Қысқа мерзімді (сабақ) жоспары
Арифметикалық амалдардың жазылу ережелері (1 сабақ)
|
Бөлім: |
PYTHON тілінде программалау |
|
|
Педагогтің тегі, аты, әкесінің аты (болған жағдайда) |
Оразханұлы Серікбол |
|
|
Күні: |
03.02.2025 |
|
|
Сынып: 6 |
Қатысушылар саны: |
Қатыспағандар саны: |
|
Сабақтың тақырыбы |
Арифметикалық амалдардың жазылу ережелері (1 сабақ) |
|
|
Оқу бағдарламасына сәйкес оқыту мақсаттары |
6.3.2.1 Python тіліндегі сызықтық алгоритмдерді жазу; |
|
|
Сабақтың мақсаты |
1. Python тілінде арифметикалық әрекеттерді қолдану арқылы өрнектерді жазады. 2. Python функциясының атқаратын қызметін біледі 3.Амалдардың орындалу ретін анықтайды. |
|
|
Бағалау критерийлері: |
1.Арифметикалық әрекеттерді пайдалана отырып өрнектерді жазады. 2.Функциялардың қызметін Pythonда есеп шығару арқылы талдайды. 3.Амалдарды орындап есепті түсінгендерін жеткізеді. |
|
Сабақтың барысы
|
Сабақтың кезеңі/ уақыт |
Педагогтің әрекеті |
Оқушының әрекеті |
Бағалау |
Ресурстар |
|
Сабақтың басы |
1) Оқушылармен сәлемдесу, сабаққа қатысуды тексеру. 2) Психологиялық тұрғыдан қолайлы атмосфера құру үшін "Өрмекші торы" әдісі қолданылады. Оқушылар жақсы тілектерін білдіріп, бір-біріне жіп лақтырады. Көңіл-күйлерін көтереді. 3) Үй тапсырмасын тексеру. Өткен тақырыпты қайталау. Өткен тақырып бойынша білім деңгейін анықтау үшін "Нысана" ойынын ұсынады. Нысана секторларына сұрақ нөмірлері жазылады. Оқушылар нысанаға "оқ жаудырады" және олар тиген сұраққа жауап береді: 1. Деректер түрлерін қалай түсінесіз? 2. Деректер түрлерінің қандай түрлері бар? 3. Сандық деректер түрінің нақты саны қалай белгіленеді? 4. Бағдарламада # белгісі не үшін қолданылады? 5. Int функциясы қандай типке жатады? 6 float функциясы қандай типке жатады? 7 str функциясы қандай типке жатады? |
Балалар жұмыс орындарын тексереді. Оқушылар бір-біріне жақсы тілектер айтады Сұрақтарға жауап береді, әр оқушы өз пікірімен бөліседі. |
Мақтау «Бес саусақ» әдісі бойынша бағалау |
Интербелсенді тақта, презентация |
|
Сабақтың ортасы |
Жаңа тақырыпты меңгеру Оқулықпен жұмыс. Мұғалім оқушыларды жаңа ақпаратпен таныстырады, бірге талқылайды (бейнежазба, презентация, флипчарт қолдануға болады). Арифметикалық әрекеттерді орындау ережелері 1. Егер өрнекте жақшалар болса, ең алдымен жақшадағы әрекеттер орындалады. 2. Егер өрнекте бірнеше жақша болса, онда әрекеттерді орындау ішкі жақшадан басталады. Қалған әрекеттер 1-кестеде көрсетілген басымдықтар бойынша орындалады
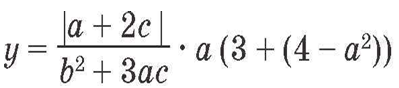
Тәжірибеде қолдану: № 1 тапсырма. У мәні есептелетін бағдарлама құр
№2 тапсырма. Өрнектің мәнін есептейтін бағдарлама құр
Білімді бекіту
Сергіту сәті
|
Мұғалімнің ақпаратын тыңдайды, мысалдарды талдайды Тапсырманы орындайды, шыққан нәтижеге талдау жасайды Дескрипторлар: - ережелердің жазады - сәйкестікті белгілейді - кестені толтырады - бағдарлама кодын түзетеді Көз жаттығуларын орындайды - өрнектерді программалау тіліне аударып жазады; - бағдарламадағы бос орындарды толтырады;
- интерактивті тапсырманы орындайды;
|
«Шапалақтау» әдісі ФБ |
Презентация, оқулық Оқулық, Жұмыс дәптерлері, жұмыс парағы, компьютер https://learningapps.org/watch?v=p8moq5zw324 |
|
Сабақтың соңы |
Үй тапсырмасы: Арифметикалық амалдарға мысалдар келтіріңіз%,//,**. Өрнектер мен нәтижелерді дәптерге жазыңыз. Рефлексия.
