___________________________________________ (білім беру ұйымының атауы)
Орта білім беру ұйымдарының педагогіне арналған сабақ жоспары немесе қысқа мерзімді жоспар
___________________________________________
|
Бөлім: |
|
|
|
Педагогтің аты-жөні |
Ержанова Арайлым Ержанқызы |
|
|
Күні: |
21.11.2022ж |
|
|
Сынып: 8 «А» |
Қатысушылар саны: 24 |
Қатыспағандар саны:0 |
|
Сабақтың тақырыбы |
Пифагор теоремасы |
|
|
Оқу бағдарламасына сәйкес оқыту мақсаттары |
8.1.3.21 Пифагор
теоремасын пайдаланып, |
|
|
Сабақтың мақсаты |
|
|
Сабақтың барысы
|
Сабақтың кезеңі/ уақыт |
Педагогтің әрекеті |
Оқушының әрекеті |
ҮТО оқушының іс-әрекеті |
Бағалау |
Ресурстар |
|
Ұйымдастыру 3 мин
7 мин |
Сәлемдесемін. Үй жұмысын тексеремін.Оқушыларды белгілеймін. синус синус альфа мен косинус альфаны пифагор теоремасын пайдаланып қосады
|
Сәлеметсізбе. Үй жұмысын тексертеді
Формулаларды қортады. Сабақтың тақырыбмен мақсатын анықьайды
|
Сәлеметсізбе Үй жұмысын тексертеді
Оқулықтан 6 негізгі формуланы табады, сабақтың тақырыбмен мақсатын анықтайды |
дс
+1
|
Ррр1 |
|
4 мин |
Жаңа тақырып.Формуланы көрсетіп түсіндіремін
|
Негізгі 6 формуланы біледі және дәптерге жазады |
Негізгі 6 формуланы біледі және дәптерге жазады |
|
|
|
Саб орт 10 мин
18мин
|
№2
Өрнекаті ықшамда
ФБ тапсырма
|
|
|
ДС
+1
Макс 6 |
ОЖ |
|
3 мин |
Рефлексия Ауызша
Үй жұмысы №3 №8 тригонметриялық тепе-теңдікті жатта |
Кері байланыс жасайды Үй жұмысы №3 №8 тригонметриялық тепе-теңдікті жатта |
|
|
|
|
1 Биіктіктің ұзындығын табыңыз. |
Пифагор формуласын қолданып гипатенузаны табады |
1 |
|
Биіктіктің формуласын жазады |
1 |
|
|
Биіктігін табады |
1 |
|
|
2. Биіктіктің тікбұрышты үшбұрыштың проекцияларына қатысты формуласын жазыңыз: |
Тікбұрышты үшбұрыштың проекцияға қатысты биіктікті табу формуласын жазады |
1 |
|
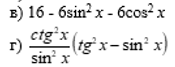
3. Өрнекті ықшамдаңыз: |
Синуспен косинустың мәнін табады |
1 |
|
Тригонометриялық тепе-теңдікті қолданып мәнін табады |
1 |
|
|
|
|
6 |
|
1 тікбұрышты үшбұрыштың катетімен гипатенузасының ұзындығын табыңыз |
Биіктіктің қаситін қолданып катеттің проекиямен гипатенуза арқылы табатын формуланы жазады |
1 |
|
Тікбұрышты үшбұрыштың катетін табады |
1 |
|
|
Тікбұрышты үшбұрыштың гипатенузасын табады |
1 |
|
|
2. Биіктіктің тікбұрышты үшбұрыштың қабырғалары арқылы табатын формуланы жазады |
Биіктіктің тікбұрышты үшбұрыштың қабырғалары арқылы табатын формуланы жазады |
1 |
|
3. Өрнекті ықшамдаңыз: |
Ортақ көбейткішті жақша сыртына шығарып тригонометриялық тепе -теңдікті қолданады |
1 |
|
Өрнектің мәнін жазады |
1 |
|
|
|
|
6 |


