|
Педагогтің аты-жөні: |
Исаева Ә.Б. |
|
Күні: |
05.11.2025ж |
|
Сыныбы: 6А |
Қатысушылар саны: Қатыспағандар саны: |
|
Сабақтың тақырыбы: |
Рационал сандарды көбейту |
|
Оқу бағдарламасына сәйкес оқу мақсаты |
6.1.2.15 Рационал сандарды көбейтуді орындау; |
|
Сабақтың мақсаты: |
Рационал сандарды көбейту тақырыбын меңгереді; Алған білімдерін есеп шығаруда қолданады. |
|
Бағалау критерийлері |
Рационал сандарды көбейту тақырыбын меңгереді; Алған білімдерін есеп шығаруда қолдана алады. |
|
Құндылықтарға баулу |
Пәнге қатысты лексика және терминология: Рационал , көбейту, сандар,оң санадар, теріс сандар Диалогтар және жазу үшін керекті тіркестер: -Рационал сандарды азайту -Рационал сандарды көбейту |
Сабақтың барысы:
|
Сабақ кезеңі/Уақыты |
Педагогтің іс-әрекеті |
Оқушының іс-әрекеті |
Бағалау |
Ресурстар |
|
Сабақтың басы Қызығушылықты ояту. Ұжымдық жұмыс. 3 мин. |
Ұйымдастыру: -Оқушылармен амандасу, сынып оқушыларын түгелдеу. Топқа бөлу: Ітоп:«Бұрыш», ІІ топ:«Радиан», ІІІтоп:«Градус» Топтар топ ережесін сақтайды , өз қалаулары бойынша топ ішінен топ басшы сайлайды,топ басшы топ мүшелерінің сабаққа белсенді қатысуын қадағалайды. Үй тапсырмасын тексеру: «Лото» әдісі арқылы үй тапсырмасын тексеру. |
Шаттық шеңберін құрып «Өзіңе тілегенді,өзгеге тіле»! әдісі арқылы бір-біріне тілек айтып,жақсы көңіл күй сыйлайды. Мақсаты: Оқушылар бойында идея немесе тілек білдіру, тыңдау дағдыларын дамытуға бағыттау, сондай-ақ барлық оқушыларды қатыстыру арқылы оқыту жағдайларын теңестіру. Тиімділігі: Оқушыны бір-біріне тілек айту арқылы жақындастырады, көңіл -күйін көтереді, бауырмалдығын оятады. |
Мұғалім ұйымдастыру кезеңінде белсенділік танытқан оқушыларды «Мадақтау сөз» әдісі арқылы бағалайды: «Жарайсың! Жақсы! Өте жақсы! Талпын!» |
Түрлі түсті қима қағаздар
|
|
Миға шабуыл.
«Ой қозғау» әдісі.
5 мин. «Джиксо» әдісі 8мин |
Оқушылармен бірге сабақ мақсатын ашу; Саралау: Бұл жерде саралаудың «Диалог және қолдау көрсету» тәсілі қолданылады. Дұрыс мағынада жауап беруге бағыттау мақсатында кейбір оқушыларға қосымша ашық сұрақтар, ал кейбір көмек қажет ететін оқушыларға қосымша жетелеуші сұрақтар қойылады. Жаңа сабақ
Саралау: Бұл тапсырмада саралаудың «Қарқын» тәсілі көрініс табады. Ерекше білімді қажет ететін оқушыларға көмек көрсету. |
Мақсаты: Жылдам әрі функционалды түрде сыни ойлауды дамыту. Тиімділігі: Оқушының танымдық дағдысы артады. Сонымен қатар оқушыға сабақтың өмірмен байланысын көрсетеді және сабақтың тақырыбы мен мақсатын анықтауға мүмкіндік береді. |
Дескриптор: - сұраққа жауап береді. «Мадақтау сөз» әдісі арқылы бағалайды: «Жарайсың! Жақсы! Өте жақсы! Талпын!» |
Оқулық 6-сынып. А.Е.Әбілқасымова Т.П.Кучер З.Ә. Жұмағұлова Алматы “Мектеп” 2018ж
|
|
Сабақтың ортасы 8 мин. Жеке жұмыс. |
Тиімділігі: Оқылым мен айтылым дағдысы қалыптасады. Саралау: Бұл тапсырмада саралаудың «Диалог және қолдау көрсету» тәсілі көрініс табады. |
Берілген есепті орындайды Мақсаты: Жылдам әрі функционалды түрде сыни ойлауды дамыту. |
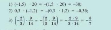
Дескриптор: -Оң сандарды көбейтеді, -теріс сандарды көбейтеді Әрбір дұрыс есепке 1 балл қойылады |
Оқулық 6-сынып. А.Е.Әбілқасымова Т.П.Кучер З.Ә. Жұмағұлова |
|
Жеке жұмыс. 8 мин. |
Тиімділігі: Оқылым мен айтылым дағдысы қалыптасады. Саралау: Бұл тапсырмада саралаудың «Диалог және қолдау көрсету» тәсілі көрініс табады. |
Берілген тапсырма бойынша есепті орындайды Мақсаты: Жылдам әрі функционалды түрде сыни ойлауды дамыту. |
Дескриптор: -Оң сандар мен теріс сандарды көбейтеді, -теріс сандарды оң санға көбейтеді Әрбір дұрыс жауапка 1 балл қойылады |
