|
Сабақ жоспары. Алгебра. 8сынып |
||||||||||||||
|
Бөлім: |
8.2А Квадрат теңдеулер |
|||||||||||||
|
Педагогтің Тегі, Аты, Әкесінің аты (бар болса) |
|
|||||||||||||
|
Пән/Сынып: |
8 сынып; Қатысқандар саны: Қатыспағандар саны: |
|||||||||||||
|
Күні: |
|
|||||||||||||
|
Сабақтың тақырыбы: |
Квадрат теңдеу. Квадрат теңдеулердің түрлері |
|||||||||||||
|
Оқу бағдарламасына сәйкес оқыту мақсаттары: |
8.2.2.1 квадрат теңдеудің анықтамасын білу; 8.2.2.2 квадрат теңдеулердің түрлерін ажырату; |
|||||||||||||
|
Сабақ мақсаттары: |
|
|||||||||||||
|
Құндылықтарды дарыту |
«Жалпыға бірдей еңбек қоғамы» құндылығына: Топпен, жұппен жұмыс орындау барысында құрмет, серіктестік және жеке жұмыс орындау кезінде жауапкершілік, үздіксіз оқу құндылықтарын дарыту. |
|
||||||||||||
|
Сабақ барысы: |
||||||||||||||
|
Уақыты |
Кезең дері |
Педагогтің әрекеті |
Оқушының әрекеті |
Бағалау |
Ресурстар |
|||||||||
|
5 минут |
Ұйым дастыру |
Сәлеметсіздерме! Бүгін, Квадрат теңдеу. Квадрат теңдеулердің түрлері тақырыптарын қарастырамыз Бүгінгі сабақта меңгеретініңіз: -квадрат теңдеудің анықтамасын білу; -квадрат теңдеулердің түрлерін ажырату |
Амандасу.Сыныпты түгендеу. Сабаққа дайындау, оқу құралдарын алу. Үй тапсырмасын айту. Сұрақтарға жауап береді. |
«Екі жұлдыз, бір тілек» |
Оқулық |
|||||||||
|
10мин |
Негізгі бөлім |
Анықтама. ах2+ вх+с=0 (1 ) Түрінде берілген теңдеу квадрат теңдеу деп аталады. Мұндағы а,в,с-нақты сандар және а#0, ал х- айнымалы. а –бірінші коэффициент, в-екінші коэффициент, с- бос мүше. в немесе с,немесе в мен с нөлге тең болатын дербес жағдайлардағы квадрат теғдеу- толымсыз квадрат теңдеу деп аталады. Толымсыз квадрат теңдеулер былай жазылады: 1) ах 2 +вх=0 (с=0 ) . 2) ах 2 +с=0 (в=0) 3)
ах 2 =0
(в=0,с=0) |
Берілген тапсырмаларды орындайды. 1-жағдай: а және в сандарының таңбалары бірдей, онда оң
сан, – теріс сан болады. х2=0 екені
белгілі,сондықтан ол теріс санға тең болуы мүмкін емес. Енді толымсыз квадрат теңдеулердің шығарылуын қарастырайық: Мысалдар: 5х2-8=7х2-8
теңдеуін шешейік. |
Оқушылар дың белсенділігіне байланысты бағаланады. Дескриптор: -квадрат теңдеудің анықтамасын біледі; -квадрат теңдеулердің түрлерін ажырата алады. |
Тақта, слайд, оқу құралдары; 8 сыныпқа арналған оқулық |
|||||||||
|
25 мин |
Бекіту тапсырмасы |
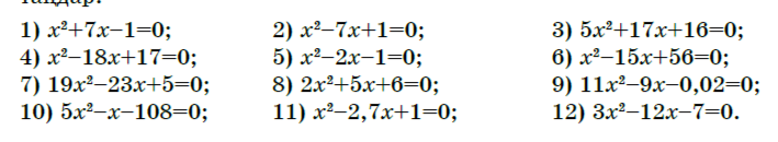
Топтық жұмыс. Оқушылар 3 топка бөлінеді. 1 топ №1 Тапсырма. Теңдеулердің қайсысы квадрат теңдеу болады? 1) 3,7х2-5х+1=0 2) 48х2-3х3-9=0 3) 1-12х=0 4)5х2-4х=0 5) 3х2-2=0 6) 6х+12=0 №2 Коэффициенттерін табу: 1)5х2 -3х=0 2)х 2 +3х-10=0 3) 6х2-30=0 №3 Берілген теңдеудің түбірін анықта. 1)4х2-9х=0 2) -3х 2 -15=0 3) 2х2=0 |
Оқушылар берілген тапсырмаларды орындайды 2 топ №1Тапсырма. Теңдеулердің қайсысы квадрат теңдеу болады? 3,7х2-12х3=0 2) 6х2-30=0 3) 2,1х2+2х-3=0 4) 15х2-5=0 5) 3х2-х=0 6)х-10=0 №2 Коэффициенттерін табу: 1)9х2 =0 2)х 2 +3х-10=0 3)3х2 - 1=0 №3 Берілген теңдеудің түбірін анықта. 1)4х2-3х=0 2) 2х 2 -50=0 3) х2-49 =0 |
Дескриптор: -квадрат теңдеудің анықтамасын біледі; -квадрат теңдеулердің түрлерін ажырата алады.
|
Интернет ресурстары. Тақта, слайд, оқу құралдары; 8 сыныпқа арналған оқулық |
|||||||||
|
|
Жеке жұмыс |
Оқулықтан №2.1, №2.3.
|
Тапсырманы орындайды
|
ҚБ «Бес бaрмaқ» |
Жинақ, парақша Тақта, слайд, оқу құралдары; 8 сыныпқа арналған оқулық |
|||||||||
|
5 минут |
|
Бүгінгі сабақта: -квадрат теңдеудің анықтамасын біледі; -квадрат теңдеулердің түрлерін ажырата алады. «БББ» кестесі.
|
Тақырыпты меңгергенін анықтау. Үйге тапсырма. №2.6. |
Кері байланыс |
|
|||||||||
Сабақ жоспары: №2
|
Бөлім: |
8.2А Квадрат теңдеулер |
|||||||||||||||||
|
Педагогтің Тегі, Аты, Әкесінің аты (бар болса) |
|
|||||||||||||||||
|
Пән/Сынып: |
8 сынып; Қатысқандар саны: Қатыспағандар саны: |
|||||||||||||||||
|
Күні: |
|
|||||||||||||||||
|
Сабақтың тақырыбы: |
Квадрат теңдеу. Квадрат теңдеулердің түрлері |
|||||||||||||||||
|
Оқу бағдарламасына сәйкес оқыту мақсаттары: |
8.2.2.1 квадрат теңдеудің анықтамасын білу; 8.2.2.2 квадрат теңдеулердің түрлерін ажырату; |
|||||||||||||||||
|
Сабақ мақсаттары: |
|
|||||||||||||||||
|
Сабақ барысы: |
||||||||||||||||||
|
Уақыты |
Кезең дері |
Педагогтің әрекеті |
Оқушының әрекеті |
Бағалау |
Ресурстар |
|||||||||||||
|
5 минут |
Ұйым дастыру |
Сәлеметсіздерме! Бүгін, Квадрат теңдеу. Квадрат теңдеулердің түрлері тақырыптарын қарастырамыз Бүгінгі сабақта меңгеретініңіз: -квадрат теңдеудің анықтамасын білу; -квадрат теңдеулердің түрлерін ажырату |
Амандасу.Сыныпты түгендеу. Сабаққа дайындау, оқу құралдарын алу. Үй тапсырмасын айту. Сұрақтарға жауап береді. |
«Екі жұлдыз, бір тілек» |
Оқулық |
|||||||||||||
|
10мин |
Негізгі бөлім |
Анықтама. ах2 +bх+с=0 түрінде берілген теңдеу квадрат теңдеу деп аталады. Мұндағы а,b,с -нақты сандар және а=0, ал х-айнымалы. Теңдеудегі а – бірінші коэффициент, b – екінші коэффициент, с — бос мүше. b= 0 және c=0 болса, онда ол теңдеу толық квадрат теңдеу деп аталады. Мысалы, х2 -2х-1=0; 3х2 -8х+5=0; 2,1х2 +102,3х+0,8=0; в немесе с нөлге
тең болатын квадрат теңдеу толымсыз квадрат теңдеу деп
аталады. |
Оқушылар дың белсенділігіне байланысты бағаланады. Дескриптор: -квадрат теңдеудің анықтамасын біледі; -квадрат теңдеулердің түрлерін ажырата алады. |
Интернет ресурстары |
||||||||||||||
|
25 мин |
Бекіту тапсырмасы |
Топтық жұмыс. №1. Теңдеулердің қайсысы квадрат теңдеу болады?
№2. Квадрат теңдеудің коэффициенттерін атаңдар:
№3. Егер а,b, c-ның мәндері белгілі болса, онда ах2 +bх+с=0 теңдеуін құрыңдар: 1) а=5, b=2, c=17 5х2 +2х+17=0 2) а=-4, b=0,5, c=1 -4х2 +0,5х+1=0 3) а=6, b=-1, c=0 6х2 -х=0 4) а=— , b=0, c=1,2 — х2 +1,2=0 Сергіту сәті. Логикалық тапсырмалар. Тест жауаптары.
|
Оқушылар берілген тапсырмаларды орындайды Өз бетімен жұмыс. Тест
А. х-3=0 В. 2х2 +9х -1=0 С. 4х2 -2х=0 Д. x2 +px+q=0
А. х-3=0 В. 2х2 +9х -1=0 С. 4х2 -2х=0 Д. x2 +px+q=0
А. х-3=0 В. 2х2 +9х -1=0 С. 4х2 -2х=0 Д. x2 +px+q=0 4. х2 — 49 =0 А. 49; -49; В. -7; 7; С. 9; -9 Д. 3; -3 5.Квадрат теңдеудің коэффициенттерін атаңыз: 5х2 -8х -4=0 А. а=8, b=4, c=5 В. а=4, b=5, c=8 С. а=5, b=8, c=4 Д. а=4, b=8, c=5 |
Дескриптор: -квадрат теңдеудің анықтамасын біледі; -квадрат теңдеулердің түрлерін ажырата алады.
|
Жинақ, парақша Тақта, слайд, оқу құралдары; 8 сыныпқа арналған оқулық |
|||||||||||||
|
|
Жеке жұмыс |
Оқулықтан №, №
|
Тапсырманы орындайды
|
ҚБ «Бес бaрмaқ» Дескриптор: -квадрат теңдеудің анықтамасын біледі; -толымсыз квадраттық теңдеуді шешеді
|
Жинақ, парақша Тақта, слайд, оқу құралдары; 8 сыныпқа арналған оқулық |
|||||||||||||
|
5 минут |
|
Бүгінгі сабақта: -квадрат теңдеудің анықтамасын біледі; -квадрат теңдеулердің түрлерін ажырата алады. «БББ» кестесі.
|
Тақырыпты меңгергенін анықтау. Үйге тапсырма. №6.7, №6.11. |
Кері байланыс |
|
|||||||||||||
Сабақ жоспары №3
Бекітемін:
|
Бөлім: |
8.2А Квадрат теңдеулер |
|||||||||||||||||||||||||||||||||
|
Педагогтің Тегі, Аты, Әкесінің аты (бар болса) |
|
|||||||||||||||||||||||||||||||||
|
Пән/Сынып: |
8 сынып; Қатысқандар саны: Қатыспағандар саны: |
|||||||||||||||||||||||||||||||||
|
Күні: |
|
|||||||||||||||||||||||||||||||||
|
Сабақтың тақырыбы: |
Квадрат теңдеулерді шешу |
|||||||||||||||||||||||||||||||||
|
Оқу бағдарламасына сәйкес оқыту мақсаттары: |
8.2.2.3квадрат теңдеулерді шешу; |
|||||||||||||||||||||||||||||||||
|
Сабақ мақсаттары: |
- квадрат теңдеуді формула арқылы шешуді біледі; |
|||||||||||||||||||||||||||||||||
|
Сабақ барысы: |
||||||||||||||||||||||||||||||||||
|
Уақыты |
Кезең дері |
Педагогтің әрекеті |
Оқушының әрекеті |
Бағалау |
Ресурстар |
|||||||||||||||||||||||||||||
|
5 минут |
Ұйым дастыру |
Сәлеметсіздерме! Бүгін, Квадрат теңдеу. Квадрат теңдеулердің түрлері тақырыптарын қарастырамыз Бүгінгі сабақта меңгеретініңіз: - квадрат теңдеулерді шешу. |
Амандасу.Сыныпты түгендеу. Сабаққа дайындау, оқу құралдарын алу. Үй тапсырмасын айту. |
«Екі жұлдыз, бір тілек» |
Оқулық |
|||||||||||||||||||||||||||||
|
10мин |
Негізгі бөлім |
Миға шабуыл «Иә жоқ» әдісі арқылы өткен тақырыпқа шолу жүргізіледі. - Квадрат теңдеудің бос мүшесі а.(жоқ) - Д болғанда екі түбірі болады. (иә) - Д=0 болғанда түбірі жоқ. (жоқ) - Д болғанда бір түбірі болады. (жоқ) - а=1 болғанда келтірілген теңдеу деп аталады. (иә) - Егер c онда екі түбірі теріс сан болады. (иә) - Егер c болса, онда түбірлері қарама-қарсы сандар болады. (жоқ) 2) Квадрат теңдеулердің түрін анықтаңдар:
|
Сұрақтарға жауап береді.
Берілген тапсырмаларды орындайды.
|
Оқушылар дың белсенділігіне байланысты бағаланады.
Дескриптор: -квадрат теңдеудің анықтамасын біледі; -квадрат теңдеулердің түрлерін ажырата алады. |
Интернет ресурстары Жинақ, парақша Тақта, слайд, оқу құралдары; 8 сыныпқа арналған оқулық |
|||||||||||||||||||||||||||||
|
25 мин |
Бекіту тапсырмасы |
«Кім жылдам?» әдісінде оқушыларға оқулықтан тапсырмалар беріледі №1
Сергіту сәті. Логикалық тапсырмалар. «Шағын тест» тапсырмалары 1. Толық квадрат теңдеудің жалпы түрін көрсетіңіз?
a)
2. 3х2 –х+5 = 0 теңдеуінің коэффициенттерін көрсетіңіз? а) a=3, b=1, c=5 b) a=3, b=-1, c=-5 c) a=3, b=-1, c=5 d) a=-3, b=-1, c=5 3. Д=0 болғанда теңдеудің неше шешімі болады? а) бір шешім b) шешімі жоқ c) екі шешім d) бірнеше шешім 4. a=1, b=-3, c=6 коэффициенттері бойынша квадрат теңдеу құрастырыңыз? а) -3х2 +х+6= 0 b) х2 +3х+56= 0 c) х2 –3х+6 = 0 d) 3х2 –х+6= 0 5. х2 –1= 0 теңдеуінің шешімін көрсетіңіз? а)1; b) 1; -1 c)-1; d) 0 |
Оқушылар берілген тапсырмаларды орындайды Кілті:
|
Дескриптор:
|
Интернет ресурстары. Жинақ, парақша Тақта, слайд, оқу құралдары; 8 сыныпқа арналған оқулық |
|||||||||||||||||||||||||||||
|
|
Жеке жұмыс |
Оқулықтан №6.1, №
Дескриптор · Квадрат теңдеуді көбейткіштерге жіктейді · Квадрат теңдеудің түбірлерін табады
|
Тапсырманы орындайды
|
ҚБ «Бес бaрмaқ» Дескриптор:
|
Жинақ, парақша Тақта, слайд, оқу құралдары; 8 сыныпқа арналған оқулық |
|||||||||||||||||||||||||||||
|
5 минут |
|
Бүгінгі сабақта: - квадрат теңдеуді формула арқылы шешуді біледі «БББ» кестесі.
|
Тақырыпты меңгергенін анықтау. Үйге тапсырма. №7.7. |
Кері байланыс |
|
|||||||||||||||||||||||||||||
Бекітемін:
|
Педагогтің Тегі, Аты, Әкесінің аты (бар болса) |
Тлегенова Оразгүл |
||||||||||||||||||||||||||||||
|
Пән/Сынып: |
8 сынып; Қатысқандар саны: Қатыспағандар саны: |
||||||||||||||||||||||||||||||
|
Күні: |
11.11.2024ж |
||||||||||||||||||||||||||||||
|
Бөлім: |
8.2А Квадрат теңдеулер |
||||||||||||||||||||||||||||||
|
Сабақтың тақырыбы: |
Квадрат теңдеулерді шешу |
||||||||||||||||||||||||||||||
|
Оқу бағдарламасына сәйкес оқыту мақсаттары: |
8.2.2.3квадрат теңдеулерді шешу; |
||||||||||||||||||||||||||||||
|
Сабақ мақсаттары: |
-толымсыз квадраттық теңдеулерді шешу; Толық квадраттық теңдеулерді шеше алу. формулаларын білу және оны есеп шығару барысында қолдану |
||||||||||||||||||||||||||||||
|
Сабақ барысы: |
|||||||||||||||||||||||||||||||
|
Уақыты |
Кезең дері |
Педагогтің әрекеті |
Оқушының әрекеті |
Бағалау |
Ресурстар |
||||||||||||||||||||||||||
|
5 минут |
Ұйым дастыру |
Сәлеметсіздерме! Бүгін, Квадрат теңдеу. Квадрат теңдеулердің түрлері тақырыптарын қарастырамыз Бүгінгі сабақта меңгеретініңіз: - квадрат теңдеулерді шешу. |
Амандасу.Сыныпты түгендеу. Сабаққа дайындау, оқу құралдарын алу. Үй тапсырмасын айту. |
«Екі жұлдыз, бір тілек» |
Оқулық |
||||||||||||||||||||||||||
|
10мин |
Негізгі бөлім |
1-мысал.
2-мысал.
|
Сұрақтарға жауап береді. Берілген тапсырмаларды орындайды. |
Оқушылар дың белсенділігіне байланысты бағаланады. Дескриптор: -квадрат теңдеудің анықтамасын біледі; -квадрат теңдеулердің түрлерін ажырата алады. |
Интернет ресурстары |
||||||||||||||||||||||||||
|
25 мин |
Бекіту тапсырмасы |
Деңгейлік тапсырмалар 1-деңгей (2 ұпай) 1) 2х2-8=0 2) 4х2=9 2х2=8 х2=9/4 х2=4 х1=3/2 х1=2 ; х2= -2 х2= -3/2 2-деңгей (4 ұпай) 1) 11 х2-6х-27=8 2) 26+5у-0,5у2=2,5у2+26 3-деңгей(6 ұпай) 1) х2-10х+16=0 2) х2+14х+45=0 (х-8) (х-2) =0 (х+9) (х+5) =0 х1=8 ; х2= 2 х1= -9 ; х2= -5 |
Оқушылар берілген тапсырмаларды орындайды Топтық жұмыс. №1.
Тест есептері. (4 ұпай ) 1) Жалпы квадрат теңдеудің формуласы А.x2+px+q=0 В. ax2+bx+с=0 С. ax2+с=0 2) Квадрат теңдеудің коэффициенттерін атаңдар. x2+6x-7=0 А. а=0, b=0,c= -7; В. а=1, b=6,c= -7; С. а=1, b=0,c= 1; 3) Теңдеуді ax2+bx+с=0 түрінде жазыңдар: х (2х-3)=5-4х А. 2×2-7x-5=0 В. 2×2-2x+5=0 С. 2×2+x-5=0 4) Теңдеуді шешіңдер 7×2-21x=0 А. 0;7 В. 0;21 С. 0;3 |
Дескриптор:
|
Жинақ, парақша Тақта, слайд, оқу құралдары; 8 сыныпқа арналған оқулық |
||||||||||||||||||||||||||
|
|
Жеке жұмыс |
Оқулықтан a, b, c коэффициенттерін тап
Дескриптор: - a, b, c коэффициенттерін анықтайды
|
Тапсырманы орындайды
|
ҚБ «Бес бaрмaқ» Дескриптор: -квадрат теңдеудің анықтамасын біледі; -квадрат теңдеулердің түрлерін ажырата алады. |
Жинақ, парақша Тақта, слайд, оқу құралдары; 8 сыныпқа арналған оқулық |
||||||||||||||||||||||||||
|
5 минут |
|
Бүгінгі сабақта: - квадрат теңдеуді формула арқылы шешуді біледі Қорытынды «Бір минут» әдісі. Оқушылардың сабақта оқыған материалдан түйінді, басты ақпаратты іріктей білу дағдыларын қалыптастыру. Оқушылар бүгінгі өткен тақырып бойынша сұрақтар қою арқылы сабақты қортындылайды. Бағалау:
|
Тақырыпты меңгергенін анықтау. Үйге тапсырма. №2.34. |
Кері байланыс |
|
||||||||||||||||||||||||||
Бекітемін:
|
Бөлім: |
8.2А Квадрат теңдеулер |
|||||
|
Педагогтің Тегі, Аты, Әкесінің аты (бар болса) |
Тлегенова Оразгүл |
|||||
|
Пән/Сынып: |
8 сынып; Қатысқандар саны: Қатыспағандар саны: |
|||||
|
Күні: |
12.11.2024ж |
|||||
|
Сабақтың тақырыбы: |
Квадрат теңдеулерді шешу |
|||||
|
Оқу бағдарламасына сәйкес оқыту мақсаттары: |
8.2.2.3 квадрат теңдеулерді шешу; |
|||||
|
Сабақ мақсаттары: |
- квадрат теңдеуді формула арқылы шешуді біледі; |
|||||
|
Сабақ барысы: |
||||||
|
Уақыты |
Кезең дері |
Педагогтің әрекеті |
Оқушының әрекеті |
Бағалау |
Ресурстар |
|
|
5 минут |
Ұйым дастыру |
Сәлеметсіздерме! Бүгін, Квадрат теңдеу. Квадрат теңдеулердің түрлері тақырыптарын қарастырамыз Бүгінгі сабақта меңгеретініңіз: - квадрат теңдеулерді шешу. |
Амандасу.Сыныпты түгендеу. Сабаққа дайындау, оқу құралдарын алу. Үй тапсырмасын айту. |
«Екі жұлдыз, бір тілек» |
Оқулық |
|
|
10мин |
Негізгі бөлім |
3. Миға шабуыл «Иә жоқ» әдісі арқылы өткен тақырыпқа шолу жүргізіледі. - Квадрат теңдеудің бос мүшесі а.(жоқ) - Д болғанда екі түбірі болады. (иә) - Д=0 болғанда түбірі жоқ. (жоқ) - Д болғанда бір түбірі болады. (жоқ) - а=1 болғанда келтірілген теңдеу деп аталады. (иә) - Егер c онда екі түбірі теріс сан болады. (иә) - Егер c болса, онда түбірлері қарама-қарсы сандар болады. (жоқ) |
Сұрақтарға жауап береді. Берілген тапсырмаларды орындайды. |
Оқушылар дың белсенділігіне байланысты бағаланады. Дескриптор: -квадрат теңдеудің анықтамасын біледі; -квадрат теңдеулердің түрлерін ажырата алады. |
Интернет ресурстары |
|
|
25 мин |
Бекіту тапсырмасы |
Деңгейлік тапсырмалар. 1тапсырма 4х2-3х=0 3х2+5=0 2тапсырма х2-14х+49=0 (х-5)2+4х=25
3тапсырма 345х2-137х-208=0 132х2-247х+115=0
Сергіту сәті. Логикалық тапсырмалар. Оқулықтан №7.14, №7.16. Жұптық жұмыс. Берілген коэффициенттер бойынша квадрат теңдеу құрып, түбірлерін табыңыз: 1. а=1, в=–4, с=35 2. а=–15, в=4, с=–2 3. а=3, в=4, с=4
|
Оқушылар берілген тапсырмаларды орындайды №4. Дискриминантын тауып, түбірлер санын анықта: а) х2-3х+1=0, б) 5х2-2х+6=0, в) 3х2-4х+2=0. Өз бетімен жұмыс. Тест тапсырмаларын орындайды /парақшамен беріледі/
|
Дескриптор · Квадрат теңдеуді көбейткіштерге жіктейді · Квадрат теңдеудің түбірлерін табады
Дескриптор · квадрат теңдеудің дискриминантын табады · Квадрат теңдеудің түбірлерінің санын анықтайды Дескриптор
|
Интернет ресурстары. Жинақ, парақша Тақта, слайд, оқу құралдары; 8 сыныпқа арналған оқулық |
|
|
|
Жеке жұмыс |
Сәйкесін тап ( жеке жұмыс) 1. 2х - 6х =0 Келтірілген квадрат теңдеу 2. х -2х - 9=0 Толымсыз квадрат теңдеу, с=0 3. 3х -8х – 3 =0 Толымсыз квадрат теңдеу, в=0 4. 7х = 0 Толық квадрат теңдеу, а=3, в=-8,с=-3 5. х -16 = 0 Толымсыз квадрат теңдеу.
|
Тапсырманы орындайды №2.52 Бір жазықтықта берілген бірнеше нүктенің кез келген үшеуі бір түзудің бойында жатпайды. Осы нүктелерді қос-қостан қосатын барлығы 28 түзу жүргізу мүмкін болса, бұл нүктелердің саны не- шеу? |
ҚБ «Бас бaрмaқ» Дескриптор · квадрат теңдеудің дискриминантын табады · Квадрат теңдеудің түбірлерінің санын анықтайды Дескриптор
|
Жинақ, парақша Тақта, слайд, оқу құралдары; 8 сыныпқа арналған оқулық |
|
|
5 минут |
|
Бүгінгі сабақта: - квадрат теңдеуді формула арқылы шешуді біледі Қорытынды «Бір минут» әдісі. Оқушылардың сабақта оқыған материалдан түйінді, басты ақпаратты іріктей білу дағдыларын қалыптастыру. Оқушылар бүгінгі өткен тақырып бойынша сұрақтар қою арқылы сабақты қортындылайды. Бағалау. |
Тақырыпты меңгергенін анықтау. Үйге тапсырма. №2.45 |
Кері байланыс |
Жинақ, парақша Тақта, слайд, оқу құралдары; 8 сыныпқа арналған оқулық |
|
|
Педагогтің Тегі, Аты, Әкесінің аты (бар болса) |
Тлегенова Оразгүл |
|||||||||||||||||||||||
|
Пән/Сынып: |
8 сынып; Қатысқандар саны: Қатыспағандар саны: |
|||||||||||||||||||||||
|
Күні: |
13.11.2024ж |
|||||||||||||||||||||||
|
Бөлім: |
8.2А Квадрат теңдеулер |
|||||||||||||||||||||||
|
Сабақтың тақырыбы: |
Виет теоремасы. |
|||||||||||||||||||||||
|
Оқу бағдарламасына сәйкес оқыту мақсаттары: |
8.2.2.4 Виет теоремасын қолдану; |
|||||||||||||||||||||||
|
Сабақ мақсаттары: |
Квадрат теңдеудің түбірлерін анықтау үшін Виет теоремасын және оған кері теореманы қолдана алу; Квадрат теңдеудің түбірлерін анықтау үшін Виет теоремасын және оған кері теореманы қолдану арқылы берілген есептерді шығара алу; Квадрат теңдеудің түбірлерін анықтау үшін Виет теоремасын және оған кері теореманы қолданып, күрделі есептерді тиімді тәсілдер арқылы шығару |
|||||||||||||||||||||||
|
Құндылықтарды дарыту |
«Жалпыға бірдей еңбек қоғамы» құндылығына: Топпен, жұппен жұмыс орындау барысында құрмет, серіктестік және жеке жұмыс орындау кезінде жауапкершілік, үздіксіз оқу құндылықтарын дарыту. |
|
||||||||||||||||||||||
|
Сабақ барысы: |
||||||||||||||||||||||||
|
Уақыты |
Кезең дері |
Педагогтің әрекеті |
Оқушының әрекеті |
Бағалау |
Ресурстар |
|||||||||||||||||||
|
5 минут |
Ұйым дастыру |
Сәлеметсіздерме! Бүгін, Виет теоремасы тақырыптарын қарастырамыз Бүгінгі сабақта меңгеретініңіз: - Виет теоремасын қолдану. |
Амандасу.Сыныпты түгендеу. Сабаққа дайындау, оқу құралдарын алу. Үй тапсырмасын айту. |
«Екі жұлдыз, бір тілек» |
Оқулық |
|||||||||||||||||||
|
15мин |
Негізгі бөлім |
1-теорема (Виет теоремасы). Келтірілген x2+px+q=0 квадрат тең- деуінің түбірлерінің қосындысы оның қарама-қарсы таңбамен алын- ған екінші коэффициентіне, ал көбейтіндісі бос мүшесіне тең:
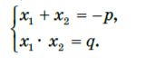
Онда 2 және (–3) сандары x2+x–6=0 теңдеуінің түбірлері болады. 3-мысал. x2+2x–15=0 теңдеуі үшін 3+(–5)=–2, 3·(–5)=–15 болған- дықтан, х1=–5 және х2=3 — берілген теңдеудің түбірлері. |
Сұрақтарға жауап береді. Берілген тапсырмаларды орындайды. І топқа.
ІІ топқа.
ІІІ топқа.
|
Оқушылар дың белсенділігіне байланысты бағаланады.
Дескриптор: -квадрат теңдеудің анықтамасын біледі; -квадрат теңдеулердің түрлерін ажырата алады. -виет теоремасын қолданып, есептер шығарады
|
Жинақ, парақша Тақта, слайд, оқу құралдары; 8 сыныпқа арналған оқулық |
|||||||||||||||||||
|
20 мин |
Бекіту тапсырмасы |
Тапсырмалар. №1: Виет теоремасын қолданып теңдеудің түбірлерін табыңдар: x2 + x – 6 = 0 №2: Виет теоремасын қолданып теңдеудің түбірлерін табыңдар: x2 – 4x + 3 = 0 №3: Виет теоремасын қолданып теңдеудің түбірлерін табыңдар: x2 – 21x – 26 = 0 №4: Виет теоремасын қолданып теңдеудің түбірлерін табыңдар: x2 – 8x + 7 = 0 Сергіту сәті. Логикалық тапсырмалар. Оқулықтан №2.63 №2.64. Тест жауабы: 1.А 2. В 3. С |
Оқушылар берілген тапсырмаларды орындайды.
Өз бетімен жұмыс. Тест тапсырмаларын орындайды /парақшамен беріледі/ 1.Берілген теңдеудің түбірлерінің қосындысы мен көбейтіндісін табыңдар: x2-8x+15=0 А) 8; 15 В) -8;15 С) 8;-15 D) -8;-15 Е) 5;-18 2. Түбірлері x1=-1; x2=-7 болатын теңдеуді жазыңдар: А) x2+8x+15=0 В) x2+8x+7=0 С) x2-8x+7=0 D) x2+8x-7=0 Е) x2-8x-7=0 3. x2+px-35=0 теңдеуінің бір түбірі 7-ге тең. Екінші түбірін және р-ны табыңдар. А) 2;5 В) -2;5 С) -5;-2 D) 2;-5 Е) 5;-1
|
Дескриптор: - Квадрат теңдеуді Виет теоремасы арқылы шешуді біледі; - Квадрат теңдеудің түбірлерін табады
|
Интернет ресурстары. Жинақ, парақша Тақта, слайд, оқу құралдары; 8 сыныпқа арналған оқулық |
|||||||||||||||||||
|
|
Жеке жұмыс |
Тапсырманы орындайды
|
ҚБ «Бас бaрмaқ» Дескриптор: - Квадрат теңдеуді Виет теоремасы арқылы шешуді біледі; - Квадрат теңдеудің түбірлерін табады
