Министерство просвящения Республики Казахстан
Коммунальное государственное казенное предприятие
«Колледж транспорта» управления образования
области Абай

Рабочая тетрадь по предмету:
«Основы технической механики»
РАЗДЕЛ
«Детали машин»
Выполнила : ___________ Елюбаева А.С.
Рассмотрена на заседании ПЦК
общетехнических дисциплин
Протокол №_____от « ___ » ___________202_ г.
Председатель ПЦК ___________ Кадирханова А.М..
г. Семей
2023-2024 учебный год
СОДЕРЖАНИЕ
1. Пояснительная записка.……………………………………………......… 3
2. Тема 1. Основные понятия и определения……………………….....…. 4
3. Тема 2. Фрикционные передачи и вариаторы …………………....…... 6
4. Тема 3. Ременные передачи ……………………………………......……. 11
5. Тема 4. Зубчатые передачи ……………………………………….....…. 15
6. Тема 5. Червячные передачи ……………………………………......….. 18
7. Тема 6. Цепные передачи …………………………………………......... 22
8. Тема 7. Передача винт-гайка……………………………………......…... 24
9. Тема 8. Валы и оси……………………………………………….......……25
10. Тема 9. Подшипники качения и подшипники скольжения…….....….29
11. Тема 10. Механические муфты………………………………….......…..33
12. Кроссворд по деталям машин и механизмов……………......………….36
13.Приложение…………………………………………………………….…39
14. Использованная литература………………………………......…………40
ПОЯСНИТЕЛЬНАЯ ЗАПИСКА
Дисциплина «Основы технической механикиә включает в себя три раздела: теоретическую механику, сопротивление материалов и детали машин. Цель изучения дисциплины – дать будущим техникам основные сведения о равновесии материальных тел, о методах расчета элементов конструкций на прочность, жесткость и устойчивость и о деталях машин и механизмов. Современная ситуация задает требование развития системы непрерывного образования, в которой самостоятельная работа и умение самостоятельно работать становиться не просто пожеланием, а достаточно очевидной необходимостью и для обучающихся и для специалистов.
Эффективная реализация самостоятельной работы зависит от заинтересованности достижения результата, т.е. от устойчивой мотивации. Применение рабочей тетради на практических занятиях экономит время и активизирует работу обучающихся, помогает закрепить изученный теоретический материал, а также формирует у обучающихся умения и навыки самостоятельной работы. Основной учебной целью предлагаемой рабочей тетради является формирование прочных знаний по технической механике, развитие умений формулировать четкость ответов на поставленные вопросы, самостоятельно работать с технической литературой, систематически закреплять теоретические знания и практические умения, заниматься решением задач, работать с тестами различных типов. Все задания и тесты выполненные в ходе самостоятельной работы, вопросы, возникшие при этом, могут обсуждаться на занятиях с преподавателем и обучающимися.
Следует отметить, что вся самостоятельная работа обучающихся потеряет смысл и не окажет должного воздействия на качество знаний, если не будет четкого планирования учебного процесса с указанием сроков и видов контроля.
Целями контроля являются:
- определение степени усвоения учебного материала;
- выявление качества полученных знаний.
ТЕМА 1. ОСНОВНЫЕ ПОНЯТИЯ И ОПРЕДЕЛЕНИЯ
Детали машин – раздел по теории расчета и конструированию деталей и узлов машин общемашиностроительного применения. Детали общего назначения применяют в машиностроении в очень больших количествах, поэтому любое усовершенствование расчета и конструкций этих деталей, позволяющее уменьшить затраты материала, снизить стоимость производства, повысить долговечность, приносит большой экономический эффект.
Просканируйте
QR code и ознакомьтесь с новой
темой 
Контрольные вопросы:

1. Что рассматривается в разделе курса « Детали машин и механизмов»?
________________________________________________________________________________________________________________________________________________________________________________________________
2. Какая разница между машиной и механизмом?
________________________________________________________________________________________________________________________________________________________________________________________________
3.Что называется механической передачей? _______________________________________________________________________________________________________________________________
4.Что называется деталью? ________________________________________________________________________________________________________________________________________________________________________________________________
5. Какие детали называются деталями общего назначения?
________________________________________________________________________________________________________________________________________________________________________________________________
6. Какие функции выполняют механические передачи?
________________________________________________________________________________________________________________________________________________________________________________________________
7. Механические передачи повышающие частоту вращения называются:
________________________________________________________________________________________________________________________________________________________________________________________________
8. Понижение частоты вращения называется __________________________, а закрытые передачи, понижающие частоту вращения ____________________.
9. В зависимости от принципа действия механические передачи делятся на две основные группы:
________________________________________________________________________________________________________________________________________________________________________________________________
10. Что показывает передаточное отношение и , по какой формуле определяется?
________________________________________________________________________________________________________________________________________________________________________________________________________________________________________________________________
11. По какой формуле определяется мощность механической передачи?
________________________________________________________________________________________________________________________________
12. По какой формуле определяется КПД механической передачи ?
________________________________________________________________________________________________________________________________
ТЕМА 2. ФРИКЦИОННЫЕ ПЕРЕДАЧИ И ВАРИАТОРЫ
Фрикционная передача – механическая передача, служащая для передачи враща- тельного движения (или для преобразования вращательного движения в поступательное) между валами с помощью сил трения, возникающих между катками, цилиндрами или конусами, насаженными на валы и прижимаемыми один к другому.
Фрикционные передачи состоят из двух катков: ведущего 1 и ведомого 2, которые прижимаются один к другому силой Fr(на рисунке – пружиной), так что сила трения Ff в месте контакта катков достаточна для передаваемой окружной силы Ft.

Цилиндрическая фрикционная передача:
1– ведущий каток;
2– ведомый каток.
Условие работоспособности передачи:
?? ≥ ??
Фрикционные передачи классифицируют по следующим признакам:
1.По назначению:
-с нерегулируемым передаточным числом;
-с бесступенчатым (плавным) регулированием передаточного числа (вариаторы).

Цилиндрическая фрикционная передача с катками клинчатой формы

Коническая фрикционная передача
2.По взаимному расположению осей валов:
-цилиндрические или конусные с параллельными осями;
-конические с пересекающимися осями.
3.В зависимости от условий работы:
-открытые (работают всухую);
-закрытые (работают в масляной ванне).
4.По принципу действия:
-нереверсивные;
-реверсивные.
Различают передачи с постоянным или автоматическим регулируемым прижатием катков, с промежуточным (паразитным) фрикционным элементом или без него.
Достоинства фрикционных передач:
-простота конструкции и обслуживания;
-плавность передачи движения и регулирования скорости и бесшумность работы;
-большие кинематические возможности (преобразование вращательного движе- ния в поступательное, бесступенчатое изменение скорости, возможность реверсирова- ния на ходу, включение и выключение передачи на ходу без остановки);
-передача обладает предохраниельными свойствами.
Недостатки фрикционных передач:
-непостоянство передаточного числа из-за проскальзывания;
-незначительная передаваемая мощность (открытые передачи – до 10-20 кВт; за- крытые – до 200-300 кВт);
-для открытых передач низкий КПД;
-большое и неравномерное изнашивание катков при буксовании;
-необходимость применения опор валов специальной конструкции с прижимными устройствами (это делает передачу громоздкой);
-для силовых открытых передач незначительная окружная скорость (? ≤7-10 м/с);
-большие нагрузки на валы и подшипники от прижимной силы Ft, что увеличивает их размеры и делает передачу громоздкой. Этот недостаток ограничивает величину пе- редаваемой мощности;
- большие потери на трение.
Задание:
1. Что называется фрикционной передачей?
________________________________________________________________________________________________________________________________________________________________________________________________
2. Какими достоинствами обладают фрикционные передачи?
________________________________________________________________________________________________________________________________________________________________________________________________
3. Перечислите недостатки фрикционных передач: ________________________________________________________________________________________________________________________________________________________________________________________________
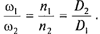
4. О пределите частоту вращения ведомого вала фрикционной передачи, если n1 = 2000 об/мин, D1 = 200 мм, D2 = 400 мм,(скольжением пренебречь).
![]()
________________________________________________________________________________________________________________________________________________________________________________________________
5. Перечислите основные характеристики фрикционных передач?
________________________________________________________________________________________________________________________________________________________________________________________________________________________________________________________________________________________________________________________________
6. Почему ведомый каток фрикционных передач рекомендуют изготавливать из более износостойкого материала?
________________________________________________________________________________________________________________________________________________________________________________________________________________________________________________________________
7. Что такое вариаторы, область применения, классификация?
________________________________________________________________________________________________________________________________________________________________________________________________
8.В зависимости от формы тел качения вариаторы делятся на ________________________________________________________________________________________________________________________________
9. Из каких элементов состоит лобовой вариатор?

