Таныстым:
Қазақстан Республикасы Оқу-ағарту министрлігі
Момынай жалпы орта білім беретін мектебі
Қысқа мерзімді (сабақ) жоспары
Пәні: Алгебра ҚГБ
Тақырыбы: Тригонометриялық функциялардың туындылары
|
Бөлім: |
10.3АТуынды |
|
|
Педагогтің Т.А.Ә. |
Алиева Гүлжан Аманкулкызы |
|
|
Күні: |
05.02.2024ж |
|
|
Сынып: 10 «А» |
Қатысушылар саны: |
Қатыспағандар саны: |
|
Сабақтың тақырыбы |
Тригонометриялық функциялардың туындылары |
|
|
Оқу бағдарламасына сәйкес оқыту мақсаттары |
10.3.1.13 - тригонометриялық функциялардың туындыларын табу; |
|
|
Сабақтың мақсаты |
|
|
Сабақтың барысы
|
Сабақтың кезеңі/ уақыт |
Педагогтің әрекеті |
Оқушының әрекеті |
Бағалау |
Ресурс тар |
||||||
|
|
Оқушылармен амандасу, түгендеу, назарын
сабаққа аудару Оқу мақсаттарымен таныстыру. Үй тапсырмасын тексеру. |
Жинақтала ды, сабаққа ынталанады. |
|
Оқулық. |
||||||
|
Сабақтың ортасы |
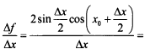
Жаңа сабақ түсіндіру. Функция туындысының анықтамасы бойынша ƒ(x)=sin x функциясының туындысының формуласын қорытып шығайық. 1) Функция өсімшесін табайық: (синустар айырмасының формуласын қоланамыз)
2) Функция өсімшесін аргумент өсімшесіне бөлеміз: 3) Туындыны табамыз:
= 1 cos x0=cos x0 Сонымен f '(х) =cos x екені дәлелденді. Осылайша (cos х)' = - sin x формуласын қорытамыз.
Деңгейлік апсырмалар орындау. Топтық жұмыс Функциялардың туындысын табу: І деңгей. 1) ƒ(x)=sin 2x, 2) ƒ(x)=cos (3x+1), 3) ƒ(x)=tg (2x-3), 4) ƒ(x)=ctg(-5x) II деңгей. 1) ƒ(x)=(sin x)2, 2) ƒ(x)=tg (x2) III деңгей. 1) ƒ(x)=(cos x)4 + (sin x)4, 2)ƒ(x)=5sin 10x cos 8x Өз бетімен жұмыс.
|
Жаңа тақырыпты меңгереді. Қосымша ақпарат көздерін пайдалана отырып түсінеді Мысалдар жазады Тапсырманы топтасып орындайды Тез орындап болған оқушылар қосымша есептер шығарады |
Балл деңгейі бойынша беріледі Әрбір дұрыс жауапқа 2 ьалл беріледі |
bilimland.kz |
||||||
|
Сабақтың соңы |
Үй жұмысы: № Рефлексия.
|
Үй жұмысын алады. Рефлексияны орындайды |
|
|
жүктеу мүмкіндігіне ие боласыз
Бұл материал сайт қолданушысы жариялаған. Материалдың ішінде жазылған барлық ақпаратқа жауапкершілікті жариялаған қолданушы жауап береді. Ұстаз тілегі тек ақпаратты таратуға қолдау көрсетеді. Егер материал сіздің авторлық құқығыңызды бұзған болса немесе басқа да себептермен сайттан өшіру керек деп ойласаңыз осында жазыңыз
Тригонометриялық функциялардың туындылары. ҚМЖ 10 сынып ҚГБ алгебра 3 тоқсан
Тригонометриялық функциялардың туындылары. ҚМЖ 10 сынып ҚГБ алгебра 3 тоқсан
Таныстым:
Қазақстан Республикасы Оқу-ағарту министрлігі
Момынай жалпы орта білім беретін мектебі
Қысқа мерзімді (сабақ) жоспары
Пәні: Алгебра ҚГБ
Тақырыбы: Тригонометриялық функциялардың туындылары
|
Бөлім: |
10.3АТуынды |
|
|
Педагогтің Т.А.Ә. |
Алиева Гүлжан Аманкулкызы |
|
|
Күні: |
05.02.2024ж |
|
|
Сынып: 10 «А» |
Қатысушылар саны: |
Қатыспағандар саны: |
|
Сабақтың тақырыбы |
Тригонометриялық функциялардың туындылары |
|
|
Оқу бағдарламасына сәйкес оқыту мақсаттары |
10.3.1.13 - тригонометриялық функциялардың туындыларын табу; |
|
|
Сабақтың мақсаты |
|
|
Сабақтың барысы
|
Сабақтың кезеңі/ уақыт |
Педагогтің әрекеті |
Оқушының әрекеті |
Бағалау |
Ресурс тар |
||||||
|
|
Оқушылармен амандасу, түгендеу, назарын
сабаққа аудару Оқу мақсаттарымен таныстыру. Үй тапсырмасын тексеру. |
Жинақтала ды, сабаққа ынталанады. |
|
Оқулық. |
||||||
|
Сабақтың ортасы |
Жаңа сабақ түсіндіру. Функция туындысының анықтамасы бойынша ƒ(x)=sin x функциясының туындысының формуласын қорытып шығайық. 1) Функция өсімшесін табайық: (синустар айырмасының формуласын қоланамыз)
2) Функция өсімшесін аргумент өсімшесіне бөлеміз: 3) Туындыны табамыз:
= 1 cos x0=cos x0 Сонымен f '(х) =cos x екені дәлелденді. Осылайша (cos х)' = - sin x формуласын қорытамыз.
Деңгейлік апсырмалар орындау. Топтық жұмыс Функциялардың туындысын табу: І деңгей. 1) ƒ(x)=sin 2x, 2) ƒ(x)=cos (3x+1), 3) ƒ(x)=tg (2x-3), 4) ƒ(x)=ctg(-5x) II деңгей. 1) ƒ(x)=(sin x)2, 2) ƒ(x)=tg (x2) III деңгей. 1) ƒ(x)=(cos x)4 + (sin x)4, 2)ƒ(x)=5sin 10x cos 8x Өз бетімен жұмыс.
|
Жаңа тақырыпты меңгереді. Қосымша ақпарат көздерін пайдалана отырып түсінеді Мысалдар жазады Тапсырманы топтасып орындайды Тез орындап болған оқушылар қосымша есептер шығарады |
Балл деңгейі бойынша беріледі Әрбір дұрыс жауапқа 2 ьалл беріледі |
bilimland.kz |
||||||
|
Сабақтың соңы |
Үй жұмысы: № Рефлексия.
|
Үй жұмысын алады. Рефлексияны орындайды |
|
|
шағым қалдыра аласыз
















