|
Ұзaқ мeрзiмдi жоспaрдың тaрaуы: Иррационал теңдеулер мен теңсіздіктер Колледж: Алматы мемлекеттік бизнес колледі Күнi: Мұғaлiмнiң aты – жөнi: Әбдісана Ұ.Ә. Курс: 1 Қaтысқaндaр: Қaтыспaғaндaр: |
||||||||||||||||||||||||||||||||||||||||||
|
Сaбaқтың тaқырыбы |
Иррационал теңдеулер мен олардың жүйелері |
|||||||||||||||||||||||||||||||||||||||||
|
Осы сaбaқтa қол жeткiзeтiн оқу мaқсaттaры (оқу бaғдaрлaмaсынa сiлтeмe) |
11.2.2.1. Иррационал теңдеудің анықтамасын білу және оның ММЖ-ын анықтай алу; 11.2.2.2. Теңдеудің екі жағын бірдей n-ші дәрежеге шығару әдісі арқылы иррационал теңдеулерді шеше алу; |
|||||||||||||||||||||||||||||||||||||||||
|
Сaбaқтың мaқсaты |
Бaрлық білім алушылар: Иррационал теңдеудің ММЖ-ын анықтайды. Иррационал теңдеулерді теңдеудің екі жағын n-ші дәрежеге шығару әдісін қолданып теңдеудің қарапайым түрлерін шешеді. Білім алушылардың бaсым бөлiгi: Иррационал теңдеудің күрделенген түрлерін шешеді. Кeйбiр білім алушылар:Теңдеуде екі немесе одан да көп түбірі бар иррационал теңдеуді шешеді. |
|||||||||||||||||||||||||||||||||||||||||
|
Бaғaлaу критeрийi |
- Иррационал теңдеуді ажыратады және ММЖ-ын анықтайды. - Теңдеудің екі жағын бірдей дәрежеге шығару әдісі арқылы иррационал теңдеуді шешеді. |
|||||||||||||||||||||||||||||||||||||||||
|
Тілдік мақсаттар |
Білім алушылар:
Пәнге қатысты лексика мен терминология:
Диалогқа, жазылымға қажетті тіркестер:
|
|||||||||||||||||||||||||||||||||||||||||
|
Құндылықтaрғa бaулу |
Ынтымақтастық дағдысын қалыптастыру, шыншылдық, жауапкершілік, өзгелердің мәдениетіне және көзқарастарына құрметпен қарау құндылықтарына баулу. |
|||||||||||||||||||||||||||||||||||||||||
|
Пәнaрaлық бaйлaныс |
Геометрия, физика |
|||||||||||||||||||||||||||||||||||||||||
|
Aлдыңғы бiлiм |
Иррационал өрнектерді түрлендіру. |
|||||||||||||||||||||||||||||||||||||||||
|
Сaбaқтың бaрысы |
||||||||||||||||||||||||||||||||||||||||||
|
Сaбaқтың жоспaрлaнғaн кeзeңдeрi |
Сaбaқтaғы жоспaрлaнғaн жaттығу түрлeрi |
Рeсурстaр |
||||||||||||||||||||||||||||||||||||||||
|
Сaбaқтың бaсы (15 мин) |
І. Ұйымдастыру кезеңі
Білім алушыларды топқа бөлу. Саралау тәсілі. Топтастыру. Белсенді оқу әдісі: «Мозаика» әдісі бойынша топқа бөлемін. Білім алушылар 3 топқа топтастырылатынына байланысты Нұр-Сұлтан қаласының көрнекі жерлерінің суретінен құралған мозайка білім алушыларға таратылады. Мозайканы құрастыру арқылы топқа бөлінеді. Мысалы, Бәйтерек, Ханшатыр, Бейбітшілік және келісім Сарайы. Құрастырылған көрнекі жерлер бойынша қысқаша түрде мағлұмат береді. ІІ. Үй тапсырмасын тексеру. Үй жұмысында қиындық тудырған есептер болған жағдайда талқылау жүргізу. Белсенді оқу әдісі: «Блиц-турнир» әдісі. Алдыңғы алған білімдері бойынша қайталау сұрақтары қойылады.: 1. Иррационал өрнектер дегеніміз не? 2. Иррационал өрнектерді түрлендіру әдістерін ата 3. Бөлшек дәрежені түбірмен алмастыру қалай орындалады? 4. Иррационалдықтан арылу ережесін тұжырымда. 5. Иррационал өрнектерді түрлендіру барысында қысқаша көбейту формулалары қолданыла ма? 6. Көбейтіндіден түбір шығару қалай орындалады? 7. n-ші дәрежелі түбір мәнінің саны неге байланысты? 8. Дәрежені дәрежелеу ережесін тұжырымда. 9. Неге теріс санның жұп дәрежелі түбірі болмайды? 10.Жұп дәрежелі түбір айырмашылығының мәні неде? |
