Сабақ жоспары №1
Бекітемін:
|
Бөлім: |
5.2А Жай бөлшектерге амалдар қолдану |
||||||
|
Педагогтің Тегі, Аты, Әкесінің аты (бар болса) |
|
||||||
|
Пән/Сынып: |
5 сынып; Қатысқандар саны: Қатыспағандар саны: |
||||||
|
Күні: |
|
||||||
|
Сабақтың тақырыбы: |
Жай бөлшектерді ортақ бөлімге келтіру. Жай бөлшектерді және аралас сандарды салыстыру. |
||||||
|
Оқу бағдарламасына сәйкес оқыту мақсаттары |
5.1.2.16 жай бөлшектерді ортақ бөлімге келтіру; жай бөлшектерді, аралас сандарды салыстыру; |
||||||
|
Сабақтың мақсаттары: |
-Жай бөлшектерді ортақ бөлімге келтіре алу. Оларды есеп шығару барысында қолдана алу; -Жай бөлшектермен аралас сандарды салытыра алу. |
||||||
|
Құндылықтарды дарыту |
«Жалпыға бірдей еңбек қоғамы» құндылығына: Топпен, жұппен жұмыс орындау барысында құрмет, серіктестік және жеке жұмыс орындау кезінде жауапкершілік, үздіксіз оқу құндылықтарын дарыту. |
|
|||||
|
|
|
||||||
|
Сабақ барысы |
|||||||
|
Уақыты |
Кезең дері |
Педагогтің әрекеті |
Оқушының әрекеті |
Бағалау |
Ресурстар |
||
|
2 минут |
Ұйымдастыру |
Сәлеметсіздерме! Сабақта кім жоқ? Сабақты бастауға дайынбыз ба? Көңіл күйлеріңіз қалай? Сабақ мақсаты: жай бөлшектерді ортақ бөлімге келтіру; жай бөлшектерді, аралас сандарды салыстыру; Бірақ бүгін, «Жай бөлшектерді ортақ бөлімге келтіруді» үйренеміз. Аралас сандарды салыстыруды келесі сабақ қарастырайық |
Сәлемдесу; Сұрақтарға жауап беру; Сабақ мақсатын тыңдау, танысу |
Оқушылардың белсенділігіне қарай мұғалім ауызша мақтау сөздермен бағалауы |
Тақта, слайд, оқу құралдары; 5 сыныпқа арналған оқулық |
||
|
8 мин |
Жаңа сабақ бекіту. |
Миға шабуыл.
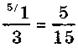
Сұрақтар: 2 .Жай бөлшекті қысқарту деген не? 3. Қандай бөлшек қысқартылмайтын бөлшек деп аталады? 4. Дұрыс және бұрыс бөлшектің анықтамасын бер. 5. Қандай санды аралас сан дейді? Оқушы әрекеті: Сұрақтарға жауап береді Жаңа сабақ. Видео сабақ. https://youtu.be/0Wkwrpi6OWo 1-мысал. Бұл бөлшектердің ортақ бөлімі
болатын сан 5 пен 3 сандарына белінуі тиіс, яғни 5 пен 3 сандарының
ортак еселігі болып табылады. 5 пен 3 сандарының ортақ еселіктері
шексіз көп: 15, 30, 45 және т.с.с. Осы мүмкін бөлімдердің ең
кішісін ең кіші ортақ бөлім ретінде аламыз, яғни берілген
бөлшектердің ең кіші ортақ бөлімі олардың бөлімдерінің ең кіші
ортак еселігі болады. Сонымен берілген қысқармайтын
бөлшектердің - ең кіші ортац бөлімі сол бөлшектер бөлімдеріның ең кіші
ортақ еселігі болады. Демек, ЕКОЕ (5,3)=15. Онда Енді бөлшектердің бөлімдері 15
саны болуы үшін берілген бөлшектердің алымын да, бөлімін
де толықтауыш
көбейткіш деп аталатын санға
көбейтеміз.
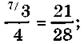
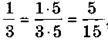
Қорыта айтқанда, бөлшектерді ең кіші ортақ бөлімге келтіру үшін: 1) берілген бөлшектер бөлімдеріның ең кіші ортақ еселігін табамыз. Бұл ең кіші opmaқ бөлім болады; 2) бөлшектпердің әрқайсысы үшін толықтауыш көбейткішті табамыз; 3) әрбір бөлшектің алымы мен бөлімін оның толықтауыш көбейткішіне көбейтеміз. Сонда бөлімдері бірдей бөлшектер алынады. Екі белшекті ғана емес, үш, терт және т.с.с. бөлшектерді ең кіші ортақ бөлімге келтіруге болады. 2-м ы с а
л: ЕКОЕ (7, 4, 14)=28, толықтауыш
кебейткіштер: 28:7=4; 28:4=7; 28:14=2,
онда
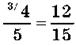
белімге келтірілді. Егер аралас сандар берілсе, олардың бөлшек бөліктерін ең кіші opтaқ бөлімге келтіреміз. 3-мысал. Сонда
Оқушы әрекеті: Сұрақтарға жауап береді Тақырып бойынша ресурстарды қарап, танысады Оқушылар осы мысал-дарға қарап түсінеді |
Оқушылардың белсенділігіне қарай мұғалім Ауызша мақтау сөздермен бағалауы Оқушылардың белсенділігіне қарай мұғалім Ауызша мақтау сөздермен бағалауы Оқушылардың белсенділігіне қарай мұғалім Ауызша мақтау сөздермен бағалауы |
Тақта, слайд, оқу құралдары; 5 сыныпқа арналған оқулық Тақта, слайд, оқу құралдары; 5 сыныпқа арналған оқулық |
|||
|
|
|
|
Тақтадағы слайдпен берілген тапсырмаларды Мұғаліммен бірге орындайды |
Дескриптор: -бөлімдерінің екеуі де құрама сандар болатын жай бөлшектерді ортақ бөлімге келтіреді; -бөлімдерінің біреуі қалғанына бөлінетін жай бөлшектерді ортақ бөлімге келтіре алады |
Тақта, слайд, оқу құралдары |
||
|
15 мин |
Тапсырмалар. |
Тапсырмалар: I тапсырма Берілген жай бөлшектерді ортақ бөлімге келтіріңіз
1)
2)
3)
4) Карточкамен жұмыс (Бөлшектерді қысқартып, ең кіші ортақ бөлімге келтіру) №1.
№2
|
Тақтадағы слайдпен берілген тапсырмаларды Тақтаға біртіндеп шығып орындайды. Қалған оқушылар дәптерге орындап мұғалімге көрсетіп бағаланады |
Дескриптор: -бөлімдерінің бірі жай сан болатын бөлшектерді ортақ бөлімге келтіреді; -бөлімдерінің екеуі де құрама сандар болатын жай бөлшектерді ортақ бөлімге келтіреді; -бөлімдерінің біреуі қалғанына бөлінетін жай бөлшектерді ортақ бөлімге келтіре алады |
Тақта, слайд, оқу құралдары; 5 сыныпқа арналған оқулық |
||
|
15мин |
Жеке жұмыс |
Оқулықпен жұмыс.
|
Тапсырманы орындайды №382 есеп жауаптары:
|
№383 Дескриптор: -бөлімдерінің бірі жай сан болатын бөлшектерді ортақ бөлімге келтіреді; №382 -бөлімдерінің біреуі қалғанына бөлінетін жай бөлшектерді ортақ бөлімге келтіре алады №384 -бөлімдерінің екеуі де құрама сандар болатын жай бөлшектерді ортақ бөлімге келтіреді; |
Тақта, слайд, оқу құралдары; 5 сыныпқа арналған оқулық |
||
|
5 минут |
|
Қорытынды. Рефлексия - Мен осы сабақта не білдім ...... - Осы сабақта алған білімдерімді қайда қолданамын..... - Сабақтан кейінгі менің көңіл-күйім (смайликпен таңдау)
Мен ешнарсе түсінбедім Мен түсіндім, бірақ әле де маған сабақ ұнады. түсіндім білімімді толықтыру керек Үйге тапсырма. №384; 385 |
Тақырыпты меңгергенін анықтау Сабақтан алған әсерлерімен бөлісу. Кері байланыс беру. |
Оқушылардың сабаққа қатысуына қарай 1-10 балдық шкаламен бағалайды |
Тақта, слайд, оқу құралдары; 5 сыныпқа арналған оқулық |
||
Сабақ жоспары №2
Бекітемін:
|
Бөлім: |
5.2А Жай бөлшектерге амалдар қолдану |
||||||||
|
Педагогтің Тегі, Аты, Әкесінің аты (бар болса) |
|
||||||||
|
Пән/Сынып: |
5 сынып; Қатысқандар саны: Қатыспағандар саны: |
||||||||
|
Күні: |
|
||||||||
|
Сабақтың тақырыбы: |
Жай бөлшектерді ортақ бөлімге келтіру. Жай бөлшектерді және аралас сандарды салыстыру. |
||||||||
|
Оқу бағдарламасына сәйкес оқыту мақсаттары |
5.1.2.16 жай бөлшектерді ортақ бөлімге келтіру; жай бөлшектерді, аралас сандарды салыстыру; |
||||||||
|
Сабақтың мақсаттары: |
-Жай бөлшектерді ортақ бөлімге келтіре алу. Оларды есеп шығару барысында қолдана алу; -Жай бөлшектермен аралас сандарды салытыра алу. |
||||||||
|
Сабақ барысы |
|||||||||
|
Уақыты |
Кезең дері |
Педагогтің әрекеті |
Оқушының әрекеті |
Бағалау |
Ресурстар |
||||
|
2 минут |
Ұйымдастыру |
Сәлеметсіздерме! Сабақта кім жоқ? Сабақты бастауға дайынбыз ба? Көңіл күйлеріңіз қалай? Сабақ мақсаты: жай бөлшектерді ортақ бөлімге келтіру; жай бөлшектерді, аралас сандарды салыстыру; Бірақ бүгін, «Жай бөлшектерді ортақ бөлімге келтіруді» үйренеміз. |
Сәлемдесу; Сұрақтарға жауап беру; Сабақ мақсатын тыңдау, танысу |
Оқушылардың белсенділігіне қарай мұғалім ауызша мақтау сөздермен бағалауы |
Тақта, слайд, оқу құралдары; 5 сыныпқа арналған оқулық |
||||
|
8 мин |
Жаңа сабақ бекіту. |
Миға шабуыл.
Сұрақтар: 2 .Жай бөлшекті қысқарту деген не? 3. Қандай бөлшек қысқартылмайтын бөлшек деп аталады? 4. Дұрыс және бұрыс бөлшектің анықтамасын бер. 5. Қандай санды аралас сан дейді? Оқушы әрекеті: Сұрақтарға жауап береді Бөлшектерді ең кіші ортақ бөлімге келтіру үшін: 1) берілген бөлшектер бөлімдеріның ең кіші ортақ еселігін табамыз. Бұл ең кіші opmaқ бөлім болады; 2) бөлшектпердің әрқайсысы үшін толықтауыш көбейткішті табамыз; 3) әрбір бөлшектің алымы мен бөлімін оның толықтауыш көбейткішіне көбейтеміз. Сонда бөлімдері бірдей бөлшектер алынады. Екі белшекті ғана емес, үш, терт және т.с.с. бөлшектерді ең кіші ортақ бөлімге келтіруге болады. м ы с а л:
Оқушы әрекеті: Сұрақтарға жауап береді Тақырып бойынша ресурстарды қарап, танысады Оқушылар осы мысал-дарға қарап түсінеді |
Оқушылардың белсенділігіне қарай мұғалім Ауызша мақтау сөздермен бағалауы Оқушылардың белсенділігіне қарай мұғалім Ауызша мақтау сөздермен бағалауы |
Тақта, слайд, оқу құралдары; 5 сыныпқа арналған оқулық |
|||||
|
15 мин |
Тапсырмалар. |
Тапсырмалар: I тапсырма Жай бөлшектерді ортақ бөлімге келтіріңіз
1)
2)
3)
4)
|
Тақтадағы слайдпен берілген тапсырмаларды Тақтаға біртіндеп шығып орындайды. Қалған оқушылар дәптерге орындап мұғалімге көрсетіп бағаланады
|
Дескриптор: -бөлімдерінің бірі жай сан болатын бөлшектерді ортақ бөлімге келтіреді; -бөлімдерінің екеуі де құрама сандар болатын жай бөлшектерді ортақ бөлімге келтіреді; -бөлімдерінің біреуі қалғанына бөлінетін жай бөлшектерді ортақ бөлімге келтіре алады |
Тақта, слайд, оқу құралдары; 5 сыныпқа арналған оқулық |
||||
|
15мин |
Жеке жұмыс |
|
Тақтаға біртіндеп шығып орындайды. Қалған оқушылар дәптерге орындап мұғалімге көрсетіп бағаланады |
Дескриптор: -бөлімдерінің бірі жай сан болатын бөлшектерді ортақ бөлімге келтіреді; -бөлімдерінің біреуі қалғанына бөлінетін жай бөлшектерді ортақ бөлімге келтіре алады -бөлімдерінің екеуі де құрама сандар болатын жай бөлшектерді ортақ бөлімге келтіреді; |
|
||||
|
5 минут |
|
Қорытынды. Рефлексия - Мен осы сабақта не білдім ...... - Осы сабақта алған білімдерімді қайда қолданамын..... - Сабақтан кейінгі менің көңіл-күйім (смайликпен таңдау)
Мен ешнарсе түсінбедім Мен түсіндім, бірақ әле де маған сабақ ұнады. түсіндім білімімді толықтыру керек Үйге тапсырма. №384; 385 |
Тақырыпты меңгергенін анықтау Сабақтан алған әсерлерімен бөлісу. Кері байланыс беру. |
Оқушылардың сабаққа қатысуына қарай 1-10 балдық шкаламен бағалайды |
Тақта, слайд, оқу құралдары; 5 сыныпқа арналған оқулық |
||||
Сабақ жоспары №3
Бекітемін:
|
Бөлім: |
5.2А Жай бөлшектерге амалдар қолдану |
||||||||
|
Педагогтің Тегі, Аты, Әкесінің аты (бар болса) |
|
||||||||
|
Пән/Сынып: |
5 сынып; Қатысқандар саны: Қатыспағандар саны: |
||||||||
|
Күні: |
|
||||||||
|
Сабақтың тақырыбы: |
Жай бөлшектерді ортақ бөлімге келтіру. Жай бөлшектерді және аралас сандарды салыстыру. |
||||||||
|
Оқу бағдарламасына сәйкес оқыту мақсаттары |
5.1.2.16 жай бөлшектерді ортақ бөлімге келтіру; жай бөлшектерді, аралас сандарды салыстыру; |
||||||||
|
Сабақтың мақсаттары: |
-Координаталық сәуледе жай бөлшектерді орналастырады -Координаталық сәуледе аралас сандарды орналастырады |
||||||||
|
Сабақ барысы: |
|||||||||
|
Уақыты |
Кезең дері |
Педагогтің әрекеті |
Оқушының әрекеті |
Бағалау |
Ресурстар |
||||
|
2 минут |
Ұйымдастыру |
Сәлеметсіздерме! Бүгін, Жай бөлшектерді ортақ бөлімге келтіру. Жай бөлшектерді және аралас сандарды салыстыру тақырыбын қарастырамыз
|
Сәлемдесу; Үй тапсырмасын көрсету; Сабақ мақсатын тыңдау, танысу |
Оқушылардың белсенділігіне қарай мұғалім ауызша мақтау сөздермен бағалауы |
Тақта, слайд, оқу құралдары; 5 сыныпқа арналған оқулық |
||||
|
8 мин |
Жаңа сабақ бекіту. |
Миға шабуыл. Сұрақтар: 1. Бөлшекті қысқарту дегеніміз? 2. Дұрыс бөлшек деп қандай бөлшектерді айтады? 3. Бұрыс бөлшек деп қандай бөлшектерді айтады? 4. Қандай сан берілген бөлшектерге ортақ бөлім бола алады? 5. Толықтауыш көбейткіш деп қандай санды айтады? 1-тапсырма.Берілген сандардың ішінен дұрыс және бұрыс бөлшектерді ажыратып жазыңдар:
Жаңа сабақтың тақырыбын ашу кезеңі. 2,>,
6, / Әр түрлі бөлшектер арқылы жаңа сабақтың тақырыбын ашу/ 3.Жаңа сабақты бейнетаспа арқылы түсіндіру. Бөлімдері бірдей бөлшектерді салыстыруды қарастырайық: А) Электрондық оқулықты пайдалана отырып, бөлімдері бірдей бөлшектерді салыстыруды тыңдау. (оқушылар тындайды) Енді келесі мысал арқылы ережені қорытып шығарайық: 1-мысал: Мына шеңбер неше бөлікке бөлінген және неше бөлігі боялған? Боялған бөлігін бөлшек түрінде жазыңдар. (интерактивті тақтада көрсетіледі, бір оқушы жауабын жазады)
Ал енді осы жазылған жай бөлшектерге және суретке назар аударайықшы. Қай шеңберде боялған бөлік көп? Сонда қай бөлшек үлкен?
Ендеше қандай қорытындыға келеміз? Анықтама: Бөлімдері бірдей бөлшектердің қайсысының алымы үлкен болса, сол бөлшек үлкен болады мысал. Мына шаршы неше бөлікке бөлінген және неше бөлігі боялған? Боялған бөлігін бөлшек түрінде жазыңдар.
Ал енді осы жазылған жай бөлшектерге және суретке назар аударайықшы.Қай шаршыда боялған бөлік көп? Сонда қай бөлшек үлкен?
Сонымен қорытындылайық: Анықтама: Алымдары бірдей бөлшектердің қайсысының бөлімі кіші болса, сол бөлшек үлкен болады. Енді сіздермен аралас сандарды салыстыруды қарастырайық: (аралас сан аныөтамасын қайталау) 3-мысал: Ал балалар мына фигураларды санмен өрнектеп жазайықшы:
(оқушы тақтаға жазады . Анықтаманы қорытындылап шығарады) Анықтама: Аралас сандарды салыстырғанда бүтін бөліктерін салыстырамыз,бүтін бөлігінің қайсысы үлкен болса, сол бөлшек үлкен болады. Тең бөлшектер координаталық сәуле бойында бір
ғана нүктемен кескінделеді. Оқушылар:Сұрақтарға жауап береді Тақырып бойынша ресурстарды қарап, танысады |
Оқушылар осы мысал-дарға қарап түсінеді.
|
Тақта, слайд, оқу құралдары; 5 сыныпқа арналған оқулық Тақта, слайд, оқу құралдары; 5 сыныпқа арналған оқулық |
|||||
|
20 мин |
Тапсырмалар. |
№1 Тапсырма. Жай бөлшектерді салыстыру дұрыс орындлған ба тексеріңіз А)
№2 тапсырма. Аралас сандарды салыстыр А)
В)1 |
№3 тапсырма Бөлшектерді ортақ бөлімге келтіріп, салыстырыңыз А)
В)
№4 тапсырма
|
№1. №2 Дескриптор: -бөлімдері бірдей бөлшектерді салыстыра алады. -бөлімдері де, алымдары да әртүрлі бөлшектерді салыстыру ережесін қолданады. -аралас сандарды салыстыра алады. -бөлшектерді ортақ бөлімге келтіріп, салыстыра алады.
|
Тақта, слайд, оқу құралдары; 5 сыныпқа арналған оқулық |
||||
|
10мин |
Жеке жұмыс |
Оқулықпен жұмыс
Оқушы әрекеті: Тапсырманы орындайды |
Дескриптор: -Алымдары бірдей бөлшектерді салыстырады -бөлімдері бірдей бөлшектерді салыстырады -аралас сандарды салыстырады; -Бөлімдері әртүрлі бөлшектерді салыстырады Тақтаға шыққан оқушылардың ынтасына қарай 1-10 баллдық шкаламен бағалау |
Тақта, слайд, оқу құралдары; 5 сыныпқа арналған оқулық |
|||||
|
5 минут |
|
Қорытынды. Рефлексия - Мен осы сабақта не білдім ...... - Осы сабақта алған білімдерімді қайда қолданамын..... - Сабақтан кейінгі менің көңіл-күйім (смайликпен таңдау)
Мен ешнарсе түсінбедім Мен түсіндім, бірақ әле де маған сабақ ұнады. түсіндім білімімді толықтыру керек Үйге тапсырма. №384; 385 |
Тақырыпты меңгергенін анықтау Сабақтан алған әсерлерімен бөлісу. Кері байланыс беру. |
Оқушылардың сабаққа қатысуына қарай 1-10 балдық шкаламен бағалайды |
Тақта, слайд, оқу құралдары; 5 сыныпқа арналған оқулық |
||||
Сабақ жоспары №4
Бекітемін:
|
Педагогтің Тегі, Аты, Әкесінің аты (бар болса) |
|
||||||||||||||||||||||||||||||||||||||||||
|
Пән/Сынып: |
5 сынып; Қатысқандар саны: Қатыспағандар саны: |
||||||||||||||||||||||||||||||||||||||||||
|
Күні: |
|
||||||||||||||||||||||||||||||||||||||||||
|
Бөлім: |
5.2А Жай бөлшектерге амалдар қолдану |
||||||||||||||||||||||||||||||||||||||||||
|
Сабақтың тақырыбы: |
Жай бөлшектерді ортақ бөлімге келтіру. Жай бөлшектерді және аралас сандарды салыстыру. |
||||||||||||||||||||||||||||||||||||||||||
|
Оқу бағдарламасына сәйкес оқыту мақсаттары |
5.1.2.16 жай бөлшектерді ортақ бөлімге келтіру; жай бөлшектерді, аралас сандарды салыстыру; |
||||||||||||||||||||||||||||||||||||||||||
|
Сабақтың мақсаттары: |
- Бөлімдері бірдей және бөлімдері әр түрлі бөлшектерді салыстыра біледі -Аралас сандарды салыстыра алады.
|
||||||||||||||||||||||||||||||||||||||||||
|
Сабақ барысы: |
|||||||||||||||||||||||||||||||||||||||||||
|
Уақыты |
Кезең дері |
Педагогтің әрекеті |
Оқушының әрекеті |
Бағалау |
Ресурстар |
||||||||||||||||||||||||||||||||||||||
|
2 минут |
Ұйымдастыру |
Сәлеметсіздерме! Бүгін, Жай бөлшектерді ортақ бөлімге келтіру. Жай бөлшектерді және аралас сандарды салыстыру тақырыбын қарастырамыз Бүгінгі сабақта меңгеретініңіз: - Бөлімдері бірдей және бөлімдері әр түрлі бөлшектерді салыстыра білуге үйрету. -Аралас сандарды салыстыра алу.
|
Сәлемдесу; Үй тапсырмасын көрсету; Сабақ мақсатын тыңдау, танысу |
Оқушылардың белсенділігіне қарай мұғалім ауызша мақтау сөздермен бағалауы |
Тақта, слайд, оқу құралдары; 5 сыныпқа арналған оқулық. |
||||||||||||||||||||||||||||||||||||||
|
8 мин |
Жаңа сабақ бекіту. |
Миға шабуыл. Сұрақтар: 1. Бөлшекті қысқарту дегеніміз? 2. Дұрыс бөлшек деп қандай бөлшектерді айтады? 3. Бұрыс бөлшек деп қандай бөлшектерді айтады? 4. Қандай сан берілген бөлшектерге ортақ бөлім бола алады? 5. Толықтауыш көбейткіш деп қандай санды айтады? Жаңа сабақты бекіту.
|
Сұрақтарға жауап береді Тақырып бойынша ресурстарды қарап, танысады |
Оқушылар осы мысал-дарға қарап түсінеді. |
Тақта, слайд, оқу құралдары; 5 сыныпқа арналған оқулық |
||||||||||||||||||||||||||||||||||||||
|
15 мин |
Тапсырмалар. |
2. Есептер шығару: Оқулықтағы №483, №485, №488 3.Жеке жұмыс.
4.Сәйкестендіру.
|
Оқулықтағы №483, №485, №488 |
№1. №2 Дескриптор: -бөлімдері бірдей бөлшектерді салыстыра алады. -бөлімдері де, алымдары да әртүрлі бөлшектерді салыстыру ережесін қолданады. -аралас сандарды салыстыра алады. -бөлшектерді ортақ бөлімге келтіріп, салыстыра алады.
|
Тақта, слайд, оқу құралдары; 5 сыныпқа арналған оқулық |
||||||||||||||||||||||||||||||||||||||
|
10мин |
Жеке жұмыс |
Оқулықпен жұмыс
|
Тапсырманы орындайды
|
|
|
||||||||||||||||||||||||||||||||||||||
|
5 минут |
|
Қорытынды. Рефлексия - Мен осы сабақта не білдім ...... - Осы сабақта алған білімдерімді қайда қолданамын..... - Сабақтан кейінгі менің көңіл-күйім (смайликпен таңдау) Кмж дайындаған Умбетова Меруерт Мирзамидиновна87784448284 Бүгінгі сабақта: - Бөлімдері бірдей және бөлімдері әр түрлі бөлшектерді салыстыра біледі -Аралас сандарды салыстыра алады. Үйге тапсырма. №487, №492 |
Тақырыпты меңгергенін анықтау |
|
Тақта, слайд, оқу құралдары; 5 сыныпқа арналған оқулық Презентация |
||||||||||||||||||||||||||||||||||||||
Сабақ жоспары №5
|
Бөлім: |
5.2А Жай бөлшектерге амалдар қолдану |
|||||
|
Педагогтің Тегі, Аты, Әкесінің аты (бар болса) |
|
|||||
|
Пән/Сынып: |
5 сынып; Қатысқандар саны: Қатыспағандар саны: |
|||||
|
Күні: |
|
|||||
|
Сабақтың тақырыбы: |
Жай бөлшектерді қосу және азайту |
|||||
|
Оқу бағдарламасына сәйкес оқыту мақсаттары |
5.1.2.17 бөлімдері бірдей бөлшектерді қосу және азайтуды орындау; 5.1.2.18 бөлімдері әртүрлі бөлшектерді қосу және азайтуды орындау; |
|||||
|
Сабақтың мақсаттары: |
1. Бөлімдері бірдей және бөлімдері әр түрлі бөлшектерді қосу және азайтудың ережесін білу; 2.Бөлімдері бірдей және бөлімдері әр түрлі бөлшектерді қосу және азайтуға есептер шығара алу; 3. Жай бөлшектерді қосу және азайту амалын мәтін есептер шығаруда қолдана алу; |
|||||
|
Сабақ барысы: |
||||||
|
Уақыты |
Кезең дері |
Педагогтің әрекеті |
Оқушының әрекеті |
Бағалау |
Ресурстар |
|
|
5 минут |
Ұйымдастыру |
Сәлеметсіздерме! Бүгін, Жай бөлшектерді қосу және азайту тақырыбын қарастырамыз Бүгінгі сабақта меңгеретініңіз: 1. Бөлімдері бірдей және бөлімдері әр түрлі бөлшектерді қосу және азайтудың ережесін білу; 2.Бөлімдері бірдей және бөлімдері әр түрлі бөлшектерді қосу және азайтуға есептер шығара алу; 3. Жай бөлшектерді қосу және азайту амалын мәтін есептер шығаруда қолдана алу; Миға шабуыл. Сұрақтар: 1.Жай бөлшектер. Жай бөлшектің негізгі қасиеті. Бөлшекті қысқарту дегеніміз не? |
Сәлемдесу; Үй тапсырмасын көрсету; Сабақ мақсатын тыңдау, танысу Сұрақтарға жауап береді |
Оқушылардың белсенділігіне қарай мұғалім ауызша мақтау сөздермен бағалауы |
Жалпы білім беретін мектептің 5–сыныбына арналған оқулық. |
|
|
Сабақтың ортасы |
Жаңа тақырыпты түсіндіру 10мин |
Жаңа материалмен танысу
|
Жаңа материалмен танысады Сұрақтар болса мұғалімнен сұрайды Маңызды ережелерді жазып алады Мысал:
|
Дескриптор: 1) Берілген суреттің боялған бөлігін бөлшекқмж-ны құрастырған умбетова меруерт мирзамидиновна түрінде жазады; 2) Бөлшектерді қосу және азайту ережесін пайдаланып, есептейді
|
Жалпы білім беретін мектептің 5–сыныбына арналған оқулық. Оқулық, оқу құрал жабдықтары, тақта, бор Интербелсенді тақта
. |
|
|
|
Бекіту тапсырмалары 25мин |
1-тапсырма. Мысалға қарап орындаңыз
|
2-тапсырма. Қияр мен қызанақтың салмағын тап
|
Дескрптор: -мысалға қарап жай бөлшектерді қосуды орындайды Дескриптор: Қызанақ пен қиярдың салмақтарын қосады; Жай болшектерді қосу амалын қолданады; Жауабын табады |
|
|
|
|
|
Оқулықпен жұмыс
|
Оқушылар кітаптағы есептерді тақтада орындайды ҚБ: «Екі жұлдыз, бір ұсыныс» бойынша мұғалімнің бағалауы
|
Дескрптор: -мысалға қарап жай бөлшектерді қосуды орындайды -бөлімдері бірдей жай бөлшектерді азайтуды орындайды |
Оқулық, оқу құрал жабдықтары, тақта, бор Интербелсенді тақта
. |
|
|
Сабақтың соңы |
5мин |
Саралау: Бұл кезеңде саралаудың «Қорытынды» тәсілі көрінеді. Үйге тапсырма: № |
|
Сонымен қатар 1-10 баллдық жүйе бойынша оқушылардың сабаққа қатысу белсенділігі бойынша бағаланады. |
Жұмыс дәптерлері. Слайд.
Білім поштасы, хаттар |
|
Сабақ жоспары №6
Бекітемін:
|
Бөлім: |
5.2А Жай бөлшектерге амалдар қолдану |
|
||||||||
|
Педагогтің Тегі, Аты, Әкесінің аты (бар болса) |
|
|
||||||||
|
Пән/Сынып: |
5 сынып; Қатысқандар саны: Қатыспағандар саны: |
|
||||||||
|
Күні: |
|
|
||||||||
|
Сабақтың тақырыбы: |
Жай бөлшектерді қосу және азайту |
|
||||||||
|
Оқу бағдарламасына сәйкес оқыту мақсаттары |
5.1.2.17 бөлімдері бірдей бөлшектерді қосу және азайтуды орындау; 5.1.2.18 бөлімдері әртүрлі бөлшектерді қосу және азайтуды орындау; |
|
||||||||
|
Сабақтың мақсаттары: |
1. Бөлімдері бірдей және бөлімдері әр түрлі бөлшектерді қосу және азайтудың ережесін білу; 2.Бөлімдері бірдей және бөлімдері әр түрлі бөлшектерді қосу және азайтуға есептер шығара алу; 3. Жай бөлшектерді қосу және азайту амалын мәтін есептер шығаруда қолдана алу; |
|
||||||||
|
Сабақ барысы: |
|
|||||||||
|
Уақыты |
Кезең дері |
Педагогтің әрекеті |
Оқушының әрекеті |
Бағалау |
Ресурстар |
|
||||
|
5 минут |
Ұйымдастыру |
Сәлеметсіздерме! Бүгін, Жай бөлшектерді қосу және азайту тақырыбын қарастырамыз Бүгінгі сабақта меңгеретініңіз: 1. Бөлімдері бірдей және бөлімдері әр түрлі бөлшектерді қосу және азайтудың ережесін білу; 2.Бөлімдері бірдей және бөлімдері әр түрлі бөлшектерді қосу және азайтуға есептер шығара алу; 3. Жай бөлшектерді қосу және азайту амалын мәтін есептер шығаруда қолдана алу; Миға шабуыл Сұрақтары: 1.Жай бөлшектер. Жай бөлшектің негізгі қасиеті. Бөлшекті қысқарту дегеніміз не? 2. Дұрыс бөлшек деп қандай бөлшектерді айтады? 3. Бұрыс бөлшек деп қандай бөлшектерді айтады? 4. Аралас сандар дегеніміз не? 5. Қандай сан берілген бөлшектерге ортақ бөлім бола алады? |
Сәлемдесу; Үй тапсырмасын көрсету; Сабақ мақсатын тыңдау, танысу Сұрақтарға жауап береді |
Оқушылардың белсенділігіне қарай мұғалім ауызша мақтау сөздермен бағалауы |
Жалпы білім беретін мектептің 5–сыныбына арналған оқулық. Оқулық |
|
||||
|
10мин |
Жаңа сабақ |
Жаңа сабақ. https://youtu.be/qwu5I0vhwIQ видео сабақ
Ереже 1 :
Бөлімдері бірдей бөлшектерді қосу
, олардың алымдарын қосып,
алым етіп, сол бөлімнің өзін қалдыру керек.
|
Тақырып бойынша ресурстарды қарап, танысады Тақырыптың негізгі ережелерін жазып алады
Бөлімдері бірдей бөлшектерді қосу олардың алымдарын қосып алым етіп, сол бөлімнің өзін қалдыру керек. Бөлімдері әртүрлі болшектерді қосу: 1) бөлшектерді ең кіші ортақ бөлімге келтіреді; 2) бөлімдері бірдей бөлшектерді қосады - Бөлімдері әр түрлі бөлшектерді азайту үшін: 1) бөлшектерді ең кіші ортақ бөлімге келтіреді; 2) бөлімдері бірдей бөлшектерді қосады
|
Оқушылар осы мысалдарға қарап түсінеді. |
Оқулық, оқу құрал жабдықтары, тақта, бор Интербелсенді тақта
Презентация |
|
||||
|
15 мин |
Тапсырмалар. |
1. Берілген бөлшектердің қосындысын тауып, оны жаз.
Шешуі:
2. Бөлшектерді қос:
Берілуі: Шешуі:
1-ші қорап
-
2-ші қорап
-
Табу керек:
Жауабы:
3. Бөлшектерді қосуды
орында:
Шешуі:
4. Бөлшектерді қос: |
Тапсырмаларды орындайды. 5. Бөлшектерді қосуды орында:
6. Бөлшектерді қосуды орында: 1) 2) |
Дескриптор: -Бөлімдері бірдей бөлшектерді қосады - Бөлімдері әр түрлі бөлшектерді қосу үшін: Дескриптор: 1) Берілген суреттің боялған бөлігін бөлшек түрінде жазады; 2) Бөлшектерді қосу және азайту ережесін пайдаланып, есептейді
|
Тақта, слайд, оқу құралдары; 5 сыныпқа арналған оқулық Жалпы білім беретін мектептің 5–сыныбына арналған оқулық. Оқулық |
|
||||
|
10мин |
Жеке жұмыс |
Тест Тест тапсырмалары. 1.Қосуды
орында: А)
2.Азайтуды
орында: А) |
Тапсырманы орындайды 3. Теңдеуді шеш: Х+ А)
Тест жауаптары: 1.В 2.С 3.В |
ҚБ: Жұпта өзара бағалау «+», « - », қызықты |
Оқулық, оқу құрал жабдықтары, тақта, бор Интербелсенді тақта
|
|
||||
|
Сабақтың соңы |
5мин |
Саралау: Бұл кезеңде саралаудың «Қорытынды» тәсілі көрінеді. Үйге тапсырма: № |
|
Сонымен қатар 1-10 баллдық жүйе бойынша оқушылардың сабаққа қатысу белсенділігі бойынша бағаланады. |
Жұмыс дәптерлері. Слайд.
Білім поштасы, хаттар |
|||||
Сабақ жоспары №7
|
Бөлім: |
5.2А Жай бөлшектерге амалдар қолдану |
|||||
|
Педагогтің Тегі, Аты, Әкесінің аты (бар болса) |
|
|||||
|
Пән/Сынып: |
5 сынып; Қатысқандар саны: Қатыспағандар саны: |
|||||
|
Күні: |
|
|||||
|
Сабақтың тақырыбы: |
Жай бөлшектерді қосу және азайту |
|||||
|
Оқу бағдарламасына сәйкес оқыту мақсаттары |
5.1.2.17 бөлімдері бірдей бөлшектерді қосу және азайтуды орындау; 5.1.2.18 бөлімдері әртүрлі бөлшектерді қосу және азайтуды орындау; |
|||||
|
Сабақтың мақсаттары: |
1. Бөлімдері бірдей және бөлімдері әр түрлі бөлшектерді қосу және азайтудың ережесін білу; 2.Бөлімдері бірдей және бөлімдері әр түрлі бөлшектерді қосу және азайтуға есептер шығара алу; 3. Жай бөлшектерді қосу және азайту амалын мәтін есептер шығаруда қолдана алу; |
|||||
|
Сабақ барысы: |
||||||
|
Уақыты |
Кезең дері |
Педагогтің әрекеті |
Оқушының әрекеті |
Бағалау |
Ресурстар |
|
|
5 минут |
Ұйымдастыру |
Сәлеметсіздерме! Бүгін, Жай бөлшектерді қосу және азайту тақырыбын қарастырамыз Бүгінгі сабақта меңгеретініңіз: 1. Бөлімдері бірдей және бөлімдері әр түрлі бөлшектерді қосу және азайтудың ережесін білу; 2.Бөлімдері бірдей және бөлімдері әр түрлі бөлшектерді қосу және азайтуға есептер шығара алу; 3. Жай бөлшектерді қосу және азайту амалын мәтін есептер шығаруда қолдана алу; |
Сәлемдесу; Үй тапсырмасын көрсету; Сабақ мақсатын тыңдау, танысу Сұрақтарға жауап береді |
Оқушылардың белсенділігіне қарай мұғалім ауызша мақтау сөздермен бағалауы |
Тақта, слайд, оқу құралдары; 5 сыныпқа арналған оқулық |
|
|
10 мин |
Жаңа сабақ |
Еске түсіру Ереже 1 : Бөлімдері бірдей
бөлшектерді қосу , олардың алымдарын қосып,
алым етіп, сол бөлімнің өзін қалдыру керек.
1-мысал.
=
Ереже 2: Бөлімдері бірдей бөлшектерді азайтқанда азайғыштың алымынан азайтқыштың алымын азайтып, алым етіп жазып, сол бөлімнің өзін қалдыру керек.
Жаңа сабақ. Мұғалімнің видео сабағы көрсетіледі. Ереже 3: Бөлімдері әр түрлі бөлшектерді қосу (азайту) үшін :
1-мысал.
|
Тақырып бойынша ресурстарды қарап, танысады
1-Мысал
Жаңа тақырыпты түсінеді. Ережелерін жазады
|
Оқушылар осы мысалдарға қарап түсінеді. Дескриптор: -Бөлімдері әртүрлі бөлшектерді қосады - Бөлімдері әр түрлі бөлшектерді қосу ережесін түсінеді Дескриптор: 2) Бөлшектерді қосу және азайту ережесін пайдаланып, есептер шығарады |
Тақта, слайд, оқу құралдары; 5 сыныпқа арналған оқулық оқу құрал жабдықтары, тақта, бор Интербелсенді тақта
|
|
|
25 мин |
Бекіту Тапсырмалар. |
А-деңгейі. 1).Бөлімдері бірдей бөлшектерге қосу және азайту амалдарын орындаңыз:
В деңгей 2).Бөлімдері әр түрлі бөлшектерге қосу және азайту амалдарын орындаңыз:
С-деңгейі. Марат екі балық аулады.
Бірінші балықтың массасы Сергіту сәті /слайд/Оқулықтан тапсырмалар:
|
А-деңгейінің тапсырмаларын орындайды.
В деңгей
С деңгейін орындайды
|
А-деңгейі. Дескриптор: -Бөлімдері бірдей бөлшектерді қосу(азайту) , олардың алымдарын қосып(азайтып), алым етіп, сол бөлімнің өзін қалдыру керек. - Бөлімдері әр түрлі бөлшектерді қосу үшін: 1) бөлшектерді ең кіші ортақ бөлімге келтіреді; 2) бөлімдері бірдей бөлшектерді қосады - Бөлімдері әр түрлі бөлшектерді азайту үшін: 1) бөлшектерді ең кіші ортақ бөлімге келтіреді; 2) бөлімдері бірдей бөлшектерді қосадыВ-деңгейі. Дескриптор: 1) Берілген суреттің боялған бөлігін бөлшек түрінде жазады; 2) Бөлшектерді қосу және азайту ережесін пайдаланып, есептейдіДескриптор: -Бөлімдері әр түрлі бөлшектерді қосу және азайту ережесін пайдаланып есептейді; -Жай бөлшектерді қосу және азайту амалын мәтін есептер шығаруда қолдана алады. |
Тақта, слайд, оқу құралдары; 5 сыныпқа арналған оқулық оқу құрал жабдықтары, тақта, бор Интербелсенді тақта
|
|
|
Сабақтың соңы |
5мин |
Саралау: Бұл кезеңде саралаудың «Қорытынды» тәсілі көрінеді. Үйге тапсырма: № |
|
Сонымен қатар 1-10 баллдық жүйе бойынша оқушылардың сабаққа қатысу белсенділігі бойынша бағаланады. |
Жұмыс дәптерлері. Слайд. Білім поштасы, хаттар |
|
Сабақ жоспары №8
Бекітемін:
|
Бөлім: |
5.2А Жай бөлшектерге амалдар қолдану |
|
|||||||||||||||||||||
|
Педагогтің Тегі, Аты, Әкесінің аты (бар болса) |
|
|
|||||||||||||||||||||
|
Пән/Сынып: |
5 сынып; Қатысқандар саны: Қатыспағандар саны: |
|
|||||||||||||||||||||
|
Күні: |
|
|
|||||||||||||||||||||
|
Сабақтың тақырыбы: |
Жай бөлшектерді қосу және азайту |
|
|||||||||||||||||||||
|
Оқу бағдарламасына сәйкес оқыту мақсаттары |
5.1.2.17 бөлімдері бірдей бөлшектерді қосу және азайтуды орындау; 5.1.2.18 бөлімдері әртүрлі бөлшектерді қосу және азайтуды орындау; |
|
|||||||||||||||||||||
|
Сабақтың мақсаттары: |
1. Бөлімдері бірдей және бөлімдері әр түрлі бөлшектерді қосу және азайтудың ережесін білу; 2.Бөлімдері бірдей және бөлімдері әр түрлі бөлшектерді қосу және азайтуға есептер шығара алу; 3. Жай бөлшектерді қосу және азайту амалын мәтін есептер шығаруда қолдана алу; |
|
|||||||||||||||||||||
|
Сабақ барысы: |
|||||||||||||||||||||||
|
Уақыты |
Кезең дері |
Педагогтің әрекеті |
Оқушының әрекеті |
Бағалау |
Ресурстар |
||||||||||||||||||
|
5 минут |
Ұйымдастыру |
Сәлеметсіздерме! Бүгін, Жай бөлшектерді қосу және азайту тақырыбын қарастырамыз Бүгінгі сабақта меңгеретініңіз: 1. Бөлімдері бөлімдері әр түрлі бөлшектерді қосу және азайтудың ережесін білу; 2.Бөлімдері әр түрлі бөлшектерді қосу және азайтуға есептер шығара алу; 3. Жай бөлшектерді қосу және азайту амалын мәтін есептер шығаруда қолдана алу; |
Сәлемдесу; Үй тапсырмасын көрсету; Сабақ мақсатын тыңдау, танысу Сұрақтарға жауап береді |
Оқушылардың белсенділігіне қарай мұғалім ауызша мақтау сөздермен бағалауы |
слайд |
||||||||||||||||||
|
10 мин |
Жаңа сабақ |
Жай бөлшектерді қосуға байланысты мысалдар. 1. «Бөлімдері бірдей жай бөлшектерді қосу» тақырыбы 2 .«Бөлімдері әртүрлі бөлшектерді қосу» 3. «Қосудың қасиеттерін жай бөлшектерде қолдану»
|
Тақырып бойынша ресурстарды қарап, танысады |
Оқушылар осы мысалдарға қарап түсінеді. |
Слайд |
||||||||||||||||||
|
25 мин |
Тапсырмалар. |
№1
№2
3. Өрнектің мәнін тап:
Шешуі: P=2a+2b
P=2∙ 4. Теңдеуді шеш:
Берілуі: басы
(құлағы)-
мойны-
шанағы-
т.к. L-? Барлығы: 1м Жеке жұмыс. №1. Бөлшектерді қосып, нәтижелерін салыстыр. Жұлдызшаның орнына > немесе < белгісін қой:
№2Теңдеуді шеш:
|
№3.
