Таныстым:
Қазақстан Республикасы Оқу-ағарту министрлігі
Момынай жалпы орта білім беретін мектебі
Қысқа мерзімді (сабақ) жоспары
Пәні: Алгебра ҚГБ
Тақырыбы: Туындыны табу ережелері
|
Бөлім: |
10.3АТуынды |
|
|
Педагогтің Т.А.Ә. |
Алиева Гүлжан Аманкулкызы |
|
|
Күні: |
17.01.2024ж |
|
|
Сынып: 10 «А» |
Қатысушылар саны: |
Қатыспағандар саны: |
|
Сабақтың тақырыбы |
Туындыны табу ережелері |
|
|
Оқу бағдарламасына сәйкес оқыту мақсаттары |
10.3.1.11 - дифференциалдаудың ережелерін білу және қолдану; |
|
|
Сабақтың мақсаты |
|
|
Сабақтың барысы
|
Сабақтың кезеңі/ уақыт |
Педагогтің әрекеті |
Оқушының әрекеті |
Бағалау |
Ресурс тар |
|
|
Оқушылармен амандасу, түгендеу, назарын
сабаққа аудару Оқу мақсаттарымен таныстыру. Үй тапсырмасын тексеру. |
Жинақтала ды, сабаққа ынталанады. |
|
Оқулық. |
|
Сабақтың ортасы |
Жаңа сабақ түсіндіру. Функциялардың көбейтіндісін дифференциалдау ережесі. Егер u және v функциялар x нүктесінде дифференциалданса, онда олардың көбейтіндісі де осы нүктеде дифференциалданады: (uv)' = u'v + uv'. 1-мысал. Функцияның туындысын тап: y = (2x – 1)(x2 – 5). Шешуі. Әр көбейткішті жеке функция ретінде қарастыр: u(x) = 2x – 1, v(x) = x2 – 5. Әр функцияның туындысын тап: u '(x) = (2x – 1)' = 2; v '(x) = (x2 – 5)' = 2x. Енді көбейтіндіні дифференциалдау ережесін қолдан: y' = ((2x – 1)(x2 – 5))' = (2x – 1)'(x2 – 5) + (2x – 1)(x2 – 5)' = 2(x2 – 5) + (2x – 1)2x = 2x2 – 10 + 4x2 – 2x = 6x2 – 2x – 10.
Функциялардың бөліндісін дифференциалдау ережесі. Егер u және v функциялар x нүктесінде
дифференциалданса және v функциясы
берілген нүктеде
нөлге тең емес
болса, онда
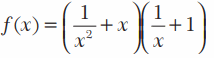
Тапсырмалар орындау. Қалыптастырушы бағалау Тапсырма 1. Туындысын табыңыз:
Тапсырма 2. Туындысын табыңыз:
Тапсырма 3. Туындысын табыңыз:
Топтық жұмыс 1 – тапсырма. Берілген функциялардың туындыларын табыңыз: a) ?(?) = ?√? − 8?4 + 12 b) ?(?) = (3 − c) ?(?) = Дескриптор:
2 – тапсырма. Берілген шарттарды қанағаттандыратын теңсіздіктерді құрып, шешімін табыңыздар: a) Егер ?(?) = ?2 − 4? + 3 болса, ?(?) ∙ ? ′ (?) ≤ 0
b) Егер
?(?) = ?4
−
4?2
болса, Дескриптор: |
Жаңа тақырыпты меңгереді. Мысалдарды жазады Тапсырмаларды өз бетінше орындайды Тапсырманы топтасып орындайды |
Дұрыс жауапқа 1 балл беріледі. Балл дескриптор бойынша беріледі |
bilimland.kz |
|
Сабақтың соңы |
Үй жұмысы: № Рефлексия. Оқушылар өз ойларын карточкаға жазады:
|
Үй жұмысын алады. Рефлексияны орындайды |
|
|
жүктеу мүмкіндігіне ие боласыз
Бұл материал сайт қолданушысы жариялаған. Материалдың ішінде жазылған барлық ақпаратқа жауапкершілікті жариялаған қолданушы жауап береді. Ұстаз тілегі тек ақпаратты таратуға қолдау көрсетеді. Егер материал сіздің авторлық құқығыңызды бұзған болса немесе басқа да себептермен сайттан өшіру керек деп ойласаңыз осында жазыңыз