Тақта, дәптер, оқулық |
|
Жеке жұмыс жұмыс. 5 мин. Жазылым. |
Тиімділігі: Жазылым дағдысы қалыптасады. Саралау: Бұл тапсырмада саралаудың «Диалог және қолдау көрсету» тәсілі көрініс табады. |
Берілген тапсырма бойынша өз ойларын ортаға салып, пікірлерін білдіріп, талдау жасайды. Мақсаты: Жылдам әрі функционалды түрде сыни ойлауды дамыту. |
Дескриптор: -Оң сандар мен теріс сандарды көбейтеді, -теріс сандарды оң санға көбейтеді Бағалау: Әрбір дұрыс жауапка 1 балл қойылады |
Тақта, дәптер, оқулық |
|
Сабақтың соңы. Ой толғаныс. Рефлексия 8 мин. |
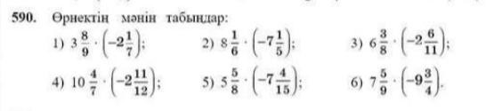
Сабақты бекіту. «Өрмекші торы» әдісі арқылы кері байланыс алу. Жіпті лақтыру арқылы әр топ кезекпен бір-біріне сұрақтар қояды. Кері байланыс. «Екі жұлдыз, бір тілек» арқылы кері байланыс аламын, Үйге тапсырма беру. №587, №588жаттығу |
Оқушылар өздерінің тақырып бойынша оқып, зерделегенін тұжырымдайды. Мақсаты: Өз ойын айтып, сабақты бекіту, қорытындылау. Тиімділігі: Оқушы алған білімін жинақтап, саралай білуге дағдыланады. 1.Маған бүгін не ұнады. 2. Маған бүгін не ұнамады. 3. Менің тілектерім. |
Оқушылар бір-бірінің сабаққа қатысу белсенділігіне қарай «Мадақтау сөздері» әдісі арқылы бірін-бірі бағалайды. Жарайсың!, Керемет!, Жақсы!, Талпын!,. |
Тақта, дәптер, оқулық |
жүктеу мүмкіндігіне ие боласыз
Бұл материал сайт қолданушысы жариялаған. Материалдың ішінде жазылған барлық ақпаратқа жауапкершілікті жариялаған қолданушы жауап береді. Ұстаз тілегі тек ақпаратты таратуға қолдау көрсетеді. Егер материал сіздің авторлық құқығыңызды бұзған болса немесе басқа да себептермен сайттан өшіру керек деп ойласаңыз осында жазыңыз
Рационал сандарды көбейту
Рационал сандарды көбейту
|
Педагогтің аты-жөні: |
Исаева Ә.Б. |
|
Күні: |
05.11.2025ж |
|
Сыныбы: 6А |
Қатысушылар саны: Қатыспағандар саны: |
|
Сабақтың тақырыбы: |
Рационал сандарды көбейту |
|
Оқу бағдарламасына сәйкес оқу мақсаты |
6.1.2.15 Рационал сандарды көбейтуді орындау; |
|
Сабақтың мақсаты: |
Рационал сандарды көбейту тақырыбын меңгереді; Алған білімдерін есеп шығаруда қолданады. |
|
Бағалау критерийлері |
Рационал сандарды көбейту тақырыбын меңгереді; Алған білімдерін есеп шығаруда қолдана алады. |
|
Құндылықтарға баулу |
Пәнге қатысты лексика және терминология: Рационал , көбейту, сандар,оң санадар, теріс сандар Диалогтар және жазу үшін керекті тіркестер: -Рационал сандарды азайту -Рационал сандарды көбейту |
Сабақтың барысы:
|
Сабақ кезеңі/Уақыты |
Педагогтің іс-әрекеті |
Оқушының іс-әрекеті |
Бағалау |
Ресурстар |
|
Сабақтың басы Қызығушылықты ояту. Ұжымдық жұмыс. 3 мин. |
Ұйымдастыру: -Оқушылармен амандасу, сынып оқушыларын түгелдеу. Топқа бөлу: Ітоп:«Бұрыш», ІІ топ:«Радиан», ІІІтоп:«Градус» Топтар топ ережесін сақтайды , өз қалаулары бойынша топ ішінен топ басшы сайлайды,топ басшы топ мүшелерінің сабаққа белсенді қатысуын қадағалайды. Үй тапсырмасын тексеру: «Лото» әдісі арқылы үй тапсырмасын тексеру. |
Шаттық шеңберін құрып «Өзіңе тілегенді,өзгеге тіле»! әдісі арқылы бір-біріне тілек айтып,жақсы көңіл күй сыйлайды. Мақсаты: Оқушылар бойында идея немесе тілек білдіру, тыңдау дағдыларын дамытуға бағыттау, сондай-ақ барлық оқушыларды қатыстыру арқылы оқыту жағдайларын теңестіру. Тиімділігі: Оқушыны бір-біріне тілек айту арқылы жақындастырады, көңіл -күйін көтереді, бауырмалдығын оятады. |
Мұғалім ұйымдастыру кезеңінде белсенділік танытқан оқушыларды «Мадақтау сөз» әдісі арқылы бағалайды: «Жарайсың! Жақсы! Өте жақсы! Талпын!» |
Түрлі түсті қима қағаздар
|
|
Миға шабуыл.