|
Жинақ, парақша Тақта, слайд, оқу құралдары; 8 сыныпқа арналған оқулық |
||||||||||||||||||||
|
5 минут |
|
Бүгінгі сабақта: - Виет теоремасын қолдана біледі. Кері байланыс
Бағалау. |
Тақырыпты меңгергенін анықтау. Үйге тапсырма. №8.10. |
Кері байланыс |
|
|||||||||||||||||||
Бекітемін:
|
Педагогтің Тегі, Аты, Әкесінің аты (бар болса) |
Тлегенова Оразгүл |
||||||||||||
|
Пән/Сынып: |
8 сынып; Қатысқандар саны: Қатыспағандар саны: |
||||||||||||
|
Күні: |
18.11.2024ж |
||||||||||||
|
Бөлім: |
8.2А Квадрат теңдеулер |
||||||||||||
|
Сабақтың тақырыбы: |
Виет теоремасы. |
||||||||||||
|
Оқу бағдарламасына сәйкес оқыту мақсаттары: |
8.2.2.4 Виет теоремасын қолдану; |
||||||||||||
|
Сабақ мақсаттары: |
Квадрат теңдеудің түбірлерін анықтау үшін Виет теоремасын және оған кері теореманы қолдана алу; Квадрат теңдеудің түбірлерін анықтау үшін Виет теоремасын және оған кері теореманы қолдану арқылы берілген есептерді шығара алу; Квадрат теңдеудің түбірлерін анықтау үшін Виет теоремасын және оған кері теореманы қолданып, күрделі есептерді тиімді тәсілдер арқылы шығару |
||||||||||||
|
Құндылықтарды дарыту |
«Жалпыға бірдей еңбек қоғамы» құндылығына: Топпен, жұппен жұмыс орындау барысында құрмет, серіктестік және жеке жұмыс орындау кезінде жауапкершілік, үздіксіз оқу құндылықтарын дарыту. |
|
|||||||||||
|
Сабақ барысы: |
|||||||||||||
|
Уақыты |
Кезең дері |
Педагогтің әрекеті |
Оқушының әрекеті |
Бағалау |
Ресурстар |
||||||||
|
5 минут Сабақ басы |
Ұйым дастыру |
Сәлеметсіздерме! Бүгін, Виет теоремасы тақырыптарын қарастырамыз Бүгінгі сабақта меңгеретініңіз: - Виет теоремасын қолдану. |
Амандасу.Сыныпты түгендеу. Сабаққа дайындау, оқу құралдарын алу. Үй тапсырмасын айту. |
Екі жұлдыз, бір тілек» |
Оқулық |
||||||||
|
Сабақ ортасы |
негізгі кезең |
|
Есептерді топпен шығарып, бүтін түбірлері бар теңдеулерді атайды |
|
Жинақ, парақша Тақта, слайд, оқу құралдары; 8 сыныпқа арналған оқулық |
||||||||
|
|
|
Жаңа
сабақ |
Бейне: https://bilimland.kz/kk/subject/algebra/8-synyp/viet-teoremasy сабақты бейне үзіндігк қарап түсінеді |
|
Бейне: https://bilimland.kz/kk/subject/algebra/8-synyp/viet-teoremasy Бейне: https://bilimland.kz/kk/subject/algebra/8-synyp/viet-teoremasy |
||||||||
|
|
|
Виет теоремасын а = 1 болатын келтірілген квадраттық теңдеулер түбірін табуда қолданамыз.
Келтірілген квадраттық
теңдеулер түбірінің қосындысы қарсы таңбасымен алынған екінші
коэффициентке,ал көбейтіндісі бос мүшеге тең
болады:
IV. Жаттығулармен жұмыс: 1 – кезең тапсырмалары: (жұптық жұмыс) 1 – топ: «Келтірілген квадрат теңдеу» № 1. Теңдеуді
шешіңіз: Дескриптор: Білім алушы:
№ 2. Түбірлері бойынша квадрат теңдеу құрыңыз: а)
ә)
Дескриптор: Білім алушы:
№ 3. Теңдеу түбірлерінің қосындысын
табыңыз: Дескриптор: Білім алушы:
№ 4. Теңдеу түбірлерінің кубтарының қосындысын табыңыз:
Дескриптор: Білім алушы:
№ 7.
Дескриптор: Білім алушы:
|
№ 2. Түбірлері бойынша квадрат теңдеу құрыңыз: а)
ә)
Дескриптор: Білім алушы:
№ 3. Теңдеу түбірлерінің қосындысын
табыңыз: Дескриптор: Білім алушы:
№ 4. Теңдеу түбірлерінің кубтарының қосындысын табыңыз:
Дескриптор: Білім алушы:
2 – кезең тапсырмалары: (топтық жұмыс) 1 – топ: «Келтірілген квадрат теңдеу» № 5.
Дескриптор: Білім алушы:
№ 6.
Дескриптор: Білім алушы:
№ 7.
Дескриптор: Білім алушы:
2 – топ: «Келтірілмеген квадрат теңдеу» № 5.
Дескриптор: Білім алушы:
№ 6.
Дескриптор: Білім алушы:
|
Дескриптор: Білім алушы:
Компьютер. Тест: https://itest.kz/kz/exam-test?test_id=199282662
|
Жинақ, парақша Тақта, слайд, оқу құралдары; 8 сыныпқа арналған оқулық Жинақ, парақша Тақта, слайд, оқу құралдары; 8 сыныпқа арналған оқулық Жинақ, парақша Тақта, слайд, оқу құралдары; 8 сыныпқа арналған оқулық Жинақ, парақша Тақта, слайд, оқу құралдары; 8 сыныпқа арналған оқулық
|
||||||||
|
5 минут |
|
Бүгінгі сабақта: - Виет теоремасын қолдана біледі. Кері байланыс
Бағалау. |
Тақырыпты меңгергенін анықтау. V. Сабақты бекіту: Тест тапсырмалары: Барлық тапсырма саны – 10. Жалпы балл: 10 балл
Үйге тапсырма. № |
Кері байланыс |
Бағалау парағы оқулық |
||||||||
Бекітемін: тақырып: №10
|
Бөлім: |
8.2А Квадрат теңдеулер |
|||||||||||||||||||||||||||||||
|
Педагогтің Тегі, Аты, Әкесінің аты (бар болса) |
Тлегенова Оразгүл |
|||||||||||||||||||||||||||||||
|
Пән/Сынып: |
8 сынып; Қатысқандар саны: Қатыспағандар саны: |
|||||||||||||||||||||||||||||||
|
Күні: |
19.11.2024ж |
|||||||||||||||||||||||||||||||
|
Сабақтың тақырыбы: |
Квадрат үшмүше |
|||||||||||||||||||||||||||||||
|
Оқу бағдарламасына сәйкес оқыту мақсаттары: |
8.2.1.1квадрат үшмүшенің түбірі ұғымын меңгеру; |
|||||||||||||||||||||||||||||||
|
Сабақ мақсаттары: |
- Квадрат теңдеуді Виет теоремасын қолдану арқылы шешуді біледі; |
|||||||||||||||||||||||||||||||
|
Сабақ барысы: |
||||||||||||||||||||||||||||||||
|
Уақыты |
Кезең дері |
Педагогтің әрекеті |
Оқушының әрекеті |
Бағалау |
Ресурстар |
|||||||||||||||||||||||||||
|
5 минут |
Ұйым дастыру |
Сәлеметсіздерме! Бүгін, Квадрат үшмүше тақырыптарын қарастырамыз Бүгінгі сабақта меңгеретініңіз: - квадрат үшмүшенің түбірі ұғымын меңгеру |
Амандасу.Сыныпты түгендеу. Сабаққа дайындау, оқу құралдарын алу. Үй тапсырмасын айту. |
«Екі жұлдыз, бір тілек» |
Оқулық |
|||||||||||||||||||||||||||
|
10мин |
Негізгі бөлім |
Анықтама. ах2 + вх + с түріндегі көпмүше квадрат үшмүше деп аталады. Мұндағы х – айнымалы, а, в, с-коэффициенттержәне а ≠ 0 Квадрат теңдеу жағдайындағы сияқты а – квадрат үшмүшенің бірінші коэффициенті, в – екінші коэффициенті, с – бос мүше. Егер квадрат үшмүшенің бірінші коэффициенті 1-ге тең, яғни а = 1 болса, онда квадрат үшмүше келтірілген квадрат үшмүше депаталады. Квадрат үшмүшені нөлге айналдыратын х айнымалысының мәндерін квадрат үшмүшенің түбірлері депатайды. Басқаша айтқанда, ах2+ вх + с = 0 (а ≠ 0) теңдеуінің түбірлері сәйкесінше ах2 + вх + с квадрат үшмүшенің түбірлері деп аталады. ах2 + вх + с = а(х – х1)(х – х2) формуласын квадрат үшмүшені түбірлері арқылы көбейткіштерге жіктеу формуласы деп атайды. Квадрат үшмүшенің түбірлері бар болса, онда ол көбейткіштерге жіктеледі. Керісінше, квадрат үшмүше көбейткіштерге жіктелсе, онда оның түбірлері болады. Егер квадрат үшмүше көбейткіштерге жіктелмесе, онда оның түбірлері болмайды. |
Сұрақтарға жауап береді. Берілген тапсырмаларды орындайды.
Мысалы: х2 – 16х + 60; х2 – 16х + 60 = 0; х1 = 6; х2 = 10 х2 – 16х + 60 = (х – 6)(х – 10) |
Оқушылар дың белсенділігіне байланысты бағаланады. |
Интернет ресурстары Жинақ, парақша Тақта, слайд, оқу құралдары; 8 сыныпқа арналған оқулық |
|||||||||||||||||||||||||||
|
25 мин |
Бекіту тапсырмасы |
Тапсырмалар. Джигсо әдісі бойынша әр оқушы жеке тапсырманы орындайды, топпен талқылайды, келесі топқа барып түсіндіреді. х2 -14х + 49 х2 -11х + 10 х2 -70х + 1200
Сиқырлы үшмүшені табу, топтарға тапсырманы бөліп беру. (уақытқа)
|
Оқушылар берілген тапсырмаларды орындайды. Өз бетімен жұмыс. Егер сұраққа «иә» жауап берсең қызыл түспен, «жоқ» деп жауап берсең көк түспен торды боя . 1) Квадрат үшмүшенің түбірлері болса, ол көбейткішке жіктеле ме? 2) Квадрат теңдеудің түбірін таба алдың ба? 3) Виет теоремасын пайдаландың ба? 4) Квадрат үшмүшені көбейткішке жіктей алдың ба? 5)Дискриминант D= b2 - 4acформуласымен табыла ма? 6)Үшмүшені жіктеу формуласы ах2 + вх + с = а(х – х1)(х – х2) дұрыс па ? 7) Бүгінгі сабақ ұнады ма? |
Дескриптор: - Үшмүшенің коэффициенттерін таба біледі 1 балл -Үшмүшенің түбірін таба біледі 1 балл
|
Интернет ресурстары. Жинақ, парақша Тақта, слайд, оқу құралдары; 8 сыныпқа арналған оқулық |
|||||||||||||||||||||||||||
|
|
Жеке жұмыс |
|
Теңдеулерді шешпей-ақ, олардың түбірлерінің таңбаларын анықтаңдар
|
ҚБ «Бас бaрмaқ» |
Жинақ, парақша Тақта, слайд, оқу құралдары; 8 сыныпқа арналған оқулық |
|||||||||||||||||||||||||||
|
|
|
Квадрат үшмүшені
көбейткіштерге жіктеңдер |
№2.102 Квадрат үшмүшені көбейткіштерге жіктеңдер:
№2.106 х2+х+k=0 теңдеуінің нақты түбірлері болмайтындай етіп, k-ның ең кіші бүтін мәнін табыңдар. |
|
Жинақ, парақша Тақта, слайд, оқу құралдары; 8 сыныпқа арналған оқулық |
|||||||||||||||||||||||||||
|
|
|
ҚБ:Оқушылар бір-бірін басбармақ арқылы бағалайды |
Дескриптор Квадрат үшмүшенің түбірлерін табады; Квадрат үшмүшені көбейткіштерге жіктейді, Бөлшекті қысқартуды орындайды. ҚБ: Оқушылар бір-бірін басбармақ арқылы бағалайды |
Жинақ, парақша Тақта, слайд, оқу құралдары; 8 сыныпқа арналған оқулық |
||||||||||||||||||||||||||||
|
5 минут |
|
Бүгінгі сабақта: - вадрат үшмүшенің түбірі ұғымын меңгереді. Кері байланыс: «Сабақта өзіңді бағала» рефлексиясы Оқушылардың әрқайсысына сабақтағы жұмысын мінездейтін фразалар жазылған үлестірмелер таратылады. Оқушы өзінің жұмысына тиісті фразалардың астын сызу арқылы баға беруі керек: Бағалау. |
Тақырыпты меңгергенін анықтау. Үйге тапсырма. № Аты-жөні: ___ ___ сынып Сабақ Мен сабақ үстінде 1. қызық 1. Жұмыс 1. түсіндім 2. қызыға бастадым 2. демалдым 2. Көбірек бі лдім 3. жалықтырды 3. басқаларға 3.түсінбедім көмектестім |
Кері байланыс |
Жинақ, парақша Тақта, слайд, оқу құралдары; 8 сыныпқа арналған оқулық |
|||||||||||||||||||||||||||
№11
Бекітемін:
|
Педагогтің Тегі, Аты, Әкесінің аты (бар болса) |
Тлегенова Оразгүл |
|||||
|
Пән/Сынып: |
8 сынып; Қатысқандар саны: Қатыспағандар саны: |
|||||
|
Күні: |
20.11.2024ж |
|||||
|
Бөлім: |
8.2А Квадрат теңдеулер |
|||||
|
Сабақтың тақырыбы: |
Квадрат үшмүше. Үшмүшеден екімүшенің толық квадратын бөлу. |
|||||
|
Оқу бағдарламасына сәйкес оқыту мақсаттары: |
8.2.1.2 үшмүшеден екімүшенің толық квадратын бөлу; |
|||||
|
Сабақ мақсаттары: |
-Үшмүшеден екі мүшенің толық квадратын бөлу -Квадрат үшмүшеден екімүшенің толық квадратын бөлуді есеп шығаруда қолдану; - Квадрат үшмүшеден екімүшенің толық квадратын бөлу үшін тиімді тәсілдерді қолдану |
|||||
|
Сабақ барысы: |
||||||
|
Уақыты |
Кезең дері |
Педагогтің әрекеті |
Оқушының әрекеті |
Бағалау |
Ресурстар |
|
|
5 минут |
Ұйым дастыру |
Сәлеметсіздерме! Бүгін, Квадрат үшмүше тақырыптарын қарастырамыз Бүгінгі сабақта меңгеретініңіз: - үшмүшеден екімүшенің толық квадратын бөлу |
Амандасу.Сыныпты түгендеу. Сабаққа дайындау, оқу құралдарын алу. Үй тапсырмасын айту. |
«Екі жұлдыз, бір тілек» |
Оқулық |
|
|
10мин |
Негізгі бөлім |
Қығушылықты ояту: белгісіз мүшелерді толықтыр
Проблемалық сұрақ: Үшмүшеден екімүшенің квадратын қалай аламын? Сабақтың тақырыбы мен мақсаты айқындалады. Оқушыларды квадрат теңдеудің түрлері арқылы үш топқа бөлу. 1-топ. Толымсыз квадрат теңдеу; 2-топ. Толық квадрат теңдеу; 3-топ. Келтірілген квадрат теңдеу. «Дайындал... Назар сал... Оқыңдар... » әдісі арқылы оқушылар жаңа ақпаратты оқып, топта талқылайды. І. Ротация әдісі: (топтық жұмыс) |
Сұрақтарға жауап береді. Берілген тапсырмаларды орындайды.
Берілген үшмүшеден екімүшенің толық квадратын бөліңдер.
|
Дескриптор: Білім алушы - түрлендірулер арқылы екі өрнектің қосындысының немесе айырмасының квадратының формуласына келтіреді; - екімүшенің толық квадратын бөліп алады; Оқушылар дың белсенділігіне байланысты бағаланады. |
Интернет ресурстары |
|
|
25 мин |
Бекіту тапсырмасы |
Тапсырмалар. «Ойлан-Жұптас-Бөліс» әдісі. (Жұптық жұмыс) Берілген үшмүшеден екімүшенің толық квадратын бөліп алыңдар; Квадрат үшмүшенің ең үлкен мәнін немесе ең кіші мәнін табыңдар.
Дамытушылық деңгей: І-нұсқа №2. Тіктөртбұрыштың ұзындығы енінен 4 м ұзын. Тіктөртбұрыштың ауданы 45 м2. Тіктөрбұрыштың ені мен ұзындығын табыңыз. ІІ-нұсқа №2. Тіктөртбұрыштың ұзындығы енінен 2 м ұзын. Тіктөртбұрыштың ауданы 48 м2. Тіктөрбұрыштың ені мен ұзындығын табыңыз.
«Өзіңді тексер» әдісі арқылы сәйкестендіру тест беремін.
Сергіту сәті. Логикалық тапсырмалар. Оқулықтан №9.6, №9.7.
|
Оқушылар берілген тапсырмаларды орындайды. Өз бетімен жұмыс. Тест. Тақырыпты пысықтау мақсатында 1.Берілген көпмүшелердің қайсысы квадрат үшмүше болады? А. 2х+3 В. х3-х2+5 С. х2-19х Д. 3х3-0,4х2-х 2. х2-9х+8 квадрат үшмүшесін көбейткіштерге жіктеңдер А. (х-1)(х-8) В.(х+1)(х-9) С.(х+1)(х+8) Д. Жіктеуге болмайды
3.Түбірлерін х1=5 және x2=4 ден алып квадрат үшмүшені жазыңдар А. х2+9х+20 В. х2-х-20 С. х2+х-20 Д. х2-9х-20
4. 2х2-10х+12 квадрат үшмүшесін көбейткіштерге жіктеңдер А. (2х-4)(х+3) В.2(х-2)(х-3) С. 2(х+2)(х+3) Д. (х-2)(х-3)
5. х1=2,5 және x2=-3 ден алып квадрат үшмүшені жазыңдар А. х2-5,5х+7,5 В. х2-0,5х-7,5 С. х2-5,5х-7,5 Д. х2+0,5х-7,5 |
Дескриптор: - ??2 +??+? өрнегіндегі ? коэффициентін жақшаның сыртына шығарады; - түрлендірулер арқылы екі өрнектің қосындысының немесе айырмасының квадратының формуласына келтіреді; - екімүшенің толық квадратын бөліп алады; - квадрат үшмүшенің ең кіші (ең үлкен) мәнін табады.
Дескриптор Квадрат үшмүшенің түбірлерін табады; Квадрат үшмүшені көбейткіштерге жіктейді, Бөлшекті қысқартуды орындайды. ҚБ: Оқушылар бір-бірін бас бармақ әдісімен бағалайды |
Интернет ресурстары. Жинақ, парақша Тақта, слайд, оқу құралдары; 8 сыныпқа арналған оқулық |
|
|
|
Жеке жұмыс |
«Өзіндік ойын» әдісі. Әр оқушыға жауаптары берілген кеспе қағаз беріледі. Оқушы әр жауап үшін сұрақ ойлап табуда ақпараттық басқаруы, ойлау дағдысы қалыптасады. №1. -3х2 +10х+44 а = 3, в = 44, с=10; а=44, в=10, с = -3; а=-3, в=10, с=−44; а = -3, в=10, с = 44. |
Тапсырманы орындайды №2. х4 – 10х + 3; 4х2 + 0,3х – 5; 2х3+5; 5х2 + 4х3 + 7 |
ҚБ «Бас бaрмaқ» |
Жинақ, парақша Тақта, слайд, оқу құралдары; 8 сыныпқа арналған оқулық |
|
|
5 минут |
|
Бүгінгі сабақта: -үшмүшеден екімүшенің толық квадратын бөле алады. Кері байланыс: «Қол белгісі» арқылы сабақты түсінгенін немесе түсінбегенін көрсетуді сұраймын.
Осы белгілерге сүйеніп сабақтың қай деңгейде өткенін сабақтаймын Бағалау. |
Тақырыпты меңгергенін анықтау.
Үйге тапсырма. №9.8.
|
Кері байланыс |
Жинақ, парақша Тақта, слайд, оқу құралдары; 8 сыныпқа арналған оқулық |
|
Бекітемін:
|
Бөлім: |
8.2А Квадрат теңдеулер |
|||||||||||||||||||||||||||||||
|
Педагогтің Тегі, Аты, Әкесінің аты (бар болса) |
Тлегенова Оразгүл |
|||||||||||||||||||||||||||||||
|
Пән/Сынып: |
8 сынып; Қатысқандар саны: Қатыспағандар саны: |
|||||||||||||||||||||||||||||||
|
Күні: |
25.11.2024ж |
|||||||||||||||||||||||||||||||
|
Сабақтың тақырыбы: |
Квадрат үшмүшені көбейткіштерге жіктеу |
|||||||||||||||||||||||||||||||
|
Оқу бағдарламасына сәйкес оқыту мақсаттары: |
8.2.1.2үшмүшеден екімүшенің толық квадратын бөлу; 8.2.1.3квадрат үшмүшені көбейткіштерге жіктеу; |
|||||||||||||||||||||||||||||||
|
Сабақ мақсаттары: |
-Үшмүшеден екі мүшенің толық квадратын бөлуді білу. -Квадрат үшмүшеден екімүшенің толық квадратын бөлуді есеп шығаруда қолданады(ең үлкен және ең кіші мәндерін табады); - Квадрат үшмүшеден екімүшенің толық квадратын бөлу үшін тиімді тәсілдерді қолдана алу |
|||||||||||||||||||||||||||||||
|
Құндылыққа баулу |
Оқушылардың бойында патриоттық сезімі, ұлттық сана-сезімі, азаматтылығы мен әлеуметтік белсенділігі жоғары деңгейлі зияткер, әрі бәсекеге қабілетті тұлғаға тән қасиеттер мен сапаларды жетілдіру, бір-бірін сыйластыққа, пікірін тыңдауға, топпен жұмыс жасауға баулу |
|||||||||||||||||||||||||||||||
|
Сабақ барысы: |
||||||||||||||||||||||||||||||||
|
Уақыты |
Кезең дері |
Педагогтің әрекеті |
Оқушының әрекеті |
Бағалау |
Ресурстар |
|||||||||||||||||||||||||||
|
5 минут |
Ұйым дастыру |
Сәлеметсіздерме! Бүгін, Квадрат үшмүшені көбейткіштерге жіктеу тақырыптарын қарастырамыз Бүгінгі сабақта меңгеретініңіз: - үшмүшеден екімүшенің толық квадратын бөлу -квадрат үшмүшені көбейткіштерге жіктеу. |
Амандасу.Сыныпты түгендеу. Сабаққа дайындау, оқу құралдарын алу. Үй тапсырмасын айту. Сабақтың тақырыбы мен мақсаты айқындалады. Оқушыларды квадрат теңдеудің түрлері арқылы үш топқа бөлу. 1-топ. Толымсыз квадрат теңдеу; 2-топ. Толық квадрат теңдеу. |
«Екі жұлдыз, бір тілек» |
Оқулық |
|||||||||||||||||||||||||||
|
10мин |
Негізгі бөлім |
ІІ. Мағынаны тану. Жаңа сабақ: Алдымен х2+px+q келтірілген квадрат үшмүшесін көбейткіштерге жіктейік. Бұдан былай х2+px+q=0 квадрат теңдеуінің түбірлерін х2+px+q квадрат үшмүшесінің түбірлері деп атаймыз. Бұл квадрат үшмүшенің түбірлері х2+px+q=0 теңдеуінің түбірлерімен бірдей болғандықтан, -(х1+x2)=p, х1∙x2=q теңдіктері орындалады. Сонда х2+px+q=х2-(х1+x2)х+х1∙x2=х2-х1х+х1x2=х(х-х1)-х2(х-х1)=(х-х1)(х-х2)теңдігін аламыз. Сонымен, егер х1 және х2 сандары х2+px+q квадрат үшмүшесінің түбірлері болса, онда х2+px+q=(х-х1)(х-х2) теңдігі орындалады.
Ал жалпы
жағдайда, aх2+bx+c квадрат үшмүшесінің
түбірлері aх2+bx+c=0 теңдеуінің
немесе 1-мысал. х2-6x+8 квадрат үшмүшесін көбейткіштерге жіктейік. Оның түбірлері: х1=2, х2=4 болғандықтан, х2-6x+8=(х-2)(х-4) теңдігін аламыз. 2-мысал. 2х2-x-6 квадрат үшмүшесін көбейткіштерге жіктейік. Оның түбірлері: х1=-1,5; х2=2 болғандықтан, 2х2-x-6=2(х-(-1,5))(х-2)=2(х+1,5) (х-2)=(2х+3)(х-2) теңдігі орындалады. 1.Міндетті оқушылық саты 2.Алгоритмдік деңгей 3.Евристикалық деңгей 4.Қорытынды 1.Міндетті оқушылық саты. Тапсырманы толықтыру. |
Сұрақтарға жауап береді. Берілген тапсырмаларды орындайды.
«Бұл жауабы болса, онда сұрақ қандай болады?» тәсілімен үй тапсырмасын сұрау. Оқушыларға формулаларды беріп, жауап ретінде осы формулаларды алу үшін сұрақ қандай болатынын анықтауды сұрау.
x1*x2=q
|
Дескриптор: 1. Квадрат теңдеудің анықтамасын біледі 2. Толымсыз квадрат теңдеуді біледі 3. Дискриминантты табу формуласын біледі 4.Келтірілген квадрат теңдеуді біледі 5.Виет теоремасын біледі 6.Квадрат теңдеудің түбірлерін табу формулаларын біледі 7.Квадрат үшмүшені көбейткіштерге жіктеу формуласын біледі «Бас бармақ» әдісі арқылы оқушылар бірін-бірі бағалайды. |
Жинақ, парақша Тақта, слайд, оқу құралдары; 8 сыныпқа арналған оқулық |
|||||||||||||||||||||||||||
|
25 мин |
Бекіту тапсырмасы |
Тапсырмалар. Алгоритмдік деңгей. №1. А тобы: №1. Квадрат үшмүшені көбейткіштерге жіктеңдер: 1) х2-2x-48; 2) х2+9x-22; В тобы: №2. Квадрат үшмүшені көбейткіштерге жіктеңдер: 1) ах2-(а+с)x+с; 2) 6х2+5mx+m2; C тобы: №3. Түбірлері бойынша теңдеулер құрастырып, оларды көпмүше түрінде жазыңдар. 1) -3;8; 2) 0;12
Сергіту сәті. Логикалық тапсырмалар. Евристикалық деңгей. Тест жұмысы. Тест жауаптары: 1-а, 2-ә, 3-а, 4-ә, 5-ә, 6-ә, 7-а, 8-ә. |
Оқушылар берілген тапсырмаларды орындайды. Бағалау критерийі Квадрат үшмүше құра алады №2. «Жасырын сөзді тап» әдісі бойынша оқушылар мақал-мәтелдердегі сан есімдерді тауып, квадрат үшмүше құрастырулары керек және көбейткіштерге жіктеулері керек:
х2-11х+10=(х-1)(х-10)
х2-10х+9=(х-9)(х-1)
х2-14х+49=(х-7)(х-7)
х2-9х+8=(х-1)(х-8)
х2-1001х+1000=(х-1)(х-1000) |
Дескриптор
Сан есімдерді дұрыс табады. Виет теоремасын қолданады. Квадрат үшмүше құрастырады Квадрат үшмүшені көбейткіштерге жіктейді. |
Жинақ, парақша Тақта, слайд, оқу құралдары; 8 сыныпқа арналған оқулық |
|||||||||||||||||||||||||||
|
|
|
|
Дескриптор Квадрат үшмүшенің түбірлерін табады; Квадрат үшмүшені көбейткіштерге жіктейді. ҚБ: Оқушылар бір-бірін басбармақ арқылы бағалайды |
Жинақ, парақша Тақта, слайд, оқу құралдары; 8 сыныпқа арналған оқулық |
||||||||||||||||||||||||||||
|
|
|
2-тапсырма «Конверт» әдісі арқылы топтың әр мүшесі деңгейлік есептерді шығарады. (жұптық жұмыс) Бөлшекті қысқартыңдар 1-топ 2-топ 3-топ
|
Дескриптор Квадрат үшмүшенің түбірлерін табады; Квадрат үшмүшені көбейткіштерге жіктейді, Бөлшекті қысқартуды орындайды. ҚБ: Оқушылар бір-бірін басбармақ арқылы бағалайды
|
Жинақ, парақша Тақта, слайд, оқу құралдары; 8 сыныпқа арналған оқулық |
||||||||||||||||||||||||||||
|
|
Жеке жұмыс |
«Өзіндік ойын» әдісі. Әр оқушыға жауаптары берілген кеспе қағаз беріледі. Оқушы әр жауап үшін сұрақ ойлап табуда ақпараттық басқаруы, ойлау дағдысы қалыптасады. №1. -3х2 +10х+44 а = 3, в = 44, с=10; а=44, в=10, с = -3; а=-3, в=10, с=−44; а = -3, в=10, с = 44. |
Тапсырманы орындайды №2. х4 – 10х + 3; 4х2 + 0,3х – 5;
|
ҚБ «Бас бaрмaқ» |
Жинақ, парақша Тақта, слайд, оқу құралдары; 8 сыныпқа арналған оқулық |
|||||||||||||||||||||||||||
|
5 минут |
|
Бүгінгі сабақта: - үшмүшеден екімүшенің толық квадратын бөле алады. -квадрат үшмүшені көбейткіштерге жіктей алады. «Попкорн» тәсілі арқылы оқушыларға тақырыпқа байланысты ауызша сұрақтар қойылады. Оқушылар қай кезде орнынан тұрып жауап беру керектігін шешеді. Егер бірнеше оқушы қатар тұрса, онда оқушылар кімнің бірінші болып сөйлейтінін шешуі тиіс. Рефлексия: Оқушыларға осы сабақты өздерінің қандай дәрежеде түсінгендерін «Табыс ағашына» стикерлер жапсырту арқылы анықтаймын. Бағалау. |
Тақырыпты меңгергенін анықтау.
Үйге тапсырма. №9.16. |
Кері байланыс Бағалау парағы арқылы бағаланады. |
Жинақ, парақша Тақта, слайд, оқу құралдары; 8 сыныпқа арналған оқулық |
|||||||||||||||||||||||||||