2. Шешуі: P=2a+2b
P=2∙ №4.Шешуі:
Оқулықтан №
|
А-деңгейі. Дескриптор: -Бөлімдері бірдей бөлшектерді қосу(азайту) , олардың алымдарын қосып(азайтып), алым етіп, сол бөлімнің өзін қалдыру керек. - Бөлімдері әр түрлі бөлшектерді қосу үшін: 1) бөлшектерді ең кіші ортақ бөлімге келтіреді; 2) бөлімдері бірдей бөлшектерді қосады - Бөлімдері әр түрлі бөлшектерді азайту үшін: 1) бөлшектерді ең кіші ортақ бөлімге келтіреді; 2) бөлімдері бірдей бөлшектерді қосадыВ-деңгейі. Дескриптор: 1) Берілген суреттің боялған бөлігін бөлшек түрінде жазады; 2) Бөлшектерді қосу және азайту ережесін пайдаланып, есептейді -Жай бөлшектерді қосу және азайту амалын мәтін есептер шығаруда қолдана алады. |
Тақта, слайд, оқу құралдары; 5 сыныпқа арналған оқулық Тақта, слайд, оқу құралдары; 5 сыныпқа арналған оқулық оқу құрал жабдықтары, тақта, бор Интербелсенді тақта
|
||||||||||||||||||
|
5 минут |
|
Қорытынды. Рефлексия Бүгінгі сабақта:
1. Бөлімдері бірдей және бөлімдері әр түрлі бөлшектерді қосу және азайтудың ережесін біледі; 2.Бөлімдері бірдей және бөлімдері әр түрлі бөлшектерді қосу және азайтуға есептер шығара алады; 3. Жай бөлшектерді қосу және азайту амалын мәтін есептер шығаруда қолдана алады. Үйге тапсырма. №510 /2,4,6/ Бағалау
|
Тақырыпты меңгергенін анықтау |
Оқушылардың белсенділігіне қарай мұғалім ауызша мақтау сөздермен бағалауы «Бес саусақ» әдісі |
Презентация |
||||||||||||||||||
Сабақ жоспары №9
|
Бөлім: |
5.2А Жай бөлшектерге амалдар қолдану |
|
|||||||||||||||||||||||||||||||||||||||||
|
Педагогтің Тегі, Аты, Әкесінің аты (бар болса) |
|
|
|||||||||||||||||||||||||||||||||||||||||
|
Пән/Сынып: |
5 сынып; Қатысқандар саны: Қатыспағандар саны: |
|
|||||||||||||||||||||||||||||||||||||||||
|
Күні: |
|
|
|||||||||||||||||||||||||||||||||||||||||
|
Сабақтың тақырыбы: |
Жай бөлшектерді қосу және азайту |
|
|||||||||||||||||||||||||||||||||||||||||
|
Оқу бағдарламасына сәйкес оқыту мақсаттары |
5.1.2.17 бөлімдері бірдей бөлшектерді қосу және азайтуды орындау; 5.1.2.18 бөлімдері әртүрлі бөлшектерді қосу және азайтуды орындау; |
|
|||||||||||||||||||||||||||||||||||||||||
|
Сабақтың мақсаттары: |
1. Бөлімдері бірдей және бөлімдері әр түрлі бөлшектерді қосу және азайтудың ережесін білу; 2.Бөлімдері бірдей және бөлімдері әр түрлі бөлшектерді қосу және азайтуға есептер шығара алу; 3. Жай бөлшектерді қосу және азайту амалын мәтін есептер шығаруда қолдана алу; |
|
|||||||||||||||||||||||||||||||||||||||||
|
Сабақ барысы: |
|||||||||||||||||||||||||||||||||||||||||||
|
Уақыты |
Кезең дері |
Педагогтің әрекеті |
Оқушының әрекеті |
Бағалау |
Ресурстар |
||||||||||||||||||||||||||||||||||||||
|
5 минут |
Ұйымдастыру |
Сәлеметсіздерме! Бүгін, Жай бөлшектерді қосу және азайту тақырыбын қарастырамыз Бүгінгі сабақта меңгеретініңіз: 1. Бөлімдері бірдей және бөлімдері әр түрлі бөлшектерді қосу және азайтудың ережесін білу; 2.Бөлімдері бірдей және бөлімдері әр түрлі бөлшектерді қосу және азайтуға есептер шығара алу; 3. Жай бөлшектерді қосу және азайту амалын мәтін есептер шығаруда қолдана алу; Сұрақтар. -Бұрыс бөлшекті қалай аралас санға айналдырады? -Жай бөлшектердің негізгі қасиеті? -Бөлімдері бірдей бөлшектердің қайсысы үлкен? -Алымдары бірдей бөлшектер қалай салыстырылады? -Аралас сандар қалай салыстырылады? -Бөлімдері бірдей, әртүрлі бөлшектерді қалай қосып, азайтады? 1) |
Сәлемдесу; Үй тапсырмасын көрсету; Сабақ мақсатын тыңдау, танысу Сұрақтарға жауап береді Бөлімдері бірдей бөлшектерді қосу(азайту) , олардың алымдарын қосып(азайтып), алым етіп, сол бөлімнің өзін қалдыру керек. |
Оқушылардың белсенділігі үшін «Жарайсың!», «Керемет!» деген сақтау сөздерімен бағалайды. |
Оқулық, жұмыс дәптері Кітап, дәптер, қалам суреттері бейнеленген қима қағаздар топтамасы ДК экраны |
||||||||||||||||||||||||||||||||||||||
|
10 мин |
Жаңа сабақ |
Ережелері: Сәйкестендіру |
Тақырып бойынша ресурстарды қарап, танысады |
Оқушылар осы мысалдарға қарап түсінеді. |
Оқулық, жұмыс дәптері Кітап, дәптер, қалам суреттері бейнеленген қима қағаздар топтамасы ДК экраны |
||||||||||||||||||||||||||||||||||||||
|
25 мин |
Тапсырмалар. |
№1.
1)
2)
3)
4) Ереже айту. 1)бөлімдері бірдей бөлшектер қалай қосылады? 2)бөлімдері әр түрлі бөлшектер қалай қосылады?мысал келтіріңдер. 3)бөлімдері бірдей бөлшектер қалай азайтылады? 4)натурал саннан бөлшек қалай азайтылады? №2.
Толықтыру №3. Есептеңдер:
Шығармашылық тапсырма: «Кім жылдам?»
оқулықпен
жұмыс.
|
Ереже айтады. Толықтыру тапсырмасында жұлдызшаның орнына қажетті бөлшекті қояды. Оқушылар кестені толтырады. №, №
|
Дескриптор: - Бөлімдері әр түрлі бөлшектерді қосу(азайту) үшін: 1) бөлшектерді ең кіші ортақ бөлімге келтіреді; 2) бөлімдері бірдей бөлшектерді қосады (азайтады)
Дескриптор: -Бөлімдері әртүрлі бөлшектерді қосып, азайту ережесін қолданады.
Дескриптор: -Бөлшектерді қосу және азайту ережесін пайдаланып, есептейді
Дескриптор: - Бөлімдері әртүрлі бөлшектерді қосып, азайту ережесін қолданады.
Дескриптор: -Жай бөлшектерді қосу және азайту амалын мәтін есептер шығаруда қолдана алады.
Дескриптор: - Бөлімдері әр түрлі бөлшектерді қосу(азайту) үшін: 1) бөлшектерді ең кіші ортақ бөлімге келтіреді; 2) бөлімдері бірдей бөлшектерді қосады (азайтады) |
Тақта, слайд, оқу құралдары; 5 сыныпқа арналған оқулық Презентация Оқулық, жұмыс дәптері Кітап, дәптер, қалам суреттері бейнеленген қима қағаздар топтамасы ДК экраны Жалпы білім беретін мектептің 5–сыныбына арналған оқулық. Оқулық Презентация Оқулық, жұмыс дәптері Кітап, дәптер, қалам суреттері бейнеленген қима қағаздар топтамасы ДК экраны |
||||||||||||||||||||||||||||||||||||||
|
Сабақтың соңы |
5мин |
Саралау: Бұл кезеңде саралаудың «Қорытынды» тәсілі көрінеді. Үйге тапсырма: № |
|
Сонымен қатар 1-10 баллдық жүйе бойынша оқушылардың сабаққа қатысу белсенділігі бойынша бағаланады. |
Жұмыс дәптерлері. Слайд. Білім поштасы, хаттар |
||||||||||||||||||||||||||||||||||||||
Сабақ жоспары 10
|
Бөлім: |
5.2А Жай бөлшектерге амалдар қолдану |
||||||
|
Педагогтің Тегі, Аты, Әкесінің аты (бар болса) |
|
||||||
|
Пән/Сынып: |
5 сынып; Қатысқандар саны: Қатыспағандар саны: |
||||||
|
Күні: |
|
||||||
|
Сабақтың тақырыбы: |
Жай бөлшектерді қосу және азайту |
||||||
|
Оқу бағдарламасына сәйкес оқыту мақсаттары |
5.1.2.17 бөлімдері бірдей бөлшектерді қосу және азайтуды орындау; 5.1.2.18 бөлімдері әртүрлі бөлшектерді қосу және азайтуды орындау; |
||||||
|
Сабақтың мақсаттары: |
1. Бөлімдері бірдей және бөлімдері әр түрлі бөлшектерді қосу және азайтудың ережесін білу; 2.Бөлімдері бірдей және бөлімдері әр түрлі бөлшектерді қосу және азайтуға есептер шығара алу; 3. Жай бөлшектерді қосу және азайту амалын мәтін есептер шығаруда қолдана алу; |
||||||
|
Сабақ барысы: |
|
||||||
|
Уақыты |
Кезең дері |
Педагогтің әрекеті |
Оқушының әрекеті |
Бағалау |
Ресурстар |
|
|
|
2 минут |
Ұйымдастыру |
Сәлеметсіздерме! Бүгін, Жай бөлшектерді қосу және азайту тақырыбын қарастырамыз Бүгінгі сабақта меңгеретініңіз: 1. Бөлімдері бірдей және бөлімдері әр түрлі бөлшектерді қосу және азайтудың ережесін білу; 2.Бөлімдері бірдей және бөлімдері әр түрлі бөлшектерді қосу және азайтуға есептер шығара алу; 3. Жай бөлшектерді қосу және азайту амалын мәтін есептер шығаруда қолдана алу; |
Сәлемдесу; Үй тапсырмасын көрсету; Сабақ мақсатын тыңдау, танысу Сұрақтарға жауап береді |
Оқушылардың белсенділігіне қарай мұғалім ауызша мақтау сөздермен бағалауы |
Тақта, слайд, оқу құралдары; 5 сыныпқа арналған оқулық |
|
|
|
8 мин |
Жаңа сабақ |
Өткен материалдар бойынша білімдерін тексеру кезеңі«Кім шапшаң?» ойынын ойнату арқылы оқушылардың білімдерін жан-жақты тексеру. сұрақ-жауаб арқылы өтілген сабақты қайталау (диалог әдісі): -Бұрыс бөлшекті қалай аралас санға айналдырады? -Жай бөлшектердің негізгі қасиеті? -Бөлімдері бірдей бөлшектердің қайсысы үлкен? -Алымдары бірдей бөлшектер қалай салыстырылады? -Аралас сандар қалай салыстырылады? -Натурал сан дегеніміз не? -Натурал саннан жай бөлшек қалай азайтылады |
Тақырып бойынша ресурстарды қарап, танысады |
|
Жалпы білім беретін мектептің 5–сыныбына арналған оқулық. Оқулық авторлары: Т.А.Алдамұратова, Қ.С.Байшоланова, Е.С.Байшоланов Алматы «Атамұра» баспасы 2017 жыл Слайд |
|
|
|
17 мин |
Тапсырмалар. |
Ереже айту. 1)бөлімдері бірдей бөлшектер қалай қосылады? 2)бөлімдері әр түрлі бөлшектер қалай қосылады?мысал келтіріңдер. 3)бөлімдері бірдей бөлшектер қалай азайтылады? 4)натурал саннан бөлшек қалай азайтылады? Жеке жұмыс.
Амалды орында:
Оқулықпен жұмыс. №448, №449, №450 |
Бөлімдері бірдей бөлшектерді қосу(азайту) , олардың алымдарын қосып(азайтып), алым етіп, сол бөлімнің өзін қалдыру керек. Ереже айтады. Толықтыру тапсырмасында жұлдызшаның орнына қажетті бөлшекті қояды. Жекелеген оқушылар тапсырма орындайды |
Дескриптор: -Бөлшектерді салыстыру ережесін қолданады. - Бөлімдері әр түрлі бөлшектерді қосу(азайту) үшін: 1) бөлшектерді ең кіші ортақ бөлімге келтіреді; 2) бөлімдері бірдей бөлшектерді қосады (азайтады) Дескриптор: -Бөлімдері әртүрлі бөлшектерді қосып, азайту ережесін қолданады. дескриптор: -Бөлшектерді қосу және азайту ережесін пайдаланып, есептейді
Дескриптор: -Жай бөлшектерді қосу және азайту амалын мәтін есептер шығаруда қолдана алады. |
Тақта, слайд, оқу құралдары; 5 сыныпқа арналған оқулық Презентация Жалпы білім беретін мектептің 5–сыныбына арналған оқулық. Оқулық авторлары: Т.А.Алдамұратова, Қ.С.Байшоланова, Е.С.Байшоланов Алматы «Атамұра» баспасы 2017 жыл |
|
|
|
15 мин |
Жеке жұмыс |
Қосымша тапсырма орындау
|
Тапсырманы жұптасып орындайды |
ҚБ: Жұпта өзара бағалау «+», « - », қызықты |
Оқулық, жұмыс дәптері Кітап, дәптер, қалам суреттері бейнеленген қима қағаздар топтамасы ДК экраны |
|
|
|
Сабақтың соңы |
3мин |
Үйге тапсырма: № |
|
Сонымен қатар 1-10 баллдық жүйе бойынша оқушылардың сабаққа қатысу белсенділігі бойынша бағаланады. |
Жұмыс дәптерлері. Слайд.
Білім поштасы, хаттар |
|
|
Сабақ жоспары 11
Бекітемін:
|
Педагогтің Тегі, Аты, Әкесінің аты (бар болса) |
|
|||||
|
Пән/Сынып: |
5 сынып; Қатысқандар саны: Қатыспағандар саны: |
|||||
|
Күні: |
|
|||||
|
Бөлім: |
5.2А Жай бөлшектерге амалдар қолдану |
|||||
|
Сабақтың тақырыбы: |
Аралас сандарды қосу және азайту. |
|||||
|
Оқу бағдарламасына сәйкес оқыту мақсаттары |
5.1.2.19 натурал санға жай бөлшекті қосуды орындау; 5.1.2.20 аралас сандарды қосуды орындау |
|||||
|
Сабақтың мақсаттары: |
оқушыларды аралас сандарды қосуға қатысты ережелерін пайдалана отырып, есептер шығаруда алған білімдерін көрсету. |
|||||
|
Сабақ барысы: |
||||||
|
Уақыты |
Кезең дері |
Педагогтің әрекеті |
Оқушының әрекеті |
Бағалау |
Ресурстар |
|
|
2 минут |
Ұйымдастыру |
Сәлеметсіздерме! Бүгін, Аралас сандарды қосу және азайту тақырыбын қарастырамыз Бүгінгі сабақта меңгеретініңіз: 1. Бөлімдері бірдей және бөлімдері әр түрлі аралас сандарды қосудың ережесін білу; 2.Бөлімдері бірдей және бөлімдері әр түрлі аралас сандарды қосуға есептер шығара алу; |
Сәлемдесу; Үй тапсырмасын көрсету; Сабақ мақсатын тыңдау, танысу Сұрақтарға жауап береді |
Оқушылардың белсенділігіне қарай мұғалім ауызша мақтау сөздермен бағалауы |
|
|
|
8 мин |
Жаңа сабақ |
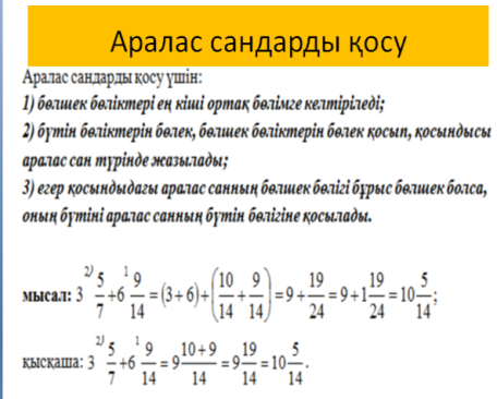
Жаңа сабақ. Видео сабақ. https://youtu.be/SQ4EwyD8RDE Бүтін және бөлшек бөлігі бар сан аралас сан деп аталады. 1-мысал: Натурал сан мен аралас санды қосқанда, натурал сан мен аралас санның бүтін бөлігі қосылып, қосындыға аралас санның бөлшек бөлігі тіркеліп жазылады. Аралас сандарды қосуда, аралас сандардың бүтін бөліктері мен бөлшек бөліктерін қосу үшін қосудың ауыстырымдылық және терімділік қасиеттері пайдаланылады. 2- мысал: Қосылғыштардың бөлшек бөліктерін ең кіші ортақ бөлімге келтіреміз: ЕКОЕ (8, 12)=24;
Аралас сандарды қосу үшін: 1) бөлшек бөліктері ең кіші ортақ бөлімге келтіріледі; 2) бүтін бөліктерін бөлек, бөлшек бөліктерін бөлек қосып, қосындысы аралас сан түрінде жазылады; 3) егер қосындыдағы аралас санның бөлшек бөлігі бұрыс бөлшек болса, оның бүтіні аралас санның бүтін бөлігіне қосылады. мысал: қысқаша:
Дұрыс бөлшек пен аралас санды қосуды қарастырайық. 4-мысал: Дұрыс бөлшек пен аралас санның қосындысы аралас сан болады. Оның бүтін бөлігі берілген аралас санның бүтін бөлігіне тең де, бөлшек бөлігі берілген дұрыс бөлшек пен аралас санның бөлшек бөлігінің қосындысына тең. |
Тақырып бойынша ресурстарды қарап, танысады |
|
Жалпы білім беретін мектептің 5–сыныбына арналған оқулық. Оқулық авторлары: Т.А.Алдамұратова, Қ.С.Байшоланова, Е.С.Байшоланов Алматы «Атамұра» баспасы 2017 жыл Слайд Интернет ресурстары |
|
|
17 мин |
Тапсырмалар. |
№1. Аралас сандарды қос:
№2. Аралас сандарды қос:
№3. Есепте:
Оқулықпен жұмыс. №534, №536 /1,3,5/ |
Бөлімдері бірдей, әртүрлі аралас сандарды қосу(азайту) ережелерін қолданып шығарады. Ереже айтады. Жекелеген оқушылар тапсырма орындайды |
Дескриптор:
Дескриптор: -Бөлімдері әртүрлі бөлшектерді қосып, азайту ережесін қолданады.
|
Жалпы білім беретін мектептің 5–сыныбына арналған оқулық. Оқулық авторлары: Әбілқасымова |
|
|
15 мин |
Жеке жұмыс |
Қосымша тапсырма
орындау |
Тапсырманы орындайды |
Мониторинг |
|
|
|
3 минут |
|
Қорытынды. Рефлексия.
Бүгінгі сабақта: 1. Бөлімдері бірдей және бөлімдері әр түрлі аралас сандарды қосудың ережесін білді; 2.Бөлімдері бірдей және бөлімдері әр түрлі аралас сандарды қосуға есептер шығара алды. Үйге тапсырма. №536 /2,4,6/. Бағалау |
Тақырыпты меңгергенін анықтау |
|
Презентация |
|
Сабақ жоспары 12
Бекітемін:
|
Педагогтің Тегі, Аты, Әкесінің аты (бар болса) |
|
|||||
|
Пән/Сынып: |
5 сынып; Қатысқандар саны: Қатыспағандар саны: |
|||||
|
Күні: |
|
|||||
|
Бөлім: |
5.2А Жай бөлшектерге амалдар қолдану |
|||||
|
Сабақтың тақырыбы: |
Аралас сандарды қосу және азайту. |
|||||
|
Оқу бағдарламасына сәйкес оқыту мақсаттары |
5.1.2.19натурал санға жай бөлшекті қосуды орындау;
|
|||||
|
Сабақтың мақсаттары: |
Натурал саннан жай бөлшекті азайтуды үйрену. Есеп шығаруда оны қолдана алу |
|||||
|
Сабақ барысы: |
||||||
|
Уақыты |
Кезең дері |
Педагогтің әрекеті |
Оқушының әрекеті |
Бағалау |
Ресурстар |
|
|
5 минут |
Ұйымдастыру |
Сәлеметсіздерме! Бүгін, Натурал саннан жай бөлшекті азайтуды үйренеміз |
Сәлемдесу; Үй тапсырмасын көрсету; Сабақ мақсатын тыңдау, танысу |
Оқушылардың белсенділігіне қарай мұғалім ауызша мақтау сөздермен бағалауы |
|
|
|
10мин |
Сабақтың басы Жаңа тақырыпты түсіндіру |
|
Тақырыпты түсінеді Қажетті ережелерді жазып алады
|
|
|
|
|
25мин |
Бекіту тапсырмалары 25мин |
Есептеңіз
|
Жауабы
|
ҚБ: Жұпта өзара бағалау «+», « - », қызықты |
ДК экраны 5-сынып оқулығы. Жұмыс дәптерлері. Слайд. |
|
|
|
|
Жеке жұмыс
|
Жауаптар
|
Светофор адісімен бағалайды Немесе фигуралар адісімен. Жасыл-өте жаксы Сары-жаксы Кызыл-орташа
|
ДК экраны 5-сынып оқулығы. Жұмыс дәптерлері. Слайд. |
|
|
|
|
Оқулықпен жұмыс
|
|
ҚБ: Жұпта өзара бағалау «+», « - », қызықты |
|
|
|
Сабақтың соңы 5мин |
5мин |
Үйге тапсырма: № |
|
Сонымен қатар 1-10 баллдық жүйе бойынша оқушылардың сабаққа қатысу белсенділігі бойынша бағаланады. |
Жұмыс дәптерлері. Слайд.
Білім поштасы, хаттар |
|
Сабақ жоспары 13
Бекітемін:
|
Педагогтің Тегі, Аты, Әкесінің аты (бар болса) |
|
|||||
|
Пән/Сынып: |
5 сынып; Қатысқандар саны: Қатыспағандар саны: |
|||||
|
Күні: |
|
|||||
|
Бөлім: |
5.2А Жай бөлшектерге амалдар қолдану |
|||||
|
Сабақтың тақырыбы: |
Аралас сандарды қосу және азайту. |
|||||
|
Оқу бағдарламасына сәйкес оқыту мақсаттары |
5.1.2.19натурал санға жай бөлшекті қосуды орындау;
|
|||||
|
Сабақтың мақсаттары: |
Натурал саннан жай бөлшекті азайтуды үйрену. Есеп шығаруда оны қолдана алу |
|||||
|
Сабақ барысы: |
||||||
|
Уақыты |
Кезең дері |
Педагогтің әрекеті |
Оқушының әрекеті |
Бағалау |
Ресурстар |
|
|
5 минут |
Ұйымдастыру |
Сәлеметсіздерме! Бүгін, Натурал саннан жай бөлшекті азайтуды үйренеміз |
Сәлемдесу; Үй тапсырмасын көрсету; Сабақ мақсатын тыңдау, танысу |
Оқушылардың белсенділігіне қарай мұғалім ауызша мақтау сөздермен бағалауы |
|
|
|
10мин |
Сабақтың басы Жаңа тақырыпты түсіндіру |
|
Тақырыпты түсінеді Қажетті ережелерді жазып алады
|
|
|
|
|
25мин |
Бекіту тапсырмалары 25мин |
Натурал саннан жай бөлшекті азайтыңыз
|
Жауабы
|
ҚБ: Жұпта өзара бағалау «+», « - », қызықты |
ДК экраны 5-сынып оқулығы. Жұмыс дәптерлері. Слайд. |
|
|
|
|
Жеке жұмыс
|
Жауаптар
|
Светофор адісімен бағалайды Немесе фигуралар адісімен. Жасыл-өте жаксы Сары-жаксы Кызыл-орташа
|
ДК экраны 5-сынып оқулығы. Жұмыс дәптерлері. Слайд. |
|
|
|
|
Оқулықпен жұмыс
|
|
ҚБ: Жұпта өзара бағалау «+», « - », қызықты |
|
|
|
Сабақтың соңы 5мин |
5мин |
Үйге тапсырма: № |
|
Сонымен қатар 1-10 баллдық жүйе бойынша оқушылардың сабаққа қатысу белсенділігі бойынша бағаланады. |
Жұмыс дәптерлері. Слайд.
Білім поштасы, хаттар |
|
Сабақ жоспары 15
Бекітемін:
|
Педагогтің Тегі, Аты, Әкесінің аты (бар болса) |
|
|||||
|
Пән/Сынып: |
5 сынып; Қатысқандар саны: Қатыспағандар саны: |
|||||
|
Күні: |
|
|||||
|
Бөлім: |
5.2А Жай бөлшектерге амалдар қолдану |
|||||
|
Сабақтың тақырыбы: |
Аралас сандарды қосу және азайту. |
|||||
|
Оқу бағдарламасына сәйкес оқыту мақсаттары |
5.1.2.20 аралас сандарды қосуды орындау |
|||||
|
Сабақтың мақсаттары: |
оқушыларды аралас сандарды қосуға қатысты ережелерін пайдалана отырып, есептер шығаруда алған білімдерін көрсету. |
|||||
|
Сабақ барысы: |
||||||
|
Уақыты |
Кезең дері |
Педагогтің әрекеті |
Оқушының әрекеті |
Бағалау |
Ресурстар |
|
|
2 минут |
Ұйымдастыру |
Сәлеметсіздерме! Бүгін, Аралас сандарды қосу және азайту тақырыбын қарастырамыз Бүгінгі сабақта меңгеретініңіз: 1. Бөлімдері бірдей және бөлімдері әр түрлі аралас сандарды қосудың ережесін білу; 2.Бөлімдері бірдей және бөлімдері әр түрлі аралас сандарды қосуға есептер шығара алу; Үй тапсырмасын
тексеру: |
Сәлемдесу; Үй тапсырмасын көрсету; Сабақ мақсатын тыңдау, танысу Сұрақтарға жауап береді |
Оқушылардың белсенділігіне қарай мұғалім ауызша мақтау сөздермен бағалауы |
Тақта, слайд, оқу құралдары; 5 сыныпқа арналған оқулық |
|
|
8 мин |
Жаңа сабақ |
Жаңа сабақ. Видео сабақ. https://youtu.be/SQ4EwyD8RDE Бүтін және бөлшек бөлігі бар сан аралас сан деп аталады. Бөлімдері әртүрлі аралас санды қосу үшін:
|
Тақырып бойынша ресурстарды қарап, танысады Мысалдар келтіреді.
|
|
Слайд Интернет ресурстары |
|
|
17 мин |
Тапсырмалар. |
№1. Қосуды орында:
№3. Бөлшектерді қос:
Жеке оқушымен жұмыс. Барлығын есіңе түсірсеңіз, берілген бөлшектерді қосыңыз:
Оқулықпен жұмыс. №455, №456 |
Бөлімдері бірдей, әртүрлі аралас сандарды қосу(азайту) ережелерін қолданып шығарады. Ереже айтады. Аралас санды бөлшекке қосу ережесін қолданып шығарады. Жекелеген оқушылар тапсырма орындайды
№455, №456 |
Дескриптор:
Дескриптор:
Дескриптор: -Бөлімдері әртүрлі бөлшектерді қосып, азайту ережесін қолданады.
Дескриптор: -Тақырыпқа қатысты мәтін есептерді шығарады
|
Презентация Оқулық, оқу құрал жабдықтары, тақта, бор Интербелсенді тақта
. Интернет ресурстары Жалпы білім беретін мектептің 5–сыныбына арналған оқулық. |
|
|
15 мин |
Жеке жұмыс |
Қосымша тапсырма орындау
|
Тапсырманы орындайды |
ҚБ: Жұпта өзара бағалау «+», « - », қызықты |
ДК экраны 5-сынып оқулығы. Жұмыс дәптерлері. Слайд. |
|
|
Сабақтың соңы |
3мин |
Үйге тапсырма: № |
|
Сонымен қатар 1-10 баллдық жүйе бойынша оқушылардың сабаққа қатысу белсенділігі бойынша бағаланады. |
Жұмыс дәптерлері. Слайд. Білім поштасы, хаттар |
|
сабақ жоспары №16
Бекітемін:
|
Педагогтің Тегі, Аты, Әкесінің аты (бар болса) |
|
|||||
|
Пән/Сынып: |
5 сынып; Қатысқандар саны: Қатыспағандар саны: |
|||||
|
Күні: |
|
|||||
|
Бөлім: |
5.2А Жай бөлшектерге амалдар қолдану |
|||||
|
Сабақтың тақырыбы: |
Аралас сандарды қосу және азайту. |
|||||
|
Оқу бағдарламасына сәйкес оқыту мақсаттары |
5.1.2.19натурал саннан жай бөлшекті азайтуды орындау; 5.1.2.аралас сандарды қосу және азайтуды орындау |
|||||
|
Сабақтың мақсаттары: |
Аралас сандарды азайтуды, натурал саннан аралас санды азайтуды, аралас саннан натурал санды азайтуды үйрету |
|||||
|
Сабақ барысы: |
||||||
|
Уақыты |
Кезең дері |
Педагогтің әрекеті |
Оқушының әрекеті |
Бағалау |
Ресурстар |
|
|
2 минут |
Ұйымдастыру |
Сәлеметсіздерме! Бүгін, Аралас сандарды қосу және азайту тақырыбын қарастырамыз Бүгінгі сабақта меңгеретініңіз: 1. Натурал саннан аралас санды, аралас саннан натурал санды азайта білу; 2. Бөлімдері бірдей, бөлімдері әр түрлі аралас сандарды азайтуға есептер шығара алу. 1)Математикалық логикалық есептер беру арқылы «Миға шабуыл» 2) Үйге берілген есептерді тексеру; 3) Өткен материалды қайталау сұрақтары: - Бөлімдері бірдей аралас сандар қалай қосылады? - Бөлімдері әр түрлі аралас сандар қалай қосылады? - Натурал сандар мен аралас санның қосындысы неге тең? |
Сұрақтарға жауап береді |
Оқушылардың белсенділігіне қарай мұғалім ауызша мақтау сөздермен бағалауы |
Тақта, слайд, оқу құралдары; 5 сыныпқа арналған оқулық |
|
|
8 мин |
Жаңа сабақ |
олардың бүтін бөліктерінің айырмасын , бөлшек бөліктерінің айырмасын табу керек. бүтін бөліктерінің айырмасы мен бөлшек бөліктерінің айырмасының қосындысын аралас сан түрінде жазу керек. Мысалы :
аралас сандардың бөлшек бөліктерін ең кіші ортақ бөлімге келтіру керек; бөлімдері бірдей аралас сандарды азайту керек. Мысалы :
Натурал саннан аралас санды азайту үшін натурал санды аралас сан түрінде жазу керек. Мысалы :
Аралас саннан натурал санды азайту. Мысалы :
|
Тақырып бойынша ресурстарды қарап, танысады Мысалдар келтіреді. Ереже айтады. |
|
Презентация Оқулық, оқу құрал жабдықтары, тақта, бор Интербелсенді тақта
. Интернет ресурстары |
|
|
17 мин |
Тапсырмалар. |
А тобы
1)
2)
3)
4)
5)
6)
7)
8)
В тобы
1)
матем:
С тобы Бер. Тік төртбұрыш a(квадрат қабырғ.)=6см
Р=Ркв.
Р=2(a+b)=>
24=2
т/к: b-?
Жеке оқушымен жұмыс. № оқулықпен жұмыс. |
Аралас сандардан натурал санды, натурал саннан аралас санды азайту ережелерін қолданып, А тобының есептерін шығарады. Аралас сандарды азайту ережесін қолданып шығарады.
Жауабы:
Жауабы:
№ |
Дескриптор:
Дескриптор:
Дескриптор: -Тақырыпқа қатысты мәтін есептерді шығарады
|
Презентация Оқулық, оқу құрал жабдықтары, тақта, бор Интербелсенді тақта
. Интернет ресурстары |
|
|
10 мин |
Жеке жұмыс |
Қосымша тапсырма
орындау |
Тапсырманы орындайды
|
ҚБ: Жұпта өзара бағалау «+», « - », қызықты |
ДК экраны 5-сынып оқулығы. Жұмыс дәптерлері. Слайд. |
|
|
Сабақтың соңы |
3мин |
Үйге тапсырма: № |
|
Сонымен қатар 1-10 баллдық жүйе бойынша оқушылардың сабаққа қатысу белсенділігі бойынша бағаланады. |
Жұмыс дәптерлері. Слайд. Білім поштасы, хаттар |
|
Сабақ жоспары
Бекітемін:
|
Педагогтің Тегі, Аты, Әкесінің аты (бар болса) |
|
|||||
|
Пән/Сынып: |
5 сынып; Қатысқандар саны: Қатыспағандар саны: |
|||||
|
Күні: |
|
|||||
|
Бөлім: |
5.2А Жай бөлшектерге амалдар қолдану |
|||||
|
Сабақтың тақырыбы: |
Аралас сандарды қосу және азайту. |
|||||
|
Оқу бағдарламасына сәйкес оқыту мақсаттары |
5.1.2.19 натурал саннан жай бөлшекті азайтуды орындау; 5.1.2.20 аралас сандарды қосу және азайтуды орындау |
|||||
|
Сабақтың мақсаттары: |
Аралас сандарды азайтуды, натурал саннан аралас санды азайтуды, аралас саннан натурал санды азайтуды үйрету |
|||||
|
Сабақ барысы: |
||||||
|
Уақыты |
Кезең дері |
Педагогтің әрекеті |
Оқушының әрекеті |
Бағалау |
Ресурстар |
|
|
2 минут |
Ұйымдастыру |
Сәлеметсіздерме! Бүгін, Аралас сандарды қосу және азайту тақырыбын қарастырамыз Бүгінгі сабақта меңгеретініңіз: 1. Натурал саннан аралас санды, аралас саннан натурал санды азайта білу; 2. Бөлімдері бірдей, бөлімдері әр түрлі аралас сандарды азайтуға есептер шығара алу. 1)Математикалық логикалық есептер беру арқылы «Миға шабуыл» 2) Үйге берілген есептерді тексеру; 3) Өткен материалды қайталау сұрақтары: - Бөлімдері бірдей аралас сандар қалай қосылады? - Бөлімдері әр түрлі аралас сандар қалай қосылады? - Натурал сандар мен аралас санның қосындысы неге тең? |
Сәлемдесу; Үй тапсырмасын көрсету; Сабақ мақсатын тыңдау, танысу Сұрақтарға жауап береді |
Оқушылардың белсенділігіне қарай мұғалім ауызша мақтау сөздермен бағалауы |
Тақта, слайд, оқу құралдары; 5 сыныпқа арналған оқулық |
|
|
8 мин |
Жаңа сабақ |
Тез есепте! 1) Жай бөлшектерді салыстыр:
2) Амалды орында:
3) Бос орындарды толықтырып жаз:
|
Мысалдар келтіреді. Ереже айтады. |
|
Презентация Оқулық, оқу құрал жабдықтары, тақта, бор Интербелсенді тақта
. Интернет ресурстары |
|
|
17 мин |
Тапсырмалар. |
№1. Аралас сандарды азайтыңдар: 1)12 2)7
№2.Өрнектің мәнін табыңдар:
№3.Жұлдызшалардың орындарына тиісті сандарды қойыңдар. Айырманы толықтырып есептеңдер: 1)6 2)*-1
Жеке оқушымен жұмыс. №548. Оқулықпен жұмыс. №546. Тест тапсырмалары. 1. Азайтуды орында: 6 А)
3 2. Азайтуды орында: 8 А)
6 3. Азайтуды орында: 10
А)
6 4. Азайтуды орында: 13 А)
5 5. Азайтуды орында: 11-7 А)
4 |
Аралас сандарды азайту ережелерін қолданып, есептерді шығарады.
8 Аралас сандарды азайту ережесін қолданып шығарады.
Білім алушылар тест тапсырмасын орындайды.
|
Дескриптор:
Дескриптор: -Тақырыпқа қатысты мәтін есептерді шығарады
|
Презентация Оқулық, оқу құрал жабдықтары, тақта, бор Интербелсенді тақта
. Интернет ресурстары Интернет ресурс тары |
|
|
15 мин |
Жеке жұмыс |
Қосымша тапсырма орындау
|
Тапсырманы орындайды
|
Мониторинг |
ДК экраны 5-сынып оқулығы. Жұмыс дәптерлері. Слайд. |
|
|
3 минут |
|
Қорытынды. Рефлексия.
Бүгінгі сабақта: 1. Натурал саннан аралас санды, аралас саннан натурал санды азайта білді; 2. Бөлімдері бірдей, бөлімдері әр түрлі аралас сандарды азайтуға есептер шығара алады. Үйге тапсырма. №547. |
Тақырыпты меңгергенін анықтау |
Кері байланыс |
Презента ция |
|
Сабақ жоспары
Бекітемін:
|
Педагогтің Тегі, Аты, Әкесінің аты (бар болса) |
|
|||||||
|
Пән/Сынып: |
5 сынып; Қатысқандар саны: Қатыспағандар саны: |
|||||||
|
Күні: |
|
|||||||
|
Бөлім: |
5.2А Жай бөлшектерге амалдар қолдану |
|||||||
|
Сабақтың тақырыбы: |
Аралас сандарды қосу және азайту. |
|||||||
|
Оқу бағдарламасына сәйкес оқыту мақсаттары |
5.1.2.19 натурал саннан жай бөлшекті азайтуды орындау; 5.1.2.20 аралас сандарды қосу және азайтуды орындау |
|||||||
|
Сабақтың мақсаттары: |
Аралас сандарды азайтуды, натурал саннан аралас санды азайтуды, аралас саннан натурал санды азайтуды үйрету |
|||||||
|
Сабақ барысы: |
||||||||
|
Ұжымдық жұмыс Жаңа тақырыптың түсіндірілуі Сабақ мақсаты мен бағалау критерийлерін таныстыру; Бейнероликті қолдана отырып, бекіту тапсырмаларын орындату |
Бірлескен жұмыс (1,2 тапсырма) Тапсырманы ұсыну және дұрыс жауапты ұсыну арқылы үйрету Бекітуге арналғантапсырмаларды орындату; Тапсырмалардың жауаптарын жазу. |
Жеке жұмыс Тапсырманы ұсыну, оқушылар өз бетімен орындауы |
||||||
|
Уақыты |
Кезең дері |
Педагогтің әрекеті |
Оқушының әрекеті |
Бағалау |
Ресурстар |
|||
|
2 минут |
Ұйымдастыру |
Сәлеметсіздерме! Бүгін, Аралас сандарды қосу және азайту тақырыбын қарастырамыз Бүгінгі сабақта меңгеретініңіз: 1. Натурал саннан аралас санды, аралас саннан натурал санды азайта білу; 2. Бөлімдері бірдей, бөлімдері әр түрлі аралас сандарды азайтуға есептер шығара алу. Өтілген тақырып бойынша қайталау сұрақтарын қою: А) Жай бөлшектерді бір біріне қалай қосамыз? Б)Бұрыс бөлшек дегеніміз не? В)Дұрыс бөлшек дегеніміз не? Г)Бұрыс бөлшекті аралас санға қалай айналдырамыз? Қайталау сұрақтары:
|
Сәлемдесу; Үй тапсырмасын көрсету; Сабақ мақсатын тыңдау, танысу Сұрақтарға жауап береді |
Оқушылардың белсенділігіне қарай мұғалім ауызша мақтау сөздермен бағалауы |
Тақта, слайд, оқу құралдары; 5 сыныпқа арналған оқулық |
|||
|
8 мин |
Жаңа сабақ |
1. Бөлімдері бірдей бөлшектерді қосқанда, олардың ................... қосып , .................. етіп, ал ............ етіп, сол ......................... өзін қалдырамыз. 2. Бөлімдері әр түрлі бөлшектерді қосу үшін, оларды .................................. ......................келтіріп, ..................................................................... бөлшектерді қосу керек. 3. Бөлімдері бірдей аралас сандарды қосу үшін ........... бөлігін ............. бүтін бөлігіне, ал ............... бөлігін, ................ бөлігіне қосып, қосындысын .................................. түрінде жазамыз. 4. Бөлімдері бірдей бөлшектерді азайтқанда, азайғыштың ........................... азайтқыштың ................. азайтып, ............. етіп жазып, сол .................... өзін қалдыру керек. 5. Егер бөлімдері бірдей аралас сандарды азайтқанда азайғыш аралас санның ............... бөлігі, азайтқыш аралас санның ............. бөлігінен кіші болса, онда азайғыш аралас санды бөлшек бөлігі .......................... бөлшек болатын аралас санға айналдырып аралас сандарды азайтамыз. |
Мысалдар келтіреді. Ереже айтады. |
|
Слайд Интернет ресурс тары |
|||
|
17 мин |
Тапсырмалар. |
Деңгейлік тапсырмаларды орындау. А- деңгейі: 1) В-деңгейі: 1) С-деңгейі: 1) 3)18+3
Жеке оқушымен жұмыс. 1))2/5+1/2 2)15/19-6/19 3)5/9+2/27 4)1/5-1/6 Оқулықпен жұмыс. №549 Сергіту сәті. 1.Бір –бірімен жарысқан Төрт аю, бір арыстан Екі қой мен бір түлкі Бәрі нешеу кім білді (8) 2. Жоқ өзінде баста, қас та, мойын да. Ұзындығы жазулы тұр бойында (Сызғыш) 3. Төрт қойдың неше аяғы бар (16 аяғы бар) 4. Күн –күн сайын жыртылдық Өміріміз бір жылдық (Күнтізбе) |
Аралас сандарды азайту ережелерін қолданып, есептерді шығарады.
