Қысқа мерзімді (сабақ) жоспары
Сабақтың тақырыбы
Рационал сандарды көбейту
|
Мектеп |
«Наурызбай батыр Құтпанбетұлы атындағы орта мектебі» КММ |
|
|
Педагогтің Т.А.Ә. |
Маралова Б.О. |
|
|
Күні: |
27.02.2025 |
|
|
Сынып: |
6 «Ә» |
|
|
Тарау немесе бөлім атауы: |
6.2А Рационал сандарға амалдар қолдану |
|
|
Сабақтың тақырыбы: |
Рационал сандарды көбейту |
|
|
Оқу мақсаты: |
6.1.2.15 рационал сандарды көбейтуді орындау; |
|
|
Сабақтың мақсаты : |
Таңбалар ережесін қолданып рационал сандарды көбейтуді орындайды. |
|
Сабақтың барысы
|
Сабақтың кезеңі/ уақыт |
Педагогтің әрекеті |
Оқушының әрекеті |
Бағалау |
Ресурстар |
|
1-кезең: Сабақтың басы:
10 минут |
Ұйымдастыру кезеңі Сәлеметсіздерме! Сыныпта жағымды психологиялық ахуал туғызу Сабаққа қаншалықты дайын екенін анықтау мақсатында СТОП МУЗЫКА ойынымен үй тапсырмасын тексеру. Талқылау сұрақтары Екі теріс санды көбейткенде неге нәтиже оң болады? Кез келген санды нөлге көбейтсек не шығады? Қай кезде көбейтіндінің таңбасы теріс болады? Ережені еске түсіру! ЕББҚ бар оқушының ұжымда оқушының айтуы бойынша өткен тақырыпты есіне түсіріп, сыныптасынан қолдау көреді және қарым-қатынасқа түсуі артады. Ал өзі оқушы ретінде өзіндік бағалауы жоғарылайды. Сабақтың тақырыбын ашу Халық даналығы,
« Өмірде де, сандарда да тепе-теңдік
керек. Талқылау сұрақтары -Бұл сөз сіз үшін қандай мотивация береді? Сабақтың тақырыбын жариялау және оқушылармен бірлесе отырып мақсат құру Бүгінгі тақырып:
Рационал сандарды
көбейту. Сабағымыздын тақырыбы « Рационал сандарды көбейту .»- болса мақсатымыз қандай болмақ? Сабағымыздың МАҚСАТЫ: Таңбалар ережесін қолданып рационал сандарды көбейтуді орындайды.. Дағды: сабаққа мақсат қою дағдысы. |
Оқушылар орындарында отырып бір-біріне допты лақтырады. Музыка тоқтағанда доп кімнің қолында қалса сол үй тапсырмасын көрсетеді.
Ережені қайталайды, есте сақтайды
Оқушылар сұраққа жауап береді өз ойларымен бөліседі.
Сабақ мақсатын өздері болжап айтады, мұғалімнің көмегімен толықтырады. |
Оқушылардың жауаптарына толықтырып кері байланыс беру.
Мұғалімнің қолдауы, кері байланысы. |
таныстырылым
таныстырылым
|
|
2-кезең: сабақтың ортасы: теориялық-практикалық бөлімі
7 минут
7 минут
15 минут
3-кезең: 6 минут |
Топтық жұмыс. Пицца әдісі Пиццаның бөлшектеріндегі амалдарды орындап, пиццаны құрау. Ережелерді жазу
Талқылау сұрақтары: -Қай бөлік «ең дәмді нәтиже» берді? Яғни, қай есеп оң нәтиже шығарды? - Кез келген санды -1 көбейтсек нәтиже қалай өзгереді? ЕБҚ топпен бірігіп, өзара оқу арқылы білімін толықтырады, жұбының көмегімен тапсырманы орындайды. ЕҚБ бар оқушылар тапсырманы орындауды түсіндіріп, сыныпқа көмек береді.
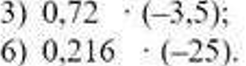
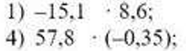
Жұптық жұмыс «Бір қадам – сен, бір қадам – мен» әдісі №596 Көбейтуді орындаңдар
Талқылау сұрақтары: -Егер екі санның біреуі ғана теріс болса, нәтиже әрдайым теріс бола ма? -Сенің жұбыңның есебін шығару тәсілі сенікімен ұқсас па, әлде өзгеше ме? ЕБҚ бар оқушылар жұппен бірігіп, өзара оқу арқылы білімін толықтырады ЕҚБ бар оқушылар тапсырманы жұпта талқылап, түсіндіреді
Жеті рет өлшеп, бір рет кес. Жеке жұмыс. Тест Әдісі: «Кім жылдам?» Қолданылатын платформа: Worldwall
ЕБҚ бар оқушылар сыныппен бірлесе ережені қолданып тапсырма орындайды. ЕҚБ бар оқушылар тапсырманы орындауды түсіндіріп, сыныпқа көмек береді.