Бекітемін:
|
Бөлім: |
8.2А Квадрат теңдеулер |
||||||
|
Педагогтің Тегі, Аты, Әкесінің аты (бар болса) |
Тлегенова Оразгүл |
||||||
|
Пән/Сынып: |
8 сынып; Қатысқандар саны: Қатыспағандар саны: |
||||||
|
Күні: |
26.11.2024ж |
||||||
|
Сабақтың тақырыбы: |
Теңдеулерді шешу |
||||||
|
Оқу бағдарламасына сәйкес оқыту мақсаттары: |
8.2.2.5 |
||||||
|
Сабақ мақсаттары: |
|
||||||
|
Сабақ барысы: |
|||||||
|
Уақыты |
Кезең дері |
Педагогтің әрекеті |
Оқушының әрекеті |
Бағалау |
Ресурстар |
||
|
5 минут |
Ұйым дастыру |
Сәлеметсіздерме! Бүгін, Теңдеулерді шешу тақырыптарын қарастырамыз Бүгінгі сабақта меңгеретініңіз:
-
|
Амандасу.Сыныпты түгендеу. Сабаққа дайындау, оқу құралдарын алу. Үй тапсырмасын айту. Сабақтың тақырыбы мен мақсаты айқындалады. Оқушыларды квадрат теңдеудің түрлері арқылы үш топқа бөлу. 1-топ. Толымсыз квадрат теңдеу; 2-топ. Толық квадрат теңдеу. 3-топ. Келтірілген квадрат теңдеу. |
«Екі жұлдыз, бір тілек» |
Оқулық |
||
|
10мин |
Негізгі бөлім |
Жаңа материалды меңгеру
Оқушыларға екі түрлі модулі бар теңдеу беріледі. Бірі - сызықтық, екіншісі - квадрат теңдеу. Олар алдымен сызықтық теңдеуді шешеді, дұрыс жауабы тақтада көрсетіледі, соған қарай отырып квадрат теңдеуді шешеді. №1. а)
b) |
Сұрақтарға жауап береді. Берілген тапсырмаларды орындайды. Алғашқы бекіту Қатар отырған екі оқушыға екі түрлі тапсырмалар беріледі. Олар өз тапсырмаларын шығарып болған соң, жауапты қабырғада ілулі тұрған жауаппен салыстырады да, көршісіне қалай шығарғанын түсіндіреді. №1.
№2.
|
Дескриптор: 1. Квадрат теңдеудің анықтамасын біледі 2. Модулі бар теңдеуді шеше алады. «Бас бармақ» әдісі арқылы оқушылар бірін-бірі бағалайды. |
Интернет ресурстары Слайд |
||
|
25 мин |
Бекіту тапсырмасы |
Тапсырмалар. Жалпы сыныпқа ұсынылатын тапсырма:
Жеке жұмыс Оқушыларға 6 түрлі есептер таратылады, олар өздеріне берілген есепті шығарады, кейін сол есепті шығарып болған оқушымен салыстырып талдайды да, басқа есепке көшеді, оны болған соң тағы да болған оқушымен салыстырады. Осылайша әрбір оқушы 6 есеп шығарады.
Сергіту сәті. Логикалық тапсырмалар. Өз бетімен жұмыс. Тест жұмысы /карточкамен/ Тест жауаптары: 1-а, 2-ә, 3-а, 4-ә, 5-ә, 6-ә, 7-а, 8-ә. Оқулықтан №9.20, №9.23. |
Оқушылар берілген тапсырмаларды орындайды. №1. Теңдеуді шешіп, ең кіші түбірін көрсетіңіз: │х2 + х│= 0 №2. Теңдеуді шешіп, ең үлкен түбірін көрестіңіз: │х2 – 5х + 4│= 4 №3. Теңдеуді шешіп, бүтін түбірін көрсетіңіз:│2х2 – 7х + 6│= 1 №4. Теңдеуді шешіп, түбірлерінің қосындысын табыңыз: 3х2 - 7│х│ + 2 = 0
|
Дескриптор: 1. Квадрат теңдеудің анықтамасын біледі 2. Модулі бар теңдеуді шеше алады.
|
Интернет ресурстары. Жинақ, парақша Тақта, слайд, оқу құралдары; 8 сыныпқа арналған Оқулық |
||
|
|
Жеке жұмыс |
«Өзіндік ойын» әдісі. Теңдеулерді шешіңіз:
|
Тапсырманы орындайды
|
ҚБ «Бас бaрмaқ» |
Жинақ, парақша |
||
|
5 минут |
|
Бүгінгі сабақта:
-
Сабақты қорытындалау 5 оқушыдан топтарға бөлінеді. Әрқайсысына рефлексия қағазы таратылады. Әрбір оқушы өз тобындағы кез келген оқушыға 1 сұрақ қою арқылы кестені толтырады.
Бағалау. |
Тақырыпты меңгергенін анықтау.
Үйге тапсырма. №9.21. |
Кері байланыс Бағалау парағы арқылы бағаланады. |
Жинақ, парақша Тақта, слайд, оқу құралдары; 8 сыныпқа арналған оқуық |
||
|
Бөлім: |
8.2А Квадрат теңдеулер |
|||||||||||
|
Педагогтің Тегі, Аты, Әкесінің аты (бар болса) |
Тлегенова Оразгүл |
|||||||||||
|
Пән/Сынып: |
8 сынып; Қатысқандар саны: Қатыспағандар саны: |
|||||||||||
|
Күні: |
27.11.2024ж |
|||||||||||
|
Сабақтың тақырыбы: |
Теңдеулерді шешу |
|||||||||||
|
Оқу бағдарламасына сәйкес оқыту мақсаттары: |
8.2.2.5 |
|||||||||||
|
Сабақ мақсаттары: |
|
|||||||||||
|
Сабақ барысы: |
||||||||||||
|
Уақыты |
Кезең дері |
Педагогтің әрекеті |
Оқушының әрекеті |
Бағалау |
Ресурстар |
|||||||
|
5 минут |
Ұйым дастыру |
Сәлеметсіздерме! Бүгін, Теңдеулерді шешу тақырыптарын қарастырамыз Бүгінгі сабақта меңгеретініңіз:
-
|
Амандасу.Сыныпты түгендеу. Сабаққа дайындау, оқу құралдарын алу. Үй тапсырмасын айту. Сабақтың тақырыбы мен мақсаты айқындалады. Оқушыларды квадрат теңдеудің түрлері арқылы үш топқа бөлу. 1-топ. Толымсыз квадрат теңдеу; 2-топ. Толық квадрат теңдеу. 3-топ. Келтірілген квадрат теңдеу. |
«Екі жұлдыз, бір тілек» |
Оқулық |
|||||||
|
10мин |
Негізгі бөлім |
Жаңа материалды меңгеру
|
Дескриптор: 1. Квадрат теңдеудің анықтамасын біледі 2. Модулі бар теңдеуді шеше алады. «Бас бармақ» әдісі арқылы оқушылар бірін-бірі бағалайды. |
Интернет ресурстары Слайд |
||||||||
|
25 мин |
Бекіту тапсырмасы |
|
Оқушылар берілген
тапсырмаларды орындайды. |
Дескриптор: 1. Квадрат теңдеудің анықтамасын біледі 2. Модулі бар теңдеуді шеше алады.
|
Интернет ресурстары. Оқулық |
|||||||
|
|
Жеке жұмыс |
«Өзіндік ойын» әдісі. Теңдеулерді шешіңіз:
|
Тапсырманы орындайды
|
ҚБ «Бас бaрмaқ» |
Жинақ, парақша |
|||||||
|
5 минут |
|
Бүгінгі сабақта: -квадрат теңдеудің анықтамасын біледі; -квадрат теңдеулердің түрлерін ажырата алады. «БББ» кестесі.
|
Тақырыпты меңгергенін анықтау. Үйге тапсырма. № |
Кері байланыс |
|
|||||||
Бекітемін:
|
Бөлім: |
8.2А Квадрат теңдеулер |
|||||
|
Педагогтің Тегі, Аты, Әкесінің аты (бар болса) |
Тлегенова О |
|||||
|
Пән/Сынып: |
8 сынып; Қатысқандар саны: Қатыспағандар саны: |
|||||
|
Күні: |
2.12.2024ж |
|||||
|
Сабақтың тақырыбы: |
Теңдеулерді шешу |
|||||
|
Оқу бағдарламасына сәйкес оқыту мақсаттары: |
8.2.2.5
|
|||||
|
Сабақ мақсаттары: |
|
|||||
|
Сабақ барысы: |
||||||
|
Уақыты |
Кезең дері |
Педагогтің әрекеті |
Оқушының әрекеті |
Бағалау |
Ресурстар |
|
|
5 минут |
Ұйым дастыру |
Сәлеметсіздерме! Бүгін, Теңдеулерді шешу тақырыптарын қарастырамыз Бүгінгі сабақта меңгеретініңіз:
-
|
Амандасу.Сыныпты түгендеу. Сабаққа дайындау, оқу құралдарын алу. Үй тапсырмасын айту. Сабақтың тақырыбы мен мақсаты айқындалады. Оқушыларды квадрат теңдеудің түрлері арқылы үш топқа бөлу. 1-топ. Толымсыз квадрат теңдеу; 2-топ. Толық квадрат теңдеу. 3-топ. Келтірілген квадрат теңдеу. |
«Екі жұлдыз, бір тілек» |
Оқулық |
|
|
10мин |
Негізгі бөлім |
Жаңа материалды меңгеру
Оқушыларға екі түрлі модулі бар теңдеу беріледі. Бірі - сызықтық, екіншісі - квадрат теңдеу. Олар алдымен сызықтық теңдеуді шешеді, дұрыс жауабы тақтада көрсетіледі, соған қарай отырып квадрат теңдеуді шешеді. |
Сұрақтарға жауап береді. Берілген тапсырмаларды орындайды. Алғашқы бекіту Қатар отырған екі оқушыға екі түрлі тапсырмалар беріледі. Олар өз тапсырмаларын шығарып болған соң, жауапты қабырғада ілулі тұрған жауаппен салыстырады да, көршісіне қалай шығарғанын түсіндіреді |
Дескриптор: 1. Квадрат теңдеудің анықтамасын біледі 2. Модулі бар теңдеуді шеше алады. «Бас бармақ» әдісі арқылы оқушылар бірін-бірі бағалайды. |
Интернет ресурстары Слайд |
|
|
|
|
|
Дескриптор: 1. Квадрат теңдеудің анықтамасын біледі 2. Модулі бар теңдеуді шеше алады |
Жинақ, парақша Тақта, слайд, оқу құралдары; 8 сыныпқа арналған |
||
|
|
Жеке жұмыс |
«Өзіндік ойын» әдісі. Теңдеулерді шешіңіз:
|
Тапсырманы орындайды
|
ҚБ «Бас бaрмaқ» |
Жинақ, парақша |
|
|
5 минут |
|
Бүгінгі сабақта:
-
Сабақты қорытындалау 5 оқушыдан топтарға бөлінеді. Әрқайсысына рефлексия қағазы таратылады. Әрбір оқушы өз тобындағы кез келген оқушыға 1 сұрақ қою арқылы кестені толтырады.
Бағалау. |
Тақырыпты меңгергенін анықтау.
Үйге тапсырма. №9.31. |
Кері байланыс Бағалау парағы арқылы бағаланады. |
Жинақ, парақша Тақта, слайд, оқу құралдары; 8 сыныпқа арналған оқулық |
|
Бекітемін:
|
Бөлім: |
8.2А Квадрат теңдеулер |
|||||
|
Педагогтің Тегі, Аты, Әкесінің аты (бар болса) |
Тлегенова О |
|||||
|
Пән/Сынып: |
8 сынып; Қатысқандар саны: Қатыспағандар саны: |
|||||
|
Күні: |
3.12.2024ж |
|||||
|
Сабақтың тақырыбы: |
Бөлшек-рационал теңдеулерді шешу |
|||||
|
Оқу бағдарламасына сәйкес оқыту мақсаттары: |
8.2.2.6 бөлшек-рационал теңдеулерді шешу; |
|||||
|
Сабақ мақсаттары: |
-бөлшек-рационал теңдеудің анықтамасын біледі; - бөлшек-рационал теңдеуді шешу алгоритмін қолданады; - бөлшек-рационал теңдеуді шешеді. |
|||||
|
Сабақ барысы: |
||||||
|
Уақыты |
Кезең дері |
Педагогтің әрекеті |
Оқушының әрекеті |
Бағалау |
Ресурстар |
|
|
5 минут |
Ұйым дастыру |
Сәлеметсіздерме! Бүгін, Бөлшек-рационал теңдеулерді шешу тақырыптарын қарастырамыз Бүгінгі сабақта меңгеретініңіз: - бөлшек-рационал теңдеулерді шешу; II. Ауызша жаттығулар 1. Әріптің қандай мәнінде алгебралық өрнектің мағынасы болмайды.
|
Амандасу.Сыныпты түгендеу. Сабаққа дайындау, оқу құралдарын алу. Үй тапсырмасын айту. Сабақтың тақырыбы мен мақсаты айқындалады. |
«Екі жұлдыз, бір тілек» |
Оқулық |
|
|
10мин |
Негізгі бөлім |
Жаңа материалды
меңгеру Бөлшек-рационал теңдеулерді шешу үшін: 1) берілген теңдеудің мүмкін мәндер жиынын (берілген теңдеудің бөлімін нөлге айналдыратын мәндерін) анықтау керек; 2) барлық бөлшектердің ортақ бөлімін табу керек; 3) теңдеудің екі бөлігін де ортақ бөлімге көбейтіп, оны бүтін теңдеумен ауыстыру керек; 4) шыққан теңдеуді шешу; 5) оның түбірлері ішінен мүмкін мәндер жиынына кірмейтін түбірлерді алып тастап, жауабын жазу керек. |
Дескриптор: 1. Квадрат теңдеудің анықтамасын біледі 2. Бөлшек-рационал теңдеуді шеше алады. . |
Жинақ, парақша Тақта, слайд, оқу құралдары; 8 сыныпқа арналған оқулық |
||
|
25 мин |
Бекіту тапсырмасы |
Тапсырмалар. Бөлшек-рационал теңдеулерді шешіңіз: №1.
№2.
№3.
№4.
Сергіту сәті. Логикалық тапсырмалар. Өз бетімен жұмыс. Тест жұмысы /карточкамен/ Тест жауаптары: 1-а, 2-ә, 3-а, 4-ә, 5-ә, 6-ә, 7-а, 8-ә. |
Оқушылар берілген тапсырмаларды орындайды. Теңдеулерді шешіңіз: Жеке жұмыс. 1. 2. 3.
|
Дескриптор: 1. Квадрат теңдеудің анықтамасын біледі 2. Бөлшек-рационал теңдеуді шеше алады. |
Интернет ресурстары. Жинақ, парақша Тақта, слайд, оқу құралдары; 8 сыныпқа арналған оқулық |
|
|
|
|
Бөлшек-рационал теңдеуді
шешіңіз:
1) х – 1 ≠ 0 сондықтан x ≠ 1 2) 3) 3+2(x−1)=4−x 4) x=1 5) жауабы: түбірі жоқ |
Төмендегі тапсырманы алгоритмді қолдана отырып өздері шығарады, кейін тақтада дұрыс шешімі көрсетіледі. |
|
|
|
|
|
Жеке жұмыс |
Оқулықтан Тапсырманы орындайды
|
Дескриптор: 1. Квадрат теңдеудің анықтамасын біледі 2. Бөлшек-рационал теңдеуді шеше алады. ҚБ «Бас бaрмaқ» |
Жинақ, парақша Тақта, слайд, оқу құралдары; 8 сыныпқа арналған оқулық |
||
|
5 минут |
|
Бүгінгі сабақта: -
бөлшек-рационал теңдеулерді
шеше алады.
Бағалау. |
Тақырыпты меңгергенін анықтау.
Үйге тапсырма. №10.2. |
Кері байланыс Бағалау парағы арқылы бағаланады. |
|
|
Бекітемін:
|
Бөлім: |
8.2А Квадрат теңдеулер |
|||||
|
Педагогтің Тегі, Аты, Әкесінің аты (бар болса) |
Тлегенова О |
|||||
|
Пән/Сынып: |
8 сынып; Қатысқандар саны: Қатыспағандар саны: |
|||||
|
Күні: |
4.12.2024ж |
|||||
|
Сабақтың тақырыбы: |
Бөлшек-рационал теңдеулерді шешу |
|||||
|
Оқу бағдарламасына сәйкес оқыту мақсаттары: |
8.2.2.6 бөлшек-рационал теңдеулерді шешу; |
|||||
|
Сабақ мақсаттары: |
-бөлшек-рационал теңдеудің анықтамасын біледі; - бөлшек-рационал теңдеуді шешу алгоритмін қолданады; - бөлшек-рационал теңдеуді шешеді. |
|||||
|
Сабақ барысы: |
||||||
|
Уақыты |
Кезең дері |
Педагогтің әрекеті |
Оқушының әрекеті |
Бағалау |
Ресурстар |
|
|
5 минут |
Ұйым дастыру |
Сәлеметсіздерме! Бүгін, Бөлшек-рационал теңдеулерді шешу тақырыптарын қарастырамыз Бүгінгі сабақта меңгеретініңіз: - бөлшек-рационал теңдеулерді шешу; |
Амандасу.Сыныпты түгендеу. Сабаққа дайындау, оқу құралдарын алу. Үй тапсырмасын айту. Сабақтың тақырыбы мен мақсаты айқындалады. |
«Екі жұлдыз, бір тілек» |
Оқулық |
|
|
10мин |
Негізгі бөлім |
Оқушыларға «Сиқырлы кубик» әдісі арқылы сұрақтар беремін.Ауызша жауап береді. 1. Бөлшек-рационал теңдеу дегеніміз … ? 2. ММЖ деген не? 3. Бөлшек-рационал теңдеуді шешу алгоритмі қандай? 4.Бөгде түбірлер дегеніміз не? 5.Бүтін рационал теңдеулер дегеніміз не? 6. Бөлшек рационал теңдеуінің түбірлерінің саны өзгере ме? Мұғалім кері байланыс жасайды. Рационал тобы:
Шешуі:
-
|
Бөлшек тобы:
Шешуі:
2х -10+10х+50
- 2х -10+10х+50
- -
Жауабы:х= -3 Сұрақтарға жауап береді. Берілген тапсырмаларды орындайды.
|
Дескриптор: 1. Квадрат теңдеудің анықтамасын біледі 2. Бөлшек-рационал теңдеуді шеше алады. «Бас бармақ» әдісі арқылы оқушылар бірін-бірі бағалайды. |
Интернет ресурстары Слайд |
|
|
25 мин |
Бекіту тапсырмасы |
Тапсырмалар. №1 Аялдама.
Шешуі. x≠
- Жауабы: x = 0,5. №2 Аялдама.
Шешуі. x≠
x1=5, x2= - 0,25 Жауабы: x1=5, x2= - 0,25. Сергіту сәті. Логикалық тапсырмалар. Өз бетімен жұмыс. Тест жұмысы /карточкамен/ Тест жауаптары: 1-а, 2-ә, 3-а, 4-ә, 5-ә, 6-ә, 7-а, 8-ә. |
Оқушылар берілген тапсырмаларды орындайды. №3 Аялдама.
Шешуі. x≠ -3
x1=12, x2= - 3 Жауабы: х =12 №4 Аялдама.
Шешуі.
x
≠ 1, х ≠ -
x1=4, x2= - 7 Жауабы: x1=4, x2= - 7 |
Дескриптор: 1. Квадрат теңдеудің анықтамасын біледі 2. Бөлшек-рационал теңдеуді шеше алады. |
Интернет ресурстары. Оқулық |
|
|
|
Жеке жұмыс |
Оқулықтан №10.13.
-65х-41-
|
Тапсырманы орындайды
|
ҚБ «Бас бaрмaқ» |
Жинақ, парақша |
|
|
5 минут |
|
Бүгінгі сабақта: -
бөлшек-рационал теңдеулерді
шеше алады. • Бүгін мен білдім … • Маған қызықты болды … • Маған қиын болды … • Мен ... тапсырмаларын орындадым. Бағалау. |
Тақырыпты меңгергенін анықтау.
Үйге тапсырма. №10.16. |
Кері байланыс Бағалау парағы арқылы бағаланады. |
|
|
Бекітемін:
|
Педагогтің Тегі, Аты, Әкесінің аты (бар болса) |
Тлегенова О |
|||||||||||
|
Пән/Сынып: |
8 сынып; Қатысқандар саны: Қатыспағандар саны: |
|||||||||||
|
Күні: |
9.12.2024ж |
|||||||||||
|
Бөлім: |
8.2А Квадрат теңдеулер |
|||||||||||
|
Сабақтың тақырыбы: |
Квадрат теңдеулерге келтірілетін теңдеулерді шешу. ББЖБ№3. |
|||||||||||
|
Оқу бағдарламасына сәйкес оқыту мақсаттары: |
8.2.2.6 бөлшек-рационал теңдеулерді шешу; 8.2.2.7 квадрат теңдеулерге келтірілетін теңдеулерді шешу; |
|||||||||||
|
Сабақ мақсаттары: |
квадрат теңдеулерге келтірілетін теңдеулерді шешуді білу. |
|||||||||||
|
Сабақ барысы: |
||||||||||||
|
Уақыты |
Кезең дері |
Педагогтің әрекеті |
Оқушының әрекеті |
Бағалау |
Ресурстар |
|||||||
|
3 минут |
Ұйым дастыру |
Сәлеметсіздерме! Бүгін, Квадрат теңдеулерге келтірілетін теңдеулерді шешу тақырыптарын қарастырамыз Бүгінгі сабақта меңгеретініңіз: - бөлшек-рационал теңдеулерді шешу; -квадрат теңдеулерге келтірілетін теңдеулерді шешу |
Амандасу.Сыныпты түгендеу. Сабаққа дайындау, оқу құралдарын алу. Үй тапсырмасын айту. Сабақтың тақырыбы мен мақсаты айқындалады. |
«Екі жұлдыз, бір тілек» |
Оқулық |
|||||||
|
5мин |
Негізгі бөлім |
Мысалы
-Бұл теңдеулерді қалай шешеміз, қалай ойлайсыздар? -Қандай қиындық туып тұр? -Ия, бұл төртінші дәрежелі теңдеу, оның шешу жолын біз әзірше білмейміз. -Ендеше анықтама Анықтама: ах4 +bх2+с= 0, мұндағы (а≠0), түрінде берілген теңдеу биквадрат теңдеу деп аталады. Биквадрат теңдеулерді шешу алгоритмі мынадай:
|
Сұрақтарға жауап береді. Берілген тапсырмаларды орындайды.
Алгоритмді қолданып, теңдеуді шешуді оқушылардың өздеріне ұсыну. Мысал
1: Шешуі:
Жауабы: 3, -3
|
.
|
Интернет ресурстары Слайд |
|||||||
|
10 мин |
Бекіту тапсырмасы |
Тапсырмалар. №1 Теңдеулерді шешіңіз:
Жұптық жұмыс Оқушылар жұпта бір-біріне көмектесе отырып шығарады, жауаптарын салыстырады, талдайды.
№1.
№2.
№3.
№4 |
Оқушылар берілген тапсырмаларды орындайды.
Сергіту сәті. Логикалық тапсырмалар. Оқулықпен жұмыс. |
Дескриптор: -айнымалыны дұрыс енгізеді; -жаңа айнымалымен квадрат теңдеуді шешеді; -бастапқы айнымалымен берілген квадрат теңдеуді шешеді; -теңдеудің түбірін дұрыс анықтайды. «Бас бармақ» әдісі арқылы оқушылар бірін-бірі бағалайды.
|
Интернет ресурстары. Оқулық |
|||||||
|
25 мин |
Жеке жұмыс |
ББЖБ№3. |
Тапсырманы орындайды
|
Дескрипторға сәйкес бағаланады. |
Жинақ, парақша |
|||||||
|
2 минут |
|
Бүгінгі сабақта: - квадрат теңдеулерге келтірілетін теңдеулерді шеше алады. Рефлексия
Бағалау. |
Тақырыпты меңгергенін анықтау.
Үйге тапсырма. № |
Кері байланыс |
|
|||||||
|
Бөлім: |
8.2А Квадрат теңдеулер |
|||||||||||
|
Педагогтің Тегі, Аты, Әкесінің аты (бар болса) |
Тлегенова О |
|||||||||||
|
Пән/Сынып: |
8 сынып; Қатысқандар саны: Қатыспағандар саны: |
|||||||||||
|
Күні: |
10.12.2024ж |
|||||||||||
|
Сабақтың тақырыбы: |
Квадрат теңдеулерге келтірілетін теңдеулерді шешу. |
|||||||||||
|
Оқу бағдарламасына сәйкес оқыту мақсаттары: |
8.2.2.6 бөлшек-рационал теңдеулерді шешу; 8.2.2.7 квадрат теңдеулерге келтірілетін теңдеулерді шешу; |
|||||||||||
|
Сабақ мақсаттары: |
квадрат теңдеулерге келтірілетін теңдеулерді шешуді білу. |
|||||||||||
|
Сабақ барысы: |
||||||||||||
|
Уақыты |
Кезең дері |
Педагогтің әрекеті |
Оқушының әрекеті |
Бағалау |
Ресурстар |
|||||||
|
5 минут |
Ұйым дастыру |
Сәлеметсіздерме! Бүгін, Квадрат теңдеулерге келтірілетін теңдеулерді шешу тақырыптарын қарастырамыз Бүгінгі сабақта меңгеретініңіз: - бөлшек-рационал теңдеулерді шешу; -квадрат теңдеулерге келтірілетін теңдеулерді шешу |
Амандасу.Сыныпты түгендеу. Сабаққа дайындау, оқу құралдарын алу. Үй тапсырмасын айту. Сабақтың тақырыбы мен мақсаты айқындалады. |
«Екі жұлдыз, бір тілек» |
Оқулық |
|||||||
|
10мин |
Негізгі бөлім |
|
.
|
Интернет ресурстары Слайд |
||||||||
|
25 мин |
Бекіту тапсырмасы |
|
Дескриптор: -айнымалыны дұрыс енгізеді; -жаңа айнымалымен квадрат теңдеуді шешеді; -бастапқы айнымалымен берілген квадрат теңдеуді шешеді; -теңдеудің түбірін дұрыс анықтайды. «Бас бармақ» әдісі арқылы оқушылар бірін-бірі бағалайды.
|
Интернет ресурстары. |
||||||||
|
|
Жеке жұмыс |
Оқулықпен жұмыс. №
Тапсырманы орындайды
|
Дескриптор: -айнымалыны дұрыс енгізеді; -жаңа айнымалымен квадрат теңдеуді шешеді; -бастапқы айнымалымен берілген квадрат теңдеуді шешеді; -теңдеудің түбірін дұрыс анықтайды. «Бас бармақ» әдісі арқылы оқушылар бірін-бірі бағалайды. |
Оқулық |
||||||||
|
5 минут |
|
Бүгінгі сабақта: - квадрат теңдеулерге келтірілетін теңдеулерді шеше алады. Рефлексия
Бағалау. |
Тақырыпты меңгергенін анықтау.
Үйге тапсырма. №11.7. |
Кері байланыс |
|
|||||||
|
Педагогтің Тегі, Аты, Әкесінің аты (бар болса) |
Тлегенова О |
|||||||||||
|
Пән/Сынып: |
8 сынып; Қатысқандар саны: Қатыспағандар саны: |
|||||||||||
|
Күні: |
11.12.2024ж |
|||||||||||
|
Бөлім: |
8.2А Квадрат теңдеулер |
|||||||||||
|
Сабақтың тақырыбы: |
Квадрат теңдеулерге келтірілетін теңдеулерді шешу. |
|||||||||||
|
Оқу бағдарламасына сәйкес оқыту мақсаттары: |
8.2.2.6 бөлшек-рационал теңдеулерді шешу; 8.2.2.7 квадрат теңдеулерге келтірілетін теңдеулерді шешу; |
|||||||||||
|
Сабақ мақсаттары: |
квадрат теңдеулерге келтірілетін теңдеулерді шешуді білу. |
|||||||||||
|
Сабақ барысы: |
||||||||||||
|
Уақыты |
Кезең дері |
Педагогтің әрекеті |
Оқушының әрекеті |
Бағалау |
Ресурстар |
|||||||
|
5 минут |
Ұйым дастыру |
Сәлеметсіздерме! Бүгін, Квадрат теңдеулерге келтірілетін теңдеулерді шешу тақырыптарын қарастырамыз Бүгінгі сабақта меңгеретініңіз: - бөлшек-рационал теңдеулерді шешу; -квадрат теңдеулерге келтірілетін теңдеулерді шешу |
Амандасу.Сыныпты түгендеу. Сабаққа дайындау, оқу құралдарын алу. Үй тапсырмасын айту. Сабақтың тақырыбы мен мақсаты айқындалады. |
«Екі жұлдыз, бір тілек» |
Оқулық |
|||||||
|
10мин |
Негізгі бөлім |
Мысалы
-Бұл теңдеулерді қалай шешеміз, қалай ойлайсыздар? -Қандай қиындық туып тұр? -Ия, бұл төртінші дәрежелі теңдеу, оның шешу жолын біз әзірше білмейміз. -Ендеше анықтама Анықтама: ах4 +bх2+с= 0, мұндағы (а≠0), түрінде берілген теңдеу биквадрат теңдеу деп аталады. Биквадрат теңдеулерді шешу алгоритмі мынадай:
|
Сұрақтарға жауап береді. Берілген тапсырмаларды орындайды.
Алгоритмді қолданып, теңдеуді шешуді оқушылардың өздеріне ұсыну. Мысал
1: Шешуі:
Жауабы: 3, -3
|
.
|
Интернет ресурстары Слайд |
|||||||
|
25 мин |
Бекіту тапсырмасы |
Тапсырмалар. А
деңгейі 1) Теңдеуді
шешіңіз: 2) Теңдеуді
шешіңіз: 3) Теңдеуді
шешіңіз: В
деңгейі.
4)
Теңдеуді
шешіңіз: 5) Теңдеуді
шешіңіз: Теңдеуді шешіңіз: |
Оқушылар берілген тапсырмаларды орындайды.
Сергіту сәті. Логикалық тапсырмалар. Өз бетімен жұмыс. Тест жұмысы. Жеке жұмыс /Карточкамен/ №1. Теңдеуді
шешіңіз: №2. Теңдеуді
шешіңіз: |
Дескриптор: -айнымалыны дұрыс енгізеді; -жаңа айнымалымен квадрат теңдеуді шешеді; -бастапқы айнымалымен берілген квадрат теңдеуді шешеді; -теңдеудің түбірін дұрыс анықтайды. «Бас бармақ» әдісі арқылы оқушылар бірін-бірі бағалайды.
|
Интернет ресурстары. |
|||||||
|
|
Жеке жұмыс |
Оқулықпен жұмыс. №11.5, №11.8.
|
Тапсырманы орындайды
|
|
Оқулық |
|||||||
|
5 минут |
|
Бүгінгі сабақта: - квадрат теңдеулерге келтірілетін теңдеулерді шеше алады. Рефлексия
Бағалау. |
Тақырыпты меңгергенін анықтау.
Үйге тапсырма. №11.12. |
Кері байланыс |
|
|||||||
Алгебра 8 сынып; Қатысқандар саны: Қатыспағандар саны:
ІІ тоқсан бойынша ТЖБ
Күні:___________
Мұғалімнің аты жөні:
Оқушының аты-жөні:_________________________



