Бекітемін»
Оқу ісі жөніндегі орынбасары ____________
« 03» 10. 2024 ж.
|
Бөлім: |
Квадрат түбіржәнеиррационал өрнек |
|
||||||||||||||||||||
|
Педагогтің аты-жөні: |
Хамитов Н. |
|
||||||||||||||||||||
|
Күні: |
03.10.2024ж |
|
||||||||||||||||||||
|
Сынып: 8 «В» |
Қатысқандар саны: Қатыспағандар саны: |
|
||||||||||||||||||||
|
Сабақтың тақырыбы: |
Құрамында квадрат түбірлері бар өрнектерді түрлендіру |
|
||||||||||||||||||||
|
Оқу бағдарламасына сәйкес оқыту мақсаттары: |
8.1.2.4 бөлшек бөлімін иррационалдықтан арылту; |
|
||||||||||||||||||||
|
Сабақтың мақсаты: |
Бөлшек бөлімін иррационалдықтан арылту |
|
||||||||||||||||||||
|
Құндылықтарға баулу |
Әділдік пен бірлікте жұмыс жасау |
|||||||||||||||||||||
|
Сабақ барысы: |
|
|||||||||||||||||||||
|
Уақыты/ кезеңдері |
Педагогтің әрекеті |
Оқушының әрекеті |
Бағалау |
Ресурстар |
||||||||||||||||||
|
Ұйымдастыру кезеңі
5мин |
Сәлемдесу; Сыныптағы оқушылардың көңіл күйлерін сұрап, жағымды ахуал туындату; Оқушыларды түгелдеу; Сабақтың мақсатымен таныстыру. Үй тапсырмасын тексеру:№4.13, №4.15 |
Мұғаліммен сәлемдесу; Сыныпта жағымды ахуал туындату, бір-біріне жақсы тілектерін білдіру; Сабақтың мақсатын мұғаліммен бірге ашу, сұрақтар туындаса мұғалімнің көмегіне жүгіну |
Ауызша бағалауды қоданамын «Өте жақсы» «Жарайсың» |
Тақта; Оқулық; |
||||||||||||||||||
|
Сабақтың басы
10 минут |
Бүгінгі тақырыпты қысқаша слайдпен түсіндіреді, мысалдар келтіреді Оқушылар берілген тапсырмаларды орындайды; көмек керек болса мұғалім көмегіне жүгінеді Конспект. Квадрат түбірлері бар өрнектерді түрлендіруге тағы мысалдар келтірейік.
(сілтемесі арқылы өтіп, қосымша мәлімет алып, тапсырмаларды орындауыңызға болады) Бұл
сабақта бөлшектің бөліміндегі иррационалдықтан арылу тапсырмаларын
орындаған кезде бөлшектің алымын да,бөлімін де бірдей санға
көбейткеннен бөлшектің мағынасы өзгермейтіндігін және қысқаша
көбейту формулаларын: 1) 2)
Мысал1.Бөлшектің бөлімін иррационалдықтан арылту:
|
Мактау мадақтау арқылы бағалау: Жарайсың! Өте жақсы! Жақсы! Керемет! |
Тақта; Слайд; Оқулық 8-сынып, Алгебра, авторы Әбілқасымова А.Е; Кучер Т.П..Алматы, Мектеп2017 |
|||||||||||||||||||
|
Сабақтың ортасы
25минут |
№4.5 Сандарды кему ретімен орналастыр
|
№4.13 иррационалдықтан босатыңыз
|
Бағалау Оқушылар жеке орындап болған соң дайын жауаптар мен дескрипторлар бойынша бағалайды. |
Слайд Тақта Бор
Кітап Дәптер |
||||||||||||||||||
|
|
Өрнектің мәнін табыңдар:
|
|
«Басбармақ» әдісімен бір – бірін бағалау жүргізіледі |
Тақта; Слайд; Оқулық 8-сынып, Алгебра, авторы Әбілқасымова А.Е; Кучер Т.П..-Алматы,Мектеп2017 |
||||||||||||||||||
|
|
Сәйкестендіруді
орындаңыз |
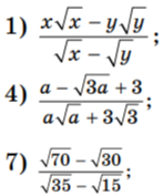
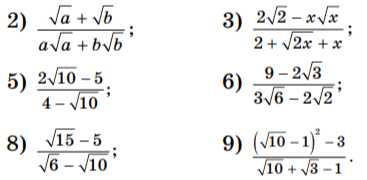
Тапсырма Бөлшек бөлімін иррационалдықтан арылтыңыз: 1) 3) 4) 2) |
ҚБ: Жұпта өзара бағалау «+», « - », қызықты |
8-сынып, Алгебра, авторы Әбілқасымова А.Е; Кучер Т.П..Алматы, Мектеп2017 |
||||||||||||||||||
|
|
|
ҚБ: Жұпта өзара бағалау «+», « - », қызықты |
Слайд Тақта Бор
Кітап Дәптер |
|||||||||||||||||||
|
|
Тапсырма
|
