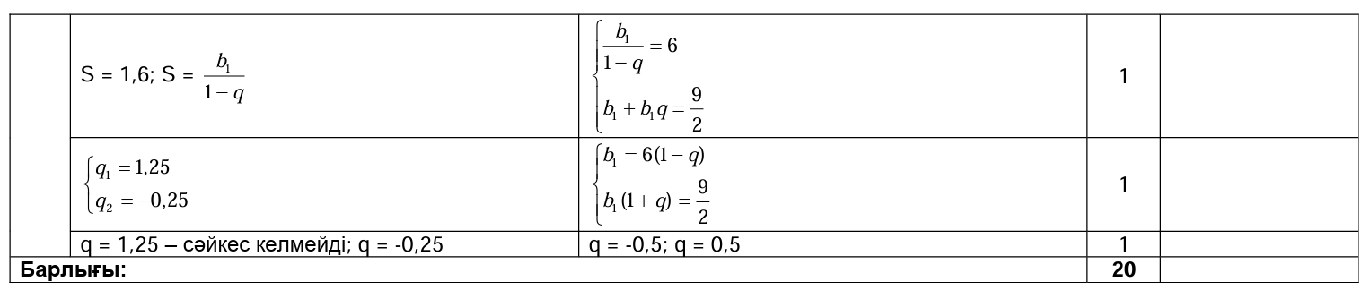
ТЖБ 9сынып Алгебра 2токсан
Тақырып бойынша 31 материал табылды
ТЖБ 9сынып Алгебра 2токсан
Материал туралы қысқаша түсінік
ТЖБ 9сынып Алгебра 2токсан
Материалдың қысқаша нұсқасы
Бөлісу
ЖИ арқылы жасау
Файл форматы:
docx
01.12.2024
89
ЖИ арқылы жасау
Жариялаған:
Бұл материалды қолданушы жариялаған. Ustaz Tilegi ақпаратты жеткізуші ғана болып табылады. Жарияланған материалдың мазмұны мен авторлық құқық толықтай автордың жауапкершілігінде. Егер материал авторлық құқықты бұзады немесе сайттан алынуы тиіс деп есептесеңіз,
шағым қалдыра аласыз
шағым қалдыра аласыз
