1- ______________________________ 2- ____________________________
3-________________________________4-_____________________________
10. Какой из изображенных вариаторов позволяет получить риверсивное вращение выходного вала при одностороннем вращении ведущего?

1.Многодисковой; 2.Лобовой; 3.Торовый; 4.Духконусный.
Тестовые задания к теме 2:
1. Укажите передаточные механизмы, в которых фрикционные передачи получила наибольшее распространение.
1. Редукторы.
2. Мультипликаторы.
3. Вариаторы.
4. Коробки скоростей.
2. Из отмеченных недостатков фрикционных передач:
1) большие нагрузки на валы и подшипники;
2) необходимость в специальных прижимных устройствах;
3) равномерность вращения;
4) передаточное число U= const.,
Какой записан ошибочно?
3. Во фрикционной передаче с коническими катками между пересекающимися осями, внешнюю прижимающую катки силу как следует прикладывать?
1. Вдоль осей катков;
Жүктеу
жүктеу мүмкіндігіне ие боласыз
Бұл материал сайт қолданушысы жариялаған. Материалдың ішінде жазылған барлық ақпаратқа жауапкершілікті жариялаған қолданушы жауап береді. Ұстаз тілегі тек ақпаратты таратуға қолдау көрсетеді. Егер материал сіздің авторлық құқығыңызды бұзған болса немесе басқа да себептермен сайттан өшіру керек деп ойласаңыз осында жазыңыз
Рабочая тетрадь по предмету: «Основы технической механики» РАЗДЕЛ «Детали машин»
Рабочая тетрадь по предмету: «Основы технической механики» РАЗДЕЛ «Детали машин»
Министерство просвящения Республики Казахстан
Коммунальное государственное казенное предприятие
«Колледж транспорта» управления образования
области Абай

