Сабақ жоспары
Бекітемін:
|
Бөлім: |
7.3А Қысқаша көбейту формулалары |
|||||||||||||||||
|
Педагогтің Тегі, Аты, Әкесінің аты |
|
|||||||||||||||||
|
Пән/Сынып: |
7 сынып. Қатысқандар саны: Қатыспағандар саны: |
|||||||||||||||||
|
Күні: |
|
|||||||||||||||||
|
Сабақтың тақырыбы: |
Өрнектерді тепе-тең түрлендіру |
|||||||||||||||||
|
Оқу бағдарламасына сәйкес оқыту мақсаттары |
7.2.1.15 қысқаша көбейту формулалары арқылы алгебралық өрнектерді тепе-тең түрлендірулерді орындау; |
|||||||||||||||||
|
Сабақтың мақсаттары: |
- қысқаша көбейту формулалары арқылы өрнектерді тепе-тең түрлендірулерді үйренеді. |
|||||||||||||||||
|
Сабақ барысы: |
||||||||||||||||||
|
Уақыты |
Кезең дері |
Педагогтің әрекеті |
Оқушының әрекеті |
Бағалау |
Ресурстар |
|||||||||||||
|
5 минут |
Ұйым дастыру |
Сәлеметсіздер ме! «Миға шабуыл» әдісі. Сәйкестендір. |
Мұғаліммен амандасады. Өткен сабақты бірге қайталайды. |
Дұрыс жауапқа 1 балл. |
Оқулық, слайд https://learningapps.org/watch?v=pcsj22b9c24 |
|||||||||||||
|
15 мин |
Жаңа сабақ |
Өткен сабақта біз қысқаша көбейту формулаларымен таныстық. Және соларды қолданып біз есептер шығардық.
Қысқаша көбейту формулалары өрнектерді түрлендіруде кеңінен қолданылады. Тепе-теңдік деп айнымалылардың кез-келген мүмкін мәндерінде дұрыс болатын теңдікті айтады. Өрнекті оған тепе-тең өрнекпен ауыстыру тепе-тең түрлендіру деп аталады. 1-мысал. Өрнекті ықшамдау үшін алдымен
айырымның квадраты, квадраттың айырымы формулаларын, бірм.шені
көпмүшеге көбейту ережесін қолданамыз, одан кейін ұқсас
қосылғыштарды біріктіреміз: 2-мысал.
Жауабы: 3-мысал.
|
Теориялық мәліметтерді тыңдайды. Керек ақпаратты жазып алады. |
|
7 сыныпқа арналған оқулық, слайд |
|||||||||||||
|
20 минут
|
Сабақтың ортасы |
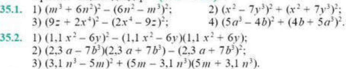
Тақтамен жұмыс. Оқулықта берілген есептерді шығарамыз.
Жеке жұмыс. Тепе-теңдікті дәлелдеңдер. I-нұсқа
II-нұсқа
Қорытынды. |
Берілген есептерді шығрады.
Берілген тапсырманы орындайды. |
Дескриптор: - қысқаша көбейту формулаларын қолданады;1 -бірмүшені көпмүшеге көбейту ережесін қолданады;1 -ұқсас мүшелерді біріктіреді.1 6 балл. 3 балл |
Оқулық, слайд, интернет ресурстары
|
|||||||||||||
|
5 минут |
Сабақтың соңы |
- Рефлексия:«Мен үшін бүгін сабақта» Оқушылар үш бағыт бойынша өз жұмыстары бойынша қажет сөздердің астын сызу керек.
