Таныстым:
Қазақстан Республикасы Оқу-ағарту министрлігі
Момынай жалпы орта білім беретін мектебі
Қысқа мерзімді (сабақ) жоспары
Пәні: Алгебра
Тақырыбы: Қысқаша көбейту формулалары
|
Бөлім: |
Қысқаша көбейту формулалары |
|
|
Педагогтің Т.А.Ә. |
Алиева Гулжан Аманкулкызы |
|
|
Күні: |
10.01.2024ж |
|
|
Сынып: 7 |
Қатысушылар саны: |
Қатыспағандар саны: |
|
Сабақтың тақырыбы |
Қысқаша көбейту формулалары |
|
|
Оқу бағдарламасына сәйкес оқыту мақсаттары |
7.2.1.10
қысқаша көбейту формулаларын білу және қолдану; |
|
|
Сабақтың мақсаты |
|
|
Сабақтың барысы
|
Сабақтың кезеңі/ уақыт |
Педагогтің әрекеті |
Оқушының әрекеті |
Бағалау |
Ресурс тар |
|
|
Оқушылармен амандасу, түгендеу, назарын сабаққа аудару. Үй тапсырмасын сұрау. Оқушылармен бірге сабақ мақсаттарын / ОМ анықтап алу Оқушылардың «жақын даму аймағын», сабақ соңында күтілетін нәтижелерді анықтау «Қар үйіндісі» әдісі арқылы үй тапсырмасын сұрау |
Жинақтала ды,сабаққа ынталанады |
Үй жұмысы мадақтау әдісімен бағаланады |
|
|
Сабақтың ортасы |
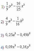
Жаңа сабақ түсіндіру. a – b айырмасын a + b қосындысына көбейт: (a – b)(a + b) = a2 + ab – ab + b2 = a2 – b2 немесе a2 – b2 = (a – b)(a + b). a2 – b2 = (a – b)(a + b) теңдігі екі өрнектің квадраттары айырмасының формуласы деп аталады және «екі өрнектің квадраттарының айырмасы олардың айырмасы мен қосындысының көбейтіндісіне тең» деп оқылады. 1-мысал. Көбейтуді орында: a) (5 – 3b)(5 + 3b) = 52 – (3b)2 = 25 – 9b2. b) (7 + 4c)(7 – 4c) = 72 – (4c)2 = 49 – 16c2. 2-мысал. Көбейткіштерге жікте: a) 81 – n2 = 92 – n2 = (9 – n)(9 + n). b) 100m2 – 16x2 y4 = (10m)2 – (4xy2)2 = (10m – 4xy2)(10m + 4xy2 ). 3-мысал. Теңдеуді шеш: x2 – 100 = 0. Шешуі. Алдымен теңдеудің сол жағын көбейткіштерге жікте: x2 – 100 = x2 – 102 = (x – 10)(x + 10). Кейін (x – 10)(x + 10) = 0 теңдеуін шеш. Көбейткіштердің бірі нөлге тең болғанда ғана көбейтіндінің мәні нөлге тең болады: x – 10 = 0 немесе x + 10 = 0, осыдан x = 10 немесе x = –10. Теңдеудің екі шешімі бар: 10 және –10. Жауабы: –10 және 10. Тапсырмалар орындау. №1. Тиімді тәсілмен есептеңіздер: №2. Көбейтінді түрінде жазыңыздар:
№3. Көпмүше түріне келтіріңдер: |
Жаңа сабақты меңгереді. Мысалдарды түсінеді жазады. Тапсырмаларды өз бетінше орындайды |
Мақтау, мадақтау әдісі арқылы бағаланады. Әр дұрыс жауапқа 1 балл беріледі |
|
|
Сабақтың соңы |
Үй жұмысы. № есеп Рефлексия: “Қолдорба” әдісі Мақсаты – оқушылардың оқудағы және мүмкін болғанда, басқалармен қарым-қатынасындағы жетістіктерін анықтау. Қолдорба бір оқушыдан екінші оқушыға көшіп отырады. Әр оқушы өз жетістігін айтумен қатар нақты мысал келтіреді. Егер ойлану керек болса «кезекті өткіземін» деуге болады. |
Үй жұмысымен танысады. Рефлексияны дәптерге орындайды |
|
|
жүктеу мүмкіндігіне ие боласыз
Бұл материал сайт қолданушысы жариялаған. Материалдың ішінде жазылған барлық ақпаратқа жауапкершілікті жариялаған қолданушы жауап береді. Ұстаз тілегі тек ақпаратты таратуға қолдау көрсетеді. Егер материал сіздің авторлық құқығыңызды бұзған болса немесе басқа да себептермен сайттан өшіру керек деп ойласаңыз осында жазыңыз