Оқушыларды бағалау
Талқылау сұрақтары: - Не қиын болды? - Қандай мақсатқа қол жеткіздік? Не үйрендіңдер? Қосымша тапсырма. Оқулықтан №604 есеп.
Сабақтың соңы: рефлексия Сабақ мақсатына қайта оралу Мақсатқа қол жеткіздік па, оған не дәлел? "ИИ -" рефлексиясы
Үй тапсырмасы: №602 Нұсқау беру Сабақты қорытындылау. |
Оқушылар топпен пиццаның бөлшектеріндегі амалдарды орындап, пиццаны жинайды. Есепте қолданған ережелерін параққа жазады.
Талқылау сұрақтарына жауап береді Оқушылар жұппен әр есепті қадамдап бөліп орындайды, Талдайды. Жауабы:
Талқылау сұрақтарына жауап береді
Кері байланыс жасап, нәтиже балдарын талдайды.
Талқылау сұрақтарына жауап береді
Оқушылар берілген ИИ рефлексиясында өз таңдауларын жасайды |
Дескриптор: - Амалдарды орындайды - Пиццаны құрайды - Қолданылған ережелерді жазады ҚБ: Өзін-өзі бағалау Мұғалімнің қолдауы, кері байланысы. Дескриптор: -Теріс және оң сандардың көбейтіндісінің таңбасын анықтайды; - Ондық бөлшектерді көбейту амалын дұрыс орындайды; - Есептің нәтижесін тексеріп қорытынды шығарады. ҚБ Өзін-өзі бағалау
Дескриптор -әр есепте таңбалар ережесін дұрыс қолданып рационал сандарды көбейтеді 1балл
жалпы 10 балл Мұғалімнің қолдауы, кері байланысы. Оқушылардың жауаптарына толықтырып кері байланыс беру.
Қорытынды |
Үлестірме
Оқулық №596, 127 бет
таныстырылым
Оқулық бет 127
Оқулық бет 127 |

жүктеу мүмкіндігіне ие боласыз
Бұл материал сайт қолданушысы жариялаған. Материалдың ішінде жазылған барлық ақпаратқа жауапкершілікті жариялаған қолданушы жауап береді. Ұстаз тілегі тек ақпаратты таратуға қолдау көрсетеді. Егер материал сіздің авторлық құқығыңызды бұзған болса немесе басқа да себептермен сайттан өшіру керек деп ойласаңыз осында жазыңыз
Рационал сандарды көбейту.
Рационал сандарды көбейту.
Қысқа мерзімді (сабақ) жоспары
Сабақтың тақырыбы
Рационал сандарды көбейту
|
Мектеп |
«Наурызбай батыр Құтпанбетұлы атындағы орта мектебі» КММ |
|
|
Педагогтің Т.А.Ә. |
Маралова Б.О. |
|
|
Күні: |
27.02.2025 |
|
|
Сынып: |
6 «Ә» |
|
|
Тарау немесе бөлім атауы: |
6.2А Рационал сандарға амалдар қолдану |
|
|
Сабақтың тақырыбы: |
Рационал сандарды көбейту |
|
|
Оқу мақсаты: |
6.1.2.15 рационал сандарды көбейтуді орындау; |
|
|
Сабақтың мақсаты : |
Таңбалар ережесін қолданып рационал сандарды көбейтуді орындайды. |
|
Сабақтың барысы
|
Сабақтың кезеңі/ уақыт |
Педагогтің әрекеті |
Оқушының әрекеті |
Бағалау |
Ресурстар |
|
1-кезең: Сабақтың басы:
10 минут |
Ұйымдастыру кезеңі Сәлеметсіздерме! Сыныпта жағымды психологиялық ахуал туғызу Сабаққа қаншалықты дайын екенін анықтау мақсатында СТОП МУЗЫКА ойынымен үй тапсырмасын тексеру. Талқылау сұрақтары Екі теріс санды көбейткенде неге нәтиже оң болады? Кез келген санды нөлге көбейтсек не шығады? Қай кезде көбейтіндінің таңбасы теріс болады? Ережені еске түсіру! ЕББҚ бар оқушының ұжымда оқушының айтуы бойынша өткен тақырыпты есіне түсіріп, сыныптасынан қолдау көреді және қарым-қатынасқа түсуі артады. Ал өзі оқушы ретінде өзіндік бағалауы жоғарылайды. Сабақтың тақырыбын ашу Халық даналығы,
« Өмірде де, сандарда да тепе-теңдік
керек. Талқылау сұрақтары -Бұл сөз сіз үшін қандай мотивация береді? Сабақтың тақырыбын жариялау және оқушылармен бірлесе отырып мақсат құру Бүгінгі тақырып:
Рационал сандарды
көбейту. Сабағымыздын тақырыбы « Рационал сандарды көбейту .»- болса мақсатымыз қандай болмақ? Сабағымыздың МАҚСАТЫ: Таңбалар ережесін қолданып рационал сандарды көбейтуді орындайды.. Дағды: сабаққа мақсат қою дағдысы. |
Оқушылар орындарында отырып бір-біріне допты лақтырады. Музыка тоқтағанда доп кімнің қолында қалса сол үй тапсырмасын көрсетеді.