«Ой қозғау» әдісі.
5 мин. «Джиксо» әдісі 8мин |
Оқушылармен бірге сабақ мақсатын ашу; Саралау: Бұл жерде саралаудың «Диалог және қолдау көрсету» тәсілі қолданылады. Дұрыс мағынада жауап беруге бағыттау мақсатында кейбір оқушыларға қосымша ашық сұрақтар, ал кейбір көмек қажет ететін оқушыларға қосымша жетелеуші сұрақтар қойылады. Жаңа сабақ
Саралау: Бұл тапсырмада саралаудың «Қарқын» тәсілі көрініс табады. Ерекше білімді қажет ететін оқушыларға көмек көрсету. |
Мақсаты: Жылдам әрі функционалды түрде сыни ойлауды дамыту. Тиімділігі: Оқушының танымдық дағдысы артады. Сонымен қатар оқушыға сабақтың өмірмен байланысын көрсетеді және сабақтың тақырыбы мен мақсатын анықтауға мүмкіндік береді. |
Дескриптор: - сұраққа жауап береді. «Мадақтау сөз» әдісі арқылы бағалайды: «Жарайсың! Жақсы! Өте жақсы! Талпын!» |
Оқулық 6-сынып. А.Е.Әбілқасымова Т.П.Кучер З.Ә. Жұмағұлова Алматы “Мектеп” 2018ж
|
|
Сабақтың ортасы 8 мин. Жеке жұмыс. |
Тиімділігі: Оқылым мен айтылым дағдысы қалыптасады. Саралау: Бұл тапсырмада саралаудың «Диалог және қолдау көрсету» тәсілі көрініс табады. |
Берілген есепті орындайды Мақсаты: Жылдам әрі функционалды түрде сыни ойлауды дамыту. |
Дескриптор: -Оң сандарды көбейтеді, -теріс сандарды көбейтеді Әрбір дұрыс есепке 1 балл қойылады |
Оқулық 6-сынып. А.Е.Әбілқасымова Т.П.Кучер З.Ә. Жұмағұлова |
|
Жеке жұмыс. 8 мин. |
Тиімділігі: Оқылым мен айтылым дағдысы қалыптасады. Саралау: Бұл тапсырмада саралаудың «Диалог және қолдау көрсету» тәсілі көрініс табады. |
Берілген тапсырма бойынша есепті орындайды Мақсаты: Жылдам әрі функционалды түрде сыни ойлауды дамыту. |
Дескриптор: -Оң сандар мен теріс сандарды көбейтеді, -теріс сандарды оң санға көбейтеді Әрбір дұрыс жауапка 1 балл қойылады |
Тақта, дәптер, оқулық |
|
Жеке жұмыс жұмыс. 5 мин. Жазылым. |
Тиімділігі: Жазылым дағдысы қалыптасады. Саралау: Бұл тапсырмада саралаудың «Диалог және қолдау көрсету» тәсілі көрініс табады. |
Берілген тапсырма бойынша өз ойларын ортаға салып, пікірлерін білдіріп, талдау жасайды. Мақсаты: Жылдам әрі функционалды түрде сыни ойлауды дамыту. |
Дескриптор: -Оң сандар мен теріс сандарды көбейтеді, -теріс сандарды оң санға көбейтеді Бағалау: Әрбір дұрыс жауапка 1 балл қойылады |
Тақта, дәптер, оқулық |
|
Сабақтың соңы. Ой толғаныс. Рефлексия 8 мин. |
Сабақты бекіту. «Өрмекші торы» әдісі арқылы кері байланыс алу. Жіпті лақтыру арқылы әр топ кезекпен бір-біріне сұрақтар қояды. Кері байланыс. «Екі жұлдыз, бір тілек» арқылы кері байланыс аламын, Үйге тапсырма беру. №587, №588жаттығу |
Оқушылар өздерінің тақырып бойынша оқып, зерделегенін тұжырымдайды. Мақсаты: Өз ойын айтып, сабақты бекіту, қорытындылау. Тиімділігі: Оқушы алған білімін жинақтап, саралай білуге дағдыланады. 1.Маған бүгін не ұнады. 2. Маған бүгін не ұнамады. 3. Менің тілектерім. |
Оқушылар бір-бірінің сабаққа қатысу белсенділігіне қарай «Мадақтау сөздері» әдісі арқылы бірін-бірі бағалайды. Жарайсың!, Керемет!, Жақсы!, Талпын!,. |
Тақта, дәптер, оқулық |
шағым қалдыра аласыз


