Бағалау Оқушылар жеке орындап болған соң дайын жауаптар мен дескрипторлар бойынша бағалайды. Мұғалім оқушылар жұмысын бақылап, оларға кері байланыс береді. |
Слайд Тақта Бор
Кітап Дәптер |
|||||||||||||||||||
|
|
Бөлшектіқысқартыңдар:
|
|
Оқушылар дайын жауаппен, жұпта қатар отырған оқушылар бірін-бірі тексеріп бағалайды. |
Слайд Тақта Бор
Кітап Дәптер |
||||||||||||||||||
|
Сабақтың соңы 5 минут |
Қорытындылау. Рефлексия. Тіркесті толықтырыңыз: «Бүгін мен сабақта ... білдім» «Бүгін мен сабақта ... үйрендім» «Бүгін мен сабақта ... таныстым» «Бүгін мен сабақта ... қайталадым» «Бүгін мен сабақта ... бекіттім» Үй тапсырмасын беремін |
Сабақты қорытындылау: Өтілген мақсат бойынша сұрақтар қою арқылы сабақты қорытындылаймын. 1.Сабақтың мақсаты қандай болды? 2.Сабақтың мақсатына жету үшін нені білу керек? 3.Нені түсінбедіңдер? Сабақ соңында оқушылардан рефлексия алу: - тақырып бойынша не білемін? - тағы не білгім келеді? - не істей аламын? Үйге тапсырма:№4.20 |
Ынталандыру сөздерін қолдану «жақсы», «жарайсың», «өте жақсы» 1-10 баллдық жүйеде бағаланады.
|
Бағалау парақтары; оқулық; |
||||||||||||||||||
жүктеу мүмкіндігіне ие боласыз
Бұл материал сайт қолданушысы жариялаған. Материалдың ішінде жазылған барлық ақпаратқа жауапкершілікті жариялаған қолданушы жауап береді. Ұстаз тілегі тек ақпаратты таратуға қолдау көрсетеді. Егер материал сіздің авторлық құқығыңызды бұзған болса немесе басқа да себептермен сайттан өшіру керек деп ойласаңыз осында жазыңыз
Кубик Рубик құпиясы
Кубик Рубик құпиясы
Бекітемін»
Оқу ісі жөніндегі орынбасары ____________
« 03» 10. 2024 ж.
|
Бөлім: |
Квадрат түбіржәнеиррационал өрнек |
|
||||||||||||||||||||
|
Педагогтің аты-жөні: |
Хамитов Н. |
|
||||||||||||||||||||
|
Күні: |
03.10.2024ж |
|
||||||||||||||||||||
|
Сынып: 8 «В» |
Қатысқандар саны: Қатыспағандар саны: |
|
||||||||||||||||||||
|
Сабақтың тақырыбы: |
Құрамында квадрат түбірлері бар өрнектерді түрлендіру |
|
||||||||||||||||||||
|
Оқу бағдарламасына сәйкес оқыту мақсаттары: |
8.1.2.4 бөлшек бөлімін иррационалдықтан арылту; |
|
||||||||||||||||||||
|
Сабақтың мақсаты: |
Бөлшек бөлімін иррационалдықтан арылту |
|
||||||||||||||||||||
|
Құндылықтарға баулу |
Әділдік пен бірлікте жұмыс жасау |
|||||||||||||||||||||
|
Сабақ барысы: |
|
|||||||||||||||||||||
|
Уақыты/ кезеңдері |
Педагогтің әрекеті |
Оқушының әрекеті |
Бағалау |
Ресурстар |
||||||||||||||||||
|
Ұйымдастыру кезеңі
5мин |
Сәлемдесу; Сыныптағы оқушылардың көңіл күйлерін сұрап, жағымды ахуал туындату; Оқушыларды түгелдеу; Сабақтың мақсатымен таныстыру. Үй тапсырмасын тексеру:№4.13, №4.15 |
Мұғаліммен сәлемдесу; Сыныпта жағымды ахуал туындату, бір-біріне жақсы тілектерін білдіру; Сабақтың мақсатын мұғаліммен бірге ашу, сұрақтар туындаса мұғалімнің көмегіне жүгіну |
Ауызша бағалауды қоданамын «Өте жақсы» «Жарайсың» |
Тақта; Оқулық; |
||||||||||||||||||
|
Сабақтың басы
10 минут |
Бүгінгі тақырыпты қысқаша слайдпен түсіндіреді, мысалдар келтіреді Оқушылар берілген тапсырмаларды орындайды; көмек керек болса мұғалім көмегіне жүгінеді Конспект. Квадрат түбірлері бар өрнектерді түрлендіруге тағы мысалдар келтірейік.