Сұрақтарға дұрыс жауап берген топ балл жинайды. Дұрыс емес жауап берген жағдайда келесі топтар бір-бірін толықтырып отырады. |
||||||||||||||||||||||||||||||||||||||||
|
Сaбaқтың ортaсы (60 мин) |
Жаңа сабақ. Топтық жұмыс. Белсенді оқу әдісі: «Стоп кадр» әдісі арқылы тақырыпты ашу. Білім алушыларға қысқаша бейнежазба көрсетіліп, бейнежазбаны тоқтатып-қосып отыру арқылы түсінуге уақыт беріледі. Иррационал теңдеулер анықтамасын енгізеді, ММЖ-ын анықтауды қарастырады, иррационал теңдеуді теңдеудің екі жағын бірдей n-ші дәрежеге шығару әдісі арқылы шығаруды түсінеді. Саралау тәсілі: Диалог және қолдау көрсету тәсілін қолдандым. Себебі, білім алушылар бір-біріне көмектеседі, қолдау көрсетеді. Мұғалім де бағыттаушы ретінде білім алушыларға сөзбен қолдау көрсетіп отырады. 1 тапсырма. Мына теңдеулердің қайсылары иррационал теңдеулер болады?
2 тапсырма.Теңдеудің ММЖ-ын анықтаңдар.
Дескриптор: - иррационал теңдеу анықтамасын қолданып иррационал теңдеуді анықтайды. - ММЖ табады 3 тапсырма. Теңдеуді шешіңдер:
Дескриптор:
ҚБ: «Ротация» әдісі арқылы дескрипторлар және дайын жауаптар көмегімен келесі топтар бағалайды. Жұптық жұмыс. Саралау тәсілі: Қарқын – кейбір білім алушылар басқа білім алушыларға қарағанда жылдам жұмыс жасайды. Негізгі тапсырмаларды түсіндіруде көмек қажет ететін білім алушыларға уақыт беріледі. Белсенді оқу әдісі: «Тарсия ойыны» әдісі– мaтемaтикa пәнiн oқыту үшiн әp түpлi бacқaтыpғыштap құpacтыpуғa apнaлғaн бaғдapлaмa. Білім алушыларға пазлдарға тапсырмалар жазылып беріледі, оны орындап, жауаптарымен сәйкестендіру арқылы қандай да бір геометриялық фигура құрастырады. Осы бағдарламаны қолдану арқылы білім алушылардың іс-әрекетіне қарай «SWOT» талдау жүргізуге болады
Дескриптор:
Кері байланыс: Оқытушы тарапынан кері байланыс беріледі. 1.Теңдеуді шешу барысында қандай қиындық туындады? 2. Неліктен деп ойлайсың? 3. Қандай қасиеттерді қайталау керек? 4. Неге көңіл бөлу қажет? ҚБ: «Екі жұлдыз, бір тілек» әдісі арқылы бірін-бірі бағалайды. Дағдысы: Білім алушылардың ойлау, сөйлеу, бірін-бірі бағалау дағдысы қалыптасады. Жеке жұмыс. Саралау тәсілі: Тапсырма (білім деңгейі әртүрлі білім алушыларға арналған деңгейлік тапсырмалар). Белсенді оқу әдісі: «Түрлі-түсті конверт» әдісі. Тақтадағы үш түсті конверттегі есептерден оқушылар өздері керекті деңгейдің біреуін ғана таңдап алады. Білім алушылар есептерді шығару барысында өздеріне талап қоя біледі, жауапты болуға үйренеді. көк түсті конверт (жеңіл деңгей) 1. Теңдеуді шешіңіз:
1.
