|
Білім беру ұйымының атауы |
№151ЖББМ |
|||||
|
Пәні: |
Математика |
|||||
|
Бөлім: |
Мені қоршаған орта |
|||||
|
Педагогтің аты-жөні: |
Рысбекова Ж.Е. |
|||||
|
Күні: |
14.04.2026ж. |
|||||
|
Сынып: |
2 А |
|
||||
|
Сабақтың тақырыбы: |
№ 106 сабақ. Екі немесе үш амалдан тұратын санды өрнектерді салыстыру |
|||||
|
Оқу бағдарламасына сәйкес оқыту мақсаты: |
2.2.1.6. Екі-үш амалды жақшалы және жақшасы өрнектерде арифметикалық амалдардың орындалу тәртібін анықтау, Олардың мәнін табу. |
|||||
|
Сабақтың мақсаты |
Әріпті өрнекті құруды, әріптің берілген мәнінде олардың мәндерін есептеуді үйренеді |
|||||
|
Құндылық: (Негіздеме: Мемлекет басшысы Қ.Тоқаевтың Ұлттық құрылтайдың ІІ,ІІІ, ІV отырыстарында берген тапсырмасы, ҚР Оқу-ағарту министрлігінің №123 бұйрығы) |
"АДАЛ АЗАМАТ" ҚАЗАҚСТАН РЕСПУБЛИКАСЫ ОҚУ-АҒАРТУ МИНИСТРЛІГІ Астана, 2025 БАҒДАРЛАМАСЫ БІРТҰТАС ТӘРБИЕ Ақпан айы: ЕҢБЕКҚОРЛЫҚ ЖӘНЕ КӘСІБИ БІЛІКТІЛІК Апта дәйексөзі: «Еңбек - қуаныш, жалқаулық - айырылмас азап.» (Абай) |
|||||
|
Сабақтың барысы |
||||||
|
Сабақтың кезеңі// уақыты |
Педагогтің әрекеті |
Оқушының әрекеті |
Бағалау |
Ресурстар |
||
|
Сабақ тың басы 5 минут Өткенді пысықтау 5 минут Сабақ тың ортасы 20 минут Сергіту сәті 2 минут Сабақты қорыту 6минут Қосымша тапсырма 2минут Кері байланыс 5 минут |
Психологиялық ахуалды жақсарту
«Біртұтас тәрбие» тәрбие бағдарламасындағы құндылықтарды оқу процесіне ұйымдастыру кезіңінен бастап, сабақтың әрбір кезеңінде жүргіземін. Құндылық мақсаты: Адам өміріндегі, отбасындағы, қоғамдағы еңбектің құндылығын түсіну Өткенді пысықтау Үй тапсырмасын тексеру. 9-тапсырма Өрнектерді оқы. Олардың мәнін тап. 76+8*3=76+24=100 7*2-6+63=14-6+6=8+6=14 91+18/2-53=100-53=47 Жаңа тақырып 1-тапсырма Әріпті өрнекті оқы
2-тапсырма Өрнектерді жаз және олардың мәнін тап 4*5+5/1=20+5=25 3*4-32/4=12-8=4 (2+3)*(24-19)=5*5=25 (100-64)/(1+3)=36/4=9 Саралау: топтық қолдау ТОптық жұмыс 3-тапсырма Сызба бойынша есеп құрастыр. Есептің шешуін әріпті өрнек түрінде жаз. Д Картоп-? 3 есе кем Шешуі: а/3+а ЕБҚ және ЕҚБ Мақсаты: бірлесе жұмыс жасай білуге үйрету 4-тапсырма Х*3=27 b=6*3 a+29=45 Х=27/3 b=18 a=45-29 Х=9 a=16 ЖИ: «wordwall.» ойыны
Жұптық жұмыс 5-тапсырма Қосындыны көбейтумен алмастыр. с+с+с+с+с+с=c*6 Көбейтумен қосындымен алмастыр. 24+24+24 B+b+b+b+b 100+100+100+100+100 6-тапсырма Ұзындығы 21:а сантиметрге тең кесінді сыз,Мұндағы а=7,a=3 21/7=3 21/3=7
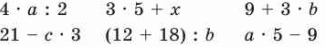
Саралау: нәтиже 7-тапсырма Салыстыр 26-19* 7+4 57/1*57-0 36+8*45 1*23*23/1 Үй тапсырмасы Амалдардың орындалу ретін анықта. 11-2*5=1 (9+19)/4=7 9*2-9=9 36-18/2=27 ҚЖ: 9-тапсырма Ойлан,тап! Жауабы: Сәуленің атасы 70 жаста.