0



жүктеу мүмкіндігіне ие боласыз
Бұл материал сайт қолданушысы жариялаған. Материалдың ішінде жазылған барлық ақпаратқа жауапкершілікті жариялаған қолданушы жауап береді. Ұстаз тілегі тек ақпаратты таратуға қолдау көрсетеді. Егер материал сіздің авторлық құқығыңызды бұзған болса немесе басқа да себептермен сайттан өшіру керек деп ойласаңыз осында жазыңыз
Пифагор теоремасы ҚМЖ
Пифагор теоремасы ҚМЖ
___________________________________________ (білім беру ұйымының атауы)
Орта білім беру ұйымдарының педагогіне арналған сабақ жоспары немесе қысқа мерзімді жоспар
___________________________________________
|
Бөлім: |
|
|
|
Педагогтің аты-жөні |
Ержанова Арайлым Ержанқызы |
|
|
Күні: |
21.11.2022ж |
|
|
Сынып: 8 «А» |
Қатысушылар саны: 24 |
Қатыспағандар саны:0 |
|
Сабақтың тақырыбы |
Пифагор теоремасы |
|
|
Оқу бағдарламасына сәйкес оқыту мақсаттары |
8.1.3.21 Пифагор
теоремасын пайдаланып, |
|
|
Сабақтың мақсаты |
|
|
Сабақтың барысы
|
Сабақтың кезеңі/ уақыт |
Педагогтің әрекеті |
Оқушының әрекеті |
ҮТО оқушының іс-әрекеті |
Бағалау |
Ресурстар |
|
Ұйымдастыру 3 мин
7 мин |
Сәлемдесемін. Үй жұмысын тексеремін.Оқушыларды белгілеймін. синус синус альфа мен косинус альфаны пифагор теоремасын пайдаланып қосады
|
Сәлеметсізбе. Үй жұмысын тексертеді
Формулаларды қортады. Сабақтың тақырыбмен мақсатын анықьайды
|
Сәлеметсізбе Үй жұмысын тексертеді
Оқулықтан 6 негізгі формуланы табады, сабақтың тақырыбмен мақсатын анықтайды |
дс
+1
|
Ррр1 |
|
4 мин |
Жаңа тақырып.Формуланы көрсетіп түсіндіремін
|
Негізгі 6 формуланы біледі және дәптерге жазады |
Негізгі 6 формуланы біледі және дәптерге жазады |
|
|
|
Саб орт 10 мин
18мин
|
№2
Өрнекаті ықшамда
ФБ тапсырма
|
|
|
ДС
+1
Макс 6 |
ОЖ |
|
3 мин |
Рефлексия Ауызша
Үй жұмысы №3 №8 тригонметриялық тепе-теңдікті жатта |
Кері байланыс жасайды Үй жұмысы №3 №8 тригонметриялық тепе-теңдікті жатта |
|
|
|
|
1 Биіктіктің ұзындығын табыңыз. |
Пифагор формуласын қолданып гипатенузаны табады |
1 |
|
Биіктіктің формуласын жазады |
1 |
|
|
Биіктігін табады |
1 |
|
|
2. Биіктіктің тікбұрышты үшбұрыштың проекцияларына қатысты формуласын жазыңыз: |
Тікбұрышты үшбұрыштың проекцияға қатысты биіктікті табу формуласын жазады |
1 |
|
3. Өрнекті ықшамдаңыз: |
Синуспен косинустың мәнін табады |
1 |
|
Тригонометриялық тепе-теңдікті қолданып мәнін табады |
1 |
|
|
|
|
6 |
|
1 тікбұрышты үшбұрыштың катетімен гипатенузасының ұзындығын табыңыз |
Биіктіктің қаситін қолданып катеттің проекиямен гипатенуза арқылы табатын формуланы жазады |
1 |
|
Тікбұрышты үшбұрыштың катетін табады |
1 |
|
|
Тікбұрышты үшбұрыштың гипатенузасын табады |
1 |
|
|
2. Биіктіктің тікбұрышты үшбұрыштың қабырғалары арқылы табатын формуланы жазады |
Биіктіктің тікбұрышты үшбұрыштың қабырғалары арқылы табатын формуланы жазады |
1 |
|
3. Өрнекті ықшамдаңыз: |
Ортақ көбейткішті жақша сыртына шығарып тригонометриялық тепе -теңдікті қолданады |
1 |
|
Өрнектің мәнін жазады |
1 |
|
|
|
|
6 |


0



шағым қалдыра аласыз







.

.