![]()
Алгебра 8 сынып; Қатысқандар саны: Қатыспағандар саны:
ІІ тоқсан бойынша ТЖБ
Күні:_____
Мұғалімнің аты жөні: С
Оқушының
аты-жөні:_________________________




![]()

Алгебра 8 сынып; Қатысқандар саны: Қатыспағандар саны:
«Квадрат теңдеулер» бөлімі бойынша жиынтық бағалау
Күні:___________
Мұғалімнің аты жөні: С. Мухиддинова
Оқушының аты-жөні:________________________

Алгебра 8 сынып; Қатысқандар саны: Қатыспағандар саны:
«Квадрат теңдеулер» бөлімі бойынша жиынтық бағалау
Күні:___________
Мұғалімнің аты жөні: С. Мухиддинова
Оқушының аты-жөні:________________________


Геометрия 8 сынып; Қатысқандар саны: Қатыспағандар саны:
ІІ тоқсан бойынша ТЖБ
Күні:___________
Мұғалімнің аты жөні: С. Мухиддинова
Оқушының аты-жөні:_________________________




Геометрия 8 сынып; Қатысқандар саны: Қатыспағандар саны:
ІІ тоқсан бойынша ТЖБ
Күні:___________
Мұғалімнің аты жөні:
Оқушының аты-жөні:_________________________





Геометрия 8 сынып; Қатысқандар саны: Қатыспағандар саны:
«Тікбұрышты үшбұрыштың қабырғалары мен бұрыштары арасындағы қатынастар» бөлімі бойынша жиынтық бағалау
Күні:___________
Мұғалімнің аты жөні:
Оқушының аты-жөні:_________________________

Геометрия 8 сынып; Қатысқандар саны: Қатыспағандар саны:
«Тікбұрышты үшбұрыштың қабырғалары мен бұрыштары арасындағы қатынастар» бөлімі бойынша жиынтық бағалау
Күні:___________
Мұғалімнің аты жөні: С. Мухиддинова
Оқушының аты-жөні:_________________________



