Атырау облысы, Атырау қаласы, Бесікті ауылы
Жалпы білім беретін Бесікті орта мектеп-интернат КММ
Математика пәні мұғалімі Сидербаева Гулмира Сериковна
Тақырыбы: «Математика сабағында оқушылардың функционалдық сауаттылықтарын дамыту»
Қазіргі таңда қоғамда әр адамның алған білімін күнделікті өмірде қолдана білуі маңызды. Осы мақсатта білім беру саласында функционалдық сауаттылықты дамыту өзекті мәселеге айналды. Функционалдық сауаттылық дегеніміз – жеке тұлғаның алған білімін өмірлік жағдайларда тиімді пайдалана алуы. Әсіресе, математика сабағында бұл дағдыны қалыптастыру – оқушыларды практикалық өмірге бейімдеудің негізгі жолдарының бірі. Математика сабағында функционалдық сауаттылықты дамыту үшін оқыту процесін шынайы өмірмен байланыстыру қажет. Сонда оқушының математикалық тілде ойлай алуы, есептерді өмірмен байланыстырып шеше білуі, логикалық пайымдай алуы және шешім қабылдау дағдылары арқылы көрінеді Бұл бағытта тәжірибеге негізделген тапсырмалар мен есептердің рөлі ерекше.
Математикалық модельдер құру;
Мәселені талдау және шешу үшін математикалық әдістер қолдану;
Нәтижені бағалау және түсіндіру қабілеттерінен көрінеді.
Математика сабағында функционалдық сауаттылықты дамыту жолдары
Оқушылардың функционалдық сауаттылығын арттыру үшін сабақта келесі әдістерді қолдану тиімді:
Практикалық әдістер
1. Өмірлік жағдаяттарға негізделген тапсырмалар беру
Мақсат: Оқушының білімін нақты өмірлік жағдайларда қолдану қабілетін арттыру.
Мысал: "Отбасылық бюджет жасау" тақырыбында табыс пен шығысты есептеу.
"Үйдің қабырғасын сырлау үшін қанша бояу керек?" есебі.
"Жеңілдіктер мен пайыздарды есептеу" тапсырмалары.
2. Математикалық модельдеу әдісі
Мақсат: Өмірлік жағдайды математикалық тілге аудару дағдыларын қалыптастыру.
Мысал: "Автокөлік бір қаладан екінші қалаға қандай жылдамдықпен жетеді?" тапсырмасында теңдеу құру.
"Көп қабатты үйдің лифт жүйесін тиімді жоспарлау" жобасы.
3. Интерактивті технологияларды қолдану
Мақсат: Сандық білім көздері арқылы математикалық түсінікті арттыру.
Құралдар: GeoGebra, Desmos сияқты бағдарламаларда график салу.
Kahoot, Quizizz арқылы тест тапсырмаларын ұйымдастыру.
4. Жобалық жұмыс әдісі
Мақсат: Оқушыны зерттеуге, дербес жұмыс істеуге үйрету.
Мысал: "Сыныптың су тұтынуын есептеу және үнемдеу жобасы."
"Мектеп аумағының көлемін есептеп, көгалдандыру жоспарын жасау."
5. Дебат және талқылау әдісі
Мақсат: Оқушылардың өз шешімін дәлелдеуге, пікір алмасуға үйрету.
Мысал: "Мына есепті шешудің ең тиімді жолы қайсы?" тақырыбында пікірталас.
"Екі түрлі әдіспен есептеп, қай әдіс тиімді екенін дәлелдеу."
6. Ойын технологиялары
Мақсат: Оқушылардың қызығушылығын оятып, математикалық ойлауын дамыту.
Мысал: "Математикалық квесттер" ұйымдастыру.
"Логикалық жұмбақтар" және "Сандар ойыны" арқылы сабақты жандандыру.
7. Топтық жұмыс және рефлексия
Мақсат: Ынтымақтастықта жұмыс істеу және өз білімін бағалау.
Мысал: Шағын топтарға "бір есепті бірнеше әдіспен шығару" тапсырмасы беріледі.
Сабақ соңында "Не үйрендім? Қандай қиындық болды?" деген сұрақтарға жауап беру.
Функционалдық сауаттылықты дамытуға арналған есептерден үлгі
1. Өмірлік жағдайға негізделген есептер
қолдану
Оқушылардың өмірмен байланысын арттыру үшін сабақ барысында
күнделікті өмірде кездесетін жағдайларға ұқсас есептер беру
керек.