8 Аралас сандарды азайту ережесін қолданып шығарады.
Білім алушылар жұмбақтар шешеді. |
Дескриптор:
Дескриптор: -Тақырыпқа қатысты мәтін есептерді шығарады
|
Презента ция Жалпы білім беретін мектептің 5–сыныбына арналған оқулық. Оқулық авторлары: Т.А.Алдамұратова, Қ.С.Байшоланова, Е.С.Байшоланов Алматы «Атамұра» баспасы 2017 жыл Интернет ресурс тары |
|||
|
15 мин |
Жеке жұмыс |
Қосымша тапсырма орындау |
Тапсырманы орындайды |
|
|
|||
|
3 минут |
|
Қорытынды. Рефлексия.
Бүгінгі сабақта: 1. Натурал саннан аралас санды, аралас саннан натурал санды азайта білді; 2. Бөлімдері бірдей, бөлімдері әр түрлі аралас сандарды азайтуға есептер шығара алады. Үйге тапсырма. №551. |
Тақырыпты меңгергенін анықтау |
Кері байланыс |
Презента ция |
|||
Сабақ жоспары
Бекітемін:
|
Педагогтің Тегі, Аты, Әкесінің аты (бар болса) |
|
|||||||||||||
|
Пән/Сынып: |
5 сынып; Қатысқандар саны: Қатыспағандар саны: |
|||||||||||||
|
Күні: |
|
|||||||||||||
|
Бөлім: |
5.2А Жай бөлшектерге амалдар қолдану |
|||||||||||||
|
Сабақтың тақырыбы: |
Жай бөлшектерді және аралас сандарды көбейту. Өзара кері сандар |
|||||||||||||
|
Оқу бағдарламасына сәйкес оқыту мақсаттары |
5.1.2.21 жай бөлшектерді, аралас сандарды көбейтуді орындау; |
|||||||||||||
|
Сабақтың мақсаттары: |
- жай бөлшектерді, аралас сандарды көбейту ережесін біледі, көбейтеді. - жай бөлшектерді, аралас сандарды көбейту ережесін қолданып есептерді орындайды. - Күнделікті өмірмен байланысты мәтін есептерді шығарады. |
|||||||||||||
|
Сабақ барысы: |
||||||||||||||
|
Уақыты |
Кезең дері |
Педагогтің әрекеті |
Оқушының әрекеті |
Бағалау |
Ресурстар |
|||||||||
|
2 минут |
Ұйымдастыру |
Сәлеметсіздерме! Бүгін, Жай бөлшектерді және аралас сандарды көбейту. Өзара кері сандар тақырыбын қарастырамыз Бүгінгі сабақта меңгеретініңіз: - жай бөлшектерді, аралас сандарды көбейту ережесін білу - жай бөлшектерді, аралас сандарды көбейту ережесін қолданып есептерді орындау Сұрақты қағып ал» әдісі 1) Аралас сан дегеніміз не? 2) Бөлімдері бірдей аралас сандар қалай қосылады? 3) Бөлімдері бірдей аралас сандар қалай азайтылады? 4) Бөлімдері әр түрлі аралас сандар қалай қосылады? 5) Бөлімдері әр түрлі аралас сандар қалай азайтылады? |
Сәлемдесу; Үй тапсырмасын көрсету; Сабақ мақсатын тыңдау, танысу Сұрақтарға жауап береді |
Оқушылардың белсенділігіне қарай мұғалім ауызша мақтау сөздермен бағалауы |
Тақта, слайд, оқу құралдары; 5 сыныпқа арналған оқулық |
|||||||||
|
8 мин |
Жаңа сабақ |
Бөлшекті бөлшекке көбейту үшін, олардың алымдарын көбейтіп, алым етіп, бөлімдерін көбейтіп, бөлім етіп жазу керек.
Мысал:
Бөлшекті натурал санға көбейту үшін, бөлшектің алымын натурал санға көбейтіп, нәтижесін алым етіп, бөлімінің өзін қалдыру керек.
Аралас сандарды көбейту үшін: 1) оларды бұрыс бөлшек түрінде жазу керек; 2) бөлшектерді көбейту ережесін қолдану керек. |
Мысалдар келтіреді. Ереже айтады. |
|
Слайд Интернет ресурс тары |
|||||||||
|
17 мин |
Тапсырмалар. |
Тапсырма . №1. Есептерді шешіңдер:
ҚБ: «Бағдаршам»
Есептерді шешіңдер:
ҚБ «Мадақтау» №3.
№4. Егер тік төртбұрыштың
ені 3 тапсырма
Машина 8км / сағ
жылдамдықпен Оқулықпен жұмыс. №575 /1,3,5/ №576 /2,4,6/
|
Оқушылар есептердің шешуін кестедегі мәндерге сәйкес әріптерді сәйкестендіреді
Жай бөлшектерді натурал санға, жай бөлшектерді жай бөлшекке көбейту ережесін қолданып есептейді.
Ж:
Ж:10 км. Оқулықтан берілген есептерді шығарады. |
Дескриптор: - жай бөлшектерді, аралас сандарды көбейту ережесін біледі, көбейтеді. - жай бөлшектерді, аралас сандарды көбейту ережесін қолданып есептерді орындайды.
Дескриптор: -Тақырыпқа қатысты мәтін есептерді шығарады
Дескриптор: -Жай бөлшектерді көбейтеді -Есептер шартына сәйкес санды өрнектер құрастырады; -Әр есептің жауабын табады
|
Презента ция Жалпы білім беретін мектептің 5–сыныбына арналған оқулық. Оқулық авторлары: Т.А.Алдамұратова, Қ.С.Байшоланова, Е.С.Байшоланов Алматы «Атамұра» баспасы 2017 жыл Интернет ресурс тары |
|||||||||
|
10 мин |
Жеке жұмыс |
Қосымша тапсырма орындау |
Тапсырманы орындайды |
Мониторинг |
|
|||||||||
|
3 минут |
|
Қорытынды. Рефлексия.
Бүгінгі сабақта: - жай бөлшектерді, аралас сандарды көбейту ережесін біледі. - жай бөлшектерді, аралас сандарды көбейту ережесін қолданып есептерді орындайды. Үйге тапсырма. №575 /2,4,6/, №576 /1,3,5/ |
Тақырыпты меңгергенін анықтау |
Кері байланыс
|
Презента ция |
|||||||||
Сабақ жоспары
Бекітемін:
|
Педагогтің Тегі, Аты, Әкесінің аты (бар болса) |
|
|||||
|
Пән/Сынып: |
5 сынып; Қатысқандар саны: Қатыспағандар саны: |
|||||
|
Күні: |
|
|||||
|
Бөлім: |
5.2А Жай бөлшектерге амалдар қолдану |
|||||
|
Сабақтың тақырыбы: |
Жай бөлшектерді және аралас сандарды көбейту. Өзара кері сандар |
|||||
|
Оқу бағдарламасына сәйкес оқыту мақсаттары |
5.1.2.21 жай бөлшектерді, аралас сандарды көбейтуді орындау; |
|||||
|
Сабақтың мақсаттары: |
- жай бөлшектерді, аралас сандарды көбейту ережесін біледі, көбейтеді. - жай бөлшектерді, аралас сандарды көбейту ережесін қолданып есептерді орындайды. - Күнделікті өмірмен байланысты мәтін есептерді шығарады. |
|||||
|
Сабақ барысы: |
||||||
|
Уақыты |
Кезең дері |
Педагогтің әрекеті |
Оқушының әрекеті |
Бағалау |
Ресурстар |
|
|
2 минут |
Ұйымдастыру |
Сәлеметсіздерме! Бүгін, Жай бөлшектерді және аралас сандарды көбейту. Өзара кері сандар тақырыбын қарастырамыз Бүгінгі сабақта меңгеретініңіз: - жай бөлшектерді, аралас сандарды көбейту ережесін білу - жай бөлшектерді, аралас сандарды көбейту ережесін қолданып есептерді орындау
Сұрақ-жауап. 1. Жай бөлшекті
қалай көбейтеміз ? 2. Жай бөлшекті натурал санға қалай көбейтеміз?
3. Аралас сандарды қалай көбейтеміз? 4.
|
Сәлемдесу; Үй тапсырмасын көрсету; Сабақ мақсатын тыңдау, танысу Сұрақтарға жауап береді |
Оқушылардың белсенділігіне қарай мұғалім ауызша мақтау сөздермен бағалауы |
Тақта, слайд, оқу құралдары; 5 сыныпқа арналған оқулық |
|
|
8 мин |
Жаңа сабақ |
Бөлшекті бөлшекке көбейту үшін, олардың алымдарын көбейтіп, алым етіп, бөлімдерін көбейтіп, бөлім етіп жазу керек.
Мысал:
Бөлшекті натурал санға көбейту үшін, бөлшектің алымын натурал санға көбейтіп, нәтижесін алым етіп, бөлімінің өзін қалдыру керек.
Аралас сандарды көбейту үшін: 1) оларды бұрыс бөлшек түрінде жазу керек; 2) бөлшектерді көбейту ережесін қолдану керек. |
Сәлемдесу; Үй тапсырмасын көрсету; Сабақ мақсатын тыңдау, танысу Сұрақтарға жауап береді |
|
Слайд Интернет ресурс тары |
|
|
17 мин |
Тапсырмалар. |
Саралау тәсілі. Тапсырма А деңгейі Жердің жасанды серігі
7 ҚБ «Басбармақ» В деңгейі Үйдегі немесе пәтердегі бір бөлменің ұзындығын, енін өлшеп, метр есебімен жазыңдар.
ҚБ «Шапалақ » С деңгейі Вокзалдан саяжайға
Әлібек 30минутта,
Бауыржан 45
минутта барады. Егер Әлібек
вокзалдан шығып, Бауыржан саяжайдан шығып, олар бір-біріне қарсы
жүрсе, Ж: олар кездеседі. ҚБ «Мадақтау» Саралау тәсілі: «Қарқын»
Велосипед доңғалағы
сыртқы шеңберінің ұзындығы 1 |
Жай бөлшектерді натурал санға, жай бөлшектерді жай бөлшекке көбейту ережесін қолданып есептейді.
|
Дескриптор: - жай бөлшектерді, аралас сандарды көбейту ережесін біледі, көбейтеді. - жай бөлшектерді, аралас сандарды көбейту ережесін қолданып есептерді орындайды.
Дескриптор: -Тақырыпқа қатысты мәтін есептерді шығарады
|
Презента ция Жалпы білім беретін мектептің 5–сыныбына арналған оқулық. Оқулық авторлары: Т.А.Алдамұратова, Қ.С.Байшоланова, Е.С.Байшоланов Алматы «Атамұра» баспасы 2017 жыл Интернет ресурс тары |
|
|
15 мин |
Жеке жұмыс |
Оқулықпен жұмыс. №577 №579 |
Тапсырманы орындайды |
|
|
|
|
3 минут |
|
Қорытынды. Рефлексия.
Бүгінгі сабақта: - жай бөлшектерді, аралас сандарды көбейту ережесін біледі. - жай бөлшектерді, аралас сандарды көбейту ережесін қолданып есептерді орындайды. Үйге тапсырма. №578, №580. |
Тақырыпты меңгергенін анықтау |
Кері байланыс
|
Тақта, слайд, оқу құралдары; 5 сыныпқа арналған оқулық Презента ция |
|
Сабақ жоспары
Бекітемін:
|
Педагогтің Тегі, Аты, Әкесінің аты (бар болса) |
|
|||||||||||||||||||||||||||||||||||||||||||||||||||||||
|
Пән/Сынып: |
5 сынып; Қатысқандар саны: Қатыспағандар саны: |
|||||||||||||||||||||||||||||||||||||||||||||||||||||||
|
Күні: |
|
|||||||||||||||||||||||||||||||||||||||||||||||||||||||
|
Бөлім: |
5.2А Жай бөлшектерге амалдар қолдану |
|||||||||||||||||||||||||||||||||||||||||||||||||||||||
|
Сабақтың тақырыбы: |
Жай бөлшектерді және аралас сандарды көбейту. Өзара кері сандар |
|||||||||||||||||||||||||||||||||||||||||||||||||||||||
|
Оқу бағдарламасына сәйкес оқыту мақсаттары |
5.1.2.21 жай бөлшектерді, аралас сандарды көбейтуді орындау; |
|||||||||||||||||||||||||||||||||||||||||||||||||||||||
|
Сабақтың мақсаттары: |
- жай бөлшектерді, аралас сандарды көбейту ережесін біледі, көбейтеді. - жай бөлшектерді, аралас сандарды көбейту ережесін қолданып есептерді орындайды. - Күнделікті өмірмен байланысты мәтін есептерді шығарады. |
|||||||||||||||||||||||||||||||||||||||||||||||||||||||
|
Сабақ барысы: |
||||||||||||||||||||||||||||||||||||||||||||||||||||||||
|
Ұжымдық жұмыс Жаңа тақырыптың түсіндірілуі Сабақ мақсаты мен бағалау критерийлерін таныстыру; Бейнероликті қолдана отырып, бекіту тапсырмаларын орындату |
Бірлескен жұмыс (1,2 тапсырма) Тапсырманы ұсыну және дұрыс жауапты ұсыну арқылы үйрету Бекітуге арналғантапсырмаларды орындату; Тапсырмалардың жауаптарын жазу. |
Жеке жұмыс Тапсырманы ұсыну, оқушылар өз бетімен орындауы |
||||||||||||||||||||||||||||||||||||||||||||||||||||||
|
Уақыты |
Кезең дері |
Педагогтің әрекеті |
Оқушының әрекеті |
Бағалау |
Ресурстар |
|||||||||||||||||||||||||||||||||||||||||||||||||||
|
2 минут |
Ұйымдастыру |
Сәлеметсіздерме! Бүгін, Жай бөлшектерді және аралас сандарды көбейту. Өзара кері сандар тақырыбын қарастырамыз Бүгінгі сабақта меңгеретініңіз: - жай бөлшектерді, аралас сандарды көбейту ережесін білу - жай бөлшектерді, аралас сандарды көбейту ережесін қолданып есептерді орындау |
Сәлемдесу; Үй тапсырмасын көрсету; Сабақ мақсатын тыңдау, танысу Сұрақтарға жауап береді |
Оқушылардың белсенділігіне қарай мұғалім ауызша мақтау сөздермен бағалауы |
Тақта, слайд, оқу құралдары; 5 сыныпқа арналған оқулық |
|||||||||||||||||||||||||||||||||||||||||||||||||||
|
8 мин |
Жаңа сабақты бекіту |
Сөзжұмбақ шешу:
Көлденеңінен: 1.қосудың нәтижесі 2.екі таңбалы сан Тігінен: 1.бір таңбалы сан 2.81-81 3.белгісіз сан әріппен белгіленген теңдік Сұрақ-жауап. 1. Жай бөлшекті қалай көбейтеміз ? 2. Жай бөлшекті натурал санға қалай көбейтеміз? 3. Аралас сандарды қалай көбейтеміз? |
Сөзжұмбақ шешеді. Сұрақтарға жауап береді Ереже айтады. |
|
Слайд Интернет ресурс тары |
|||||||||||||||||||||||||||||||||||||||||||||||||||
|
17 мин |
Тапсырмалар. |
Жеке жұмыс. 1. 2. 3. 4.
Оқулықпен жұмыс. №581 №583 |
Жай бөлшектерді натурал санға, жай бөлшектерді жай бөлшекке көбейту ережесін қолданып есептейді.
Жекелеген оқушыларға тапсырмалар беріледі.
Оқулықтан берілген есептерді шығарады. |
Дескриптор: - жай бөлшектерді, аралас сандарды көбейту ережесін біледі, көбейтеді. - жай бөлшектерді, аралас сандарды көбейту ережесін қолданып есептерді орындайды.
Дескриптор: -Тақырыпқа қатысты мәтін есептерді шығарады
|
Презента ция Интернет ресурстары Жалпы білім беретін мектептің 5–сыныбына арналған оқулық. Оқулық авторлары: Т.А.Алдамұратова, Қ.С.Байшоланова, Е.С.Байшоланов Алматы «Атамұра» баспасы 2017 жыл |
|||||||||||||||||||||||||||||||||||||||||||||||||||
|
15 мин |
Жеке жұмыс |
Қосымша тапсырмалар орындау |
Тапсырманы орындайды |
Мониторинг |
|
|||||||||||||||||||||||||||||||||||||||||||||||||||
|
3 минут |
|
Бүгінгі сабақта: - жай бөлшектерді, аралас сандарды көбейту ережесін біледі. - жай бөлшектерді, аралас сандарды көбейту ережесін қолданып есептерді орындайды.
|
Тақырыпты меңгергенін анықтау |
Кері байланыс
|
Презентация |
|||||||||||||||||||||||||||||||||||||||||||||||||||
Сабақ жоспары
Бекітемін:
|
Педагогтің Тегі, Аты, Әкесінің аты (бар болса) |
|
|||||||
|
Пән/Сынып: |
5 сынып; Қатысқандар саны: Қатыспағандар саны: |
|||||||
|
Күні: |
|
|||||||
|
Бөлім: |
5.2А Жай бөлшектерге амалдар қолдану |
|||||||
|
Сабақтың тақырыбы: |
Жай бөлшектерді және аралас сандарды көбейту. Өзара кері сандар |
|||||||
|
Оқу бағдарламасына сәйкес оқыту мақсаттары |
5.1.2.21 жай бөлшектерді, аралас сандарды көбейтуді орындау; |
|||||||
|
Сабақтың мақсаттары: |
- жай бөлшектерді, аралас сандарды көбейту ережесін біледі, көбейтеді. - жай бөлшектерді, аралас сандарды көбейту ережесін қолданып есептерді орындайды. - Күнделікті өмірмен байланысты мәтін есептерді шығарады. |
|||||||
|
Сабақ барысы: |
||||||||
|
Ұжымдық жұмыс Жаңа тақырыптың түсіндірілуі Сабақ мақсаты мен бағалау критерийлерін таныстыру; Бейнероликті қолдана отырып, бекіту тапсырмаларын орындату |
Бірлескен жұмыс (1,2 тапсырма) Тапсырманы ұсыну және дұрыс жауапты ұсыну арқылы үйрету Бекітуге арналғантапсырмаларды орындату; Тапсырмалардың жауаптарын жазу. |
Жеке жұмыс Тапсырманы ұсыну, оқушылар өз бетімен орындауы |
||||||
|
Уақыты |
Кезең дері |
Педагогтің әрекеті |
Оқушының әрекеті |
Бағалау |
Ресурстар |
|||
|
2 минут |
Ұйымдастыру |
Сәлеметсіздерме! Бүгін, Жай бөлшектерді және аралас сандарды көбейту. Өзара кері сандар тақырыбын қарастырамыз Бүгінгі сабақта меңгеретініңіз: - жай бөлшектерді, аралас сандарды көбейту ережесін білу - жай бөлшектерді, аралас сандарды көбейту ережесін қолданып есептерді орындау Үй тапсырмасын тексеру. №582, №584. |
Сәлемдесу; Үй тапсырмасын көрсету; Сабақ мақсатын тыңдау, танысу Сұрақтарға жауап береді |
Оқушылардың белсенділігіне қарай мұғалім ауызша мақтау сөздермен бағалауы |
. Тақта, слайд, оқу құралдары; 5 сыныпқа арналған оқулық |
|||
|
8 мин |
Жаңа сабақты бекіту |
Графикалық диктант
|
Сұрақтарға жауап береді Ереже айтады. |
|
Слайд Интернет ресурс тары |
|||
|
17 мин |
Тапсырмалар. |
№1.
a) 1 кг кәмпиттің бағасы 350
тг. b)1
№2. а) Жердің жасанды
серігі b) Квадраттың
қабырғасы №3.
а). Тігінші бірнеше көйлектің
әрқайсысына
Жеке жұмыс. Жай бөлшектерді көбейтуді орындаңдар:
Оқулықпен жұмыс. №585
Қалыптастырушы бағалау. Оқыту мақсаты: Жай бөлшектерді және аралас сандарға көбейтуге қатысты есептер шығарады; Мәселе есептер шығарады;
А.
Б) 2.Катердің меншікті
ж |
Жай бөлшектерді натурал санға, жай бөлшектерді жай бөлшекке көбейту ережесін қолданып есептейді.
Жекелеген оқушыларға тапсырмалар беріледі.
Оқулықтан берілген есептерді шығарады.
Шешуі:
|
Дескриптор: - жай бөлшектерді, аралас сандарды көбейту ережесін біледі, көбейтеді. -Тақырыпқа қатысты мәтін есептерді шығарады
Дескриптор: - жай бөлшектерді, аралас сандарды көбейту ережесін қолданып есептерді орындайды. Дескриптор: -Бөлшектерді дұрыс көбейте алады ; -Натурал санды бөлшекке көбейте алады; -Аралас сандарды көбейте алады |
Презента ция Интернет ресурстары Жалпы білім беретін мектептің 5–сыныбына арналған оқулық. Оқулық авторлары: Т.А.Алдамұратова, Қ.С.Байшоланова, Е.С.Байшоланов Алматы «Атамұра» баспасы 2017 жыл |
|||
|
10 мин |
Жеке жұмыс |
Қосымша тапсырмалар орындау |
Тапсырманы орындайды |
Мониторинг |
|
|||
|
3 минут |
|
Бүгінгі сабақта: - жай бөлшектерді, аралас сандарды көбейту ережесін біледі. - жай бөлшектерді, аралас сандарды көбейту ережесін қолданып есептерді орындайды.
|
Тақырыпты меңгергенін анықтау |
Кері байланыс
|
Презентация |
|||
Сабақ жоспары
Бекітемін:
|
Педагогтің Тегі, Аты, Әкесінің аты (бар болса) |
|
|||||
|
Пән/Сынып: |
5 сынып; Қатысқандар саны: Қатыспағандар саны: |
|||||
|
Күні: |
|
|||||
|
Бөлім: |
5.2А Жай бөлшектерге амалдар қолдану |
|||||
|
Сабақтың тақырыбы: |
Жай бөлшектерді және аралас сандарды көбейту. Өзара кері сандар |
|||||
|
Оқу бағдарламасына сәйкес оқыту мақсаттары |
5.1.2.21 жай бөлшектерді, аралас сандарды көбейтуді орындау; |
|||||
|
Сабақтың мақсаттары: |
- жай бөлшектерді, аралас сандарды көбейту ережесін біледі, көбейтеді. - жай бөлшектерді, аралас сандарды көбейту ережесін қолданып есептерді орындайды. - Күнделікті өмірмен байланысты мәтін есептерді шығарады. |
|||||
|
Сабақ барысы: |
||||||
|
Уақыты |
Кезең дері |
Педагогтің әрекеті |
Оқушының әрекеті |
Бағалау |
Ресурстар |
|
|
5 минут |
Ұйымдастыру |
Сәлеметсіздерме! Бүгін, Жай бөлшектерді және аралас сандарды көбейту. Өзара кері сандар тақырыбын қарастырамыз Бүгінгі сабақта меңгеретініңіз: - жай бөлшектерді, аралас сандарды көбейту ережесін білу - жай бөлшектерді, аралас сандарды көбейту ережесін қолданып есептерді орындау Үй тапсырмасын тексеру. №587, №588. Математикалық логикалық есептер беру арқылы «Миға шабуыл»
|
Сабақ мақсатымен танысады. Үй жұмысын айтады. Логикалық тапсырмаларды орындайды. |
Оқушылардың белсенділігіне қарай мұғалім ауызша мақтау сөздермен бағалауы
|
Тақта, слайд, оқу құралдары; 5 сыныпқа арналған оқулық |
|
|
5 мин |
Жаңа сабақты бекіту |
|
Сұрақтарға жауап береді Ереже айтады. |
|
Слайд Интернет ресурстары |
|
|
17 мин |
Тапсырмалар. |
Оқулықпен жұмыс. №589, №595 /1,3,5,7/
|
Жай бөлшектерді натурал санға, жай бөлшектерді жай бөлшекке көбейту ережесін қолданып есептейді.
Жекелеген оқушыларға тапсырмалар беріледі.
Оқулықтан берілген есептерді шығарады. |
Дескриптор: - жай бөлшектерді, аралас сандарды көбейту ережесін біледі, көбейтеді. -Тақырыпқа қатысты мәтін есептерді шығарады
Дескриптор: - жай бөлшектерді, аралас сандарды көбейту ережесін қолданып есептерді орындайды. -Дәреже ережесін қолданады. |
Презента ция Интернет ресурстары Жалпы білім беретін мектептің 5–сыныбына арналған оқулық. Оқулық авторлары: Т.А.Алдамұратова, Қ.С.Байшоланова, Е.С.Байшоланов Алматы «Атамұра» баспасы 2017 жыл |
|
|
10 мин |
Жеке жұмыс |
Қосымша тапсырмалар орындау |
Тапсырманы орындайды |
Мониторинг |
|
|
|
3 минут |
|
Бүгінгі сабақта: - жай бөлшектерді, аралас сандарды көбейту ережесін біледі. - жай бөлшектерді, аралас
сандарды көбейту ережесін қолданып есептерді
орындайды.
Үйге тапсырма. №595 /2,4,6,8/ |
Тақырыпты меңгергенін анықтау |
Кері байланыс |
Презентация |
|
Сабақ жоспары
Бекітемін:
|
Педагогтің Тегі, Аты, Әкесінің аты (бар болса) |
|
||||||||
|
Пән/Сынып: |
5 сынып; Қатысқандар саны: Қатыспағандар саны: |
||||||||
|
Күні: |
|
||||||||
|
Бөлім: |
5.2А Жай бөлшектерге амалдар қолдану |
||||||||
|
Сабақтың тақырыбы: |
Жай бөлшектерді және аралас сандарды көбейту. Өзара кері сандар |
||||||||
|
Оқу бағдарламасына сәйкес оқыту мақсаттары |
5.1.2.21 жай бөлшектерді, аралас сандарды көбейтуді орындау; |
||||||||
|
Сабақтың мақсаттары: |
- жай бөлшектерді, аралас сандарды көбейту ережесін біледі, көбейтеді. - жай бөлшектерді, аралас сандарды көбейту ережесін қолданып есептерді орындайды. - Күнделікті өмірмен байланысты мәтін есептерді шығарады. |
||||||||
|
Сабақ барысы: |
|||||||||
|
Уақыты |
Кезең дері |
Педагогтің әрекеті |
Оқушының әрекеті |
Бағалау |
Ресурстар |
||||
|
5 минут |
Ұйымдастыру |
Сәлеметсіздерме! Бүгін, Жай бөлшектерді және аралас сандарды көбейту. Өзара кері сандар тақырыбын қарастырамыз Бүгінгі сабақта меңгеретініңіз: - жай бөлшектерді, аралас сандарды көбейту ережесін білу - жай бөлшектерді, аралас сандарды көбейту ережесін қолданып есептерді орындау Үй тапсырмасын тексеру. №595 /2,4,6,8/ «Миға шабуыл» Қайталау сұрақтары. 1.Жай бөлшектерді қалай
көбейтеміз? |
Сабақ мақсатымен танысады. Үй жұмысын айтады. Сұрақтарға жауап береді |
Оқушылардың белсенділігіне қарай мұғалім ауызша мақтау сөздермен бағалауы
|
Жалпы білім беретін мектептің 5–сыныбына арналған оқулық. Оқулық авторлары: Т.А.Алдамұратова, Қ.С.Байшоланова, Е.С.Байшоланов Алматы «Атамұра» баспасы 2017 жыл |
||||
|
5 мин |
Жаңа сабақты бекіту |
|
Ереже айтады. |
|
Слайд Интернет ресурстары |
||||
|
17 мин |
Тапсырмалар. |
Көбейтудің үлестірімділік қасиетін пайдаланып, есептеңдер.
3. Оқулықпен жұмыс. №597, №598.
4. Жеке жұмыс (тапсырмаларды орындап болған оқушыларға беріледі)
|
Бөлшектерді натурал санға, жай бөлшектерді жай бөлшекке көбейту ережесін қолданып есептейді.
Оқулықтан берілген есептерді шығарады.
Жекелеген оқушыларға тапсырмалар беріледі.
|
Дескриптор: - жай бөлшектерді, аралас сандарды көбейту ережесін біледі, көбейтеді. -Көбейтудің үлестірімділік қасиетін пайдаланып, -Тақырыпқа қатысты мәтін есептерді шығарады
Дескриптор: - жай бөлшектерді, аралас сандарды көбейту ережесін қолданып есептерді орындайды.
|
Презента ция Интернет ресурстары Жалпы білім беретін мектептің 5–сыныбына арналған оқулық. Оқулық авторлары: Т.А.Алдамұратова, Қ.С.Байшоланова, Е.С.Байшоланов Алматы «Атамұра» баспасы 2017 жыл |
||||
|
10 мин |
Жеке жұмыс |
Қосымша тапсырмалар орындау |
Тапсырманы орындайды |
Мониторинг |
|
||||
|
3 минут |
|
Бүгінгі сабақта: - жай бөлшектерді, аралас сандарды көбейту ережесін біледі. - жай бөлшектерді, аралас сандарды көбейту ережесін қолданып есептерді орындайды.
Үйге тапсырма. №599. |
Тақырыпты меңгергенін анықтау |
Кері байланыс |
Презентация |
||||
Сабақ жоспары
Бекітемін:
|
Педагогтің Тегі, Аты, Әкесінің аты (бар болса) |
|
|||||||||||||||||
|
Пән/Сынып: |
5 сынып; Қатысқандар саны: Қатыспағандар саны: |
|||||||||||||||||
|
Күні: |
|
|||||||||||||||||
|
Бөлім: |
5.2А Жай бөлшектерге амалдар қолдану |
|||||||||||||||||
|
Сабақтың тақырыбы: |
Жай бөлшектерді және аралас сандарды көбейту. Өзара кері сандар |
|||||||||||||||||
|
Оқу бағдарламасына сәйкес оқыту мақсаттары |
5.1.1.12 өзара кері сандар анықтамасын білу; |
|||||||||||||||||
|
Сабақтың мақсаттары: |
-Өзара кері сандар анықтамасын біліп, шығара алады; -Көбейтіндісі 1-ге тең болатын екі санды таба алады; |
|||||||||||||||||
|
Сабақ барысы: |
||||||||||||||||||
|
Уақыты |
Кезең дері |
Педагогтің әрекеті |
Оқушының әрекеті |
Бағалау |
Ресурстар |
|||||||||||||
|
5 минут |
Ұйымдастыру |
Сәлеметсіздерме! Бүгін, Жай бөлшектерді және аралас сандарды көбейту. Өзара кері сандар тақырыбын қарастырамыз. Бүгінгі сабақта меңгеретініңіз: -Өзара кері сандар анықтамасын біліп, шығара алады; -Көбейтіндісі 1-ге тең болатын екі санды таба алады. Үй тапсырмасын тексеру. №599. «Миға шабуыл» стратегиясы. Үй тапсырмаларын оқушылар өзара сұрақ қою және тақырыпты мазмұндау 1. Бөлшектер қалай көбейтіледі? 2. Натурал санды бөлшек санға қалай көбейтеміз? 3. Аралас сандарды көбейтуді түсіндіріңдер? 4. Көбейтудің неше қасиеті бар? 5. 7/8 қандай бөлшек? 6. Көбейтудің ауыстырымдылық қасиеті? 7. 1-4/9 қандай бөлшек? 8. Санды 0-ге көбейтуге бола ма? 9. Бөлшектің неше түрі бар? 10. Ең кіші жай бөлшек бола ма? 11. 76 қандай сан? 12. Ең үлкен жай бөлшек нешеге тең? |
Сабақ мақсатымен танысады. Үй жұмысын айтады. Сұрақтарға жауап береді |
Оқушылардың белсенділігіне қарай мұғалім ауызша мақтау сөздермен бағалауы
|
Жалпы білім беретін мектептің 5–сыныбына арналған оқулық. Оқулық авторлары: Т.А.Алдамұратова, Қ.С.Байшоланова, Е.С.Байшоланов Алматы «Атамұра» баспасы 2017 жыл |
|||||||||||||
|
8 мин |
Жаңа сабақты бекіту |
Көбейтіндісі 1-ге тең болатын екі санды өзара кері сандар деп атайды.
Мысал
1:
8
және Жай бөлшекке кері санды табу үшін оның алымы мен бөлімінің орындарын ауыстыру керек. Аралас санға кері санды табу үшін, оны бұрыс бөлшекке айналдырып, сол бұрыс бөлшекке кері санды табу керек.
Мысал
2:
|
Ереже айтады. |
Тақырып бойынша ресурстарды қарап, танысады |
Слайд Интернет ресурстары |
|||||||||||||
|
15 мин |
Тапсырмалар. |
1- тапсырма. Кері сандарды жазыңдар.
2- тапсырма.
3- тапсырма. 7, 1/9, 8/13, 2, 1/5, 10, 5/17, 1/100. 4- тапсырма. Сәйкестендіру тесті.
5. Оқулықпен жұмыс. №6 тапсырма.
4. Жеке жұмыс (тапсырмаларды орындап болған оқушыларға беріледі) 1). 2). 3). |
Бөлшектерге натурал санға кері сандарды табу ережесін қолданып есептейді.
Сәйкестік тестіні орындайды.
Оқулықтан берілген есептерді шығарады.
Жекелеген оқушыларға тапсырмалар беріледі. |
Дескриптор: - Бөлшектерге натурал санға кері сандарды табу ережесін қолданып есептейді. -Тақырыпқа қатысты мәтін есептерді шығарады
Дескриптор: - жай бөлшектерді, аралас сандарды көбейту ережесін қолданып есептерді орындайды. |
Презента ция Интернет ресурстары слайд Жалпы білім беретін мектептің 5–сыныбына арналған оқулық. Оқулық авторлары: Т.А.Алдамұратова, Қ.С.Байшоланова, Е.С.Байшоланов Алматы «Атамұра» баспасы 2017 жыл |
|||||||||||||
|
10 мин |
Жеке жұмыс |
Қосымша тапсырмалар орындау |
Тапсырманы орындайды |
|
|
|||||||||||||
|
2 минут |
|
Бүгінгі сабақта: -Өзара кері сандар анықтамасын біліп, шығара алады; -Көбейтіндісі 1-ге тең болатын екі санды таба алады.
Үйге тапсырма. №603. |
Тақырыпты меңгергенін анықтау |
Кері байланыс |
Презентация |
|||||||||||||
Сабақ жоспары
Бекітемін:
|
Педагогтің Тегі, Аты, Әкесінің аты (бар болса) |
|
||||||||||||||
|
Пән/Сынып: |
5 сынып; Қатысқандар саны: Қатыспағандар саны: |
||||||||||||||
|
Күні: |
|
||||||||||||||
|
Бөлім: |
5.2А Жай бөлшектерге амалдар қолдану |
||||||||||||||
|
Сабақтың тақырыбы: |
Жай бөлшектерді және аралас сандарды көбейту. Өзара кері сандар. ББЖБ. |
||||||||||||||
|
Оқу бағдарламасына сәйкес оқыту мақсаттары |
5.1.1.12 өзара кері сандар анықтамасын білу; |
||||||||||||||
|
Сабақтың мақсаттары: |
-Өзара кері сандар анықтамасын біліп, шығара алады; -Көбейтіндісі 1-ге тең болатын екі санды таба алады; |
||||||||||||||
|
Сабақ барысы: |
|||||||||||||||
|
Уақыты |
Кезең дері |
Педагогтің әрекеті |
Оқушының әрекеті |
Бағалау |
Ресурстар |
||||||||||
|
3 минут |
Ұйымдастыру |
Сәлеметсіздерме! Бүгін, Жай бөлшектерді және аралас сандарды көбейту. Өзара кері сандар тақырыбын қарастырамыз. Бүгінгі сабақта меңгеретініңіз: -Өзара кері сандар анықтамасын біліп, шығара алады; -Көбейтіндісі 1-ге тең болатын екі санды таба алады. Үй тапсырмасын тексеру. №603. «Миға шабуыл» стратегиясы. Үй тапсырмаларын оқушылар өзара сұрақ қою және тақырыпты мазмұндау
3. Аралас сандарды көбейтуді түсіндіріңдер. |
Сабақ мақсатымен танысады. Үй жұмысын айтады. Сұрақтарға жауап береді |
Оқушылардың белсенділігіне қарай мұғалім ауызша мақтау сөздермен бағалауы
|
Тақта, слайд, оқу құралдары; 5 сыныпқа арналған оқулық. Жалпы білім беретін мектептің 5–сыныбына арналған оқулық. Оқулық авторлары: Т.А.Алдамұратова, Қ.С.Байшоланова, Е.С.Байшоланов Алматы «Атамұра» баспасы 2017 жыл |
||||||||||
|
5 мин |
Жаңа сабақты бекіту |
Көбейтіндісі 1-ге тең болатын екі санды өзара кері сандар деп атайды.
|
Ереже айтады. Берілген бөлшектерге кері санды жазады. |
Тақырып бойынша ресурстарды қарап, танысады |
Слайд Интернет ресурстары |
||||||||||
|
10 мин |
Тапсырмалар. |
№2. Есептеңдер:
№3.
Автобустың жылдамдығы 60 км/
сағ. Автобус 5 №4. Көбейтудің қасиеттерін пайдаланып, есептеңдер:
5. Оқулықпен жұмыс. №604.
|
Бөлшектерге натурал санға кері сандарды табу ережесін қолданады.
Оқулықтан берілген есептерді шығарады.
|
Дескриптор: - жай бөлшектерді, аралас сандарды көбейту ережесін қолданып есептерді орындайды. -Тақырыпқа қатысты мәтін есептерді шығарады
|
Презента ция Интернет ресурстары Жалпы білім беретін мектептің 5–сыныбына арналған оқулық. Оқулық авторлары: Т.А.Алдамұратова, Қ.С.Байшоланова, Е.С.Байшоланов Алматы «Атамұра» баспасы 2017 жыл |
||||||||||
|
20 мин |
Жеке жұмыс |
Online-mektep-тен БЖБ орындайды |
Тапсырманы орындайды |
Мониторинг |
https://onlinemektep.net/schedule/14.12.2020/lesson/d1dffb1a-01c8-49e5-863a-1f6ca4e21b4e |
||||||||||
|
2 минут |
|
Бүгінгі сабақта: -Өзара кері сандар анықтамасын біліп, шығара алады; -Көбейтіндісі 1-ге тең болатын екі санды таба алады.
