
Сабақты қорытындылау. Рефлексияжүргізеді - ненібілдім, неніүйрендім? - ненітолықтүсінбедім? - немен жұмыстыжалғастыруқажет? Үй жұмысы. |
|
Бағалау. Оқушылар бір-бірін ауызша критерий бойынша бағалайды. - Кейбір оқушыларға мұғалім тарапынан кері байланыс беріледі. |
|
|
Саралау. Сіз қандай тәсілмен көбірек қолдау көрсетпексіз? Сіз қабілетті оқушылардың алдына қандай тапсырмалар қоясыз? |
Бағалау. Сіз оқушылардың материалды игеру деңгейін қалай тексеруді жоспарлап отырсыз? |
Денсаулық және қауіпсіздік техникасын
сақтау |
|
|
Рефлексия. Сабақ/оқу мақсаттары шынайы ма? Бүгін оқушылар не білді? Сыныптағы ахуал қандай болды? Мен жоспарланған саралау шаралары тиімді болды ма? Мен берілген уақыт ішінде үлгердім бе? Мен өз жоспарыма қандай түзетулер енгіздім және неліктен? |
|
кабинетдегі қауіпсіздік ережесі еске салынады. |
|
|
Жалпы бағалау Сабақтың қандай екі аспектісі жақсы өтті? Оқыту туралы да, сабақ беру туралы да ойланыңыз. 1: 2: Сабақты жақсартуға не жәрдемдесер еді? Оқыту туралы да, сабақ беру туралы да ойланыңыз. 1: 2: Сабақ кезінде, сынып немесе жекелеген оқушылардың жетістіктері/қиыншылықтары туралы мен нені анықтадым? Келесі сабақтарда неге назар аудару керек? 1: 2: |
|||
жүктеу мүмкіндігіне ие боласыз
Бұл материал сайт қолданушысы жариялаған. Материалдың ішінде жазылған барлық ақпаратқа жауапкершілікті жариялаған қолданушы жауап береді. Ұстаз тілегі тек ақпаратты таратуға қолдау көрсетеді. Егер материал сіздің авторлық құқығыңызды бұзған болса немесе басқа да себептермен сайттан өшіру керек деп ойласаңыз осында жазыңыз
Конус және оның элементтері. Конустың жазбасы, бүйір және толық бетінің аудандары
Конус және оның элементтері. Конустың жазбасы, бүйір және толық бетінің аудандары
Пән: геометрия
Қысқа мерзімді жоспар №6-сабак
|
Ұзақ мерзімді жоспар бөлімі: Айналу денелері және олардың элементтері |
Мектеп: №111 ЖОББМ |
|
Педагогтің аты-жөні: |
Халмуратова Махбуба. |
|
Күні: |
28.01.2025. |
|
Сыныбы: 11 |
Қатысушылар саны: Қатыспағандар саны: |
|
Сабақтың тақырыбы: |
Конус және оның элементтері. Конустың жазбасы, бүйір және толық бетінің аудандары |
|
Оқу бағдарламасына сәйкес оқу мақсаты |
11.1.8 - конустың анықтамасын, оның элементтерін білу; конусты жазықтықта кескіндей алу; 11.3.5 – айналу денелерінің (цилиндр, конус, қиық конус, шар) элементтерін табуға есептер шығару; 11.3.6 - конустың бүйір және толық беті аудандары формулаларын қорытып шығару және оларды есептер шығаруда қолдану; 11.1.11 – көпжақтар мен айналу денелерінің жазбаларын жасай алу; |
|
Сабақтың мақсаты: |
- конустың анықтамасын, оның элементтерін біледі; конусты жазықтықта кескіндей алады; – айналу денелерінің (цилиндр, конус, қиық конус, шар) элементтерін табуға есептер шығарады; - конустың бүйір және толық беті аудандары формулаларын қорытып шығару және оларды есептер шығаруда қолданады; – көпжақтар мен айналу денелерінің жазбаларын жасай алады; |
Сабақтың барысы:
|
Сабақ кезеңі/Уақыты |
Мұғалімнің іс-әрекеті |
Оқушының іс-әрекеті |
Бағалау |
Ресурстар |
||
|
Сабақтың басы |
. Ұйымдастыру кезеңі - оқушылардың зейінін шоғырландыруға - оқушылармен бірге сабақ мақсаттарын/ОМ анықтап алуға - оқушылардың «жақын даму аймағын», сабақ соңында күтілетін нәтижелерді анықтауға көңіл бөлу қажет |
. Үй тапсырмасын тексеру. Оқушылар жұппен өзара үй тапсырмаларын тексереді. Қиындық туғызған жағдайда топта талдайды. |
Мұғалім ұйымдастыру кезеңінде белсенділік танытқан оқушыларды «Мадақтау сөз» әдісіарқылы бағалайды: «Жарайсың! Жақсы! Өте жақсы! Талпын!» |
Түрлі түсті қима қағаздар
|
||
|
Сабақтың ортасы |
Ой түрткі
Келесі кестені толтыруды тапсырыңыз. ІІІ. Жаңа тақырып 15 минут Егер конустың бүйір бетін табанындағы шеңбер бойымен және қайсыбір жасаушысы бойымен қиып, алынған бетті жазып, жазықтық бетіәне орналастырсақ, конустың беттік жазбасын аламыз.