Рабочая тетрадь по предмету:
«Основы технической механики»
РАЗДЕЛ
«Детали машин»
Выполнила : ___________ Елюбаева А.С.
Рассмотрена на заседании ПЦК
общетехнических дисциплин
Протокол №_____от « ___ » ___________202_ г.
Председатель ПЦК ___________ Кадирханова А.М..
г. Семей
2023-2024 учебный год
СОДЕРЖАНИЕ
1. Пояснительная записка.……………………………………………......… 3
2. Тема 1. Основные понятия и определения……………………….....…. 4
3. Тема 2. Фрикционные передачи и вариаторы …………………....…... 6
4. Тема 3. Ременные передачи ……………………………………......……. 11
5. Тема 4. Зубчатые передачи ……………………………………….....…. 15
6. Тема 5. Червячные передачи ……………………………………......….. 18
7. Тема 6. Цепные передачи …………………………………………......... 22
8. Тема 7. Передача винт-гайка……………………………………......…... 24
9. Тема 8. Валы и оси……………………………………………….......……25
10. Тема 9. Подшипники качения и подшипники скольжения…….....….29
11. Тема 10. Механические муфты………………………………….......…..33
12. Кроссворд по деталям машин и механизмов……………......………….36
13.Приложение…………………………………………………………….…39
14. Использованная литература………………………………......…………40
ПОЯСНИТЕЛЬНАЯ ЗАПИСКА
Дисциплина «Основы технической механикиә включает в себя три раздела: теоретическую механику, сопротивление материалов и детали машин. Цель изучения дисциплины – дать будущим техникам основные сведения о равновесии материальных тел, о методах расчета элементов конструкций на прочность, жесткость и устойчивость и о деталях машин и механизмов. Современная ситуация задает требование развития системы непрерывного образования, в которой самостоятельная работа и умение самостоятельно работать становиться не просто пожеланием, а достаточно очевидной необходимостью и для обучающихся и для специалистов.
Эффективная реализация самостоятельной работы зависит от заинтересованности достижения результата, т.е. от устойчивой мотивации. Применение рабочей тетради на практических занятиях экономит время и активизирует работу обучающихся, помогает закрепить изученный теоретический материал, а также формирует у обучающихся умения и навыки самостоятельной работы. Основной учебной целью предлагаемой рабочей тетради является формирование прочных знаний по технической механике, развитие умений формулировать четкость ответов на поставленные вопросы, самостоятельно работать с технической литературой, систематически закреплять теоретические знания и практические умения, заниматься решением задач, работать с тестами различных типов. Все задания и тесты выполненные в ходе самостоятельной работы, вопросы, возникшие при этом, могут обсуждаться на занятиях с преподавателем и обучающимися.
Следует отметить, что вся самостоятельная работа обучающихся потеряет смысл и не окажет должного воздействия на качество знаний, если не будет четкого планирования учебного процесса с указанием сроков и видов контроля.
Целями контроля являются:
- определение степени усвоения учебного материала;
- выявление качества полученных знаний.
ТЕМА 1. ОСНОВНЫЕ ПОНЯТИЯ И ОПРЕДЕЛЕНИЯ
Детали машин – раздел по теории расчета и конструированию деталей и узлов машин общемашиностроительного применения. Детали общего назначения применяют в машиностроении в очень больших количествах, поэтому любое усовершенствование расчета и конструкций этих деталей, позволяющее уменьшить затраты материала, снизить стоимость производства, повысить долговечность, приносит большой экономический эффект.
Просканируйте
QR code и ознакомьтесь с новой
темой 
Контрольные вопросы:

1. Что рассматривается в разделе курса « Детали машин и механизмов»?
________________________________________________________________________________________________________________________________________________________________________________________________
2. Какая разница между машиной и механизмом?
________________________________________________________________________________________________________________________________________________________________________________________________
3.Что называется механической передачей? _______________________________________________________________________________________________________________________________
4.Что называется деталью? ________________________________________________________________________________________________________________________________________________________________________________________________
5. Какие детали называются деталями общего назначения?
________________________________________________________________________________________________________________________________________________________________________________________________
6. Какие функции выполняют механические передачи?
________________________________________________________________________________________________________________________________________________________________________________________________
7. Механические передачи повышающие частоту вращения называются:
________________________________________________________________________________________________________________________________________________________________________________________________
8. Понижение частоты вращения называется __________________________, а закрытые передачи, понижающие частоту вращения ____________________.
9. В зависимости от принципа действия механические передачи делятся на две основные группы:
________________________________________________________________________________________________________________________________________________________________________________________________
10. Что показывает передаточное отношение и , по какой формуле определяется?
________________________________________________________________________________________________________________________________________________________________________________________________________________________________________________________________
11. По какой формуле определяется мощность механической передачи?
________________________________________________________________________________________________________________________________
12. По какой формуле определяется КПД механической передачи ?
________________________________________________________________________________________________________________________________
ТЕМА 2. ФРИКЦИОННЫЕ ПЕРЕДАЧИ И ВАРИАТОРЫ
Фрикционная передача – механическая передача, служащая для передачи враща- тельного движения (или для преобразования вращательного движения в поступательное) между валами с помощью сил трения, возникающих между катками, цилиндрами или конусами, насаженными на валы и прижимаемыми один к другому.
Фрикционные передачи состоят из двух катков: ведущего 1 и ведомого 2, которые прижимаются один к другому силой Fr(на рисунке – пружиной), так что сила трения Ff в месте контакта катков достаточна для передаваемой окружной силы Ft.

