Поурочный план
|
Раздел 8.1А: Квадратные корни и иррациональные выражения |
|
|
|
ФИО учителя: |
|
|
|
да Дата: |
|
|
|
Класс: 8 |
Количество присутствующих |
Количество отсутствующих |
|
Тема урока: |
Преобразования выражений, содержащих квадратные корни |
|
|
Цели обучения в соответствии с учебной программой: |
8.1.2.4 освобождать от иррациональности знаменатель дроби; |
|
|
Цели урока: |
|
|
Ход урока:
|
Этап урока, время |
Действия учителя |
Действия ученика |
Оценивание |
Ресурсы |
||||||||||||||||||||||||||||||||
|
Начало урока (орг.момент) |
- приветствие учащихся - психологический настрой - проверка готовности учащихся к уроку |
- приветствуют учителя - настраиваются на урок |
устный комментарий учителя |
- |
||||||||||||||||||||||||||||||||
|
Начало урока (повторение, проверка дом.задания) |
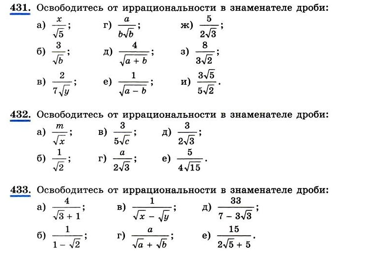
А) Определение Освободиться от иррациональности в знаменателе дроби – значит преобразовать ее, заменив на тождественно равную дробь, в знаменателе которой не содержится корней и степеней. В) какие способы избавления от иррациональности вам известны? 1)Избавление от иррациональности методом умножения на корень 2)Избавление от иррациональности методом умножения на сопряженное выражение 3)Преобразование дробей с иррациональностью в знаменателе с использованием формул суммы и разности кубов 4)Последовательное применение различных способов преобразования
Задание 1.Извлечение квадратного корня из точного квадрата
Задание 2. «Проверка логического мышления»
Самопроверка по рисунку |
1Учащиеся вспоминают определение ,способы решения, рассказывая алгоритм и способы решения.
2.Учащиеся выполняют задания устанавливая верность вычислений |
Пометки правильных ответов на полях.
Похвала Учителя |
|
||||||||||||||||||||||||||||||||
|
Середина урока |
Выполнение заданий
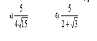
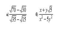
2.Исключите иррациональность из знаменателя дроби
|
Обсуждают основные моменты и делают записи в тетрадях. Выполняют № №. |
Учитель комментирует, направляет, способствует решению задания. |
Учебник Алгебра -8 Абылкасымова А.Е., Кучер Т.П., Корчевский В.Е., Жумагулова З.А. |
||||||||||||||||||||||||||||||||
|
Конец урока |
Самооценивание по дескрипторам(+ озвучивание верных ответов учителем или кем-то из учащихся) Выставление баллов
|
Проверяют работы . |
По просьбе учителя озвучивают свой балл |
|
||||||||||||||||||||||||||||||||
|
Конец урока (подведение итогов, дом.задание)
|
Подведение итогов Д/з
|
Учащиеся записывают д/з |
устный комментарий учителя |
|
Дополнительные задания
жүктеу мүмкіндігіне ие боласыз
Бұл материал сайт қолданушысы жариялаған. Материалдың ішінде жазылған барлық ақпаратқа жауапкершілікті жариялаған қолданушы жауап береді. Ұстаз тілегі тек ақпаратты таратуға қолдау көрсетеді. Егер материал сіздің авторлық құқығыңызды бұзған болса немесе басқа да себептермен сайттан өшіру керек деп ойласаңыз осында жазыңыз
Преобразования выражений, содержащих квадратные корни
Преобразования выражений, содержащих квадратные корни
Поурочный план
|
Раздел 8.1А: Квадратные корни и иррациональные выражения |
|
|
|
ФИО учителя: |
|
|
|
да Дата: |
|
|
|
Класс: 8 |
Количество присутствующих |
Количество отсутствующих |
|
Тема урока: |
Преобразования выражений, содержащих квадратные корни |
|
|
Цели обучения в соответствии с учебной программой: |
8.1.2.4 освобождать от иррациональности знаменатель дроби; |
|
|
Цели урока: |
|
|
Ход урока:
|
Этап урока, время |
Действия учителя |
Действия ученика |
Оценивание |
Ресурсы |
||||||||||||||||||||||||||||||||
|
Начало урока (орг.момент) |
- приветствие учащихся - психологический настрой - проверка готовности учащихся к уроку |
- приветствуют учителя - настраиваются на урок |
устный комментарий учителя |
- |
||||||||||||||||||||||||||||||||
|
Начало урока (повторение, проверка дом.задания) |
А) Определение Освободиться от иррациональности в знаменателе дроби – значит преобразовать ее, заменив на тождественно равную дробь, в знаменателе которой не содержится корней и степеней. В) какие способы избавления от иррациональности вам известны? 1)Избавление от иррациональности методом умножения на корень 2)Избавление от иррациональности методом умножения на сопряженное выражение 3)Преобразование дробей с иррациональностью в знаменателе с использованием формул суммы и разности кубов 4)Последовательное применение различных способов преобразования
Задание 1.Извлечение квадратного корня из точного квадрата
Задание 2. «Проверка логического мышления»
Самопроверка по рисунку |
1Учащиеся вспоминают определение ,способы решения, рассказывая алгоритм и способы решения.
2.Учащиеся выполняют задания устанавливая верность вычислений |
Пометки правильных ответов на полях.
Похвала Учителя |
|
||||||||||||||||||||||||||||||||
|
Середина урока |
Выполнение заданий
2.Исключите иррациональность из знаменателя дроби
|
Обсуждают основные моменты и делают записи в тетрадях. Выполняют № №. |
Учитель комментирует, направляет, способствует решению задания. |
Учебник Алгебра -8 Абылкасымова А.Е., Кучер Т.П., Корчевский В.Е., Жумагулова З.А. |
||||||||||||||||||||||||||||||||
|
Конец урока |
Самооценивание по дескрипторам(+ озвучивание верных ответов учителем или кем-то из учащихся) Выставление баллов
|
Проверяют работы . |
По просьбе учителя озвучивают свой балл |
|
||||||||||||||||||||||||||||||||
|
Конец урока (подведение итогов, дом.задание)
|
Подведение итогов Д/з
|
Учащиеся записывают д/з |
устный комментарий учителя |
|
Дополнительные задания
шағым қалдыра аласыз




















