Саз колледж директорының
оқу ісі жөніндегі орынбасары
___________ Толыбаева К.А
|
Колледж атауы: |
Шымкент қаласы білім басқармасының «Саз колледжі» МКҚК |
|
|
Пәні: |
Математика |
|
|
Педагогтің аты-жөні |
Хамидова Мадина Толқынқызы |
|
|
Күні: |
8.11.2023 ж |
|
|
Тобы: Д |
Қатысушылар саны: |
Қатыспағандар саны: |
|
Бөлім: |
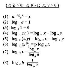
5.2. Логарифмдік функция |
|
|
Сабақтың тақырыбы: |
5.2.1. Санның логарифмі және оның қасиеттері. |
|
|
Оқу
бағдарламасына сәйкес |
11.3.1. 13 - сан логарифмі, ондық және натурал логарифмдер анықтамаларын білу; 11.3.1.14 - логарифм қасиеттерін білу және оны логарифмдік өрнектерді түрлендіруде қолдану. |
|
|
Сабақтың мақсаты: |
Санның логарифмін есептеу және оның қасиеттерін пайдаланып өрнектерді есептеу. |
|
|
Бағалау критерийі |
Санның логарифмін,ондық және натурал логарифмнің мәндерін анықтайды. |
|
|
Ойлау дағдыларының деңгейі |
Білу, түсіну және қолдану. Қолдану. |
|
Сабақтың барысы
|
Сабақтың кезеңі/уақыт |
Педагогтің әрекеті |
Оқушының әрекеті |
Бағалау |
Ресурстар |
|
Сабақтың басы: (5 мин) |
Сыныппен сәлемдесу, түгелдеу, сабаққа назарын аудару. Сыныптағы оқушыларды арнайы дайындалған карточкалар арқылы топтарға бөліп алады. Карточкалардың ішіне жасырылған смайликтерге сәйкес алдын ала белгіленген смайлигі бар партаға отырады. Мұғалім топтың атын басшысын сайлап алуды, бағалау парағымен таныстырады. «Миға шабуыл» әдісі Өткен сабақтағы тақырыптарды сұрақтар арқылы пысықтап алу. 1) Өткен тақырыпта қандай сандарды салыстырдық? 2) Түбірдің п дәрежесін табу дегеніміз не? 3) Көрсеткіштік дәреже дегеніміз не? Үй жұмысын сұрау.
Бұл әдісте оқушылар үйге берілген тапсырмасын тексереді. Фортуна дөңгелегі арқылы таңдалған оқушыдан сұралады. Үйге берілген тапсырмалардың жауабы қате болған жағдайда, мұғалім жауабын өзі айтады. |
Мұғаліммен сәлемдеседі. Оқушылар мұғалім айтып өткені бойынша топтарға бірігеді. Карточкаларды таңдап , сәйкес смайлик партаға отырады. Топ басшысын топтың атын өздері таңдайды. Оқушылар сұрақтарға жауап береді. Үй тапсырмасын орындаған оқушы есептің жауаптарын айтады, қалған оқушылар дұрыс немесе бұрыс екендігін айтады. Егер оқушының жауабы дұрыс болмаса келесі оқушы жалғастырады. |
ҚБ: мадақтау ҚБ: мадақтау Жарайсың,өте керемет! ҚБ: мадақтау Жарайсың, ақылдым, бұданда жақсы істей аласың!!! 100-50 балл аралығы |
Презентация Карточкалар мен смайликтер Бағалау парағы А4 парақтары,
«Фортуна» дөңгелегі
|
|
Сабақтың ортасы: 35 мин |
Жаңа тақырыпты мұғалім тақтаға түсіндіреді. Видеоролик пен тарихи мағмұматтар айтылып өтіледі. Логарифмдердің қасиеттері.
«Интербелсенді әдіс» I тапсырма. «Сырлы қобдиша» әдісі Қобдишаның ішіне есептер салынған хаттар бар. Топ басшысы шығып хаттарды таңдап алады. Топтар хаттың ішіндегі есептерді шығарып, тақтаға іліп қояды. Мұғалім есептерді дұрыстығын тексеріп, бағалайды.
II тапсырма. «Қолшатыр» әдісі Мұғалім қолшатырға ілінген есептеррді айналдырады. Тақтаға «Фортуна» әдісімен таңдалған оқушы шығып , есепті тақтаға жазады, шығарады.