Мысал есеп 1: Дүкендегі жеңілдік
Айжан дүкеннен 4500 теңгеге азық-түлік сатып
алды. Сатушы оған 10% жеңілдік жасады. Айжан азық-түлік үшін қанша
теңге төледі?
Шешуі:
10% жеңілдік = 4500 × 0.10 = 450 теңге
Төленетін сома = 4500 – 450 = 4050 теңге
Түсіндірме:
Бұл есеп күнделікті сатып алу барысында пайыздық жеңілдіктерді
есептеуге үйретеді, яғни функционалдық сауаттылықты тікелей
дамытады.
2. Қаржылық сауаттылықты
дамыту
Оқушыларды ақша жинау, жоспарлау сияқты дағдыларға үйрететін
есептер беру олардың қаржылық сауаттылығын
арттырады.
Мысал есеп 2:
Жинақ жоспары
Әли жазғы демалысқа 150 000 теңге жинағысы
келеді. Егер ол әр ай сайын 12 500 теңге жинаса, мақсатына неше
айда жетеді?
Шешуі:
150 000 ÷ 12 500 = 12 ай
Түсіндірме:
Бұл есеп оқушыларды мақсат қоюға, қаржыны дұрыс жоспарлауға және
өмірге қажетті дағдыларды меңгеруге баулиды.
3. Уақыт пен қашықтыққа байланысты
есептер
Уақыт пен қашықтық арасындағы байланысты түсіндіру оқушылардың
күнделікті қозғалыс пен уақытты дұрыс бағалауына
көмектеседі.
Мысал есеп 3:
Мектепке жету
уақыты
Ерасылдың үйінен мектепке дейінгі қашықтық — 6
км. Ол велосипедпен 12 км/сағ жылдамдықпен барады. Мектепке жету
үшін қанша уақыт кетеді?
Шешуі:
Уақыт = Қашықтық ÷ Жылдамдық
6 ÷ 12 = 0,5 сағат немесе 30 минут
Түсіндірме:
Бұл есеп күнделікті өмірдегі уақытты жоспарлау дағдыларын
қалыптастырады.
4. Диаграммалар мен графиктерді
талдау
Оқушыларға түрлі диаграмма және графиктер арқылы ақпарат ұсыну
олардың функционалдық сауаттылығын арттырады.
Мысал есеп 4:
Статистикамен
жұмыс
Сыныптағы оқушылардың таңдаған спорт түрлері
диаграммада көрсетілген. Футболды 12 оқушы, баскетболды 8 оқушы,
жүзуді 5 оқушы таңдады. Барлығы қанша оқушы спортпен айналысады
және футболды таңдағандардың үлесі қандай?

Шешуі:
Барлығы: 12 + 8 + 5 = 25 оқушы
Футболды таңдағандардың үлесі: 12 ÷ 25 × 100% =
48%
Түсіндірме:
Диаграммалармен жұмыс істеу ақпаратты түсіну және
ақпаратты көзбен көре отырып
есте сақтау қабілетін дамытады.
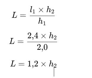
Мысал есеп 5: Тимурдың биіктігі 2,0 м, ұзындығы 2,4 м болатын серфинг тақтасының көлеңкесі құмға түседі.

Екі үшбұрыш ұқсас. Еркебұланның тақтасының көлеңкесінің ұзындығы (L) қандай?
L=1,2*3=3,6
Қорытынды
Математика сабағында функционалдық сауаттылықты
дамыту – оқушыларды тек есеп шығаратын емес, алған білімін өмірде
қолдана алатын тұлға ретінде тәрбиелеу деген сөз. Өмірлік
жағдайларға негізделген тапсырмалар оқушылардың пәнге қызығушылығын
арттырып қана қоймай, оларды шынайы өмірге бейімдейді. Сондықтан
әрбір мұғалім сабақта тәжірибеге бағытталған тапсырмаларды жүйелі
түрде қолданып, оқушылардың ойлау қабілеті мен практикалық
дағдыларын дамытуға көңіл бөлуі тиіс деп
ойлаймын.