|
Сабаққа дайындық жасап, жақсы тілектер тілейді. Өткенді пысықтайды Жаңа тақырыпты түсініп алады Тапсырманы орындайды Есеп құрастырады Жеке жұмыс жасайды Жаттығу жасайды Тапсырманы орындайды Кесінді сызады САлыстыру жасайды Тапсырма бірдей болғанмен нәтиже әртүрлі болады Амалдарды орындайды Қосымша жұмыс жасайды Кері байланыс береді |
Мақтап, мадақтап отыру Дескриптор: Өрнектерді оқып,олардың мәнін табады-1б ҚБ: « Банкомат» әдісі
Дескриптор: Әріпті өрнекті оқиды-1б Дескриптор: Өрнектерді жазады және олардың мәнін табады-1б Дескриптор: Сызба бойынша есеп құрастырады-1б Тамаша! Дескриптор: Теңдеулерді шешеді-1б
Дескриптор: Қосындыны көбейтумен алмастырады-1б Көбейтумен алмастырады-1б Дескриптор: Ұзындығы 21:а сантиметрге тең кесінді сызады-1б Дескриптор: Өрнекті салыстырады-1б Дескриптор: Амалдардың орындалу ретін анықтап,орындайды-1б
«Білім поштасы » әдісі |
Суреттер Оқулық оқулық Суреттер
Жұмыс дәптері Оқулық https://wordwall.net/kk/resource/56259167 Суреттер
Оқулық Жұмыс дәптері
Кері байланыс тақтасы |
||
жүктеу мүмкіндігіне ие боласыз
Бұл материал сайт қолданушысы жариялаған. Материалдың ішінде жазылған барлық ақпаратқа жауапкершілікті жариялаған қолданушы жауап береді. Ұстаз тілегі тек ақпаратты таратуға қолдау көрсетеді. Егер материал сіздің авторлық құқығыңызды бұзған болса немесе басқа да себептермен сайттан өшіру керек деп ойласаңыз осында жазыңыз
Математика 2- сынып "Екі немесе үш амалдан тұратын санды өрнектерді салыстыру"
|
Білім беру ұйымының атауы |
№151ЖББМ |
|||||
|
Пәні: |
Математика |
|||||
|
Бөлім: |
Мені қоршаған орта |
|||||
|
Педагогтің аты-жөні: |
Рысбекова Ж.Е. |
|||||
|
Күні: |
14.04.2026ж. |
|||||
|
Сынып: |
2 А |
|
||||
|
Сабақтың тақырыбы: |
№ 106 сабақ. Екі немесе үш амалдан тұратын санды өрнектерді салыстыру |
|||||
|
Оқу бағдарламасына сәйкес оқыту мақсаты: |
2.2.1.6. Екі-үш амалды жақшалы және жақшасы өрнектерде арифметикалық амалдардың орындалу тәртібін анықтау, Олардың мәнін табу. |
|||||
|
Сабақтың мақсаты |
Әріпті өрнекті құруды, әріптің берілген мәнінде олардың мәндерін есептеуді үйренеді |
|||||
|
Құндылық: (Негіздеме: Мемлекет басшысы Қ.Тоқаевтың Ұлттық құрылтайдың ІІ,ІІІ, ІV отырыстарында берген тапсырмасы, ҚР Оқу-ағарту министрлігінің №123 бұйрығы) |
"АДАЛ АЗАМАТ" ҚАЗАҚСТАН РЕСПУБЛИКАСЫ ОҚУ-АҒАРТУ МИНИСТРЛІГІ Астана, 2025 БАҒДАРЛАМАСЫ БІРТҰТАС ТӘРБИЕ Ақпан айы: ЕҢБЕКҚОРЛЫҚ ЖӘНЕ КӘСІБИ БІЛІКТІЛІК Апта дәйексөзі: «Еңбек - қуаныш, жалқаулық - айырылмас азап.» (Абай) |
|||||
|
Сабақтың барысы |
||||||
|
Сабақтың кезеңі// уақыты |
Педагогтің әрекеті |
Оқушының әрекеті |
