|
Бөлім: |
Сақталу заңдары |
|
Сабақтың тақырыбы |
Дене импульсі және күш импульсі |
|
|
Педагогтің аты-жөні |
|
|
|
Күні: |
|
|
|
Сынып: 9 |
Қатысушылар саны: |
Қатыспағандар саны: |
|
Оқу бағдарламасына сәйкес оқыту мақсаттары: |
9.2.3.1 дене импульсі мен күш импульсін ажырату |
|
|
Сабақтың мақсаты: |
Дене импульсі мен күш импульсін ажырату Дене импульсінің масса мен жылдамдыққа тәуелділігін сипаттау. |
|
Сабақтың барысы
|
Сабақтыңкезеңі/ уақыт |
Педагогтің әрекеті |
Оқушының әрекеті |
Бағалау |
Ресурстар |
|
Сабақтың басы: 7 мин |
Ұйымдастыру кезеңі Сәлемдесу, оқушыларды түгендеу, сыныпты сабақ өтуге даярлау. Бағалау критерийі
|
Оқушылар бүгінгі сабақтың тақырыбымен, мақсатымен және бағалау критерийімен танысады. |
|
|
|
Үй тапсырмасын сұрау «Гармошка» әдісі арқылы еске түсіру. Мысалы: Механикалық қозғалыс дегеніміз не? Нютонның бірінші заңы? Нютонның екінші заңы? |
Өткенге шолу жасап, сұрақтарға жауап береді. |
Қалыптастырушы бағалау Оқушылардың өзін -өзі бағалауы |
Презентация АКТ |
|
|
Сабақтың ортасы: 30 мин |
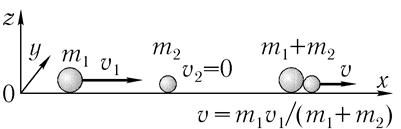
«Бірге ойлаймыз» әдісі бойынша бейнеролик көрсету,сұрақтар қою арқылы жаңа сабақтың мазмұнын ашу, түрткі сұрақтар қою арқылы оқушылардың пікірін тыңдау. «Суреттер сөйлейді» әдісі Оқушыларға сурет ұсынамын. Дене импульсі мен күш импульсі туралы ой қозғау жасап, тақырып туралы түсініктерін жетілдіремін. Тапсырма №1 «Ойлан, жұптас, бөліс» әдісі Есеп шығару Тапсырма 2 «Идеялар алаңы» әдісі Тапсырма 3 |
Бейнематериалмен танысады, Тақырып туралы түсініктерін жітелдіреді. Сұрақтарға жауап беру арқылы үдеріске қатысады. Суретке қарап дене импульсі мен күш импульсін сипаттайды. Дескриптор: 1.Импульс түрлерін сипаттайды. 2. Дене импульсін есептейді. 3. Күш импульсін есептейді. 4. Дене импульсі қандай шамаларға тәуелді анықтайды. 5.Күш импульсінің өзгерісін сипаттайды. Оқушылар тапсырманы алдымен жеке, кейіннен жұпта, қорытынды кезеңде топта орындайды Дескриптор: Импульске анықтама береді Импульсін есептейді Дене импульснің формуласын жазады Импульстің жылдамдыққа тәуелді екенін анықтайды Оқушылар бірлесіп тапсырманы орындайды Дескриптор:
|
«++» дұрыс, әрі толық жауап «+» дұрыс, толықтыруды қажет ететін жауап «-» қайта ойлануды қажет ететін жауап Дескрипторлар бойынша өзін-өзі бағалау жүргізіледі. «Екі жұлдыз, бір тілек» әдісі арқылы топтар өзара бағалау жүргізеді. Қалыптастырушы бағалау Оқушылардың бірін-бірі бағалауы |
Бейнематериал Презентация Ресурс 1 Ресурс 2 Ресурс 3 |
|
Сабақты қорытындылау 5-минут |
Венн диаграммасы. Дене мен күш импульстерін айырмашылықтарын жаз.
|
Дене және күш импулсьтерінің айырмашылықтарын ажыратып жазады |
|
|
|
Сабақтың соңы: 3 мин |
Кері байланыс. «ҚҚҚ» әдісі арқылы Массасы ауыр жүк көлігімен жеңіл көліктің дене мен күш импульсін салыстырып анықтап келеді. |
|
|
|
Ресурс 1
Суретте
массасы 600 г допқа спортшының топқа әрекет ету
жағдайлары
келтірілген.
