|
Тақырыбы: Көрсеткіштік функцияны интегралдау |
Мектеп:№6 |
||||
|
Күні: |
|||||
|
Сынып:11 |
Қатысқан оқушы саны: |
Қатыспаған оқушы саны: |
|||
|
Осы сабақта қол жеткізілетін оқу мақсаттары |
Оқушылар: осы тақырып бойынша білу, түсіну, талдау, қолдану, анализ, синтез ойлау дағдыларын қалыптастырады. |
||||
|
Сабақтың мақсаты |
Тақырып аясында берілген есептерді шығара алады, яғни теориялық алған білімін практикада қолдана алады. |
||||
|
Жетістік критерийлері |
Оқушылар осы тақырып бойынша білу, түсіну, талдау, қолдану, анализ, синтез ойлау дағдыларын қалыптастыруы тиіс. |
||||
|
Тілдік мақсат |
Осы тақырыпқа қатысты терминдерді үш тілде меңгереді, қазақ, орыс, ағылшын тіліндегі әдебиеттердегі материалдарды меңгере алады. Ол үшін мынадай сөздіктер қолданамын. |
||||
|
Құндылықтарды дамыту |
Болашаққа бағдар: Рухани жаңғырудың 6 негізгі бағыты - бәсекеге қабілеттілік, прагматизм, білімнің салтанат құруы, сананың ашықтығы, Туған жер бағдарламасы, латын әліпбиіне көшу, «100 жаңа оқулық» аясында патриоттыққа тәрбиелеу |
||||
|
Пәнаралық байланыс |
Геометрия, тұрмыста қолдана алу |
||||
|
АКТ қолдану дағдылары |
Интерактивті тақста, интернет ресурстары (сайттар, видеолар, есептер), таратпа материалдар, көрнекі-демонстрациялық құралдар, фигуралар |
||||
|
Бастапқы білім |
|
||||
|
Сабақ барысы |
|||||
|
Сабақтың кезеңдері |
Сабақта орындалатын іс-әрекеттер |
Оқыту ресурстары |
|||
|
Басы 5 минут |
Ұйымдастыру сәті Үй жұмысын тексеру Математикалық логикалық есептер беру арқылы «Миға шабуыл» Шырпыдан VІІ=І теңдігі құрастырылған. Бір шырпыны қозғау арқылы дұрыс теңдік құрастыр. |
|
|||
|
Қазақша |
Русский |
English |
|
Кему |
Убывающая |
Decreasing |
|
Жұп |
Четный |
Even |
|
Тақ |
Нечетный |
Odd |
|
Арнайы функциялар |
Специальные функции |
Special function |
|
Бөліктік функциялар |
Кусочные функции |
Picewise function |
|
Модуль функция |
Функция под знаком Модуля |
Absolute value function |
|
Сигнум функция |
Сигнум функция |
Sign function |
|
Бүтін дәреже |
Целая степень |
Integer exponent |
|
Негізгі бөлім Тақырыпты ашу 35 минут |
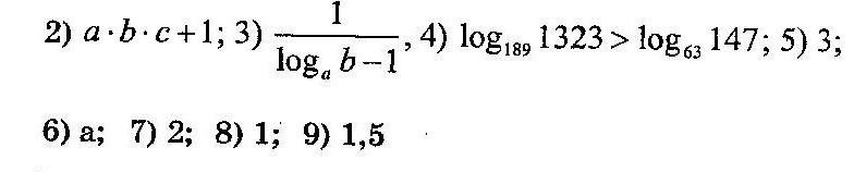
Өздік жұмыс жауаптары Бағалау: Оқушы 9 тапсырманы дұрыс орындаса, оқу мақсатына жетеді. |
|
|
Соңы |
Сабақты бекіту |
|
|
5 минут |
Рефлексия |
|
|
|
«Басбармақ» әдісі |
|
|
|
Үйге тапсырма: №411-413 |
![]()
|
Саралау – оқушыларға қалай көбірек қолдау көрсетуді жоспарлайсыз? Қабілеті жоғары оқушыларға қандай міндет қоюды жоспарлап отырсыз? |
Бағалау – оқушылардың материалды меңгеру деңгейін қалай |
Денсаулық және қауіпсіздік техникасының сақталуы |
|
|
тексеруді жоспарлайсыз? |
|
|
Саралау іріктелген тапсырмалар, бір оқушыдан күтілетін нәтижелер, оқушыға дербес қолдау көрсету жұмыстары. |
Тапсырманы толық дұрыс орындаған оқушыларды марапаттау |
Нұсқаулықпен жүргізіледі. |
|
Сабақ бойынша рефлексия Сабақ мақсаттары/оқу мақсаттары дұрыс қойылған ба? Оқушылардың барлығы ОМ қол жеткізді ме? Жеткізбесе, неліктен? Сабақта саралау дұрыс жүргізілді ме? Сабақтың уақыттық кезеңдері сақталды ма? Сабақ жоспарынан қандай ауытқулар болды, неліктен? |
Бұл бөлімді сабақ туралы өз пікіріңізді білдіру үшін пайдаланыңыз. Өз сабағыңыз туралы сол жақ бағанда берілген сұрақтарға жауап беріңіз. |
|
|
Жалпы баға Сабақтың жақсы өткен екі аспектісі (оқыту туралы да, оқу туралы да ойланыңыз)? Сабақты жақсартуға не ықпал ете алады (оқыту туралы да, оқу туралы да ойланыңыз)? Сабақ барысында сынып туралы немесе жекелеген оқушылардың жетістік/қиындықтары туралы нені білдім, келесі сабақтарда неге көңіл бөлу қажет? |
||
жүктеу мүмкіндігіне ие боласыз
Бұл материал сайт қолданушысы жариялаған. Материалдың ішінде жазылған барлық ақпаратқа жауапкершілікті жариялаған қолданушы жауап береді. Ұстаз тілегі тек ақпаратты таратуға қолдау көрсетеді. Егер материал сіздің авторлық құқығыңызды бұзған болса немесе басқа да себептермен сайттан өшіру керек деп ойласаңыз осында жазыңыз