III тапсырма. «Зипгрэйт» қоымшасымен жұмыс жасау
Әр топқа беріледі. Тест жауаптарын белгілейтін жауап парағы бірге беріледі. Жауаптарын тексеріп, топтарды бағалайды. Тиімділігі: топпен жұмыста бір бірімен қарым-қатынасы және оқушылар өздерінің білімдерін тексере отырып, ұқыптылыққа,шапшаңдыққа, жылдам ойлануға дағдыланады,білімдерін ортаға салады. Жаңа тақырыпты бекіту, қорытынды жасау. Бағалау парағын есептеуді аяқтау. |
Оқушылар жаңа сабақты дәптерге жазады.Видеоролик қарайды. Топ басшысы шығып хаттарды таңдап алады. Топпен есеп шығарада. Оқушы шығып есепті таңдап, тақтаға шығарады. Тест жұмысын орындау. Жауап парағына белгілейді. Оқушылар бағалау парағындағы баллдарды есептеп, қорытындылайды. |
Дескриптор;
ҚБ: мұғалімнің бағалауы. Мадақтау Жарайсыңдар, өте жақсы! Дескриптор: - Логарифмдердің қасиеттерін пайдаланып есепке амалдар қолданады. ҚБ: мұғалімнің бағалауы. Мадақтау Жарайсыңдар, өте жақсы! Дескриптор: - Негіздері бірдей логарифмдерді тауып, қосу және азайту амалдарын орындайды. -Логарифмдік теңдеулерді шешеді. ҚБ: мұғалімнің бағалауы Қорытынды. |
Презентация Видеоролик А3 парағы Маркерлер
Қобдиша 1д. Қолшатыр 1 д.
Тест тапсырмалары А6 парақтағы кесте
А4 тапсырма, дәптермен жұмыс баяу музыка оқулықпен, дәптермен жұмыс |
|
Сабақтың соңы: (5 мин)
|
«Сезіміңмен бөліс» әдісі Стикерге сабақтан алған әсерін, көңіл күйін жазып кетеді. №13.10 |
Оқушылар бүгінгі сабаққа қатысты алған әсерлерін жазып кетеді. |
Бағалау: Сабақ барысында әр оқушының бағалау деңгейі бар «Бағалау» парағына оқушыларды тапсырмалардың орындалу күйіне қарай бағалап отырады. «Бағалау» парағының қорытындысы бойынша оқушыларды бағаланады. |
11- сынып оқулығы А.Е.Әбілқасымова, Т.П. Кучер, З.Ә. Жұмағұлова, 2017ж. |

жүктеу мүмкіндігіне ие боласыз
Бұл материал сайт қолданушысы жариялаған. Материалдың ішінде жазылған барлық ақпаратқа жауапкершілікті жариялаған қолданушы жауап береді. Ұстаз тілегі тек ақпаратты таратуға қолдау көрсетеді. Егер материал сіздің авторлық құқығыңызды бұзған болса немесе басқа да себептермен сайттан өшіру керек деп ойласаңыз осында жазыңыз
Санның логарифмі және оның қасиеттері.
Санның логарифмі және оның қасиеттері.
Саз колледж директорының
оқу ісі жөніндегі орынбасары
___________ Толыбаева К.А
|
Колледж атауы: |
Шымкент қаласы білім басқармасының «Саз колледжі» МКҚК |
|
|
Пәні: |
Математика |
|
|
Педагогтің аты-жөні |
Хамидова Мадина Толқынқызы |
|
|
Күні: |
8.11.2023 ж |
|
|
Тобы: Д |
Қатысушылар саны: |
Қатыспағандар саны: |
|
Бөлім: |
5.2. Логарифмдік функция |
|
|
Сабақтың тақырыбы: |
5.2.1. Санның логарифмі және оның қасиеттері. |
|
|
Оқу
бағдарламасына сәйкес |
11.3.1. 13 - сан логарифмі, ондық және натурал логарифмдер анықтамаларын білу; 11.3.1.14 - логарифм қасиеттерін білу және оны логарифмдік өрнектерді түрлендіруде қолдану. |
|
|
Сабақтың мақсаты: |
Санның логарифмін есептеу және оның қасиеттерін пайдаланып өрнектерді есептеу. |
|
|
Бағалау критерийі |
Санның логарифмін,ондық және натурал логарифмнің мәндерін анықтайды. |
|
|
Ойлау дағдыларының деңгейі |
Білу, түсіну және қолдану. Қолдану. |
|
Сабақтың барысы
|
Сабақтың кезеңі/уақыт |
Педагогтің әрекеті |
Оқушының әрекеті |
Бағалау |
Ресурстар |
|
Сабақтың басы: (5 мин) |
Сыныппен сәлемдесу, түгелдеу, сабаққа назарын аудару. Сыныптағы оқушыларды арнайы дайындалған карточкалар арқылы топтарға бөліп алады. Карточкалардың ішіне жасырылған смайликтерге сәйкес алдын ала белгіленген смайлигі бар партаға отырады. Мұғалім топтың атын басшысын сайлап алуды, бағалау парағымен таныстырады. «Миға шабуыл» әдісі Өткен сабақтағы тақырыптарды сұрақтар арқылы пысықтап алу. 1) Өткен тақырыпта қандай сандарды салыстырдық? 2) Түбірдің п дәрежесін табу дегеніміз не? 3) Көрсеткіштік дәреже дегеніміз не? Үй жұмысын сұрау.
