«Информатика» пәнінен 10-сыныпқа арналған
2-тоқсан бойынша ТЖБ №2
1 -нұсқа
Тапсырма 1. Бос орынға тиісті сөздерді қой.
|
Процедура, айнымалы, def, рекурсия, return, функция аргументі |
-
____________ - бірнеше әрекеттерді орындайтын көмекші алгоритм.
-
Процедураның анықтамасы ______ қызметтік сөзінен басталады
-
Функцияның мәнін қайтару үшін _____ операторы қолданылады
Жауабы: 1) процедура 2) def 3) return
[3]
Тапсырма 2.
(input.txt) кіріс файлында a и b сандары берілген. Осы екі санды кіріс файлынан оқып, олардың қосындысын (output.txt) шығыс файлына шығаратын бағдарлама жолдарын дұрыс ретпен орналастыр.
|
1.____________ 2.____________ 3. a = int(f.readline()) 4. b = int(f.readline()) 5. h.write(str(a+b)) 6. ____________ 7. h.close() |
|
Жауабы: 1c 2b 3a
[3]
Тапсырма 3. Берілген санның (-2;5] аралыққа жататындығын тексеретін функцияны жаз.
Жауабы: def otrezok(x):
if x>-2 and x<=5:
return print("жатады")
else:
return print("жатпайды")
# Қолдану мысалы:
x=int(input())
otrezok(x)
[3]
Тапсырма 4. Функциялар немесе әдістер мен олардың сипаттамалары арасындағы сәйкестікті орнат.
|
|
Жауабы: 1e 2d 3a 4f 5c 6b
[3]
Тапсырма 5.
Бағдарлама коды берілген. Бағдарламаның қателерін тауып, астын сыз және түзет.
-
a = (“матика”)
b = (“Инфор”)
c = a+b
print(c) # “Информатика”
-
a = (“time”)
b := a+2
print(b) # timetime
Жауабы: 1) c=b+a 2) b=a*2 [3]
Тапсырма 6.
Бағдарлама коды орындалғаннан кейін экранға не шығады?
А) s = "1234"
n = len(s) + len("456")
print (n)
В) s = "123456789"
s1 = "abcdef"
s = s[4:6] + s1[2:5]
print (s)
Жауабы: a) 7 b) 56cde
[2]
Тапсырма 7.
Енгізілген жолдағы барлық "б" әріптерін "в" әрпімен алмастыратын және "в" әріптерінің санын есептейтін бағдарлама кодын жаз.
Жауабы: s=input()
print(s.replace('б', 'в'))
print(s.count('б'))
[3]
Тапсырма 8. Бағдарлама кодының орындалуы нәтижесінде экранға не шығады? а, b, c айнымалыларының мәндерін жаз.
data2 = [2, 1, 13]
a = data2+data1 _a:[ 2, 1, 13, 3, 10, 15]__________________________
b = sorted(а, reverse = False) _b:[1, 2, 3, 10, 13, 15]__________________________
c = data1+а _c: [3, 10, 15, 2, 1, 13, 3, 10, 15]__________________
print(c)
[3]
Тапсырма 9. Ілмегі де, еселі қабырғалары да жоқ граф қалай аталады?
Жауабы: Қарапайым граф
[1]
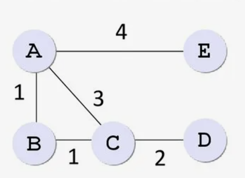
Тапсырма 10. Берілген граф үшін іргелес матрицаны құр
[1]

|
|
a |
b |
c |
d |
e |
|
a |
0 |
3 |
5 |
2 |
0 |
|
b |
3 |
0 |
1 |
0 |
0 |
|
c |
5 |
1 |
0 |
0 |
0 |
|
d |
2 |
0 |
0 |
0 |
4 |
|
e |
0 |
0 |
0 |
4 |
0 |
«Информатика» пәнінен 10-сыныпқа арналған
2-тоқсан бойынша ТЖБ №2
2 -нұсқа
Тапсырма 1. Бос орынға тиісті сөздерді қой.
|
Файл, методы, def, write, return, аргумент функции |
-
____________ - компьютердің тұрақты жадында жазылған таңбалар тізбегі.
-
Файлға жолдарды жазуға арналған әдіс ______.