жүктеу мүмкіндігіне ие боласыз
Бұл материал сайт қолданушысы жариялаған. Материалдың ішінде жазылған барлық ақпаратқа жауапкершілікті жариялаған қолданушы жауап береді. Ұстаз тілегі тек ақпаратты таратуға қолдау көрсетеді. Егер материал сіздің авторлық құқығыңызды бұзған болса немесе басқа да себептермен сайттан өшіру керек деп ойласаңыз осында жазыңыз
Мақала
Мақала
Атырау облысы, Атырау қаласы, Бесікті ауылы
Жалпы білім беретін Бесікті орта мектеп-интернат КММ
Математика пәні мұғалімі Сидербаева Гулмира Сериковна
Тақырыбы: «Математика сабағында оқушылардың функционалдық сауаттылықтарын дамыту»
Қазіргі таңда қоғамда әр адамның алған білімін күнделікті өмірде қолдана білуі маңызды. Осы мақсатта білім беру саласында функционалдық сауаттылықты дамыту өзекті мәселеге айналды. Функционалдық сауаттылық дегеніміз – жеке тұлғаның алған білімін өмірлік жағдайларда тиімді пайдалана алуы. Әсіресе, математика сабағында бұл дағдыны қалыптастыру – оқушыларды практикалық өмірге бейімдеудің негізгі жолдарының бірі. Математика сабағында функционалдық сауаттылықты дамыту үшін оқыту процесін шынайы өмірмен байланыстыру қажет. Сонда оқушының математикалық тілде ойлай алуы, есептерді өмірмен байланыстырып шеше білуі, логикалық пайымдай алуы және шешім қабылдау дағдылары арқылы көрінеді Бұл бағытта тәжірибеге негізделген тапсырмалар мен есептердің рөлі ерекше.
Математикалық модельдер құру;
Мәселені талдау және шешу үшін математикалық әдістер қолдану;
Нәтижені бағалау және түсіндіру қабілеттерінен көрінеді.
Математика сабағында функционалдық сауаттылықты дамыту жолдары
Оқушылардың функционалдық сауаттылығын арттыру үшін сабақта келесі әдістерді қолдану тиімді:
Практикалық әдістер
1. Өмірлік жағдаяттарға негізделген тапсырмалар беру
Мақсат: Оқушының білімін нақты өмірлік жағдайларда қолдану қабілетін арттыру.
Мысал: "Отбасылық бюджет жасау" тақырыбында табыс пен шығысты есептеу.
"Үйдің қабырғасын сырлау үшін қанша бояу керек?" есебі.
"Жеңілдіктер мен пайыздарды есептеу" тапсырмалары.
2. Математикалық модельдеу әдісі
Мақсат: Өмірлік жағдайды математикалық тілге аудару дағдыларын қалыптастыру.
Мысал: "Автокөлік бір қаладан екінші қалаға қандай жылдамдықпен жетеді?" тапсырмасында теңдеу құру.
"Көп қабатты үйдің лифт жүйесін тиімді жоспарлау" жобасы.
3. Интерактивті технологияларды қолдану
Мақсат: Сандық білім көздері арқылы математикалық түсінікті арттыру.
Құралдар: GeoGebra, Desmos сияқты бағдарламаларда график салу.
Kahoot, Quizizz арқылы тест тапсырмаларын ұйымдастыру.
4. Жобалық жұмыс әдісі
Мақсат: Оқушыны зерттеуге, дербес жұмыс істеуге үйрету.
Мысал: "Сыныптың су тұтынуын есептеу және үнемдеу жобасы."
"Мектеп аумағының көлемін есептеп, көгалдандыру жоспарын жасау."
5. Дебат және талқылау әдісі
Мақсат: Оқушылардың өз шешімін дәлелдеуге, пікір алмасуға үйрету.
Мысал: "Мына есепті шешудің ең тиімді жолы қайсы?" тақырыбында пікірталас.
"Екі түрлі әдіспен есептеп, қай әдіс тиімді екенін дәлелдеу."
6. Ойын технологиялары
Мақсат: Оқушылардың қызығушылығын оятып, математикалық ойлауын дамыту.
Мысал: "Математикалық квесттер" ұйымдастыру.
"Логикалық жұмбақтар" және "Сандар ойыны" арқылы сабақты жандандыру.
7. Топтық жұмыс және рефлексия
Мақсат: Ынтымақтастықта жұмыс істеу және өз білімін бағалау.
Мысал: Шағын топтарға "бір есепті бірнеше әдіспен шығару" тапсырмасы беріледі.
Сабақ соңында "Не үйрендім? Қандай қиындық болды?" деген сұрақтарға жауап беру.
