Бекітемін: Қазақстан Республикасы Оқу-ағарту министрлігі
№ 271 Б. Ермекбаев
(Білім беру ұйымының атауы)
Қысқа мерзімді (сабақ) жоспары
Рационал сандарды
көбейту
сабақтың
тақырыбы
Педагогтің тегі, аты, әкесінің аты: Керімова Мереке Әбдіқалыққызы
|
Бөлім: |
Рационал сандарға амалдар қолдану |
|||||||||||
|
Күні: |
06.11.2024 жылы |
|||||||||||
|
Сынып: 6 «Ә» |
Қатысқандар саны: Қатыспағандар саны: |
|||||||||||
|
Сабақтың тақырыбы: |
Рационал сандарды көбейту |
|||||||||||
|
Оқу бағдарламасына сәйкес оқыту мақсаттары: |
6.1.2.15 рационал сандарды көбейтуді орындау; |
|||||||||||
|
Сабақтың мақсаттары: |
-Таңбалары бірдей рационал сандарды көбейтуді білу. Таңбалары әр түрлі рационал сандарды көбейтуді білу ;Рационал сандарды көбейту бойынша білімдері қалыптасып, білімін есептер шығаруда пайдалана білу, өз бетімен есептер шығара алу |
|||||||||||
|
Құндылықтар: |
Бірлік және ынтымақ - Командада жұмыс істей білу ; -Өзгелерге мейірімділік, жанашырлық таныта білу ; - Айналасындағыларға көмек көрсету; |
|||||||||||
|
Сабақ барысы: |
||||||||||||
|
Уақыты/ кезеңдері |
Педагогтің әрекеті |
Оқушының әрекеті |
Бағалау |
Ресурстар |
||||||||
|
Ұйымдастыру кезеңі 5мин |
Сәлемдесу; Сыныптағы оқушылардың көңіл күйлерін сұрап, жағымды ахуал туындату; Оқушыларды түгелдеу; Сабақтың мақсатымен таныстыру |
Мұғаліммен сәлемдесу; Сыныпта жағымды ахуал туындату, бір-біріне жақсы тілектерін білдіру; Сабақтың мақсатын мұғаліммен бірге ашу, сұрақтар туындаса мұғалімнің көмегіне жүгіну |
Ауызша бағалауды қолданамын «Өте жақсы» «Жарайсың» |
Тақта; Оқулық; |
||||||||
|
Сабақтың басы 10 минут |
Білімді жаңарту 1. Теріс көбейткіштер саны тақ болса, көбейтіндінің таңбасы қандай болады? 2. Теріс көбейткіштер саны жұп болса, көбейтіндінің таңбасы қандай болады? 3. Екі санның көбейтіндісі оң сан. Көбейткіштердің таңбалары қандай болуы мүмкін? 4. Көбейтудің қасиеттерін жазып беріңдер. |