-
Функцияның мәнін қайтару үшін _____ операторы қолданылады
Жауабы: 1) файл 2) write 3) return
[3]
Тапсырма 2.
(input.txt) кіріс файлында a и b сандары берілген. Осы екі санды кіріс файлынан оқып, олардың қосындысын (output.txt) шығыс файлына шығаратын бағдарлама жолдарын дұрыс ретпен орналастыр.
|
1.____________ 2.____________ 3. a = int(f.readline()) 4. b = int(f.readline()) 5. h.write(str(a+b)) 6. ____________ 7. h.close() |
|
Жауабы: 1c 2a 3b
[3]
Тапсырма 3. Берілген санның (-5;10] аралыққа жататындығын тексеретін функцияны жаз.
Жауабы: def otrezok(x):
if x>=-5 and x<10:
return print("жатады")
else:
return print("жатпайды")
# Қолдану мысалы:
x=int(input())
otrezok(x)
[3]
Тапсырма 4. Функциялар немесе әдістер мен олардың сипаттамалары арасындағы сәйкестікті орнат.
|
|
Жауабы: 1f 2e 3d 4b 5a 6c
[3]
Тапсырма 5.
Бағдарлама коды берілген. Бағдарламаның қателерін тауып, астын сыз және түзет.
-
a = (“матика”)
b = (“Мате”)
c = a+b
print(а) # “Математика”
-
a = (“apple”)
b = a+3
print(b) #appleapple
Жауабы: 1) c=b+a print(c) 2) b=a*3
[3]
Тапсырма 6.
Бағдарлама коды орындалғаннан кейін экранға не шығады?
А) s = "876541"
n = len(s) + len("312")
print (n)
В) s = "123456789"
s1 = "defabcо"
s = s[3:5] + s1[4:6]
print (s)
Жауабы: a) 9 b) 45bc
[2]
Тапсырма 7.
Енгізілген жолдағы барлық "к" әріптерін "г" әрпімен алмастыратын және "к" әріптерінің санын есептейтін бағдарлама кодын жаз.
Жауабы: s=input()
print(s.replace('к','г'))
print(s.count('к'))
[3]
Тапсырма 8. Бағдарлама кодының орындалуы нәтижесінде экранға не шығады? а, b, c айнымалыларының мәндерін жаз.
data1 = [5, 11 ,13]
data2 = [8, 7, 15]
a = data1+data2 a: [5, 11, 13, 8, 7, 15]
b = а+ data2 b: [5, 11, 13, 8, 7, 15, 8, 7, 15]
c= sorted(а, reverse = False) c: [5, 7, 8, 11, 13, 15]
print(c)
[3]
Тапсырма 9. Кез келген екі төбесі бір қабырғадан артық қабырғамен қосылған граф.
Жауабы: Мультиграф
[1]
Тапсырма 10. Берілген граф үшін іргелес матрицаны құр
[1]

|
|
a |
b |
c |
d |
e |
|
a |
0 |
1 |
3 |
0 |
4 |
|
b |
1 |
0 |
1 |
0 |
0 |
|
c |
3 |
1 |
0 |
2 |
0 |
|
d |
0 |
0 |
2 |
0 |
0 |
|
e |
4 |
0 |
0 |
0 |
0 |
Informatica_didactics
жүктеу мүмкіндігіне ие боласыз
Бұл материал сайт қолданушысы жариялаған. Материалдың ішінде жазылған барлық ақпаратқа жауапкершілікті жариялаған қолданушы жауап береді. Ұстаз тілегі тек ақпаратты таратуға қолдау көрсетеді. Егер материал сіздің авторлық құқығыңызды бұзған болса немесе басқа да себептермен сайттан өшіру керек деп ойласаңыз осында жазыңыз
ТЖБ жауаптары. 10-сынып. 2-ші тоқсан.