Қысқаша көбейту формулалары
Қысқаша көбейту формулалары
Таныстым:
Қазақстан Республикасы Оқу-ағарту министрлігі
Момынай жалпы орта білім беретін мектебі
Қысқа мерзімді (сабақ) жоспары
Пәні: Алгебра
Тақырыбы: Қысқаша көбейту формулалары
|
Бөлім: |
Қысқаша көбейту формулалары |
|
|
Педагогтің Т.А.Ә. |
Алиева Гулжан Аманкулкызы |
|
|
Күні: |
10.01.2024ж |
|
|
Сынып: 7 |
Қатысушылар саны: |
Қатыспағандар саны: |
|
Сабақтың тақырыбы |
Қысқаша көбейту формулалары |
|
|
Оқу бағдарламасына сәйкес оқыту мақсаттары |
7.2.1.10
қысқаша көбейту формулаларын білу және қолдану; |
|
|
Сабақтың мақсаты |
|
|
Сабақтың барысы
|
Сабақтың кезеңі/ уақыт |
Педагогтің әрекеті |
Оқушының әрекеті |
Бағалау |
Ресурс тар |
|
|
Оқушылармен амандасу, түгендеу, назарын сабаққа аудару. Үй тапсырмасын сұрау. Оқушылармен бірге сабақ мақсаттарын / ОМ анықтап алу Оқушылардың «жақын даму аймағын», сабақ соңында күтілетін нәтижелерді анықтау «Қар үйіндісі» әдісі арқылы үй тапсырмасын сұрау |
Жинақтала ды,сабаққа ынталанады |
Үй жұмысы мадақтау әдісімен бағаланады |
|
|
Сабақтың ортасы |
Жаңа сабақ түсіндіру. a – b айырмасын a + b қосындысына көбейт: (a – b)(a + b) = a2 + ab – ab + b2 = a2 – b2 немесе a2 – b2 = (a – b)(a + b). a2 – b2 = (a – b)(a + b) теңдігі екі өрнектің квадраттары айырмасының формуласы деп аталады және «екі өрнектің квадраттарының айырмасы олардың айырмасы мен қосындысының көбейтіндісіне тең» деп оқылады. 1-мысал. Көбейтуді орында: a) (5 – 3b)(5 + 3b) = 52 – (3b)2 = 25 – 9b2. b) (7 + 4c)(7 – 4c) = 72 – (4c)2 = 49 – 16c2. 2-мысал. Көбейткіштерге жікте: a) 81 – n2 = 92 – n2 = (9 – n)(9 + n). b) 100m2 – 16x2 y4 = (10m)2 – (4xy2)2 = (10m – 4xy2)(10m + 4xy2 ). 3-мысал. Теңдеуді шеш: x2 – 100 = 0. Шешуі. Алдымен теңдеудің сол жағын көбейткіштерге жікте: x2 – 100 = x2 – 102 = (x – 10)(x + 10). Кейін (x – 10)(x + 10) = 0 теңдеуін шеш. Көбейткіштердің бірі нөлге тең болғанда ғана көбейтіндінің мәні нөлге тең болады: x – 10 = 0 немесе x + 10 = 0, осыдан x = 10 немесе x = –10. Теңдеудің екі шешімі бар: 10 және –10. Жауабы: –10 және 10. Тапсырмалар орындау. №1. Тиімді тәсілмен есептеңіздер: №2. Көбейтінді түрінде жазыңыздар:
№3. Көпмүше түріне келтіріңдер: |
Жаңа сабақты меңгереді. Мысалдарды түсінеді жазады. Тапсырмаларды өз бетінше орындайды |
Мақтау, мадақтау әдісі арқылы бағаланады. Әр дұрыс жауапқа 1 балл беріледі |
|
|
Сабақтың соңы |
Үй жұмысы. № есеп Рефлексия: “Қолдорба” әдісі Мақсаты – оқушылардың оқудағы және мүмкін болғанда, басқалармен қарым-қатынасындағы жетістіктерін анықтау. Қолдорба бір оқушыдан екінші оқушыға көшіп отырады. Әр оқушы өз жетістігін айтумен қатар нақты мысал келтіреді. Егер ойлану керек болса «кезекті өткіземін» деуге болады. |
Үй жұмысымен танысады. Рефлексияны дәптерге орындайды |
|
|
шағым қалдыра аласыз