Үйге тапсырма. №605. |
Тақырыпты меңгергенін анықтау |
Кері байланыс |
Тақта, слайд, оқу құралдары; 5 сыныпқа арналған оқулық Презентация |
||||||||||
Сабақ жоспары
Бекітемін:
|
Педагогтің Тегі, Аты, Әкесінің аты (бар болса) |
|
||||||||||||||||||||||||||||||||||||||||||||||||||||||||||||||||||||||
|
Пән/Сынып: |
5 сынып; Қатысқандар саны: Қатыспағандар саны: |
||||||||||||||||||||||||||||||||||||||||||||||||||||||||||||||||||||||
|
Күні: |
|
||||||||||||||||||||||||||||||||||||||||||||||||||||||||||||||||||||||
|
Бөлім: |
5.2А Жай бөлшектерге амалдар қолдану |
||||||||||||||||||||||||||||||||||||||||||||||||||||||||||||||||||||||
|
Сабақтың тақырыбы: |
Жай бөлшектерді және аралас сандарды бөлу |
||||||||||||||||||||||||||||||||||||||||||||||||||||||||||||||||||||||
|
Оқу бағдарламасына сәйкес оқыту мақсаттары |
5.1.2.23 жай бөлшектерді және аралас сандарды бөлуді орындау; |
||||||||||||||||||||||||||||||||||||||||||||||||||||||||||||||||||||||
|
Сабақтың мақсаттары: |
-Жай бөлшектерді бөлу алгоритмін біледі және бөлуді орындайды; -Аралас сандарды бөлу ережесін біледі,есеп шығаруда қолданады.
|
||||||||||||||||||||||||||||||||||||||||||||||||||||||||||||||||||||||
|
Сабақ барысы: |
|||||||||||||||||||||||||||||||||||||||||||||||||||||||||||||||||||||||
|
Уақыты |
Кезең дері |
Педагогтің әрекеті |
Оқушының әрекеті |
Бағалау |
Ресурстар |
||||||||||||||||||||||||||||||||||||||||||||||||||||||||||||||||||
|
5 минут |
Ұйымдастыру |
Сәлеметсіздерме! Бүгін, Жай бөлшектерді және аралас сандарды бөлу тақырыбын қарастырамыз. Бүгінгі сабақта меңгеретініңіз: -Жай бөлшектерді бөлу алгоритмін біледі және бөлуді орындайды; -Аралас сандарды бөлу ережесін біледі,есеп шығаруда қолданады. Үй тапсырмасын тексеру. №599. «Миға шабуыл» стратегиясы. Үй тапсырмаларын оқушылар өзара сұрақ қою және тақырыпты мазмұндау «Еске түсіру»сұрақ-жауап
|
Сабақ мақсатымен танысады. Үй жұмысын айтады. Сұрақтарға жауап береді |
|
Жалпы білім беретін мектептің 5–сыныбына арналған оқулық. Оқулық авторлары: Т.А.Алдамұратова, Қ.С.Байшоланова, Е.С.Байшоланов Алматы «Атамұра» баспасы 2017 жыл |
||||||||||||||||||||||||||||||||||||||||||||||||||||||||||||||||||
|
8 мин |
Жаңа сабақ |
Видеосабақ. https://onlinemektep.net/schedule/20.12.2020/lesson/ff315bb9-00db-4196-824a-6d4e44a586db Жай бөлшекті жай бөлшекке бөлу үшін, бөлінгіш бөлшекті бөлгіш бөлшектің кері санына көбейту керек.
М АРАЛАС САНДЫ АРАЛАС САНҒА БӨЛУ Аралас санды аралас санға бөлу үшін, оларды бұрыс бөлшек түрінде жазып алып, бөлшекті бөлшекке бөлу ережесін қолдану керек
Натурал санды бөлшекке бөлу және бөлшекті натурал санға бөлу Б Мысал
|
Ереже айтады. |
Тақырып бойынша ресурстарды қарап, танысады |
Слайд Интернет ресурстары |
||||||||||||||||||||||||||||||||||||||||||||||||||||||||||||||||||
|
15 мин |
Тапсырмалар. |
1-тапсырма.
1-тапсырма.
1 3-тапсырма.
№607 /1,3,5/, №608 /2,4,6/ 5. Жеке жұмыс (тапсырмаларды орындап болған оқушыларға беріледі)
|
Жай бөлшектерді жай бөлшекке, аралас сандарды бөлу, натурал санды бөлшекке бөлу ережесін қолданып есептейді.
Оқулықтан берілген есептерді шығарады.
Жекелеген оқушыларға тапсырмалар беріледі. |
Дескриптор: - Жай бөлшектерді жай бөлшекке, аралас сандарды бөлу, натурал санды бөлшекке бөлу ережесін қолданып есептейді. -Тақырыпқа қатысты мәтін есептерді шығарады
Дескриптор: - жай бөлшектерді, аралас сандарды бөлу ережесін қолданып есептерді орындайды. |
Презента ция Интернет ресурстары слайд
Жалпы білім беретін мектептің 5–сыныбына арналған оқулық. Оқулық авторлары: Т.А.Алдамұратова, Қ.С.Байшоланова, Е.С.Байшоланов Алматы «Атамұра» баспасы 2017 жыл |
||||||||||||||||||||||||||||||||||||||||||||||||||||||||||||||||||
|
10 мин |
Жеке жұмыс |
Қосымша тапсырма орындау |
Тапсырманы орындайды |
|
|
||||||||||||||||||||||||||||||||||||||||||||||||||||||||||||||||||
|
2 минут |
|
Бүгінгі сабақта: -Жай бөлшектерді бөлу алгоритмін біледі және бөлуді орындады; -Аралас сандарды бөлу ережесін біледі,есеп шығаруда қолданды. Рефлексия. Маған ұнағаны Менің көңіл күйім тамаша Бүгін нені үйрендім? Бүгін алғаным көп, тәжірибемде қолданамын Менде қалған сұрақ? Менің қосарым Үйге тапсырма. №607/2,4,6/, №608 /1,3,5/ |
Тақырыпты меңгергенін анықтау |
Кері байланыс
|
Презентация |
||||||||||||||||||||||||||||||||||||||||||||||||||||||||||||||||||
Сабақ жоспары
Бекітемін:
|
Педагогтің Тегі, Аты, Әкесінің аты (бар болса) |
|
||||||||||||||
|
Пән/Сынып: |
5 сынып; Қатысқандар саны: Қатыспағандар саны: |
||||||||||||||
|
Күні: |
|
||||||||||||||
|
Бөлім: |
5.2А Жай бөлшектерге амалдар қолдану |
||||||||||||||
|
Сабақтың тақырыбы: |
Жай бөлшектерді және аралас сандарды бөлу |
||||||||||||||
|
Оқу бағдарламасына сәйкес оқыту мақсаттары |
5.1.2.23 жай бөлшектерді және аралас сандарды бөлуді орындау; |
||||||||||||||
|
Сабақтың мақсаттары: |
-Жай бөлшектерді бөлу алгоритмін біледі және бөлуді орындайды; -Аралас сандарды бөлу ережесін біледі,есеп шығаруда қолданады.
|
||||||||||||||
|
Сабақ барысы: |
|||||||||||||||
|
Уақыты |
Кезең дері |
Педагогтің әрекеті |
Оқушының әрекеті |
Бағалау |
Ресурстар |
||||||||||
|
5 минут |
Ұйымдастыру |
Сәлеметсіздерме! Бүгін, Жай бөлшектерді және аралас сандарды бөлу тақырыбын қарастырамыз. Бүгінгі сабақта меңгеретініңіз: -Жай бөлшектерді бөлу алгоритмін біледі және бөлуді орындайды; -Аралас сандарды бөлу ережесін біледі,есеп шығаруда қолданады. Үй тапсырмасын тексеру. №№607/2,4,6/, №608 /1,3,5/ «Миға шабуыл» стратегиясы. Үй тапсырмаларын оқушылар өзара сұрақ қою және тақырыпты мазмұндау 1.Бөлшекті бөлшекке көбейтуді қалай орындаймыз? 2. Натурал санды бөлшек санға қалай көбейтеміз? 3. Аралас сандар қалай көбейтіледі? 4. Өзара кері сандар деп қандай сандарды атайды? 5.Бөлшекті бөлшекке бөлуді қалай орындаймыз? 6.Аралас санды аралас санға бөлу қалай орындалады? |
Сабақ мақсатымен танысады. Үй жұмысын айтады. Сұрақтарға жауап береді |
|
Жалпы білім беретін мектептің 5–сыныбына арналған оқулық. Оқулық авторлары: Т.А.Алдамұратова, Қ.С.Байшоланова, Е.С.Байшоланов Алматы «Атамұра» баспасы 2017 жыл |
||||||||||
|
8 мин |
Жаңа сабақ |
Видеосабақ. https://onlinemektep.net/schedule/20.12.2020/lesson/ff315bb9-00db-4196-824a-6d4e44a586db Теориялық білімді практика жүзінде пысықтау. Бөлуді орында (ауызша)
Бөлуді орында:
|
Ереже айтады. |
Тақырып бойынша ресурстарды қарап, танысады |
Слайд Интернет ресурстары |
||||||||||
|
15 мин |
Тапсырмалар. |
І деңгей (5 балл) 1.
2.
3.
ІІ деңгей (6 балл) 1.
2. Квадраттың
қабырғасы 3.
ІІI деңгей (8 балл) Оқулықпен жұмыс.№617 /211 бет/ 1) 4)
№619 /212 бет/ 1) Квадраттың
периметрі
2)Кубтың барлық қырларының қосындысы 69см. Кубтың қыры неше сантиметр?
3.Егер 3 тышқан 3 жаңғақты 3 минутта жессе, 100 тышқан
3.Жеке жұмыс (тапсырмаларды орындап болған оқушыларға беріледі)
1).Көбейтудің қасиеттерін пайдаланып теңдеу шешу
|
Жай бөлшектерді жай бөлшекке, аралас сандарды бөлу, натурал санды бөлшекке бөлу ережесін қолданып есептейді.
Оқулықтан берілген есептерді шығарады. 1) 2 2)
4) 5/21
Жекелеген оқушыларға тапсырмалар беріледі. |
Дескриптор: - Жай бөлшектерді жай бөлшекке, аралас сандарды бөлу, натурал санды бөлшекке бөлу ережесін қолданып есептейді. -Тақырыпқа қатысты мәтін есептерді шығарады
Дескриптор: - жай бөлшектерді, аралас сандарды бөлу ережесін қолданып есептерді орындайды. |
Презента ция Интернет ресурстары слайд
Жалпы білім беретін мектептің 5–сыныбына арналған оқулық. Оқулық авторлары: Т.А.Алдамұратова, Қ.С.Байшоланова, Е.С.Байшоланов Алматы «Атамұра» баспасы 2017 жыл |
||||||||||
|
10 мин |
Жеке жұмыс |
Қосымша тапсырма орындау |
Тапсырманы орындайды |
|
|
||||||||||
|
2 минут |
|
Бүгінгі сабақта: -Жай бөлшектерді бөлу алгоритмін біледі және бөлуді орындады; -Аралас сандарды бөлу ережесін біледі,есеп шығаруда қолданды. Екі жақты күнделік
Сабақты қортындылау мақсатында оқушылармен кері байланыс орнатады.Оқушылар сабақ барысында нені білгенін, қалай жұмыс істегенін ,не қызықты әрі жеңіл болғанын, не киындық туғызғаны туралы ой-пікірлерін білдіре алады. Үйге тапсырма. №610 /1,2,3/, №612. |
Тақырыпты меңгергенін анықтау |
Кері байланыс
|
Презентация |
||||||||||
Сабақ жоспары
Бекітемін:
|
Педагогтің Тегі, Аты, Әкесінің аты (бар болса) |
|
|||||||||||||
|
Пән/Сынып: |
5 сынып; Қатысқандар саны: Қатыспағандар саны: |
|||||||||||||
|
Күні: |
|
|||||||||||||
|
Бөлім: |
5.2А Жай бөлшектерге амалдар қолдану |
|||||||||||||
|
Сабақтың тақырыбы: |
Жай бөлшектерді және аралас сандарды бөлу |
|||||||||||||
|
Оқу бағдарламасына сәйкес оқыту мақсаттары |
5.1.2.23 жай бөлшектерді және аралас сандарды бөлуді орындау; |
|||||||||||||
|
Сабақтың мақсаттары: |
-Жай бөлшектерді бөлу алгоритмін біледі және бөлуді орындайды; -Аралас сандарды бөлу ережесін біледі,есеп шығаруда қолданады.
|
|||||||||||||
|
Сабақ барысы: |
||||||||||||||
|
Уақыты |
Кезең дері |
Педагогтің әрекеті |
Оқушының әрекеті |
Бағалау |
Ресурстар |
|||||||||
|
5 минут |
Ұйымдастыру |
Сәлеметсіздерме! Бүгін, Жай бөлшектерді және аралас сандарды бөлу тақырыбын қарастырамыз. Бүгінгі сабақта меңгеретініңіз: -Жай бөлшектерді бөлу алгоритмін біледі және бөлуді орындайды; -Аралас сандарды бөлу ережесін біледі,есеп шығаруда қолданады. Үй тапсырмасын тексеру. №610 /1,2,3/, №612. «Миға шабуыл» стратегиясы. Үй тапсырмаларын оқушылар өзара сұрақ қою және тақырыпты мазмұндау 1) Қандай санды бөлшек сан деп атаймыз? 2)Бөлшек неше түрге бөлінеді? 3)Бөлімдері бірдей бөлшектерді қалай қосамыз?Бөлімдері әр түрлі болса ше? 4)Бөлімдері бірдей бөлшектерді қалай азайтамыз?Бөлімдері әр түрлі болса ше? 5)Бөлшектерді қалай көбейтеміз? 6)Бөлшектерді қалай бөлеміз? 7)Аралас сандарды қалай косып азайтамыз? 8) Бөлшек сан не үшін керек болады? |
Сабақ мақсатымен танысады. Үй жұмысын айтады. Сұрақтарға жауап береді |
|
. Жалпы білім беретін мектептің 5–сыныбына арналған оқулық. Оқулық авторлары: Т.А.Алдамұратова, Қ.С.Байшоланова, Е.С.Байшоланов Алматы «Атамұра» баспасы 2017 жыл |
|||||||||
|
8 мин |
Жаңа сабақ |
1.Бөлу амалы көбейту амалына
кері амал. Мысылы: 2.Дұрыс бөлшекті аралас санға бөлгенде 1-ші бөлшек өзі жазылады да,2-ші аралас санды дұрыс бөлшекке айналдырып аламыз да, бөлшекті бөлшекке бөлу ережесін қолданамыз. 3.Бөлінгіш сан болғанда натурал санды бөлімі 1 болатын бөлшек түрінде жазып аламыз да, бөлшекті бөлу ережесін қолданамыз. 4. Натурал санды аралас санға бөлу үшін натурал санды бөлімі 1 болатын бөлшек түрінде жазамызда,ал аралас санды бұрыс бөлшекке келтіріп, бөлшекті бөлшекке бөлу ережесін қолданамыз. |
Ережеге мысалдар келтіріп, шығарады. 1).
х= 2).Мысылы: 3).Мысалы: 2: 4).Мысалы: |
Тақырып бойынша ресурстарды қарап, танысады |
Слайд Интернет ресурстары |
|||||||||
|
15 мин |
Тапсырмалар. |
№1. 1. 2. 3. №2. 1. 2. 3. №3. 1. 2. 3. №4. Сәйкестендір» кестесі:
№5. Оқулықтан №616, №621. Жеке жұмыс.
№1 карточка жауаптары
|
Жай бөлшектерді жай бөлшекке, аралас сандарды бөлу, натурал санды бөлшекке бөлу ережесін қолданып есептейді.
Жай бөлшектерді, аралас сандарды бөлу ережесін қолданып есептерді орындайды.
Оқулықтан берілген есептерді шығарады.
Жекелеген оқушыларға тапсырмалар беріледі. |
Дескриптор: - Жай бөлшектерді жай бөлшекке, аралас сандарды бөлу, натурал санды бөлшекке бөлу ережесін қолданып есептейді. -Тақырыпқа қатысты мәтін есептерді шығарады
Дескриптор: -Жай бөлшектерге амалдар қолдану ережелерін біледі. |
Презента ция Интернет ресурстары слайд
Жалпы білім беретін мектептің 5–сыныбына арналған оқулық. Оқулық авторлары: Т.А.Алдамұратова, Қ.С.Байшоланова, Е.С.Байшоланов Алматы «Атамұра» баспасы 2017 жыл |
|||||||||
|
10 мин |
Жеке жұмыс |
Қосымша тапсырма орындау |
Тапсырманы орындайды |
Мониторинг |
|
|||||||||
|
2 минут |
|
Бүгінгі сабақта: -Жай бөлшектерді бөлу алгоритмін біледі және бөлуді орындады; -Аралас сандарды бөлу ережесін біледі,есеп шығаруда қолданды. Кері байланыс.
Үйге тапсырма. №618. |
Тақырыпты меңгергенін анықтау |
Кері байланыс
|
Презентация |
|||||||||
Сабақ жоспары
Бекітемін:
|
Педагогтің Тегі, Аты, Әкесінің аты (бар болса) |
|
|||||||||||||||||||||
|
Пән/Сынып: |
5 сынып; Қатысқандар саны: Қатыспағандар саны: |
|||||||||||||||||||||
|
Күні: |
|
|||||||||||||||||||||
|
Бөлім: |
5.2А Жай бөлшектерге амалдар қолдану |
|||||||||||||||||||||
|
Сабақтың тақырыбы: |
Жай бөлшектерді және аралас сандарды бөлу |
|||||||||||||||||||||
|
Оқу бағдарламасына сәйкес оқыту мақсаттары |
5.1.2.23 жай бөлшектерді және аралас сандарды бөлуді орындау; |
|||||||||||||||||||||
|
Сабақтың мақсаттары: |
-Жай бөлшектерді бөлу алгоритмін біледі және бөлуді орындайды; -Аралас сандарды бөлу ережесін біледі,есеп шығаруда қолданады.
|
|||||||||||||||||||||
|
Сабақ барысы: |
||||||||||||||||||||||
|
Уақыты |
Кезең дері |
Педагогтің әрекеті |
Оқушының әрекеті |
Бағалау |
Ресурстар |
|||||||||||||||||
|
5 минут |
Ұйымдастыру |
Сәлеметсіздерме! Бүгін, Жай бөлшектерді және аралас сандарды бөлу тақырыбын қарастырамыз. Бүгінгі сабақта меңгеретініңіз: -Жай бөлшектерді бөлу алгоритмін біледі және бөлуді орындайды; -Аралас сандарды бөлу ережесін біледі,есеп шығаруда қолданады. Үй тапсырмасын тексеру. №625. «Миға шабуыл» стратегиясы. Үй тапсырмаларын оқушылар өзара сұрақ қою және тақырыпты мазмұндау 1) Қандай санды бөлшек сан деп атаймыз? 2)Бөлшек неше түрге бөлінеді? 3)Бөлімдері бірдей бөлшектерді қалай қосамыз?Бөлімдері әр түрлі болса ше? 4)Бөлімдері бірдей бөлшектерді қалай азайтамыз?Бөлімдері әр түрлі болса ше? 5)Бөлшектерді қалай көбейтеміз? 6)Бөлшектерді қалай бөлеміз? 7)Аралас сандарды қалай косып азайтамыз? 8) Бөлшек сан не үшін керек болады? |
Сабақ мақсатымен танысады. Үй жұмысын айтады. Сұрақтарға жауап береді |
|
Жалпы білім беретін мектептің 5–сыныбына арналған оқулық. Оқулық авторлары: Т.А.Алдамұратова, Қ.С.Байшоланова, Е.С.Байшоланов Алматы «Атамұра» баспасы 2017 жыл |
|||||||||||||||||
|
8 мин |
Жаңа сабақты бекіту. |
1.Жай бөлшекті жай бөлшекке бөлгенде,1-ші бөлшек өзі жазылып,2-ші бөлшек кері санга айналып көбейтіледі. Мысалы: 2.Аралас санды аралас санға бөлгенде ең бңрінші аралас санды бұрыс бөлшекке айналдырып аламыз да, бөлшекті бөлшекке бөлу амалын қолданамыз. Мысалы: 3.Аралас санды натурал
санға бөлгенде,ең бірінші аралас санды бұрыс бөлшекке
айналдырамызда,ал натурал санды бөлімі 1 болатын бөлшек түрінде
жазамызда,бөлшекке бөлу ережесін қолданамыз.
Мысалы: |
Қайталау тапсырмаларын орындайды. |
Тақырып бойынша ресурстарды қарап, танысады |
Слайд Интернет ресурстары |
|||||||||||||||||
|
15 мин |
Тапсырмалар. |
№
1.
1.
2.
№
2.
1.
2.
№
3.
1.
2.
№
4.
1.
2.
№
5.
1.
2.
№
6.
1.
2.
№
7.
1.
2.
№
8.
1.
№5. Оқулықтан №620, №623.
Жеке жұмыс.
|
1.
2.
3.
4.
5.
6.
7.
Жай бөлшектерді жай бөлшекке, аралас сандарды бөлу, натурал санды бөлшекке бөлу ережесін қолданып есептейді. Оқулықтан берілген есептерді шығарады. Жай бөлшектерге амалдар қолдану ережелерін біледі Жекелеген оқушыларға тапсырмалар беріледі. Дәреже ережесін қолданады. |
Дескриптор: - Жай бөлшектерді жай бөлшекке, аралас сандарды бөлу, натурал санды бөлшекке бөлу ережесін қолданып есептейді. -Тақырыпқа қатысты мәтін есептерді шығарады
Дескриптор: -Жай бөлшектерге амалдар қолдану ережелерін біледі. |
Презента ция Интернет ресурстары слайд
Жалпы білім беретін мектептің 5–сыныбына арналған оқулық. Оқулық авторлары: Т.А.Алдамұратова, Қ.С.Байшоланова, Е.С.Байшоланов Алматы «Атамұра» баспасы 2017 жыл |
|||||||||||||||||
|
10 мин |
Жеке жұмыс |
Қосымша тапсырма орындау |
Тапсырманы орындайды |
Мониторинг |
|
|||||||||||||||||
|
2 минут |
|
Бүгінгі
сабақта: -Жай бөлшектерді бөлу
алгоритмін біледі және бөлуді орындады;
-Аралас сандарды бөлу
ережесін біледі,есеп шығаруда қолданды. .
|
Тақырыпты меңгергенін анықтау |
Кері байланыс
|
Презентация |
|||||||||||||||||
Сабақ жоспары
Бекітемін:
|
Педагогтің Тегі, Аты, Әкесінің аты (бар болса) |
|
|||||||||||||||||||||||||||||||||||||||||||||||||||||||||||||
|
Пән/Сынып: |
5 сынып; Қатысқандар саны: Қатыспағандар саны: |
|||||||||||||||||||||||||||||||||||||||||||||||||||||||||||||
|
Күні: |
|
|||||||||||||||||||||||||||||||||||||||||||||||||||||||||||||
|
Бөлім: |
5.2А Жай бөлшектерге амалдар қолдану |
|||||||||||||||||||||||||||||||||||||||||||||||||||||||||||||
|
Сабақтың тақырыбы: |
Жай бөлшектерді және аралас сандарды бөлу |
|||||||||||||||||||||||||||||||||||||||||||||||||||||||||||||
|
Оқу бағдарламасына сәйкес оқыту мақсаттары |
5.1.2.23 жай бөлшектерді және аралас сандарды бөлуді орындау; |
|||||||||||||||||||||||||||||||||||||||||||||||||||||||||||||
|
Сабақтың мақсаттары: |
-Жай бөлшектерді бөлу алгоритмін біледі және бөлуді орындайды; -Аралас сандарды бөлу ережесін біледі,есеп шығаруда қолданады.
|
|||||||||||||||||||||||||||||||||||||||||||||||||||||||||||||
|
Сабақ барысы: |
||||||||||||||||||||||||||||||||||||||||||||||||||||||||||||||
|
Уақыты |
Кезең дері |
Педагогтің әрекеті |
Оқушының әрекеті |
Бағалау |
Ресурстар |
|||||||||||||||||||||||||||||||||||||||||||||||||||||||||
|
5 минут |
Ұйымдастыру |
Сәлеметсіздерме! Бүгін, Жай бөлшектерді және аралас сандарды бөлу тақырыбын қарастырамыз. Бүгінгі сабақта меңгеретініңіз: -Жай бөлшектерді бөлу алгоритмін біледі және бөлуді орындайды; -Аралас сандарды бөлу ережесін біледі,есеп шығаруда қолданады. Үй тапсырмасын тексеру. №628. Қайталау сұрақтары. 1. Бөлімдері бірдей жай бөлшектерді қалай қосамыз (азайтамыз)? 2. Бөлімдері әртүрлі жай бөлшектерді қалай қосамыз (азайтамыз)? 3. Жай бөлшекті қысқарту дегеніміз не? 4. Екі бөлшекті қалай көбейтеміз? 5. Жай бөлшектерді қалай ортақ бөлімге келтіреміз? 6. Жай бөлшекке кері санды қалай табамыз? 7. Аралас санға кері санды қалай табамыз? |
Сабақ мақсатымен танысады. Үй жұмысын айтады. Сұрақтарға жауап береді |
|
Жалпы білім беретін мектептің 5–сыныбына арналған оқулық. Оқулық авторлары: Т.А.Алдамұратова, Қ.С.Байшоланова, Е.С.Байшоланов Алматы «Атамұра» баспасы 2017 жыл |
|||||||||||||||||||||||||||||||||||||||||||||||||||||||||
|
8 мин |
Жаңа сабақты бекіту. |
Жай бөлшекті жай бөлшекке бөлу үшін, бөлінгіш бөлшекті бөлгіш бөлшекке кері санға көбейту керек.
Ал енді натурал санды бөлшекке бөлу, бөлшекті натурал санға бөлуді қалай орындаймыз?
Аралас сандарды қалай бөлеміз? |
Жай бөлшектерді, аралас сандарды бөлу ережесін еске түсіріп, мысалдар келтіреді. |
Тақырып бойынша ресурстарды қарап, танысады |
Слайд Интернет ресурстары |
|||||||||||||||||||||||||||||||||||||||||||||||||||||||||
|
15 мин |
Тапсырмалар. |
№1
№2
№3
(4балл)
№4.
Есеп: Жаяу адам
Шешуі: х – жаяу адамның жылдамдығы
Нұсқауды пайдаланып, есепті өз беттеріңмен шығарады
№5.Оқулықтан №629, №630.
Жеке жұмыс.
№6.Семантикалық қарта (тапсырманы орындап, жасырылған сөзді табу)
|
Жай бөлшектерді жай бөлшекке, аралас сандарды бөлу, натурал санды бөлшекке бөлу ережесін қолданып есептейді.
Тақырыпқа қатысты мәтін есептерді шығарады
Оқулықтан берілген есептерді шығарады. Жекелеген оқушыларға тапсырмалар беріледі.
Жай бөлшектерге амалдар қолдану ережелерін біледі
|
Дескриптор: - Жай бөлшектерді жай бөлшекке, аралас сандарды бөлу, натурал санды бөлшекке бөлу ережесін қолданып есептейді. Дескриптор: -Берілген қашықтықты белгісізі бар теңдік түрінде жазады
-Теңдіктің
екі жағын да -х-тің мәнін жазады -Бөлшекті бөлшекке бөлу ережесін тұжырымдайды
Дескриптор: -Жай бөлшектерге амалдар қолдану ережелерін біледі.
|
Презента ция Интернет ресурстары слайд
Жалпы білім беретін мектептің 5–сыныбына арналған оқулық. Оқулық авторлары: Т.А.Алдамұратова, Қ.С.Байшоланова, Е.С.Байшоланов Алматы «Атамұра» баспасы 2017 жыл |
|||||||||||||||||||||||||||||||||||||||||||||||||||||||||
|
10 мин |
Жеке жұмыс |
Қосымша тапсырма орындау |
Тапсырманы орындайды |
|
|
|||||||||||||||||||||||||||||||||||||||||||||||||||||||||
|
2 минут |
|
Бүгінгі сабақта: -Жай бөлшектерді бөлу алгоритмін біледі және бөлуді орындады; -Аралас сандарды бөлу ережесін біледі,есеп шығаруда қолданды.
Үйге тапсырма. №633. |
Тақырыпты меңгергенін анықтау |
Кері байланыс
|
Презентация |
|||||||||||||||||||||||||||||||||||||||||||||||||||||||||
Сабақ жоспары
Бекітемін:
|
Педагогтің Тегі, Аты, Әкесінің аты (бар болса) |
|
|||||||||||||||||||||||||||||||
|
Пән/Сынып: |
5 сынып; Қатысқандар саны: Қатыспағандар саны: |
|||||||||||||||||||||||||||||||
|
Күні: |
|
|||||||||||||||||||||||||||||||
|
Бөлім: |
5.2А Жай бөлшектерге амалдар қолдану |
|||||||||||||||||||||||||||||||
|
Сабақтың тақырыбы: |
Жай бөлшектерді және аралас сандарды бөлу |
|||||||||||||||||||||||||||||||
|
Оқу бағдарламасына сәйкес оқыту мақсаттары |
5.1.2.23 жай бөлшектерді және аралас сандарды бөлуді орындау; |
|||||||||||||||||||||||||||||||
|
Сабақтың мақсаттары: |
-Жай бөлшектерді бөлу алгоритмін біледі және бөлуді орындайды; -Аралас сандарды бөлу ережесін біледі,есеп шығаруда қолданады.
|
|||||||||||||||||||||||||||||||
|
Сабақ барысы: |
||||||||||||||||||||||||||||||||
|
Уақыты |
Кезең дері |
Педагогтің әрекеті |
Оқушының әрекеті |
Бағалау |
Ресурстар |
|||||||||||||||||||||||||||
|
5 минут |
Ұйым дастыру |
Сәлеметсіздерме! Бүгін, Жай бөлшектерді және аралас сандарды бөлу тақырыбын қарастырамыз. Бүгінгі сабақта меңгеретініңіз: -Жай бөлшектерді бөлу алгоритмін біледі және бөлуді орындайды; -Аралас сандарды бөлу ережесін біледі,есеп шығаруда қолданады. Үй тапсырмасын тексеру. №633. Қайталау сұрақтары. 1. Бөлімдері бірдей жай бөлшектерді қалай қосамыз (азайтамыз)? 2. Бөлімдері әртүрлі жай бөлшектерді қалай қосамыз (азайтамыз)? 3. Жай бөлшекті қысқарту дегеніміз не? 4. Екі бөлшекті қалай көбейтеміз? 5. Жай бөлшектерді қалай ортақ бөлімге келтіреміз? 6. Жай бөлшекке кері санды қалай табамыз? 7. Аралас санға кері санды қалай табамыз? |
Сабақ мақсатымен танысады. Үй жұмысын айтады. Сұрақтарға жауап береді |
|
Жалпы білім беретін мектептің 5–сыныбына арналған оқулық. Оқулық авторлары: Т.А.Алдамұратова, Қ.С.Байшоланова, Е.С.Байшоланов Алматы «Атамұра» баспасы 2017 жыл |
|||||||||||||||||||||||||||
|
8 мин |
Жаңа сабақ ты бекіту. |
Жай бөлшектерді бөлуді есіңе сақта!
|
Видеотүсіндіру қарайды. Жай бөлшектерді, аралас сандарды бөлу ережесін еске түсіріп, мысалдар келтіреді. |
Тақырып бойынша ресурстарды қарап, танысады |
Слайд Интернет ресурстары |
|||||||||||||||||||||||||||
|
15 мин |
Тапсырмалар. |
№1.Берілген сандардың кері сандарын табыңдар:
№2.Есептеңдер:
№3. Есептеңдер:
№4.
Шолпан
х
алма,
Айман 1 №5. «Математикалық дамино»
№6.Оқулықтан № 635 Жеке жұмыс. «Сәйкестердіріңіз»
|
Жай бөлшектерді жай бөлшекке, аралас сандарды бөлу, натурал санды бөлшекке бөлу ережесін қолданып есептейді.
Тақырыпқа қатысты мәтін есептерді шығарады
Жай бөлшектерге амалдар қолдану ережелерін біледі
Оқулықтан берілген есептерді шығарады.
Жекелеген оқушыларға тапсырмалар беріледі.
|
Дескриптор: - Берілген сандарға кері сандарды табады. Дескриптор: - Жай бөлшектерді жай бөлшекке, аралас сандарды бөлу ережелерін біледі.
Дескриптор:
-Жай бөлшектерге амалдар қолдану ережелерін біледі.
|
Презентация Интернет ресурстары слайд Жалпы білім беретін мектептің 5–сыныбына арналған оқулық. Оқулық авторлары: Т.А.Алдамұратова, Қ.С.Байшоланова, Е.С.Байшоланов Алматы «Атамұра» баспасы 2017 жыл |
|||||||||||||||||||||||||||
|
10 мин |
Жеке жұмыс |
Қосымша тапсырма орындау |
Тапсырманы орындайды |
Мониторинг |
|
|||||||||||||||||||||||||||
|
2 минут |
Соңы |
Бүгінгі сабақта: -Жай бөлшектерді бөлу алгоритмін біледі және бөлуді орындады; -Аралас сандарды бөлу ережесін біледі,есеп шығаруда қолданды.
Үйге тапсырма. №637 |
Тақырыпты меңгергенін анықтау |
Кері байланыс
|
Презентация |
|||||||||||||||||||||||||||
Сабақ жоспары
Бекітемін:
|
Педагогтің Тегі, Аты, Әкесінің аты (бар болса) |
|
|||||||||||||||||||||||||||||||
|
Пән/Сынып: |
5 сынып; Қатысқандар саны: Қатыспағандар саны: |
|||||||||||||||||||||||||||||||
|
Күні: |
|
|||||||||||||||||||||||||||||||
|
Бөлім: |
5.2А Жай бөлшектерге амалдар қолдану |
|||||||||||||||||||||||||||||||
|
Сабақтың тақырыбы: |
Жай бөлшектерді және аралас сандарды бөлу |
|||||||||||||||||||||||||||||||
|
Оқу бағдарламасына сәйкес оқыту мақсаттары |
5.1.2.23 жай бөлшектерді және аралас сандарды бөлуді орындау; |
|||||||||||||||||||||||||||||||
|
Сабақтың мақсаттары: |
-Жай бөлшектерді бөлу алгоритмін біледі және бөлуді орындайды; -Аралас сандарды бөлу ережесін біледі,есеп шығаруда қолданады.
|
|||||||||||||||||||||||||||||||
|
Сабақ барысы: |
||||||||||||||||||||||||||||||||
|
Уақыты |
Кезең дері |
Педагогтің әрекеті |
Оқушының әрекеті |
Бағалау |
Ресурстар |
|||||||||||||||||||||||||||
|
5 минут |
Ұйым дастыру |
Сәлеметсіздерме! Бүгін, Жай бөлшектерді және аралас сандарды бөлу тақырыбын қарастырамыз. Бүгінгі сабақта меңгеретініңіз: -Жай бөлшектерді бөлу алгоритмін біледі және бөлуді орындайды; -Аралас сандарды бөлу ережесін біледі,есеп шығаруда қолданады. Үй тапсырмасын тексеру. №633. Қайталау сұрақтары. 1. Бөлімдері бірдей жай бөлшектерді қалай қосамыз (азайтамыз)? 2. Бөлімдері әртүрлі жай бөлшектерді қалай қосамыз (азайтамыз)? 3. Жай бөлшекті қысқарту дегеніміз не? 4. Екі бөлшекті қалай көбейтеміз? 5. Жай бөлшектерді қалай ортақ бөлімге келтіреміз? 6. Жай бөлшекке кері санды қалай табамыз? 7. Аралас санға кері санды қалай табамыз? |
Сабақ мақсатымен танысады. Үй жұмысын айтады. Сұрақтарға жауап береді |
|
Жалпы білім беретін мектептің 5–сыныбына арналған оқулық. Оқулық авторлары: Т.А.Алдамұратова, Қ.С.Байшоланова, Е.С.Байшоланов Алматы «Атамұра» баспасы 2017 жыл |
|||||||||||||||||||||||||||
|
8 мин |
Жаңа сабақ ты бекіту. |
Жай бөлшектерді бөлуді есіңе сақта!
|
Видеотүсіндіру қарайды. Жай бөлшектерді, аралас сандарды бөлу ережесін еске түсіріп, мысалдар келтіреді. |
Тақырып бойынша ресурстарды қарап, танысады |
Слайд Интернет ресурстары |
|||||||||||||||||||||||||||
|
15 мин |
Тапсырмалар. |
№1.Берілген сандардың кері сандарын табыңдар:
№2.Есептеңдер:
№3. Есептеңдер:
№4.
Шолпан
х
алма,
Айман 1 №5. «Математикалық дамино»
№6.Оқулықтан № 635 Жеке жұмыс. «Сәйкестердіріңіз»
|
Жай бөлшектерді жай бөлшекке, аралас сандарды бөлу, натурал санды бөлшекке бөлу ережесін қолданып есептейді.
Тақырыпқа қатысты мәтін есептерді шығарады
Жай бөлшектерге амалдар қолдану ережелерін біледі
Оқулықтан берілген есептерді шығарады.
Жекелеген оқушыларға тапсырмалар беріледі.
|
Дескриптор: - Берілген сандарға кері сандарды табады. Дескриптор: - Жай бөлшектерді жай бөлшекке, аралас сандарды бөлу ережелерін біледі.
Дескриптор:
-Жай бөлшектерге амалдар қолдану ережелерін біледі.
|
Презентация Интернет ресурстары слайд Жалпы білім беретін мектептің 5–сыныбына арналған оқулық. Оқулық авторлары: Т.А.Алдамұратова, Қ.С.Байшоланова, Е.С.Байшоланов Алматы «Атамұра» баспасы 2017 жыл |
|||||||||||||||||||||||||||
|
10 мин |
Жеке жұмыс |
Қосымша тапсырма орындау |
Тапсырманы орындайды |
Мониторинг |
|
|||||||||||||||||||||||||||
|
2 минут |
Соңы |
Бүгінгі сабақта: -Жай бөлшектерді бөлу алгоритмін біледі және бөлуді орындады; -Аралас сандарды бөлу ережесін біледі,есеп шығаруда қолданды.
Үйге тапсырма. №637 |
Тақырыпты меңгергенін анықтау |
Кері байланыс
|
Презентация |
|||||||||||||||||||||||||||
Сабақ жоспары
Бекітемін:
|
Педагогтің Тегі, Аты, Әкесінің аты (бар болса) |
|
|||||
|
Пән/Сынып: |
5 сынып; Қатысқандар саны: Қатыспағандар саны: |
|||||
|
Күні: |
|
|||||
|
Бөлім: |
5.2А Жай бөлшектерге амалдар қолдану |
|||||
|
Сабақтың тақырыбы: |
Жай бөлшектерді және аралас сандарды бөлу |
|||||
|
Оқу бағдарламасына сәйкес оқыту мақсаттары |
5.1.2.23 жай бөлшектерді және аралас сандарды бөлуді орындау; |
|||||
|
Сабақтың мақсаттары: |
-Жай бөлшектерді бөлу алгоритмін біледі және бөлуді орындайды; -Аралас сандарды бөлу ережесін біледі,есеп шығаруда қолданады.
|
|||||
|
Сабақ барысы: |
||||||
|
Уақыты |
Кезең дері |
Педагогтің әрекеті |
Оқушының әрекеті |
Бағалау |
Ресурстар |
|
|
5 минут |
Ұйым дастыру |
Сәлеметсіздерме! Бүгін, Жай бөлшектерді және аралас сандарды бөлу тақырыбын қарастырамыз. Бүгінгі сабақта меңгеретініңіз: -Жай бөлшектерді бөлу алгоритмін біледі және бөлуді орындайды; -Аралас сандарды бөлу ережесін біледі,есеп шығаруда қолданады. Үй тапсырмасын тексеру. №637. Мына кестедегі
әріптерден көлденеңінен математикалық терминдер құрастыру керек.
Тапсырма тез құру әрекетімен есептеледі. Олай болса, тез
орындайық: |
Сабақ мақсатымен танысады. Үй жұмысын айтады. Сұрақтарға жауап береді |
|
Жалпы білім беретін мектептің 5–сыныбына арналған оқулық. Оқулық авторлары: Т.А.Алдамұратова, Қ.С.Байшоланова, Е.С.Байшоланов Алматы «Атамұра» баспасы 2017 жыл |
|
|
8 мин |
Жаңа сабақ ты бекіту. |
Аралас санды жай бөлшекке бөлуді есіңе сақта!
Аралас санды жай бөлшекке бөлу үшін аралас санды бұрыс бөлшек түрінде жазып, бөлшектерді бөлу ережесін қолдану керек. Аралас санды аралас санға бөлуді есіңе сақта!
Аралас санды аралас санға бөлу үшін оларды бұрыс бөлшек түрінде жазып, бөлшектерді бөлу ережесін қолдану керек. |
Видеотүсіндіру қарайды. Жай бөлшектерді, аралас сандарды бөлу ережесін еске түсіріп, мысалдар келтіреді. |
Тақырып бойынша ресурстарды қарап, танысады |
Слайд Интернет ресурстары |
|
|
15 мин |
Тапсырмалар. |
№1.
№2. Теңдеуді шешіңдер: 1).
2). 3).
№3. 2. Тест
тапсырмалары. 2. Теңдеуді
шеш: у + 33/4 = 57/8. 3.Оқулықтан № 640
4. Жеке жұмыс. 1)
|
Жай бөлшектерді жай бөлшекке, аралас сандарды бөлу, натурал санды бөлшекке бөлу ережесін қолданып есептейді. Тақырыпқа қатысты мәтін есептерді шығарады
Жай бөлшектерге амалдар қолдану ережелерін біледі
Оқулықтан берілген есептерді шығарады.
Жекелеген оқушыларға тапсырмалар беріледі. |
Дескриптор: - Берілген сандарға кері сандарды табады. Дескриптор: - Жай бөлшектерді жай бөлшекке, аралас сандарды бөлу ережелерін біледі.
Дескриптор:
-Жай бөлшектерге амалдар қолдану ережелерін біледі.
|
Презентация Интернет ресурстары слайд Жалпы білім беретін мектептің 5–сыныбына арналған оқулық. Оқулық авторлары: Т.А.Алдамұратова, Қ.С.Байшоланова, Е.С.Байшоланов Алматы «Атамұра» баспасы 2017 жыл |
|
|
10 мин |
Жеке жұмыс |
Қосымша тапсырма орындау |
Тапсырманы орындайды |
Мониторинг |
|
|
|
2 минут |
Соңы |
Бүгінгі сабақта: -Жай бөлшектерді бөлу алгоритмін біледі және бөлуді орындады; -Аралас сандарды бөлу ережесін біледі,есеп шығаруда қолданды.