Оқушылар ауызша жұмыс жасап, мұғалімнің сұрақтарына өз жауаптарын ұсынады және талқылайды. |
Оқушылардың белсенділігіне қарай мұғалім ауызша мақтау сөздермен бағалауы «жарайсың» «өте жақсы» |
Интерактивті тақта 3 слайд |
||||||||
|
Сабақтың ортасы 25минут |
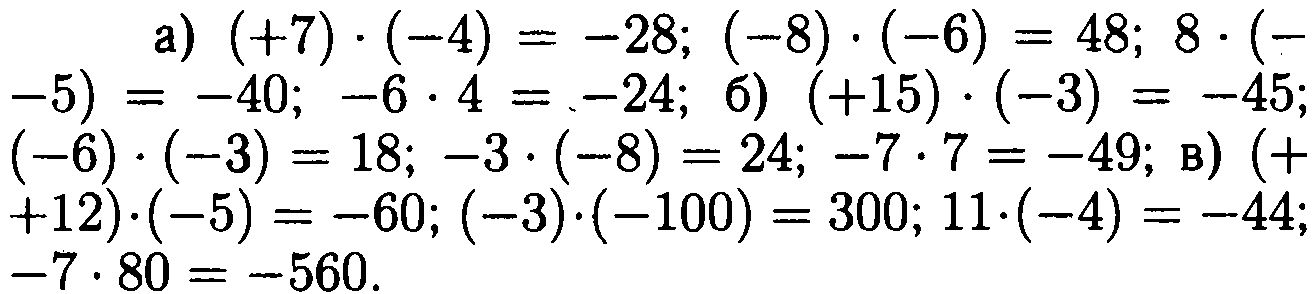
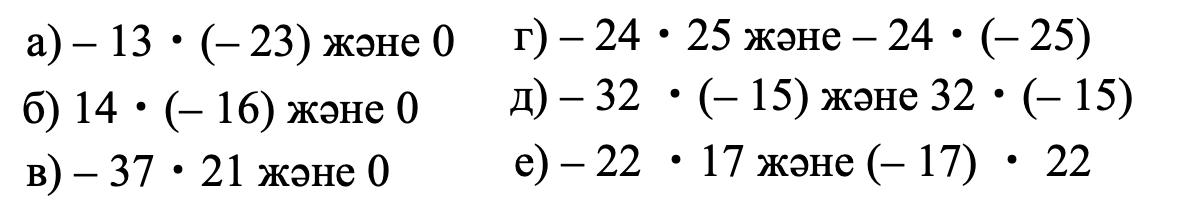
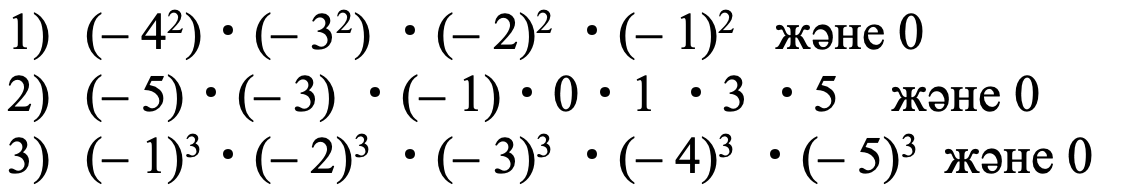
Ауызша есептеу Өткен тақырыпты пысықтау және ауызша есептеу дағдысын қалыптастыру мақсатында оқушыларға ауызша орындауға тақтадан тапсырма беріледі Көбейтуді орында (ауызша)
Көбейтуді орында (ауызша)
Көбейтіндіні тап:
|
Оқушылар тапсырманы тез, ауызша орындайды Жауаптары: Көбейтуді орында (ауызша)
Көбейтуді орында (ауызша)
|
Оқушылардың белсенділігіне қарай мұғалім ауызша мақтау сөздермен бағалауы «жарайсың» «өте жақсы» |
Интерактивті тақта 4-5 слайд |
||||||||
|
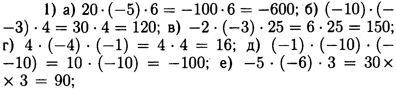
Көбейтуді орындамай салыстыр:
Көбейтіндіні тап:
|
Интерактивті тақта 6 слайд |
|||||||||||
|
Оқулықпен жұмыс |
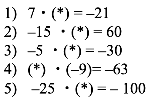
№482 Теңдік тура болатындай етіп, жұлдызшаның орнына тиісті сандарды қойып жазыңдар
№483 Өрнектің мәнін есептемей-ақ, салыстырыңдар:
|
Оқушылар есептерді тақтаға жазып шығарады. Дескриптор:
Жауаптары: №482 1)-3 2)-4 3)6 4)7 5)4 №483 1)> 2)= 3) <
|
«Басбармақ» әдісі арқылы бағалау |
Интерактивті тақта 7 слайд Тақта Бор Кітап Дәптер 6-сыныбына арн. / Оқулық авторы: А.Е.Әбілқасымова;. - Алматы: Мектеп, 2018 |
||||||||
|
Жұптық жұмыс |
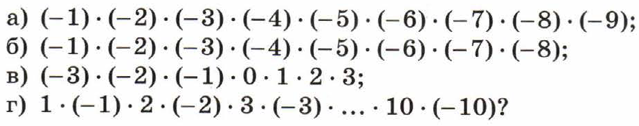
№1. Әрбір көбейтіндінің мәнін тап
№2. Көбейтіндінің мәні оң санға, теріс санға немесе нөлге тең бе?