Көрсеткіштік функцияны интегралдау
Көрсеткіштік функцияны интегралдау
|
Тақырыбы: Көрсеткіштік функцияны интегралдау |
Мектеп:№6 |
||||
|
Күні: |
|||||
|
Сынып:11 |
Қатысқан оқушы саны: |
Қатыспаған оқушы саны: |
|||
|
Осы сабақта қол жеткізілетін оқу мақсаттары |
Оқушылар: осы тақырып бойынша білу, түсіну, талдау, қолдану, анализ, синтез ойлау дағдыларын қалыптастырады. |
||||
|
Сабақтың мақсаты |
Тақырып аясында берілген есептерді шығара алады, яғни теориялық алған білімін практикада қолдана алады. |
||||
|
Жетістік критерийлері |
Оқушылар осы тақырып бойынша білу, түсіну, талдау, қолдану, анализ, синтез ойлау дағдыларын қалыптастыруы тиіс. |
||||
|
Тілдік мақсат |
Осы тақырыпқа қатысты терминдерді үш тілде меңгереді, қазақ, орыс, ағылшын тіліндегі әдебиеттердегі материалдарды меңгере алады. Ол үшін мынадай сөздіктер қолданамын. |
||||
|
Құндылықтарды дамыту |
Болашаққа бағдар: Рухани жаңғырудың 6 негізгі бағыты - бәсекеге қабілеттілік, прагматизм, білімнің салтанат құруы, сананың ашықтығы, Туған жер бағдарламасы, латын әліпбиіне көшу, «100 жаңа оқулық» аясында патриоттыққа тәрбиелеу |
||||
|
Пәнаралық байланыс |
Геометрия, тұрмыста қолдана алу |
||||
|
АКТ қолдану дағдылары |
Интерактивті тақста, интернет ресурстары (сайттар, видеолар, есептер), таратпа материалдар, көрнекі-демонстрациялық құралдар, фигуралар |
||||
|
Бастапқы білім |
|
||||
|
Сабақ барысы |
|||||
|
Сабақтың кезеңдері |
Сабақта орындалатын іс-әрекеттер |
Оқыту ресурстары |
|||
|
Басы 5 минут |
Ұйымдастыру сәті Үй жұмысын тексеру Математикалық логикалық есептер беру арқылы «Миға шабуыл» Шырпыдан VІІ=І теңдігі құрастырылған. Бір шырпыны қозғау арқылы дұрыс теңдік құрастыр. |
|
|||
|
Қазақша |
Русский |
English |
|
Кему |
Убывающая |
Decreasing |
|
Жұп |
Четный |
Even |
|
Тақ |
Нечетный |
Odd |
|
Арнайы функциялар |
Специальные функции |
Special function |
|
Бөліктік функциялар |
Кусочные функции |
Picewise function |
|
Модуль функция |
Функция под знаком Модуля |
Absolute value function |
|
Сигнум функция |
Сигнум функция |
Sign function |
|
Бүтін дәреже |
Целая степень |
Integer exponent |
|
Негізгі бөлім Тақырыпты ашу 35 минут |
Өздік жұмыс жауаптары Бағалау: Оқушы 9 тапсырманы дұрыс орындаса, оқу мақсатына жетеді. |
|
|
Соңы |
Сабақты бекіту |
|
|
5 минут |
Рефлексия |
|
|
|
«Басбармақ» әдісі |
|
|
|
Үйге тапсырма: №411-413 |
![]()
|
Саралау – оқушыларға қалай көбірек қолдау көрсетуді жоспарлайсыз? Қабілеті жоғары оқушыларға қандай міндет қоюды жоспарлап отырсыз? |
Бағалау – оқушылардың материалды меңгеру деңгейін қалай |
Денсаулық және қауіпсіздік техникасының сақталуы |
|
|
тексеруді жоспарлайсыз? |
|
|
Саралау іріктелген тапсырмалар, бір оқушыдан күтілетін нәтижелер, оқушыға дербес қолдау көрсету жұмыстары. |
Тапсырманы толық дұрыс орындаған оқушыларды марапаттау |
Нұсқаулықпен жүргізіледі. |
|
Сабақ бойынша рефлексия Сабақ мақсаттары/оқу мақсаттары дұрыс қойылған ба? Оқушылардың барлығы ОМ қол жеткізді ме? Жеткізбесе, неліктен? Сабақта саралау дұрыс жүргізілді ме? Сабақтың уақыттық кезеңдері сақталды ма? Сабақ жоспарынан қандай ауытқулар болды, неліктен? |
Бұл бөлімді сабақ туралы өз пікіріңізді білдіру үшін пайдаланыңыз. Өз сабағыңыз туралы сол жақ бағанда берілген сұрақтарға жауап беріңіз. |
|
|
Жалпы баға Сабақтың жақсы өткен екі аспектісі (оқыту туралы да, оқу туралы да ойланыңыз)? Сабақты жақсартуға не ықпал ете алады (оқыту туралы да, оқу туралы да ойланыңыз)? Сабақ барысында сынып туралы немесе жекелеген оқушылардың жетістік/қиындықтары туралы нені білдім, келесі сабақтарда неге көңіл бөлу қажет? |
||
шағым қалдыра аласыз