Бекітемін:
|
Педагогтің Тегі, Аты, Әкесінің аты (бар болса) |
Тлегенова О |
|||||||
|
Пән/Сынып: |
8 сынып; Қатысқандар саны: Қатыспағандар саны: |
|||||||
|
Күні: |
23.12.2024ж |
|||||||
|
Бөлім: |
8.2А Квадрат теңдеулер |
|||||||
|
Сабақтың тақырыбы: |
Квадрат үшмүше. Үшмүшеден екімүшенің толық квадратын бөлу. |
|||||||
|
Оқу бағдарламасына сәйкес оқыту мақсаттары: |
8.2.1.2 үшмүшеден екімүшенің толық квадратын бөлу; |
|||||||
|
Сабақ мақсаттары: |
-Үшмүшеден екі мүшенің толық квадратын бөледі. -Квадрат үшмүшеден екімүшенің толық квадратын бөлуді есеп шығаруда қолданады(ең үлкен және ең кіші мәндерін табады); - Квадрат үшмүшеден екімүшенің толық квадратын бөлу үшін тиімді тәсілдерді қолданады |
|||||||
|
Сабақ барысы: |
||||||||
|
Ұжымдық жұмыс Жаңа тақырыптың түсіндірілуі Сабақ мақсаты мен бағалау критерийлерін таныстыру; Бейнероликті қолдана отырып, бекіту тапсырмаларын орындату |
Бірлескен жұмыс (1,2,3 тапсырма) Тапсырманы ұсыну және дұрыс жауапты ұсыну арқылы үйрету Бекітуге арналғантапсырмаларды орындату; Тапсырмалардың жауаптарын жазу. |
Жеке жұмыс Тапсырманы ұсыну, оқушылар өз бетімен орындауы |
||||||
|
Уақыты |
Кезең дері |
Педагогтің әрекеті |
Оқушының әрекеті |
Бағалау |
Ресурстар |
|||
|
5 минут |
Ұйым дастыру |
Сәлеметсіздерме! Бүгін, Квадрат үшмүше тақырыптарын қарастырамыз Бүгінгі сабақта меңгеретініңіз: - үшмүшеден екімүшенің толық квадратын бөлу |
Амандасу.Сыныпты түгендеу. Сабаққа дайындау, оқу құралдарын алу. Үй тапсырмасын айту. |
«Екі жұлдыз, бір тілек» |
Оқулық |
|||
|
10мин |
Негізгі бөлім |
Қығушылықты ояту: белгісіз мүшелерді толықтыр
Проблемалық сұрақ: Үшмүшеден екімүшенің квадратын қалай аламын? Сабақтың тақырыбы мен мақсаты айқындалады. Оқушыларды квадрат теңдеудің түрлері арқылы үш топқа бөлу. 1-топ. Толымсыз квадрат теңдеу; 2-топ. Толық квадрат теңдеу; 3-топ. Келтірілген квадрат теңдеу. «Дайындал... Назар сал... Оқыңдар... » әдісі арқылы оқушылар жаңа ақпаратты оқып, топта талқылайды. І. Ротация әдісі: (топтық жұмыс) |
Сұрақтарға жауап береді. Берілген тапсырмаларды орындайды.
Берілген үшмүшеден екімүшенің толық квадратын бөліңдер.
|
Дескриптор: Білім алушы - түрлендірулер арқылы екі өрнектің қосындысының немесе айырмасының квадратының формуласына келтіреді; - екімүшенің толық квадратын бөліп алады; Оқушылар дың белсенділігіне байланысты бағаланады. |
Интернет ресурстары |
|||
|
25 мин |
Бекіту тапсырмасы |
Тапсырмалар. «Ойлан-Жұптас-Бөліс» әдісі. (Жұптық жұмыс) Берілген үшмүшеден екімүшенің толық квадратын бөліп алыңдар; Квадрат үшмүшенің ең үлкен мәнін немесе ең кіші мәнін табыңдар.
Дамытушылық деңгей: І-нұсқа №2. Тіктөртбұрыштың ұзындығы енінен 4 м ұзын. Тіктөртбұрыштың ауданы 45 м2. Тіктөрбұрыштың ені мен ұзындығын табыңыз. ІІ-нұсқа №2. Тіктөртбұрыштың ұзындығы енінен 2 м ұзын. Тіктөртбұрыштың ауданы 48 м2. Тіктөрбұрыштың ені мен ұзындығын табыңыз.
«Өзіңді тексер» әдісі арқылы сәйкестендіру тест беремін.
Сергіту сәті. Логикалық тапсырмалар. Оқулықтан №9.6, №9.7. |
Оқушылар берілген тапсырмаларды орындайды. Өз бетімен жұмыс. Келесі сұлбаны жүпта қарастырыңыз. Қорытынды жасаңыз.
|
Дескриптор: - ??2 +??+? өрнегіндегі ? коэффициентін жақшаның сыртына шығарады; - түрлендірулер арқылы екі өрнектің қосындысының немесе айырмасының квадратының формуласына келтіреді; - екімүшенің толық квадратын бөліп алады; - квадрат үшмүшенің ең кіші (ең үлкен) мәнін табады.
|
Интернет ресурстары. Оқулық |
|||
|
|
Жеке жұмыс |
«Өзіндік ойын» әдісі. Әр оқушыға жауаптары берілген кеспе қағаз беріледі. Оқушы әр жауап үшін сұрақ ойлап табуда ақпараттық басқаруы, ойлау дағдысы қалыптасады. №1. -3х2 +10х+44 а = 3, в = 44, с=10; а=44, в=10, с = -3; а=-3, в=10, с=−44; а = -3, в=10, с = 44. |
Тапсырманы орындайды №2. х4 – 10х + 3; 4х2 + 0,3х – 5; 2х3+5; 5х2 + 4х3 + 7 |
ҚБ «Бас бaрмaқ» |
Жинақ, парақша |
|||
|
5 минут |
|
Бүгінгі сабақта: -үшмүшеден екімүшенің толық квадратын бөле алады. Кері байланыс: «Қол белгісі» арқылы сабақты түсінгенін немесе түсінбегенін көрсетуді сұраймын.
Осы белгілерге сүйеніп сабақтың қай деңгейде өткенін сабақтаймын. Бағалау. |
Тақырыпты меңгергенін анықтау.
Үйге тапсырма. №9.8.
|
Кері байланыс |
|
|||
жүктеу мүмкіндігіне ие боласыз
Бұл материал сайт қолданушысы жариялаған. Материалдың ішінде жазылған барлық ақпаратқа жауапкершілікті жариялаған қолданушы жауап береді. Ұстаз тілегі тек ақпаратты таратуға қолдау көрсетеді. Егер материал сіздің авторлық құқығыңызды бұзған болса немесе басқа да себептермен сайттан өшіру керек деп ойласаңыз осында жазыңыз
ҚМЖ 8 сынып Алгебра 2 тоқсан
ҚМЖ 8 сынып Алгебра 2 тоқсан
|
Сабақ жоспары. Алгебра. 8сынып |
||||||||||||||
|
Бөлім: |
8.2А Квадрат теңдеулер |
|||||||||||||
|
Педагогтің Тегі, Аты, Әкесінің аты (бар болса) |
|
|||||||||||||
|
Пән/Сынып: |
8 сынып; Қатысқандар саны: Қатыспағандар саны: |
|||||||||||||
|
Күні: |
|
|||||||||||||
|
Сабақтың тақырыбы: |
Квадрат теңдеу. Квадрат теңдеулердің түрлері |
|||||||||||||
|
Оқу бағдарламасына сәйкес оқыту мақсаттары: |
8.2.2.1 квадрат теңдеудің анықтамасын білу; 8.2.2.2 квадрат теңдеулердің түрлерін ажырату; |
|||||||||||||
|
Сабақ мақсаттары: |
|
|||||||||||||
|
Құндылықтарды дарыту |
«Жалпыға бірдей еңбек қоғамы» құндылығына: Топпен, жұппен жұмыс орындау барысында құрмет, серіктестік және жеке жұмыс орындау кезінде жауапкершілік, үздіксіз оқу құндылықтарын дарыту. |
|
||||||||||||
|
Сабақ барысы: |
||||||||||||||
|
Уақыты |
Кезең дері |
Педагогтің әрекеті |
Оқушының әрекеті |
Бағалау |
Ресурстар |
|||||||||
|
5 минут |
Ұйым дастыру |
Сәлеметсіздерме! Бүгін, Квадрат теңдеу. Квадрат теңдеулердің түрлері тақырыптарын қарастырамыз Бүгінгі сабақта меңгеретініңіз: -квадрат теңдеудің анықтамасын білу; -квадрат теңдеулердің түрлерін ажырату |
Амандасу.Сыныпты түгендеу. Сабаққа дайындау, оқу құралдарын алу. Үй тапсырмасын айту. Сұрақтарға жауап береді. |
«Екі жұлдыз, бір тілек» |
Оқулық |
|||||||||
|
10мин |
Негізгі бөлім |
Анықтама. ах2+ вх+с=0 (1 ) Түрінде берілген теңдеу квадрат теңдеу деп аталады. Мұндағы а,в,с-нақты сандар және а#0, ал х- айнымалы. а –бірінші коэффициент, в-екінші коэффициент, с- бос мүше. в немесе с,немесе в мен с нөлге тең болатын дербес жағдайлардағы квадрат теғдеу- толымсыз квадрат теңдеу деп аталады. Толымсыз квадрат теңдеулер былай жазылады: 1) ах 2 +вх=0 (с=0 ) . 2) ах 2 +с=0 (в=0) 3)
ах 2 =0
(в=0,с=0) |
Берілген тапсырмаларды орындайды. 1-жағдай: а және в сандарының таңбалары бірдей, онда оң
сан, – теріс сан болады. х2=0 екені
белгілі,сондықтан ол теріс санға тең болуы мүмкін емес. Енді толымсыз квадрат теңдеулердің шығарылуын қарастырайық: Мысалдар: 5х2-8=7х2-8
теңдеуін шешейік. |
Оқушылар дың белсенділігіне байланысты бағаланады. Дескриптор: -квадрат теңдеудің анықтамасын біледі; -квадрат теңдеулердің түрлерін ажырата алады. |
Тақта, слайд, оқу құралдары; 8 сыныпқа арналған оқулық |
|||||||||
|
25 мин |
Бекіту тапсырмасы |
Топтық жұмыс. Оқушылар 3 топка бөлінеді. 1 топ №1 Тапсырма. Теңдеулердің қайсысы квадрат теңдеу болады? 1) 3,7х2-5х+1=0 2) 48х2-3х3-9=0 3) 1-12х=0 4)5х2-4х=0 5) 3х2-2=0 6) 6х+12=0 №2 Коэффициенттерін табу: 1)5х2 -3х=0 2)х 2 +3х-10=0 3) 6х2-30=0 №3 Берілген теңдеудің түбірін анықта. 1)4х2-9х=0 2) -3х 2 -15=0 3) 2х2=0 |
Оқушылар берілген тапсырмаларды орындайды 2 топ №1Тапсырма. Теңдеулердің қайсысы квадрат теңдеу болады? 3,7х2-12х3=0 2) 6х2-30=0 3) 2,1х2+2х-3=0 4) 15х2-5=0 5) 3х2-х=0 6)х-10=0 №2 Коэффициенттерін табу: 1)9х2 =0 2)х 2 +3х-10=0 3)3х2 - 1=0 №3 Берілген теңдеудің түбірін анықта. 1)4х2-3х=0 2) 2х 2 -50=0 3) х2-49 =0 |
Дескриптор: -квадрат теңдеудің анықтамасын біледі; -квадрат теңдеулердің түрлерін ажырата алады.
|
Интернет ресурстары. Тақта, слайд, оқу құралдары; 8 сыныпқа арналған оқулық |
|||||||||
|
|
Жеке жұмыс |
Оқулықтан №2.1, №2.3.
|
Тапсырманы орындайды
|
ҚБ «Бес бaрмaқ» |
Жинақ, парақша Тақта, слайд, оқу құралдары; 8 сыныпқа арналған оқулық |
|||||||||
|
5 минут |
|
Бүгінгі сабақта: -квадрат теңдеудің анықтамасын біледі; -квадрат теңдеулердің түрлерін ажырата алады. «БББ» кестесі.
|
Тақырыпты меңгергенін анықтау. Үйге тапсырма. №2.6. |
Кері байланыс |
|
|||||||||
Сабақ жоспары: №2
|
Бөлім: |
8.2А Квадрат теңдеулер |
|||||||||||||||||
|
Педагогтің Тегі, Аты, Әкесінің аты (бар болса) |
|
|||||||||||||||||
|
Пән/Сынып: |
8 сынып; Қатысқандар саны: Қатыспағандар саны: |
|||||||||||||||||
|
Күні: |
|
|||||||||||||||||
|
Сабақтың тақырыбы: |
Квадрат теңдеу. Квадрат теңдеулердің түрлері |
|||||||||||||||||
|
Оқу бағдарламасына сәйкес оқыту мақсаттары: |
8.2.2.1 квадрат теңдеудің анықтамасын білу; 8.2.2.2 квадрат теңдеулердің түрлерін ажырату; |
|||||||||||||||||
|
Сабақ мақсаттары: |
|
|||||||||||||||||
|
Сабақ барысы: |
||||||||||||||||||
|
Уақыты |
Кезең дері |
Педагогтің әрекеті |
Оқушының әрекеті |
Бағалау |
Ресурстар |
|||||||||||||
|
5 минут |
Ұйым дастыру |
Сәлеметсіздерме! Бүгін, Квадрат теңдеу. Квадрат теңдеулердің түрлері тақырыптарын қарастырамыз Бүгінгі сабақта меңгеретініңіз: -квадрат теңдеудің анықтамасын білу; -квадрат теңдеулердің түрлерін ажырату |
Амандасу.Сыныпты түгендеу. Сабаққа дайындау, оқу құралдарын алу. Үй тапсырмасын айту. Сұрақтарға жауап береді. |
«Екі жұлдыз, бір тілек» |
Оқулық |
|||||||||||||
|
10мин |
Негізгі бөлім |
Анықтама. ах2 +bх+с=0 түрінде берілген теңдеу квадрат теңдеу деп аталады. Мұндағы а,b,с -нақты сандар және а=0, ал х-айнымалы. Теңдеудегі а – бірінші коэффициент, b – екінші коэффициент, с — бос мүше. b= 0 және c=0 болса, онда ол теңдеу толық квадрат теңдеу деп аталады. Мысалы, х2 -2х-1=0; 3х2 -8х+5=0; 2,1х2 +102,3х+0,8=0; в немесе с нөлге
тең болатын квадрат теңдеу толымсыз квадрат теңдеу деп
аталады. |
Оқушылар дың белсенділігіне байланысты бағаланады. Дескриптор: -квадрат теңдеудің анықтамасын біледі; -квадрат теңдеулердің түрлерін ажырата алады. |
Интернет ресурстары |
||||||||||||||
|
25 мин |
Бекіту тапсырмасы |
Топтық жұмыс. №1. Теңдеулердің қайсысы квадрат теңдеу болады?
№2. Квадрат теңдеудің коэффициенттерін атаңдар:
№3. Егер а,b, c-ның мәндері белгілі болса, онда ах2 +bх+с=0 теңдеуін құрыңдар: 1) а=5, b=2, c=17 5х2 +2х+17=0 2) а=-4, b=0,5, c=1 -4х2 +0,5х+1=0 3) а=6, b=-1, c=0 6х2 -х=0 4) а=— , b=0, c=1,2 — х2 +1,2=0 Сергіту сәті. Логикалық тапсырмалар. Тест жауаптары.
|
Оқушылар берілген тапсырмаларды орындайды Өз бетімен жұмыс. Тест
А. х-3=0 В. 2х2 +9х -1=0 С. 4х2 -2х=0 Д. x2 +px+q=0
А. х-3=0 В. 2х2 +9х -1=0 С. 4х2 -2х=0 Д. x2 +px+q=0
А. х-3=0 В. 2х2 +9х -1=0 С. 4х2 -2х=0 Д. x2 +px+q=0 4. х2 — 49 =0 А. 49; -49; В. -7; 7; С. 9; -9 Д. 3; -3 5.Квадрат теңдеудің коэффициенттерін атаңыз: 5х2 -8х -4=0 А. а=8, b=4, c=5 В. а=4, b=5, c=8 С. а=5, b=8, c=4 Д. а=4, b=8, c=5 |
Дескриптор: -квадрат теңдеудің анықтамасын біледі; -квадрат теңдеулердің түрлерін ажырата алады.
|
Жинақ, парақша Тақта, слайд, оқу құралдары; 8 сыныпқа арналған оқулық |
|||||||||||||
|
|
Жеке жұмыс |
Оқулықтан №, №
|
Тапсырманы орындайды
|
ҚБ «Бес бaрмaқ» Дескриптор: -квадрат теңдеудің анықтамасын біледі; -толымсыз квадраттық теңдеуді шешеді
|
Жинақ, парақша Тақта, слайд, оқу құралдары; 8 сыныпқа арналған оқулық |
|||||||||||||
|
5 минут |
|
Бүгінгі сабақта: -квадрат теңдеудің анықтамасын біледі; -квадрат теңдеулердің түрлерін ажырата алады. «БББ» кестесі.
|
Тақырыпты меңгергенін анықтау. Үйге тапсырма. №6.7, №6.11. |
Кері байланыс |
|
|||||||||||||
Сабақ жоспары №3
Бекітемін:
|
Бөлім: |
8.2А Квадрат теңдеулер |
|||||||||||||||||||||||||||||||||
|
Педагогтің Тегі, Аты, Әкесінің аты (бар болса) |
|
|||||||||||||||||||||||||||||||||
|
Пән/Сынып: |
8 сынып; Қатысқандар саны: Қатыспағандар саны: |
|||||||||||||||||||||||||||||||||
|
Күні: |
|
|||||||||||||||||||||||||||||||||
|
Сабақтың тақырыбы: |
Квадрат теңдеулерді шешу |
|||||||||||||||||||||||||||||||||
|
Оқу бағдарламасына сәйкес оқыту мақсаттары: |
8.2.2.3квадрат теңдеулерді шешу; |
|||||||||||||||||||||||||||||||||
|
Сабақ мақсаттары: |
- квадрат теңдеуді формула арқылы шешуді біледі; |
|||||||||||||||||||||||||||||||||
|
Сабақ барысы: |
||||||||||||||||||||||||||||||||||
|
Уақыты |
Кезең дері |
Педагогтің әрекеті |
Оқушының әрекеті |
Бағалау |
Ресурстар |
|||||||||||||||||||||||||||||
|
5 минут |
Ұйым дастыру |
Сәлеметсіздерме! Бүгін, Квадрат теңдеу. Квадрат теңдеулердің түрлері тақырыптарын қарастырамыз Бүгінгі сабақта меңгеретініңіз: - квадрат теңдеулерді шешу. |
Амандасу.Сыныпты түгендеу. Сабаққа дайындау, оқу құралдарын алу. Үй тапсырмасын айту. |
«Екі жұлдыз, бір тілек» |
Оқулық |
|||||||||||||||||||||||||||||
|
10мин |
Негізгі бөлім |
Миға шабуыл «Иә жоқ» әдісі арқылы өткен тақырыпқа шолу жүргізіледі. - Квадрат теңдеудің бос мүшесі а.(жоқ) - Д болғанда екі түбірі болады. (иә) - Д=0 болғанда түбірі жоқ. (жоқ) - Д болғанда бір түбірі болады. (жоқ) - а=1 болғанда келтірілген теңдеу деп аталады. (иә) - Егер c онда екі түбірі теріс сан болады. (иә) - Егер c болса, онда түбірлері қарама-қарсы сандар болады. (жоқ) 2) Квадрат теңдеулердің түрін анықтаңдар:
|
Сұрақтарға жауап береді.
Берілген тапсырмаларды орындайды.
|
Оқушылар дың белсенділігіне байланысты бағаланады.
Дескриптор: -квадрат теңдеудің анықтамасын біледі; -квадрат теңдеулердің түрлерін ажырата алады. |
Интернет ресурстары Жинақ, парақша Тақта, слайд, оқу құралдары; 8 сыныпқа арналған оқулық |
|||||||||||||||||||||||||||||
|
25 мин |
Бекіту тапсырмасы |
«Кім жылдам?» әдісінде оқушыларға оқулықтан тапсырмалар беріледі №1
Сергіту сәті. Логикалық тапсырмалар. «Шағын тест» тапсырмалары 1. Толық квадрат теңдеудің жалпы түрін көрсетіңіз?
a)
2. 3х2 –х+5 = 0 теңдеуінің коэффициенттерін көрсетіңіз? а) a=3, b=1, c=5 b) a=3, b=-1, c=-5 c) a=3, b=-1, c=5 d) a=-3, b=-1, c=5 3. Д=0 болғанда теңдеудің неше шешімі болады? а) бір шешім b) шешімі жоқ c) екі шешім d) бірнеше шешім 4. a=1, b=-3, c=6 коэффициенттері бойынша квадрат теңдеу құрастырыңыз? а) -3х2 +х+6= 0 b) х2 +3х+56= 0 c) х2 –3х+6 = 0 d) 3х2 –х+6= 0 5. х2 –1= 0 теңдеуінің шешімін көрсетіңіз? а)1; b) 1; -1 c)-1; d) 0 |
Оқушылар берілген тапсырмаларды орындайды Кілті:
|
Дескриптор:
|
Интернет ресурстары. Жинақ, парақша Тақта, слайд, оқу құралдары; 8 сыныпқа арналған оқулық |
|||||||||||||||||||||||||||||
|
|
Жеке жұмыс |
Оқулықтан №6.1, №
Дескриптор · Квадрат теңдеуді көбейткіштерге жіктейді · Квадрат теңдеудің түбірлерін табады
|
Тапсырманы орындайды
|
ҚБ «Бес бaрмaқ» Дескриптор:
|
Жинақ, парақша Тақта, слайд, оқу құралдары; 8 сыныпқа арналған оқулық |
|||||||||||||||||||||||||||||
|
5 минут |
|
Бүгінгі сабақта: - квадрат теңдеуді формула арқылы шешуді біледі «БББ» кестесі.
|
Тақырыпты меңгергенін анықтау. Үйге тапсырма. №7.7. |
Кері байланыс |
|
|||||||||||||||||||||||||||||
Бекітемін:
|
Педагогтің Тегі, Аты, Әкесінің аты (бар болса) |
Тлегенова Оразгүл |
||||||||||||||||||||||||||||||
|
Пән/Сынып: |
8 сынып; Қатысқандар саны: Қатыспағандар саны: |
||||||||||||||||||||||||||||||
|
Күні: |
11.11.2024ж |
||||||||||||||||||||||||||||||
|
Бөлім: |
8.2А Квадрат теңдеулер |
||||||||||||||||||||||||||||||
|
Сабақтың тақырыбы: |
Квадрат теңдеулерді шешу |
||||||||||||||||||||||||||||||
|
Оқу бағдарламасына сәйкес оқыту мақсаттары: |
8.2.2.3квадрат теңдеулерді шешу; |
||||||||||||||||||||||||||||||
|
Сабақ мақсаттары: |
-толымсыз квадраттық теңдеулерді шешу; Толық квадраттық теңдеулерді шеше алу. формулаларын білу және оны есеп шығару барысында қолдану |
||||||||||||||||||||||||||||||
|
Сабақ барысы: |
|||||||||||||||||||||||||||||||
|
Уақыты |
Кезең дері |
Педагогтің әрекеті |
Оқушының әрекеті |
Бағалау |
Ресурстар |
||||||||||||||||||||||||||
|
5 минут |
Ұйым дастыру |
Сәлеметсіздерме! Бүгін, Квадрат теңдеу. Квадрат теңдеулердің түрлері тақырыптарын қарастырамыз Бүгінгі сабақта меңгеретініңіз: - квадрат теңдеулерді шешу. |
Амандасу.Сыныпты түгендеу. Сабаққа дайындау, оқу құралдарын алу. Үй тапсырмасын айту. |
«Екі жұлдыз, бір тілек» |
Оқулық |
||||||||||||||||||||||||||
|
10мин |
Негізгі бөлім |
1-мысал.
2-мысал.
|
Сұрақтарға жауап береді. Берілген тапсырмаларды орындайды. |
Оқушылар дың белсенділігіне байланысты бағаланады. Дескриптор: -квадрат теңдеудің анықтамасын біледі; -квадрат теңдеулердің түрлерін ажырата алады. |
Интернет ресурстары |
||||||||||||||||||||||||||
|
25 мин |
Бекіту тапсырмасы |
Деңгейлік тапсырмалар 1-деңгей (2 ұпай) 1) 2х2-8=0 2) 4х2=9 2х2=8 х2=9/4 х2=4 х1=3/2 х1=2 ; х2= -2 х2= -3/2 2-деңгей (4 ұпай) 1) 11 х2-6х-27=8 2) 26+5у-0,5у2=2,5у2+26 3-деңгей(6 ұпай) 1) х2-10х+16=0 2) х2+14х+45=0 (х-8) (х-2) =0 (х+9) (х+5) =0 х1=8 ; х2= 2 х1= -9 ; х2= -5 |
Оқушылар берілген тапсырмаларды орындайды Топтық жұмыс. №1.
Тест есептері. (4 ұпай ) 1) Жалпы квадрат теңдеудің формуласы А.x2+px+q=0 В. ax2+bx+с=0 С. ax2+с=0 2) Квадрат теңдеудің коэффициенттерін атаңдар. x2+6x-7=0 А. а=0, b=0,c= -7; В. а=1, b=6,c= -7; С. а=1, b=0,c= 1; 3) Теңдеуді ax2+bx+с=0 түрінде жазыңдар: х (2х-3)=5-4х А. 2×2-7x-5=0 В. 2×2-2x+5=0 С. 2×2+x-5=0 4) Теңдеуді шешіңдер 7×2-21x=0 А. 0;7 В. 0;21 С. 0;3 |
Дескриптор:
|
Жинақ, парақша Тақта, слайд, оқу құралдары; 8 сыныпқа арналған оқулық |
||||||||||||||||||||||||||
|
|
Жеке жұмыс |
Оқулықтан a, b, c коэффициенттерін тап
Дескриптор: - a, b, c коэффициенттерін анықтайды
|
Тапсырманы орындайды
|
ҚБ «Бес бaрмaқ» Дескриптор: -квадрат теңдеудің анықтамасын біледі; -квадрат теңдеулердің түрлерін ажырата алады. |
Жинақ, парақша Тақта, слайд, оқу құралдары; 8 сыныпқа арналған оқулық |
||||||||||||||||||||||||||
|
5 минут |
|
Бүгінгі сабақта: - квадрат теңдеуді формула арқылы шешуді біледі Қорытынды «Бір минут» әдісі. Оқушылардың сабақта оқыған материалдан түйінді, басты ақпаратты іріктей білу дағдыларын қалыптастыру. Оқушылар бүгінгі өткен тақырып бойынша сұрақтар қою арқылы сабақты қортындылайды. Бағалау:
|
Тақырыпты меңгергенін анықтау. Үйге тапсырма. №2.34. |
Кері байланыс |
|
||||||||||||||||||||||||||
Бекітемін:
|
Бөлім: |
8.2А Квадрат теңдеулер |
|||||
|
Педагогтің Тегі, Аты, Әкесінің аты (бар болса) |
Тлегенова Оразгүл |
|||||
|
Пән/Сынып: |
8 сынып; Қатысқандар саны: Қатыспағандар саны: |
|||||
|
Күні: |
12.11.2024ж |
|||||
|
Сабақтың тақырыбы: |
Квадрат теңдеулерді шешу |
|||||
|
Оқу бағдарламасына сәйкес оқыту мақсаттары: |
8.2.2.3 квадрат теңдеулерді шешу; |
|||||
|
Сабақ мақсаттары: |
- квадрат теңдеуді формула арқылы шешуді біледі; |
|||||
|
Сабақ барысы: |
||||||
|
Уақыты |
Кезең дері |
Педагогтің әрекеті |
Оқушының әрекеті |
Бағалау |
Ресурстар |
|
|
5 минут |
Ұйым дастыру |
Сәлеметсіздерме! Бүгін, Квадрат теңдеу. Квадрат теңдеулердің түрлері тақырыптарын қарастырамыз Бүгінгі сабақта меңгеретініңіз: - квадрат теңдеулерді шешу. |
Амандасу.Сыныпты түгендеу. Сабаққа дайындау, оқу құралдарын алу. Үй тапсырмасын айту. |
«Екі жұлдыз, бір тілек» |
Оқулық |
|
|
10мин |
Негізгі бөлім |
3. Миға шабуыл «Иә жоқ» әдісі арқылы өткен тақырыпқа шолу жүргізіледі. - Квадрат теңдеудің бос мүшесі а.(жоқ) - Д болғанда екі түбірі болады. (иә) - Д=0 болғанда түбірі жоқ. (жоқ) - Д болғанда бір түбірі болады. (жоқ) - а=1 болғанда келтірілген теңдеу деп аталады. (иә) - Егер c онда екі түбірі теріс сан болады. (иә) - Егер c болса, онда түбірлері қарама-қарсы сандар болады. (жоқ) |
Сұрақтарға жауап береді. Берілген тапсырмаларды орындайды. |
Оқушылар дың белсенділігіне байланысты бағаланады. Дескриптор: -квадрат теңдеудің анықтамасын біледі; -квадрат теңдеулердің түрлерін ажырата алады. |
Интернет ресурстары |
|
|
25 мин |
Бекіту тапсырмасы |
Деңгейлік тапсырмалар. 1тапсырма 4х2-3х=0 3х2+5=0 2тапсырма х2-14х+49=0 (х-5)2+4х=25
3тапсырма 345х2-137х-208=0 132х2-247х+115=0
Сергіту сәті. Логикалық тапсырмалар. Оқулықтан №7.14, №7.16. Жұптық жұмыс. Берілген коэффициенттер бойынша квадрат теңдеу құрып, түбірлерін табыңыз: 1. а=1, в=–4, с=35 2. а=–15, в=4, с=–2 3. а=3, в=4, с=4
|
Оқушылар берілген тапсырмаларды орындайды №4. Дискриминантын тауып, түбірлер санын анықта: а) х2-3х+1=0, б) 5х2-2х+6=0, в) 3х2-4х+2=0. Өз бетімен жұмыс. Тест тапсырмаларын орындайды /парақшамен беріледі/
|
Дескриптор · Квадрат теңдеуді көбейткіштерге жіктейді · Квадрат теңдеудің түбірлерін табады
Дескриптор · квадрат теңдеудің дискриминантын табады · Квадрат теңдеудің түбірлерінің санын анықтайды Дескриптор
|
Интернет ресурстары. Жинақ, парақша Тақта, слайд, оқу құралдары; 8 сыныпқа арналған оқулық |
|
|
|
Жеке жұмыс |
Сәйкесін тап ( жеке жұмыс) 1. 2х - 6х =0 Келтірілген квадрат теңдеу 2. х -2х - 9=0 Толымсыз квадрат теңдеу, с=0 3. 3х -8х – 3 =0 Толымсыз квадрат теңдеу, в=0 4. 7х = 0 Толық квадрат теңдеу, а=3, в=-8,с=-3 5. х -16 = 0 Толымсыз квадрат теңдеу.
|
Тапсырманы орындайды №2.52 Бір жазықтықта берілген бірнеше нүктенің кез келген үшеуі бір түзудің бойында жатпайды. Осы нүктелерді қос-қостан қосатын барлығы 28 түзу жүргізу мүмкін болса, бұл нүктелердің саны не- шеу? |
ҚБ «Бас бaрмaқ» Дескриптор · квадрат теңдеудің дискриминантын табады · Квадрат теңдеудің түбірлерінің санын анықтайды Дескриптор
|
Жинақ, парақша Тақта, слайд, оқу құралдары; 8 сыныпқа арналған оқулық |
|
|
5 минут |
|
Бүгінгі сабақта: - квадрат теңдеуді формула арқылы шешуді біледі Қорытынды «Бір минут» әдісі. Оқушылардың сабақта оқыған материалдан түйінді, басты ақпаратты іріктей білу дағдыларын қалыптастыру. Оқушылар бүгінгі өткен тақырып бойынша сұрақтар қою арқылы сабақты қортындылайды. Бағалау. |
Тақырыпты меңгергенін анықтау. Үйге тапсырма. №2.45 |
Кері байланыс |
Жинақ, парақша Тақта, слайд, оқу құралдары; 8 сыныпқа арналған оқулық |
|
|
Педагогтің Тегі, Аты, Әкесінің аты (бар болса) |
Тлегенова Оразгүл |
|||||||||||||||||||||||
|
Пән/Сынып: |
8 сынып; Қатысқандар саны: Қатыспағандар саны: |
|||||||||||||||||||||||
|
Күні: |
13.11.2024ж |
|||||||||||||||||||||||
|
Бөлім: |
8.2А Квадрат теңдеулер |
|||||||||||||||||||||||
|
Сабақтың тақырыбы: |
Виет теоремасы. |
|||||||||||||||||||||||
|
Оқу бағдарламасына сәйкес оқыту мақсаттары: |
8.2.2.4 Виет теоремасын қолдану; |
|||||||||||||||||||||||
|
Сабақ мақсаттары: |