(сілтемесі арқылы өтіп, қосымша мәлімет алып, тапсырмаларды орындауыңызға болады) Бұл
сабақта бөлшектің бөліміндегі иррационалдықтан арылу тапсырмаларын
орындаған кезде бөлшектің алымын да,бөлімін де бірдей санға
көбейткеннен бөлшектің мағынасы өзгермейтіндігін және қысқаша
көбейту формулаларын: 1) 2)
Мысал1.Бөлшектің бөлімін иррационалдықтан арылту:
|
Мактау мадақтау арқылы бағалау: Жарайсың! Өте жақсы! Жақсы! Керемет! |
Тақта; Слайд; Оқулық 8-сынып, Алгебра, авторы Әбілқасымова А.Е; Кучер Т.П..Алматы, Мектеп2017 |
|||||||||||||||||||
|
Сабақтың ортасы
25минут |
№4.5 Сандарды кему ретімен орналастыр
|
№4.13 иррационалдықтан босатыңыз
|
Бағалау Оқушылар жеке орындап болған соң дайын жауаптар мен дескрипторлар бойынша бағалайды. |
Слайд Тақта Бор
Кітап Дәптер |
||||||||||||||||||
|
|
Өрнектің мәнін табыңдар:
|
|
«Басбармақ» әдісімен бір – бірін бағалау жүргізіледі |
Тақта; Слайд; Оқулық 8-сынып, Алгебра, авторы Әбілқасымова А.Е; Кучер Т.П..-Алматы,Мектеп2017 |
||||||||||||||||||
|
|
Сәйкестендіруді
орындаңыз |
Тапсырма Бөлшек бөлімін иррационалдықтан арылтыңыз: 1) 3) 4) 2) |
ҚБ: Жұпта өзара бағалау «+», « - », қызықты |
8-сынып, Алгебра, авторы Әбілқасымова А.Е; Кучер Т.П..Алматы, Мектеп2017 |
||||||||||||||||||
|
|
|
ҚБ: Жұпта өзара бағалау «+», « - », қызықты |
Слайд Тақта Бор
Кітап Дәптер |
|||||||||||||||||||
|
|
Тапсырма
|
Бағалау Оқушылар жеке орындап болған соң дайын жауаптар мен дескрипторлар бойынша бағалайды. Мұғалім оқушылар жұмысын бақылап, оларға кері байланыс береді. |
Слайд Тақта Бор
Кітап Дәптер |
|||||||||||||||||||
|
|
Бөлшектіқысқартыңдар:
|
|
Оқушылар дайын жауаппен, жұпта қатар отырған оқушылар бірін-бірі тексеріп бағалайды. |
Слайд Тақта Бор
Кітап Дәптер |
||||||||||||||||||
|
Сабақтың соңы 5 минут |
Қорытындылау. Рефлексия. Тіркесті толықтырыңыз: «Бүгін мен сабақта ... білдім» «Бүгін мен сабақта ... үйрендім» «Бүгін мен сабақта ... таныстым» «Бүгін мен сабақта ... қайталадым» «Бүгін мен сабақта ... бекіттім» Үй тапсырмасын беремін |
Сабақты қорытындылау: Өтілген мақсат бойынша сұрақтар қою арқылы сабақты қорытындылаймын. 1.Сабақтың мақсаты қандай болды? 2.Сабақтың мақсатына жету үшін нені білу керек? 3.Нені түсінбедіңдер? Сабақ соңында оқушылардан рефлексия алу: - тақырып бойынша не білемін? - тағы не білгім келеді? - не істей аламын? Үйге тапсырма:№4.20 |
Ынталандыру сөздерін қолдану «жақсы», «жарайсың», «өте жақсы» 1-10 баллдық жүйеде бағаланады.
|
Бағалау парақтары; оқулық; |
||||||||||||||||||
шағым қалдыра аласыз


қолданамыз.
=
;
;
;
;
;
;
;




