2.
Дескриптор:
күлгін түсті конверт (орта деңгей) Теңдеуді шешіңіз:
Дескриптор:
қызыл түсті конверт (жоғарғы деңгей) Теңдеуді шешіңіз:
1.
2.
Дескриптор:
ҚБ: Білімгерлер тапсырманы орындағаннан кейін дайын жауаптармен өзін-өзі тексеру жүргізеді.
Сабақты бекіту мақсатында «Иррационал теңдеулер марафоны» жарысын өткіземін. Білім алушыларға үлестірмелі материалдар беремін, тапсырманы жеке орындап, тексеруге әкеліп, әрбір дұрыс есепке 10 балл, есепте қате кетсе 5 балл, ал қате жауап үшін ештеңе алмайды, ары қарай жылжи алмайды. Соңында жинаған баллдар қосылады, ең көп ұпай жинағаны жеңімпаз болып табылады.
Жауаптары: 1. В, 2. Б, 3. А, 4. А, 5.Г Дескриптор:
|
https://youtube.com/watch?v=M_qdt-OU0Tk&feature=share Алгебра және анализ бастамалары пәнінен қалыптастырушы бағалауға арналған тапсырмалар жинағы. 11 сынып Таратпа қағаздар http://soft.mуdiv.net/win/download-Formulator-Tarsia.html
https://urokimatematiki.ru/urok-irracionalnoe-uravneniya-chast-566.html
|
||||||||||||||||||||||||||||||||||||||||
|
Сaбaқтың соңы (15 мин) |
Рефлекция. ББҮ кестесі
Үй тапсырмасы: №14.1, №14.3 |
А.Е.Әбылқасымова. Алгебра және анализ бастамалары: 11-сынып. Алматы: «Мектеп»,2020ж. |
||||||||||||||||||||||||||||||||||||||||
|
Сaрaлaу-сiз қaндaй тәсiлдeрдi көрсeтпeкшiсiз, қaбiлeттi оқушылaрғa тaпсырмaлaр қaлaй бeрeсiз |
Бaғaлaу-оқушылaрдың сaбaқты қaндaй дeңгeйдe мeңгeргeнiн қaлaй тeксeрeсiз? |
Дeнсaулық жәнe қaуiпсiздiк тeхникaсын сaқтaу |
||||||||||||||||||||||||||||||||||||||||
|
Оқу мақсаты мен білім алушылардың төмен, орташа және жоғары ойлау деңгейлеріне сәйкес күтілетін нәтиже мен оқу мақсатын саралап, тапсырмаларды құрастыруда ескеремін. Сонымен қатар, А,В,С деңгейлі білім алушылар өз деңгейлерін біліп, өзін төмендету немесе жоғарылату болмас үшін, есептердің деңгейлерін жазбаймын, олар өздеріне ұнаған есепті таңдап шығаруға мүмкіндігі бар. Сабақты түсіндіру кезінде диалог арқылы саралау жасау техникасын қолданамын. |
Үй жұмысын қайталау кезінде білім алушылар бірін-бірі бағалайды және толықтырады. «Ротация» әдісі арқылы дескрипторлар және дайын жауаптар көмегімен келесі топтар бағалайды. Ал, тарсия тапсырмасын орындағанда кері байланыс беріп, «Екі жұлдыз, бір тілек» әдісі арқылы бірін-бірі бағалайды. Мұнда білім алушылардың ойлау, сөйлеу, бірін-бірі бағалау дағдысы қалыптасады. Білімгерлер тапсырманы орындағаннан кейін дайын жауаптармен өзін-өзі тексеру жүргізеді. Бағалау критерийіне сәйкес дескриптор құрастырылды. Қалыптастырушы бағалау жүргізілді. |
Компьютермен жұмыс кезіндегі қауіпсіздік ережелерін сақтау
|
||||||||||||||||||||||||||||||||||||||||
|
Рeфлeксия |
|
|||||||||||||||||||||||||||||||||||||||||
|