Үйге тапсырма. Қайталау. |
Тақырыпты меңгергенін анықтау |
Кері байланыс
|
Презентация |
|
жүктеу мүмкіндігіне ие боласыз
Бұл материал сайт қолданушысы жариялаған. Материалдың ішінде жазылған барлық ақпаратқа жауапкершілікті жариялаған қолданушы жауап береді. Ұстаз тілегі тек ақпаратты таратуға қолдау көрсетеді. Егер материал сіздің авторлық құқығыңызды бұзған болса немесе басқа да себептермен сайттан өшіру керек деп ойласаңыз осында жазыңыз
МАТЕМАТИКА 5-сынып 2 тоқсан ҚМЖ
МАТЕМАТИКА 5-сынып 2 тоқсан ҚМЖ
Сабақ жоспары №1
Бекітемін:
|
Бөлім: |
5.2А Жай бөлшектерге амалдар қолдану |
||||||
|
Педагогтің Тегі, Аты, Әкесінің аты (бар болса) |
|
||||||
|
Пән/Сынып: |
5 сынып; Қатысқандар саны: Қатыспағандар саны: |
||||||
|
Күні: |
|
||||||
|
Сабақтың тақырыбы: |
Жай бөлшектерді ортақ бөлімге келтіру. Жай бөлшектерді және аралас сандарды салыстыру. |
||||||
|
Оқу бағдарламасына сәйкес оқыту мақсаттары |
5.1.2.16 жай бөлшектерді ортақ бөлімге келтіру; жай бөлшектерді, аралас сандарды салыстыру; |
||||||
|
Сабақтың мақсаттары: |
-Жай бөлшектерді ортақ бөлімге келтіре алу. Оларды есеп шығару барысында қолдана алу; -Жай бөлшектермен аралас сандарды салытыра алу. |
||||||
|
Құндылықтарды дарыту |
«Жалпыға бірдей еңбек қоғамы» құндылығына: Топпен, жұппен жұмыс орындау барысында құрмет, серіктестік және жеке жұмыс орындау кезінде жауапкершілік, үздіксіз оқу құндылықтарын дарыту. |
|
|||||
|
|
|
||||||
|
Сабақ барысы |
|||||||
|
Уақыты |
Кезең дері |
Педагогтің әрекеті |
Оқушының әрекеті |
Бағалау |
Ресурстар |
||
|
2 минут |
Ұйымдастыру |
Сәлеметсіздерме! Сабақта кім жоқ? Сабақты бастауға дайынбыз ба? Көңіл күйлеріңіз қалай? Сабақ мақсаты: жай бөлшектерді ортақ бөлімге келтіру; жай бөлшектерді, аралас сандарды салыстыру; Бірақ бүгін, «Жай бөлшектерді ортақ бөлімге келтіруді» үйренеміз. Аралас сандарды салыстыруды келесі сабақ қарастырайық |
Сәлемдесу; Сұрақтарға жауап беру; Сабақ мақсатын тыңдау, танысу |
Оқушылардың белсенділігіне қарай мұғалім ауызша мақтау сөздермен бағалауы |
Тақта, слайд, оқу құралдары; 5 сыныпқа арналған оқулық |
||
|
8 мин |
Жаңа сабақ бекіту. |
Миға шабуыл.
Сұрақтар: 2 .Жай бөлшекті қысқарту деген не? 3. Қандай бөлшек қысқартылмайтын бөлшек деп аталады? 4. Дұрыс және бұрыс бөлшектің анықтамасын бер. 5. Қандай санды аралас сан дейді? Оқушы әрекеті: Сұрақтарға жауап береді Жаңа сабақ. Видео сабақ. https://youtu.be/0Wkwrpi6OWo 1-мысал. Бұл бөлшектердің ортақ бөлімі
болатын сан 5 пен 3 сандарына белінуі тиіс, яғни 5 пен 3 сандарының
ортак еселігі болып табылады. 5 пен 3 сандарының ортақ еселіктері
шексіз көп: 15, 30, 45 және т.с.с. Осы мүмкін бөлімдердің ең
кішісін ең кіші ортақ бөлім ретінде аламыз, яғни берілген
бөлшектердің ең кіші ортақ бөлімі олардың бөлімдерінің ең кіші
ортак еселігі болады. Сонымен берілген қысқармайтын
бөлшектердің - ең кіші ортац бөлімі сол бөлшектер бөлімдеріның ең кіші
ортақ еселігі болады. Демек, ЕКОЕ (5,3)=15. Онда Енді бөлшектердің бөлімдері 15
саны болуы үшін берілген бөлшектердің алымын да, бөлімін
де толықтауыш
көбейткіш деп аталатын санға
көбейтеміз.
Қорыта айтқанда, бөлшектерді ең кіші ортақ бөлімге келтіру үшін: 1) берілген бөлшектер бөлімдеріның ең кіші ортақ еселігін табамыз. Бұл ең кіші opmaқ бөлім болады; 2) бөлшектпердің әрқайсысы үшін толықтауыш көбейткішті табамыз; 3) әрбір бөлшектің алымы мен бөлімін оның толықтауыш көбейткішіне көбейтеміз. Сонда бөлімдері бірдей бөлшектер алынады. Екі белшекті ғана емес, үш, терт және т.с.с. бөлшектерді ең кіші ортақ бөлімге келтіруге болады. 2-м ы с а
л: ЕКОЕ (7, 4, 14)=28, толықтауыш
кебейткіштер: 28:7=4; 28:4=7; 28:14=2,
онда
белімге келтірілді. Егер аралас сандар берілсе, олардың бөлшек бөліктерін ең кіші opтaқ бөлімге келтіреміз. 3-мысал. Сонда
Оқушы әрекеті: Сұрақтарға жауап береді Тақырып бойынша ресурстарды қарап, танысады Оқушылар осы мысал-дарға қарап түсінеді |
Оқушылардың белсенділігіне қарай мұғалім Ауызша мақтау сөздермен бағалауы Оқушылардың белсенділігіне қарай мұғалім Ауызша мақтау сөздермен бағалауы Оқушылардың белсенділігіне қарай мұғалім Ауызша мақтау сөздермен бағалауы |
Тақта, слайд, оқу құралдары; 5 сыныпқа арналған оқулық Тақта, слайд, оқу құралдары; 5 сыныпқа арналған оқулық |
|||
|
|
|
|
Тақтадағы слайдпен берілген тапсырмаларды Мұғаліммен бірге орындайды |
Дескриптор: -бөлімдерінің екеуі де құрама сандар болатын жай бөлшектерді ортақ бөлімге келтіреді; -бөлімдерінің біреуі қалғанына бөлінетін жай бөлшектерді ортақ бөлімге келтіре алады |
Тақта, слайд, оқу құралдары |
||
|
15 мин |
Тапсырмалар. |
Тапсырмалар: I тапсырма Берілген жай бөлшектерді ортақ бөлімге келтіріңіз
1)
2)
3)
4) Карточкамен жұмыс (Бөлшектерді қысқартып, ең кіші ортақ бөлімге келтіру) №1.
№2
|
Тақтадағы слайдпен берілген тапсырмаларды Тақтаға біртіндеп шығып орындайды. Қалған оқушылар дәптерге орындап мұғалімге көрсетіп бағаланады |
Дескриптор: -бөлімдерінің бірі жай сан болатын бөлшектерді ортақ бөлімге келтіреді; -бөлімдерінің екеуі де құрама сандар болатын жай бөлшектерді ортақ бөлімге келтіреді; -бөлімдерінің біреуі қалғанына бөлінетін жай бөлшектерді ортақ бөлімге келтіре алады |
Тақта, слайд, оқу құралдары; 5 сыныпқа арналған оқулық |
||
|
15мин |
Жеке жұмыс |
Оқулықпен жұмыс.
|
Тапсырманы орындайды №382 есеп жауаптары:
|
№383 Дескриптор: -бөлімдерінің бірі жай сан болатын бөлшектерді ортақ бөлімге келтіреді; №382 -бөлімдерінің біреуі қалғанына бөлінетін жай бөлшектерді ортақ бөлімге келтіре алады №384 -бөлімдерінің екеуі де құрама сандар болатын жай бөлшектерді ортақ бөлімге келтіреді; |
Тақта, слайд, оқу құралдары; 5 сыныпқа арналған оқулық |
||
|
5 минут |
|
Қорытынды. Рефлексия - Мен осы сабақта не білдім ...... - Осы сабақта алған білімдерімді қайда қолданамын..... - Сабақтан кейінгі менің көңіл-күйім (смайликпен таңдау)
Мен ешнарсе түсінбедім Мен түсіндім, бірақ әле де маған сабақ ұнады. түсіндім білімімді толықтыру керек Үйге тапсырма. №384; 385 |
Тақырыпты меңгергенін анықтау Сабақтан алған әсерлерімен бөлісу. Кері байланыс беру. |
Оқушылардың сабаққа қатысуына қарай 1-10 балдық шкаламен бағалайды |
Тақта, слайд, оқу құралдары; 5 сыныпқа арналған оқулық |
||
Сабақ жоспары №2
Бекітемін:
|
Бөлім: |
5.2А Жай бөлшектерге амалдар қолдану |
||||||||
|
Педагогтің Тегі, Аты, Әкесінің аты (бар болса) |
|
||||||||
|
Пән/Сынып: |
5 сынып; Қатысқандар саны: Қатыспағандар саны: |
||||||||
|
Күні: |
|
||||||||
|
Сабақтың тақырыбы: |
Жай бөлшектерді ортақ бөлімге келтіру. Жай бөлшектерді және аралас сандарды салыстыру. |
||||||||
|
Оқу бағдарламасына сәйкес оқыту мақсаттары |
5.1.2.16 жай бөлшектерді ортақ бөлімге келтіру; жай бөлшектерді, аралас сандарды салыстыру; |
||||||||
|
Сабақтың мақсаттары: |
-Жай бөлшектерді ортақ бөлімге келтіре алу. Оларды есеп шығару барысында қолдана алу; -Жай бөлшектермен аралас сандарды салытыра алу. |
||||||||
|
Сабақ барысы |
|||||||||
|
Уақыты |
Кезең дері |
Педагогтің әрекеті |
Оқушының әрекеті |
Бағалау |
Ресурстар |
||||
|
2 минут |
Ұйымдастыру |
Сәлеметсіздерме! Сабақта кім жоқ? Сабақты бастауға дайынбыз ба? Көңіл күйлеріңіз қалай? Сабақ мақсаты: жай бөлшектерді ортақ бөлімге келтіру; жай бөлшектерді, аралас сандарды салыстыру; Бірақ бүгін, «Жай бөлшектерді ортақ бөлімге келтіруді» үйренеміз. |
Сәлемдесу; Сұрақтарға жауап беру; Сабақ мақсатын тыңдау, танысу |
Оқушылардың белсенділігіне қарай мұғалім ауызша мақтау сөздермен бағалауы |
Тақта, слайд, оқу құралдары; 5 сыныпқа арналған оқулық |
||||
|
8 мин |
Жаңа сабақ бекіту. |
Миға шабуыл.
Сұрақтар: 2 .Жай бөлшекті қысқарту деген не? 3. Қандай бөлшек қысқартылмайтын бөлшек деп аталады? 4. Дұрыс және бұрыс бөлшектің анықтамасын бер. 5. Қандай санды аралас сан дейді? Оқушы әрекеті: Сұрақтарға жауап береді Бөлшектерді ең кіші ортақ бөлімге келтіру үшін: 1) берілген бөлшектер бөлімдеріның ең кіші ортақ еселігін табамыз. Бұл ең кіші opmaқ бөлім болады; 2) бөлшектпердің әрқайсысы үшін толықтауыш көбейткішті табамыз; 3) әрбір бөлшектің алымы мен бөлімін оның толықтауыш көбейткішіне көбейтеміз. Сонда бөлімдері бірдей бөлшектер алынады. Екі белшекті ғана емес, үш, терт және т.с.с. бөлшектерді ең кіші ортақ бөлімге келтіруге болады. м ы с а л:
Оқушы әрекеті: Сұрақтарға жауап береді Тақырып бойынша ресурстарды қарап, танысады Оқушылар осы мысал-дарға қарап түсінеді |
Оқушылардың белсенділігіне қарай мұғалім Ауызша мақтау сөздермен бағалауы Оқушылардың белсенділігіне қарай мұғалім Ауызша мақтау сөздермен бағалауы |
Тақта, слайд, оқу құралдары; 5 сыныпқа арналған оқулық |
|||||
|
15 мин |
Тапсырмалар. |
Тапсырмалар: I тапсырма Жай бөлшектерді ортақ бөлімге келтіріңіз
1)
2)
3)
4)
|
Тақтадағы слайдпен берілген тапсырмаларды Тақтаға біртіндеп шығып орындайды. Қалған оқушылар дәптерге орындап мұғалімге көрсетіп бағаланады
|
Дескриптор: -бөлімдерінің бірі жай сан болатын бөлшектерді ортақ бөлімге келтіреді; -бөлімдерінің екеуі де құрама сандар болатын жай бөлшектерді ортақ бөлімге келтіреді; -бөлімдерінің біреуі қалғанына бөлінетін жай бөлшектерді ортақ бөлімге келтіре алады |
Тақта, слайд, оқу құралдары; 5 сыныпқа арналған оқулық |
||||
|
15мин |
Жеке жұмыс |
|
Тақтаға біртіндеп шығып орындайды. Қалған оқушылар дәптерге орындап мұғалімге көрсетіп бағаланады |
Дескриптор: -бөлімдерінің бірі жай сан болатын бөлшектерді ортақ бөлімге келтіреді; -бөлімдерінің біреуі қалғанына бөлінетін жай бөлшектерді ортақ бөлімге келтіре алады -бөлімдерінің екеуі де құрама сандар болатын жай бөлшектерді ортақ бөлімге келтіреді; |
|
||||
|
5 минут |
|
Қорытынды. Рефлексия - Мен осы сабақта не білдім ...... - Осы сабақта алған білімдерімді қайда қолданамын..... - Сабақтан кейінгі менің көңіл-күйім (смайликпен таңдау)
Мен ешнарсе түсінбедім Мен түсіндім, бірақ әле де маған сабақ ұнады. түсіндім білімімді толықтыру керек Үйге тапсырма. №384; 385 |
Тақырыпты меңгергенін анықтау Сабақтан алған әсерлерімен бөлісу. Кері байланыс беру. |
Оқушылардың сабаққа қатысуына қарай 1-10 балдық шкаламен бағалайды |
Тақта, слайд, оқу құралдары; 5 сыныпқа арналған оқулық |
||||
Сабақ жоспары №3
Бекітемін:
|
Бөлім: |
5.2А Жай бөлшектерге амалдар қолдану |
||||||||
|
Педагогтің Тегі, Аты, Әкесінің аты (бар болса) |
|
||||||||
|
Пән/Сынып: |
5 сынып; Қатысқандар саны: Қатыспағандар саны: |
||||||||
|
Күні: |
|
||||||||
|
Сабақтың тақырыбы: |
Жай бөлшектерді ортақ бөлімге келтіру. Жай бөлшектерді және аралас сандарды салыстыру. |
||||||||
|
Оқу бағдарламасына сәйкес оқыту мақсаттары |
5.1.2.16 жай бөлшектерді ортақ бөлімге келтіру; жай бөлшектерді, аралас сандарды салыстыру; |
||||||||
|
Сабақтың мақсаттары: |
-Координаталық сәуледе жай бөлшектерді орналастырады -Координаталық сәуледе аралас сандарды орналастырады |
||||||||
|
Сабақ барысы: |
|||||||||
|
Уақыты |
Кезең дері |
Педагогтің әрекеті |
Оқушының әрекеті |
Бағалау |
Ресурстар |
||||
|
2 минут |
Ұйымдастыру |
Сәлеметсіздерме! Бүгін, Жай бөлшектерді ортақ бөлімге келтіру. Жай бөлшектерді және аралас сандарды салыстыру тақырыбын қарастырамыз
|
Сәлемдесу; Үй тапсырмасын көрсету; Сабақ мақсатын тыңдау, танысу |
Оқушылардың белсенділігіне қарай мұғалім ауызша мақтау сөздермен бағалауы |
Тақта, слайд, оқу құралдары; 5 сыныпқа арналған оқулық |
||||
|
8 мин |
Жаңа сабақ бекіту. |
Миға шабуыл. Сұрақтар: 1. Бөлшекті қысқарту дегеніміз? 2. Дұрыс бөлшек деп қандай бөлшектерді айтады? 3. Бұрыс бөлшек деп қандай бөлшектерді айтады? 4. Қандай сан берілген бөлшектерге ортақ бөлім бола алады? 5. Толықтауыш көбейткіш деп қандай санды айтады? 1-тапсырма.Берілген сандардың ішінен дұрыс және бұрыс бөлшектерді ажыратып жазыңдар:
Жаңа сабақтың тақырыбын ашу кезеңі. 2,>,
6, / Әр түрлі бөлшектер арқылы жаңа сабақтың тақырыбын ашу/ 3.Жаңа сабақты бейнетаспа арқылы түсіндіру. Бөлімдері бірдей бөлшектерді салыстыруды қарастырайық: А) Электрондық оқулықты пайдалана отырып, бөлімдері бірдей бөлшектерді салыстыруды тыңдау. (оқушылар тындайды) Енді келесі мысал арқылы ережені қорытып шығарайық: 1-мысал: Мына шеңбер неше бөлікке бөлінген және неше бөлігі боялған? Боялған бөлігін бөлшек түрінде жазыңдар. (интерактивті тақтада көрсетіледі, бір оқушы жауабын жазады)
Ал енді осы жазылған жай бөлшектерге және суретке назар аударайықшы. Қай шеңберде боялған бөлік көп? Сонда қай бөлшек үлкен?
Ендеше қандай қорытындыға келеміз? Анықтама: Бөлімдері бірдей бөлшектердің қайсысының алымы үлкен болса, сол бөлшек үлкен болады мысал. Мына шаршы неше бөлікке бөлінген және неше бөлігі боялған? Боялған бөлігін бөлшек түрінде жазыңдар.
Ал енді осы жазылған жай бөлшектерге және суретке назар аударайықшы.Қай шаршыда боялған бөлік көп? Сонда қай бөлшек үлкен?
Сонымен қорытындылайық: Анықтама: Алымдары бірдей бөлшектердің қайсысының бөлімі кіші болса, сол бөлшек үлкен болады. Енді сіздермен аралас сандарды салыстыруды қарастырайық: (аралас сан аныөтамасын қайталау) 3-мысал: Ал балалар мына фигураларды санмен өрнектеп жазайықшы:
(оқушы тақтаға жазады . Анықтаманы қорытындылап шығарады) Анықтама: Аралас сандарды салыстырғанда бүтін бөліктерін салыстырамыз,бүтін бөлігінің қайсысы үлкен болса, сол бөлшек үлкен болады. Тең бөлшектер координаталық сәуле бойында бір
ғана нүктемен кескінделеді. Оқушылар:Сұрақтарға жауап береді Тақырып бойынша ресурстарды қарап, танысады |
Оқушылар осы мысал-дарға қарап түсінеді.
|
Тақта, слайд, оқу құралдары; 5 сыныпқа арналған оқулық Тақта, слайд, оқу құралдары; 5 сыныпқа арналған оқулық |
|||||
|
20 мин |
Тапсырмалар. |
№1 Тапсырма. Жай бөлшектерді салыстыру дұрыс орындлған ба тексеріңіз А)
№2 тапсырма. Аралас сандарды салыстыр А)
В)1 |
№3 тапсырма Бөлшектерді ортақ бөлімге келтіріп, салыстырыңыз А)
В)
№4 тапсырма
|
№1. №2 Дескриптор: -бөлімдері бірдей бөлшектерді салыстыра алады. -бөлімдері де, алымдары да әртүрлі бөлшектерді салыстыру ережесін қолданады. -аралас сандарды салыстыра алады. -бөлшектерді ортақ бөлімге келтіріп, салыстыра алады.
|
Тақта, слайд, оқу құралдары; 5 сыныпқа арналған оқулық |
||||
|
10мин |
Жеке жұмыс |
Оқулықпен жұмыс
Оқушы әрекеті: Тапсырманы орындайды |
Дескриптор: -Алымдары бірдей бөлшектерді салыстырады -бөлімдері бірдей бөлшектерді салыстырады -аралас сандарды салыстырады; -Бөлімдері әртүрлі бөлшектерді салыстырады Тақтаға шыққан оқушылардың ынтасына қарай 1-10 баллдық шкаламен бағалау |
Тақта, слайд, оқу құралдары; 5 сыныпқа арналған оқулық |
|||||
|
5 минут |
|
Қорытынды. Рефлексия - Мен осы сабақта не білдім ...... - Осы сабақта алған білімдерімді қайда қолданамын..... - Сабақтан кейінгі менің көңіл-күйім (смайликпен таңдау)
Мен ешнарсе түсінбедім Мен түсіндім, бірақ әле де маған сабақ ұнады. түсіндім білімімді толықтыру керек Үйге тапсырма. №384; 385 |
Тақырыпты меңгергенін анықтау Сабақтан алған әсерлерімен бөлісу. Кері байланыс беру. |
Оқушылардың сабаққа қатысуына қарай 1-10 балдық шкаламен бағалайды |
Тақта, слайд, оқу құралдары; 5 сыныпқа арналған оқулық |
||||
Сабақ жоспары №4
Бекітемін:
|
Педагогтің Тегі, Аты, Әкесінің аты (бар болса) |
|
||||||||||||||||||||||||||||||||||||||||||
|
Пән/Сынып: |
5 сынып; Қатысқандар саны: Қатыспағандар саны: |
||||||||||||||||||||||||||||||||||||||||||
|
Күні: |
|
||||||||||||||||||||||||||||||||||||||||||
|
Бөлім: |
5.2А Жай бөлшектерге амалдар қолдану |
||||||||||||||||||||||||||||||||||||||||||
|
Сабақтың тақырыбы: |
Жай бөлшектерді ортақ бөлімге келтіру. Жай бөлшектерді және аралас сандарды салыстыру. |
||||||||||||||||||||||||||||||||||||||||||
|
Оқу бағдарламасына сәйкес оқыту мақсаттары |
5.1.2.16 жай бөлшектерді ортақ бөлімге келтіру; жай бөлшектерді, аралас сандарды салыстыру; |
||||||||||||||||||||||||||||||||||||||||||
|
Сабақтың мақсаттары: |
- Бөлімдері бірдей және бөлімдері әр түрлі бөлшектерді салыстыра біледі -Аралас сандарды салыстыра алады.
|
||||||||||||||||||||||||||||||||||||||||||
|
Сабақ барысы: |
|||||||||||||||||||||||||||||||||||||||||||
|
Уақыты |
Кезең дері |
Педагогтің әрекеті |
Оқушының әрекеті |
Бағалау |
Ресурстар |
||||||||||||||||||||||||||||||||||||||
|
2 минут |
Ұйымдастыру |
Сәлеметсіздерме! Бүгін, Жай бөлшектерді ортақ бөлімге келтіру. Жай бөлшектерді және аралас сандарды салыстыру тақырыбын қарастырамыз Бүгінгі сабақта меңгеретініңіз: - Бөлімдері бірдей және бөлімдері әр түрлі бөлшектерді салыстыра білуге үйрету. -Аралас сандарды салыстыра алу.
|
Сәлемдесу; Үй тапсырмасын көрсету; Сабақ мақсатын тыңдау, танысу |
Оқушылардың белсенділігіне қарай мұғалім ауызша мақтау сөздермен бағалауы |
Тақта, слайд, оқу құралдары; 5 сыныпқа арналған оқулық. |
||||||||||||||||||||||||||||||||||||||
|
8 мин |
Жаңа сабақ бекіту. |
Миға шабуыл. Сұрақтар: 1. Бөлшекті қысқарту дегеніміз? 2. Дұрыс бөлшек деп қандай бөлшектерді айтады? 3. Бұрыс бөлшек деп қандай бөлшектерді айтады? 4. Қандай сан берілген бөлшектерге ортақ бөлім бола алады? 5. Толықтауыш көбейткіш деп қандай санды айтады? Жаңа сабақты бекіту.
|
Сұрақтарға жауап береді Тақырып бойынша ресурстарды қарап, танысады |
Оқушылар осы мысал-дарға қарап түсінеді. |
Тақта, слайд, оқу құралдары; 5 сыныпқа арналған оқулық |
||||||||||||||||||||||||||||||||||||||
|
15 мин |
Тапсырмалар. |
2. Есептер шығару: Оқулықтағы №483, №485, №488 3.Жеке жұмыс.
4.Сәйкестендіру.
|
Оқулықтағы №483, №485, №488 |
№1. №2 Дескриптор: -бөлімдері бірдей бөлшектерді салыстыра алады. -бөлімдері де, алымдары да әртүрлі бөлшектерді салыстыру ережесін қолданады. -аралас сандарды салыстыра алады. -бөлшектерді ортақ бөлімге келтіріп, салыстыра алады.
|
Тақта, слайд, оқу құралдары; 5 сыныпқа арналған оқулық |
||||||||||||||||||||||||||||||||||||||
|
10мин |
Жеке жұмыс |
Оқулықпен жұмыс
|
Тапсырманы орындайды
|
|
|
||||||||||||||||||||||||||||||||||||||
|
5 минут |
|
Қорытынды. Рефлексия - Мен осы сабақта не білдім ...... - Осы сабақта алған білімдерімді қайда қолданамын..... - Сабақтан кейінгі менің көңіл-күйім (смайликпен таңдау) Кмж дайындаған Умбетова Меруерт Мирзамидиновна87784448284 Бүгінгі сабақта: - Бөлімдері бірдей және бөлімдері әр түрлі бөлшектерді салыстыра біледі -Аралас сандарды салыстыра алады. Үйге тапсырма. №487, №492 |
Тақырыпты меңгергенін анықтау |
|
Тақта, слайд, оқу құралдары; 5 сыныпқа арналған оқулық Презентация |
||||||||||||||||||||||||||||||||||||||
Сабақ жоспары №5
|
Бөлім: |
5.2А Жай бөлшектерге амалдар қолдану |
|||||
|
Педагогтің Тегі, Аты, Әкесінің аты (бар болса) |
|
|||||
|
Пән/Сынып: |
5 сынып; Қатысқандар саны: Қатыспағандар саны: |
|||||
|
Күні: |
|
|||||
|
Сабақтың тақырыбы: |
Жай бөлшектерді қосу және азайту |
|||||
|
Оқу бағдарламасына сәйкес оқыту мақсаттары |
5.1.2.17 бөлімдері бірдей бөлшектерді қосу және азайтуды орындау; 5.1.2.18 бөлімдері әртүрлі бөлшектерді қосу және азайтуды орындау; |
|||||
|
Сабақтың мақсаттары: |
1. Бөлімдері бірдей және бөлімдері әр түрлі бөлшектерді қосу және азайтудың ережесін білу; 2.Бөлімдері бірдей және бөлімдері әр түрлі бөлшектерді қосу және азайтуға есептер шығара алу; 3. Жай бөлшектерді қосу және азайту амалын мәтін есептер шығаруда қолдана алу; |
|||||
|
Сабақ барысы: |
||||||
|
Уақыты |
Кезең дері |
Педагогтің әрекеті |
Оқушының әрекеті |
Бағалау |
Ресурстар |
|
|
5 минут |
Ұйымдастыру |
Сәлеметсіздерме! Бүгін, Жай бөлшектерді қосу және азайту тақырыбын қарастырамыз Бүгінгі сабақта меңгеретініңіз: 1. Бөлімдері бірдей және бөлімдері әр түрлі бөлшектерді қосу және азайтудың ережесін білу; 2.Бөлімдері бірдей және бөлімдері әр түрлі бөлшектерді қосу және азайтуға есептер шығара алу; 3. Жай бөлшектерді қосу және азайту амалын мәтін есептер шығаруда қолдана алу; Миға шабуыл. Сұрақтар: 1.Жай бөлшектер. Жай бөлшектің негізгі қасиеті. Бөлшекті қысқарту дегеніміз не? |
Сәлемдесу; Үй тапсырмасын көрсету; Сабақ мақсатын тыңдау, танысу Сұрақтарға жауап береді |
Оқушылардың белсенділігіне қарай мұғалім ауызша мақтау сөздермен бағалауы |
Жалпы білім беретін мектептің 5–сыныбына арналған оқулық. |
|
|
Сабақтың ортасы |
Жаңа тақырыпты түсіндіру 10мин |
Жаңа материалмен танысу
|
Жаңа материалмен танысады Сұрақтар болса мұғалімнен сұрайды Маңызды ережелерді жазып алады Мысал:
|
Дескриптор: 1) Берілген суреттің боялған бөлігін бөлшекқмж-ны құрастырған умбетова меруерт мирзамидиновна түрінде жазады; 2) Бөлшектерді қосу және азайту ережесін пайдаланып, есептейді
|
Жалпы білім беретін мектептің 5–сыныбына арналған оқулық. Оқулық, оқу құрал жабдықтары, тақта, бор Интербелсенді тақта
. |
|
|
|
Бекіту тапсырмалары 25мин |
1-тапсырма. Мысалға қарап орындаңыз
|
2-тапсырма. Қияр мен қызанақтың салмағын тап
|
Дескрптор: -мысалға қарап жай бөлшектерді қосуды орындайды Дескриптор: Қызанақ пен қиярдың салмақтарын қосады; Жай болшектерді қосу амалын қолданады; Жауабын табады |
|
|
|
|
|
Оқулықпен жұмыс
|
Оқушылар кітаптағы есептерді тақтада орындайды ҚБ: «Екі жұлдыз, бір ұсыныс» бойынша мұғалімнің бағалауы
|
Дескрптор: -мысалға қарап жай бөлшектерді қосуды орындайды -бөлімдері бірдей жай бөлшектерді азайтуды орындайды |
Оқулық, оқу құрал жабдықтары, тақта, бор Интербелсенді тақта
. |
|
|
Сабақтың соңы |
5мин |
Саралау: Бұл кезеңде саралаудың «Қорытынды» тәсілі көрінеді. Үйге тапсырма: № |
|
Сонымен қатар 1-10 баллдық жүйе бойынша оқушылардың сабаққа қатысу белсенділігі бойынша бағаланады. |
Жұмыс дәптерлері. Слайд.
Білім поштасы, хаттар |
|
Сабақ жоспары №6
Бекітемін:
|
Бөлім: |
5.2А Жай бөлшектерге амалдар қолдану |
|
||||||||
|
Педагогтің Тегі, Аты, Әкесінің аты (бар болса) |
|
|
||||||||
|
Пән/Сынып: |
5 сынып; Қатысқандар саны: Қатыспағандар саны: |
|
||||||||
|
Күні: |
|
|
||||||||
|
Сабақтың тақырыбы: |
Жай бөлшектерді қосу және азайту |
|
||||||||
|
Оқу бағдарламасына сәйкес оқыту мақсаттары |
5.1.2.17 бөлімдері бірдей бөлшектерді қосу және азайтуды орындау; 5.1.2.18 бөлімдері әртүрлі бөлшектерді қосу және азайтуды орындау; |
|
||||||||
|
Сабақтың мақсаттары: |
1. Бөлімдері бірдей және бөлімдері әр түрлі бөлшектерді қосу және азайтудың ережесін білу; 2.Бөлімдері бірдей және бөлімдері әр түрлі бөлшектерді қосу және азайтуға есептер шығара алу; 3. Жай бөлшектерді қосу және азайту амалын мәтін есептер шығаруда қолдана алу; |
|
||||||||
|
Сабақ барысы: |
|
|||||||||
|
Уақыты |
Кезең дері |
Педагогтің әрекеті |
Оқушының әрекеті |
Бағалау |
Ресурстар |
|
||||
|
5 минут |
Ұйымдастыру |
Сәлеметсіздерме! Бүгін, Жай бөлшектерді қосу және азайту тақырыбын қарастырамыз Бүгінгі сабақта меңгеретініңіз: 1. Бөлімдері бірдей және бөлімдері әр түрлі бөлшектерді қосу және азайтудың ережесін білу; 2.Бөлімдері бірдей және бөлімдері әр түрлі бөлшектерді қосу және азайтуға есептер шығара алу; 3. Жай бөлшектерді қосу және азайту амалын мәтін есептер шығаруда қолдана алу; Миға шабуыл Сұрақтары: 1.Жай бөлшектер. Жай бөлшектің негізгі қасиеті. Бөлшекті қысқарту дегеніміз не? 2. Дұрыс бөлшек деп қандай бөлшектерді айтады? 3. Бұрыс бөлшек деп қандай бөлшектерді айтады? 4. Аралас сандар дегеніміз не? 5. Қандай сан берілген бөлшектерге ортақ бөлім бола алады? |
Сәлемдесу; Үй тапсырмасын көрсету; Сабақ мақсатын тыңдау, танысу Сұрақтарға жауап береді |
Оқушылардың белсенділігіне қарай мұғалім ауызша мақтау сөздермен бағалауы |
Жалпы білім беретін мектептің 5–сыныбына арналған оқулық. Оқулық |
|
||||
|
10мин |
Жаңа сабақ |
Жаңа сабақ. https://youtu.be/qwu5I0vhwIQ видео сабақ
Ереже 1 :
Бөлімдері бірдей бөлшектерді қосу
, олардың алымдарын қосып,
алым етіп, сол бөлімнің өзін қалдыру керек.
|
Тақырып бойынша ресурстарды қарап, танысады Тақырыптың негізгі ережелерін жазып алады
Бөлімдері бірдей бөлшектерді қосу олардың алымдарын қосып алым етіп, сол бөлімнің өзін қалдыру керек. Бөлімдері әртүрлі болшектерді қосу: 1) бөлшектерді ең кіші ортақ бөлімге келтіреді; 2) бөлімдері бірдей бөлшектерді қосады - Бөлімдері әр түрлі бөлшектерді азайту үшін: 1) бөлшектерді ең кіші ортақ бөлімге келтіреді; 2) бөлімдері бірдей бөлшектерді қосады
|
Оқушылар осы мысалдарға қарап түсінеді. |
Оқулық, оқу құрал жабдықтары, тақта, бор Интербелсенді тақта
Презентация |
|
||||
|
15 мин |
Тапсырмалар. |
1. Берілген бөлшектердің қосындысын тауып, оны жаз.
Шешуі:
2. Бөлшектерді қос:
Берілуі: Шешуі:
1-ші қорап
-
2-ші қорап
-
Табу керек:
Жауабы:
3. Бөлшектерді қосуды
орында:
Шешуі:
4. Бөлшектерді қос: |
Тапсырмаларды орындайды. 5. Бөлшектерді қосуды орында:
6. Бөлшектерді қосуды орында: 1) 2) |
Дескриптор: -Бөлімдері бірдей бөлшектерді қосады - Бөлімдері әр түрлі бөлшектерді қосу үшін: Дескриптор: 1) Берілген суреттің боялған бөлігін бөлшек түрінде жазады; 2) Бөлшектерді қосу және азайту ережесін пайдаланып, есептейді
|
Тақта, слайд, оқу құралдары; 5 сыныпқа арналған оқулық Жалпы білім беретін мектептің 5–сыныбына арналған оқулық. Оқулық |
|
||||
|
10мин |
Жеке жұмыс |
Тест Тест тапсырмалары. 1.Қосуды
орында: А)
2.Азайтуды
орында: А) |
Тапсырманы орындайды 3. Теңдеуді шеш: Х+ А)
Тест жауаптары: 1.В 2.С 3.В |
ҚБ: Жұпта өзара бағалау «+», « - », қызықты |
Оқулық, оқу құрал жабдықтары, тақта, бор Интербелсенді тақта
|
|
||||
|
Сабақтың соңы |
5мин |
Саралау: Бұл кезеңде саралаудың «Қорытынды» тәсілі көрінеді. Үйге тапсырма: № |
|
Сонымен қатар 1-10 баллдық жүйе бойынша оқушылардың сабаққа қатысу белсенділігі бойынша бағаланады. |
Жұмыс дәптерлері. Слайд.
Білім поштасы, хаттар |
|||||
Сабақ жоспары №7
|
Бөлім: |
5.2А Жай бөлшектерге амалдар қолдану |
|||||
|
Педагогтің Тегі, Аты, Әкесінің аты (бар болса) |
|
|||||
|
Пән/Сынып: |
5 сынып; Қатысқандар саны: Қатыспағандар саны: |
|||||
|
Күні: |
|
|||||
|
Сабақтың тақырыбы: |
Жай бөлшектерді қосу және азайту |
|||||
|
Оқу бағдарламасына сәйкес оқыту мақсаттары |
5.1.2.17 бөлімдері бірдей бөлшектерді қосу және азайтуды орындау; 5.1.2.18 бөлімдері әртүрлі бөлшектерді қосу және азайтуды орындау; |
|||||
|
Сабақтың мақсаттары: |
1. Бөлімдері бірдей және бөлімдері әр түрлі бөлшектерді қосу және азайтудың ережесін білу; 2.Бөлімдері бірдей және бөлімдері әр түрлі бөлшектерді қосу және азайтуға есептер шығара алу; 3. Жай бөлшектерді қосу және азайту амалын мәтін есептер шығаруда қолдана алу; |
|||||
|
Сабақ барысы: |
||||||
|
Уақыты |
Кезең дері |
Педагогтің әрекеті |
Оқушының әрекеті |
Бағалау |
Ресурстар |
|
|
5 минут |
Ұйымдастыру |
Сәлеметсіздерме! Бүгін, Жай бөлшектерді қосу және азайту тақырыбын қарастырамыз Бүгінгі сабақта меңгеретініңіз: 1. Бөлімдері бірдей және бөлімдері әр түрлі бөлшектерді қосу және азайтудың ережесін білу; 2.Бөлімдері бірдей және бөлімдері әр түрлі бөлшектерді қосу және азайтуға есептер шығара алу; 3. Жай бөлшектерді қосу және азайту амалын мәтін есептер шығаруда қолдана алу; |
Сәлемдесу; Үй тапсырмасын көрсету; Сабақ мақсатын тыңдау, танысу Сұрақтарға жауап береді |
Оқушылардың белсенділігіне қарай мұғалім ауызша мақтау сөздермен бағалауы |
Тақта, слайд, оқу құралдары; 5 сыныпқа арналған оқулық |
|
|
10 мин |
Жаңа сабақ |
Еске түсіру Ереже 1 : Бөлімдері бірдей
бөлшектерді қосу , олардың алымдарын қосып,
алым етіп, сол бөлімнің өзін қалдыру керек.
1-мысал.
=
Ереже 2: Бөлімдері бірдей бөлшектерді азайтқанда азайғыштың алымынан азайтқыштың алымын азайтып, алым етіп жазып, сол бөлімнің өзін қалдыру керек.
Жаңа сабақ. Мұғалімнің видео сабағы көрсетіледі. Ереже 3: Бөлімдері әр түрлі бөлшектерді қосу (азайту) үшін :
1-мысал.
|
Тақырып бойынша ресурстарды қарап, танысады
1-Мысал
Жаңа тақырыпты түсінеді. Ережелерін жазады
|
Оқушылар осы мысалдарға қарап түсінеді. Дескриптор: -Бөлімдері әртүрлі бөлшектерді қосады - Бөлімдері әр түрлі бөлшектерді қосу ережесін түсінеді Дескриптор: 2) Бөлшектерді қосу және азайту ережесін пайдаланып, есептер шығарады |
Тақта, слайд, оқу құралдары; 5 сыныпқа арналған оқулық оқу құрал жабдықтары, тақта, бор Интербелсенді тақта
|
|
|
25 мин |
Бекіту Тапсырмалар. |
А-деңгейі. 1).Бөлімдері бірдей бөлшектерге қосу және азайту амалдарын орындаңыз:
В деңгей 2).Бөлімдері әр түрлі бөлшектерге қосу және азайту амалдарын орындаңыз:
С-деңгейі. Марат екі балық аулады.
Бірінші балықтың массасы Сергіту сәті /слайд/Оқулықтан тапсырмалар:
|
А-деңгейінің тапсырмаларын орындайды.
В деңгей
С деңгейін орындайды
|
А-деңгейі. Дескриптор: -Бөлімдері бірдей бөлшектерді қосу(азайту) , олардың алымдарын қосып(азайтып), алым етіп, сол бөлімнің өзін қалдыру керек. - Бөлімдері әр түрлі бөлшектерді қосу үшін: 1) бөлшектерді ең кіші ортақ бөлімге келтіреді; 2) бөлімдері бірдей бөлшектерді қосады - Бөлімдері әр түрлі бөлшектерді азайту үшін: 1) бөлшектерді ең кіші ортақ бөлімге келтіреді; 2) бөлімдері бірдей бөлшектерді қосадыВ-деңгейі. Дескриптор: 1) Берілген суреттің боялған бөлігін бөлшек түрінде жазады; 2) Бөлшектерді қосу және азайту ережесін пайдаланып, есептейдіДескриптор: -Бөлімдері әр түрлі бөлшектерді қосу және азайту ережесін пайдаланып есептейді; -Жай бөлшектерді қосу және азайту амалын мәтін есептер шығаруда қолдана алады. |
Тақта, слайд, оқу құралдары; 5 сыныпқа арналған оқулық оқу құрал жабдықтары, тақта, бор Интербелсенді тақта
|
|
|
Сабақтың соңы |
5мин |
Саралау: Бұл кезеңде саралаудың «Қорытынды» тәсілі көрінеді. Үйге тапсырма: № |
|
Сонымен қатар 1-10 баллдық жүйе бойынша оқушылардың сабаққа қатысу белсенділігі бойынша бағаланады. |
Жұмыс дәптерлері. Слайд. Білім поштасы, хаттар |
|
Сабақ жоспары №8
Бекітемін:
|
Бөлім: |
5.2А Жай бөлшектерге амалдар қолдану |
|
|||||||||||||||||||||
|
Педагогтің Тегі, Аты, Әкесінің аты (бар болса) |
|
|
|||||||||||||||||||||
|
Пән/Сынып: |
5 сынып; Қатысқандар саны: Қатыспағандар саны: |
|
|||||||||||||||||||||
|
Күні: |
|
|
|||||||||||||||||||||
|
Сабақтың тақырыбы: |
Жай бөлшектерді қосу және азайту |
|
|||||||||||||||||||||
|
Оқу бағдарламасына сәйкес оқыту мақсаттары |
5.1.2.17 бөлімдері бірдей бөлшектерді қосу және азайтуды орындау; 5.1.2.18 бөлімдері әртүрлі бөлшектерді қосу және азайтуды орындау; |
|
|||||||||||||||||||||
|
Сабақтың мақсаттары: |
1. Бөлімдері бірдей және бөлімдері әр түрлі бөлшектерді қосу және азайтудың ережесін білу; 2.Бөлімдері бірдей және бөлімдері әр түрлі бөлшектерді қосу және азайтуға есептер шығара алу; 3. Жай бөлшектерді қосу және азайту амалын мәтін есептер шығаруда қолдана алу; |
|
|||||||||||||||||||||
|
Сабақ барысы: |
|||||||||||||||||||||||
|
Уақыты |
Кезең дері |
Педагогтің әрекеті |
Оқушының әрекеті |
Бағалау |
Ресурстар |
||||||||||||||||||
|
5 минут |
Ұйымдастыру |
Сәлеметсіздерме! Бүгін, Жай бөлшектерді қосу және азайту тақырыбын қарастырамыз Бүгінгі сабақта меңгеретініңіз: 1. Бөлімдері бөлімдері әр түрлі бөлшектерді қосу және азайтудың ережесін білу; 2.Бөлімдері әр түрлі бөлшектерді қосу және азайтуға есептер шығара алу; 3. Жай бөлшектерді қосу және азайту амалын мәтін есептер шығаруда қолдана алу; |
Сәлемдесу; Үй тапсырмасын көрсету; Сабақ мақсатын тыңдау, танысу Сұрақтарға жауап береді |
Оқушылардың белсенділігіне қарай мұғалім ауызша мақтау сөздермен бағалауы |
слайд |
||||||||||||||||||
|
10 мин |
Жаңа сабақ |
Жай бөлшектерді қосуға байланысты мысалдар. 1. «Бөлімдері бірдей жай бөлшектерді қосу» тақырыбы 2 .«Бөлімдері әртүрлі бөлшектерді қосу» 3. «Қосудың қасиеттерін жай бөлшектерде қолдану»
|
Тақырып бойынша ресурстарды қарап, танысады |
Оқушылар осы мысалдарға қарап түсінеді. |
Слайд |
||||||||||||||||||
|
25 мин |
Тапсырмалар. |
№1
№2
3. Өрнектің мәнін тап:
Шешуі: P=2a+2b
P=2∙ 4. Теңдеуді шеш:
Берілуі: басы
(құлағы)-
мойны-
шанағы-
т.к. L-? Барлығы: 1м Жеке жұмыс. №1. Бөлшектерді қосып, нәтижелерін салыстыр. Жұлдызшаның орнына > немесе < белгісін қой:
№2Теңдеуді шеш:
|
№3.