Ережені қайталайды, есте сақтайды
Оқушылар сұраққа жауап береді өз ойларымен бөліседі.
Сабақ мақсатын өздері болжап айтады, мұғалімнің көмегімен толықтырады. |
Оқушылардың жауаптарына толықтырып кері байланыс беру.
Мұғалімнің қолдауы, кері байланысы. |
таныстырылым
таныстырылым
|
|
2-кезең: сабақтың ортасы: теориялық-практикалық бөлімі
7 минут
7 минут
15 минут
3-кезең: 6 минут |
Топтық жұмыс. Пицца әдісі Пиццаның бөлшектеріндегі амалдарды орындап, пиццаны құрау. Ережелерді жазу
Талқылау сұрақтары: -Қай бөлік «ең дәмді нәтиже» берді? Яғни, қай есеп оң нәтиже шығарды? - Кез келген санды -1 көбейтсек нәтиже қалай өзгереді? ЕБҚ топпен бірігіп, өзара оқу арқылы білімін толықтырады, жұбының көмегімен тапсырманы орындайды. ЕҚБ бар оқушылар тапсырманы орындауды түсіндіріп, сыныпқа көмек береді.
Жұптық жұмыс «Бір қадам – сен, бір қадам – мен» әдісі №596 Көбейтуді орындаңдар
Талқылау сұрақтары: -Егер екі санның біреуі ғана теріс болса, нәтиже әрдайым теріс бола ма? -Сенің жұбыңның есебін шығару тәсілі сенікімен ұқсас па, әлде өзгеше ме? ЕБҚ бар оқушылар жұппен бірігіп, өзара оқу арқылы білімін толықтырады ЕҚБ бар оқушылар тапсырманы жұпта талқылап, түсіндіреді
Жеті рет өлшеп, бір рет кес. Жеке жұмыс. Тест Әдісі: «Кім жылдам?» Қолданылатын платформа: Worldwall
ЕБҚ бар оқушылар сыныппен бірлесе ережені қолданып тапсырма орындайды. ЕҚБ бар оқушылар тапсырманы орындауды түсіндіріп, сыныпқа көмек береді.
Оқушыларды бағалау
Талқылау сұрақтары: - Не қиын болды? - Қандай мақсатқа қол жеткіздік? Не үйрендіңдер? Қосымша тапсырма. Оқулықтан №604 есеп.
Сабақтың соңы: рефлексия Сабақ мақсатына қайта оралу Мақсатқа қол жеткіздік па, оған не дәлел? "ИИ -" рефлексиясы
Үй тапсырмасы: №602 Нұсқау беру Сабақты қорытындылау. |
Оқушылар топпен пиццаның бөлшектеріндегі амалдарды орындап, пиццаны жинайды. Есепте қолданған ережелерін параққа жазады.
Талқылау сұрақтарына жауап береді Оқушылар жұппен әр есепті қадамдап бөліп орындайды, Талдайды. Жауабы:
Талқылау сұрақтарына жауап береді
Кері байланыс жасап, нәтиже балдарын талдайды.
Талқылау сұрақтарына жауап береді
Оқушылар берілген ИИ рефлексиясында өз таңдауларын жасайды |
Дескриптор: - Амалдарды орындайды - Пиццаны құрайды - Қолданылған ережелерді жазады ҚБ: Өзін-өзі бағалау Мұғалімнің қолдауы, кері байланысы. Дескриптор: -Теріс және оң сандардың көбейтіндісінің таңбасын анықтайды; - Ондық бөлшектерді көбейту амалын дұрыс орындайды; - Есептің нәтижесін тексеріп қорытынды шығарады. ҚБ Өзін-өзі бағалау
Дескриптор -әр есепте таңбалар ережесін дұрыс қолданып рационал сандарды көбейтеді 1балл
жалпы 10 балл Мұғалімнің қолдауы, кері байланысы. Оқушылардың жауаптарына толықтырып кері байланыс беру.
Қорытынды |
Үлестірме
Оқулық №596, 127 бет
таныстырылым
Оқулық бет 127
Оқулық бет 127 |

шағым қалдыра аласыз


