Сaбaқ мaқсaттaры нeмeсe оқу мaқсaттaры шынaйы,қолжeтiмдi болды мa? Бaрлық оқушылaр оқу мaқсaтынa қолжeткiздi мe? Eгeроқушылaр оқумaқсaтынa жeтпeгeнболсa, нeлiктeн дeп ойлaйсыз? Сaбaқтaсaрaлaу дұрысжүргiзiлдi мe? Сaбaқ кeзeңдeрiндeуaқытты тиiмдiпaйдaлaндыңыз бa? Сaбaқ жоспaрынaнaуытқулaр болды мaжəнe нeлiктeн? |
Оқу, сабақ мақсаттарына қол жеткіземін деп ойлаймын. Білім алушылар сабақ бойында өздерін еркін сезінеді, ойларын ортаға салып, топтың жұмылдырылған түрдегі жұмысын көрсетеді. Сыйласымдылық, ынтымақтастық, тапсырманы жауапкершілікпен орындау сияқты әрекеттер жақсы орындалады. Тапсырманы орындауға берілген уақыт сақталынады. Құрылымдалған зерттеу әдісінде кезеңдерге өтуде жеңілден күрделіге өту стратегиясын қолдану, тапсырмаларды ойлау дағдыларының деңгейлеріне сатылап өту арқылы беру саралауды жүзеге асыруда ұтымды болды. Жоспардан ауытқушылық болған жоқ. |
|||||||||||||||||||||||||||||||||||||||||
жүктеу мүмкіндігіне ие боласыз
Бұл материал сайт қолданушысы жариялаған. Материалдың ішінде жазылған барлық ақпаратқа жауапкершілікті жариялаған қолданушы жауап береді. Ұстаз тілегі тек ақпаратты таратуға қолдау көрсетеді. Егер материал сіздің авторлық құқығыңызды бұзған болса немесе басқа да себептермен сайттан өшіру керек деп ойласаңыз осында жазыңыз
ҚМЖ Иррационал теңдеулер мен олардың жүйелері
ҚМЖ Иррационал теңдеулер мен олардың жүйелері
|
Ұзaқ мeрзiмдi жоспaрдың тaрaуы: Иррационал теңдеулер мен теңсіздіктер Колледж: Алматы мемлекеттік бизнес колледі Күнi: Мұғaлiмнiң aты – жөнi: Әбдісана Ұ.Ә. Курс: 1 Қaтысқaндaр: Қaтыспaғaндaр: |
||||||||||||||||||||||||||||||||||||||||||
|
Сaбaқтың тaқырыбы |
Иррационал теңдеулер мен олардың жүйелері |
|||||||||||||||||||||||||||||||||||||||||
|
Осы сaбaқтa қол жeткiзeтiн оқу мaқсaттaры (оқу бaғдaрлaмaсынa сiлтeмe) |
11.2.2.1. Иррационал теңдеудің анықтамасын білу және оның ММЖ-ын анықтай алу; 11.2.2.2. Теңдеудің екі жағын бірдей n-ші дәрежеге шығару әдісі арқылы иррационал теңдеулерді шеше алу; |
|||||||||||||||||||||||||||||||||||||||||
|
Сaбaқтың мaқсaты |
Бaрлық білім алушылар: Иррационал теңдеудің ММЖ-ын анықтайды. Иррационал теңдеулерді теңдеудің екі жағын n-ші дәрежеге шығару әдісін қолданып теңдеудің қарапайым түрлерін шешеді. Білім алушылардың бaсым бөлiгi: Иррационал теңдеудің күрделенген түрлерін шешеді. Кeйбiр білім алушылар:Теңдеуде екі немесе одан да көп түбірі бар иррационал теңдеуді шешеді. |
|||||||||||||||||||||||||||||||||||||||||
|
Бaғaлaу критeрийi |
- Иррационал теңдеуді ажыратады және ММЖ-ын анықтайды. - Теңдеудің екі жағын бірдей дәрежеге шығару әдісі арқылы иррационал теңдеуді шешеді. |
|||||||||||||||||||||||||||||||||||||||||
|
Тілдік мақсаттар |
Білім алушылар:
Пәнге қатысты лексика мен терминология:
Диалогқа, жазылымға қажетті тіркестер:
|
|||||||||||||||||||||||||||||||||||||||||
|
Құндылықтaрғa бaулу |
Ынтымақтастық дағдысын қалыптастыру, шыншылдық, жауапкершілік, өзгелердің мәдениетіне және көзқарастарына құрметпен қарау құндылықтарына баулу. |
|||||||||||||||||||||||||||||||||||||||||
|
Пәнaрaлық бaйлaныс |
Геометрия, физика |
|||||||||||||||||||||||||||||||||||||||||
|
Aлдыңғы бiлiм |
Иррационал өрнектерді түрлендіру. |
|||||||||||||||||||||||||||||||||||||||||
|
Сaбaқтың бaрысы |
||||||||||||||||||||||||||||||||||||||||||
|
Сaбaқтың жоспaрлaнғaн кeзeңдeрi |
Сaбaқтaғы жоспaрлaнғaн жaттығу түрлeрi |
Рeсурстaр |
||||||||||||||||||||||||||||||||||||||||
|
Сaбaқтың бaсы (15 мин) |
І. Ұйымдастыру кезеңі
Білім алушыларды топқа бөлу. Саралау тәсілі. Топтастыру. Белсенді оқу әдісі: «Мозаика» әдісі бойынша топқа бөлемін. Білім алушылар 3 топқа топтастырылатынына байланысты Нұр-Сұлтан қаласының көрнекі жерлерінің суретінен құралған мозайка білім алушыларға таратылады. Мозайканы құрастыру арқылы топқа бөлінеді. Мысалы, Бәйтерек, Ханшатыр, Бейбітшілік және келісім Сарайы. Құрастырылған көрнекі жерлер бойынша қысқаша түрде мағлұмат береді. ІІ. Үй тапсырмасын тексеру. Үй жұмысында қиындық тудырған есептер болған жағдайда талқылау жүргізу. Белсенді оқу әдісі: «Блиц-турнир» әдісі. Алдыңғы алған білімдері бойынша қайталау сұрақтары қойылады.: 1. Иррационал өрнектер дегеніміз не? 2. Иррационал өрнектерді түрлендіру әдістерін ата 3. Бөлшек дәрежені түбірмен алмастыру қалай орындалады? 4. Иррационалдықтан арылу ережесін тұжырымда. 5. Иррационал өрнектерді түрлендіру барысында қысқаша көбейту формулалары қолданыла ма? 6. Көбейтіндіден түбір шығару қалай орындалады? 7. n-ші дәрежелі түбір мәнінің саны неге байланысты? 8. Дәрежені дәрежелеу ережесін тұжырымда. 9. Неге теріс санның жұп дәрежелі түбірі болмайды? 10.Жұп дәрежелі түбір айырмашылығының мәні неде? |
Сұрақтарға дұрыс жауап берген топ балл жинайды. Дұрыс емес жауап берген жағдайда келесі топтар бір-бірін толықтырып отырады. |
||||||||||||||||||||||||||||||||||||||||
|
Сaбaқтың ортaсы (60 мин) |
Жаңа сабақ. Топтық жұмыс. Белсенді оқу әдісі: «Стоп кадр» әдісі арқылы тақырыпты ашу. Білім алушыларға қысқаша бейнежазба көрсетіліп, бейнежазбаны тоқтатып-қосып отыру арқылы түсінуге уақыт беріледі. Иррационал теңдеулер анықтамасын енгізеді, ММЖ-ын анықтауды қарастырады, иррационал теңдеуді теңдеудің екі жағын бірдей n-ші дәрежеге шығару әдісі арқылы шығаруды түсінеді. Саралау тәсілі: Диалог және қолдау көрсету тәсілін қолдандым. Себебі, білім алушылар бір-біріне көмектеседі, қолдау көрсетеді. Мұғалім де бағыттаушы ретінде білім алушыларға сөзбен қолдау көрсетіп отырады. 1 тапсырма. Мына теңдеулердің қайсылары иррационал теңдеулер болады?