2. Шешуі: P=2a+2b
P=2∙ №4.Шешуі:
Оқулықтан №
|
А-деңгейі. Дескриптор: -Бөлімдері бірдей бөлшектерді қосу(азайту) , олардың алымдарын қосып(азайтып), алым етіп, сол бөлімнің өзін қалдыру керек. - Бөлімдері әр түрлі бөлшектерді қосу үшін: 1) бөлшектерді ең кіші ортақ бөлімге келтіреді; 2) бөлімдері бірдей бөлшектерді қосады - Бөлімдері әр түрлі бөлшектерді азайту үшін: 1) бөлшектерді ең кіші ортақ бөлімге келтіреді; 2) бөлімдері бірдей бөлшектерді қосадыВ-деңгейі. Дескриптор: 1) Берілген суреттің боялған бөлігін бөлшек түрінде жазады; 2) Бөлшектерді қосу және азайту ережесін пайдаланып, есептейді -Жай бөлшектерді қосу және азайту амалын мәтін есептер шығаруда қолдана алады. |
Тақта, слайд, оқу құралдары; 5 сыныпқа арналған оқулық Тақта, слайд, оқу құралдары; 5 сыныпқа арналған оқулық оқу құрал жабдықтары, тақта, бор Интербелсенді тақта
|
||||||||||||||||||
|
5 минут |
|
Қорытынды. Рефлексия Бүгінгі сабақта:
1. Бөлімдері бірдей және бөлімдері әр түрлі бөлшектерді қосу және азайтудың ережесін біледі; 2.Бөлімдері бірдей және бөлімдері әр түрлі бөлшектерді қосу және азайтуға есептер шығара алады; 3. Жай бөлшектерді қосу және азайту амалын мәтін есептер шығаруда қолдана алады. Үйге тапсырма. №510 /2,4,6/ Бағалау
|
Тақырыпты меңгергенін анықтау |
Оқушылардың белсенділігіне қарай мұғалім ауызша мақтау сөздермен бағалауы «Бес саусақ» әдісі |
Презентация |
||||||||||||||||||
Сабақ жоспары №9
|
Бөлім: |
5.2А Жай бөлшектерге амалдар қолдану |
|
|||||||||||||||||||||||||||||||||||||||||
|
Педагогтің Тегі, Аты, Әкесінің аты (бар болса) |
|
|
|||||||||||||||||||||||||||||||||||||||||
|
Пән/Сынып: |
5 сынып; Қатысқандар саны: Қатыспағандар саны: |
|
|||||||||||||||||||||||||||||||||||||||||
|
Күні: |
|
|
|||||||||||||||||||||||||||||||||||||||||
|
Сабақтың тақырыбы: |
Жай бөлшектерді қосу және азайту |
|
|||||||||||||||||||||||||||||||||||||||||
|
Оқу бағдарламасына сәйкес оқыту мақсаттары |
5.1.2.17 бөлімдері бірдей бөлшектерді қосу және азайтуды орындау; 5.1.2.18 бөлімдері әртүрлі бөлшектерді қосу және азайтуды орындау; |
|
|||||||||||||||||||||||||||||||||||||||||
|
Сабақтың мақсаттары: |
1. Бөлімдері бірдей және бөлімдері әр түрлі бөлшектерді қосу және азайтудың ережесін білу; 2.Бөлімдері бірдей және бөлімдері әр түрлі бөлшектерді қосу және азайтуға есептер шығара алу; 3. Жай бөлшектерді қосу және азайту амалын мәтін есептер шығаруда қолдана алу; |
|
|||||||||||||||||||||||||||||||||||||||||
|
Сабақ барысы: |
|||||||||||||||||||||||||||||||||||||||||||
|
Уақыты |
Кезең дері |
Педагогтің әрекеті |
Оқушының әрекеті |
Бағалау |
Ресурстар |
||||||||||||||||||||||||||||||||||||||
|
5 минут |
Ұйымдастыру |
Сәлеметсіздерме! Бүгін, Жай бөлшектерді қосу және азайту тақырыбын қарастырамыз Бүгінгі сабақта меңгеретініңіз: 1. Бөлімдері бірдей және бөлімдері әр түрлі бөлшектерді қосу және азайтудың ережесін білу; 2.Бөлімдері бірдей және бөлімдері әр түрлі бөлшектерді қосу және азайтуға есептер шығара алу; 3. Жай бөлшектерді қосу және азайту амалын мәтін есептер шығаруда қолдана алу; Сұрақтар. -Бұрыс бөлшекті қалай аралас санға айналдырады? -Жай бөлшектердің негізгі қасиеті? -Бөлімдері бірдей бөлшектердің қайсысы үлкен? -Алымдары бірдей бөлшектер қалай салыстырылады? -Аралас сандар қалай салыстырылады? -Бөлімдері бірдей, әртүрлі бөлшектерді қалай қосып, азайтады? 1) |
Сәлемдесу; Үй тапсырмасын көрсету; Сабақ мақсатын тыңдау, танысу Сұрақтарға жауап береді Бөлімдері бірдей бөлшектерді қосу(азайту) , олардың алымдарын қосып(азайтып), алым етіп, сол бөлімнің өзін қалдыру керек. |
Оқушылардың белсенділігі үшін «Жарайсың!», «Керемет!» деген сақтау сөздерімен бағалайды. |
Оқулық, жұмыс дәптері Кітап, дәптер, қалам суреттері бейнеленген қима қағаздар топтамасы ДК экраны |
||||||||||||||||||||||||||||||||||||||
|
10 мин |
Жаңа сабақ |
Ережелері: Сәйкестендіру |
Тақырып бойынша ресурстарды қарап, танысады |
Оқушылар осы мысалдарға қарап түсінеді. |
Оқулық, жұмыс дәптері Кітап, дәптер, қалам суреттері бейнеленген қима қағаздар топтамасы ДК экраны |
||||||||||||||||||||||||||||||||||||||
|
25 мин |
Тапсырмалар. |
№1.
1)
2)
3)
4) Ереже айту. 1)бөлімдері бірдей бөлшектер қалай қосылады? 2)бөлімдері әр түрлі бөлшектер қалай қосылады?мысал келтіріңдер. 3)бөлімдері бірдей бөлшектер қалай азайтылады? 4)натурал саннан бөлшек қалай азайтылады? №2.
Толықтыру №3. Есептеңдер:
Шығармашылық тапсырма: «Кім жылдам?»
оқулықпен
жұмыс.
|
Ереже айтады. Толықтыру тапсырмасында жұлдызшаның орнына қажетті бөлшекті қояды. Оқушылар кестені толтырады. №, №
|
Дескриптор: - Бөлімдері әр түрлі бөлшектерді қосу(азайту) үшін: 1) бөлшектерді ең кіші ортақ бөлімге келтіреді; 2) бөлімдері бірдей бөлшектерді қосады (азайтады)
Дескриптор: -Бөлімдері әртүрлі бөлшектерді қосып, азайту ережесін қолданады.
Дескриптор: -Бөлшектерді қосу және азайту ережесін пайдаланып, есептейді
Дескриптор: - Бөлімдері әртүрлі бөлшектерді қосып, азайту ережесін қолданады.
Дескриптор: -Жай бөлшектерді қосу және азайту амалын мәтін есептер шығаруда қолдана алады.
Дескриптор: - Бөлімдері әр түрлі бөлшектерді қосу(азайту) үшін: 1) бөлшектерді ең кіші ортақ бөлімге келтіреді; 2) бөлімдері бірдей бөлшектерді қосады (азайтады) |
Тақта, слайд, оқу құралдары; 5 сыныпқа арналған оқулық Презентация Оқулық, жұмыс дәптері Кітап, дәптер, қалам суреттері бейнеленген қима қағаздар топтамасы ДК экраны Жалпы білім беретін мектептің 5–сыныбына арналған оқулық. Оқулық Презентация Оқулық, жұмыс дәптері Кітап, дәптер, қалам суреттері бейнеленген қима қағаздар топтамасы ДК экраны |
||||||||||||||||||||||||||||||||||||||
|
Сабақтың соңы |
5мин |
Саралау: Бұл кезеңде саралаудың «Қорытынды» тәсілі көрінеді. Үйге тапсырма: № |
|
Сонымен қатар 1-10 баллдық жүйе бойынша оқушылардың сабаққа қатысу белсенділігі бойынша бағаланады. |
Жұмыс дәптерлері. Слайд. Білім поштасы, хаттар |
||||||||||||||||||||||||||||||||||||||
Сабақ жоспары 10
|
Бөлім: |
5.2А Жай бөлшектерге амалдар қолдану |
||||||
|
Педагогтің Тегі, Аты, Әкесінің аты (бар болса) |
|
||||||
|
Пән/Сынып: |
5 сынып; Қатысқандар саны: Қатыспағандар саны: |
||||||
|
Күні: |
|
||||||
|
Сабақтың тақырыбы: |
Жай бөлшектерді қосу және азайту |
||||||
|
Оқу бағдарламасына сәйкес оқыту мақсаттары |
5.1.2.17 бөлімдері бірдей бөлшектерді қосу және азайтуды орындау; 5.1.2.18 бөлімдері әртүрлі бөлшектерді қосу және азайтуды орындау; |
||||||
|
Сабақтың мақсаттары: |
1. Бөлімдері бірдей және бөлімдері әр түрлі бөлшектерді қосу және азайтудың ережесін білу; 2.Бөлімдері бірдей және бөлімдері әр түрлі бөлшектерді қосу және азайтуға есептер шығара алу; 3. Жай бөлшектерді қосу және азайту амалын мәтін есептер шығаруда қолдана алу; |
||||||
|
Сабақ барысы: |
|
||||||
|
Уақыты |
Кезең дері |
Педагогтің әрекеті |
Оқушының әрекеті |
Бағалау |
Ресурстар |
|
|
|
2 минут |
Ұйымдастыру |
Сәлеметсіздерме! Бүгін, Жай бөлшектерді қосу және азайту тақырыбын қарастырамыз Бүгінгі сабақта меңгеретініңіз: 1. Бөлімдері бірдей және бөлімдері әр түрлі бөлшектерді қосу және азайтудың ережесін білу; 2.Бөлімдері бірдей және бөлімдері әр түрлі бөлшектерді қосу және азайтуға есептер шығара алу; 3. Жай бөлшектерді қосу және азайту амалын мәтін есептер шығаруда қолдана алу; |
Сәлемдесу; Үй тапсырмасын көрсету; Сабақ мақсатын тыңдау, танысу Сұрақтарға жауап береді |
Оқушылардың белсенділігіне қарай мұғалім ауызша мақтау сөздермен бағалауы |
Тақта, слайд, оқу құралдары; 5 сыныпқа арналған оқулық |
|
|
|
8 мин |
Жаңа сабақ |
Өткен материалдар бойынша білімдерін тексеру кезеңі«Кім шапшаң?» ойынын ойнату арқылы оқушылардың білімдерін жан-жақты тексеру. сұрақ-жауаб арқылы өтілген сабақты қайталау (диалог әдісі): -Бұрыс бөлшекті қалай аралас санға айналдырады? -Жай бөлшектердің негізгі қасиеті? -Бөлімдері бірдей бөлшектердің қайсысы үлкен? -Алымдары бірдей бөлшектер қалай салыстырылады? -Аралас сандар қалай салыстырылады? -Натурал сан дегеніміз не? -Натурал саннан жай бөлшек қалай азайтылады |
Тақырып бойынша ресурстарды қарап, танысады |
|
Жалпы білім беретін мектептің 5–сыныбына арналған оқулық. Оқулық авторлары: Т.А.Алдамұратова, Қ.С.Байшоланова, Е.С.Байшоланов Алматы «Атамұра» баспасы 2017 жыл Слайд |
|
|
|
17 мин |
Тапсырмалар. |
Ереже айту. 1)бөлімдері бірдей бөлшектер қалай қосылады? 2)бөлімдері әр түрлі бөлшектер қалай қосылады?мысал келтіріңдер. 3)бөлімдері бірдей бөлшектер қалай азайтылады? 4)натурал саннан бөлшек қалай азайтылады? Жеке жұмыс.
Амалды орында:
Оқулықпен жұмыс. №448, №449, №450 |
Бөлімдері бірдей бөлшектерді қосу(азайту) , олардың алымдарын қосып(азайтып), алым етіп, сол бөлімнің өзін қалдыру керек. Ереже айтады. Толықтыру тапсырмасында жұлдызшаның орнына қажетті бөлшекті қояды. Жекелеген оқушылар тапсырма орындайды |
Дескриптор: -Бөлшектерді салыстыру ережесін қолданады. - Бөлімдері әр түрлі бөлшектерді қосу(азайту) үшін: 1) бөлшектерді ең кіші ортақ бөлімге келтіреді; 2) бөлімдері бірдей бөлшектерді қосады (азайтады) Дескриптор: -Бөлімдері әртүрлі бөлшектерді қосып, азайту ережесін қолданады. дескриптор: -Бөлшектерді қосу және азайту ережесін пайдаланып, есептейді
Дескриптор: -Жай бөлшектерді қосу және азайту амалын мәтін есептер шығаруда қолдана алады. |
Тақта, слайд, оқу құралдары; 5 сыныпқа арналған оқулық Презентация Жалпы білім беретін мектептің 5–сыныбына арналған оқулық. Оқулық авторлары: Т.А.Алдамұратова, Қ.С.Байшоланова, Е.С.Байшоланов Алматы «Атамұра» баспасы 2017 жыл |
|
|
|
15 мин |
Жеке жұмыс |
Қосымша тапсырма орындау
|
Тапсырманы жұптасып орындайды |
ҚБ: Жұпта өзара бағалау «+», « - », қызықты |
Оқулық, жұмыс дәптері Кітап, дәптер, қалам суреттері бейнеленген қима қағаздар топтамасы ДК экраны |
|
|
|
Сабақтың соңы |
3мин |
Үйге тапсырма: № |
|
Сонымен қатар 1-10 баллдық жүйе бойынша оқушылардың сабаққа қатысу белсенділігі бойынша бағаланады. |
Жұмыс дәптерлері. Слайд.
Білім поштасы, хаттар |
|
|
Сабақ жоспары 11
Бекітемін:
|
Педагогтің Тегі, Аты, Әкесінің аты (бар болса) |
|
|||||
|
Пән/Сынып: |
5 сынып; Қатысқандар саны: Қатыспағандар саны: |
|||||
|
Күні: |
|
|||||
|
Бөлім: |
5.2А Жай бөлшектерге амалдар қолдану |
|||||
|
Сабақтың тақырыбы: |
Аралас сандарды қосу және азайту. |
|||||
|
Оқу бағдарламасына сәйкес оқыту мақсаттары |
5.1.2.19 натурал санға жай бөлшекті қосуды орындау; 5.1.2.20 аралас сандарды қосуды орындау |
|||||
|
Сабақтың мақсаттары: |
оқушыларды аралас сандарды қосуға қатысты ережелерін пайдалана отырып, есептер шығаруда алған білімдерін көрсету. |
|||||
|
Сабақ барысы: |
||||||
|
Уақыты |
Кезең дері |
Педагогтің әрекеті |
Оқушының әрекеті |
Бағалау |
Ресурстар |
|
|
2 минут |
Ұйымдастыру |
Сәлеметсіздерме! Бүгін, Аралас сандарды қосу және азайту тақырыбын қарастырамыз Бүгінгі сабақта меңгеретініңіз: 1. Бөлімдері бірдей және бөлімдері әр түрлі аралас сандарды қосудың ережесін білу; 2.Бөлімдері бірдей және бөлімдері әр түрлі аралас сандарды қосуға есептер шығара алу; |
Сәлемдесу; Үй тапсырмасын көрсету; Сабақ мақсатын тыңдау, танысу Сұрақтарға жауап береді |
Оқушылардың белсенділігіне қарай мұғалім ауызша мақтау сөздермен бағалауы |
|
|
|
8 мин |
Жаңа сабақ |
Жаңа сабақ. Видео сабақ. https://youtu.be/SQ4EwyD8RDE Бүтін және бөлшек бөлігі бар сан аралас сан деп аталады. 1-мысал: Натурал сан мен аралас санды қосқанда, натурал сан мен аралас санның бүтін бөлігі қосылып, қосындыға аралас санның бөлшек бөлігі тіркеліп жазылады. Аралас сандарды қосуда, аралас сандардың бүтін бөліктері мен бөлшек бөліктерін қосу үшін қосудың ауыстырымдылық және терімділік қасиеттері пайдаланылады. 2- мысал: Қосылғыштардың бөлшек бөліктерін ең кіші ортақ бөлімге келтіреміз: ЕКОЕ (8, 12)=24;
Аралас сандарды қосу үшін: 1) бөлшек бөліктері ең кіші ортақ бөлімге келтіріледі; 2) бүтін бөліктерін бөлек, бөлшек бөліктерін бөлек қосып, қосындысы аралас сан түрінде жазылады; 3) егер қосындыдағы аралас санның бөлшек бөлігі бұрыс бөлшек болса, оның бүтіні аралас санның бүтін бөлігіне қосылады. мысал: қысқаша:
Дұрыс бөлшек пен аралас санды қосуды қарастырайық. 4-мысал: Дұрыс бөлшек пен аралас санның қосындысы аралас сан болады. Оның бүтін бөлігі берілген аралас санның бүтін бөлігіне тең де, бөлшек бөлігі берілген дұрыс бөлшек пен аралас санның бөлшек бөлігінің қосындысына тең. |
Тақырып бойынша ресурстарды қарап, танысады |
|
Жалпы білім беретін мектептің 5–сыныбына арналған оқулық. Оқулық авторлары: Т.А.Алдамұратова, Қ.С.Байшоланова, Е.С.Байшоланов Алматы «Атамұра» баспасы 2017 жыл Слайд Интернет ресурстары |
|
|
17 мин |
Тапсырмалар. |
№1. Аралас сандарды қос:
№2. Аралас сандарды қос:
№3. Есепте:
Оқулықпен жұмыс. №534, №536 /1,3,5/ |
Бөлімдері бірдей, әртүрлі аралас сандарды қосу(азайту) ережелерін қолданып шығарады. Ереже айтады. Жекелеген оқушылар тапсырма орындайды |
Дескриптор:
Дескриптор: -Бөлімдері әртүрлі бөлшектерді қосып, азайту ережесін қолданады.
|
Жалпы білім беретін мектептің 5–сыныбына арналған оқулық. Оқулық авторлары: Әбілқасымова |
|
|
15 мин |
Жеке жұмыс |
Қосымша тапсырма
орындау |
Тапсырманы орындайды |
Мониторинг |
|
|
|
3 минут |
|
Қорытынды. Рефлексия.
Бүгінгі сабақта: 1. Бөлімдері бірдей және бөлімдері әр түрлі аралас сандарды қосудың ережесін білді; 2.Бөлімдері бірдей және бөлімдері әр түрлі аралас сандарды қосуға есептер шығара алды. Үйге тапсырма. №536 /2,4,6/. Бағалау |
Тақырыпты меңгергенін анықтау |
|
Презентация |
|
Сабақ жоспары 12
Бекітемін:
|
Педагогтің Тегі, Аты, Әкесінің аты (бар болса) |
|
|||||
|
Пән/Сынып: |
5 сынып; Қатысқандар саны: Қатыспағандар саны: |
|||||
|
Күні: |
|
|||||
|
Бөлім: |
5.2А Жай бөлшектерге амалдар қолдану |
|||||
|
Сабақтың тақырыбы: |
Аралас сандарды қосу және азайту. |
|||||
|
Оқу бағдарламасына сәйкес оқыту мақсаттары |
5.1.2.19натурал санға жай бөлшекті қосуды орындау;
|
|||||
|
Сабақтың мақсаттары: |
Натурал саннан жай бөлшекті азайтуды үйрену. Есеп шығаруда оны қолдана алу |
|||||
|
Сабақ барысы: |
||||||
|
Уақыты |
Кезең дері |
Педагогтің әрекеті |
Оқушының әрекеті |
Бағалау |
Ресурстар |
|
|
5 минут |
Ұйымдастыру |
Сәлеметсіздерме! Бүгін, Натурал саннан жай бөлшекті азайтуды үйренеміз |
Сәлемдесу; Үй тапсырмасын көрсету; Сабақ мақсатын тыңдау, танысу |
Оқушылардың белсенділігіне қарай мұғалім ауызша мақтау сөздермен бағалауы |
|
|
|
10мин |
Сабақтың басы Жаңа тақырыпты түсіндіру |
|
Тақырыпты түсінеді Қажетті ережелерді жазып алады
|
|
|
|
|
25мин |
Бекіту тапсырмалары 25мин |
Есептеңіз
|
Жауабы
|
ҚБ: Жұпта өзара бағалау «+», « - », қызықты |
ДК экраны 5-сынып оқулығы. Жұмыс дәптерлері. Слайд. |
|
|
|
|
Жеке жұмыс
|
Жауаптар
|
Светофор адісімен бағалайды Немесе фигуралар адісімен. Жасыл-өте жаксы Сары-жаксы Кызыл-орташа
|
ДК экраны 5-сынып оқулығы. Жұмыс дәптерлері. Слайд. |
|
|
|
|
Оқулықпен жұмыс
|
|
ҚБ: Жұпта өзара бағалау «+», « - », қызықты |
|
|
|
Сабақтың соңы 5мин |
5мин |
Үйге тапсырма: № |
|
Сонымен қатар 1-10 баллдық жүйе бойынша оқушылардың сабаққа қатысу белсенділігі бойынша бағаланады. |
Жұмыс дәптерлері. Слайд.
Білім поштасы, хаттар |
|
Сабақ жоспары 13
Бекітемін:
|
Педагогтің Тегі, Аты, Әкесінің аты (бар болса) |
|
|||||
|
Пән/Сынып: |
5 сынып; Қатысқандар саны: Қатыспағандар саны: |
|||||
|
Күні: |
|
|||||
|
Бөлім: |
5.2А Жай бөлшектерге амалдар қолдану |
|||||
|
Сабақтың тақырыбы: |
Аралас сандарды қосу және азайту. |
|||||
|
Оқу бағдарламасына сәйкес оқыту мақсаттары |
5.1.2.19натурал санға жай бөлшекті қосуды орындау;
|
|||||
|
Сабақтың мақсаттары: |
Натурал саннан жай бөлшекті азайтуды үйрену. Есеп шығаруда оны қолдана алу |
|||||
|
Сабақ барысы: |
||||||
|
Уақыты |
Кезең дері |
Педагогтің әрекеті |
Оқушының әрекеті |
Бағалау |
Ресурстар |
|
|
5 минут |
Ұйымдастыру |
Сәлеметсіздерме! Бүгін, Натурал саннан жай бөлшекті азайтуды үйренеміз |
Сәлемдесу; Үй тапсырмасын көрсету; Сабақ мақсатын тыңдау, танысу |
Оқушылардың белсенділігіне қарай мұғалім ауызша мақтау сөздермен бағалауы |
|
|
|
10мин |
Сабақтың басы Жаңа тақырыпты түсіндіру |
|
Тақырыпты түсінеді Қажетті ережелерді жазып алады
|
|
|
|
|
25мин |
Бекіту тапсырмалары 25мин |
Натурал саннан жай бөлшекті азайтыңыз
|
Жауабы
|
ҚБ: Жұпта өзара бағалау «+», « - », қызықты |
ДК экраны 5-сынып оқулығы. Жұмыс дәптерлері. Слайд. |
|
|
|
|
Жеке жұмыс
|
Жауаптар
|
Светофор адісімен бағалайды Немесе фигуралар адісімен. Жасыл-өте жаксы Сары-жаксы Кызыл-орташа
|
ДК экраны 5-сынып оқулығы. Жұмыс дәптерлері. Слайд. |
|
|
|
|
Оқулықпен жұмыс
|
|
ҚБ: Жұпта өзара бағалау «+», « - », қызықты |
|
|
|
Сабақтың соңы 5мин |
5мин |
Үйге тапсырма: № |
|
Сонымен қатар 1-10 баллдық жүйе бойынша оқушылардың сабаққа қатысу белсенділігі бойынша бағаланады. |
Жұмыс дәптерлері. Слайд.
Білім поштасы, хаттар |
|
Сабақ жоспары 15
Бекітемін:
|
Педагогтің Тегі, Аты, Әкесінің аты (бар болса) |
|
|||||
|
Пән/Сынып: |
5 сынып; Қатысқандар саны: Қатыспағандар саны: |
|||||
|
Күні: |
|
|||||
|
Бөлім: |
5.2А Жай бөлшектерге амалдар қолдану |
|||||
|
Сабақтың тақырыбы: |
Аралас сандарды қосу және азайту. |
|||||
|
Оқу бағдарламасына сәйкес оқыту мақсаттары |
5.1.2.20 аралас сандарды қосуды орындау |
|||||
|
Сабақтың мақсаттары: |
оқушыларды аралас сандарды қосуға қатысты ережелерін пайдалана отырып, есептер шығаруда алған білімдерін көрсету. |
|||||
|
Сабақ барысы: |
||||||
|
Уақыты |
Кезең дері |
Педагогтің әрекеті |
Оқушының әрекеті |
Бағалау |
Ресурстар |
|
|
2 минут |
Ұйымдастыру |
Сәлеметсіздерме! Бүгін, Аралас сандарды қосу және азайту тақырыбын қарастырамыз Бүгінгі сабақта меңгеретініңіз: 1. Бөлімдері бірдей және бөлімдері әр түрлі аралас сандарды қосудың ережесін білу; 2.Бөлімдері бірдей және бөлімдері әр түрлі аралас сандарды қосуға есептер шығара алу; Үй тапсырмасын
тексеру: |
Сәлемдесу; Үй тапсырмасын көрсету; Сабақ мақсатын тыңдау, танысу Сұрақтарға жауап береді |
Оқушылардың белсенділігіне қарай мұғалім ауызша мақтау сөздермен бағалауы |
Тақта, слайд, оқу құралдары; 5 сыныпқа арналған оқулық |
|
|
8 мин |
Жаңа сабақ |
Жаңа сабақ. Видео сабақ. https://youtu.be/SQ4EwyD8RDE Бүтін және бөлшек бөлігі бар сан аралас сан деп аталады. Бөлімдері әртүрлі аралас санды қосу үшін:
|
Тақырып бойынша ресурстарды қарап, танысады Мысалдар келтіреді.
|
|
Слайд Интернет ресурстары |
|
|
17 мин |
Тапсырмалар. |
№1. Қосуды орында:
№3. Бөлшектерді қос:
Жеке оқушымен жұмыс. Барлығын есіңе түсірсеңіз, берілген бөлшектерді қосыңыз:
Оқулықпен жұмыс. №455, №456 |
Бөлімдері бірдей, әртүрлі аралас сандарды қосу(азайту) ережелерін қолданып шығарады. Ереже айтады. Аралас санды бөлшекке қосу ережесін қолданып шығарады. Жекелеген оқушылар тапсырма орындайды
№455, №456 |
Дескриптор:
Дескриптор:
Дескриптор: -Бөлімдері әртүрлі бөлшектерді қосып, азайту ережесін қолданады.
Дескриптор: -Тақырыпқа қатысты мәтін есептерді шығарады
|
Презентация Оқулық, оқу құрал жабдықтары, тақта, бор Интербелсенді тақта
. Интернет ресурстары Жалпы білім беретін мектептің 5–сыныбына арналған оқулық. |
|
|
15 мин |
Жеке жұмыс |
Қосымша тапсырма орындау
|
Тапсырманы орындайды |
ҚБ: Жұпта өзара бағалау «+», « - », қызықты |
ДК экраны 5-сынып оқулығы. Жұмыс дәптерлері. Слайд. |
|
|
Сабақтың соңы |
3мин |
Үйге тапсырма: № |
|
Сонымен қатар 1-10 баллдық жүйе бойынша оқушылардың сабаққа қатысу белсенділігі бойынша бағаланады. |
Жұмыс дәптерлері. Слайд. Білім поштасы, хаттар |
|
сабақ жоспары №16
Бекітемін:
|
Педагогтің Тегі, Аты, Әкесінің аты (бар болса) |
|
|||||
|
Пән/Сынып: |
5 сынып; Қатысқандар саны: Қатыспағандар саны: |
|||||
|
Күні: |
|
|||||
|
Бөлім: |
5.2А Жай бөлшектерге амалдар қолдану |
|||||
|
Сабақтың тақырыбы: |
Аралас сандарды қосу және азайту. |
|||||
|
Оқу бағдарламасына сәйкес оқыту мақсаттары |
5.1.2.19натурал саннан жай бөлшекті азайтуды орындау; 5.1.2.аралас сандарды қосу және азайтуды орындау |
|||||
|
Сабақтың мақсаттары: |
Аралас сандарды азайтуды, натурал саннан аралас санды азайтуды, аралас саннан натурал санды азайтуды үйрету |
|||||
|
Сабақ барысы: |
||||||
|
Уақыты |
Кезең дері |
Педагогтің әрекеті |
Оқушының әрекеті |
Бағалау |
Ресурстар |
|
|
2 минут |
Ұйымдастыру |
Сәлеметсіздерме! Бүгін, Аралас сандарды қосу және азайту тақырыбын қарастырамыз Бүгінгі сабақта меңгеретініңіз: 1. Натурал саннан аралас санды, аралас саннан натурал санды азайта білу; 2. Бөлімдері бірдей, бөлімдері әр түрлі аралас сандарды азайтуға есептер шығара алу. 1)Математикалық логикалық есептер беру арқылы «Миға шабуыл» 2) Үйге берілген есептерді тексеру; 3) Өткен материалды қайталау сұрақтары: - Бөлімдері бірдей аралас сандар қалай қосылады? - Бөлімдері әр түрлі аралас сандар қалай қосылады? - Натурал сандар мен аралас санның қосындысы неге тең? |
Сұрақтарға жауап береді |
Оқушылардың белсенділігіне қарай мұғалім ауызша мақтау сөздермен бағалауы |
Тақта, слайд, оқу құралдары; 5 сыныпқа арналған оқулық |
|
|
8 мин |
Жаңа сабақ |
олардың бүтін бөліктерінің айырмасын , бөлшек бөліктерінің айырмасын табу керек. бүтін бөліктерінің айырмасы мен бөлшек бөліктерінің айырмасының қосындысын аралас сан түрінде жазу керек. Мысалы :
аралас сандардың бөлшек бөліктерін ең кіші ортақ бөлімге келтіру керек; бөлімдері бірдей аралас сандарды азайту керек. Мысалы :
Натурал саннан аралас санды азайту үшін натурал санды аралас сан түрінде жазу керек. Мысалы :
Аралас саннан натурал санды азайту. Мысалы :
|
Тақырып бойынша ресурстарды қарап, танысады Мысалдар келтіреді. Ереже айтады. |
|
Презентация Оқулық, оқу құрал жабдықтары, тақта, бор Интербелсенді тақта
. Интернет ресурстары |
|
|
17 мин |
Тапсырмалар. |
А тобы
1)
2)
3)
4)
5)
6)
7)
8)
В тобы
1)
матем:
С тобы Бер. Тік төртбұрыш a(квадрат қабырғ.)=6см
Р=Ркв.
Р=2(a+b)=>
24=2
т/к: b-?
Жеке оқушымен жұмыс. № оқулықпен жұмыс. |
Аралас сандардан натурал санды, натурал саннан аралас санды азайту ережелерін қолданып, А тобының есептерін шығарады. Аралас сандарды азайту ережесін қолданып шығарады.
Жауабы:
Жауабы:
№ |
Дескриптор:
Дескриптор:
Дескриптор: -Тақырыпқа қатысты мәтін есептерді шығарады
|
Презентация Оқулық, оқу құрал жабдықтары, тақта, бор Интербелсенді тақта
. Интернет ресурстары |
|
|
10 мин |
Жеке жұмыс |
Қосымша тапсырма
орындау |
Тапсырманы орындайды
|
ҚБ: Жұпта өзара бағалау «+», « - », қызықты |
ДК экраны 5-сынып оқулығы. Жұмыс дәптерлері. Слайд. |
|
|
Сабақтың соңы |
3мин |
Үйге тапсырма: № |
|
Сонымен қатар 1-10 баллдық жүйе бойынша оқушылардың сабаққа қатысу белсенділігі бойынша бағаланады. |
Жұмыс дәптерлері. Слайд. Білім поштасы, хаттар |
|
Сабақ жоспары
Бекітемін:
|
Педагогтің Тегі, Аты, Әкесінің аты (бар болса) |
|
|||||
|
Пән/Сынып: |
5 сынып; Қатысқандар саны: Қатыспағандар саны: |
|||||
|
Күні: |
|
|||||
|
Бөлім: |
5.2А Жай бөлшектерге амалдар қолдану |
|||||
|
Сабақтың тақырыбы: |
Аралас сандарды қосу және азайту. |
|||||
|
Оқу бағдарламасына сәйкес оқыту мақсаттары |
5.1.2.19 натурал саннан жай бөлшекті азайтуды орындау; 5.1.2.20 аралас сандарды қосу және азайтуды орындау |
|||||
|
Сабақтың мақсаттары: |
Аралас сандарды азайтуды, натурал саннан аралас санды азайтуды, аралас саннан натурал санды азайтуды үйрету |
|||||
|
Сабақ барысы: |
||||||
|
Уақыты |
Кезең дері |
Педагогтің әрекеті |
Оқушының әрекеті |
Бағалау |
Ресурстар |
|
|
2 минут |
Ұйымдастыру |
Сәлеметсіздерме! Бүгін, Аралас сандарды қосу және азайту тақырыбын қарастырамыз Бүгінгі сабақта меңгеретініңіз: 1. Натурал саннан аралас санды, аралас саннан натурал санды азайта білу; 2. Бөлімдері бірдей, бөлімдері әр түрлі аралас сандарды азайтуға есептер шығара алу. 1)Математикалық логикалық есептер беру арқылы «Миға шабуыл» 2) Үйге берілген есептерді тексеру; 3) Өткен материалды қайталау сұрақтары: - Бөлімдері бірдей аралас сандар қалай қосылады? - Бөлімдері әр түрлі аралас сандар қалай қосылады? - Натурал сандар мен аралас санның қосындысы неге тең? |
Сәлемдесу; Үй тапсырмасын көрсету; Сабақ мақсатын тыңдау, танысу Сұрақтарға жауап береді |
Оқушылардың белсенділігіне қарай мұғалім ауызша мақтау сөздермен бағалауы |
Тақта, слайд, оқу құралдары; 5 сыныпқа арналған оқулық |
|
|
8 мин |
Жаңа сабақ |
Тез есепте! 1) Жай бөлшектерді салыстыр:
2) Амалды орында:
3) Бос орындарды толықтырып жаз:
|
Мысалдар келтіреді. Ереже айтады. |
|
Презентация Оқулық, оқу құрал жабдықтары, тақта, бор Интербелсенді тақта
. Интернет ресурстары |
|
|
17 мин |
Тапсырмалар. |
№1. Аралас сандарды азайтыңдар: 1)12 2)7
№2.Өрнектің мәнін табыңдар:
№3.Жұлдызшалардың орындарына тиісті сандарды қойыңдар. Айырманы толықтырып есептеңдер: 1)6 2)*-1
Жеке оқушымен жұмыс. №548. Оқулықпен жұмыс. №546. Тест тапсырмалары. 1. Азайтуды орында: 6 А)
3 2. Азайтуды орында: 8 А)
6 3. Азайтуды орында: 10
А)
6 4. Азайтуды орында: 13 А)
5 5. Азайтуды орында: 11-7 А)
4 |
Аралас сандарды азайту ережелерін қолданып, есептерді шығарады.
8 Аралас сандарды азайту ережесін қолданып шығарады.
Білім алушылар тест тапсырмасын орындайды.
|
Дескриптор:
Дескриптор: -Тақырыпқа қатысты мәтін есептерді шығарады
|
Презентация Оқулық, оқу құрал жабдықтары, тақта, бор Интербелсенді тақта
. Интернет ресурстары Интернет ресурс тары |
|
|
15 мин |
Жеке жұмыс |
Қосымша тапсырма орындау
|
Тапсырманы орындайды
|
Мониторинг |
ДК экраны 5-сынып оқулығы. Жұмыс дәптерлері. Слайд. |
|
|
3 минут |
|
Қорытынды. Рефлексия.
Бүгінгі сабақта: 1. Натурал саннан аралас санды, аралас саннан натурал санды азайта білді; 2. Бөлімдері бірдей, бөлімдері әр түрлі аралас сандарды азайтуға есептер шығара алады. Үйге тапсырма. №547. |
Тақырыпты меңгергенін анықтау |
Кері байланыс |
Презента ция |
|
Сабақ жоспары
Бекітемін:
|
Педагогтің Тегі, Аты, Әкесінің аты (бар болса) |
|
|||||||
|
Пән/Сынып: |
5 сынып; Қатысқандар саны: Қатыспағандар саны: |
|||||||
|
Күні: |
|
|||||||
|
Бөлім: |
5.2А Жай бөлшектерге амалдар қолдану |
|||||||
|
Сабақтың тақырыбы: |
Аралас сандарды қосу және азайту. |
|||||||
|
Оқу бағдарламасына сәйкес оқыту мақсаттары |
5.1.2.19 натурал саннан жай бөлшекті азайтуды орындау; 5.1.2.20 аралас сандарды қосу және азайтуды орындау |
|||||||
|
Сабақтың мақсаттары: |
Аралас сандарды азайтуды, натурал саннан аралас санды азайтуды, аралас саннан натурал санды азайтуды үйрету |
|||||||
|
Сабақ барысы: |
||||||||
|
Ұжымдық жұмыс Жаңа тақырыптың түсіндірілуі Сабақ мақсаты мен бағалау критерийлерін таныстыру; Бейнероликті қолдана отырып, бекіту тапсырмаларын орындату |
Бірлескен жұмыс (1,2 тапсырма) Тапсырманы ұсыну және дұрыс жауапты ұсыну арқылы үйрету Бекітуге арналғантапсырмаларды орындату; Тапсырмалардың жауаптарын жазу. |
Жеке жұмыс Тапсырманы ұсыну, оқушылар өз бетімен орындауы |
||||||
|
Уақыты |
Кезең дері |
Педагогтің әрекеті |
Оқушының әрекеті |
Бағалау |
Ресурстар |
|||
|
2 минут |
Ұйымдастыру |
Сәлеметсіздерме! Бүгін, Аралас сандарды қосу және азайту тақырыбын қарастырамыз Бүгінгі сабақта меңгеретініңіз: 1. Натурал саннан аралас санды, аралас саннан натурал санды азайта білу; 2. Бөлімдері бірдей, бөлімдері әр түрлі аралас сандарды азайтуға есептер шығара алу. Өтілген тақырып бойынша қайталау сұрақтарын қою: А) Жай бөлшектерді бір біріне қалай қосамыз? Б)Бұрыс бөлшек дегеніміз не? В)Дұрыс бөлшек дегеніміз не? Г)Бұрыс бөлшекті аралас санға қалай айналдырамыз? Қайталау сұрақтары:
|
Сәлемдесу; Үй тапсырмасын көрсету; Сабақ мақсатын тыңдау, танысу Сұрақтарға жауап береді |
Оқушылардың белсенділігіне қарай мұғалім ауызша мақтау сөздермен бағалауы |
Тақта, слайд, оқу құралдары; 5 сыныпқа арналған оқулық |
|||
|
8 мин |
Жаңа сабақ |
1. Бөлімдері бірдей бөлшектерді қосқанда, олардың ................... қосып , .................. етіп, ал ............ етіп, сол ......................... өзін қалдырамыз. 2. Бөлімдері әр түрлі бөлшектерді қосу үшін, оларды .................................. ......................келтіріп, ..................................................................... бөлшектерді қосу керек. 3. Бөлімдері бірдей аралас сандарды қосу үшін ........... бөлігін ............. бүтін бөлігіне, ал ............... бөлігін, ................ бөлігіне қосып, қосындысын .................................. түрінде жазамыз. 4. Бөлімдері бірдей бөлшектерді азайтқанда, азайғыштың ........................... азайтқыштың ................. азайтып, ............. етіп жазып, сол .................... өзін қалдыру керек. 5. Егер бөлімдері бірдей аралас сандарды азайтқанда азайғыш аралас санның ............... бөлігі, азайтқыш аралас санның ............. бөлігінен кіші болса, онда азайғыш аралас санды бөлшек бөлігі .......................... бөлшек болатын аралас санға айналдырып аралас сандарды азайтамыз. |
Мысалдар келтіреді. Ереже айтады. |
|
Слайд Интернет ресурс тары |
|||
|
17 мин |
Тапсырмалар. |
Деңгейлік тапсырмаларды орындау. А- деңгейі: 1) В-деңгейі: 1) С-деңгейі: 1) 3)18+3
Жеке оқушымен жұмыс. 1))2/5+1/2 2)15/19-6/19 3)5/9+2/27 4)1/5-1/6 Оқулықпен жұмыс. №549 Сергіту сәті. 1.Бір –бірімен жарысқан Төрт аю, бір арыстан Екі қой мен бір түлкі Бәрі нешеу кім білді (8) 2. Жоқ өзінде баста, қас та, мойын да. Ұзындығы жазулы тұр бойында (Сызғыш) 3. Төрт қойдың неше аяғы бар (16 аяғы бар) 4. Күн –күн сайын жыртылдық Өміріміз бір жылдық (Күнтізбе) |
Аралас сандарды азайту ережелерін қолданып, есептерді шығарады.