Квадрат теңдеудің түбірлерін анықтау үшін Виет теоремасын және оған кері теореманы қолдана алу; Квадрат теңдеудің түбірлерін анықтау үшін Виет теоремасын және оған кері теореманы қолдану арқылы берілген есептерді шығара алу; Квадрат теңдеудің түбірлерін анықтау үшін Виет теоремасын және оған кері теореманы қолданып, күрделі есептерді тиімді тәсілдер арқылы шығару |
|||||||||||||||||||||||
|
Құндылықтарды дарыту |
«Жалпыға бірдей еңбек қоғамы» құндылығына: Топпен, жұппен жұмыс орындау барысында құрмет, серіктестік және жеке жұмыс орындау кезінде жауапкершілік, үздіксіз оқу құндылықтарын дарыту. |
|
||||||||||||||||||||||
|
Сабақ барысы: |
||||||||||||||||||||||||
|
Уақыты |
Кезең дері |
Педагогтің әрекеті |
Оқушының әрекеті |
Бағалау |
Ресурстар |
|||||||||||||||||||
|
5 минут |
Ұйым дастыру |
Сәлеметсіздерме! Бүгін, Виет теоремасы тақырыптарын қарастырамыз Бүгінгі сабақта меңгеретініңіз: - Виет теоремасын қолдану. |
Амандасу.Сыныпты түгендеу. Сабаққа дайындау, оқу құралдарын алу. Үй тапсырмасын айту. |
«Екі жұлдыз, бір тілек» |
Оқулық |
|||||||||||||||||||
|
15мин |
Негізгі бөлім |
1-теорема (Виет теоремасы). Келтірілген x2+px+q=0 квадрат тең- деуінің түбірлерінің қосындысы оның қарама-қарсы таңбамен алын- ған екінші коэффициентіне, ал көбейтіндісі бос мүшесіне тең:
Онда 2 және (–3) сандары x2+x–6=0 теңдеуінің түбірлері болады. 3-мысал. x2+2x–15=0 теңдеуі үшін 3+(–5)=–2, 3·(–5)=–15 болған- дықтан, х1=–5 және х2=3 — берілген теңдеудің түбірлері. |
Сұрақтарға жауап береді. Берілген тапсырмаларды орындайды. І топқа.
ІІ топқа.
ІІІ топқа.
|
Оқушылар дың белсенділігіне байланысты бағаланады.
Дескриптор: -квадрат теңдеудің анықтамасын біледі; -квадрат теңдеулердің түрлерін ажырата алады. -виет теоремасын қолданып, есептер шығарады
|
Жинақ, парақша Тақта, слайд, оқу құралдары; 8 сыныпқа арналған оқулық |
|||||||||||||||||||
|
20 мин |
Бекіту тапсырмасы |
Тапсырмалар. №1: Виет теоремасын қолданып теңдеудің түбірлерін табыңдар: x2 + x – 6 = 0 №2: Виет теоремасын қолданып теңдеудің түбірлерін табыңдар: x2 – 4x + 3 = 0 №3: Виет теоремасын қолданып теңдеудің түбірлерін табыңдар: x2 – 21x – 26 = 0 №4: Виет теоремасын қолданып теңдеудің түбірлерін табыңдар: x2 – 8x + 7 = 0 Сергіту сәті. Логикалық тапсырмалар. Оқулықтан №2.63 №2.64. Тест жауабы: 1.А 2. В 3. С |
Оқушылар берілген тапсырмаларды орындайды.
Өз бетімен жұмыс. Тест тапсырмаларын орындайды /парақшамен беріледі/ 1.Берілген теңдеудің түбірлерінің қосындысы мен көбейтіндісін табыңдар: x2-8x+15=0 А) 8; 15 В) -8;15 С) 8;-15 D) -8;-15 Е) 5;-18 2. Түбірлері x1=-1; x2=-7 болатын теңдеуді жазыңдар: А) x2+8x+15=0 В) x2+8x+7=0 С) x2-8x+7=0 D) x2+8x-7=0 Е) x2-8x-7=0 3. x2+px-35=0 теңдеуінің бір түбірі 7-ге тең. Екінші түбірін және р-ны табыңдар. А) 2;5 В) -2;5 С) -5;-2 D) 2;-5 Е) 5;-1
|
Дескриптор: - Квадрат теңдеуді Виет теоремасы арқылы шешуді біледі; - Квадрат теңдеудің түбірлерін табады
|
Интернет ресурстары. Жинақ, парақша Тақта, слайд, оқу құралдары; 8 сыныпқа арналған оқулық |
|||||||||||||||||||
|
|
Жеке жұмыс |
Тапсырманы орындайды
|
ҚБ «Бас бaрмaқ» Дескриптор: - Квадрат теңдеуді Виет теоремасы арқылы шешуді біледі; - Квадрат теңдеудің түбірлерін табады
|
Жинақ, парақша Тақта, слайд, оқу құралдары; 8 сыныпқа арналған оқулық |
||||||||||||||||||||
|
5 минут |
|
Бүгінгі сабақта: - Виет теоремасын қолдана біледі. Кері байланыс
Бағалау. |
Тақырыпты меңгергенін анықтау. Үйге тапсырма. №8.10. |
Кері байланыс |
|
|||||||||||||||||||
Бекітемін:
|
Педагогтің Тегі, Аты, Әкесінің аты (бар болса) |
Тлегенова Оразгүл |
||||||||||||
|
Пән/Сынып: |
8 сынып; Қатысқандар саны: Қатыспағандар саны: |
||||||||||||
|
Күні: |
18.11.2024ж |
||||||||||||
|
Бөлім: |
8.2А Квадрат теңдеулер |
||||||||||||
|
Сабақтың тақырыбы: |
Виет теоремасы. |
||||||||||||
|
Оқу бағдарламасына сәйкес оқыту мақсаттары: |
8.2.2.4 Виет теоремасын қолдану; |
||||||||||||
|
Сабақ мақсаттары: |
Квадрат теңдеудің түбірлерін анықтау үшін Виет теоремасын және оған кері теореманы қолдана алу; Квадрат теңдеудің түбірлерін анықтау үшін Виет теоремасын және оған кері теореманы қолдану арқылы берілген есептерді шығара алу; Квадрат теңдеудің түбірлерін анықтау үшін Виет теоремасын және оған кері теореманы қолданып, күрделі есептерді тиімді тәсілдер арқылы шығару |
||||||||||||
|
Құндылықтарды дарыту |
«Жалпыға бірдей еңбек қоғамы» құндылығына: Топпен, жұппен жұмыс орындау барысында құрмет, серіктестік және жеке жұмыс орындау кезінде жауапкершілік, үздіксіз оқу құндылықтарын дарыту. |
|
|||||||||||
|
Сабақ барысы: |
|||||||||||||
|
Уақыты |
Кезең дері |
Педагогтің әрекеті |
Оқушының әрекеті |
Бағалау |
Ресурстар |
||||||||
|
5 минут Сабақ басы |
Ұйым дастыру |
Сәлеметсіздерме! Бүгін, Виет теоремасы тақырыптарын қарастырамыз Бүгінгі сабақта меңгеретініңіз: - Виет теоремасын қолдану. |
Амандасу.Сыныпты түгендеу. Сабаққа дайындау, оқу құралдарын алу. Үй тапсырмасын айту. |
Екі жұлдыз, бір тілек» |
Оқулық |
||||||||
|
Сабақ ортасы |
негізгі кезең |
|
Есептерді топпен шығарып, бүтін түбірлері бар теңдеулерді атайды |
|
Жинақ, парақша Тақта, слайд, оқу құралдары; 8 сыныпқа арналған оқулық |
||||||||
|
|
|
Жаңа
сабақ |
Бейне: https://bilimland.kz/kk/subject/algebra/8-synyp/viet-teoremasy сабақты бейне үзіндігк қарап түсінеді |
|
Бейне: https://bilimland.kz/kk/subject/algebra/8-synyp/viet-teoremasy Бейне: https://bilimland.kz/kk/subject/algebra/8-synyp/viet-teoremasy |
||||||||
|
|
|
Виет теоремасын а = 1 болатын келтірілген квадраттық теңдеулер түбірін табуда қолданамыз.
Келтірілген квадраттық
теңдеулер түбірінің қосындысы қарсы таңбасымен алынған екінші
коэффициентке,ал көбейтіндісі бос мүшеге тең
болады:
IV. Жаттығулармен жұмыс: 1 – кезең тапсырмалары: (жұптық жұмыс) 1 – топ: «Келтірілген квадрат теңдеу» № 1. Теңдеуді
шешіңіз: Дескриптор: Білім алушы:
№ 2. Түбірлері бойынша квадрат теңдеу құрыңыз: а)
ә)
Дескриптор: Білім алушы:
№ 3. Теңдеу түбірлерінің қосындысын
табыңыз: Дескриптор: Білім алушы:
№ 4. Теңдеу түбірлерінің кубтарының қосындысын табыңыз:
Дескриптор: Білім алушы:
№ 7.
Дескриптор: Білім алушы:
|
№ 2. Түбірлері бойынша квадрат теңдеу құрыңыз: а)
ә)
Дескриптор: Білім алушы:
№ 3. Теңдеу түбірлерінің қосындысын
табыңыз: Дескриптор: Білім алушы:
№ 4. Теңдеу түбірлерінің кубтарының қосындысын табыңыз:
Дескриптор: Білім алушы:
2 – кезең тапсырмалары: (топтық жұмыс) 1 – топ: «Келтірілген квадрат теңдеу» № 5.
Дескриптор: Білім алушы:
№ 6.
Дескриптор: Білім алушы:
№ 7.
Дескриптор: Білім алушы:
2 – топ: «Келтірілмеген квадрат теңдеу» № 5.
Дескриптор: Білім алушы:
№ 6.
Дескриптор: Білім алушы:
|
Дескриптор: Білім алушы:
Компьютер. Тест: https://itest.kz/kz/exam-test?test_id=199282662
|
Жинақ, парақша Тақта, слайд, оқу құралдары; 8 сыныпқа арналған оқулық Жинақ, парақша Тақта, слайд, оқу құралдары; 8 сыныпқа арналған оқулық Жинақ, парақша Тақта, слайд, оқу құралдары; 8 сыныпқа арналған оқулық Жинақ, парақша Тақта, слайд, оқу құралдары; 8 сыныпқа арналған оқулық
|
||||||||
|
5 минут |
|
Бүгінгі сабақта: - Виет теоремасын қолдана біледі. Кері байланыс
Бағалау. |
Тақырыпты меңгергенін анықтау. V. Сабақты бекіту: Тест тапсырмалары: Барлық тапсырма саны – 10. Жалпы балл: 10 балл
Үйге тапсырма. № |
Кері байланыс |
Бағалау парағы оқулық |
||||||||
Бекітемін: тақырып: №10
|
Бөлім: |
8.2А Квадрат теңдеулер |
|||||||||||||||||||||||||||||||
|
Педагогтің Тегі, Аты, Әкесінің аты (бар болса) |
Тлегенова Оразгүл |
|||||||||||||||||||||||||||||||
|
Пән/Сынып: |
8 сынып; Қатысқандар саны: Қатыспағандар саны: |
|||||||||||||||||||||||||||||||
|
Күні: |
19.11.2024ж |
|||||||||||||||||||||||||||||||
|
Сабақтың тақырыбы: |
Квадрат үшмүше |
|||||||||||||||||||||||||||||||
|
Оқу бағдарламасына сәйкес оқыту мақсаттары: |
8.2.1.1квадрат үшмүшенің түбірі ұғымын меңгеру; |
|||||||||||||||||||||||||||||||
|
Сабақ мақсаттары: |
- Квадрат теңдеуді Виет теоремасын қолдану арқылы шешуді біледі; |
|||||||||||||||||||||||||||||||
|
Сабақ барысы: |
||||||||||||||||||||||||||||||||
|
Уақыты |
Кезең дері |
Педагогтің әрекеті |
Оқушының әрекеті |
Бағалау |
Ресурстар |
|||||||||||||||||||||||||||
|
5 минут |
Ұйым дастыру |
Сәлеметсіздерме! Бүгін, Квадрат үшмүше тақырыптарын қарастырамыз Бүгінгі сабақта меңгеретініңіз: - квадрат үшмүшенің түбірі ұғымын меңгеру |
Амандасу.Сыныпты түгендеу. Сабаққа дайындау, оқу құралдарын алу. Үй тапсырмасын айту. |
«Екі жұлдыз, бір тілек» |
Оқулық |
|||||||||||||||||||||||||||
|
10мин |
Негізгі бөлім |
Анықтама. ах2 + вх + с түріндегі көпмүше квадрат үшмүше деп аталады. Мұндағы х – айнымалы, а, в, с-коэффициенттержәне а ≠ 0 Квадрат теңдеу жағдайындағы сияқты а – квадрат үшмүшенің бірінші коэффициенті, в – екінші коэффициенті, с – бос мүше. Егер квадрат үшмүшенің бірінші коэффициенті 1-ге тең, яғни а = 1 болса, онда квадрат үшмүше келтірілген квадрат үшмүше депаталады. Квадрат үшмүшені нөлге айналдыратын х айнымалысының мәндерін квадрат үшмүшенің түбірлері депатайды. Басқаша айтқанда, ах2+ вх + с = 0 (а ≠ 0) теңдеуінің түбірлері сәйкесінше ах2 + вх + с квадрат үшмүшенің түбірлері деп аталады. ах2 + вх + с = а(х – х1)(х – х2) формуласын квадрат үшмүшені түбірлері арқылы көбейткіштерге жіктеу формуласы деп атайды. Квадрат үшмүшенің түбірлері бар болса, онда ол көбейткіштерге жіктеледі. Керісінше, квадрат үшмүше көбейткіштерге жіктелсе, онда оның түбірлері болады. Егер квадрат үшмүше көбейткіштерге жіктелмесе, онда оның түбірлері болмайды. |
Сұрақтарға жауап береді. Берілген тапсырмаларды орындайды.
Мысалы: х2 – 16х + 60; х2 – 16х + 60 = 0; х1 = 6; х2 = 10 х2 – 16х + 60 = (х – 6)(х – 10) |
Оқушылар дың белсенділігіне байланысты бағаланады. |
Интернет ресурстары Жинақ, парақша Тақта, слайд, оқу құралдары; 8 сыныпқа арналған оқулық |
|||||||||||||||||||||||||||
|
25 мин |
Бекіту тапсырмасы |
Тапсырмалар. Джигсо әдісі бойынша әр оқушы жеке тапсырманы орындайды, топпен талқылайды, келесі топқа барып түсіндіреді. х2 -14х + 49 х2 -11х + 10 х2 -70х + 1200
Сиқырлы үшмүшені табу, топтарға тапсырманы бөліп беру. (уақытқа)
|
Оқушылар берілген тапсырмаларды орындайды. Өз бетімен жұмыс. Егер сұраққа «иә» жауап берсең қызыл түспен, «жоқ» деп жауап берсең көк түспен торды боя . 1) Квадрат үшмүшенің түбірлері болса, ол көбейткішке жіктеле ме? 2) Квадрат теңдеудің түбірін таба алдың ба? 3) Виет теоремасын пайдаландың ба? 4) Квадрат үшмүшені көбейткішке жіктей алдың ба? 5)Дискриминант D= b2 - 4acформуласымен табыла ма? 6)Үшмүшені жіктеу формуласы ах2 + вх + с = а(х – х1)(х – х2) дұрыс па ? 7) Бүгінгі сабақ ұнады ма? |
Дескриптор: - Үшмүшенің коэффициенттерін таба біледі 1 балл -Үшмүшенің түбірін таба біледі 1 балл
|
Интернет ресурстары. Жинақ, парақша Тақта, слайд, оқу құралдары; 8 сыныпқа арналған оқулық |
|||||||||||||||||||||||||||
|
|
Жеке жұмыс |
|
Теңдеулерді шешпей-ақ, олардың түбірлерінің таңбаларын анықтаңдар
|
ҚБ «Бас бaрмaқ» |
Жинақ, парақша Тақта, слайд, оқу құралдары; 8 сыныпқа арналған оқулық |
|||||||||||||||||||||||||||
|
|
|
Квадрат үшмүшені
көбейткіштерге жіктеңдер |
№2.102 Квадрат үшмүшені көбейткіштерге жіктеңдер:
№2.106 х2+х+k=0 теңдеуінің нақты түбірлері болмайтындай етіп, k-ның ең кіші бүтін мәнін табыңдар. |
|
Жинақ, парақша Тақта, слайд, оқу құралдары; 8 сыныпқа арналған оқулық |
|||||||||||||||||||||||||||
|
|
|
ҚБ:Оқушылар бір-бірін басбармақ арқылы бағалайды |
Дескриптор Квадрат үшмүшенің түбірлерін табады; Квадрат үшмүшені көбейткіштерге жіктейді, Бөлшекті қысқартуды орындайды. ҚБ: Оқушылар бір-бірін басбармақ арқылы бағалайды |
Жинақ, парақша Тақта, слайд, оқу құралдары; 8 сыныпқа арналған оқулық |
||||||||||||||||||||||||||||
|
5 минут |
|
Бүгінгі сабақта: - вадрат үшмүшенің түбірі ұғымын меңгереді. Кері байланыс: «Сабақта өзіңді бағала» рефлексиясы Оқушылардың әрқайсысына сабақтағы жұмысын мінездейтін фразалар жазылған үлестірмелер таратылады. Оқушы өзінің жұмысына тиісті фразалардың астын сызу арқылы баға беруі керек: Бағалау. |
Тақырыпты меңгергенін анықтау. Үйге тапсырма. № Аты-жөні: ___ ___ сынып Сабақ Мен сабақ үстінде 1. қызық 1. Жұмыс 1. түсіндім 2. қызыға бастадым 2. демалдым 2. Көбірек бі лдім 3. жалықтырды 3. басқаларға 3.түсінбедім көмектестім |
Кері байланыс |
Жинақ, парақша Тақта, слайд, оқу құралдары; 8 сыныпқа арналған оқулық |
|||||||||||||||||||||||||||
№11
Бекітемін:
|
Педагогтің Тегі, Аты, Әкесінің аты (бар болса) |
Тлегенова Оразгүл |
|||||
|
Пән/Сынып: |
8 сынып; Қатысқандар саны: Қатыспағандар саны: |
|||||
|
Күні: |
20.11.2024ж |
|||||
|
Бөлім: |
8.2А Квадрат теңдеулер |
|||||
|
Сабақтың тақырыбы: |
Квадрат үшмүше. Үшмүшеден екімүшенің толық квадратын бөлу. |
|||||
|
Оқу бағдарламасына сәйкес оқыту мақсаттары: |
8.2.1.2 үшмүшеден екімүшенің толық квадратын бөлу; |
|||||
|
Сабақ мақсаттары: |
-Үшмүшеден екі мүшенің толық квадратын бөлу -Квадрат үшмүшеден екімүшенің толық квадратын бөлуді есеп шығаруда қолдану; - Квадрат үшмүшеден екімүшенің толық квадратын бөлу үшін тиімді тәсілдерді қолдану |
|||||
|
Сабақ барысы: |
||||||
|
Уақыты |
Кезең дері |
Педагогтің әрекеті |
Оқушының әрекеті |
Бағалау |
Ресурстар |
|
|
5 минут |
Ұйым дастыру |
Сәлеметсіздерме! Бүгін, Квадрат үшмүше тақырыптарын қарастырамыз Бүгінгі сабақта меңгеретініңіз: - үшмүшеден екімүшенің толық квадратын бөлу |
Амандасу.Сыныпты түгендеу. Сабаққа дайындау, оқу құралдарын алу. Үй тапсырмасын айту. |
«Екі жұлдыз, бір тілек» |
Оқулық |
|
|
10мин |
Негізгі бөлім |
Қығушылықты ояту: белгісіз мүшелерді толықтыр
Проблемалық сұрақ: Үшмүшеден екімүшенің квадратын қалай аламын? Сабақтың тақырыбы мен мақсаты айқындалады. Оқушыларды квадрат теңдеудің түрлері арқылы үш топқа бөлу. 1-топ. Толымсыз квадрат теңдеу; 2-топ. Толық квадрат теңдеу; 3-топ. Келтірілген квадрат теңдеу. «Дайындал... Назар сал... Оқыңдар... » әдісі арқылы оқушылар жаңа ақпаратты оқып, топта талқылайды. І. Ротация әдісі: (топтық жұмыс) |
Сұрақтарға жауап береді. Берілген тапсырмаларды орындайды.
Берілген үшмүшеден екімүшенің толық квадратын бөліңдер.
|
Дескриптор: Білім алушы - түрлендірулер арқылы екі өрнектің қосындысының немесе айырмасының квадратының формуласына келтіреді; - екімүшенің толық квадратын бөліп алады; Оқушылар дың белсенділігіне байланысты бағаланады. |
Интернет ресурстары |
|
|
25 мин |
Бекіту тапсырмасы |
Тапсырмалар. «Ойлан-Жұптас-Бөліс» әдісі. (Жұптық жұмыс) Берілген үшмүшеден екімүшенің толық квадратын бөліп алыңдар; Квадрат үшмүшенің ең үлкен мәнін немесе ең кіші мәнін табыңдар.
Дамытушылық деңгей: І-нұсқа №2. Тіктөртбұрыштың ұзындығы енінен 4 м ұзын. Тіктөртбұрыштың ауданы 45 м2. Тіктөрбұрыштың ені мен ұзындығын табыңыз. ІІ-нұсқа №2. Тіктөртбұрыштың ұзындығы енінен 2 м ұзын. Тіктөртбұрыштың ауданы 48 м2. Тіктөрбұрыштың ені мен ұзындығын табыңыз.
«Өзіңді тексер» әдісі арқылы сәйкестендіру тест беремін.
Сергіту сәті. Логикалық тапсырмалар. Оқулықтан №9.6, №9.7.
|
Оқушылар берілген тапсырмаларды орындайды. Өз бетімен жұмыс. Тест. Тақырыпты пысықтау мақсатында 1.Берілген көпмүшелердің қайсысы квадрат үшмүше болады? А. 2х+3 В. х3-х2+5 С. х2-19х Д. 3х3-0,4х2-х 2. х2-9х+8 квадрат үшмүшесін көбейткіштерге жіктеңдер А. (х-1)(х-8) В.(х+1)(х-9) С.(х+1)(х+8) Д. Жіктеуге болмайды
3.Түбірлерін х1=5 және x2=4 ден алып квадрат үшмүшені жазыңдар А. х2+9х+20 В. х2-х-20 С. х2+х-20 Д. х2-9х-20
4. 2х2-10х+12 квадрат үшмүшесін көбейткіштерге жіктеңдер А. (2х-4)(х+3) В.2(х-2)(х-3) С. 2(х+2)(х+3) Д. (х-2)(х-3)
5. х1=2,5 және x2=-3 ден алып квадрат үшмүшені жазыңдар А. х2-5,5х+7,5 В. х2-0,5х-7,5 С. х2-5,5х-7,5 Д. х2+0,5х-7,5 |
Дескриптор: - ??2 +??+? өрнегіндегі ? коэффициентін жақшаның сыртына шығарады; - түрлендірулер арқылы екі өрнектің қосындысының немесе айырмасының квадратының формуласына келтіреді; - екімүшенің толық квадратын бөліп алады; - квадрат үшмүшенің ең кіші (ең үлкен) мәнін табады.
Дескриптор Квадрат үшмүшенің түбірлерін табады; Квадрат үшмүшені көбейткіштерге жіктейді, Бөлшекті қысқартуды орындайды. ҚБ: Оқушылар бір-бірін бас бармақ әдісімен бағалайды |
Интернет ресурстары. Жинақ, парақша Тақта, слайд, оқу құралдары; 8 сыныпқа арналған оқулық |
|
|
|
Жеке жұмыс |
«Өзіндік ойын» әдісі. Әр оқушыға жауаптары берілген кеспе қағаз беріледі. Оқушы әр жауап үшін сұрақ ойлап табуда ақпараттық басқаруы, ойлау дағдысы қалыптасады. №1. -3х2 +10х+44 а = 3, в = 44, с=10; а=44, в=10, с = -3; а=-3, в=10, с=−44; а = -3, в=10, с = 44. |
Тапсырманы орындайды №2. х4 – 10х + 3; 4х2 + 0,3х – 5; 2х3+5; 5х2 + 4х3 + 7 |
ҚБ «Бас бaрмaқ» |
Жинақ, парақша Тақта, слайд, оқу құралдары; 8 сыныпқа арналған оқулық |
|
|
5 минут |
|
Бүгінгі сабақта: -үшмүшеден екімүшенің толық квадратын бөле алады. Кері байланыс: «Қол белгісі» арқылы сабақты түсінгенін немесе түсінбегенін көрсетуді сұраймын.
Осы белгілерге сүйеніп сабақтың қай деңгейде өткенін сабақтаймын Бағалау. |
Тақырыпты меңгергенін анықтау.
Үйге тапсырма. №9.8.
|
Кері байланыс |
Жинақ, парақша Тақта, слайд, оқу құралдары; 8 сыныпқа арналған оқулық |
|
Бекітемін:
|
Бөлім: |
8.2А Квадрат теңдеулер |
|||||||||||||||||||||||||||||||
|
Педагогтің Тегі, Аты, Әкесінің аты (бар болса) |
Тлегенова Оразгүл |
|||||||||||||||||||||||||||||||
|
Пән/Сынып: |
8 сынып; Қатысқандар саны: Қатыспағандар саны: |
|||||||||||||||||||||||||||||||
|
Күні: |
25.11.2024ж |
|||||||||||||||||||||||||||||||
|
Сабақтың тақырыбы: |
Квадрат үшмүшені көбейткіштерге жіктеу |
|||||||||||||||||||||||||||||||
|
Оқу бағдарламасына сәйкес оқыту мақсаттары: |
8.2.1.2үшмүшеден екімүшенің толық квадратын бөлу; 8.2.1.3квадрат үшмүшені көбейткіштерге жіктеу; |
|||||||||||||||||||||||||||||||
|
Сабақ мақсаттары: |
-Үшмүшеден екі мүшенің толық квадратын бөлуді білу. -Квадрат үшмүшеден екімүшенің толық квадратын бөлуді есеп шығаруда қолданады(ең үлкен және ең кіші мәндерін табады); - Квадрат үшмүшеден екімүшенің толық квадратын бөлу үшін тиімді тәсілдерді қолдана алу |
|||||||||||||||||||||||||||||||
|
Құндылыққа баулу |
Оқушылардың бойында патриоттық сезімі, ұлттық сана-сезімі, азаматтылығы мен әлеуметтік белсенділігі жоғары деңгейлі зияткер, әрі бәсекеге қабілетті тұлғаға тән қасиеттер мен сапаларды жетілдіру, бір-бірін сыйластыққа, пікірін тыңдауға, топпен жұмыс жасауға баулу |
|||||||||||||||||||||||||||||||
|
Сабақ барысы: |
||||||||||||||||||||||||||||||||
|
Уақыты |
Кезең дері |
Педагогтің әрекеті |
Оқушының әрекеті |
Бағалау |
Ресурстар |
|||||||||||||||||||||||||||
|
5 минут |
Ұйым дастыру |
Сәлеметсіздерме! Бүгін, Квадрат үшмүшені көбейткіштерге жіктеу тақырыптарын қарастырамыз Бүгінгі сабақта меңгеретініңіз: - үшмүшеден екімүшенің толық квадратын бөлу -квадрат үшмүшені көбейткіштерге жіктеу. |
Амандасу.Сыныпты түгендеу. Сабаққа дайындау, оқу құралдарын алу. Үй тапсырмасын айту. Сабақтың тақырыбы мен мақсаты айқындалады. Оқушыларды квадрат теңдеудің түрлері арқылы үш топқа бөлу. 1-топ. Толымсыз квадрат теңдеу; 2-топ. Толық квадрат теңдеу. |
«Екі жұлдыз, бір тілек» |
Оқулық |
|||||||||||||||||||||||||||
|
10мин |
Негізгі бөлім |
ІІ. Мағынаны тану. Жаңа сабақ: Алдымен х2+px+q келтірілген квадрат үшмүшесін көбейткіштерге жіктейік. Бұдан былай х2+px+q=0 квадрат теңдеуінің түбірлерін х2+px+q квадрат үшмүшесінің түбірлері деп атаймыз. Бұл квадрат үшмүшенің түбірлері х2+px+q=0 теңдеуінің түбірлерімен бірдей болғандықтан, -(х1+x2)=p, х1∙x2=q теңдіктері орындалады. Сонда х2+px+q=х2-(х1+x2)х+х1∙x2=х2-х1х+х1x2=х(х-х1)-х2(х-х1)=(х-х1)(х-х2)теңдігін аламыз. Сонымен, егер х1 және х2 сандары х2+px+q квадрат үшмүшесінің түбірлері болса, онда х2+px+q=(х-х1)(х-х2) теңдігі орындалады.
Ал жалпы
жағдайда, aх2+bx+c квадрат үшмүшесінің
түбірлері aх2+bx+c=0 теңдеуінің
немесе 1-мысал. х2-6x+8 квадрат үшмүшесін көбейткіштерге жіктейік. Оның түбірлері: х1=2, х2=4 болғандықтан, х2-6x+8=(х-2)(х-4) теңдігін аламыз. 2-мысал. 2х2-x-6 квадрат үшмүшесін көбейткіштерге жіктейік. Оның түбірлері: х1=-1,5; х2=2 болғандықтан, 2х2-x-6=2(х-(-1,5))(х-2)=2(х+1,5) (х-2)=(2х+3)(х-2) теңдігі орындалады. 1.Міндетті оқушылық саты 2.Алгоритмдік деңгей 3.Евристикалық деңгей 4.Қорытынды 1.Міндетті оқушылық саты. Тапсырманы толықтыру. |
Сұрақтарға жауап береді. Берілген тапсырмаларды орындайды.
«Бұл жауабы болса, онда сұрақ қандай болады?» тәсілімен үй тапсырмасын сұрау. Оқушыларға формулаларды беріп, жауап ретінде осы формулаларды алу үшін сұрақ қандай болатынын анықтауды сұрау.
x1*x2=q
|
Дескриптор: 1. Квадрат теңдеудің анықтамасын біледі 2. Толымсыз квадрат теңдеуді біледі 3. Дискриминантты табу формуласын біледі 4.Келтірілген квадрат теңдеуді біледі 5.Виет теоремасын біледі 6.Квадрат теңдеудің түбірлерін табу формулаларын біледі 7.Квадрат үшмүшені көбейткіштерге жіктеу формуласын біледі «Бас бармақ» әдісі арқылы оқушылар бірін-бірі бағалайды. |
Жинақ, парақша Тақта, слайд, оқу құралдары; 8 сыныпқа арналған оқулық |
|||||||||||||||||||||||||||
|
25 мин |
Бекіту тапсырмасы |
Тапсырмалар. Алгоритмдік деңгей. №1. А тобы: №1. Квадрат үшмүшені көбейткіштерге жіктеңдер: 1) х2-2x-48; 2) х2+9x-22; В тобы: №2. Квадрат үшмүшені көбейткіштерге жіктеңдер: 1) ах2-(а+с)x+с; 2) 6х2+5mx+m2; C тобы: №3. Түбірлері бойынша теңдеулер құрастырып, оларды көпмүше түрінде жазыңдар. 1) -3;8; 2) 0;12
Сергіту сәті. Логикалық тапсырмалар. Евристикалық деңгей. Тест жұмысы. Тест жауаптары: 1-а, 2-ә, 3-а, 4-ә, 5-ә, 6-ә, 7-а, 8-ә. |
Оқушылар берілген тапсырмаларды орындайды. Бағалау критерийі Квадрат үшмүше құра алады №2. «Жасырын сөзді тап» әдісі бойынша оқушылар мақал-мәтелдердегі сан есімдерді тауып, квадрат үшмүше құрастырулары керек және көбейткіштерге жіктеулері керек:
х2-11х+10=(х-1)(х-10)
х2-10х+9=(х-9)(х-1)
х2-14х+49=(х-7)(х-7)
х2-9х+8=(х-1)(х-8)
х2-1001х+1000=(х-1)(х-1000) |
Дескриптор
Сан есімдерді дұрыс табады. Виет теоремасын қолданады. Квадрат үшмүше құрастырады Квадрат үшмүшені көбейткіштерге жіктейді. |
Жинақ, парақша Тақта, слайд, оқу құралдары; 8 сыныпқа арналған оқулық |
|||||||||||||||||||||||||||
|
|
|
|
Дескриптор Квадрат үшмүшенің түбірлерін табады; Квадрат үшмүшені көбейткіштерге жіктейді. ҚБ: Оқушылар бір-бірін басбармақ арқылы бағалайды |
Жинақ, парақша Тақта, слайд, оқу құралдары; 8 сыныпқа арналған оқулық |
||||||||||||||||||||||||||||
|
|
|
2-тапсырма «Конверт» әдісі арқылы топтың әр мүшесі деңгейлік есептерді шығарады. (жұптық жұмыс) Бөлшекті қысқартыңдар 1-топ 2-топ 3-топ