ТЖБ жауаптары. 10-сынып. 2-ші тоқсан.
«Информатика» пәнінен 10-сыныпқа арналған
2-тоқсан бойынша ТЖБ №2
1 -нұсқа
Тапсырма 1. Бос орынға тиісті сөздерді қой.
|
Процедура, айнымалы, def, рекурсия, return, функция аргументі |
-
____________ - бірнеше әрекеттерді орындайтын көмекші алгоритм.
-
Процедураның анықтамасы ______ қызметтік сөзінен басталады
-
Функцияның мәнін қайтару үшін _____ операторы қолданылады
Жауабы: 1) процедура 2) def 3) return
[3]
Тапсырма 2.
(input.txt) кіріс файлында a и b сандары берілген. Осы екі санды кіріс файлынан оқып, олардың қосындысын (output.txt) шығыс файлына шығаратын бағдарлама жолдарын дұрыс ретпен орналастыр.
|
1.____________ 2.____________ 3. a = int(f.readline()) 4. b = int(f.readline()) 5. h.write(str(a+b)) 6. ____________ 7. h.close() |
|
Жауабы: 1c 2b 3a
[3]
Тапсырма 3. Берілген санның (-2;5] аралыққа жататындығын тексеретін функцияны жаз.
Жауабы: def otrezok(x):
if x>-2 and x<=5:
return print("жатады")
else:
return print("жатпайды")
# Қолдану мысалы:
x=int(input())
otrezok(x)
[3]
Тапсырма 4. Функциялар немесе әдістер мен олардың сипаттамалары арасындағы сәйкестікті орнат.
|
|
Жауабы: 1e 2d 3a 4f 5c 6b
[3]
Тапсырма 5.
Бағдарлама коды берілген. Бағдарламаның қателерін тауып, астын сыз және түзет.
-
a = (“матика”)
b = (“Инфор”)
c = a+b
print(c) # “Информатика”
-
a = (“time”)
b := a+2
print(b) # timetime
Жауабы: 1) c=b+a 2) b=a*2 [3]
Тапсырма 6.
Бағдарлама коды орындалғаннан кейін экранға не шығады?
А) s = "1234"
n = len(s) + len("456")
print (n)
В) s = "123456789"
s1 = "abcdef"
s = s[4:6] + s1[2:5]
print (s)
Жауабы: a) 7 b) 56cde
[2]
Тапсырма 7.
Енгізілген жолдағы барлық "б" әріптерін "в" әрпімен алмастыратын және "в" әріптерінің санын есептейтін бағдарлама кодын жаз.
Жауабы: s=input()
print(s.replace('б', 'в'))
print(s.count('б'))
[3]
Тапсырма 8. Бағдарлама кодының орындалуы нәтижесінде экранға не шығады? а, b, c айнымалыларының мәндерін жаз.
data2 = [2, 1, 13]
a = data2+data1 _a:[ 2, 1, 13, 3, 10, 15]__________________________
b = sorted(а, reverse = False) _b:[1, 2, 3, 10, 13, 15]__________________________
c = data1+а _c: [3, 10, 15, 2, 1, 13, 3, 10, 15]__________________
print(c)
[3]
Тапсырма 9. Ілмегі де, еселі қабырғалары да жоқ граф қалай аталады?