8 Аралас сандарды азайту ережесін қолданып шығарады.
Білім алушылар жұмбақтар шешеді. |
Дескриптор:
Дескриптор: -Тақырыпқа қатысты мәтін есептерді шығарады
|
Презента ция Жалпы білім беретін мектептің 5–сыныбына арналған оқулық. Оқулық авторлары: Т.А.Алдамұратова, Қ.С.Байшоланова, Е.С.Байшоланов Алматы «Атамұра» баспасы 2017 жыл Интернет ресурс тары |
|||
|
15 мин |
Жеке жұмыс |
Қосымша тапсырма орындау |
Тапсырманы орындайды |
|
|
|||
|
3 минут |
|
Қорытынды. Рефлексия.
Бүгінгі сабақта: 1. Натурал саннан аралас санды, аралас саннан натурал санды азайта білді; 2. Бөлімдері бірдей, бөлімдері әр түрлі аралас сандарды азайтуға есептер шығара алады. Үйге тапсырма. №551. |
Тақырыпты меңгергенін анықтау |
Кері байланыс |
Презента ция |
|||
Сабақ жоспары
Бекітемін:
|
Педагогтің Тегі, Аты, Әкесінің аты (бар болса) |
|
|||||||||||||
|
Пән/Сынып: |
5 сынып; Қатысқандар саны: Қатыспағандар саны: |
|||||||||||||
|
Күні: |
|
|||||||||||||
|
Бөлім: |
5.2А Жай бөлшектерге амалдар қолдану |
|||||||||||||
|
Сабақтың тақырыбы: |
Жай бөлшектерді және аралас сандарды көбейту. Өзара кері сандар |
|||||||||||||
|
Оқу бағдарламасына сәйкес оқыту мақсаттары |
5.1.2.21 жай бөлшектерді, аралас сандарды көбейтуді орындау; |
|||||||||||||
|
Сабақтың мақсаттары: |
- жай бөлшектерді, аралас сандарды көбейту ережесін біледі, көбейтеді. - жай бөлшектерді, аралас сандарды көбейту ережесін қолданып есептерді орындайды. - Күнделікті өмірмен байланысты мәтін есептерді шығарады. |
|||||||||||||
|
Сабақ барысы: |
||||||||||||||
|
Уақыты |
Кезең дері |
Педагогтің әрекеті |
Оқушының әрекеті |
Бағалау |
Ресурстар |
|||||||||
|
2 минут |
Ұйымдастыру |
Сәлеметсіздерме! Бүгін, Жай бөлшектерді және аралас сандарды көбейту. Өзара кері сандар тақырыбын қарастырамыз Бүгінгі сабақта меңгеретініңіз: - жай бөлшектерді, аралас сандарды көбейту ережесін білу - жай бөлшектерді, аралас сандарды көбейту ережесін қолданып есептерді орындау Сұрақты қағып ал» әдісі 1) Аралас сан дегеніміз не? 2) Бөлімдері бірдей аралас сандар қалай қосылады? 3) Бөлімдері бірдей аралас сандар қалай азайтылады? 4) Бөлімдері әр түрлі аралас сандар қалай қосылады? 5) Бөлімдері әр түрлі аралас сандар қалай азайтылады? |
Сәлемдесу; Үй тапсырмасын көрсету; Сабақ мақсатын тыңдау, танысу Сұрақтарға жауап береді |
Оқушылардың белсенділігіне қарай мұғалім ауызша мақтау сөздермен бағалауы |
Тақта, слайд, оқу құралдары; 5 сыныпқа арналған оқулық |
|||||||||
|
8 мин |
Жаңа сабақ |
Бөлшекті бөлшекке көбейту үшін, олардың алымдарын көбейтіп, алым етіп, бөлімдерін көбейтіп, бөлім етіп жазу керек.
Мысал:
Бөлшекті натурал санға көбейту үшін, бөлшектің алымын натурал санға көбейтіп, нәтижесін алым етіп, бөлімінің өзін қалдыру керек.
Аралас сандарды көбейту үшін: 1) оларды бұрыс бөлшек түрінде жазу керек; 2) бөлшектерді көбейту ережесін қолдану керек. |
Мысалдар келтіреді. Ереже айтады. |
|
Слайд Интернет ресурс тары |
|||||||||
|
17 мин |
Тапсырмалар. |
Тапсырма . №1. Есептерді шешіңдер:
ҚБ: «Бағдаршам»
Есептерді шешіңдер:
ҚБ «Мадақтау» №3.
№4. Егер тік төртбұрыштың
ені 3 тапсырма
Машина 8км / сағ
жылдамдықпен Оқулықпен жұмыс. №575 /1,3,5/ №576 /2,4,6/
|
Оқушылар есептердің шешуін кестедегі мәндерге сәйкес әріптерді сәйкестендіреді
Жай бөлшектерді натурал санға, жай бөлшектерді жай бөлшекке көбейту ережесін қолданып есептейді.
Ж:
Ж:10 км. Оқулықтан берілген есептерді шығарады. |
Дескриптор: - жай бөлшектерді, аралас сандарды көбейту ережесін біледі, көбейтеді. - жай бөлшектерді, аралас сандарды көбейту ережесін қолданып есептерді орындайды.
Дескриптор: -Тақырыпқа қатысты мәтін есептерді шығарады
Дескриптор: -Жай бөлшектерді көбейтеді -Есептер шартына сәйкес санды өрнектер құрастырады; -Әр есептің жауабын табады
|
Презента ция Жалпы білім беретін мектептің 5–сыныбына арналған оқулық. Оқулық авторлары: Т.А.Алдамұратова, Қ.С.Байшоланова, Е.С.Байшоланов Алматы «Атамұра» баспасы 2017 жыл Интернет ресурс тары |
|||||||||
|
10 мин |
Жеке жұмыс |
Қосымша тапсырма орындау |
Тапсырманы орындайды |
Мониторинг |
|
|||||||||
|
3 минут |
|
Қорытынды. Рефлексия.
Бүгінгі сабақта: - жай бөлшектерді, аралас сандарды көбейту ережесін біледі. - жай бөлшектерді, аралас сандарды көбейту ережесін қолданып есептерді орындайды. Үйге тапсырма. №575 /2,4,6/, №576 /1,3,5/ |
Тақырыпты меңгергенін анықтау |
Кері байланыс
|
Презента ция |
|||||||||
Сабақ жоспары
Бекітемін:
|
Педагогтің Тегі, Аты, Әкесінің аты (бар болса) |
|
|||||
|
Пән/Сынып: |
5 сынып; Қатысқандар саны: Қатыспағандар саны: |
|||||
|
Күні: |
|
|||||
|
Бөлім: |
5.2А Жай бөлшектерге амалдар қолдану |
|||||
|
Сабақтың тақырыбы: |
Жай бөлшектерді және аралас сандарды көбейту. Өзара кері сандар |
|||||
|
Оқу бағдарламасына сәйкес оқыту мақсаттары |
5.1.2.21 жай бөлшектерді, аралас сандарды көбейтуді орындау; |
|||||
|
Сабақтың мақсаттары: |
- жай бөлшектерді, аралас сандарды көбейту ережесін біледі, көбейтеді. - жай бөлшектерді, аралас сандарды көбейту ережесін қолданып есептерді орындайды. - Күнделікті өмірмен байланысты мәтін есептерді шығарады. |
|||||
|
Сабақ барысы: |
||||||
|
Уақыты |
Кезең дері |
Педагогтің әрекеті |
Оқушының әрекеті |
Бағалау |
Ресурстар |
|
|
2 минут |
Ұйымдастыру |
Сәлеметсіздерме! Бүгін, Жай бөлшектерді және аралас сандарды көбейту. Өзара кері сандар тақырыбын қарастырамыз Бүгінгі сабақта меңгеретініңіз: - жай бөлшектерді, аралас сандарды көбейту ережесін білу - жай бөлшектерді, аралас сандарды көбейту ережесін қолданып есептерді орындау
Сұрақ-жауап. 1. Жай бөлшекті
қалай көбейтеміз ? 2. Жай бөлшекті натурал санға қалай көбейтеміз?
3. Аралас сандарды қалай көбейтеміз? 4.
|
Сәлемдесу; Үй тапсырмасын көрсету; Сабақ мақсатын тыңдау, танысу Сұрақтарға жауап береді |
Оқушылардың белсенділігіне қарай мұғалім ауызша мақтау сөздермен бағалауы |
Тақта, слайд, оқу құралдары; 5 сыныпқа арналған оқулық |
|
|
8 мин |
Жаңа сабақ |
Бөлшекті бөлшекке көбейту үшін, олардың алымдарын көбейтіп, алым етіп, бөлімдерін көбейтіп, бөлім етіп жазу керек.
Мысал:
Бөлшекті натурал санға көбейту үшін, бөлшектің алымын натурал санға көбейтіп, нәтижесін алым етіп, бөлімінің өзін қалдыру керек.
Аралас сандарды көбейту үшін: 1) оларды бұрыс бөлшек түрінде жазу керек; 2) бөлшектерді көбейту ережесін қолдану керек. |
Сәлемдесу; Үй тапсырмасын көрсету; Сабақ мақсатын тыңдау, танысу Сұрақтарға жауап береді |
|
Слайд Интернет ресурс тары |
|
|
17 мин |
Тапсырмалар. |
Саралау тәсілі. Тапсырма А деңгейі Жердің жасанды серігі
7 ҚБ «Басбармақ» В деңгейі Үйдегі немесе пәтердегі бір бөлменің ұзындығын, енін өлшеп, метр есебімен жазыңдар.
ҚБ «Шапалақ » С деңгейі Вокзалдан саяжайға
Әлібек 30минутта,
Бауыржан 45
минутта барады. Егер Әлібек
вокзалдан шығып, Бауыржан саяжайдан шығып, олар бір-біріне қарсы
жүрсе, Ж: олар кездеседі. ҚБ «Мадақтау» Саралау тәсілі: «Қарқын»
Велосипед доңғалағы
сыртқы шеңберінің ұзындығы 1 |
Жай бөлшектерді натурал санға, жай бөлшектерді жай бөлшекке көбейту ережесін қолданып есептейді.
|
Дескриптор: - жай бөлшектерді, аралас сандарды көбейту ережесін біледі, көбейтеді. - жай бөлшектерді, аралас сандарды көбейту ережесін қолданып есептерді орындайды.
Дескриптор: -Тақырыпқа қатысты мәтін есептерді шығарады
|
Презента ция Жалпы білім беретін мектептің 5–сыныбына арналған оқулық. Оқулық авторлары: Т.А.Алдамұратова, Қ.С.Байшоланова, Е.С.Байшоланов Алматы «Атамұра» баспасы 2017 жыл Интернет ресурс тары |
|
|
15 мин |
Жеке жұмыс |
Оқулықпен жұмыс. №577 №579 |
Тапсырманы орындайды |
|
|
|
|
3 минут |
|
Қорытынды. Рефлексия.
Бүгінгі сабақта: - жай бөлшектерді, аралас сандарды көбейту ережесін біледі. - жай бөлшектерді, аралас сандарды көбейту ережесін қолданып есептерді орындайды. Үйге тапсырма. №578, №580. |
Тақырыпты меңгергенін анықтау |
Кері байланыс
|
Тақта, слайд, оқу құралдары; 5 сыныпқа арналған оқулық Презента ция |
|
Сабақ жоспары
Бекітемін:
|
Педагогтің Тегі, Аты, Әкесінің аты (бар болса) |
|
|||||||||||||||||||||||||||||||||||||||||||||||||||||||
|
Пән/Сынып: |
5 сынып; Қатысқандар саны: Қатыспағандар саны: |
|||||||||||||||||||||||||||||||||||||||||||||||||||||||
|
Күні: |
|
|||||||||||||||||||||||||||||||||||||||||||||||||||||||
|
Бөлім: |
5.2А Жай бөлшектерге амалдар қолдану |
|||||||||||||||||||||||||||||||||||||||||||||||||||||||
|
Сабақтың тақырыбы: |
Жай бөлшектерді және аралас сандарды көбейту. Өзара кері сандар |
|||||||||||||||||||||||||||||||||||||||||||||||||||||||
|
Оқу бағдарламасына сәйкес оқыту мақсаттары |
5.1.2.21 жай бөлшектерді, аралас сандарды көбейтуді орындау; |
|||||||||||||||||||||||||||||||||||||||||||||||||||||||
|
Сабақтың мақсаттары: |
- жай бөлшектерді, аралас сандарды көбейту ережесін біледі, көбейтеді. - жай бөлшектерді, аралас сандарды көбейту ережесін қолданып есептерді орындайды. - Күнделікті өмірмен байланысты мәтін есептерді шығарады. |
|||||||||||||||||||||||||||||||||||||||||||||||||||||||
|
Сабақ барысы: |
||||||||||||||||||||||||||||||||||||||||||||||||||||||||
|
Ұжымдық жұмыс Жаңа тақырыптың түсіндірілуі Сабақ мақсаты мен бағалау критерийлерін таныстыру; Бейнероликті қолдана отырып, бекіту тапсырмаларын орындату |
Бірлескен жұмыс (1,2 тапсырма) Тапсырманы ұсыну және дұрыс жауапты ұсыну арқылы үйрету Бекітуге арналғантапсырмаларды орындату; Тапсырмалардың жауаптарын жазу. |
Жеке жұмыс Тапсырманы ұсыну, оқушылар өз бетімен орындауы |
||||||||||||||||||||||||||||||||||||||||||||||||||||||
|
Уақыты |
Кезең дері |
Педагогтің әрекеті |
Оқушының әрекеті |
Бағалау |
Ресурстар |
|||||||||||||||||||||||||||||||||||||||||||||||||||
|
2 минут |
Ұйымдастыру |
Сәлеметсіздерме! Бүгін, Жай бөлшектерді және аралас сандарды көбейту. Өзара кері сандар тақырыбын қарастырамыз Бүгінгі сабақта меңгеретініңіз: - жай бөлшектерді, аралас сандарды көбейту ережесін білу - жай бөлшектерді, аралас сандарды көбейту ережесін қолданып есептерді орындау |
Сәлемдесу; Үй тапсырмасын көрсету; Сабақ мақсатын тыңдау, танысу Сұрақтарға жауап береді |
Оқушылардың белсенділігіне қарай мұғалім ауызша мақтау сөздермен бағалауы |
Тақта, слайд, оқу құралдары; 5 сыныпқа арналған оқулық |
|||||||||||||||||||||||||||||||||||||||||||||||||||
|
8 мин |
Жаңа сабақты бекіту |
Сөзжұмбақ шешу:
Көлденеңінен: 1.қосудың нәтижесі 2.екі таңбалы сан Тігінен: 1.бір таңбалы сан 2.81-81 3.белгісіз сан әріппен белгіленген теңдік Сұрақ-жауап. 1. Жай бөлшекті қалай көбейтеміз ? 2. Жай бөлшекті натурал санға қалай көбейтеміз? 3. Аралас сандарды қалай көбейтеміз? |
Сөзжұмбақ шешеді. Сұрақтарға жауап береді Ереже айтады. |
|
Слайд Интернет ресурс тары |
|||||||||||||||||||||||||||||||||||||||||||||||||||
|
17 мин |
Тапсырмалар. |
Жеке жұмыс. 1. 2. 3. 4.
Оқулықпен жұмыс. №581 №583 |
Жай бөлшектерді натурал санға, жай бөлшектерді жай бөлшекке көбейту ережесін қолданып есептейді.
Жекелеген оқушыларға тапсырмалар беріледі.
Оқулықтан берілген есептерді шығарады. |
Дескриптор: - жай бөлшектерді, аралас сандарды көбейту ережесін біледі, көбейтеді. - жай бөлшектерді, аралас сандарды көбейту ережесін қолданып есептерді орындайды.
Дескриптор: -Тақырыпқа қатысты мәтін есептерді шығарады
|
Презента ция Интернет ресурстары Жалпы білім беретін мектептің 5–сыныбына арналған оқулық. Оқулық авторлары: Т.А.Алдамұратова, Қ.С.Байшоланова, Е.С.Байшоланов Алматы «Атамұра» баспасы 2017 жыл |
|||||||||||||||||||||||||||||||||||||||||||||||||||
|
15 мин |
Жеке жұмыс |
Қосымша тапсырмалар орындау |
Тапсырманы орындайды |
Мониторинг |
|
|||||||||||||||||||||||||||||||||||||||||||||||||||
|
3 минут |
|
Бүгінгі сабақта: - жай бөлшектерді, аралас сандарды көбейту ережесін біледі. - жай бөлшектерді, аралас сандарды көбейту ережесін қолданып есептерді орындайды.
|
Тақырыпты меңгергенін анықтау |
Кері байланыс
|
Презентация |
|||||||||||||||||||||||||||||||||||||||||||||||||||
Сабақ жоспары
Бекітемін:
|
Педагогтің Тегі, Аты, Әкесінің аты (бар болса) |
|
|||||||
|
Пән/Сынып: |
5 сынып; Қатысқандар саны: Қатыспағандар саны: |
|||||||
|
Күні: |
|
|||||||
|
Бөлім: |
5.2А Жай бөлшектерге амалдар қолдану |
|||||||
|
Сабақтың тақырыбы: |
Жай бөлшектерді және аралас сандарды көбейту. Өзара кері сандар |
|||||||
|
Оқу бағдарламасына сәйкес оқыту мақсаттары |
5.1.2.21 жай бөлшектерді, аралас сандарды көбейтуді орындау; |
|||||||
|
Сабақтың мақсаттары: |
- жай бөлшектерді, аралас сандарды көбейту ережесін біледі, көбейтеді. - жай бөлшектерді, аралас сандарды көбейту ережесін қолданып есептерді орындайды. - Күнделікті өмірмен байланысты мәтін есептерді шығарады. |
|||||||
|
Сабақ барысы: |
||||||||
|
Ұжымдық жұмыс Жаңа тақырыптың түсіндірілуі Сабақ мақсаты мен бағалау критерийлерін таныстыру; Бейнероликті қолдана отырып, бекіту тапсырмаларын орындату |
Бірлескен жұмыс (1,2 тапсырма) Тапсырманы ұсыну және дұрыс жауапты ұсыну арқылы үйрету Бекітуге арналғантапсырмаларды орындату; Тапсырмалардың жауаптарын жазу. |
Жеке жұмыс Тапсырманы ұсыну, оқушылар өз бетімен орындауы |
||||||
|
Уақыты |
Кезең дері |
Педагогтің әрекеті |
Оқушының әрекеті |
Бағалау |
Ресурстар |
|||
|
2 минут |
Ұйымдастыру |
Сәлеметсіздерме! Бүгін, Жай бөлшектерді және аралас сандарды көбейту. Өзара кері сандар тақырыбын қарастырамыз Бүгінгі сабақта меңгеретініңіз: - жай бөлшектерді, аралас сандарды көбейту ережесін білу - жай бөлшектерді, аралас сандарды көбейту ережесін қолданып есептерді орындау Үй тапсырмасын тексеру. №582, №584. |
Сәлемдесу; Үй тапсырмасын көрсету; Сабақ мақсатын тыңдау, танысу Сұрақтарға жауап береді |
Оқушылардың белсенділігіне қарай мұғалім ауызша мақтау сөздермен бағалауы |
. Тақта, слайд, оқу құралдары; 5 сыныпқа арналған оқулық |
|||
|
8 мин |
Жаңа сабақты бекіту |
Графикалық диктант
|
Сұрақтарға жауап береді Ереже айтады. |
|
Слайд Интернет ресурс тары |
|||
|
17 мин |
Тапсырмалар. |
№1.
a) 1 кг кәмпиттің бағасы 350
тг. b)1
№2. а) Жердің жасанды
серігі b) Квадраттың
қабырғасы №3.
а). Тігінші бірнеше көйлектің
әрқайсысына
Жеке жұмыс. Жай бөлшектерді көбейтуді орындаңдар:
Оқулықпен жұмыс. №585
Қалыптастырушы бағалау. Оқыту мақсаты: Жай бөлшектерді және аралас сандарға көбейтуге қатысты есептер шығарады; Мәселе есептер шығарады;
А.
Б) 2.Катердің меншікті
ж |
Жай бөлшектерді натурал санға, жай бөлшектерді жай бөлшекке көбейту ережесін қолданып есептейді.
Жекелеген оқушыларға тапсырмалар беріледі.
Оқулықтан берілген есептерді шығарады.
Шешуі:
|
Дескриптор: - жай бөлшектерді, аралас сандарды көбейту ережесін біледі, көбейтеді. -Тақырыпқа қатысты мәтін есептерді шығарады
Дескриптор: - жай бөлшектерді, аралас сандарды көбейту ережесін қолданып есептерді орындайды. Дескриптор: -Бөлшектерді дұрыс көбейте алады ; -Натурал санды бөлшекке көбейте алады; -Аралас сандарды көбейте алады |
Презента ция Интернет ресурстары Жалпы білім беретін мектептің 5–сыныбына арналған оқулық. Оқулық авторлары: Т.А.Алдамұратова, Қ.С.Байшоланова, Е.С.Байшоланов Алматы «Атамұра» баспасы 2017 жыл |
|||
|
10 мин |
Жеке жұмыс |
Қосымша тапсырмалар орындау |
Тапсырманы орындайды |
Мониторинг |
|
|||
|
3 минут |
|
Бүгінгі сабақта: - жай бөлшектерді, аралас сандарды көбейту ережесін біледі. - жай бөлшектерді, аралас сандарды көбейту ережесін қолданып есептерді орындайды.
|
Тақырыпты меңгергенін анықтау |
Кері байланыс
|
Презентация |
|||
Сабақ жоспары
Бекітемін:
|
Педагогтің Тегі, Аты, Әкесінің аты (бар болса) |
|
|||||
|
Пән/Сынып: |
5 сынып; Қатысқандар саны: Қатыспағандар саны: |
|||||
|
Күні: |
|
|||||
|
Бөлім: |
5.2А Жай бөлшектерге амалдар қолдану |
|||||
|
Сабақтың тақырыбы: |
Жай бөлшектерді және аралас сандарды көбейту. Өзара кері сандар |
|||||
|
Оқу бағдарламасына сәйкес оқыту мақсаттары |
5.1.2.21 жай бөлшектерді, аралас сандарды көбейтуді орындау; |
|||||
|
Сабақтың мақсаттары: |
- жай бөлшектерді, аралас сандарды көбейту ережесін біледі, көбейтеді. - жай бөлшектерді, аралас сандарды көбейту ережесін қолданып есептерді орындайды. - Күнделікті өмірмен байланысты мәтін есептерді шығарады. |
|||||
|
Сабақ барысы: |
||||||
|
Уақыты |
Кезең дері |
Педагогтің әрекеті |
Оқушының әрекеті |
Бағалау |
Ресурстар |
|
|
5 минут |
Ұйымдастыру |
Сәлеметсіздерме! Бүгін, Жай бөлшектерді және аралас сандарды көбейту. Өзара кері сандар тақырыбын қарастырамыз Бүгінгі сабақта меңгеретініңіз: - жай бөлшектерді, аралас сандарды көбейту ережесін білу - жай бөлшектерді, аралас сандарды көбейту ережесін қолданып есептерді орындау Үй тапсырмасын тексеру. №587, №588. Математикалық логикалық есептер беру арқылы «Миға шабуыл»
|
Сабақ мақсатымен танысады. Үй жұмысын айтады. Логикалық тапсырмаларды орындайды. |
Оқушылардың белсенділігіне қарай мұғалім ауызша мақтау сөздермен бағалауы
|
Тақта, слайд, оқу құралдары; 5 сыныпқа арналған оқулық |
|
|
5 мин |
Жаңа сабақты бекіту |
|
Сұрақтарға жауап береді Ереже айтады. |
|
Слайд Интернет ресурстары |
|
|
17 мин |
Тапсырмалар. |
Оқулықпен жұмыс. №589, №595 /1,3,5,7/
|
Жай бөлшектерді натурал санға, жай бөлшектерді жай бөлшекке көбейту ережесін қолданып есептейді.
Жекелеген оқушыларға тапсырмалар беріледі.
Оқулықтан берілген есептерді шығарады. |
Дескриптор: - жай бөлшектерді, аралас сандарды көбейту ережесін біледі, көбейтеді. -Тақырыпқа қатысты мәтін есептерді шығарады
Дескриптор: - жай бөлшектерді, аралас сандарды көбейту ережесін қолданып есептерді орындайды. -Дәреже ережесін қолданады. |
Презента ция Интернет ресурстары Жалпы білім беретін мектептің 5–сыныбына арналған оқулық. Оқулық авторлары: Т.А.Алдамұратова, Қ.С.Байшоланова, Е.С.Байшоланов Алматы «Атамұра» баспасы 2017 жыл |
|
|
10 мин |
Жеке жұмыс |
Қосымша тапсырмалар орындау |
Тапсырманы орындайды |
Мониторинг |
|
|
|
3 минут |
|
Бүгінгі сабақта: - жай бөлшектерді, аралас сандарды көбейту ережесін біледі. - жай бөлшектерді, аралас
сандарды көбейту ережесін қолданып есептерді
орындайды.
Үйге тапсырма. №595 /2,4,6,8/ |
Тақырыпты меңгергенін анықтау |
Кері байланыс |
Презентация |
|
Сабақ жоспары
Бекітемін:
|
Педагогтің Тегі, Аты, Әкесінің аты (бар болса) |
|
||||||||
|
Пән/Сынып: |
5 сынып; Қатысқандар саны: Қатыспағандар саны: |
||||||||
|
Күні: |
|
||||||||
|
Бөлім: |
5.2А Жай бөлшектерге амалдар қолдану |
||||||||
|
Сабақтың тақырыбы: |
Жай бөлшектерді және аралас сандарды көбейту. Өзара кері сандар |
||||||||
|
Оқу бағдарламасына сәйкес оқыту мақсаттары |
5.1.2.21 жай бөлшектерді, аралас сандарды көбейтуді орындау; |
||||||||
|
Сабақтың мақсаттары: |
- жай бөлшектерді, аралас сандарды көбейту ережесін біледі, көбейтеді. - жай бөлшектерді, аралас сандарды көбейту ережесін қолданып есептерді орындайды. - Күнделікті өмірмен байланысты мәтін есептерді шығарады. |
||||||||
|
Сабақ барысы: |
|||||||||
|
Уақыты |
Кезең дері |
Педагогтің әрекеті |
Оқушының әрекеті |
Бағалау |
Ресурстар |
||||
|
5 минут |
Ұйымдастыру |
Сәлеметсіздерме! Бүгін, Жай бөлшектерді және аралас сандарды көбейту. Өзара кері сандар тақырыбын қарастырамыз Бүгінгі сабақта меңгеретініңіз: - жай бөлшектерді, аралас сандарды көбейту ережесін білу - жай бөлшектерді, аралас сандарды көбейту ережесін қолданып есептерді орындау Үй тапсырмасын тексеру. №595 /2,4,6,8/ «Миға шабуыл» Қайталау сұрақтары. 1.Жай бөлшектерді қалай
көбейтеміз? |
Сабақ мақсатымен танысады. Үй жұмысын айтады. Сұрақтарға жауап береді |
Оқушылардың белсенділігіне қарай мұғалім ауызша мақтау сөздермен бағалауы
|
Жалпы білім беретін мектептің 5–сыныбына арналған оқулық. Оқулық авторлары: Т.А.Алдамұратова, Қ.С.Байшоланова, Е.С.Байшоланов Алматы «Атамұра» баспасы 2017 жыл |
||||
|
5 мин |
Жаңа сабақты бекіту |
|
Ереже айтады. |
|
Слайд Интернет ресурстары |
||||
|
17 мин |
Тапсырмалар. |
Көбейтудің үлестірімділік қасиетін пайдаланып, есептеңдер.
3. Оқулықпен жұмыс. №597, №598.
4. Жеке жұмыс (тапсырмаларды орындап болған оқушыларға беріледі)
|
Бөлшектерді натурал санға, жай бөлшектерді жай бөлшекке көбейту ережесін қолданып есептейді.
Оқулықтан берілген есептерді шығарады.
Жекелеген оқушыларға тапсырмалар беріледі.
|
Дескриптор: - жай бөлшектерді, аралас сандарды көбейту ережесін біледі, көбейтеді. -Көбейтудің үлестірімділік қасиетін пайдаланып, -Тақырыпқа қатысты мәтін есептерді шығарады
Дескриптор: - жай бөлшектерді, аралас сандарды көбейту ережесін қолданып есептерді орындайды.
|
Презента ция Интернет ресурстары Жалпы білім беретін мектептің 5–сыныбына арналған оқулық. Оқулық авторлары: Т.А.Алдамұратова, Қ.С.Байшоланова, Е.С.Байшоланов Алматы «Атамұра» баспасы 2017 жыл |
||||
|
10 мин |
Жеке жұмыс |
Қосымша тапсырмалар орындау |
Тапсырманы орындайды |
Мониторинг |
|
||||
|
3 минут |
|
Бүгінгі сабақта: - жай бөлшектерді, аралас сандарды көбейту ережесін біледі. - жай бөлшектерді, аралас сандарды көбейту ережесін қолданып есептерді орындайды.
Үйге тапсырма. №599. |
Тақырыпты меңгергенін анықтау |
Кері байланыс |
Презентация |
||||
Сабақ жоспары
Бекітемін:
|
Педагогтің Тегі, Аты, Әкесінің аты (бар болса) |
|
|||||||||||||||||
|
Пән/Сынып: |
5 сынып; Қатысқандар саны: Қатыспағандар саны: |
|||||||||||||||||
|
Күні: |
|
|||||||||||||||||
|
Бөлім: |
5.2А Жай бөлшектерге амалдар қолдану |
|||||||||||||||||
|
Сабақтың тақырыбы: |
Жай бөлшектерді және аралас сандарды көбейту. Өзара кері сандар |
|||||||||||||||||
|
Оқу бағдарламасына сәйкес оқыту мақсаттары |
5.1.1.12 өзара кері сандар анықтамасын білу; |
|||||||||||||||||
|
Сабақтың мақсаттары: |
-Өзара кері сандар анықтамасын біліп, шығара алады; -Көбейтіндісі 1-ге тең болатын екі санды таба алады; |
|||||||||||||||||
|
Сабақ барысы: |
||||||||||||||||||
|
Уақыты |
Кезең дері |
Педагогтің әрекеті |
Оқушының әрекеті |
Бағалау |
Ресурстар |
|||||||||||||
|
5 минут |
Ұйымдастыру |
Сәлеметсіздерме! Бүгін, Жай бөлшектерді және аралас сандарды көбейту. Өзара кері сандар тақырыбын қарастырамыз. Бүгінгі сабақта меңгеретініңіз: -Өзара кері сандар анықтамасын біліп, шығара алады; -Көбейтіндісі 1-ге тең болатын екі санды таба алады. Үй тапсырмасын тексеру. №599. «Миға шабуыл» стратегиясы. Үй тапсырмаларын оқушылар өзара сұрақ қою және тақырыпты мазмұндау 1. Бөлшектер қалай көбейтіледі? 2. Натурал санды бөлшек санға қалай көбейтеміз? 3. Аралас сандарды көбейтуді түсіндіріңдер? 4. Көбейтудің неше қасиеті бар? 5. 7/8 қандай бөлшек? 6. Көбейтудің ауыстырымдылық қасиеті? 7. 1-4/9 қандай бөлшек? 8. Санды 0-ге көбейтуге бола ма? 9. Бөлшектің неше түрі бар? 10. Ең кіші жай бөлшек бола ма? 11. 76 қандай сан? 12. Ең үлкен жай бөлшек нешеге тең? |
Сабақ мақсатымен танысады. Үй жұмысын айтады. Сұрақтарға жауап береді |
Оқушылардың белсенділігіне қарай мұғалім ауызша мақтау сөздермен бағалауы
|
Жалпы білім беретін мектептің 5–сыныбына арналған оқулық. Оқулық авторлары: Т.А.Алдамұратова, Қ.С.Байшоланова, Е.С.Байшоланов Алматы «Атамұра» баспасы 2017 жыл |
|||||||||||||
|
8 мин |
Жаңа сабақты бекіту |
Көбейтіндісі 1-ге тең болатын екі санды өзара кері сандар деп атайды.
Мысал
1:
8
және Жай бөлшекке кері санды табу үшін оның алымы мен бөлімінің орындарын ауыстыру керек. Аралас санға кері санды табу үшін, оны бұрыс бөлшекке айналдырып, сол бұрыс бөлшекке кері санды табу керек.
Мысал
2:
|
Ереже айтады. |
Тақырып бойынша ресурстарды қарап, танысады |
Слайд Интернет ресурстары |
|||||||||||||
|
15 мин |
Тапсырмалар. |
1- тапсырма. Кері сандарды жазыңдар.
2- тапсырма.
3- тапсырма. 7, 1/9, 8/13, 2, 1/5, 10, 5/17, 1/100. 4- тапсырма. Сәйкестендіру тесті.
5. Оқулықпен жұмыс. №6 тапсырма.
4. Жеке жұмыс (тапсырмаларды орындап болған оқушыларға беріледі) 1). 2). 3). |
Бөлшектерге натурал санға кері сандарды табу ережесін қолданып есептейді.
Сәйкестік тестіні орындайды.
Оқулықтан берілген есептерді шығарады.
Жекелеген оқушыларға тапсырмалар беріледі. |
Дескриптор: - Бөлшектерге натурал санға кері сандарды табу ережесін қолданып есептейді. -Тақырыпқа қатысты мәтін есептерді шығарады
Дескриптор: - жай бөлшектерді, аралас сандарды көбейту ережесін қолданып есептерді орындайды. |
Презента ция Интернет ресурстары слайд Жалпы білім беретін мектептің 5–сыныбына арналған оқулық. Оқулық авторлары: Т.А.Алдамұратова, Қ.С.Байшоланова, Е.С.Байшоланов Алматы «Атамұра» баспасы 2017 жыл |
|||||||||||||
|
10 мин |
Жеке жұмыс |
Қосымша тапсырмалар орындау |
Тапсырманы орындайды |
|
|
|||||||||||||
|
2 минут |
|
Бүгінгі сабақта: -Өзара кері сандар анықтамасын біліп, шығара алады; -Көбейтіндісі 1-ге тең болатын екі санды таба алады.
Үйге тапсырма. №603. |
Тақырыпты меңгергенін анықтау |
Кері байланыс |
Презентация |
|||||||||||||
Сабақ жоспары
Бекітемін:
|
Педагогтің Тегі, Аты, Әкесінің аты (бар болса) |
|
||||||||||||||
|
Пән/Сынып: |
5 сынып; Қатысқандар саны: Қатыспағандар саны: |
||||||||||||||
|
Күні: |
|
||||||||||||||
|
Бөлім: |
5.2А Жай бөлшектерге амалдар қолдану |
||||||||||||||
|
Сабақтың тақырыбы: |
Жай бөлшектерді және аралас сандарды көбейту. Өзара кері сандар. ББЖБ. |
||||||||||||||
|
Оқу бағдарламасына сәйкес оқыту мақсаттары |
5.1.1.12 өзара кері сандар анықтамасын білу; |
||||||||||||||
|
Сабақтың мақсаттары: |
-Өзара кері сандар анықтамасын біліп, шығара алады; -Көбейтіндісі 1-ге тең болатын екі санды таба алады; |
||||||||||||||
|
Сабақ барысы: |
|||||||||||||||
|
Уақыты |
Кезең дері |
Педагогтің әрекеті |
Оқушының әрекеті |
Бағалау |
Ресурстар |
||||||||||
|
3 минут |
Ұйымдастыру |
Сәлеметсіздерме! Бүгін, Жай бөлшектерді және аралас сандарды көбейту. Өзара кері сандар тақырыбын қарастырамыз. Бүгінгі сабақта меңгеретініңіз: -Өзара кері сандар анықтамасын біліп, шығара алады; -Көбейтіндісі 1-ге тең болатын екі санды таба алады. Үй тапсырмасын тексеру. №603. «Миға шабуыл» стратегиясы. Үй тапсырмаларын оқушылар өзара сұрақ қою және тақырыпты мазмұндау
3. Аралас сандарды көбейтуді түсіндіріңдер. |
Сабақ мақсатымен танысады. Үй жұмысын айтады. Сұрақтарға жауап береді |
Оқушылардың белсенділігіне қарай мұғалім ауызша мақтау сөздермен бағалауы
|
Тақта, слайд, оқу құралдары; 5 сыныпқа арналған оқулық. Жалпы білім беретін мектептің 5–сыныбына арналған оқулық. Оқулық авторлары: Т.А.Алдамұратова, Қ.С.Байшоланова, Е.С.Байшоланов Алматы «Атамұра» баспасы 2017 жыл |
||||||||||
|
5 мин |
Жаңа сабақты бекіту |
Көбейтіндісі 1-ге тең болатын екі санды өзара кері сандар деп атайды.
|
Ереже айтады. Берілген бөлшектерге кері санды жазады. |
Тақырып бойынша ресурстарды қарап, танысады |
Слайд Интернет ресурстары |
||||||||||
|
10 мин |
Тапсырмалар. |
№2. Есептеңдер:
№3.
Автобустың жылдамдығы 60 км/
сағ. Автобус 5 №4. Көбейтудің қасиеттерін пайдаланып, есептеңдер:
5. Оқулықпен жұмыс. №604.
|
Бөлшектерге натурал санға кері сандарды табу ережесін қолданады.
Оқулықтан берілген есептерді шығарады.
|
Дескриптор: - жай бөлшектерді, аралас сандарды көбейту ережесін қолданып есептерді орындайды. -Тақырыпқа қатысты мәтін есептерді шығарады
|
Презента ция Интернет ресурстары Жалпы білім беретін мектептің 5–сыныбына арналған оқулық. Оқулық авторлары: Т.А.Алдамұратова, Қ.С.Байшоланова, Е.С.Байшоланов Алматы «Атамұра» баспасы 2017 жыл |
||||||||||
|
20 мин |
Жеке жұмыс |
Online-mektep-тен БЖБ орындайды |
Тапсырманы орындайды |
Мониторинг |
https://onlinemektep.net/schedule/14.12.2020/lesson/d1dffb1a-01c8-49e5-863a-1f6ca4e21b4e |
||||||||||
|
2 минут |
|
Бүгінгі сабақта: -Өзара кері сандар анықтамасын біліп, шығара алады; -Көбейтіндісі 1-ге тең болатын екі санды таба алады.
Үйге тапсырма. №605. |
Тақырыпты меңгергенін анықтау |
Кері байланыс |
Тақта, слайд, оқу құралдары; 5 сыныпқа арналған оқулық Презентация |
||||||||||
Сабақ жоспары
Бекітемін:
|
Педагогтің Тегі, Аты, Әкесінің аты (бар болса) |
|
||||||||||||||||||||||||||||||||||||||||||||||||||||||||||||||||||||||
|
Пән/Сынып: |
5 сынып; Қатысқандар саны: Қатыспағандар саны: |
||||||||||||||||||||||||||||||||||||||||||||||||||||||||||||||||||||||
|
Күні: |
|
||||||||||||||||||||||||||||||||||||||||||||||||||||||||||||||||||||||
|
Бөлім: |
5.2А Жай бөлшектерге амалдар қолдану |
||||||||||||||||||||||||||||||||||||||||||||||||||||||||||||||||||||||
|
Сабақтың тақырыбы: |
Жай бөлшектерді және аралас сандарды бөлу |
||||||||||||||||||||||||||||||||||||||||||||||||||||||||||||||||||||||
|
Оқу бағдарламасына сәйкес оқыту мақсаттары |
5.1.2.23 жай бөлшектерді және аралас сандарды бөлуді орындау; |
||||||||||||||||||||||||||||||||||||||||||||||||||||||||||||||||||||||
|
Сабақтың мақсаттары: |
-Жай бөлшектерді бөлу алгоритмін біледі және бөлуді орындайды; -Аралас сандарды бөлу ережесін біледі,есеп шығаруда қолданады.
|
||||||||||||||||||||||||||||||||||||||||||||||||||||||||||||||||||||||
|
Сабақ барысы: |
|||||||||||||||||||||||||||||||||||||||||||||||||||||||||||||||||||||||
|
Уақыты |
Кезең дері |
Педагогтің әрекеті |
Оқушының әрекеті |
Бағалау |
Ресурстар |
||||||||||||||||||||||||||||||||||||||||||||||||||||||||||||||||||
|
5 минут |
Ұйымдастыру |
Сәлеметсіздерме! Бүгін, Жай бөлшектерді және аралас сандарды бөлу тақырыбын қарастырамыз. Бүгінгі сабақта меңгеретініңіз: -Жай бөлшектерді бөлу алгоритмін біледі және бөлуді орындайды; -Аралас сандарды бөлу ережесін біледі,есеп шығаруда қолданады. Үй тапсырмасын тексеру. №599. «Миға шабуыл» стратегиясы. Үй тапсырмаларын оқушылар өзара сұрақ қою және тақырыпты мазмұндау «Еске түсіру»сұрақ-жауап
|
Сабақ мақсатымен танысады. Үй жұмысын айтады. Сұрақтарға жауап береді |
|
Жалпы білім беретін мектептің 5–сыныбына арналған оқулық. Оқулық авторлары: Т.А.Алдамұратова, Қ.С.Байшоланова, Е.С.Байшоланов Алматы «Атамұра» баспасы 2017 жыл |
||||||||||||||||||||||||||||||||||||||||||||||||||||||||||||||||||
|
8 мин |
Жаңа сабақ |
Видеосабақ. https://onlinemektep.net/schedule/20.12.2020/lesson/ff315bb9-00db-4196-824a-6d4e44a586db Жай бөлшекті жай бөлшекке бөлу үшін, бөлінгіш бөлшекті бөлгіш бөлшектің кері санына көбейту керек.