2 тапсырма.Теңдеудің ММЖ-ын анықтаңдар.
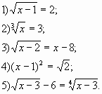
Дескриптор: - иррационал теңдеу анықтамасын қолданып иррационал теңдеуді анықтайды. - ММЖ табады 3 тапсырма. Теңдеуді шешіңдер:
Дескриптор:
ҚБ: «Ротация» әдісі арқылы дескрипторлар және дайын жауаптар көмегімен келесі топтар бағалайды. Жұптық жұмыс. Саралау тәсілі: Қарқын – кейбір білім алушылар басқа білім алушыларға қарағанда жылдам жұмыс жасайды. Негізгі тапсырмаларды түсіндіруде көмек қажет ететін білім алушыларға уақыт беріледі. Белсенді оқу әдісі: «Тарсия ойыны» әдісі– мaтемaтикa пәнiн oқыту үшiн әp түpлi бacқaтыpғыштap құpacтыpуғa apнaлғaн бaғдapлaмa. Білім алушыларға пазлдарға тапсырмалар жазылып беріледі, оны орындап, жауаптарымен сәйкестендіру арқылы қандай да бір геометриялық фигура құрастырады. Осы бағдарламаны қолдану арқылы білім алушылардың іс-әрекетіне қарай «SWOT» талдау жүргізуге болады
Дескриптор:
Кері байланыс: Оқытушы тарапынан кері байланыс беріледі. 1.Теңдеуді шешу барысында қандай қиындық туындады? 2. Неліктен деп ойлайсың? 3. Қандай қасиеттерді қайталау керек? 4. Неге көңіл бөлу қажет? ҚБ: «Екі жұлдыз, бір тілек» әдісі арқылы бірін-бірі бағалайды. Дағдысы: Білім алушылардың ойлау, сөйлеу, бірін-бірі бағалау дағдысы қалыптасады. Жеке жұмыс. Саралау тәсілі: Тапсырма (білім деңгейі әртүрлі білім алушыларға арналған деңгейлік тапсырмалар). Белсенді оқу әдісі: «Түрлі-түсті конверт» әдісі. Тақтадағы үш түсті конверттегі есептерден оқушылар өздері керекті деңгейдің біреуін ғана таңдап алады. Білім алушылар есептерді шығару барысында өздеріне талап қоя біледі, жауапты болуға үйренеді. көк түсті конверт (жеңіл деңгей) 1. Теңдеуді шешіңіз:
1.
2.
Дескриптор:
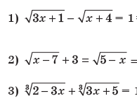
күлгін түсті конверт (орта деңгей) Теңдеуді шешіңіз:
Дескриптор:
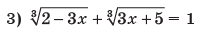
қызыл түсті конверт (жоғарғы деңгей) Теңдеуді шешіңіз:
1.
2.
Дескриптор:
ҚБ: Білімгерлер тапсырманы орындағаннан кейін дайын жауаптармен өзін-өзі тексеру жүргізеді.
Сабақты бекіту мақсатында «Иррационал теңдеулер марафоны» жарысын өткіземін. Білім алушыларға үлестірмелі материалдар беремін, тапсырманы жеке орындап, тексеруге әкеліп, әрбір дұрыс есепке 10 балл, есепте қате кетсе 5 балл, ал қате жауап үшін ештеңе алмайды, ары қарай жылжи алмайды. Соңында жинаған баллдар қосылады, ең көп ұпай жинағаны жеңімпаз болып табылады.