|
Жауаптары: №1. Әрбір көбейтіндінің мәнін тап
№2. Көбейтіндінің мәні оң санға, теріс санға немесе нөлге тең бе? а) теріс сан; б) оң сан; в) нөлге тең; г) оң сан. |
Жұптасып есептерді шығарады. Содан кейін мұғалім дайын жауаптарды беріп тексертеді. |
Интерактивті тақта 8 слайд |
||||||||
|
Жеке жұмыс |
|
Есептерді өздері жеке шығарады. Содан кейін мұғалім дайын жауаптарды беріп тексертеді.
|
Интерактивті тақта 9 слайд
Кітап Дәптер |
|||||||||
|
Сабақтың соңы 5 минут |
Қорытындылау. Тақырыпқа байланысты 3-4 сұрақ қою;
Үй тапсырмасын беру
Рефлексия «Бағдаршам» әдісі.
|
Үйге тапсырма. Оқулықтан №489 (1,2). №490 (3,4). Анықтамаларды жаттау
Оқушылар стикерге Оқушылар түс таңдап тақтаға жабыстырып қояды |
|
Оқулық
Плакат «Бағдаршам» Стикер,
|
||||||||
|
№1. Әрбір көбейтіндінің мәнін тап
№2. Көбейтіндінің мәні оң санға, теріс санға немесе нөлге тең бе?
|
№1. Әрбір көбейтіндінің мәнін тап
№2. Көбейтіндінің мәні оң санға, теріс санға немесе нөлге тең бе?
|
|
№1. Әрбір көбейтіндінің мәнін тап
№2. Көбейтіндінің мәні оң санға, теріс санға немесе нөлге тең бе?
|
№1. Әрбір көбейтіндінің мәнін тап
№2. Көбейтіндінің мәні оң санға, теріс санға немесе нөлге тең бе?
|
|
1 нұсқа |
2 нұсқа |
3 нұсқа |
|
–9 ∙ 5 = –6 ∙ (–5) = –3 ∙ 0 = –9 ∙ (–6) = 8 ∙ (–6) = –5 ∙ (–8) = –4 ∙ 9 = –13 ∙ (–7) = 23 ∙ (–4) = –7 ∙ (–5) = 6 ∙ (–8) = –12 ∙ (–4) = –3 ∙ (–6) = –7 ∙ 10 = 10 ∙ (–6) = |
6 ∙ (–6) = –15 ∙ 4 = –19 ∙ (–4) = –4 ∙ (–14) = 10 ∙ (–12) = –9 ∙ (–3) = 8 ∙ (–12) = –15 ∙ 5 = –14 ∙ 3 = 21 ∙ (–5)= –4 ∙ (–16) = –16 ∙ 6 = –6 ∙ 14 = 15 ∙ (–10)= –11 ∙ (–3) = |
–5 ∙ 5 = 0 ∙ (–18) = –12 ∙ (–6) = 1 ∙ (–28) = –16 ∙ (–4) = –1 ∙ (–15) = –6 ∙ 15 = 29 ∙ (–1) = –8 ∙ (–12) = 5 ∙ (–9) = –33 ∙ 0 = 4 ∙ (–7) = –8 ∙ (–2) = –31 ∙ (–2) = 17 ∙ (–6) = |
жүктеу мүмкіндігіне ие боласыз
Бұл материал сайт қолданушысы жариялаған. Материалдың ішінде жазылған барлық ақпаратқа жауапкершілікті жариялаған қолданушы жауап береді. Ұстаз тілегі тек ақпаратты таратуға қолдау көрсетеді. Егер материал сіздің авторлық құқығыңызды бұзған болса немесе басқа да себептермен сайттан өшіру керек деп ойласаңыз осында жазыңыз
Рационал сандарды көбейту
Рационал сандарды көбейту
Бекітемін: Қазақстан Республикасы Оқу-ағарту министрлігі
№ 271 Б. Ермекбаев
(Білім беру ұйымының атауы)
Қысқа мерзімді (сабақ) жоспары
Рационал сандарды
көбейту
сабақтың
тақырыбы
Педагогтің тегі, аты, әкесінің аты: Керімова Мереке Әбдіқалыққызы
|
Бөлім: |
Рационал сандарға амалдар қолдану |
|||||||||||
|
Күні: |
06.11.2024 жылы |
|||||||||||
|
Сынып: 6 «Ә» |
Қатысқандар саны: Қатыспағандар саны: |
|||||||||||
|
Сабақтың тақырыбы: |
Рационал сандарды көбейту |
|||||||||||
|
Оқу бағдарламасына сәйкес оқыту мақсаттары: |
6.1.2.15 рационал сандарды көбейтуді орындау; |