Бұл әдісте оқушылар үйге берілген тапсырмасын тексереді. Фортуна дөңгелегі арқылы таңдалған оқушыдан сұралады. Үйге берілген тапсырмалардың жауабы қате болған жағдайда, мұғалім жауабын өзі айтады. |
Мұғаліммен сәлемдеседі. Оқушылар мұғалім айтып өткені бойынша топтарға бірігеді. Карточкаларды таңдап , сәйкес смайлик партаға отырады. Топ басшысын топтың атын өздері таңдайды. Оқушылар сұрақтарға жауап береді. Үй тапсырмасын орындаған оқушы есептің жауаптарын айтады, қалған оқушылар дұрыс немесе бұрыс екендігін айтады. Егер оқушының жауабы дұрыс болмаса келесі оқушы жалғастырады. |
ҚБ: мадақтау ҚБ: мадақтау Жарайсың,өте керемет! ҚБ: мадақтау Жарайсың, ақылдым, бұданда жақсы істей аласың!!! 100-50 балл аралығы |
Презентация Карточкалар мен смайликтер Бағалау парағы А4 парақтары,
«Фортуна» дөңгелегі
|
|
Сабақтың ортасы: 35 мин |
Жаңа тақырыпты мұғалім тақтаға түсіндіреді. Видеоролик пен тарихи мағмұматтар айтылып өтіледі. Логарифмдердің қасиеттері.
«Интербелсенді әдіс» I тапсырма. «Сырлы қобдиша» әдісі Қобдишаның ішіне есептер салынған хаттар бар. Топ басшысы шығып хаттарды таңдап алады. Топтар хаттың ішіндегі есептерді шығарып, тақтаға іліп қояды. Мұғалім есептерді дұрыстығын тексеріп, бағалайды.
II тапсырма. «Қолшатыр» әдісі Мұғалім қолшатырға ілінген есептеррді айналдырады. Тақтаға «Фортуна» әдісімен таңдалған оқушы шығып , есепті тақтаға жазады, шығарады.
III тапсырма. «Зипгрэйт» қоымшасымен жұмыс жасау
Әр топқа беріледі. Тест жауаптарын белгілейтін жауап парағы бірге беріледі. Жауаптарын тексеріп, топтарды бағалайды. Тиімділігі: топпен жұмыста бір бірімен қарым-қатынасы және оқушылар өздерінің білімдерін тексере отырып, ұқыптылыққа,шапшаңдыққа, жылдам ойлануға дағдыланады,білімдерін ортаға салады. Жаңа тақырыпты бекіту, қорытынды жасау. Бағалау парағын есептеуді аяқтау. |
Оқушылар жаңа сабақты дәптерге жазады.Видеоролик қарайды. Топ басшысы шығып хаттарды таңдап алады. Топпен есеп шығарада. Оқушы шығып есепті таңдап, тақтаға шығарады. Тест жұмысын орындау. Жауап парағына белгілейді. Оқушылар бағалау парағындағы баллдарды есептеп, қорытындылайды. |
Дескриптор;
ҚБ: мұғалімнің бағалауы. Мадақтау Жарайсыңдар, өте жақсы! Дескриптор: - Логарифмдердің қасиеттерін пайдаланып есепке амалдар қолданады. ҚБ: мұғалімнің бағалауы. Мадақтау Жарайсыңдар, өте жақсы! Дескриптор: - Негіздері бірдей логарифмдерді тауып, қосу және азайту амалдарын орындайды. -Логарифмдік теңдеулерді шешеді. ҚБ: мұғалімнің бағалауы Қорытынды. |
Презентация Видеоролик А3 парағы Маркерлер
Қобдиша 1д. Қолшатыр 1 д.
Тест тапсырмалары А6 парақтағы кесте
А4 тапсырма, дәптермен жұмыс баяу музыка оқулықпен, дәптермен жұмыс |
|
Сабақтың соңы: (5 мин)
|
«Сезіміңмен бөліс» әдісі Стикерге сабақтан алған әсерін, көңіл күйін жазып кетеді. №13.10 |
Оқушылар бүгінгі сабаққа қатысты алған әсерлерін жазып кетеді. |
Бағалау: Сабақ барысында әр оқушының бағалау деңгейі бар «Бағалау» парағына оқушыларды тапсырмалардың орындалу күйіне қарай бағалап отырады. «Бағалау» парағының қорытындысы бойынша оқушыларды бағаланады. |
11- сынып оқулығы А.Е.Әбілқасымова, Т.П. Кучер, З.Ә. Жұмағұлова, 2017ж. |

шағым қалдыра аласыз






