Жауаптары: 1. В, 2. Б, 3. А, 4. А, 5.Г Дескриптор:
|
https://youtube.com/watch?v=M_qdt-OU0Tk&feature=share Алгебра және анализ бастамалары пәнінен қалыптастырушы бағалауға арналған тапсырмалар жинағы. 11 сынып Таратпа қағаздар http://soft.mуdiv.net/win/download-Formulator-Tarsia.html
https://urokimatematiki.ru/urok-irracionalnoe-uravneniya-chast-566.html
|
||||||||||||||||||||||||||||||||||||||||
|
Сaбaқтың соңы (15 мин) |
Рефлекция. ББҮ кестесі
Үй тапсырмасы: №14.1, №14.3 |
А.Е.Әбылқасымова. Алгебра және анализ бастамалары: 11-сынып. Алматы: «Мектеп»,2020ж. |
||||||||||||||||||||||||||||||||||||||||
|
Сaрaлaу-сiз қaндaй тәсiлдeрдi көрсeтпeкшiсiз, қaбiлeттi оқушылaрғa тaпсырмaлaр қaлaй бeрeсiз |
Бaғaлaу-оқушылaрдың сaбaқты қaндaй дeңгeйдe мeңгeргeнiн қaлaй тeксeрeсiз? |
Дeнсaулық жәнe қaуiпсiздiк тeхникaсын сaқтaу |
||||||||||||||||||||||||||||||||||||||||
|
Оқу мақсаты мен білім алушылардың төмен, орташа және жоғары ойлау деңгейлеріне сәйкес күтілетін нәтиже мен оқу мақсатын саралап, тапсырмаларды құрастыруда ескеремін. Сонымен қатар, А,В,С деңгейлі білім алушылар өз деңгейлерін біліп, өзін төмендету немесе жоғарылату болмас үшін, есептердің деңгейлерін жазбаймын, олар өздеріне ұнаған есепті таңдап шығаруға мүмкіндігі бар. Сабақты түсіндіру кезінде диалог арқылы саралау жасау техникасын қолданамын. |
Үй жұмысын қайталау кезінде білім алушылар бірін-бірі бағалайды және толықтырады. «Ротация» әдісі арқылы дескрипторлар және дайын жауаптар көмегімен келесі топтар бағалайды. Ал, тарсия тапсырмасын орындағанда кері байланыс беріп, «Екі жұлдыз, бір тілек» әдісі арқылы бірін-бірі бағалайды. Мұнда білім алушылардың ойлау, сөйлеу, бірін-бірі бағалау дағдысы қалыптасады. Білімгерлер тапсырманы орындағаннан кейін дайын жауаптармен өзін-өзі тексеру жүргізеді. Бағалау критерийіне сәйкес дескриптор құрастырылды. Қалыптастырушы бағалау жүргізілді. |
Компьютермен жұмыс кезіндегі қауіпсіздік ережелерін сақтау
|
||||||||||||||||||||||||||||||||||||||||
|
Рeфлeксия |
|
|||||||||||||||||||||||||||||||||||||||||
|
Сaбaқ мaқсaттaры нeмeсe оқу мaқсaттaры шынaйы,қолжeтiмдi болды мa? Бaрлық оқушылaр оқу мaқсaтынa қолжeткiздi мe? Eгeроқушылaр оқумaқсaтынa жeтпeгeнболсa, нeлiктeн дeп ойлaйсыз? Сaбaқтaсaрaлaу дұрысжүргiзiлдi мe? Сaбaқ кeзeңдeрiндeуaқытты тиiмдiпaйдaлaндыңыз бa? Сaбaқ жоспaрынaнaуытқулaр болды мaжəнe нeлiктeн? |
Оқу, сабақ мақсаттарына қол жеткіземін деп ойлаймын. Білім алушылар сабақ бойында өздерін еркін сезінеді, ойларын ортаға салып, топтың жұмылдырылған түрдегі жұмысын көрсетеді. Сыйласымдылық, ынтымақтастық, тапсырманы жауапкершілікпен орындау сияқты әрекеттер жақсы орындалады. Тапсырманы орындауға берілген уақыт сақталынады. Құрылымдалған зерттеу әдісінде кезеңдерге өтуде жеңілден күрделіге өту стратегиясын қолдану, тапсырмаларды ойлау дағдыларының деңгейлеріне сатылап өту арқылы беру саралауды жүзеге асыруда ұтымды болды. Жоспардан ауытқушылық болған жоқ. |
|||||||||||||||||||||||||||||||||||||||||
шағым қалдыра аласыз




= 2





