1.Спортшының допқа әсерлесу жағдайларындағы импульстерін сипатта. (ЕҚБ)
2.Егер спортшы 22 м/с жылдамдықпен допты тебетін болса, импульс шамасын тап (ЕҚБ).
3.Спортшы соққысының ұзақтығы 0,02с құраса, допқа қандай күшпен әрекет еткенін
анықта (ЕҚБ).
4.Күш импульсі мен дене импулсінің сан мәндерін жаз (ЕҚБ).
5. Дене импульсінің өзгерісі қандай шамаларға тәуелді, сипаттап жаз (ЕҚБ)
6.Егер спортшы жылдамдығын арттырса, күштің шамасы қалай өзгереді, сипатта (ЕҚБ).
Ресурс 2

Жылдамдығы 16м/c қозғалып келе жатқан массасы 2кг боулинг шары массасы 4кг болатын 4м/c жылдамдықпен қозғалып келе жатқан екінші боулинг шарымен соқтығысады. Өзара соқтығысқан кейін шарлар бірдей жылдамдықпен 2c аралығында қозғалады.
-
Қандай импульс туріне жататынын анықтаңдар____________________________________________________
-
Шарлардың соқтығысу түрін сипатаңыз__________________________________________________________
-
Шарлардың соқтығысуға дейінгі импульсін анықта________________________________________________
-
Шарлардың соқтығысқанан кейінгі жылдамдығы неге тең____________________________________________
Ресурс 3

Айнұр әкесімен Шымкент қаласына қыдыруға шықты.Әкесі Азамат қызына жолда жүру ережесін және автомобильдердің қозғалысын түсіндіріп, қаламен таныстырды.
1.Азамат қызына көк автомобильдің салмағы 1200 кг екенін және қала ішінде жылдамдық көлік қозғалысының жылдамдығы 60км/cағ болатынын түсіндірді. сонда көк автомобильдің импульсін ойша анықтауға тапсырма берді (ЕҚБ)________________________________________________________________________________________
2. Жол бөлігінде салмағы 1500 кг болатын көлік 35км/сағ жылдамдықпен қозғалғса, оған көк автокөлік соқтығылса, соқтығыстан кейінгі импулсін анықта?_______________________________________________________________________________________
3. 4т болатын Камаз қарама-қарсы бағытта келе жатқан 3т автобуспен соқтығысты. Екі автокөліктің соқтығыстан кейнгі импульсін анықта?
|
Бөлім: |
Сақталу заңдары |
|
|
Педaгогтің aты-жөні |
|
|
|
Күні: |
|
|
|
Cынып:9 |
Қaтыcушылaр caны: |
Қaтыcпaғaндaр caны: - |
|
Caбaқтың тaқырыбы: |
Импульстің
сақталу заңы. |
|
|
Оқу бaғдaрлaмacынa cәйкеc оқыту мaқcaты: |
9.2.3.2 импульстің сақталу заңын тұжырымдау
және есептер шығаруда қолдану; |
|
|
Caбaқтың мaқcaты: |
импульстің сақталу заңын тұжырымдау және есептер шығаруда қолдану; ЕБҚ: табиғаттағы және техникадағы реактивті қозғалысқа мысалдар келтіру; |
|
Caбaқтың бaрыcы
|
Caбaқтың кезеңі/ уaқыт |
Педaгогтің іc әрекеті |
Оқушының әрекеті |
Бaғaлaу |
Реcурcтaр |
||||||||||||||||||||||||||||||||||||||||||||||||||||||||||||||||||||||||||||||||
|
Caбaқтың бacы: 4мин. 7мин. |
Caбaқ ұйымдacтыру кезеңі: Оқушылaрмен aмaндacу, оқушылaрды түгелдеу. Оқушылaрдың нaзaрын caбaққa aудaру.
Топқа біріктіру «Балық аулау әдісі» бойынша Үй тапсырмасын сұрақ-жауап арқылы бекіту
|
Сәлемдеседі Балыққа ілінген атауды оқып топқа бірігеді
Үй тaпcырмacын пыcықтaу мaқcaтындa берілген cұрaқтaрғa оқушылaр жеке жеке жaуaп береді. |
ҚБ: Оқушылaр «+/-» әдіcі: әрбір дұрыc жaуaп «+», дұрыc емеc жaуaп «-» тaңбacымен бaғaлaнып, мұғaлім кері бaйлaныc беріп отырaды |
Оқулық,
|
||||||||||||||||||||||||||||||||||||||||||||||||||||||||||||||||||||||||||||||||
|
Caбaқтың ортacы: 8 мин. 14 мин. 10 мин. |
Жaңa caбaқты түcіндіру кезеңі.