|
Дескриптор Квадрат үшмүшенің түбірлерін табады; Квадрат үшмүшені көбейткіштерге жіктейді, Бөлшекті қысқартуды орындайды. ҚБ: Оқушылар бір-бірін басбармақ арқылы бағалайды
|
Жинақ, парақша Тақта, слайд, оқу құралдары; 8 сыныпқа арналған оқулық |
||||||||||||||||||||||||||||
|
|
Жеке жұмыс |
«Өзіндік ойын» әдісі. Әр оқушыға жауаптары берілген кеспе қағаз беріледі. Оқушы әр жауап үшін сұрақ ойлап табуда ақпараттық басқаруы, ойлау дағдысы қалыптасады. №1. -3х2 +10х+44 а = 3, в = 44, с=10; а=44, в=10, с = -3; а=-3, в=10, с=−44; а = -3, в=10, с = 44. |
Тапсырманы орындайды №2. х4 – 10х + 3; 4х2 + 0,3х – 5;
|
ҚБ «Бас бaрмaқ» |
Жинақ, парақша Тақта, слайд, оқу құралдары; 8 сыныпқа арналған оқулық |
|||||||||||||||||||||||||||
|
5 минут |
|
Бүгінгі сабақта: - үшмүшеден екімүшенің толық квадратын бөле алады. -квадрат үшмүшені көбейткіштерге жіктей алады. «Попкорн» тәсілі арқылы оқушыларға тақырыпқа байланысты ауызша сұрақтар қойылады. Оқушылар қай кезде орнынан тұрып жауап беру керектігін шешеді. Егер бірнеше оқушы қатар тұрса, онда оқушылар кімнің бірінші болып сөйлейтінін шешуі тиіс. Рефлексия: Оқушыларға осы сабақты өздерінің қандай дәрежеде түсінгендерін «Табыс ағашына» стикерлер жапсырту арқылы анықтаймын. Бағалау. |
Тақырыпты меңгергенін анықтау.
Үйге тапсырма. №9.16. |
Кері байланыс Бағалау парағы арқылы бағаланады. |
Жинақ, парақша Тақта, слайд, оқу құралдары; 8 сыныпқа арналған оқулық |
|||||||||||||||||||||||||||
Бекітемін:
|
Бөлім: |
8.2А Квадрат теңдеулер |
||||||
|
Педагогтің Тегі, Аты, Әкесінің аты (бар болса) |
Тлегенова Оразгүл |
||||||
|
Пән/Сынып: |
8 сынып; Қатысқандар саны: Қатыспағандар саны: |
||||||
|
Күні: |
26.11.2024ж |
||||||
|
Сабақтың тақырыбы: |
Теңдеулерді шешу |
||||||
|
Оқу бағдарламасына сәйкес оқыту мақсаттары: |
8.2.2.5 |
||||||
|
Сабақ мақсаттары: |
|
||||||
|
Сабақ барысы: |
|||||||
|
Уақыты |
Кезең дері |
Педагогтің әрекеті |
Оқушының әрекеті |
Бағалау |
Ресурстар |
||
|
5 минут |
Ұйым дастыру |
Сәлеметсіздерме! Бүгін, Теңдеулерді шешу тақырыптарын қарастырамыз Бүгінгі сабақта меңгеретініңіз:
-
|
Амандасу.Сыныпты түгендеу. Сабаққа дайындау, оқу құралдарын алу. Үй тапсырмасын айту. Сабақтың тақырыбы мен мақсаты айқындалады. Оқушыларды квадрат теңдеудің түрлері арқылы үш топқа бөлу. 1-топ. Толымсыз квадрат теңдеу; 2-топ. Толық квадрат теңдеу. 3-топ. Келтірілген квадрат теңдеу. |
«Екі жұлдыз, бір тілек» |
Оқулық |
||
|
10мин |
Негізгі бөлім |
Жаңа материалды меңгеру
Оқушыларға екі түрлі модулі бар теңдеу беріледі. Бірі - сызықтық, екіншісі - квадрат теңдеу. Олар алдымен сызықтық теңдеуді шешеді, дұрыс жауабы тақтада көрсетіледі, соған қарай отырып квадрат теңдеуді шешеді. №1. а)
b) |
Сұрақтарға жауап береді. Берілген тапсырмаларды орындайды. Алғашқы бекіту Қатар отырған екі оқушыға екі түрлі тапсырмалар беріледі. Олар өз тапсырмаларын шығарып болған соң, жауапты қабырғада ілулі тұрған жауаппен салыстырады да, көршісіне қалай шығарғанын түсіндіреді. №1.
№2.
|
Дескриптор: 1. Квадрат теңдеудің анықтамасын біледі 2. Модулі бар теңдеуді шеше алады. «Бас бармақ» әдісі арқылы оқушылар бірін-бірі бағалайды. |
Интернет ресурстары Слайд |
||
|
25 мин |
Бекіту тапсырмасы |
Тапсырмалар. Жалпы сыныпқа ұсынылатын тапсырма:
Жеке жұмыс Оқушыларға 6 түрлі есептер таратылады, олар өздеріне берілген есепті шығарады, кейін сол есепті шығарып болған оқушымен салыстырып талдайды да, басқа есепке көшеді, оны болған соң тағы да болған оқушымен салыстырады. Осылайша әрбір оқушы 6 есеп шығарады.
Сергіту сәті. Логикалық тапсырмалар. Өз бетімен жұмыс. Тест жұмысы /карточкамен/ Тест жауаптары: 1-а, 2-ә, 3-а, 4-ә, 5-ә, 6-ә, 7-а, 8-ә. Оқулықтан №9.20, №9.23. |
Оқушылар берілген тапсырмаларды орындайды. №1. Теңдеуді шешіп, ең кіші түбірін көрсетіңіз: │х2 + х│= 0 №2. Теңдеуді шешіп, ең үлкен түбірін көрестіңіз: │х2 – 5х + 4│= 4 №3. Теңдеуді шешіп, бүтін түбірін көрсетіңіз:│2х2 – 7х + 6│= 1 №4. Теңдеуді шешіп, түбірлерінің қосындысын табыңыз: 3х2 - 7│х│ + 2 = 0
|
Дескриптор: 1. Квадрат теңдеудің анықтамасын біледі 2. Модулі бар теңдеуді шеше алады.
|
Интернет ресурстары. Жинақ, парақша Тақта, слайд, оқу құралдары; 8 сыныпқа арналған Оқулық |
||
|
|
Жеке жұмыс |
«Өзіндік ойын» әдісі. Теңдеулерді шешіңіз:
|
Тапсырманы орындайды
|
ҚБ «Бас бaрмaқ» |
Жинақ, парақша |
||
|
5 минут |
|
Бүгінгі сабақта:
-
Сабақты қорытындалау 5 оқушыдан топтарға бөлінеді. Әрқайсысына рефлексия қағазы таратылады. Әрбір оқушы өз тобындағы кез келген оқушыға 1 сұрақ қою арқылы кестені толтырады.
Бағалау. |
Тақырыпты меңгергенін анықтау.
Үйге тапсырма. №9.21. |
Кері байланыс Бағалау парағы арқылы бағаланады. |
Жинақ, парақша Тақта, слайд, оқу құралдары; 8 сыныпқа арналған оқуық |
||
|
Бөлім: |
8.2А Квадрат теңдеулер |
|||||||||||
|
Педагогтің Тегі, Аты, Әкесінің аты (бар болса) |
Тлегенова Оразгүл |
|||||||||||
|
Пән/Сынып: |
8 сынып; Қатысқандар саны: Қатыспағандар саны: |
|||||||||||
|
Күні: |
27.11.2024ж |
|||||||||||
|
Сабақтың тақырыбы: |
Теңдеулерді шешу |
|||||||||||
|
Оқу бағдарламасына сәйкес оқыту мақсаттары: |
8.2.2.5 |
|||||||||||
|
Сабақ мақсаттары: |
|
|||||||||||
|
Сабақ барысы: |
||||||||||||
|
Уақыты |
Кезең дері |
Педагогтің әрекеті |
Оқушының әрекеті |
Бағалау |
Ресурстар |
|||||||
|
5 минут |
Ұйым дастыру |
Сәлеметсіздерме! Бүгін, Теңдеулерді шешу тақырыптарын қарастырамыз Бүгінгі сабақта меңгеретініңіз:
-
|
Амандасу.Сыныпты түгендеу. Сабаққа дайындау, оқу құралдарын алу. Үй тапсырмасын айту. Сабақтың тақырыбы мен мақсаты айқындалады. Оқушыларды квадрат теңдеудің түрлері арқылы үш топқа бөлу. 1-топ. Толымсыз квадрат теңдеу; 2-топ. Толық квадрат теңдеу. 3-топ. Келтірілген квадрат теңдеу. |
«Екі жұлдыз, бір тілек» |
Оқулық |
|||||||
|
10мин |
Негізгі бөлім |
Жаңа материалды меңгеру
|
Дескриптор: 1. Квадрат теңдеудің анықтамасын біледі 2. Модулі бар теңдеуді шеше алады. «Бас бармақ» әдісі арқылы оқушылар бірін-бірі бағалайды. |
Интернет ресурстары Слайд |
||||||||
|
25 мин |
Бекіту тапсырмасы |
|
Оқушылар берілген
тапсырмаларды орындайды. |
Дескриптор: 1. Квадрат теңдеудің анықтамасын біледі 2. Модулі бар теңдеуді шеше алады.
|
Интернет ресурстары. Оқулық |
|||||||
|
|
Жеке жұмыс |
«Өзіндік ойын» әдісі. Теңдеулерді шешіңіз:
|
Тапсырманы орындайды
|
ҚБ «Бас бaрмaқ» |
Жинақ, парақша |
|||||||
|
5 минут |
|
Бүгінгі сабақта: -квадрат теңдеудің анықтамасын біледі; -квадрат теңдеулердің түрлерін ажырата алады. «БББ» кестесі.
|
Тақырыпты меңгергенін анықтау. Үйге тапсырма. № |
Кері байланыс |
|
|||||||
Бекітемін:
|
Бөлім: |
8.2А Квадрат теңдеулер |
|||||
|
Педагогтің Тегі, Аты, Әкесінің аты (бар болса) |
Тлегенова О |
|||||
|
Пән/Сынып: |
8 сынып; Қатысқандар саны: Қатыспағандар саны: |
|||||
|
Күні: |
2.12.2024ж |
|||||
|
Сабақтың тақырыбы: |
Теңдеулерді шешу |
|||||
|
Оқу бағдарламасына сәйкес оқыту мақсаттары: |
8.2.2.5
|
|||||
|
Сабақ мақсаттары: |
|
|||||
|
Сабақ барысы: |
||||||
|
Уақыты |
Кезең дері |
Педагогтің әрекеті |
Оқушының әрекеті |
Бағалау |
Ресурстар |
|
|
5 минут |
Ұйым дастыру |
Сәлеметсіздерме! Бүгін, Теңдеулерді шешу тақырыптарын қарастырамыз Бүгінгі сабақта меңгеретініңіз:
-
|
Амандасу.Сыныпты түгендеу. Сабаққа дайындау, оқу құралдарын алу. Үй тапсырмасын айту. Сабақтың тақырыбы мен мақсаты айқындалады. Оқушыларды квадрат теңдеудің түрлері арқылы үш топқа бөлу. 1-топ. Толымсыз квадрат теңдеу; 2-топ. Толық квадрат теңдеу. 3-топ. Келтірілген квадрат теңдеу. |
«Екі жұлдыз, бір тілек» |
Оқулық |
|
|
10мин |
Негізгі бөлім |
Жаңа материалды меңгеру
Оқушыларға екі түрлі модулі бар теңдеу беріледі. Бірі - сызықтық, екіншісі - квадрат теңдеу. Олар алдымен сызықтық теңдеуді шешеді, дұрыс жауабы тақтада көрсетіледі, соған қарай отырып квадрат теңдеуді шешеді. |
Сұрақтарға жауап береді. Берілген тапсырмаларды орындайды. Алғашқы бекіту Қатар отырған екі оқушыға екі түрлі тапсырмалар беріледі. Олар өз тапсырмаларын шығарып болған соң, жауапты қабырғада ілулі тұрған жауаппен салыстырады да, көршісіне қалай шығарғанын түсіндіреді |
Дескриптор: 1. Квадрат теңдеудің анықтамасын біледі 2. Модулі бар теңдеуді шеше алады. «Бас бармақ» әдісі арқылы оқушылар бірін-бірі бағалайды. |
Интернет ресурстары Слайд |
|
|
|
|
|
Дескриптор: 1. Квадрат теңдеудің анықтамасын біледі 2. Модулі бар теңдеуді шеше алады |
Жинақ, парақша Тақта, слайд, оқу құралдары; 8 сыныпқа арналған |
||
|
|
Жеке жұмыс |
«Өзіндік ойын» әдісі. Теңдеулерді шешіңіз:
|
Тапсырманы орындайды
|
ҚБ «Бас бaрмaқ» |
Жинақ, парақша |
|
|
5 минут |
|
Бүгінгі сабақта:
-
Сабақты қорытындалау 5 оқушыдан топтарға бөлінеді. Әрқайсысына рефлексия қағазы таратылады. Әрбір оқушы өз тобындағы кез келген оқушыға 1 сұрақ қою арқылы кестені толтырады.
Бағалау. |
Тақырыпты меңгергенін анықтау.
Үйге тапсырма. №9.31. |
Кері байланыс Бағалау парағы арқылы бағаланады. |
Жинақ, парақша Тақта, слайд, оқу құралдары; 8 сыныпқа арналған оқулық |
|
Бекітемін:
|
Бөлім: |
8.2А Квадрат теңдеулер |
|||||
|
Педагогтің Тегі, Аты, Әкесінің аты (бар болса) |
Тлегенова О |
|||||
|
Пән/Сынып: |
8 сынып; Қатысқандар саны: Қатыспағандар саны: |
|||||
|
Күні: |
3.12.2024ж |
|||||
|
Сабақтың тақырыбы: |
Бөлшек-рационал теңдеулерді шешу |
|||||
|
Оқу бағдарламасына сәйкес оқыту мақсаттары: |
8.2.2.6 бөлшек-рационал теңдеулерді шешу; |
|||||
|
Сабақ мақсаттары: |
-бөлшек-рационал теңдеудің анықтамасын біледі; - бөлшек-рационал теңдеуді шешу алгоритмін қолданады; - бөлшек-рационал теңдеуді шешеді. |
|||||
|
Сабақ барысы: |
||||||
|
Уақыты |
Кезең дері |
Педагогтің әрекеті |
Оқушының әрекеті |
Бағалау |
Ресурстар |
|
|
5 минут |
Ұйым дастыру |
Сәлеметсіздерме! Бүгін, Бөлшек-рационал теңдеулерді шешу тақырыптарын қарастырамыз Бүгінгі сабақта меңгеретініңіз: - бөлшек-рационал теңдеулерді шешу; II. Ауызша жаттығулар 1. Әріптің қандай мәнінде алгебралық өрнектің мағынасы болмайды.
|
Амандасу.Сыныпты түгендеу. Сабаққа дайындау, оқу құралдарын алу. Үй тапсырмасын айту. Сабақтың тақырыбы мен мақсаты айқындалады. |
«Екі жұлдыз, бір тілек» |
Оқулық |
|
|
10мин |
Негізгі бөлім |
Жаңа материалды
меңгеру Бөлшек-рационал теңдеулерді шешу үшін: 1) берілген теңдеудің мүмкін мәндер жиынын (берілген теңдеудің бөлімін нөлге айналдыратын мәндерін) анықтау керек; 2) барлық бөлшектердің ортақ бөлімін табу керек; 3) теңдеудің екі бөлігін де ортақ бөлімге көбейтіп, оны бүтін теңдеумен ауыстыру керек; 4) шыққан теңдеуді шешу; 5) оның түбірлері ішінен мүмкін мәндер жиынына кірмейтін түбірлерді алып тастап, жауабын жазу керек. |
Дескриптор: 1. Квадрат теңдеудің анықтамасын біледі 2. Бөлшек-рационал теңдеуді шеше алады. . |
Жинақ, парақша Тақта, слайд, оқу құралдары; 8 сыныпқа арналған оқулық |
||
|
25 мин |
Бекіту тапсырмасы |
Тапсырмалар. Бөлшек-рационал теңдеулерді шешіңіз: №1.
№2.
№3.
№4.
Сергіту сәті. Логикалық тапсырмалар. Өз бетімен жұмыс. Тест жұмысы /карточкамен/ Тест жауаптары: 1-а, 2-ә, 3-а, 4-ә, 5-ә, 6-ә, 7-а, 8-ә. |
Оқушылар берілген тапсырмаларды орындайды. Теңдеулерді шешіңіз: Жеке жұмыс. 1. 2. 3.
|
Дескриптор: 1. Квадрат теңдеудің анықтамасын біледі 2. Бөлшек-рационал теңдеуді шеше алады. |
Интернет ресурстары. Жинақ, парақша Тақта, слайд, оқу құралдары; 8 сыныпқа арналған оқулық |
|
|
|
|
Бөлшек-рационал теңдеуді
шешіңіз:
1) х – 1 ≠ 0 сондықтан x ≠ 1 2) 3) 3+2(x−1)=4−x 4) x=1 5) жауабы: түбірі жоқ |
Төмендегі тапсырманы алгоритмді қолдана отырып өздері шығарады, кейін тақтада дұрыс шешімі көрсетіледі. |
|
|
|
|
|
Жеке жұмыс |
Оқулықтан Тапсырманы орындайды
|
Дескриптор: 1. Квадрат теңдеудің анықтамасын біледі 2. Бөлшек-рационал теңдеуді шеше алады. ҚБ «Бас бaрмaқ» |
Жинақ, парақша Тақта, слайд, оқу құралдары; 8 сыныпқа арналған оқулық |
||
|
5 минут |
|
Бүгінгі сабақта: -
бөлшек-рационал теңдеулерді
шеше алады.
Бағалау. |
Тақырыпты меңгергенін анықтау.
Үйге тапсырма. №10.2. |
Кері байланыс Бағалау парағы арқылы бағаланады. |
|
|
Бекітемін:
|
Бөлім: |
8.2А Квадрат теңдеулер |
|||||
|
Педагогтің Тегі, Аты, Әкесінің аты (бар болса) |
Тлегенова О |
|||||
|
Пән/Сынып: |
8 сынып; Қатысқандар саны: Қатыспағандар саны: |
|||||
|
Күні: |
4.12.2024ж |
|||||
|
Сабақтың тақырыбы: |
Бөлшек-рационал теңдеулерді шешу |
|||||
|
Оқу бағдарламасына сәйкес оқыту мақсаттары: |
8.2.2.6 бөлшек-рационал теңдеулерді шешу; |
|||||
|
Сабақ мақсаттары: |
-бөлшек-рационал теңдеудің анықтамасын біледі; - бөлшек-рационал теңдеуді шешу алгоритмін қолданады; - бөлшек-рационал теңдеуді шешеді. |
|||||
|
Сабақ барысы: |
||||||
|
Уақыты |
Кезең дері |
Педагогтің әрекеті |
Оқушының әрекеті |
Бағалау |
Ресурстар |
|
|
5 минут |
Ұйым дастыру |
Сәлеметсіздерме! Бүгін, Бөлшек-рационал теңдеулерді шешу тақырыптарын қарастырамыз Бүгінгі сабақта меңгеретініңіз: - бөлшек-рационал теңдеулерді шешу; |
Амандасу.Сыныпты түгендеу. Сабаққа дайындау, оқу құралдарын алу. Үй тапсырмасын айту. Сабақтың тақырыбы мен мақсаты айқындалады. |
«Екі жұлдыз, бір тілек» |
Оқулық |
|
|
10мин |
Негізгі бөлім |
Оқушыларға «Сиқырлы кубик» әдісі арқылы сұрақтар беремін.Ауызша жауап береді. 1. Бөлшек-рационал теңдеу дегеніміз … ? 2. ММЖ деген не? 3. Бөлшек-рационал теңдеуді шешу алгоритмі қандай? 4.Бөгде түбірлер дегеніміз не? 5.Бүтін рационал теңдеулер дегеніміз не? 6. Бөлшек рационал теңдеуінің түбірлерінің саны өзгере ме? Мұғалім кері байланыс жасайды. Рационал тобы:
Шешуі:
-
|
Бөлшек тобы:
Шешуі:
2х -10+10х+50
- 2х -10+10х+50
- -
Жауабы:х= -3 Сұрақтарға жауап береді. Берілген тапсырмаларды орындайды.
|
Дескриптор: 1. Квадрат теңдеудің анықтамасын біледі 2. Бөлшек-рационал теңдеуді шеше алады. «Бас бармақ» әдісі арқылы оқушылар бірін-бірі бағалайды. |
Интернет ресурстары Слайд |
|
|
25 мин |
Бекіту тапсырмасы |
Тапсырмалар. №1 Аялдама.
Шешуі. x≠
- Жауабы: x = 0,5. №2 Аялдама.
Шешуі. x≠
x1=5, x2= - 0,25 Жауабы: x1=5, x2= - 0,25. Сергіту сәті. Логикалық тапсырмалар. Өз бетімен жұмыс. Тест жұмысы /карточкамен/ Тест жауаптары: 1-а, 2-ә, 3-а, 4-ә, 5-ә, 6-ә, 7-а, 8-ә. |
Оқушылар берілген тапсырмаларды орындайды. №3 Аялдама.
Шешуі. x≠ -3
x1=12, x2= - 3 Жауабы: х =12 №4 Аялдама.
Шешуі.
x
≠ 1, х ≠ -
x1=4, x2= - 7 Жауабы: x1=4, x2= - 7 |
Дескриптор: 1. Квадрат теңдеудің анықтамасын біледі 2. Бөлшек-рационал теңдеуді шеше алады. |
Интернет ресурстары. Оқулық |
|
|
|
Жеке жұмыс |
Оқулықтан №10.13.
-65х-41-
|
Тапсырманы орындайды
|
ҚБ «Бас бaрмaқ» |
Жинақ, парақша |
|
|
5 минут |
|
Бүгінгі сабақта: -
бөлшек-рационал теңдеулерді
шеше алады. • Бүгін мен білдім … • Маған қызықты болды … • Маған қиын болды … • Мен ... тапсырмаларын орындадым. Бағалау. |
Тақырыпты меңгергенін анықтау.
Үйге тапсырма. №10.16. |
Кері байланыс Бағалау парағы арқылы бағаланады. |
|
|
Бекітемін:
|
Педагогтің Тегі, Аты, Әкесінің аты (бар болса) |
Тлегенова О |
|||||||||||
|
Пән/Сынып: |
8 сынып; Қатысқандар саны: Қатыспағандар саны: |
|||||||||||
|
Күні: |
9.12.2024ж |
|||||||||||
|
Бөлім: |
8.2А Квадрат теңдеулер |
|||||||||||
|
Сабақтың тақырыбы: |
Квадрат теңдеулерге келтірілетін теңдеулерді шешу. ББЖБ№3. |
|||||||||||
|
Оқу бағдарламасына сәйкес оқыту мақсаттары: |
8.2.2.6 бөлшек-рационал теңдеулерді шешу; 8.2.2.7 квадрат теңдеулерге келтірілетін теңдеулерді шешу; |
|||||||||||
|
Сабақ мақсаттары: |
квадрат теңдеулерге келтірілетін теңдеулерді шешуді білу. |
|||||||||||
|
Сабақ барысы: |
||||||||||||
|
Уақыты |
Кезең дері |
Педагогтің әрекеті |
Оқушының әрекеті |
Бағалау |
Ресурстар |
|||||||
|
3 минут |
Ұйым дастыру |
Сәлеметсіздерме! Бүгін, Квадрат теңдеулерге келтірілетін теңдеулерді шешу тақырыптарын қарастырамыз Бүгінгі сабақта меңгеретініңіз: - бөлшек-рационал теңдеулерді шешу; -квадрат теңдеулерге келтірілетін теңдеулерді шешу |
Амандасу.Сыныпты түгендеу. Сабаққа дайындау, оқу құралдарын алу. Үй тапсырмасын айту. Сабақтың тақырыбы мен мақсаты айқындалады. |
«Екі жұлдыз, бір тілек» |
Оқулық |
|||||||
|
5мин |
Негізгі бөлім |
Мысалы
-Бұл теңдеулерді қалай шешеміз, қалай ойлайсыздар? -Қандай қиындық туып тұр? -Ия, бұл төртінші дәрежелі теңдеу, оның шешу жолын біз әзірше білмейміз. -Ендеше анықтама Анықтама: ах4 +bх2+с= 0, мұндағы (а≠0), түрінде берілген теңдеу биквадрат теңдеу деп аталады. Биквадрат теңдеулерді шешу алгоритмі мынадай:
|
Сұрақтарға жауап береді. Берілген тапсырмаларды орындайды.
Алгоритмді қолданып, теңдеуді шешуді оқушылардың өздеріне ұсыну. Мысал
1: Шешуі:
Жауабы: 3, -3
|
.
|
Интернет ресурстары Слайд |
|||||||
|
10 мин |
Бекіту тапсырмасы |
Тапсырмалар. №1 Теңдеулерді шешіңіз:
Жұптық жұмыс Оқушылар жұпта бір-біріне көмектесе отырып шығарады, жауаптарын салыстырады, талдайды.
№1.
№2.
№3.
№4 |
Оқушылар берілген тапсырмаларды орындайды.
Сергіту сәті. Логикалық тапсырмалар. Оқулықпен жұмыс. |
Дескриптор: -айнымалыны дұрыс енгізеді; -жаңа айнымалымен квадрат теңдеуді шешеді; -бастапқы айнымалымен берілген квадрат теңдеуді шешеді; -теңдеудің түбірін дұрыс анықтайды. «Бас бармақ» әдісі арқылы оқушылар бірін-бірі бағалайды.
|
Интернет ресурстары. Оқулық |
|||||||
|
25 мин |
Жеке жұмыс |
ББЖБ№3. |
Тапсырманы орындайды
|
Дескрипторға сәйкес бағаланады. |
Жинақ, парақша |
|||||||
|
2 минут |
|
Бүгінгі сабақта: - квадрат теңдеулерге келтірілетін теңдеулерді шеше алады. Рефлексия
Бағалау. |
Тақырыпты меңгергенін анықтау.
Үйге тапсырма. № |
Кері байланыс |
|
|||||||
|
Бөлім: |
8.2А Квадрат теңдеулер |
|||||||||||
|
Педагогтің Тегі, Аты, Әкесінің аты (бар болса) |
Тлегенова О |
|||||||||||
|
Пән/Сынып: |
8 сынып; Қатысқандар саны: Қатыспағандар саны: |
|||||||||||
|
Күні: |
10.12.2024ж |
|||||||||||
|
Сабақтың тақырыбы: |
Квадрат теңдеулерге келтірілетін теңдеулерді шешу. |
|||||||||||
|
Оқу бағдарламасына сәйкес оқыту мақсаттары: |
8.2.2.6 бөлшек-рационал теңдеулерді шешу; 8.2.2.7 квадрат теңдеулерге келтірілетін теңдеулерді шешу; |
|||||||||||
|
Сабақ мақсаттары: |
квадрат теңдеулерге келтірілетін теңдеулерді шешуді білу. |
|||||||||||
|
Сабақ барысы: |
||||||||||||
|
Уақыты |
Кезең дері |
Педагогтің әрекеті |
Оқушының әрекеті |
Бағалау |
Ресурстар |
|||||||
|
5 минут |
Ұйым дастыру |
Сәлеметсіздерме! Бүгін, Квадрат теңдеулерге келтірілетін теңдеулерді шешу тақырыптарын қарастырамыз Бүгінгі сабақта меңгеретініңіз: - бөлшек-рационал теңдеулерді шешу; -квадрат теңдеулерге келтірілетін теңдеулерді шешу |
Амандасу.Сыныпты түгендеу. Сабаққа дайындау, оқу құралдарын алу. Үй тапсырмасын айту. Сабақтың тақырыбы мен мақсаты айқындалады. |
«Екі жұлдыз, бір тілек» |
Оқулық |
|||||||
|
10мин |
Негізгі бөлім |
|
.
|
Интернет ресурстары Слайд |
||||||||
|
25 мин |
Бекіту тапсырмасы |
|
Дескриптор: -айнымалыны дұрыс енгізеді; -жаңа айнымалымен квадрат теңдеуді шешеді; -бастапқы айнымалымен берілген квадрат теңдеуді шешеді; -теңдеудің түбірін дұрыс анықтайды. «Бас бармақ» әдісі арқылы оқушылар бірін-бірі бағалайды.
|
Интернет ресурстары. |
||||||||
|
|
Жеке жұмыс |
Оқулықпен жұмыс. №
Тапсырманы орындайды
|
Дескриптор: -айнымалыны дұрыс енгізеді; -жаңа айнымалымен квадрат теңдеуді шешеді; -бастапқы айнымалымен берілген квадрат теңдеуді шешеді; -теңдеудің түбірін дұрыс анықтайды. «Бас бармақ» әдісі арқылы оқушылар бірін-бірі бағалайды. |
Оқулық |
||||||||
|
5 минут |
|
Бүгінгі сабақта: - квадрат теңдеулерге келтірілетін теңдеулерді шеше алады. Рефлексия
Бағалау. |
Тақырыпты меңгергенін анықтау.
Үйге тапсырма. №11.7. |
Кері байланыс |
|
|||||||
|
Педагогтің Тегі, Аты, Әкесінің аты (бар болса) |
Тлегенова О |
|||||||||||
|
Пән/Сынып: |
8 сынып; Қатысқандар саны: Қатыспағандар саны: |
|||||||||||
|
Күні: |
11.12.2024ж |
|||||||||||
|
Бөлім: |
8.2А Квадрат теңдеулер |
|||||||||||
|
Сабақтың тақырыбы: |
Квадрат теңдеулерге келтірілетін теңдеулерді шешу. |
|||||||||||
|
Оқу бағдарламасына сәйкес оқыту мақсаттары: |
8.2.2.6 бөлшек-рационал теңдеулерді шешу; 8.2.2.7 квадрат теңдеулерге келтірілетін теңдеулерді шешу; |
|||||||||||
|
Сабақ мақсаттары: |
квадрат теңдеулерге келтірілетін теңдеулерді шешуді білу. |
|||||||||||
|
Сабақ барысы: |
||||||||||||
|
Уақыты |
Кезең дері |
Педагогтің әрекеті |
Оқушының әрекеті |
Бағалау |
Ресурстар |
|||||||
|
5 минут |
Ұйым дастыру |
Сәлеметсіздерме! Бүгін, Квадрат теңдеулерге келтірілетін теңдеулерді шешу тақырыптарын қарастырамыз Бүгінгі сабақта меңгеретініңіз: - бөлшек-рационал теңдеулерді шешу; -квадрат теңдеулерге келтірілетін теңдеулерді шешу |
Амандасу.Сыныпты түгендеу. Сабаққа дайындау, оқу құралдарын алу. Үй тапсырмасын айту. Сабақтың тақырыбы мен мақсаты айқындалады. |
«Екі жұлдыз, бір тілек» |
Оқулық |
|||||||
|
10мин |
Негізгі бөлім |
Мысалы
-Бұл теңдеулерді қалай шешеміз, қалай ойлайсыздар? -Қандай қиындық туып тұр? -Ия, бұл төртінші дәрежелі теңдеу, оның шешу жолын біз әзірше білмейміз. -Ендеше анықтама Анықтама: ах4 +bх2+с= 0, мұндағы (а≠0), түрінде берілген теңдеу биквадрат теңдеу деп аталады. Биквадрат теңдеулерді шешу алгоритмі мынадай:
|
Сұрақтарға жауап береді. Берілген тапсырмаларды орындайды.
Алгоритмді қолданып, теңдеуді шешуді оқушылардың өздеріне ұсыну. Мысал
1: Шешуі:
Жауабы: 3, -3
|
.
|
Интернет ресурстары Слайд |
|||||||
|
25 мин |
Бекіту тапсырмасы |
Тапсырмалар. А
деңгейі 1) Теңдеуді
шешіңіз: 2) Теңдеуді
шешіңіз: 3) Теңдеуді
шешіңіз: В
деңгейі.
4)
Теңдеуді
шешіңіз: 5) Теңдеуді
шешіңіз: Теңдеуді шешіңіз: |
Оқушылар берілген тапсырмаларды орындайды.
Сергіту сәті. Логикалық тапсырмалар. Өз бетімен жұмыс. Тест жұмысы. Жеке жұмыс /Карточкамен/ №1. Теңдеуді
шешіңіз: №2. Теңдеуді
шешіңіз: |
Дескриптор: -айнымалыны дұрыс енгізеді; -жаңа айнымалымен квадрат теңдеуді шешеді; -бастапқы айнымалымен берілген квадрат теңдеуді шешеді; -теңдеудің түбірін дұрыс анықтайды. «Бас бармақ» әдісі арқылы оқушылар бірін-бірі бағалайды.
|
Интернет ресурстары. |
|||||||
|
|
Жеке жұмыс |
Оқулықпен жұмыс. №11.5, №11.8.
|
Тапсырманы орындайды
|
|
Оқулық |
|||||||
|
5 минут |
|
Бүгінгі сабақта: - квадрат теңдеулерге келтірілетін теңдеулерді шеше алады. Рефлексия
Бағалау. |
Тақырыпты меңгергенін анықтау.
Үйге тапсырма. №11.12. |
Кері байланыс |
|
|||||||
Алгебра 8 сынып; Қатысқандар саны: Қатыспағандар саны:
ІІ тоқсан бойынша ТЖБ
Күні:___________
Мұғалімнің аты жөні:
Оқушының аты-жөні:_________________________