|
Үй тапсырмасын жазады
Өз жұмыстарын бағалайды |
Өзін-өзі бағалау |
|
Informatica_didactics
жүктеу мүмкіндігіне ие боласыз
Бұл материал сайт қолданушысы жариялаған. Материалдың ішінде жазылған барлық ақпаратқа жауапкершілікті жариялаған қолданушы жауап береді. Ұстаз тілегі тек ақпаратты таратуға қолдау көрсетеді. Егер материал сіздің авторлық құқығыңызды бұзған болса немесе басқа да себептермен сайттан өшіру керек деп ойласаңыз осында жазыңыз
Python жазылу ережесі
Python жазылу ережесі
Қысқа мерзімді (сабақ) жоспары
Арифметикалық амалдардың жазылу ережелері (1 сабақ)
|
Бөлім: |
PYTHON тілінде программалау |
|
|
Педагогтің тегі, аты, әкесінің аты (болған жағдайда) |
Оразханұлы Серікбол |
|
|
Күні: |
03.02.2025 |
|
|
Сынып: 6 |
Қатысушылар саны: |
Қатыспағандар саны: |
|
Сабақтың тақырыбы |
Арифметикалық амалдардың жазылу ережелері (1 сабақ) |
|
|
Оқу бағдарламасына сәйкес оқыту мақсаттары |
6.3.2.1 Python тіліндегі сызықтық алгоритмдерді жазу; |
|
|
Сабақтың мақсаты |
1. Python тілінде арифметикалық әрекеттерді қолдану арқылы өрнектерді жазады. 2. Python функциясының атқаратын қызметін біледі 3.Амалдардың орындалу ретін анықтайды. |
|
|
Бағалау критерийлері: |
1.Арифметикалық әрекеттерді пайдалана отырып өрнектерді жазады. 2.Функциялардың қызметін Pythonда есеп шығару арқылы талдайды. 3.Амалдарды орындап есепті түсінгендерін жеткізеді. |
|
Сабақтың барысы
|
Сабақтың кезеңі/ уақыт |
Педагогтің әрекеті |
Оқушының әрекеті |
Бағалау |
Ресурстар |
|
Сабақтың басы |
1) Оқушылармен сәлемдесу, сабаққа қатысуды тексеру. 2) Психологиялық тұрғыдан қолайлы атмосфера құру үшін "Өрмекші торы" әдісі қолданылады. Оқушылар жақсы тілектерін білдіріп, бір-біріне жіп лақтырады. Көңіл-күйлерін көтереді. 3) Үй тапсырмасын тексеру. Өткен тақырыпты қайталау. Өткен тақырып бойынша білім деңгейін анықтау үшін "Нысана" ойынын ұсынады. Нысана секторларына сұрақ нөмірлері жазылады. Оқушылар нысанаға "оқ жаудырады" және олар тиген сұраққа жауап береді: 1. Деректер түрлерін қалай түсінесіз? 2. Деректер түрлерінің қандай түрлері бар? 3. Сандық деректер түрінің нақты саны қалай белгіленеді? 4. Бағдарламада # белгісі не үшін қолданылады? 5. Int функциясы қандай типке жатады? 6 float функциясы қандай типке жатады? 7 str функциясы қандай типке жатады? |
Балалар жұмыс орындарын тексереді. Оқушылар бір-біріне жақсы тілектер айтады Сұрақтарға жауап береді, әр оқушы өз пікірімен бөліседі. |
Мақтау «Бес саусақ» әдісі бойынша бағалау |
Интербелсенді тақта, презентация |
|
Сабақтың ортасы |
Жаңа тақырыпты меңгеру Оқулықпен жұмыс. Мұғалім оқушыларды жаңа ақпаратпен таныстырады, бірге талқылайды (бейнежазба, презентация, флипчарт қолдануға болады). Арифметикалық әрекеттерді орындау ережелері 1. Егер өрнекте жақшалар болса, ең алдымен жақшадағы әрекеттер орындалады. 2. Егер өрнекте бірнеше жақша болса, онда әрекеттерді орындау ішкі жақшадан басталады. Қалған әрекеттер 1-кестеде көрсетілген басымдықтар бойынша орындалады
Тәжірибеде қолдану: № 1 тапсырма. У мәні есептелетін бағдарлама құр
№2 тапсырма. Өрнектің мәнін есептейтін бағдарлама құр
Білімді бекіту
Сергіту сәті
|
Мұғалімнің ақпаратын тыңдайды, мысалдарды талдайды Тапсырманы орындайды, шыққан нәтижеге талдау жасайды Дескрипторлар: - ережелердің жазады - сәйкестікті белгілейді - кестені толтырады - бағдарлама кодын түзетеді Көз жаттығуларын орындайды - өрнектерді программалау тіліне аударып жазады; - бағдарламадағы бос орындарды толтырады;
- интерактивті тапсырманы орындайды;
|
«Шапалақтау» әдісі ФБ |
Презентация, оқулық Оқулық, Жұмыс дәптерлері, жұмыс парағы, компьютер https://learningapps.org/watch?v=p8moq5zw324 |
|
Сабақтың соңы |
Үй тапсырмасы: Арифметикалық амалдарға мысалдар келтіріңіз%,//,**. Өрнектер мен нәтижелерді дәптерге жазыңыз. Рефлексия.
|
Үй тапсырмасын жазады
Өз жұмыстарын бағалайды |
Өзін-өзі бағалау |
|
Informatica_didactics
шағым қалдыра аласыз


