Цилиндрическая фрикционная передача:
1– ведущий каток;
2– ведомый каток.
Условие работоспособности передачи:
?? ≥ ??
Фрикционные передачи классифицируют по следующим признакам:
1.По назначению:
-с нерегулируемым передаточным числом;
-с бесступенчатым (плавным) регулированием передаточного числа (вариаторы).

Цилиндрическая фрикционная передача с катками клинчатой формы

Коническая фрикционная передача
2.По взаимному расположению осей валов:
-цилиндрические или конусные с параллельными осями;
-конические с пересекающимися осями.
3.В зависимости от условий работы:
-открытые (работают всухую);
-закрытые (работают в масляной ванне).
4.По принципу действия:
-нереверсивные;
-реверсивные.
Различают передачи с постоянным или автоматическим регулируемым прижатием катков, с промежуточным (паразитным) фрикционным элементом или без него.
Достоинства фрикционных передач:
-простота конструкции и обслуживания;
-плавность передачи движения и регулирования скорости и бесшумность работы;
-большие кинематические возможности (преобразование вращательного движе- ния в поступательное, бесступенчатое изменение скорости, возможность реверсирова- ния на ходу, включение и выключение передачи на ходу без остановки);
-передача обладает предохраниельными свойствами.
Недостатки фрикционных передач:
-непостоянство передаточного числа из-за проскальзывания;
-незначительная передаваемая мощность (открытые передачи – до 10-20 кВт; за- крытые – до 200-300 кВт);
-для открытых передач низкий КПД;
-большое и неравномерное изнашивание катков при буксовании;
-необходимость применения опор валов специальной конструкции с прижимными устройствами (это делает передачу громоздкой);
-для силовых открытых передач незначительная окружная скорость (? ≤7-10 м/с);
-большие нагрузки на валы и подшипники от прижимной силы Ft, что увеличивает их размеры и делает передачу громоздкой. Этот недостаток ограничивает величину пе- редаваемой мощности;
- большие потери на трение.
Задание:
1. Что называется фрикционной передачей?
________________________________________________________________________________________________________________________________________________________________________________________________
2. Какими достоинствами обладают фрикционные передачи?
________________________________________________________________________________________________________________________________________________________________________________________________
3. Перечислите недостатки фрикционных передач: ________________________________________________________________________________________________________________________________________________________________________________________________
4. О пределите частоту вращения ведомого вала фрикционной передачи, если n1 = 2000 об/мин, D1 = 200 мм, D2 = 400 мм,(скольжением пренебречь).
![]()
________________________________________________________________________________________________________________________________________________________________________________________________
5. Перечислите основные характеристики фрикционных передач?
________________________________________________________________________________________________________________________________________________________________________________________________________________________________________________________________________________________________________________________________
6. Почему ведомый каток фрикционных передач рекомендуют изготавливать из более износостойкого материала?
________________________________________________________________________________________________________________________________________________________________________________________________________________________________________________________________
7. Что такое вариаторы, область применения, классификация?
________________________________________________________________________________________________________________________________________________________________________________________________
8.В зависимости от формы тел качения вариаторы делятся на ________________________________________________________________________________________________________________________________
9. Из каких элементов состоит лобовой вариатор?

1- ______________________________ 2- ____________________________
3-________________________________4-_____________________________
10. Какой из изображенных вариаторов позволяет получить риверсивное вращение выходного вала при одностороннем вращении ведущего?

1.Многодисковой; 2.Лобовой; 3.Торовый; 4.Духконусный.
Тестовые задания к теме 2:
1. Укажите передаточные механизмы, в которых фрикционные передачи получила наибольшее распространение.
1. Редукторы.
2. Мультипликаторы.
3. Вариаторы.
4. Коробки скоростей.
2. Из отмеченных недостатков фрикционных передач:
1) большие нагрузки на валы и подшипники;
2) необходимость в специальных прижимных устройствах;
3) равномерность вращения;
4) передаточное число U= const.,
Какой записан ошибочно?
3. Во фрикционной передаче с коническими катками между пересекающимися осями, внешнюю прижимающую катки силу как следует прикладывать?
1. Вдоль осей катков;
шағым қалдыра аласыз