Үйге тапсырма. 203 беттегі 35.5 және 204 беттегі 35.11. |
|
|
|
|||||||||||||
жүктеу мүмкіндігіне ие боласыз
Бұл материал сайт қолданушысы жариялаған. Материалдың ішінде жазылған барлық ақпаратқа жауапкершілікті жариялаған қолданушы жауап береді. Ұстаз тілегі тек ақпаратты таратуға қолдау көрсетеді. Егер материал сіздің авторлық құқығыңызды бұзған болса немесе басқа да себептермен сайттан өшіру керек деп ойласаңыз осында жазыңыз
Қысқаша көбейту формулалары. Өрнекті тепе тең түрлендіру
Қысқаша көбейту формулалары. Өрнекті тепе тең түрлендіру
Сабақ жоспары
Бекітемін:
|
Бөлім: |
7.3А Қысқаша көбейту формулалары |
|||||||||||||||||
|
Педагогтің Тегі, Аты, Әкесінің аты |
|
|||||||||||||||||
|
Пән/Сынып: |
7 сынып. Қатысқандар саны: Қатыспағандар саны: |
|||||||||||||||||
|
Күні: |
|
|||||||||||||||||
|
Сабақтың тақырыбы: |
Өрнектерді тепе-тең түрлендіру |
|||||||||||||||||
|
Оқу бағдарламасына сәйкес оқыту мақсаттары |
7.2.1.15 қысқаша көбейту формулалары арқылы алгебралық өрнектерді тепе-тең түрлендірулерді орындау; |
|||||||||||||||||
|
Сабақтың мақсаттары: |
- қысқаша көбейту формулалары арқылы өрнектерді тепе-тең түрлендірулерді үйренеді. |
|||||||||||||||||
|
Сабақ барысы: |
||||||||||||||||||
|
Уақыты |
Кезең дері |
Педагогтің әрекеті |
Оқушының әрекеті |
Бағалау |
Ресурстар |
|||||||||||||
|
5 минут |
Ұйым дастыру |
Сәлеметсіздер ме! «Миға шабуыл» әдісі. Сәйкестендір. |
Мұғаліммен амандасады. Өткен сабақты бірге қайталайды. |
Дұрыс жауапқа 1 балл. |
Оқулық, слайд https://learningapps.org/watch?v=pcsj22b9c24 |
|||||||||||||
|
15 мин |
Жаңа сабақ |
Өткен сабақта біз қысқаша көбейту формулаларымен таныстық. Және соларды қолданып біз есептер шығардық.
Қысқаша көбейту формулалары өрнектерді түрлендіруде кеңінен қолданылады. Тепе-теңдік деп айнымалылардың кез-келген мүмкін мәндерінде дұрыс болатын теңдікті айтады. Өрнекті оған тепе-тең өрнекпен ауыстыру тепе-тең түрлендіру деп аталады. 1-мысал. Өрнекті ықшамдау үшін алдымен
айырымның квадраты, квадраттың айырымы формулаларын, бірм.шені
көпмүшеге көбейту ережесін қолданамыз, одан кейін ұқсас
қосылғыштарды біріктіреміз: 2-мысал.
Жауабы: 3-мысал.
|
Теориялық мәліметтерді тыңдайды. Керек ақпаратты жазып алады. |
|
7 сыныпқа арналған оқулық, слайд |
|||||||||||||
|
20 минут
|
Сабақтың ортасы |
Тақтамен жұмыс. Оқулықта берілген есептерді шығарамыз.
Жеке жұмыс. Тепе-теңдікті дәлелдеңдер. I-нұсқа
II-нұсқа
Қорытынды. |
Берілген есептерді шығрады.
Берілген тапсырманы орындайды. |
Дескриптор: - қысқаша көбейту формулаларын қолданады;1 -бірмүшені көпмүшеге көбейту ережесін қолданады;1 -ұқсас мүшелерді біріктіреді.1 6 балл. 3 балл |
Оқулық, слайд, интернет ресурстары
|
|||||||||||||
|
5 минут |
Сабақтың соңы |
- Рефлексия:«Мен үшін бүгін сабақта» Оқушылар үш бағыт бойынша өз жұмыстары бойынша қажет сөздердің астын сызу керек.
Үйге тапсырма. 203 беттегі 35.5 және 204 беттегі 35.11. |
|
|
|
|||||||||||||
шағым қалдыра аласыз







тепе те