|||||||||||
|
Сабақтың мақсаттары: |
-Таңбалары бірдей рационал сандарды көбейтуді білу. Таңбалары әр түрлі рационал сандарды көбейтуді білу ;Рационал сандарды көбейту бойынша білімдері қалыптасып, білімін есептер шығаруда пайдалана білу, өз бетімен есептер шығара алу |
|||||||||||
|
Құндылықтар: |
Бірлік және ынтымақ - Командада жұмыс істей білу ; -Өзгелерге мейірімділік, жанашырлық таныта білу ; - Айналасындағыларға көмек көрсету; |
|||||||||||
|
Сабақ барысы: |
||||||||||||
|
Уақыты/ кезеңдері |
Педагогтің әрекеті |
Оқушының әрекеті |
Бағалау |
Ресурстар |
||||||||
|
Ұйымдастыру кезеңі 5мин |
Сәлемдесу; Сыныптағы оқушылардың көңіл күйлерін сұрап, жағымды ахуал туындату; Оқушыларды түгелдеу; Сабақтың мақсатымен таныстыру |
Мұғаліммен сәлемдесу; Сыныпта жағымды ахуал туындату, бір-біріне жақсы тілектерін білдіру; Сабақтың мақсатын мұғаліммен бірге ашу, сұрақтар туындаса мұғалімнің көмегіне жүгіну |
Ауызша бағалауды қолданамын «Өте жақсы» «Жарайсың» |
Тақта; Оқулық; |
||||||||
|
Сабақтың басы 10 минут |
Білімді жаңарту 1. Теріс көбейткіштер саны тақ болса, көбейтіндінің таңбасы қандай болады? 2. Теріс көбейткіштер саны жұп болса, көбейтіндінің таңбасы қандай болады? 3. Екі санның көбейтіндісі оң сан. Көбейткіштердің таңбалары қандай болуы мүмкін? 4. Көбейтудің қасиеттерін жазып беріңдер. |
Оқушылар ауызша жұмыс жасап, мұғалімнің сұрақтарына өз жауаптарын ұсынады және талқылайды. |
Оқушылардың белсенділігіне қарай мұғалім ауызша мақтау сөздермен бағалауы «жарайсың» «өте жақсы» |
Интерактивті тақта 3 слайд |
||||||||
|
Сабақтың ортасы 25минут |
Ауызша есептеу Өткен тақырыпты пысықтау және ауызша есептеу дағдысын қалыптастыру мақсатында оқушыларға ауызша орындауға тақтадан тапсырма беріледі Көбейтуді орында (ауызша)
Көбейтуді орында (ауызша)
Көбейтіндіні тап:
|
Оқушылар тапсырманы тез, ауызша орындайды Жауаптары: Көбейтуді орында (ауызша)
Көбейтуді орында (ауызша)
|
Оқушылардың белсенділігіне қарай мұғалім ауызша мақтау сөздермен бағалауы «жарайсың» «өте жақсы» |
Интерактивті тақта 4-5 слайд |
||||||||
|
Көбейтуді орындамай салыстыр:
Көбейтіндіні тап:
|
Интерактивті тақта 6 слайд |
|||||||||||
|
Оқулықпен жұмыс |
№482 Теңдік тура болатындай етіп, жұлдызшаның орнына тиісті сандарды қойып жазыңдар
№483 Өрнектің мәнін есептемей-ақ, салыстырыңдар:
|
Оқушылар есептерді тақтаға жазып шығарады. Дескриптор:
Жауаптары: №482 1)-3 2)-4 3)6 4)7 5)4 №483 1)> 2)= 3) <
|
«Басбармақ» әдісі арқылы бағалау |
Интерактивті тақта 7 слайд Тақта Бор Кітап Дәптер 6-сыныбына арн. / Оқулық авторы: А.Е.Әбілқасымова;. - Алматы: Мектеп, 2018 |
||||||||
|
Жұптық жұмыс |
№1. Әрбір көбейтіндінің мәнін тап
№2. Көбейтіндінің мәні оң санға, теріс санға немесе нөлге тең бе?