![]()
Алгебра 8 сынып; Қатысқандар саны: Қатыспағандар саны:
ІІ тоқсан бойынша ТЖБ
Күні:_____
Мұғалімнің аты жөні: С
Оқушының
аты-жөні:_________________________




![]()

Алгебра 8 сынып; Қатысқандар саны: Қатыспағандар саны:
«Квадрат теңдеулер» бөлімі бойынша жиынтық бағалау
Күні:___________
Мұғалімнің аты жөні: С. Мухиддинова
Оқушының аты-жөні:________________________

Алгебра 8 сынып; Қатысқандар саны: Қатыспағандар саны:
«Квадрат теңдеулер» бөлімі бойынша жиынтық бағалау
Күні:___________
Мұғалімнің аты жөні: С. Мухиддинова
Оқушының аты-жөні:________________________


Геометрия 8 сынып; Қатысқандар саны: Қатыспағандар саны:
ІІ тоқсан бойынша ТЖБ
Күні:___________
Мұғалімнің аты жөні: С. Мухиддинова
Оқушының аты-жөні:_________________________




Геометрия 8 сынып; Қатысқандар саны: Қатыспағандар саны:
ІІ тоқсан бойынша ТЖБ
Күні:___________
Мұғалімнің аты жөні:
Оқушының аты-жөні:_________________________





Геометрия 8 сынып; Қатысқандар саны: Қатыспағандар саны:
«Тікбұрышты үшбұрыштың қабырғалары мен бұрыштары арасындағы қатынастар» бөлімі бойынша жиынтық бағалау
Күні:___________
Мұғалімнің аты жөні:
Оқушының аты-жөні:_________________________

Геометрия 8 сынып; Қатысқандар саны: Қатыспағандар саны:
«Тікбұрышты үшбұрыштың қабырғалары мен бұрыштары арасындағы қатынастар» бөлімі бойынша жиынтық бағалау
Күні:___________
Мұғалімнің аты жөні: С. Мухиддинова
Оқушының аты-жөні:_________________________



Бекітемін:
|
Педагогтің Тегі, Аты, Әкесінің аты (бар болса) |
Тлегенова О |
|||||||
|
Пән/Сынып: |
8 сынып; Қатысқандар саны: Қатыспағандар саны: |
|||||||
|
Күні: |
23.12.2024ж |
|||||||
|
Бөлім: |
8.2А Квадрат теңдеулер |
|||||||
|
Сабақтың тақырыбы: |
Квадрат үшмүше. Үшмүшеден екімүшенің толық квадратын бөлу. |
|||||||
|
Оқу бағдарламасына сәйкес оқыту мақсаттары: |
8.2.1.2 үшмүшеден екімүшенің толық квадратын бөлу; |
|||||||
|
Сабақ мақсаттары: |
-Үшмүшеден екі мүшенің толық квадратын бөледі. -Квадрат үшмүшеден екімүшенің толық квадратын бөлуді есеп шығаруда қолданады(ең үлкен және ең кіші мәндерін табады); - Квадрат үшмүшеден екімүшенің толық квадратын бөлу үшін тиімді тәсілдерді қолданады |
|||||||
|
Сабақ барысы: |
||||||||
|
Ұжымдық жұмыс Жаңа тақырыптың түсіндірілуі Сабақ мақсаты мен бағалау критерийлерін таныстыру; Бейнероликті қолдана отырып, бекіту тапсырмаларын орындату |
Бірлескен жұмыс (1,2,3 тапсырма) Тапсырманы ұсыну және дұрыс жауапты ұсыну арқылы үйрету Бекітуге арналғантапсырмаларды орындату; Тапсырмалардың жауаптарын жазу. |
Жеке жұмыс Тапсырманы ұсыну, оқушылар өз бетімен орындауы |
||||||
|
Уақыты |
Кезең дері |
Педагогтің әрекеті |
Оқушының әрекеті |
Бағалау |
Ресурстар |
|||
|
5 минут |
Ұйым дастыру |
Сәлеметсіздерме! Бүгін, Квадрат үшмүше тақырыптарын қарастырамыз Бүгінгі сабақта меңгеретініңіз: - үшмүшеден екімүшенің толық квадратын бөлу |
Амандасу.Сыныпты түгендеу. Сабаққа дайындау, оқу құралдарын алу. Үй тапсырмасын айту. |
«Екі жұлдыз, бір тілек» |
Оқулық |
|||
|
10мин |
Негізгі бөлім |
Қығушылықты ояту: белгісіз мүшелерді толықтыр
Проблемалық сұрақ: Үшмүшеден екімүшенің квадратын қалай аламын? Сабақтың тақырыбы мен мақсаты айқындалады. Оқушыларды квадрат теңдеудің түрлері арқылы үш топқа бөлу. 1-топ. Толымсыз квадрат теңдеу; 2-топ. Толық квадрат теңдеу; 3-топ. Келтірілген квадрат теңдеу. «Дайындал... Назар сал... Оқыңдар... » әдісі арқылы оқушылар жаңа ақпаратты оқып, топта талқылайды. І. Ротация әдісі: (топтық жұмыс) |
Сұрақтарға жауап береді. Берілген тапсырмаларды орындайды.
Берілген үшмүшеден екімүшенің толық квадратын бөліңдер.
|
Дескриптор: Білім алушы - түрлендірулер арқылы екі өрнектің қосындысының немесе айырмасының квадратының формуласына келтіреді; - екімүшенің толық квадратын бөліп алады; Оқушылар дың белсенділігіне байланысты бағаланады. |
Интернет ресурстары |
|||
|
25 мин |
Бекіту тапсырмасы |
Тапсырмалар. «Ойлан-Жұптас-Бөліс» әдісі. (Жұптық жұмыс) Берілген үшмүшеден екімүшенің толық квадратын бөліп алыңдар; Квадрат үшмүшенің ең үлкен мәнін немесе ең кіші мәнін табыңдар.
Дамытушылық деңгей: І-нұсқа №2. Тіктөртбұрыштың ұзындығы енінен 4 м ұзын. Тіктөртбұрыштың ауданы 45 м2. Тіктөрбұрыштың ені мен ұзындығын табыңыз. ІІ-нұсқа №2. Тіктөртбұрыштың ұзындығы енінен 2 м ұзын. Тіктөртбұрыштың ауданы 48 м2. Тіктөрбұрыштың ені мен ұзындығын табыңыз.
«Өзіңді тексер» әдісі арқылы сәйкестендіру тест беремін.
Сергіту сәті. Логикалық тапсырмалар. Оқулықтан №9.6, №9.7. |
Оқушылар берілген тапсырмаларды орындайды. Өз бетімен жұмыс. Келесі сұлбаны жүпта қарастырыңыз. Қорытынды жасаңыз.
|
Дескриптор: - ??2 +??+? өрнегіндегі ? коэффициентін жақшаның сыртына шығарады; - түрлендірулер арқылы екі өрнектің қосындысының немесе айырмасының квадратының формуласына келтіреді; - екімүшенің толық квадратын бөліп алады; - квадрат үшмүшенің ең кіші (ең үлкен) мәнін табады.
|
Интернет ресурстары. Оқулық |
|||
|
|
Жеке жұмыс |
«Өзіндік ойын» әдісі. Әр оқушыға жауаптары берілген кеспе қағаз беріледі. Оқушы әр жауап үшін сұрақ ойлап табуда ақпараттық басқаруы, ойлау дағдысы қалыптасады. №1. -3х2 +10х+44 а = 3, в = 44, с=10; а=44, в=10, с = -3; а=-3, в=10, с=−44; а = -3, в=10, с = 44. |
Тапсырманы орындайды №2. х4 – 10х + 3; 4х2 + 0,3х – 5; 2х3+5; 5х2 + 4х3 + 7 |
ҚБ «Бас бaрмaқ» |
Жинақ, парақша |
|||
|
5 минут |
|
Бүгінгі сабақта: -үшмүшеден екімүшенің толық квадратын бөле алады. Кері байланыс: «Қол белгісі» арқылы сабақты түсінгенін немесе түсінбегенін көрсетуді сұраймын.
Осы белгілерге сүйеніп сабақтың қай деңгейде өткенін сабақтаймын. Бағалау. |
Тақырыпты меңгергенін анықтау.
Үйге тапсырма. №9.8.
|
Кері байланыс |
|
|||
шағым қалдыра аласыз




















































;
;



















−










–
–

