Туындыны табу ережелері. ҚМЖ 10 сынып ҚГБ алгебра 3 тоқсан
Туындыны табу ережелері. ҚМЖ 10 сынып ҚГБ алгебра 3 тоқсан
Таныстым:
Қазақстан Республикасы Оқу-ағарту министрлігі
Момынай жалпы орта білім беретін мектебі
Қысқа мерзімді (сабақ) жоспары
Пәні: Алгебра ҚГБ
Тақырыбы: Туындыны табу ережелері
|
Бөлім: |
10.3АТуынды |
|
|
Педагогтің Т.А.Ә. |
Алиева Гүлжан Аманкулкызы |
|
|
Күні: |
17.01.2024ж |
|
|
Сынып: 10 «А» |
Қатысушылар саны: |
Қатыспағандар саны: |
|
Сабақтың тақырыбы |
Туындыны табу ережелері |
|
|
Оқу бағдарламасына сәйкес оқыту мақсаттары |
10.3.1.11 - дифференциалдаудың ережелерін білу және қолдану; |
|
|
Сабақтың мақсаты |
|
|
Сабақтың барысы
|
Сабақтың кезеңі/ уақыт |
Педагогтің әрекеті |
Оқушының әрекеті |
Бағалау |
Ресурс тар |
|
|
Оқушылармен амандасу, түгендеу, назарын
сабаққа аудару Оқу мақсаттарымен таныстыру. Үй тапсырмасын тексеру. |
Жинақтала ды, сабаққа ынталанады. |
|
Оқулық. |
|
Сабақтың ортасы |
Жаңа сабақ түсіндіру. Функциялардың көбейтіндісін дифференциалдау ережесі. Егер u және v функциялар x нүктесінде дифференциалданса, онда олардың көбейтіндісі де осы нүктеде дифференциалданады: (uv)' = u'v + uv'. 1-мысал. Функцияның туындысын тап: y = (2x – 1)(x2 – 5). Шешуі. Әр көбейткішті жеке функция ретінде қарастыр: u(x) = 2x – 1, v(x) = x2 – 5. Әр функцияның туындысын тап: u '(x) = (2x – 1)' = 2; v '(x) = (x2 – 5)' = 2x. Енді көбейтіндіні дифференциалдау ережесін қолдан: y' = ((2x – 1)(x2 – 5))' = (2x – 1)'(x2 – 5) + (2x – 1)(x2 – 5)' = 2(x2 – 5) + (2x – 1)2x = 2x2 – 10 + 4x2 – 2x = 6x2 – 2x – 10.
Функциялардың бөліндісін дифференциалдау ережесі. Егер u және v функциялар x нүктесінде
дифференциалданса және v функциясы
берілген нүктеде
нөлге тең емес
болса, онда
Тапсырмалар орындау. Қалыптастырушы бағалау Тапсырма 1. Туындысын табыңыз:
Тапсырма 2. Туындысын табыңыз:
Тапсырма 3. Туындысын табыңыз:
Топтық жұмыс 1 – тапсырма. Берілген функциялардың туындыларын табыңыз: a) ?(?) = ?√? − 8?4 + 12 b) ?(?) = (3 − c) ?(?) = Дескриптор:
2 – тапсырма. Берілген шарттарды қанағаттандыратын теңсіздіктерді құрып, шешімін табыңыздар: a) Егер ?(?) = ?2 − 4? + 3 болса, ?(?) ∙ ? ′ (?) ≤ 0
b) Егер
?(?) = ?4
−
4?2
болса, Дескриптор: |
Жаңа тақырыпты меңгереді. Мысалдарды жазады Тапсырмаларды өз бетінше орындайды Тапсырманы топтасып орындайды |
Дұрыс жауапқа 1 балл беріледі. Балл дескриптор бойынша беріледі |
bilimland.kz |
|
Сабақтың соңы |
Үй жұмысы: № Рефлексия. Оқушылар өз ойларын карточкаға жазады:
|
Үй жұмысын алады. Рефлексияны орындайды |
|
|
шағым қалдыра аласыз


