Жауабы: Қарапайым граф
[1]
Тапсырма 10. Берілген граф үшін іргелес матрицаны құр
[1]

|
|
a |
b |
c |
d |
e |
|
a |
0 |
3 |
5 |
2 |
0 |
|
b |
3 |
0 |
1 |
0 |
0 |
|
c |
5 |
1 |
0 |
0 |
0 |
|
d |
2 |
0 |
0 |
0 |
4 |
|
e |
0 |
0 |
0 |
4 |
0 |
«Информатика» пәнінен 10-сыныпқа арналған
2-тоқсан бойынша ТЖБ №2
2 -нұсқа
Тапсырма 1. Бос орынға тиісті сөздерді қой.
|
Файл, методы, def, write, return, аргумент функции |
-
____________ - компьютердің тұрақты жадында жазылған таңбалар тізбегі.
-
Файлға жолдарды жазуға арналған әдіс ______.
-
Функцияның мәнін қайтару үшін _____ операторы қолданылады
Жауабы: 1) файл 2) write 3) return
[3]
Тапсырма 2.
(input.txt) кіріс файлында a и b сандары берілген. Осы екі санды кіріс файлынан оқып, олардың қосындысын (output.txt) шығыс файлына шығаратын бағдарлама жолдарын дұрыс ретпен орналастыр.
|
1.____________ 2.____________ 3. a = int(f.readline()) 4. b = int(f.readline()) 5. h.write(str(a+b)) 6. ____________ 7. h.close() |
|
Жауабы: 1c 2a 3b
[3]
Тапсырма 3. Берілген санның (-5;10] аралыққа жататындығын тексеретін функцияны жаз.
Жауабы: def otrezok(x):
if x>=-5 and x<10:
return print("жатады")
else:
return print("жатпайды")
# Қолдану мысалы:
x=int(input())
otrezok(x)
[3]
Тапсырма 4. Функциялар немесе әдістер мен олардың сипаттамалары арасындағы сәйкестікті орнат.
|
|
Жауабы: 1f 2e 3d 4b 5a 6c
[3]
Тапсырма 5.
Бағдарлама коды берілген. Бағдарламаның қателерін тауып, астын сыз және түзет.
-
a = (“матика”)
b = (“Мате”)
c = a+b
print(а) # “Математика”
-
a = (“apple”)
b = a+3
print(b) #appleapple
Жауабы: 1) c=b+a print(c) 2) b=a*3
[3]
Тапсырма 6.
Бағдарлама коды орындалғаннан кейін экранға не шығады?
А) s = "876541"
n = len(s) + len("312")
print (n)
В) s = "123456789"
s1 = "defabcо"
s = s[3:5] + s1[4:6]
print (s)
Жауабы: a) 9 b) 45bc
[2]
Тапсырма 7.
Енгізілген жолдағы барлық "к" әріптерін "г" әрпімен алмастыратын және "к" әріптерінің санын есептейтін бағдарлама кодын жаз.
Жауабы: s=input()
print(s.replace('к','г'))
print(s.count('к'))
[3]
Тапсырма 8. Бағдарлама кодының орындалуы нәтижесінде экранға не шығады? а, b, c айнымалыларының мәндерін жаз.
data1 = [5, 11 ,13]
data2 = [8, 7, 15]
a = data1+data2 a: [5, 11, 13, 8, 7, 15]
b = а+ data2 b: [5, 11, 13, 8, 7, 15, 8, 7, 15]
c= sorted(а, reverse = False) c: [5, 7, 8, 11, 13, 15]
print(c)
[3]
Тапсырма 9. Кез келген екі төбесі бір қабырғадан артық қабырғамен қосылған граф.
Жауабы: Мультиграф
[1]
Тапсырма 10. Берілген граф үшін іргелес матрицаны құр
[1]

|
|
a |
b |
c |
d |
e |
|
a |
0 |
1 |
3 |
0 |
4 |
|
b |
1 |
0 |
1 |
0 |
0 |
|
c |
3 |
1 |
0 |
2 |
0 |
|
d |
0 |
0 |
2 |
0 |
0 |
|
e |
4 |
0 |
0 |
0 |
0 |
Informatica_didactics
шағым қалдыра аласыз