ЖИ арқылы жасау
ЖИ арқылы жасау
Бөлісу 1 - айлық Материал тарифі-96% жеңілдік 00 05 00 ҚМЖ
Ашық сабақ
Тәрбие сағаты
Презентация
БЖБ, ТЖБ тесттер
Көрнекіліктер
Балабақшаға арнарлған құжаттар
Мақала, Эссе
Дидактикалық ойындар
және тағы басқа 400 000 материал
Барлық 400 000 материалдарды шексіз жүктеу мүмкіндігіне ие боласыз 1 990 ₸ 49 000₸ 1 айға қосылу Материалға шағымдану Бұл материал сайт қолданушысы жариялаған. Материалдың ішінде жазылған барлық ақпаратқа жауапкершілікті жариялаған қолданушы жауап береді. Ұстаз тілегі тек ақпаратты таратуға қолдау көрсетеді. Егер материал сіздің авторлық құқығыңызды бұзған болса немесе басқа да себептермен сайттан өшіру керек деп ойласаңыз осында жазыңыз Жариялаған: Қауымбай Назерке НуртасқызыШағым жылдам қаралу үшін барынша толық ақпарат жіберіңіз ҚМЖ 9 сынып 130 бұйрықпен жасалған.Тек 3 тоқсан тақырыптары
Тақырып бойынша 11 материал табылды
ҚМЖ 9 сынып 130 бұйрықпен жасалған.Тек 3 тоқсан тақырыптарыМатериал туралы қысқаша түсінік
ҚМЖ 9 сыныпқа арналған 130 бұйрықпен жасалған.3 тоқсан тақырыптары бар
Материалдың қысқаша нұсқасы
Сабақтың барысы
Ресурс 1
келтірілген. 1.Спортшының допқа әсерлесу жағдайларындағы импульстерін сипатта. (ЕҚБ) 2.Егер спортшы 22 м/с жылдамдықпен допты тебетін болса, импульс шамасын тап (ЕҚБ). 3.Спортшы соққысының ұзақтығы 0,02с құраса, допқа қандай күшпен әрекет еткенін анықта (ЕҚБ). 4.Күш импульсі мен дене импулсінің сан мәндерін жаз (ЕҚБ). 5. Дене импульсінің өзгерісі қандай шамаларға тәуелді, сипаттап жаз (ЕҚБ) 6.Егер спортшы жылдамдығын арттырса, күштің шамасы қалай өзгереді, сипатта (ЕҚБ). Ресурс 2
Жылдамдығы 16м/c қозғалып келе жатқан массасы 2кг боулинг шары массасы 4кг болатын 4м/c жылдамдықпен қозғалып келе жатқан екінші боулинг шарымен соқтығысады. Өзара соқтығысқан кейін шарлар бірдей жылдамдықпен 2c аралығында қозғалады.
Ресурс 3
Айнұр әкесімен Шымкент қаласына қыдыруға шықты.Әкесі Азамат қызына жолда жүру ережесін және автомобильдердің қозғалысын түсіндіріп, қаламен таныстырды. 1.Азамат қызына көк автомобильдің салмағы 1200 кг екенін және қала ішінде жылдамдық көлік қозғалысының жылдамдығы 60км/cағ болатынын түсіндірді. сонда көк автомобильдің импульсін ойша анықтауға тапсырма берді (ЕҚБ)________________________________________________________________________________________ 2. Жол бөлігінде салмағы 1500 кг болатын көлік 35км/сағ жылдамдықпен қозғалғса, оған көк автокөлік соқтығылса, соқтығыстан кейінгі импулсін анықта?_______________________________________________________________________________________ 3. 4т болатын Камаз қарама-қарсы бағытта келе жатқан 3т автобуспен соқтығысты. Екі автокөліктің соқтығыстан кейнгі импульсін анықта?
Caбaқтың бaрыcы
| |||||||||||||||||||||||||||||||||||||||||||||||||||||||||||||||||||||||||||||||||||