М АРАЛАС САНДЫ АРАЛАС САНҒА БӨЛУ Аралас санды аралас санға бөлу үшін, оларды бұрыс бөлшек түрінде жазып алып, бөлшекті бөлшекке бөлу ережесін қолдану керек
Натурал санды бөлшекке бөлу және бөлшекті натурал санға бөлу Б Мысал
|
Ереже айтады. |
Тақырып бойынша ресурстарды қарап, танысады |
Слайд Интернет ресурстары |
||||||||||||||||||||||||||||||||||||||||||||||||||||||||||||||||||
|
15 мин |
Тапсырмалар. |
1-тапсырма.
1-тапсырма.
1 3-тапсырма.
№607 /1,3,5/, №608 /2,4,6/ 5. Жеке жұмыс (тапсырмаларды орындап болған оқушыларға беріледі)
|
Жай бөлшектерді жай бөлшекке, аралас сандарды бөлу, натурал санды бөлшекке бөлу ережесін қолданып есептейді.
Оқулықтан берілген есептерді шығарады.
Жекелеген оқушыларға тапсырмалар беріледі. |
Дескриптор: - Жай бөлшектерді жай бөлшекке, аралас сандарды бөлу, натурал санды бөлшекке бөлу ережесін қолданып есептейді. -Тақырыпқа қатысты мәтін есептерді шығарады
Дескриптор: - жай бөлшектерді, аралас сандарды бөлу ережесін қолданып есептерді орындайды. |
Презента ция Интернет ресурстары слайд
Жалпы білім беретін мектептің 5–сыныбына арналған оқулық. Оқулық авторлары: Т.А.Алдамұратова, Қ.С.Байшоланова, Е.С.Байшоланов Алматы «Атамұра» баспасы 2017 жыл |
||||||||||||||||||||||||||||||||||||||||||||||||||||||||||||||||||
|
10 мин |
Жеке жұмыс |
Қосымша тапсырма орындау |
Тапсырманы орындайды |
|
|
||||||||||||||||||||||||||||||||||||||||||||||||||||||||||||||||||
|
2 минут |
|
Бүгінгі сабақта: -Жай бөлшектерді бөлу алгоритмін біледі және бөлуді орындады; -Аралас сандарды бөлу ережесін біледі,есеп шығаруда қолданды. Рефлексия. Маған ұнағаны Менің көңіл күйім тамаша Бүгін нені үйрендім? Бүгін алғаным көп, тәжірибемде қолданамын Менде қалған сұрақ? Менің қосарым Үйге тапсырма. №607/2,4,6/, №608 /1,3,5/ |
Тақырыпты меңгергенін анықтау |
Кері байланыс
|
Презентация |
||||||||||||||||||||||||||||||||||||||||||||||||||||||||||||||||||
Сабақ жоспары
Бекітемін:
|
Педагогтің Тегі, Аты, Әкесінің аты (бар болса) |
|
||||||||||||||
|
Пән/Сынып: |
5 сынып; Қатысқандар саны: Қатыспағандар саны: |
||||||||||||||
|
Күні: |
|
||||||||||||||
|
Бөлім: |
5.2А Жай бөлшектерге амалдар қолдану |
||||||||||||||
|
Сабақтың тақырыбы: |
Жай бөлшектерді және аралас сандарды бөлу |
||||||||||||||
|
Оқу бағдарламасына сәйкес оқыту мақсаттары |
5.1.2.23 жай бөлшектерді және аралас сандарды бөлуді орындау; |
||||||||||||||
|
Сабақтың мақсаттары: |
-Жай бөлшектерді бөлу алгоритмін біледі және бөлуді орындайды; -Аралас сандарды бөлу ережесін біледі,есеп шығаруда қолданады.
|
||||||||||||||
|
Сабақ барысы: |
|||||||||||||||
|
Уақыты |
Кезең дері |
Педагогтің әрекеті |
Оқушының әрекеті |
Бағалау |
Ресурстар |
||||||||||
|
5 минут |
Ұйымдастыру |
Сәлеметсіздерме! Бүгін, Жай бөлшектерді және аралас сандарды бөлу тақырыбын қарастырамыз. Бүгінгі сабақта меңгеретініңіз: -Жай бөлшектерді бөлу алгоритмін біледі және бөлуді орындайды; -Аралас сандарды бөлу ережесін біледі,есеп шығаруда қолданады. Үй тапсырмасын тексеру. №№607/2,4,6/, №608 /1,3,5/ «Миға шабуыл» стратегиясы. Үй тапсырмаларын оқушылар өзара сұрақ қою және тақырыпты мазмұндау 1.Бөлшекті бөлшекке көбейтуді қалай орындаймыз? 2. Натурал санды бөлшек санға қалай көбейтеміз? 3. Аралас сандар қалай көбейтіледі? 4. Өзара кері сандар деп қандай сандарды атайды? 5.Бөлшекті бөлшекке бөлуді қалай орындаймыз? 6.Аралас санды аралас санға бөлу қалай орындалады? |
Сабақ мақсатымен танысады. Үй жұмысын айтады. Сұрақтарға жауап береді |
|
Жалпы білім беретін мектептің 5–сыныбына арналған оқулық. Оқулық авторлары: Т.А.Алдамұратова, Қ.С.Байшоланова, Е.С.Байшоланов Алматы «Атамұра» баспасы 2017 жыл |
||||||||||
|
8 мин |
Жаңа сабақ |
Видеосабақ. https://onlinemektep.net/schedule/20.12.2020/lesson/ff315bb9-00db-4196-824a-6d4e44a586db Теориялық білімді практика жүзінде пысықтау. Бөлуді орында (ауызша)
Бөлуді орында:
|
Ереже айтады. |
Тақырып бойынша ресурстарды қарап, танысады |
Слайд Интернет ресурстары |
||||||||||
|
15 мин |
Тапсырмалар. |
І деңгей (5 балл) 1.
2.
3.
ІІ деңгей (6 балл) 1.
2. Квадраттың
қабырғасы 3.
ІІI деңгей (8 балл) Оқулықпен жұмыс.№617 /211 бет/ 1) 4)
№619 /212 бет/ 1) Квадраттың
периметрі
2)Кубтың барлық қырларының қосындысы 69см. Кубтың қыры неше сантиметр?
3.Егер 3 тышқан 3 жаңғақты 3 минутта жессе, 100 тышқан
3.Жеке жұмыс (тапсырмаларды орындап болған оқушыларға беріледі)
1).Көбейтудің қасиеттерін пайдаланып теңдеу шешу
|
Жай бөлшектерді жай бөлшекке, аралас сандарды бөлу, натурал санды бөлшекке бөлу ережесін қолданып есептейді.
Оқулықтан берілген есептерді шығарады. 1) 2 2)
4) 5/21
Жекелеген оқушыларға тапсырмалар беріледі. |
Дескриптор: - Жай бөлшектерді жай бөлшекке, аралас сандарды бөлу, натурал санды бөлшекке бөлу ережесін қолданып есептейді. -Тақырыпқа қатысты мәтін есептерді шығарады
Дескриптор: - жай бөлшектерді, аралас сандарды бөлу ережесін қолданып есептерді орындайды. |
Презента ция Интернет ресурстары слайд
Жалпы білім беретін мектептің 5–сыныбына арналған оқулық. Оқулық авторлары: Т.А.Алдамұратова, Қ.С.Байшоланова, Е.С.Байшоланов Алматы «Атамұра» баспасы 2017 жыл |
||||||||||
|
10 мин |
Жеке жұмыс |
Қосымша тапсырма орындау |
Тапсырманы орындайды |
|
|
||||||||||
|
2 минут |
|
Бүгінгі сабақта: -Жай бөлшектерді бөлу алгоритмін біледі және бөлуді орындады; -Аралас сандарды бөлу ережесін біледі,есеп шығаруда қолданды. Екі жақты күнделік
Сабақты қортындылау мақсатында оқушылармен кері байланыс орнатады.Оқушылар сабақ барысында нені білгенін, қалай жұмыс істегенін ,не қызықты әрі жеңіл болғанын, не киындық туғызғаны туралы ой-пікірлерін білдіре алады. Үйге тапсырма. №610 /1,2,3/, №612. |
Тақырыпты меңгергенін анықтау |
Кері байланыс
|
Презентация |
||||||||||
Сабақ жоспары
Бекітемін:
|
Педагогтің Тегі, Аты, Әкесінің аты (бар болса) |
|
|||||||||||||
|
Пән/Сынып: |
5 сынып; Қатысқандар саны: Қатыспағандар саны: |
|||||||||||||
|
Күні: |
|
|||||||||||||
|
Бөлім: |
5.2А Жай бөлшектерге амалдар қолдану |
|||||||||||||
|
Сабақтың тақырыбы: |
Жай бөлшектерді және аралас сандарды бөлу |
|||||||||||||
|
Оқу бағдарламасына сәйкес оқыту мақсаттары |
5.1.2.23 жай бөлшектерді және аралас сандарды бөлуді орындау; |
|||||||||||||
|
Сабақтың мақсаттары: |
-Жай бөлшектерді бөлу алгоритмін біледі және бөлуді орындайды; -Аралас сандарды бөлу ережесін біледі,есеп шығаруда қолданады.
|
|||||||||||||
|
Сабақ барысы: |
||||||||||||||
|
Уақыты |
Кезең дері |
Педагогтің әрекеті |
Оқушының әрекеті |
Бағалау |
Ресурстар |
|||||||||
|
5 минут |
Ұйымдастыру |
Сәлеметсіздерме! Бүгін, Жай бөлшектерді және аралас сандарды бөлу тақырыбын қарастырамыз. Бүгінгі сабақта меңгеретініңіз: -Жай бөлшектерді бөлу алгоритмін біледі және бөлуді орындайды; -Аралас сандарды бөлу ережесін біледі,есеп шығаруда қолданады. Үй тапсырмасын тексеру. №610 /1,2,3/, №612. «Миға шабуыл» стратегиясы. Үй тапсырмаларын оқушылар өзара сұрақ қою және тақырыпты мазмұндау 1) Қандай санды бөлшек сан деп атаймыз? 2)Бөлшек неше түрге бөлінеді? 3)Бөлімдері бірдей бөлшектерді қалай қосамыз?Бөлімдері әр түрлі болса ше? 4)Бөлімдері бірдей бөлшектерді қалай азайтамыз?Бөлімдері әр түрлі болса ше? 5)Бөлшектерді қалай көбейтеміз? 6)Бөлшектерді қалай бөлеміз? 7)Аралас сандарды қалай косып азайтамыз? 8) Бөлшек сан не үшін керек болады? |
Сабақ мақсатымен танысады. Үй жұмысын айтады. Сұрақтарға жауап береді |
|
. Жалпы білім беретін мектептің 5–сыныбына арналған оқулық. Оқулық авторлары: Т.А.Алдамұратова, Қ.С.Байшоланова, Е.С.Байшоланов Алматы «Атамұра» баспасы 2017 жыл |
|||||||||
|
8 мин |
Жаңа сабақ |
1.Бөлу амалы көбейту амалына
кері амал. Мысылы: 2.Дұрыс бөлшекті аралас санға бөлгенде 1-ші бөлшек өзі жазылады да,2-ші аралас санды дұрыс бөлшекке айналдырып аламыз да, бөлшекті бөлшекке бөлу ережесін қолданамыз. 3.Бөлінгіш сан болғанда натурал санды бөлімі 1 болатын бөлшек түрінде жазып аламыз да, бөлшекті бөлу ережесін қолданамыз. 4. Натурал санды аралас санға бөлу үшін натурал санды бөлімі 1 болатын бөлшек түрінде жазамызда,ал аралас санды бұрыс бөлшекке келтіріп, бөлшекті бөлшекке бөлу ережесін қолданамыз. |
Ережеге мысалдар келтіріп, шығарады. 1).
х= 2).Мысылы: 3).Мысалы: 2: 4).Мысалы: |
Тақырып бойынша ресурстарды қарап, танысады |
Слайд Интернет ресурстары |
|||||||||
|
15 мин |
Тапсырмалар. |
№1. 1. 2. 3. №2. 1. 2. 3. №3. 1. 2. 3. №4. Сәйкестендір» кестесі:
№5. Оқулықтан №616, №621. Жеке жұмыс.
№1 карточка жауаптары
|
Жай бөлшектерді жай бөлшекке, аралас сандарды бөлу, натурал санды бөлшекке бөлу ережесін қолданып есептейді.
Жай бөлшектерді, аралас сандарды бөлу ережесін қолданып есептерді орындайды.
Оқулықтан берілген есептерді шығарады.
Жекелеген оқушыларға тапсырмалар беріледі. |
Дескриптор: - Жай бөлшектерді жай бөлшекке, аралас сандарды бөлу, натурал санды бөлшекке бөлу ережесін қолданып есептейді. -Тақырыпқа қатысты мәтін есептерді шығарады
Дескриптор: -Жай бөлшектерге амалдар қолдану ережелерін біледі. |
Презента ция Интернет ресурстары слайд
Жалпы білім беретін мектептің 5–сыныбына арналған оқулық. Оқулық авторлары: Т.А.Алдамұратова, Қ.С.Байшоланова, Е.С.Байшоланов Алматы «Атамұра» баспасы 2017 жыл |
|||||||||
|
10 мин |
Жеке жұмыс |
Қосымша тапсырма орындау |
Тапсырманы орындайды |
Мониторинг |
|
|||||||||
|
2 минут |
|
Бүгінгі сабақта: -Жай бөлшектерді бөлу алгоритмін біледі және бөлуді орындады; -Аралас сандарды бөлу ережесін біледі,есеп шығаруда қолданды. Кері байланыс.
Үйге тапсырма. №618. |
Тақырыпты меңгергенін анықтау |
Кері байланыс
|
Презентация |
|||||||||
Сабақ жоспары
Бекітемін:
|
Педагогтің Тегі, Аты, Әкесінің аты (бар болса) |
|
|||||||||||||||||||||
|
Пән/Сынып: |
5 сынып; Қатысқандар саны: Қатыспағандар саны: |
|||||||||||||||||||||
|
Күні: |
|
|||||||||||||||||||||
|
Бөлім: |
5.2А Жай бөлшектерге амалдар қолдану |
|||||||||||||||||||||
|
Сабақтың тақырыбы: |
Жай бөлшектерді және аралас сандарды бөлу |
|||||||||||||||||||||
|
Оқу бағдарламасына сәйкес оқыту мақсаттары |
5.1.2.23 жай бөлшектерді және аралас сандарды бөлуді орындау; |
|||||||||||||||||||||
|
Сабақтың мақсаттары: |
-Жай бөлшектерді бөлу алгоритмін біледі және бөлуді орындайды; -Аралас сандарды бөлу ережесін біледі,есеп шығаруда қолданады.
|
|||||||||||||||||||||
|
Сабақ барысы: |
||||||||||||||||||||||
|
Уақыты |
Кезең дері |
Педагогтің әрекеті |
Оқушының әрекеті |
Бағалау |
Ресурстар |
|||||||||||||||||
|
5 минут |
Ұйымдастыру |
Сәлеметсіздерме! Бүгін, Жай бөлшектерді және аралас сандарды бөлу тақырыбын қарастырамыз. Бүгінгі сабақта меңгеретініңіз: -Жай бөлшектерді бөлу алгоритмін біледі және бөлуді орындайды; -Аралас сандарды бөлу ережесін біледі,есеп шығаруда қолданады. Үй тапсырмасын тексеру. №625. «Миға шабуыл» стратегиясы. Үй тапсырмаларын оқушылар өзара сұрақ қою және тақырыпты мазмұндау 1) Қандай санды бөлшек сан деп атаймыз? 2)Бөлшек неше түрге бөлінеді? 3)Бөлімдері бірдей бөлшектерді қалай қосамыз?Бөлімдері әр түрлі болса ше? 4)Бөлімдері бірдей бөлшектерді қалай азайтамыз?Бөлімдері әр түрлі болса ше? 5)Бөлшектерді қалай көбейтеміз? 6)Бөлшектерді қалай бөлеміз? 7)Аралас сандарды қалай косып азайтамыз? 8) Бөлшек сан не үшін керек болады? |
Сабақ мақсатымен танысады. Үй жұмысын айтады. Сұрақтарға жауап береді |
|
Жалпы білім беретін мектептің 5–сыныбына арналған оқулық. Оқулық авторлары: Т.А.Алдамұратова, Қ.С.Байшоланова, Е.С.Байшоланов Алматы «Атамұра» баспасы 2017 жыл |
|||||||||||||||||
|
8 мин |
Жаңа сабақты бекіту. |
1.Жай бөлшекті жай бөлшекке бөлгенде,1-ші бөлшек өзі жазылып,2-ші бөлшек кері санга айналып көбейтіледі. Мысалы: 2.Аралас санды аралас санға бөлгенде ең бңрінші аралас санды бұрыс бөлшекке айналдырып аламыз да, бөлшекті бөлшекке бөлу амалын қолданамыз. Мысалы: 3.Аралас санды натурал
санға бөлгенде,ең бірінші аралас санды бұрыс бөлшекке
айналдырамызда,ал натурал санды бөлімі 1 болатын бөлшек түрінде
жазамызда,бөлшекке бөлу ережесін қолданамыз.
Мысалы: |
Қайталау тапсырмаларын орындайды. |
Тақырып бойынша ресурстарды қарап, танысады |
Слайд Интернет ресурстары |
|||||||||||||||||
|
15 мин |
Тапсырмалар. |
№
1.
1.
2.
№
2.
1.
2.
№
3.
1.
2.
№
4.
1.
2.
№
5.
1.
2.
№
6.
1.
2.
№
7.
1.
2.
№
8.
1.
№5. Оқулықтан №620, №623.
Жеке жұмыс.
|
1.
2.
3.
4.
5.
6.
7.
Жай бөлшектерді жай бөлшекке, аралас сандарды бөлу, натурал санды бөлшекке бөлу ережесін қолданып есептейді. Оқулықтан берілген есептерді шығарады. Жай бөлшектерге амалдар қолдану ережелерін біледі Жекелеген оқушыларға тапсырмалар беріледі. Дәреже ережесін қолданады. |
Дескриптор: - Жай бөлшектерді жай бөлшекке, аралас сандарды бөлу, натурал санды бөлшекке бөлу ережесін қолданып есептейді. -Тақырыпқа қатысты мәтін есептерді шығарады
Дескриптор: -Жай бөлшектерге амалдар қолдану ережелерін біледі. |
Презента ция Интернет ресурстары слайд
Жалпы білім беретін мектептің 5–сыныбына арналған оқулық. Оқулық авторлары: Т.А.Алдамұратова, Қ.С.Байшоланова, Е.С.Байшоланов Алматы «Атамұра» баспасы 2017 жыл |
|||||||||||||||||
|
10 мин |
Жеке жұмыс |
Қосымша тапсырма орындау |
Тапсырманы орындайды |
Мониторинг |
|
|||||||||||||||||
|
2 минут |
|
Бүгінгі
сабақта: -Жай бөлшектерді бөлу
алгоритмін біледі және бөлуді орындады;
-Аралас сандарды бөлу
ережесін біледі,есеп шығаруда қолданды. .
|
Тақырыпты меңгергенін анықтау |
Кері байланыс
|
Презентация |
|||||||||||||||||
Сабақ жоспары
Бекітемін:
|
Педагогтің Тегі, Аты, Әкесінің аты (бар болса) |
|
|||||||||||||||||||||||||||||||||||||||||||||||||||||||||||||
|
Пән/Сынып: |
5 сынып; Қатысқандар саны: Қатыспағандар саны: |
|||||||||||||||||||||||||||||||||||||||||||||||||||||||||||||
|
Күні: |
|
|||||||||||||||||||||||||||||||||||||||||||||||||||||||||||||
|
Бөлім: |
5.2А Жай бөлшектерге амалдар қолдану |
|||||||||||||||||||||||||||||||||||||||||||||||||||||||||||||
|
Сабақтың тақырыбы: |
Жай бөлшектерді және аралас сандарды бөлу |
|||||||||||||||||||||||||||||||||||||||||||||||||||||||||||||
|
Оқу бағдарламасына сәйкес оқыту мақсаттары |
5.1.2.23 жай бөлшектерді және аралас сандарды бөлуді орындау; |
|||||||||||||||||||||||||||||||||||||||||||||||||||||||||||||
|
Сабақтың мақсаттары: |
-Жай бөлшектерді бөлу алгоритмін біледі және бөлуді орындайды; -Аралас сандарды бөлу ережесін біледі,есеп шығаруда қолданады.
|
|||||||||||||||||||||||||||||||||||||||||||||||||||||||||||||
|
Сабақ барысы: |
||||||||||||||||||||||||||||||||||||||||||||||||||||||||||||||
|
Уақыты |
Кезең дері |
Педагогтің әрекеті |
Оқушының әрекеті |
Бағалау |
Ресурстар |
|||||||||||||||||||||||||||||||||||||||||||||||||||||||||
|
5 минут |
Ұйымдастыру |
Сәлеметсіздерме! Бүгін, Жай бөлшектерді және аралас сандарды бөлу тақырыбын қарастырамыз. Бүгінгі сабақта меңгеретініңіз: -Жай бөлшектерді бөлу алгоритмін біледі және бөлуді орындайды; -Аралас сандарды бөлу ережесін біледі,есеп шығаруда қолданады. Үй тапсырмасын тексеру. №628. Қайталау сұрақтары. 1. Бөлімдері бірдей жай бөлшектерді қалай қосамыз (азайтамыз)? 2. Бөлімдері әртүрлі жай бөлшектерді қалай қосамыз (азайтамыз)? 3. Жай бөлшекті қысқарту дегеніміз не? 4. Екі бөлшекті қалай көбейтеміз? 5. Жай бөлшектерді қалай ортақ бөлімге келтіреміз? 6. Жай бөлшекке кері санды қалай табамыз? 7. Аралас санға кері санды қалай табамыз? |
Сабақ мақсатымен танысады. Үй жұмысын айтады. Сұрақтарға жауап береді |
|
Жалпы білім беретін мектептің 5–сыныбына арналған оқулық. Оқулық авторлары: Т.А.Алдамұратова, Қ.С.Байшоланова, Е.С.Байшоланов Алматы «Атамұра» баспасы 2017 жыл |
|||||||||||||||||||||||||||||||||||||||||||||||||||||||||
|
8 мин |
Жаңа сабақты бекіту. |
Жай бөлшекті жай бөлшекке бөлу үшін, бөлінгіш бөлшекті бөлгіш бөлшекке кері санға көбейту керек.
Ал енді натурал санды бөлшекке бөлу, бөлшекті натурал санға бөлуді қалай орындаймыз?
Аралас сандарды қалай бөлеміз? |
Жай бөлшектерді, аралас сандарды бөлу ережесін еске түсіріп, мысалдар келтіреді. |
Тақырып бойынша ресурстарды қарап, танысады |
Слайд Интернет ресурстары |
|||||||||||||||||||||||||||||||||||||||||||||||||||||||||
|
15 мин |
Тапсырмалар. |
№1
№2
№3
(4балл)
№4.
Есеп: Жаяу адам
Шешуі: х – жаяу адамның жылдамдығы
Нұсқауды пайдаланып, есепті өз беттеріңмен шығарады
№5.Оқулықтан №629, №630.
Жеке жұмыс.
№6.Семантикалық қарта (тапсырманы орындап, жасырылған сөзді табу)
|
Жай бөлшектерді жай бөлшекке, аралас сандарды бөлу, натурал санды бөлшекке бөлу ережесін қолданып есептейді.
Тақырыпқа қатысты мәтін есептерді шығарады
Оқулықтан берілген есептерді шығарады. Жекелеген оқушыларға тапсырмалар беріледі.
Жай бөлшектерге амалдар қолдану ережелерін біледі
|
Дескриптор: - Жай бөлшектерді жай бөлшекке, аралас сандарды бөлу, натурал санды бөлшекке бөлу ережесін қолданып есептейді. Дескриптор: -Берілген қашықтықты белгісізі бар теңдік түрінде жазады
-Теңдіктің
екі жағын да -х-тің мәнін жазады -Бөлшекті бөлшекке бөлу ережесін тұжырымдайды
Дескриптор: -Жай бөлшектерге амалдар қолдану ережелерін біледі.
|
Презента ция Интернет ресурстары слайд
Жалпы білім беретін мектептің 5–сыныбына арналған оқулық. Оқулық авторлары: Т.А.Алдамұратова, Қ.С.Байшоланова, Е.С.Байшоланов Алматы «Атамұра» баспасы 2017 жыл |
|||||||||||||||||||||||||||||||||||||||||||||||||||||||||
|
10 мин |
Жеке жұмыс |
Қосымша тапсырма орындау |
Тапсырманы орындайды |
|
|
|||||||||||||||||||||||||||||||||||||||||||||||||||||||||
|
2 минут |
|
Бүгінгі сабақта: -Жай бөлшектерді бөлу алгоритмін біледі және бөлуді орындады; -Аралас сандарды бөлу ережесін біледі,есеп шығаруда қолданды.
Үйге тапсырма. №633. |
Тақырыпты меңгергенін анықтау |
Кері байланыс
|
Презентация |
|||||||||||||||||||||||||||||||||||||||||||||||||||||||||
Сабақ жоспары
Бекітемін:
|
Педагогтің Тегі, Аты, Әкесінің аты (бар болса) |
|
|||||||||||||||||||||||||||||||
|
Пән/Сынып: |
5 сынып; Қатысқандар саны: Қатыспағандар саны: |
|||||||||||||||||||||||||||||||
|
Күні: |
|
|||||||||||||||||||||||||||||||
|
Бөлім: |
5.2А Жай бөлшектерге амалдар қолдану |
|||||||||||||||||||||||||||||||
|
Сабақтың тақырыбы: |
Жай бөлшектерді және аралас сандарды бөлу |
|||||||||||||||||||||||||||||||
|
Оқу бағдарламасына сәйкес оқыту мақсаттары |
5.1.2.23 жай бөлшектерді және аралас сандарды бөлуді орындау; |
|||||||||||||||||||||||||||||||
|
Сабақтың мақсаттары: |
-Жай бөлшектерді бөлу алгоритмін біледі және бөлуді орындайды; -Аралас сандарды бөлу ережесін біледі,есеп шығаруда қолданады.
|
|||||||||||||||||||||||||||||||
|
Сабақ барысы: |
||||||||||||||||||||||||||||||||
|
Уақыты |
Кезең дері |
Педагогтің әрекеті |
Оқушының әрекеті |
Бағалау |
Ресурстар |
|||||||||||||||||||||||||||
|
5 минут |
Ұйым дастыру |
Сәлеметсіздерме! Бүгін, Жай бөлшектерді және аралас сандарды бөлу тақырыбын қарастырамыз. Бүгінгі сабақта меңгеретініңіз: -Жай бөлшектерді бөлу алгоритмін біледі және бөлуді орындайды; -Аралас сандарды бөлу ережесін біледі,есеп шығаруда қолданады. Үй тапсырмасын тексеру. №633. Қайталау сұрақтары. 1. Бөлімдері бірдей жай бөлшектерді қалай қосамыз (азайтамыз)? 2. Бөлімдері әртүрлі жай бөлшектерді қалай қосамыз (азайтамыз)? 3. Жай бөлшекті қысқарту дегеніміз не? 4. Екі бөлшекті қалай көбейтеміз? 5. Жай бөлшектерді қалай ортақ бөлімге келтіреміз? 6. Жай бөлшекке кері санды қалай табамыз? 7. Аралас санға кері санды қалай табамыз? |
Сабақ мақсатымен танысады. Үй жұмысын айтады. Сұрақтарға жауап береді |
|
Жалпы білім беретін мектептің 5–сыныбына арналған оқулық. Оқулық авторлары: Т.А.Алдамұратова, Қ.С.Байшоланова, Е.С.Байшоланов Алматы «Атамұра» баспасы 2017 жыл |
|||||||||||||||||||||||||||
|
8 мин |
Жаңа сабақ ты бекіту. |
Жай бөлшектерді бөлуді есіңе сақта!
|
Видеотүсіндіру қарайды. Жай бөлшектерді, аралас сандарды бөлу ережесін еске түсіріп, мысалдар келтіреді. |
Тақырып бойынша ресурстарды қарап, танысады |
Слайд Интернет ресурстары |
|||||||||||||||||||||||||||
|
15 мин |
Тапсырмалар. |
№1.Берілген сандардың кері сандарын табыңдар:
№2.Есептеңдер:
№3. Есептеңдер:
№4.
Шолпан
х
алма,
Айман 1 №5. «Математикалық дамино»
№6.Оқулықтан № 635 Жеке жұмыс. «Сәйкестердіріңіз»
|
Жай бөлшектерді жай бөлшекке, аралас сандарды бөлу, натурал санды бөлшекке бөлу ережесін қолданып есептейді.
Тақырыпқа қатысты мәтін есептерді шығарады
Жай бөлшектерге амалдар қолдану ережелерін біледі
Оқулықтан берілген есептерді шығарады.
Жекелеген оқушыларға тапсырмалар беріледі.
|
Дескриптор: - Берілген сандарға кері сандарды табады. Дескриптор: - Жай бөлшектерді жай бөлшекке, аралас сандарды бөлу ережелерін біледі.
Дескриптор:
-Жай бөлшектерге амалдар қолдану ережелерін біледі.
|
Презентация Интернет ресурстары слайд Жалпы білім беретін мектептің 5–сыныбына арналған оқулық. Оқулық авторлары: Т.А.Алдамұратова, Қ.С.Байшоланова, Е.С.Байшоланов Алматы «Атамұра» баспасы 2017 жыл |
|||||||||||||||||||||||||||
|
10 мин |
Жеке жұмыс |
Қосымша тапсырма орындау |
Тапсырманы орындайды |
Мониторинг |
|
|||||||||||||||||||||||||||
|
2 минут |
Соңы |
Бүгінгі сабақта: -Жай бөлшектерді бөлу алгоритмін біледі және бөлуді орындады; -Аралас сандарды бөлу ережесін біледі,есеп шығаруда қолданды.
Үйге тапсырма. №637 |
Тақырыпты меңгергенін анықтау |
Кері байланыс
|
Презентация |
|||||||||||||||||||||||||||
Сабақ жоспары
Бекітемін:
|
Педагогтің Тегі, Аты, Әкесінің аты (бар болса) |
|
|||||||||||||||||||||||||||||||
|
Пән/Сынып: |
5 сынып; Қатысқандар саны: Қатыспағандар саны: |
|||||||||||||||||||||||||||||||
|
Күні: |
|
|||||||||||||||||||||||||||||||
|
Бөлім: |
5.2А Жай бөлшектерге амалдар қолдану |
|||||||||||||||||||||||||||||||
|
Сабақтың тақырыбы: |
Жай бөлшектерді және аралас сандарды бөлу |
|||||||||||||||||||||||||||||||
|
Оқу бағдарламасына сәйкес оқыту мақсаттары |
5.1.2.23 жай бөлшектерді және аралас сандарды бөлуді орындау; |
|||||||||||||||||||||||||||||||
|
Сабақтың мақсаттары: |
-Жай бөлшектерді бөлу алгоритмін біледі және бөлуді орындайды; -Аралас сандарды бөлу ережесін біледі,есеп шығаруда қолданады.
|
|||||||||||||||||||||||||||||||
|
Сабақ барысы: |
||||||||||||||||||||||||||||||||
|
Уақыты |
Кезең дері |
Педагогтің әрекеті |
Оқушының әрекеті |
Бағалау |
Ресурстар |
|||||||||||||||||||||||||||
|
5 минут |
Ұйым дастыру |
Сәлеметсіздерме! Бүгін, Жай бөлшектерді және аралас сандарды бөлу тақырыбын қарастырамыз. Бүгінгі сабақта меңгеретініңіз: -Жай бөлшектерді бөлу алгоритмін біледі және бөлуді орындайды; -Аралас сандарды бөлу ережесін біледі,есеп шығаруда қолданады. Үй тапсырмасын тексеру. №633. Қайталау сұрақтары. 1. Бөлімдері бірдей жай бөлшектерді қалай қосамыз (азайтамыз)? 2. Бөлімдері әртүрлі жай бөлшектерді қалай қосамыз (азайтамыз)? 3. Жай бөлшекті қысқарту дегеніміз не? 4. Екі бөлшекті қалай көбейтеміз? 5. Жай бөлшектерді қалай ортақ бөлімге келтіреміз? 6. Жай бөлшекке кері санды қалай табамыз? 7. Аралас санға кері санды қалай табамыз? |
Сабақ мақсатымен танысады. Үй жұмысын айтады. Сұрақтарға жауап береді |
|
Жалпы білім беретін мектептің 5–сыныбына арналған оқулық. Оқулық авторлары: Т.А.Алдамұратова, Қ.С.Байшоланова, Е.С.Байшоланов Алматы «Атамұра» баспасы 2017 жыл |
|||||||||||||||||||||||||||
|
8 мин |
Жаңа сабақ ты бекіту. |
Жай бөлшектерді бөлуді есіңе сақта!
|
Видеотүсіндіру қарайды. Жай бөлшектерді, аралас сандарды бөлу ережесін еске түсіріп, мысалдар келтіреді. |
Тақырып бойынша ресурстарды қарап, танысады |
Слайд Интернет ресурстары |
|||||||||||||||||||||||||||
|
15 мин |
Тапсырмалар. |
№1.Берілген сандардың кері сандарын табыңдар:
№2.Есептеңдер:
№3. Есептеңдер:
№4.
Шолпан
х
алма,
Айман 1 №5. «Математикалық дамино»
№6.Оқулықтан № 635 Жеке жұмыс. «Сәйкестердіріңіз»
|
Жай бөлшектерді жай бөлшекке, аралас сандарды бөлу, натурал санды бөлшекке бөлу ережесін қолданып есептейді.
Тақырыпқа қатысты мәтін есептерді шығарады
Жай бөлшектерге амалдар қолдану ережелерін біледі
Оқулықтан берілген есептерді шығарады.
Жекелеген оқушыларға тапсырмалар беріледі.
|
Дескриптор: - Берілген сандарға кері сандарды табады. Дескриптор: - Жай бөлшектерді жай бөлшекке, аралас сандарды бөлу ережелерін біледі.
Дескриптор:
-Жай бөлшектерге амалдар қолдану ережелерін біледі.
|
Презентация Интернет ресурстары слайд Жалпы білім беретін мектептің 5–сыныбына арналған оқулық. Оқулық авторлары: Т.А.Алдамұратова, Қ.С.Байшоланова, Е.С.Байшоланов Алматы «Атамұра» баспасы 2017 жыл |
|||||||||||||||||||||||||||
|
10 мин |
Жеке жұмыс |
Қосымша тапсырма орындау |
Тапсырманы орындайды |
Мониторинг |
|
|||||||||||||||||||||||||||
|
2 минут |
Соңы |
Бүгінгі сабақта: -Жай бөлшектерді бөлу алгоритмін біледі және бөлуді орындады; -Аралас сандарды бөлу ережесін біледі,есеп шығаруда қолданды.
Үйге тапсырма. №637 |
Тақырыпты меңгергенін анықтау |
Кері байланыс
|
Презентация |
|||||||||||||||||||||||||||
Сабақ жоспары
Бекітемін:
|
Педагогтің Тегі, Аты, Әкесінің аты (бар болса) |
|
|||||
|
Пән/Сынып: |
5 сынып; Қатысқандар саны: Қатыспағандар саны: |
|||||
|
Күні: |
|
|||||
|
Бөлім: |
5.2А Жай бөлшектерге амалдар қолдану |
|||||
|
Сабақтың тақырыбы: |
Жай бөлшектерді және аралас сандарды бөлу |
|||||
|
Оқу бағдарламасына сәйкес оқыту мақсаттары |
5.1.2.23 жай бөлшектерді және аралас сандарды бөлуді орындау; |
|||||
|
Сабақтың мақсаттары: |
-Жай бөлшектерді бөлу алгоритмін біледі және бөлуді орындайды; -Аралас сандарды бөлу ережесін біледі,есеп шығаруда қолданады.
|
|||||
|
Сабақ барысы: |
||||||
|
Уақыты |
Кезең дері |
Педагогтің әрекеті |
Оқушының әрекеті |
Бағалау |
Ресурстар |
|
|
5 минут |
Ұйым дастыру |
Сәлеметсіздерме! Бүгін, Жай бөлшектерді және аралас сандарды бөлу тақырыбын қарастырамыз. Бүгінгі сабақта меңгеретініңіз: -Жай бөлшектерді бөлу алгоритмін біледі және бөлуді орындайды; -Аралас сандарды бөлу ережесін біледі,есеп шығаруда қолданады. Үй тапсырмасын тексеру. №637. Мына кестедегі
әріптерден көлденеңінен математикалық терминдер құрастыру керек.
Тапсырма тез құру әрекетімен есептеледі. Олай болса, тез
орындайық: |
Сабақ мақсатымен танысады. Үй жұмысын айтады. Сұрақтарға жауап береді |
|
Жалпы білім беретін мектептің 5–сыныбына арналған оқулық. Оқулық авторлары: Т.А.Алдамұратова, Қ.С.Байшоланова, Е.С.Байшоланов Алматы «Атамұра» баспасы 2017 жыл |
|
|
8 мин |
Жаңа сабақ ты бекіту. |
Аралас санды жай бөлшекке бөлуді есіңе сақта!
Аралас санды жай бөлшекке бөлу үшін аралас санды бұрыс бөлшек түрінде жазып, бөлшектерді бөлу ережесін қолдану керек. Аралас санды аралас санға бөлуді есіңе сақта!
Аралас санды аралас санға бөлу үшін оларды бұрыс бөлшек түрінде жазып, бөлшектерді бөлу ережесін қолдану керек. |
Видеотүсіндіру қарайды. Жай бөлшектерді, аралас сандарды бөлу ережесін еске түсіріп, мысалдар келтіреді. |
Тақырып бойынша ресурстарды қарап, танысады |
Слайд Интернет ресурстары |
|
|
15 мин |
Тапсырмалар. |
№1.
№2. Теңдеуді шешіңдер: 1).
2). 3).
№3. 2. Тест
тапсырмалары. 2. Теңдеуді
шеш: у + 33/4 = 57/8. 3.Оқулықтан № 640
4. Жеке жұмыс. 1)
|
Жай бөлшектерді жай бөлшекке, аралас сандарды бөлу, натурал санды бөлшекке бөлу ережесін қолданып есептейді. Тақырыпқа қатысты мәтін есептерді шығарады
Жай бөлшектерге амалдар қолдану ережелерін біледі
Оқулықтан берілген есептерді шығарады.
Жекелеген оқушыларға тапсырмалар беріледі. |
Дескриптор: - Берілген сандарға кері сандарды табады. Дескриптор: - Жай бөлшектерді жай бөлшекке, аралас сандарды бөлу ережелерін біледі.
Дескриптор:
-Жай бөлшектерге амалдар қолдану ережелерін біледі.
|
Презентация Интернет ресурстары слайд Жалпы білім беретін мектептің 5–сыныбына арналған оқулық. Оқулық авторлары: Т.А.Алдамұратова, Қ.С.Байшоланова, Е.С.Байшоланов Алматы «Атамұра» баспасы 2017 жыл |
|
|
10 мин |
Жеке жұмыс |
Қосымша тапсырма орындау |
Тапсырманы орындайды |
Мониторинг |
|
|
|
2 минут |
Соңы |
Бүгінгі сабақта: -Жай бөлшектерді бөлу алгоритмін біледі және бөлуді орындады; -Аралас сандарды бөлу ережесін біледі,есеп шығаруда қолданды.
Үйге тапсырма. Қайталау. |
Тақырыпты меңгергенін анықтау |
Кері байланыс
|
Презентация |
|
шағым қалдыра аласыз

































































































=














































































№















2) 






Жауабы:










2)Салыстыр:






















































ысалы,
өлінгіш немесе бөлгіш натурал сан болған жағдайда натурал
сан бөлімі

=




































































.
Барлығы 48 алма. Шолпанда алма қанша?








• 