Суретте
радиусы Енді конустың бүйір бетінің
ауданын анықтайық. Суреттен конустың бүйір бетінің ауданы
радиусы
Осыдан
Яғни
Ал конустың толық бетінің ауданы
|
Топпен жұмыс20 минут Математикалық дайындық деңгейіне байланысты оқушыларды 3 топқа біріктіріңіз. Әрбір топқа, өз шешімін тақтада алдында таныстырып, тапсырманы шешуді ұсыныңыз. Жұмыс аяқталған соң, бірлесіп әзірленген критерийлерге сәйкес, топтар өзара бағалау жүргізеді. 1-топ. Конустың
биіктігі Жауабы:
2-топ. Конустың осьтік қимасының
ауданы Жауабы:
3-топ.
Жауабы: 531. Бағалау. Топтар бір – бірін тексереді. Кеткен қателіктер бойынша кері байланыс береді. 11.1.11 -көпжақтар мен айналу денелерінің жазбаларын жасай білу; 15 минут Конус жазбасын қарастырмас бұрын оқушыларға проблемалық жағдайды ұсыныңыз. Геометриялық денелерді жазбаларымен сәйкестендіріңіздер https://bilimland.kz/ru/courses/math-ru/geometriya/stereometriya/tela-vrasheniya/lesson/konus
Оқушылар берілген геометриялық денелердің, конустан басқа, жазбаларын біледі. Конус пен оның жазбасы сәйкестендірілмей қалады. Оқушыларға конустың жазбасын дәптерлеріне салуды ұсыныңыз.
Оқушылармен талқылаңыз:
Қорытынды жасап, конустың бүйір және толық беттерінің аудандарының формулаларын енгізіңіз. Оқушыларды қысқаша конспект жазуды сұраңыз. Жеке жұмыс 15 минут
|
Дескриптор: -1-ші сұраққа жауап береді. 1-балл -2-ші сұраққа жауап береді. 1-балл -3-ші сұраққа жауап береді. 1-балл Әрбір дұрыс жауапка 1 балл қойылады
|
ДК экраны Сұрақтар топтамасы. Оқулық 11-сынып.
|
||
|
Сабақтың соңы |
Сабақты қорытындылау. Рефлексияжүргізеді - ненібілдім, неніүйрендім? - ненітолықтүсінбедім? - немен жұмыстыжалғастыруқажет? Үй жұмысы. |
|
Бағалау. Оқушылар бір-бірін ауызша критерий бойынша бағалайды. - Кейбір оқушыларға мұғалім тарапынан кері байланыс беріледі. |
|
|
Саралау. Сіз қандай тәсілмен көбірек қолдау көрсетпексіз? Сіз қабілетті оқушылардың алдына қандай тапсырмалар қоясыз? |
Бағалау. Сіз оқушылардың материалды игеру деңгейін қалай тексеруді жоспарлап отырсыз? |
Денсаулық және қауіпсіздік техникасын
сақтау |
|
|
Рефлексия. Сабақ/оқу мақсаттары шынайы ма? Бүгін оқушылар не білді? Сыныптағы ахуал қандай болды? Мен жоспарланған саралау шаралары тиімді болды ма? Мен берілген уақыт ішінде үлгердім бе? Мен өз жоспарыма қандай түзетулер енгіздім және неліктен? |
|
кабинетдегі қауіпсіздік ережесі еске салынады. |
|
|
Жалпы бағалау Сабақтың қандай екі аспектісі жақсы өтті? Оқыту туралы да, сабақ беру туралы да ойланыңыз. 1: 2: Сабақты жақсартуға не жәрдемдесер еді? Оқыту туралы да, сабақ беру туралы да ойланыңыз. 1: 2: Сабақ кезінде, сынып немесе жекелеген оқушылардың жетістіктері/қиыншылықтары туралы мен нені анықтадым? Келесі сабақтарда неге назар аудару керек? 1: 2: |
|||
шағым қалдыра аласыз





