|
Жауаптары: №1. Әрбір көбейтіндінің мәнін тап
№2. Көбейтіндінің мәні оң санға, теріс санға немесе нөлге тең бе? а) теріс сан; б) оң сан; в) нөлге тең; г) оң сан. |
Жұптасып есептерді шығарады. Содан кейін мұғалім дайын жауаптарды беріп тексертеді. |
Интерактивті тақта 8 слайд |
||||||||
|
Жеке жұмыс |
|
Есептерді өздері жеке шығарады. Содан кейін мұғалім дайын жауаптарды беріп тексертеді.
|
Интерактивті тақта 9 слайд
Кітап Дәптер |
|||||||||
|
Сабақтың соңы 5 минут |
Қорытындылау. Тақырыпқа байланысты 3-4 сұрақ қою;
Үй тапсырмасын беру
Рефлексия «Бағдаршам» әдісі.
|
Үйге тапсырма. Оқулықтан №489 (1,2). №490 (3,4). Анықтамаларды жаттау
Оқушылар стикерге Оқушылар түс таңдап тақтаға жабыстырып қояды |
|
Оқулық
Плакат «Бағдаршам» Стикер,
|
||||||||
|
№1. Әрбір көбейтіндінің мәнін тап
№2. Көбейтіндінің мәні оң санға, теріс санға немесе нөлге тең бе?
|
№1. Әрбір көбейтіндінің мәнін тап
№2. Көбейтіндінің мәні оң санға, теріс санға немесе нөлге тең бе?
|
|
№1. Әрбір көбейтіндінің мәнін тап
№2. Көбейтіндінің мәні оң санға, теріс санға немесе нөлге тең бе?
|
№1. Әрбір көбейтіндінің мәнін тап
№2. Көбейтіндінің мәні оң санға, теріс санға немесе нөлге тең бе?
|
|
1 нұсқа |
2 нұсқа |
3 нұсқа |
|
–9 ∙ 5 = –6 ∙ (–5) = –3 ∙ 0 = –9 ∙ (–6) = 8 ∙ (–6) = –5 ∙ (–8) = –4 ∙ 9 = –13 ∙ (–7) = 23 ∙ (–4) = –7 ∙ (–5) = 6 ∙ (–8) = –12 ∙ (–4) = –3 ∙ (–6) = –7 ∙ 10 = 10 ∙ (–6) = |
6 ∙ (–6) = –15 ∙ 4 = –19 ∙ (–4) = –4 ∙ (–14) = 10 ∙ (–12) = –9 ∙ (–3) = 8 ∙ (–12) = –15 ∙ 5 = –14 ∙ 3 = 21 ∙ (–5)= –4 ∙ (–16) = –16 ∙ 6 = –6 ∙ 14 = 15 ∙ (–10)= –11 ∙ (–3) = |
–5 ∙ 5 = 0 ∙ (–18) = –12 ∙ (–6) = 1 ∙ (–28) = –16 ∙ (–4) = –1 ∙ (–15) = –6 ∙ 15 = 29 ∙ (–1) = –8 ∙ (–12) = 5 ∙ (–9) = –33 ∙ 0 = 4 ∙ (–7) = –8 ∙ (–2) = –31 ∙ (–2) = 17 ∙ (–6) = |
шағым қалдыра аласыз





