Бағалау |
Ресурстар |
||
|
Сабақ тың басы 5 минут Өткенді пысықтау 5 минут Сабақ тың ортасы 20 минут Сергіту сәті 2 минут Сабақты қорыту 6минут Қосымша тапсырма 2минут Кері байланыс 5 минут |
Психологиялық ахуалды жақсарту
«Біртұтас тәрбие» тәрбие бағдарламасындағы құндылықтарды оқу процесіне ұйымдастыру кезіңінен бастап, сабақтың әрбір кезеңінде жүргіземін. Құндылық мақсаты: Адам өміріндегі, отбасындағы, қоғамдағы еңбектің құндылығын түсіну Өткенді пысықтау Үй тапсырмасын тексеру. 9-тапсырма Өрнектерді оқы. Олардың мәнін тап. 76+8*3=76+24=100 7*2-6+63=14-6+6=8+6=14 91+18/2-53=100-53=47 Жаңа тақырып 1-тапсырма Әріпті өрнекті оқы
2-тапсырма Өрнектерді жаз және олардың мәнін тап 4*5+5/1=20+5=25 3*4-32/4=12-8=4 (2+3)*(24-19)=5*5=25 (100-64)/(1+3)=36/4=9 Саралау: топтық қолдау ТОптық жұмыс 3-тапсырма Сызба бойынша есеп құрастыр. Есептің шешуін әріпті өрнек түрінде жаз. Д Картоп-? 3 есе кем Шешуі: а/3+а ЕБҚ және ЕҚБ Мақсаты: бірлесе жұмыс жасай білуге үйрету 4-тапсырма Х*3=27 b=6*3 a+29=45 Х=27/3 b=18 a=45-29 Х=9 a=16 ЖИ: «wordwall.» ойыны
Жұптық жұмыс 5-тапсырма Қосындыны көбейтумен алмастыр. с+с+с+с+с+с=c*6 Көбейтумен қосындымен алмастыр. 24+24+24 B+b+b+b+b 100+100+100+100+100 6-тапсырма Ұзындығы 21:а сантиметрге тең кесінді сыз,Мұндағы а=7,a=3 21/7=3 21/3=7
Саралау: нәтиже 7-тапсырма Салыстыр 26-19* 7+4 57/1*57-0 36+8*45 1*23*23/1 Үй тапсырмасы Амалдардың орындалу ретін анықта. 11-2*5=1 (9+19)/4=7 9*2-9=9 36-18/2=27 ҚЖ: 9-тапсырма Ойлан,тап! Жауабы: Сәуленің атасы 70 жаста.
|
Сабаққа дайындық жасап, жақсы тілектер тілейді. Өткенді пысықтайды Жаңа тақырыпты түсініп алады Тапсырманы орындайды Есеп құрастырады Жеке жұмыс жасайды Жаттығу жасайды Тапсырманы орындайды Кесінді сызады САлыстыру жасайды Тапсырма бірдей болғанмен нәтиже әртүрлі болады Амалдарды орындайды Қосымша жұмыс жасайды Кері байланыс береді |
Мақтап, мадақтап отыру Дескриптор: Өрнектерді оқып,олардың мәнін табады-1б ҚБ: « Банкомат» әдісі
Дескриптор: Әріпті өрнекті оқиды-1б Дескриптор: Өрнектерді жазады және олардың мәнін табады-1б Дескриптор: Сызба бойынша есеп құрастырады-1б Тамаша! Дескриптор: Теңдеулерді шешеді-1б
Дескриптор: Қосындыны көбейтумен алмастырады-1б Көбейтумен алмастырады-1б Дескриптор: Ұзындығы 21:а сантиметрге тең кесінді сызады-1б Дескриптор: Өрнекті салыстырады-1б Дескриптор: Амалдардың орындалу ретін анықтап,орындайды-1б
«Білім поштасы » әдісі |
Суреттер Оқулық оқулық Суреттер
Жұмыс дәптері Оқулық https://wordwall.net/kk/resource/56259167 Суреттер
Оқулық Жұмыс дәптері
Кері байланыс тақтасы |
||
шағым қалдыра аласыз