Функционалдық сауаттылықты дамытуға арналған есептерден үлгі
1. Өмірлік жағдайға негізделген есептер
қолдану
Оқушылардың өмірмен байланысын арттыру үшін сабақ барысында
күнделікті өмірде кездесетін жағдайларға ұқсас есептер беру
керек.
Мысал есеп 1: Дүкендегі жеңілдік
Айжан дүкеннен 4500 теңгеге азық-түлік сатып
алды. Сатушы оған 10% жеңілдік жасады. Айжан азық-түлік үшін қанша
теңге төледі?
Шешуі:
10% жеңілдік = 4500 × 0.10 = 450 теңге
Төленетін сома = 4500 – 450 = 4050 теңге
Түсіндірме:
Бұл есеп күнделікті сатып алу барысында пайыздық жеңілдіктерді
есептеуге үйретеді, яғни функционалдық сауаттылықты тікелей
дамытады.
2. Қаржылық сауаттылықты
дамыту
Оқушыларды ақша жинау, жоспарлау сияқты дағдыларға үйрететін
есептер беру олардың қаржылық сауаттылығын
арттырады.
Мысал есеп 2:
Жинақ жоспары
Әли жазғы демалысқа 150 000 теңге жинағысы
келеді. Егер ол әр ай сайын 12 500 теңге жинаса, мақсатына неше
айда жетеді?
Шешуі:
150 000 ÷ 12 500 = 12 ай
Түсіндірме:
Бұл есеп оқушыларды мақсат қоюға, қаржыны дұрыс жоспарлауға және
өмірге қажетті дағдыларды меңгеруге баулиды.
3. Уақыт пен қашықтыққа байланысты
есептер
Уақыт пен қашықтық арасындағы байланысты түсіндіру оқушылардың
күнделікті қозғалыс пен уақытты дұрыс бағалауына
көмектеседі.
Мысал есеп 3:
Мектепке жету
уақыты
Ерасылдың үйінен мектепке дейінгі қашықтық — 6
км. Ол велосипедпен 12 км/сағ жылдамдықпен барады. Мектепке жету
үшін қанша уақыт кетеді?
Шешуі:
Уақыт = Қашықтық ÷ Жылдамдық
6 ÷ 12 = 0,5 сағат немесе 30 минут
Түсіндірме:
Бұл есеп күнделікті өмірдегі уақытты жоспарлау дағдыларын
қалыптастырады.
4. Диаграммалар мен графиктерді
талдау
Оқушыларға түрлі диаграмма және графиктер арқылы ақпарат ұсыну
олардың функционалдық сауаттылығын арттырады.
Мысал есеп 4:
Статистикамен
жұмыс
Сыныптағы оқушылардың таңдаған спорт түрлері
диаграммада көрсетілген. Футболды 12 оқушы, баскетболды 8 оқушы,
жүзуді 5 оқушы таңдады. Барлығы қанша оқушы спортпен айналысады
және футболды таңдағандардың үлесі қандай?

Шешуі:
Барлығы: 12 + 8 + 5 = 25 оқушы
Футболды таңдағандардың үлесі: 12 ÷ 25 × 100% =
48%
Түсіндірме:
Диаграммалармен жұмыс істеу ақпаратты түсіну және
ақпаратты көзбен көре отырып
есте сақтау қабілетін дамытады.
Мысал есеп 5: Тимурдың биіктігі 2,0 м, ұзындығы 2,4 м болатын серфинг тақтасының көлеңкесі құмға түседі.

Екі үшбұрыш ұқсас. Еркебұланның тақтасының көлеңкесінің ұзындығы (L) қандай?
L=1,2*3=3,6
Қорытынды
Математика сабағында функционалдық сауаттылықты
дамыту – оқушыларды тек есеп шығаратын емес, алған білімін өмірде
қолдана алатын тұлға ретінде тәрбиелеу деген сөз. Өмірлік
жағдайларға негізделген тапсырмалар оқушылардың пәнге қызығушылығын
арттырып қана қоймай, оларды шынайы өмірге бейімдейді. Сондықтан
әрбір мұғалім сабақта тәжірибеге бағытталған тапсырмаларды жүйелі
түрде қолданып, оқушылардың ойлау қабілеті мен практикалық
дағдыларын дамытуға көңіл бөлуі тиіс деп
ойлаймын.
шағым қалдыра аласыз













